定积分典型例题20例答案
- 格式:doc
- 大小:638.00 KB
- 文档页数:6
定积分典型例题20例答案定积分典型例题20例答案例1 求33322321lim(2)n n n n n →∞+++.分析将这类问题转化为定积分主要是确定被积函数和积分上下限.若对题目中被积函数难以想到,可采取如下方法:先对区间[0,1]n 等分写出积分和,再与所求极限相比较来找出被积函数与积分上下限.解将区间[0,1]n 等分,则每个小区间长为1i x n ?=,然后把2111n n n=?的一个因子1n 乘入和式中各项.于是将所求极限转化为求定积分.即33322321lim(2)n n n n n →∞+++=333112lim ()n n n n nn →∞+++=13034xdx =?.例2 2202x x dx -?=_________.解法1 由定积分的几何意义知,2202x x dx -?等于上半圆周22(1)1x y -+= (0y ≥)与x 轴所围成的图形的面积.故2202x x dx -?=2π.解法2 本题也可直接用换元法求解.令1x -=sin t (2 2t ππ-≤≤),则222x x dx -?=2221sin cos t tdt ππ--?=2221sin cos t tdt π-?=2202cos tdt π=2π 例3 (1)若22()x t xf x e dt -=?,则()f x '=___;(2)若0()()xf x xf t dt =?,求()f x '=___.分析这是求变限函数导数的问题,利用下面的公式即可()()()[()]()[()]()v x u x d f t dt f v x v x f u x u x dx ''=-?.解(1)()f x '=422x x xe e ---;(2)由于在被积函数中x 不是积分变量,故可提到积分号外即0()()xf x x f t dt =?,则可得()f x '=0()()xf t dt xf x +?.例4 设()f x 连续,且31()x f t dt x -=?,则(26)f =_________.解对等式310()x f t dt x -=?两边关于x 求导得32(1)31f x x -?=,故321(1)3f x x -=,令3126x -=得3x =,所以1(26)27f =.例5 函数11()(3)(0)x F x dt x t =->?的单调递减开区间为_________.解 1()3F x x'=-,令()0F x '<得13x >,解之得109x <<,即1(0,)9为所求.例6 求0()(1)arctan xf x t tdt =-?的极值点.解由题意先求驻点.于是()f x '=(1)arctan x x -.令()f x '=0,得1x =,0x =.列表如下:故1x =为()f x 的极大值点,0x =为极小值点.例7 已知两曲线()y f x =与()y g x =在点(0,0)处的切线相同,其中2arcsin 0()xt g x e dt -=?,[1,1]x ∈-,试求该切线的方程并求极限3lim ()n nf n→∞.分析两曲线()y f x =与()y g x =在点(0,0)处的切线相同,隐含条件(0)(0)f g =,(0)(0)f g ''=.解由已知条件得2(0)(0)0t f g e dt -===?,且由两曲线在(0,0)处切线斜率相同知2(arcsin )2(0)(0)11x x e f g x -=''===-.故所求切线方程为y x =.而()(0)3lim ()lim33(0)330n n f f n nf f n n→∞→∞-'=?==-.例8 求 22000sin lim(sin )x x xtdtt t t dt→-??;分析该极限属于型未定式,可用洛必达法则.解 22000sin lim (sin )x x xtdtt t t dt→-?=2202(sin )lim (1)(sin )x x x x x x →-??-=220()(2)lim sin x x x x →-?-=304(2)lim 1cos x x x→-?-x(,0)-∞0 (0,1)1 (1,)+∞()f x '+-=2012(2)lim sin x x x→-?=0.注此处利用等价无穷小替换和多次应用洛必达法则.例9 试求正数a 与b ,使等式2201lim1sin x x t dt x b x a t→=-+?成立.分析易见该极限属于型的未定式,可用洛必达法则.解 20201lim sin x x t dt x b x a t →-+?=220lim 1cos x x a x b x →+-=22001lim lim 1cos x x x b x a x →→?-+201lim 11cos x x b x a →==-,由此可知必有0li m(1cos )0x b x →-=,得1b =.又由2012lim 11cos x x x a a→==-,得4a =.即4a =,1b =为所求.例10 设sin 20()sin x f x t dt =?,34()g x x x =+,则当0x →时,()f x 是()g x 的().A .等价无穷小.B .同阶但非等价的无穷小.C .高阶无穷小.D .低阶无穷小.解法1 由于 22300()sin(sin )cos lim lim()34x x f x x xg x x x →→?=+ 2200cos sin(sin )lim lim34x x x x x x →→=?+ 22011lim 33x x x →==.故()f x 是()g x 同阶但非等价的无穷小.选B .解法2 将2sin t 展成t 的幂级数,再逐项积分,得到sin 223370111()[()]sin sin 3!342x f x t t dt x x =-+=-+,则344340001111sin (sin )sin ()1342342lim lim lim ()13x x x x x x f x g x x x x→→→-+-+===++.例11 计算21||x dx -?.分析被积函数含有绝对值符号,应先去掉绝对值符号然后再积分.解 21||x dx -?=0210()x dx xdx --+??=220210[][]22x x --+=52.注在使用牛顿-莱布尼兹公式时,应保证被积函数在积分区间上满足可积条件.如 33222111[]6dx x x --=-=?,则是错误的.错误的原因则是由于被积函数21 x 在0x =处间断且在被积区间内无界.例12 设()f x 是连续函数,且10()3()f x x f t dt =+?,则()________f x =.分析本题只需要注意到定积分()baf x dx ?是常数(,a b 为常数).解因()f x 连续,()f x 必可积,从而10()f t dt ?是常数,记1()f t dt a =?,则()3f x x a =+,且11(3)()x a dx f t dt a +==??.所以2101[3]2x ax a+=,即132a a +=,从而14a =-,所以 3()4f x x =-.例13 计算2112211x x dx x-++-?.分析由于积分区间关于原点对称,因此首先应考虑被积函数的奇偶性.解 2112211x x dx x-++-?=211112221111x x dx dx x x--++-+-?.由于22211x x+-是偶函数,而211x x+-是奇函数,有112011xdx x-=+-?, 于是2112211x x dx x -++-?=2102411x dx x +-?=22120(11)4x x dx x--?=11200441dx x dx --?? 由定积分的几何意义可知12014x dx π-=, 故211122444411x x dx dx xππ-+=-?=-+-?.例14 计算220()xd tf x t dt dx -?,其中()f x 连续.分析要求积分上限函数的导数,但被积函数中含有x ,因此不能直接求导,必须先换元使被积函数中不含x ,然后再求导.解由于220()xtf x t dt -?=2221()2x f x t dt-?.故令22x t u -=,当0t =时2u x =;当t x =时0u =,而2dt du =-,所以220()x tf x t dt -?=201()()2x f u du -?=201()2x f u du ?,故220()x d tf x t dt dx -?=201[()]2x d f u du dx ?=21()22f x x=2()xf x .错误解答220()x d tf x t dt dx -?22()(0)xf x x xf =-=.错解分析这里错误地使用了变限函数的求导公式,公式()()()xad x f t dt f x dx 'Φ==?中要求被积函数()f t 中不含有变限函数的自变量x ,而22()f x t -含有x ,因此不能直接求导,而应先换元.例15 计算30sin x xdx π.分析被积函数中出现幂函数与三角函数乘积的情形,通常采用分部积分法.解30s i n x x d x π30(c o s )x d x π=-?33[(c o s )](c o s )x x x d x ππ=?---? 30cos 6xdx ππ=-+?326π=-.例16 计算120ln(1)(3)x dx x +-?.分析被积函数中出现对数函数的情形,可考虑采用分部积分法.解 120ln(1)(3)x dx x +-?=101ln(1)()3x d x +-?=1100111[ln(1)]3(3)(1)x dx x x x +-?--+? =101111ln 2()2413dx x x-++-?11ln 2ln324=-.例17 计算20sin x e xdx π.分析被积函数中出现指数函数与三角函数乘积的情形通常要多次利用分部积分法.解由于2sin xe xdx π20sin xxde π=?220[sin ]cos xx e x e xdx ππ=-?220cos x e e xdx ππ=-?,(1)而20cos xe xdx π20cos xxde π=?220[cos ](sin )xx e x e x dx ππ20sin 1x e xdx π=-?,(2)将(2)式代入(1)式可得20sin xe xdx π220[sin 1]x e e xdx ππ=--?,故20sin xe xdx π21(1)2e π=+.例18 计算1arcsin x xdx ?.分析被积函数中出现反三角函数与幂函数乘积的情形,通常用分部积分法.解 10arcsin x xdx ?210arcsin ()2x xd =?221100[arcsin ](arcsin )22x x x d x =?-?21021421x dx x π.(1)令sin x t =,则2121x dx x-?222sin sin 1sin td t tπ=-?220sin cos cos ttdt t π=??220sin tdt π=?201cos22t dt π-==?20sin 2[]24t t π-4π=.(2)将(2)式代入(1)式中得1arcsin x xdx =8π.例19设()f x [0,]π上具有二阶连续导数,()3f π'=且0[()()]cos 2f x f x xdx π''+=?,求(0)f '.分析被积函数中含有抽象函数的导数形式,可考虑用分部积分法求解.解由于0[()()]cos f x f x xdx π''+?00()sin cos ()f x d x xdf x ππ'=+??{()sin ()sin }{[()cos ]()sin }f x x f x xdx f x x f x xdx ππππ'''=-++??()(0)2f f π''=--=.故(0)f '=2()235f π'--=--=-.例20 计算243dxx x +∞++?.分析该积分是无穷限的的反常积分,用定义来计算.解2043dx x x +∞++?=20lim 43t t dx x x →+∞++?=0111lim ()213t t dx x x →+∞-++? =011lim [ln ]23t t x x →+∞++=111lim (ln ln )233t t t →+∞+-+ =ln 32.。
定积分常见问题一、关于含“变上限积分”的问题321(1)()x x F x =⎰例、求下列导数32(2)()x x F x =⎰220(3)()()xF x tf x t dt =-⎰2例、求下列极限2221(1)lim(1)x t xx t e dt x -→∞+⎰求 2204()(2)lim,()(0)0,(0)2xx tf x t dtf x f f x→-'==⎰求连续,3例1(1)()()()sin f x f tx dt f x x x =+⎰求连续函数,使之满足1ln 1(2)()0()()1xt f x dt x f x f t x =>++⎰、设,其中,求 ()()3213()0(),1()8,()3f x f x xg x g t dt x f x >=-⎰()设在可微。
其反函数为且求二、定积分计算的有关问题411(1)例、(常见形式积分)4(2)1cos 2xdx x π+⎰(3).2(4)(0)aa >⎰0(5)⎰0(6)a例2、(分段函数,绝对值函数)[(1)()b a xdx a b <⎰0,02(2)(),()(),2x l kx x f x x f t dt l c x l ⎧≤≤⎪⎪=Φ=⎨⎪≤≤⎪⎩⎰、设求10(3)t t x dt -⎰sin ,02(4).()(),(0)0(),()0,2xx x f t g x t dt x x f x x g x x ππ⎧≤<⎪⎪-≥≥==⎨⎪≥⎪⎩⎰其中当时,而例3(对称区间上积分)11(1)(1sin )()x x x e e dx --++⎰(1212(2)sin ln x x x dx -⎡⎢⎣⎰244sin (3)1x x dx e ππ--+⎰()4[]()()baf x dx f xg x +⎰例、形如的积分42(1)dx sin 2sin cos 0(2)xx x e dxe e π+⎰2(3),1()dxtgx πλ+⎰例5、(由三角有理式与其他初等函数通过四则成复合而成的函数的积分)22022001.(sin )(cos ))2.(sin )(sin )21331,24223.sin cos ,1342,1253n n f x dx f x dx xf x dx f x dxn n n n n xdx xdx n n n n n ππππππππ==--⎧⋅⋅⋅⎪⎪-==⎨--⎪⋅⋅⎪-⎩⎰⎰⎰⎰⎰⎰ 常用结论,为正偶自然数为大于的正奇数,2(sin )(1)(sin )(cos )f x dxf x f x π+⎰2π⎰101020sin cos (2)4sin cos x x dx x x π---⎰、2(3)ln sin xdx π⎰ 320sin (4)1cos x xdx x π+⎰2220sin (5),sin cos n n n n x x I dx n N x x π+=∈+⎰计算 640(6)sin cos x x xdxπ⎰[]2(7)(),,()()sin ,()1cos xf x f x f x xdx f x x ππππ--=++⎰设在上连续且满足求1210011(8)(1)x dx--⎰求0(9)n π⎰2sin (10)()sin ,().x t xF x e tdt F x A B C D π+=⎰则是()正常数负常数恒为零不是常数例6 利用适当变量代换计算积分4(1)ln(1)tgx dx π+⎰120ln(1)(2)1x dx x ++⎰ 200(3)sin n x xdx π⎰20(4)(1)(1)dxx x α+∞++⎰求例7(其它)22(1)()[0,]()cos ()()2f x f x x x f t dt f x ππ=+⎰、设在上连续,且,求212(2)()()2()()f x x x f x dx f x dx f x =-+⎰⎰设,求120(3)()()arcsin(1),(01),()y y x y x x x y x dx '==-≤≤⎰设满足求22011(4)()(2)arctan ,(1)1,()2x f x tf x t dt x f f x dx -==⎰⎰、设连续,且满足求的值2200cos sin cos (5),,(2)1x x xdx A dx x x ππ=++⎰⎰已知:求220(6)()ln(12cos )(),()F a a x a dx F a F a π=-+-⎰设,求(2)(),()a xay a y f x edy f x dx --=⎰⎰(7)、设求1(8)(1)m n x x dx -⎰例8、计算下列广义积分(基本题)2(1),1dxx +∞-∞+⎰1(2),e 2ln (3),1xdx x+∞+⎰51(4)1(5)cos(ln ),x dx ⎰例9(1)0)pt te dt p p +∞->⎰(是常数,且2(2).(1)xx xe dx e +∞--+⎰例10、计算下列广义积分(广义积分变量代换例)3(1)23202ln(1)(2)(1)x x dx x +∞++⎰22200200.cos sin (1)(1)1sin sin (2),()2x x xdx A A dx x x x x dx dxx x π+∞+∞+∞+∞++=⎰⎰⎰⎰例11已知广义积分收敛于,试用表示广义积分的值已知求 经典例题例1求21limn n→∞ . 解将区间[0,1]n 等分,则每个小区间长为1i x n∆=,然后把2111n n n =⋅的一个因子1n 乘入和式中各项.于是将所求极限转化为求定积分.即21limn n →∞+ =1lim n n →∞+ =34=⎰.例20⎰=_________.解法1 由定积分的几何意义知,0⎰等于上半圆周22(1)1x y -+= (0y ≥)与x 轴所围成的图形的面积.故0⎰=2π. 解法2 本题也可直接用换元法求解.令1x -=sin t (22t ππ-≤≤),则⎰=22tdt ππ-⎰=2tdt =2202cos tdt π⎰=2π例3 比较12x e dx ⎰,212x e dx ⎰,12(1)x dx +⎰.解法1在[1,2]上,有2x x e e ≤.而令()(1)x f x e x =-+,则()1x f x e '=-.当0x >时,()0f x '>,()f x 在(0,)+∞上单调递增,从而()(0)f x f >,可知在[1,2]上,有1x e x >+.又1221()()f x dx f x dx =-⎰⎰,从而有2111222(1)x x x dx e dx e dx +>>⎰⎰⎰.解法2 在[1,2]上,有2xx e e ≤.由泰勒中值定理212!xe e x x ξ=++得1x e x >+.注意到1221()()f x dx f x dx =-⎰⎰.因此2111222(1)x x x dx e dx e dx +>>⎰⎰⎰.例4 估计定积分22xxe dx -⎰的值.解设 2()xxf x e -=, 因为 2()(21)xxf x e x -'=-, 令()0f x '=,求得驻点12x =, 而 0(0)1f e ==, 2(2)f e =, 141()2f e -=,故124(),[0,2]ef x e x -≤≤∈,从而21224022xxee dx e --≤≤⎰,所以21024222x xe edx e ---≤≤-⎰.例5设()f x ,()g x 在[,]a b 上连续,且()0g x ≥,()0f x >.求lim (ban g x →∞⎰.解 由于()f x 在[,]a b 上连续,则()f x 在[,]a b 上有最大值M 和最小值m .由()0f x >知0M >,0m >.又()0g x ≥,则()b ag x dx (b ag x ≤⎰()bag x dx ≤.由于1n n =,故lim (ban g x →∞⎰=()bag x dx ⎰.例6求sin lim n pnn xdx x+→∞⎰, ,p n 为自然数. 解法1 利用积分中值定理 设 sin ()xf x x=, 显然()f x 在[,]n n p +上连续, 由积分中值定理得 sin sin n p n x dx p x ξξ+=⋅⎰, [,]n n p ξ∈+, 当n →∞时, ξ→∞, 而sin 1ξ≤, 故sin sin lim lim 0n pnn x dx p xξξξ+→∞→∞=⋅=⎰.解法2 利用积分不等式 因为sin sin 1ln n pn p n p nn n x x n pdx dx dx x x x n++++≤≤=⎰⎰⎰, 而limln0n n pn→∞+=,所以 sin lim 0n pnn xdx x+→∞=⎰. 例7求10lim 1nn x dx x→∞+⎰.解法1 由积分中值定理 ()()()()bbaaf xg x dx f g x dx ξ=⎰⎰可知101nx dx x +⎰=111n x dx ξ+⎰,01ξ≤≤.又11lim lim01n n n x dx n →∞→∞==+⎰且11121ξ≤≤+, 故10lim 01n n x dx x→∞=+⎰. 解法2 因为01x ≤≤,故有01nn x x x≤≤+.于是可得110001nn x dx x dx x ≤≤+⎰⎰.又由于110()1n x dx n n =→→∞+⎰. 因此10lim 1nn x dx x→∞+⎰=0. 例8设函数()f x 在[0,1]上连续,在(0,1)内可导,且3414()(0)f x dx f =⎰.证明在(0,1)内存在一点c ,使()0f c '=.证明 由题设()f x 在[0,1]上连续,由积分中值定理,可得3413(0)4()4()(1)()4f f x dx f f ξξ==-=⎰,其中3[,1][0,1]4ξ∈⊂.于是由罗尔定理,存在(0,)(0,1)c ξ∈⊂,使得()0f c '=.证毕.例9(1)若22()x t x f x e dt -=⎰,则()f x '=___;(2)若0()()xf x xf t dt =⎰,求()f x '=___.()()()[()]()[()]()v x u x d f t dt f v x v x f u x u x dx ''=-⎰.解 (1)()f x '=422x x xe e ---;(2)由于在被积函数中x 不是积分变量,故可提到积分号外即0()()xf x x f t dt =⎰,则可得()f x '=0()()xf t dt xf x +⎰.例10 设()f x 连续,且31()x f t dt x -=⎰,则(26)f =_________.解 对等式310()x f t dt x -=⎰两边关于x 求导得32(1)31f x x -⋅=,故321(1)3f x x -=,令3126x -=得3x =,所以1(26)27f =. 例11函数1()(3(0)x F x dt x =>⎰的单调递减开区间为_________.解()3F x'=,令()0F x '<3>,解之得109x <<,即1(0,)9为所求. 例12求0()(1)arctan xf x t tdt =-⎰的极值点.解()f x '(1)arctan x x -()f x '0得1x =,0x =.列表如下:故1x =为()f x 的极大值点,0x =为极小值点.例13已知两曲线()y f x =与()y g x =在点(0,0)处的切线相同,其中 2arcsin 0()x t g x e dt -=⎰,[1,1]x ∈-,试求该切线的方程并求极限3lim ()n nf n→∞.解由已知条件得20(0)(0)0t f g e dt -===⎰,且由两曲线在(0,0)处切线斜率相同知(0)(0)1f g =''===.故所求切线方程为y x =.而3()(0)3lim ()lim33(0)330n n f f n nf f n n →∞→∞-'=⋅==-. 例14 求 22000sin lim(sin )x x xtdtt t t dt→-⎰⎰;解22000sin lim (sin )x x xtdtt t t dt→-⎰⎰=2202(sin )lim (1)(sin )x x x x x x →-⋅⋅-=220()(2)lim sin x x x x →-⋅-=304(2)lim 1cos x x x →-⋅-=2012(2)lim sin x x x→-⋅=0.注 此处利用等价无穷小替换和多次应用洛必达法则.例15试求正数a 与b,使等式201lim1sin x x x b x →=-⎰成立.解2001lim sin x x x b x →-⎰=20x →=20lim 1cos x x x b x →→-2011cos x x b x →==-, 由此可知必有0lim(1cos )0x b x →-=,得1b =.又由2011cos x x x →==-, 得4a =.即4a =,1b =为所求. 例16设sin 20()sin x f x t dt =⎰,34()g x x x =+,则当0x →时,()f x 是()g x 的( ).A .等价无穷小.B .同阶但非等价的无穷小.C .高阶无穷小.D .低阶无穷小. 解法1由于 22300()sin(sin )cos lim lim ()34x x f x x xg x x x →→⋅=+2200cos sin(sin )lim lim34x x x x x x →→=⋅+ 22011lim 33x x x →==. 故()f x 是()g x 同阶但非等价的无穷小.选B . 解法2 将2sin t 展成t 的幂级数,再逐项积分,得到sin 223370111()[()]sin sin 3!342xf x t t dt x x =-+=-+⎰ , 则344340001111sin (sin )sin ()1342342lim lim lim ()13x x x x x x f x g x x x x →→→-+-+===++. 例17证明:若函数()f x 在区间[,]a b 上连续且单调增加,则有()baxf x dx ⎰()2baa b f x dx +≥⎰.证法1 令()F x =()()2xxa a a x tf t dt f t dt +-⎰⎰,当[,]t a x ∈时,()()f t f x ≤,则 ()F x '=1()()()22x a a x xf x f t dt f x +--⎰=1()()22xax a f x f t dt --⎰≥1()()22x a x a f x f x dt --⎰=()()22x a x a f x f x ---0=. 故()F x 单调增加.即 ()()F x F a ≥,又()0F a =,所以()0F x ≥,其中[,]x a b ∈. 从而()F b =()()2bba a ab xf x dx f x dx +-⎰⎰0≥.证毕. 证法2 由于()f x 单调增加,有()[()()]22a b a bx f x f ++--0≥,从而 ()[()()]22baa b a bx f x f dx ++--⎰0≥. 即()()2baa b x f x dx +-⎰()()22b a a b a b x f dx ++≥-⎰=()()22b a a b a bf x dx ++-⎰=0.故()baxf x dx ⎰()2baa b f x dx +≥⎰. 例18计算21||x dx -⎰.分析被积函数含有绝对值符号,应先去掉绝对值符号然后再积分. 解21||x dx -⎰=021()x dx xdx --+⎰⎰=220210[][]22x x --+=52.注在使用牛顿-莱布尼兹公式时,应保证被积函数在积分区间上满足可积条件.如33222111[]6dx x x --=-=⎰,则是错误的.错误的原因则是由于被积函数21x在0x =处间断且在被积区间内无界.例19 计算220max{,}x x dx ⎰.分析 被积函数在积分区间上实际是分段函数212()01x x f x x x ⎧<≤=⎨≤≤⎩. 解23212221201011717max{,}[][]23236x x x x dx xdx x dx =+=+=+=⎰⎰⎰例20设()f x 是连续函数,且10()3()f x x f t dt =+⎰,则()________f x =. 解 因()f x 连续,()f x 必可积,从而1()f t dt ⎰是常数,记1()f t dt a =⎰,则()3f x x a =+,且11(3)()x a dx f t dt a +==⎰⎰.所以2101[3]2x ax a +=,即132a a +=, 从而14a =-,所以 3()4f x x =-.例21 设23, 01()52,12x x f x x x ⎧≤<=⎨-≤≤⎩,0()()x F x f t dt =⎰,02x ≤≤,求()F x , 并讨论()F x 的连续性.解 (1)求()F x 的表达式.()F x 的定义域为[0,2].当[0,1]x ∈时,[0,][0,1]x ⊂, 因此23300()()3[]xxxF x f t dt t dt t x ====⎰⎰.当(1,2]x ∈时,[0,][0,1][1,]x x = , 因此, 则1201()3(52)xF x t dt t dt =+-⎰⎰=31201[][5]xt t t +-=235x x -+-, 故32, 01()35,12x x F x x x x ⎧≤<⎪=⎨-+-≤≤⎪⎩. (2) ()F x 在[0,1)及(1,2]上连续, 在1x =处,由于211lim ()lim(35)1x x F x x x ++→→=-+-=, 311lim ()lim 1x x F x x --→→==, (1)1F =. 因此, ()F x 在1x =处连续, 从而()F x 在[0,2]上连续.例22 计算21-⎰.由于积分区间关于原点对称,因此首先应考虑被积函数的奇偶性.解21-⎰=211--+⎰⎰.由于2是偶函数,而是奇函数,有10-=⎰, 于是21-⎰=214⎰=04⎰=1044dx-⎰⎰由定积分的几何意义可知4π=⎰, 故2114444dxππ-=-⋅=-⎰⎰.例23计算3412ee⎰.解3412ee⎰=34e3412ee⎰=⎰=3412ee=6π.例24计算4sin1sinxdxxπ+⎰.解4sin1sinxdxxπ+⎰=42sin(1sin)1sinx xdxxπ--⎰=244200sintancosxdx xdxxππ-⎰⎰=244200cos(sec1)cosd xx dxxππ---⎰⎰=44001[][tan]cosx xxππ--=24π-注此题为三角有理式积分的类型,也可用万能代换公式来求解,请读者不妨一试.例25计算2a⎰,其中0a>.解2a⎰=20a⎰,令sinx a a t-=,则2a⎰=3222(1sin)cosa t tdtππ-+⎰=3222cos0a tdtπ+⎰=32aπ.注 ,一般令sin x a t =或cos x a t =. 例26 计算a⎰,其中0a >.解法1 令sin x a t =,则a⎰2cos sin cos tdt t tπ=+⎰201(sin cos )(cos sin )2sin cos t t t t dt t t π++-=+⎰ 201(sin cos )[1]2sin cos t t dt t tπ'+=++⎰ []201ln |sin cos |2t t t π=++=4π. 解法2 令sin x a t =,则a⎰=2cos sin cos tdt t tπ+⎰.又令2t u π=-,则有20cos sin cos t dt t t π+⎰=20sin sin cos u du u u π+⎰.所以,a⎰22001sin cos []2sin cos sin cos t t dt dt t tt t ππ+++⎰⎰=2012dt π⎰=4π. 注 如果先计算不定积分,再利用牛顿-莱布尼兹公式求解,则比较复杂,由此可看出定积分与不定积分的差别之一.例27计算ln 0⎰.解设u =2ln(1)x u =+,221udx du u =+,则ln 0⎰=22220(1)241u u u du u u +⋅=++⎰22222200442244u u du du u u +-=++⎰⎰ 222001284du du u =-=+⎰⎰4π-.例28 计算220()xd tf x t dt dx -⎰,其中()f x 连续.分析 要求积分上限函数的导数,但被积函数中含有x ,因此不能直接求导,必须先换元使被积函数中不含x ,然后再求导.解由于220()xtf x t dt -⎰=2221()2x f x t dt -⎰. 故令22x t u -=,当0t =时2u x =;当t x =时0u =,而2dt du =-,所以220()xtf x t dt -⎰=201()()2x f u du -⎰=201()2x f u du ⎰, 故220()x d tf x t dt dx -⎰=201[()]2x d f u du dx ⎰=21()22f x x ⋅=2()xf x . 错误解答220()xd tf x t dt dx -⎰22()(0)xf x x xf =-=. 错解分析这里错误地使用了变限函数的求导公式,公式()()()xad x f t dt f x dx 'Φ==⎰中要求被积函数()f t 中不含有变限函数的自变量x ,而22()f x t -含有x ,因此不能直接求导,而应先换元.例29 计算30sin x xdx π⎰.解30sin x xdx π⎰30(cos )xd x π=-⎰330[(cos )](cos )x x x dx ππ=⋅---⎰30cos 6xdx ππ=-+⎰6π=-.例30 计算120ln(1)(3)x dx x +-⎰. 解 120ln(1)(3)x dx x +-⎰=101ln(1)()3x d x+-⎰=1100111[ln(1)]3(3)(1)x dx x x x +-⋅--+⎰ =101111ln 2()2413dx x x -++-⎰11ln 2ln324=-. 例31计算20sin x e xdx π⎰.解由于2sin xe xdx π⎰20sin xxde π=⎰220[sin ]cos xx e x e xdx ππ=-⎰220cos x e e xdx ππ=-⎰, (1) 而20cos xe xdx π⎰20cos xxde π=⎰220[cos ](sin )xx e x e x dx ππ=-⋅-⎰20sin 1x e xdx π=-⎰, (2) 将(2)式代入(1)式可得20sin xe xdx π⎰220[sin 1]x e e xdx ππ=--⎰,故20sin xe xdx π⎰21(1)2e π=+.例32 计算10arcsin x xdx ⎰.解10arcsin x xdx ⎰210arcsin ()2x xd =⎰221100[arcsin ](arcsin )22x x x d x =⋅-⎰ 21142π=-⎰. (1) 令sin x t =,则21⎰220sin t π=⎰220sin cos cos ttdt tπ=⋅⎰220sin tdt π=⎰201cos 22t dt π-==⎰20sin 2[]24t t π-4π=. (2)将(2)式代入(1)式中得1arcsin x xdx =⎰8π. 例33设()f x 在[0,]π上具有二阶连续导数,()3f π'=且0[()()]cos 2f x f x xdx π''+=⎰,求(0)f '. 解 由于0[()()]cos f x f x xdx π''+⎰0()sin cos ()f x d x xdf x ππ'=+⎰⎰[]000{()sin ()sin }{[()cos ]()sin }f x x f x xdx f x x f x xdx ππππ'''=-++⎰⎰()(0)2f f π''=--=.故 (0)f '=2()235f π'--=--=-. 例34(97研)设函数()f x 连续,1()()x f xt dt ϕ=⎰,且0()limx f x A x→=(A 为常数), 求()x ϕ'并讨论()x ϕ'在0x =处的连续性.分析 求()x ϕ'不能直接求,因为10()f xt dt ⎰中含有()x ϕ的自变量x ,需要通过换元将x从被积函数中分离出来,然后利用积分上限函数的求导法则,求出()x ϕ',最后用函数连续的定义来判定()x ϕ'在0x =处的连续性.解 由0()limx f x A x→=知0lim ()0x f x →=,而()f x 连续,所以(0)0f =,(0)0ϕ=.当0x ≠时,令u xt =,0t =,0u =;1t =,u x =.1dt du x =,则()()xf u du x xϕ=⎰,从而02()()()(0)xxf x f u dux x xϕ-'=≠⎰.又因为02()()(0)()limlimlim22xx x x f u du x f x A x xx ϕϕ→→→-===-⎰,即(0)ϕ'=2A.所以 ()x ϕ'=02()(),0,02x xf x f u du x x Ax ⎧-⎪≠⎪⎨⎪=⎪⎩⎰. 由于22000()()()()lim ()limlim limxxx x x x xf x f u duf u du f x x xx x ϕ→→→→-'==-⎰⎰=(0)2A ϕ'=. 从而知()x ϕ'在0x =处连续.注 这是一道综合考查定积分换元法、对积分上限函数求导、按定义求导数、讨论函数在一点的连续性等知识点的综合题.而有些读者在做题过程中常会犯如下两种错误: (1)直接求出2()()()xxf x f u dux xϕ-'=⎰,而没有利用定义去求(0)ϕ',就得到结论(0)ϕ'不存在或(0)ϕ'无定义,从而得出()x ϕ'在0x =处不连续的结论.(2)在求0lim ()x x ϕ→'时,不是去拆成两项求极限,而是立即用洛必达法则,从而导致()()()1lim ()lim ().22x x xf x f x f x x f x x ϕ→→'+-''==又由0()limx f x A x→=用洛必达法则得到0lim ()x f x →'=A ,出现该错误的原因是由于使用洛必达法则需要有条件:()f x 在0x =的邻域内可导.但题设中仅有()f x 连续的条件,因此上面出现的0lim ()x f x →'是否存在是不能确定的.例35(00研)设函数()f x 在[0,]π上连续,且()0f x dx π=⎰,0()cos 0f x xdx π=⎰.试证在(0,)π内至少存在两个不同的点12,ξξ使得12()()0f f ξξ==.分析 本题有两种证法:一是运用罗尔定理,需要构造函数0()()xF x f t dt =⎰,找出()F x的三个零点,由已知条件易知(0)()0F F π==,0x =,x π=为()F x 的两个零点,第三个零点的存在性是本题的难点.另一种方法是利用函数的单调性,用反证法证明()f x 在(0,)π之间存在两个零点.证法1 令0()(),0xF x f t dt x π=≤≤⎰,则有(0)0,()0F F π==.又00()cos cos ()[cos ()]()sin f x xdx xdF x xF x F x xdx ππππ==+⎰⎰⎰()sin 0F x xdx π==⎰,由积分中值定理知,必有(0,)ξπ∈,使得()sin F x xdx π⎰=()sin (0)F ξξπ⋅-.故()sin 0F ξξ=.又当(0,),sin 0ξπξ∈≠,故必有()0F ξ=. 于是在区间[0,],[,]ξξπ上对()F x 分别应用罗尔定理,知至少存在1(0,)ξξ∈,2(,)ξξπ∈,使得12()()0F F ξξ''==,即12()()0f f ξξ==.证法2 由已知条件0()0f x dx π=⎰及积分中值定理知必有10()()(0)0f x dx f πξπ=-=⎰,1(0,)ξπ∈,则有1()0f ξ=.若在(0,)π内,()0f x =仅有一个根1x ξ=,由0()0f xd x π=⎰知()f x 在1(0,)ξ与1(,)ξπ内异号,不妨设在1(0,)ξ内()0f x >,在1(,)ξπ内()0f x <,由()cos 0f x xdx π=⎰,0()0f x dx π=⎰,以及cos x 在[0,]π内单调减,可知:100()(cos cos )f x x dx πξ=-⎰=11110()(cos cos )()(cos cos )f x x dx f x x dx ξπξξξ-+-⎰⎰0>.由此得出矛盾.故()0f x =至少还有另一个实根2ξ,12ξξ≠且2(0,)ξπ∈使得 12()()0.f f ξξ==例36计算243dxx x +∞++⎰.分析 该积分是无穷限的的反常积分,用定义来计算.解2043dx x x +∞++⎰=20lim 43t t dx x x →+∞++⎰=0111lim ()213t t dx x x →+∞-++⎰ =011lim [ln ]23t t x x →+∞++=111lim (ln ln )233t t t →+∞+-+ =ln 32. 例37计算3+∞⎰.解3+∞⎰2233sec tan sec tan d ππθθθθθ+∞=⎰⎰23cos 1d ππθθ==⎰ 例38计算42⎰分析 该积分为无界函数的反常积分,且有两个瑕点,于是由定义,当且仅当32)⎰43⎰解 由于32⎰32lim aa +→⎰32lim aa +→⎰=32lim[arcsin(3)]a a x +→-=2π.43⎰34lim bb -→⎰34lim bb -→⎰=34lim[arcsin(3)]b b x -→-=2π. 所以42⎰22πππ=+=.例39计算0+∞⎰.分析 此题为混合型反常积分,积分上限为+∞,下限0为被积函数的瑕点. 解t ,则有+∞⎰=50222(1)tdt t t +∞+⎰=50222(1)dt t +∞+⎰,再令tan t θ=,于是可得5022(1)dt t +∞+⎰=25022tan (tan 1)d πθθ+⎰=2250sec sec d πθθθ⎰=230sec d πθθ⎰ =320cos d πθθ⎰=220(1sin )cos d πθθθ-⎰=220(1sin )sin d πθθ-⎰=3/21[sin sin ]3πθθ-=23. 例40计算21⎰. 解 由于221112111())d x x x +-==⎰⎰⎰,可令1t x x=-,则当x =时,t =;当0x -→时,t →+∞;当0x +→时,t →-∞;当1x =时,0t =;故有21010211()()12()d x d x x x x x--=+-⎰⎰⎰022dt t +∞-∞=++⎰⎰1arctan )2π=+ . 注 有些反常积分通过换元可以变成非反常积分,如例32、例37、例39;而有些非反常积分通过换元却会变成反常积分,如例40,因此在对积分换元时一定要注意此类情形.例41求由曲线12y x =,3y x =,2y =,1y =所围成的图形的面积. 分析 若选x 为积分变量,需将图形分割成三部分去求,如图5-1所示,此做法留给读者去完成.下面选取以y 为积分变量. 解选取y 为积分变量,其变化范围为[1,2]y ∈,则面积元素为dA =1|2|3y y dy -=1(2)3y y dy -. 于是所求面积为211(2)3A y y dy =-⎰=52. 例42抛物线22y x =把圆228x y +=分成两部分,求这两部分面积之比.解 抛物线22y x =与圆228x y +=的交点分别为(2,2)与(2,2)-,如图所示5-2所示,抛物线将圆分成两个部分1A ,2A ,记它们的面积分别为1S ,2S ,则有图5-21S =222)2y dy -⎰=24488cos 3d ππθθ--⎰=423π+,218S A π=-=463π-,于是12S S =423463ππ+-=3292ππ+-.例43 求心形线1cos ρθ=+与圆3cos ρθ=所围公共部分的面积.分析 心形线1cos ρθ=+与圆3cos ρθ=的图形如图5-3所示.由图形的对称性,只需计算上半部分的面积即可. 解求得心形线1cos ρθ=+与圆3cos ρθ=的交点为(,)ρθ=3(,)23π±,由图形的对称性得心形线1cos ρθ=+与圆3cos ρθ=所围公共部分的面积为图5-3A =223203112[(1cos )(3cos )]22d d πππθθθθ++⎰⎰=54π. 3πθ=3cos ρθ=3211-o11-1cos θ+例44求曲线ln y x =在区间(2,6)内的一条切线,使得该切线与直线2x =,6x =和曲线ln y x =所围成平面图形的面积最小(如图5-4所示).分析 要求平面图形的面积的最小值,必须先求出面积的表达式.解 设所求切线与曲线ln y x =相切于点(,ln )c c ,则切线方程为1ln ()y c x c c-=-.又切线与直线2x =,6x =和曲线ln y x =所围成的平面图形的面积为图5-4A =621[()ln ln ]x c c x dx c -+-⎰=44(1)4ln 46ln62ln 2c c-++-+.由于dA dc =2164c c-+=24(4)c c --,令0dA dc =,解得驻点4c =.当4c <时0dA dc<,而当4c >时0dAdc >.故当4c =时,A 取得极小值.由于驻点唯一.故当4c =时,A 取得最小值.此时切线方程为: 11ln 44y x =-+. 例45求圆域222()x y b a +-≤(其中b a >)绕x 轴旋转而成的立体的体积.解 如图5-5所示,选取x 为积分变量,得上半圆周的方程为2y b =下半圆周的方程为1y b =图5-5则体积元素为dV =2221()y y dx ππ-=4π.于是所求旋转体的体积为V=4ab π-⎰=08b π⎰=284a b ππ⋅=222a b π.注 可考虑选取y 为积分变量,请读者自行完成.例46(03研)过坐标原点作曲线ln y x =的切线,该切线与曲线ln y x =及x 轴围成平面图形D .(1)求D 的面积A ;(2)求D 绕直线x e =旋转一周所得旋转体的体积V . 分析 先求出切点坐标及切线方程,再用定积分求面积A ,旋转体积可用大的立体体积减去小的立体体积进行图5-6计算,如图5-6所示.解(1)设切点横坐标为0x ,则曲线ln y x =在点00(,ln )x x 处的切线方程是0001ln ()y x x x x =+-. 由该切线过原点知0ln 10x -=,从而0x e =,所以该切线的方程是1y x e=.从而D 的面积10()12y eA e ey dy =-=-⎰. (2)切线1y x e =与x 轴及直线x e =围成的三角形绕直线x e =旋转所得的旋转体积为2113V e π=,曲线ln y x =与x 轴及直线x e =围成的图形绕直线x e =旋转所得的旋转体积为1222011()(2)22y V e e dy e e ππ=-=-+-⎰.因此,所求体积为212(5123)6V V V e e π=-=-+.例47有一立体以抛物线22y x =与直线2x =所围成的图形为底,而垂直于抛物线的轴的截面都是等边三角形,如图5-7所示.求其体积.解 选x 为积分变量且[0,2]x ∈.过x 轴上坐标为x 的点作垂直于x 轴的平面,与立体相截的截面为等边三角形,其底边长为得等边三角形的面积为图5-7()A x 2=. 于是所求体积为 V =2()A x dx ⎰=2⎰=.例48(03研)某建筑工程打地基时,需用汽锤将桩打进土层,汽锤每次击打,都将克服土层对桩的阻力而作功,设土层对桩的阻力的大小与桩被打进地下的深度成正比(比例系数为k ,0k >),汽锤第一次击打进地下a (m ),根据设计方案,要求汽锤每次击打桩时所作的功与前一次击打时所作的功之比为常数r (01r <<).问: (1)汽锤打桩3次后,可将桩打进地下多深?(2)若击打次数不限,汽锤至多能将桩打进地下多深?(注:m 表示长度单位米) 分析 本题属于变力作功问题,可用定积分来求.解 (1)设第n 次击打后,桩被打进地下n x ,第n 次击打时,汽锤所作的功为n W (1n =,2,).由题设,当桩被打进地下的深度为x 时,土层对桩的阻力的大小为kx ,所以12211022x k k W kxdx x a ===⎰,2122222211()()22x x k kW kxdx x x x a ==-=-⎰.由21W rW =得22221x x ra -=,即 222(1)x r a =+,3222223323()[(1)]22x x k kW kxdx x x x r a ==-=-+⎰.由2321W rW r W == 得22223(1)x r a r a -+=,即 2223(1)x r r a =++.从而汽锤击打3次后,可将桩打进地下3x =m ).(2)问题是要求lim n n x →∞,为此先用归纳法证明:1n x +=.假设n x ,则12211()2n nx n n n x k W kxdx x x +++==-⎰2121[(1...)]2n n kx r r a -+=-+++.由2111...n n n n W rW r W r W +-====,得21221(1...)n n n x r r a r a -+-+++=.从而1n x +.于是1lim n n n x +→∞=.()m .例49有一等腰梯形水闸.上底为6米,下底为2米,高为10米.试求当水面与上底相接时闸门所受的水压力.解 建立如图5-8所示的坐标系,选取x 为积分变量.则过点(0,3)A ,(10,1)B 的直线方程为135y x =-+.于是闸门上对应小区间[,]x x dx +的窄条所承受的水压力为2dF xy gdx ρ=.故闸门所受水压力为F =10012(3)5g x x dx ρ-+⎰=5003g ρ,其中ρ为水密度,g 为重力加速度.图5-8。
定积分典型例题20例答案欧阳歌谷(2021.02.01)例1 求3321lim )n n n→∞+.分析 将这类问题转化为定积分主要是确定被积函数和积分上下限.若对题目中被积函数难以想到,可采取如下方法:先对区间[0,1]n 等分写出积分和,再与所求极限相比较来找出被积函数与积分上下限.解 将区间[0,1]n 等分,则每个小区间长为1i x n∆=,然后把2111n n n=⋅的一个因子1n乘入和式中各项.于是将所求极限转化为求定积分.即3321lim)n n n →∞+=31lim )n n n n →∞+=34=⎰.例2⎰=_________.解法 1 由定积分的几何意义知,0⎰等于上半圆周22(1)1x y -+= (0y ≥)与x 轴所围成的图形的面积.故0⎰=2π.解法 2 本题也可直接用换元法求解.令1x -=sin t(22t ππ-≤≤),则0⎰=22tdt ππ-⎰=2tdt =2202cos tdt π⎰=2π 例3 (1)若22()x t xf x e dt -=⎰,则()f x '=___;(2)若0()()xf x xf t dt =⎰,求()f x '=___.分析 这是求变限函数导数的问题,利用下面的公式即可()()()[()]()[()]()v x u x d f t dt f v x v x f u x u x dx ''=-⎰.解 (1)()f x '=422xxxe e ---;(2) 由于在被积函数中x 不是积分变量,故可提到积分号外即0()()xf x x f t dt =⎰,则可得()f x '=0()()xf t dt xf x +⎰.例4 设()f x 连续,且31()x f t dt x -=⎰,则(26)f =_________.解 对等式31()x f t dt x -=⎰两边关于x 求导得32(1)31f x x -⋅=,故321(1)3f x x -=,令3126x -=得3x =,所以1(26)27f =. 例5函数1()(3(0)xF x dt x =->⎰的单调递减开区间为_________.解()3F x '=()0F x '<3>,解之得109x <<,即1(0,)9为所求.例6 求0()(1)arctan xf x t tdt =-⎰的极值点. 解 由题意先求驻点.于是()f x '=(1)arctan x x -.令()f x '=0,得x 故1x =为()f x 的极大值点,0x =为极小值点.例7 已知两曲线()y f x =与()y g x =在点(0,0)处的切线相同,其中2arcsin 0()x t g x e dt -=⎰,[1,1]x ∈-,试求该切线的方程并求极限3lim ()n nf n→∞.分析 两曲线()y f x =与()y g x =在点(0,0)处的切线相同,隐含条件(0)(0)f g =,(0)(0)f g ''=.解 由已知条件得2(0)(0)0t f g e dt -===⎰,且由两曲线在(0,0)处切线斜率相同知(0)(0)1f g =''===.故所求切线方程为y x =.而3()(0)3lim ()lim33(0)330n n f f n nf f n n→∞→∞-'=⋅==-. 例8 求 22000sin lim(sin )x x xtdtt t t dt→-⎰⎰;分析 该极限属于00型未定式,可用洛必达法则.解 22000sin lim (sin )x x xtdtt t t dt→-⎰⎰=2202(sin )lim (1)(sin )x x x x x x →-⋅⋅-=220()(2)limsin x x x x→-⋅-=304(2)lim 1cos x x x→-⋅-=2012(2)limsin x x x→-⋅=0.注 此处利用等价无穷小替换和多次应用洛必达法则. 例9 试求正数a 与b,使等式201lim1sin x x x b x →=-⎰成立. 分析 易见该极限属于00型的未定式,可用洛必达法则.解2001lim sin x x x b x →-⎰=20x →=20lim 1cos x x x b x →→-2011cos x x b x →==-,由此可知必有0lim(1cos )0x b x →-=,得1b =.又由2011cos x x x →==-, 得4a =.即4a =,1b =为所求. 例10 设sin 20()sin x f x t dt=⎰,34()g x x x =+,则当0x →时,()f x 是()g x 的( ).A .等价无穷小.B .同阶但非等价的无穷小.C .高阶无穷小. D .低阶无穷小.解法1 由于 22300()sin(sin )cos lim lim()34x x f x x xg x x x →→⋅=+ 22011lim 33x x x →==. 故()f x 是()g x 同阶但非等价的无穷小.选B .解法2 将2sin t 展成t 的幂级数,再逐项积分,得到sin 223370111()[()]sin sin 3!342x f x t t dt x x =-+=-+⎰,则344340001111sin (sin )sin ()1342342lim lim lim ()13x x x x x x f x g x x x x→→→-+-+===++. 例11 计算21||x dx -⎰.分析 被积函数含有绝对值符号,应先去掉绝对值符号然后再积分.解 21||x dx -⎰=0210()x dx xdx --+⎰⎰=220210[][]22x x --+=52.注 在使用牛顿-莱布尼兹公式时,应保证被积函数在积分区间上满足可积条件.如33222111[]6dx x x --=-=⎰,则是错误的.错误的原因则是由于被积函数21x 在0x =处间断且在被积区间内无界.例12 设()f x 是连续函数,且10()3()f x x f t dt =+⎰,则()________f x =.分析 本题只需要注意到定积分()baf x dx⎰是常数(,a b 为常数).解 因()f x 连续,()f x 必可积,从而10()f t dt ⎰是常数,记1()f t dt a =⎰,则()3f x x a =+,且11(3)()x a dx f t dt a +==⎰⎰.所以2101[3]2x ax a +=,即132a a +=,从而14a =-,所以 3()4f x x =-.例13 计算21-⎰.分析 由于积分区间关于原点对称,因此首先应考虑被积函数的奇偶性.解 21-⎰=211--+⎰⎰.由于2是偶是奇函数,有10-=⎰, 于是21-⎰=214⎰=04⎰=1044dx -⎰⎰ 由定积分的几何意义可知4π=⎰, 故2114444dx ππ-=-⋅=-⎰⎰.例14 计算220()xd tf x t dt dx -⎰,其中()f x 连续. 分析 要求积分上限函数的导数,但被积函数中含有x ,因此不能直接求导,必须先换元使被积函数中不含x ,然后再求导.解 由于220()xtf x t dt -⎰=22201()2xf x t dt -⎰.故令22x t u -=,当0t =时2u x =;当t x =时0u =,而2dt du =-,所以220()xtf x t dt -⎰=201()()2x f u du -⎰=201()2x f u du ⎰,故220()x d tf x t dt dx -⎰=201[()]2x d f u du dx ⎰=21()22f x x ⋅=2()xf x . 错误解答220()xd tf x t dt dx -⎰22()(0)xf x x xf =-=. 错解分析 这里错误地使用了变限函数的求导公式,公式 中要求被积函数()f t 中不含有变限函数的自变量x ,而22()f x t -含有x ,因此不能直接求导,而应先换元.例15 计算30sin x xdx π⎰.分析 被积函数中出现幂函数与三角函数乘积的情形,通常采用分部积分法.解 30sin x xdx π⎰30(cos )xd x π=-⎰330[(cos )](cos )x x x dx ππ=⋅---⎰30cos 6xdx ππ=-+⎰6π=. 例16 计算120ln(1)(3)x dx x +-⎰.分析 被积函数中出现对数函数的情形,可考虑采用分部积分法.解 120ln(1)(3)x dx x +-⎰=101ln(1)()3x d x+-⎰=1100111[ln(1)]3(3)(1)x dx x x x +-⋅--+⎰=101111ln 2()2413dx x x-++-⎰ 11ln 2ln324=-. 例17 计算20sin x e xdx π⎰.分析 被积函数中出现指数函数与三角函数乘积的情形通常要多次利用分部积分法.解 由于20sin xe xdx π⎰20sin xxde π=⎰220[sin ]cos xx e x e xdx ππ=-⎰220cos x e e xdx ππ=-⎰,(1)而20sin 1x e xdx π=-⎰, (2)将(2)式代入(1)式可得20sin xe xdx π⎰220[sin 1]x e e xdx ππ=--⎰,故20sin xe xdx π⎰21(1)2e π=+.例18 计算10arcsin x xdx ⎰.分析 被积函数中出现反三角函数与幂函数乘积的情形,通常用分部积分法.解 10arcsin x xdx ⎰210arcsin ()2x xd =⎰221100[arcsin ](arcsin )22x x x d x =⋅-⎰21142π=-⎰. (1)令sin x t =,则201cos22t dt π-==⎰20sin 2[]24t t π-4π=. (2) 将(2)式代入(1)式中得1arcsin x xdx =⎰8π.例19设()f x [0,]π上具有二阶连续导数,()3f π'=且[()()]cos 2f x f x xdx π''+=⎰,求(0)f '.分析 被积函数中含有抽象函数的导数形式,可考虑用分部积分法求解.解 由于0[()()]cos f x f x xdx π''+⎰0()sin cos ()f x d x xdf x ππ'=+⎰⎰()(0)2f f π''=--=.故 (0)f '=2()235f π'--=--=-. 例20 计算2043dxx x +∞++⎰.分析 该积分是无穷限的的反常积分,用定义来计算. 解 2043dx x x +∞++⎰=20lim 43t t dx x x →+∞++⎰=0111lim ()213t t dx x x →+∞-++⎰=011lim [ln ]23t t x x →+∞++=111lim (ln ln )233t t t →+∞+-+ =ln 32.。
定积分及其应用题一 题面:求由曲线2(2)y x =+与x 轴,直线4y x =-所围成的平面图形的面积. 答案:323.变式训练一题面:函数f (x )=错误!的图象与x 轴所围成的封闭图形的面积为( ) A.错误! B .2 C .3D .4答案:D. 详解:画出分段函数的图象,如图所示,则该图象与x 轴所围成的封闭图形的面积为错误!×2×2+∫错误!02cos x d x =2+2sin x 错误!=4.变式训练二 题面:由直线y =2x 及曲线y =3-x 2围成的封闭图形的面积为( ) A .2错误! B .9-2错误! C.错误!D 。
错误!答案: 详解:注意到直线y =2x 与曲线y =3-x 2的交点A ,B 的坐标分别是(-3,-6),(1,2),因此结合图形可知,由直线y =2x 与曲线y =3-x 2围成的封闭图形的面积为错误!(3-x 2-2x )d x =错误!错误!=3×1-错误!×13-12-错误!错误!=错误!,选D.题二 题面:如图所示,在边长为1的正方形OABC 中任取一点P ,则点P 恰好取自阴影部分的概率为( ).A .14B .错误!C .错误!D .错误!变式训练一题面:函数f (x )=sin(ωx +φ)的导函数y =f ′(x )的部分图象如图所示,其中,P 为图象与y 轴的交点,A ,C 为图象与x 轴的两个交点,B 为图象的最低点.若在曲线段ABC 与x 轴所围成的区域内随机取一点,则该点在△ABC 内的概率为________.答案:错误!. 详解:设A(x0,0),则ωx0+φ=错误!,∴x0=错误!-错误!.又y=ωcos(ωx+φ)的周期为错误!,∴|AC|=错误!,C错误!。
依题意曲线段错误!与x轴围成的面积为S=-∫错误!-错误!+错误!错误!-错误!ωcos(ωx+φ)d x=2。
∵|AC|=πω,|y B|=ω,∴S△ABC=错误!.∴满足条件的概率为错误!.变式训练二题面:(2012•福建)如图所示,在边长为1的正方形OABC中任取一点P,则点P恰好取自阴影部分的概率为()A.B.C.D.答案:C.详解:根据题意,正方形OABC的面积为1×1=1,而阴影部分由函数y=x与y=围成,其面积为∫01(﹣x)dx=(﹣)|01=,则正方形OABC中任取一点P,点P取自阴影部分的概率为=;故选C.金题精讲题一题面:(识图求积分,二星)已知二次函数y=f(x)的图象如图所示,则它与x轴所围图形的面积为().A.错误!B.错误!C.错误!D.错误!答案:变式训练一题面:如图求由两条曲线y =-x 2,y =-错误!x 2及直线y =-1所围成的图形的面积.答案:错误!。
一、选择题1. 设连续函数f (x )>0,则当a <b 时,定积分⎠⎛a bf (x )d x 的符号( ) A .一定是正的 B .一定是负的C .当0<a <b 时是正的,当a <b <0时是负的D .以上结论都不对解析: 由⎠⎛a bf (x )d x 的几何意义及f (x )>0,可知⎠⎛a b f (x )d x 表示x =a ,x =b ,y =0与y =f (x )围成的曲边梯形的面积.∴⎠⎛ab f (x )d x >0.答案:A 2. 若22223,,sin a x dx b x dx c xdx ===⎰⎰⎰,则a ,b ,c 的大小关系是( )A .a <c <bB .a <b <cC .c <b <aD .c <a <b解析:a =13x 3 |20=83,b =14x 4 |20=4,c =-cos x |20=1-cos2,∴c <a <b . 答案:D3. 求曲线y =x 2与y =x 所围成图形的面积,其中正确的是( )A .S =⎠⎛01(x 2-x )d xB .S =⎠⎛01(x -x 2)d xC .S =⎠⎛01(y 2-y )d yD .S =⎠⎛01(y -y )d y[答案] B[解析] 两函数图象的交点坐标是(0,0),(1,1),故积分上限是1,下限是0,由于在[0,1]上,x ≥x 2,故函数y =x 2与y =x 所围成图形的面积S =⎠⎛01(x -x 2)d x .4.11(sin 1)x dx -+⎰的值为( )A. 2B.0C.22cos1+D. 22cos1- 【答案】A 【解析】[][]1111(sin 1)cos (cos11)cos(1)12x dx x x --+=-+=-+----=⎰5. 由曲线22y x x =+与直线y x =所围成的封闭图形的面积为 ( )A .16B .13C .56D .23【答案】 A由22,x x x +=解得两个交点坐标为(-1,0)和(0,0), 利用微积分的几何含义可得封闭图形的面积为:23201111111((2)()|().32326S x x x dx x x --=-+=--=--=⎰ 二、填空题6. 已知f (x )=⎠⎛0x(2t -4)d t ,则当x ∈[-1,3]时,f (x )的最小值为________.解析: f (x )=⎠⎛0x(2t -4)d t =(t 2-4t )| x 0=x 2-4x =(x -2)2-4(-1≤x ≤3),∴当x =2时,f (x )min =-4.答案: -47. 一物体以v (t )=t 2-3t +8(m/s)的速度运动,在前30 s 内的平均速度为________. 解析:由定积分的物理意义有:s =3020(38)t t dt -+⎰=(13t 3-32t 2+8t )|300=7890(m).∴v =s t =789030=263(m/s).答案:263 m/s 三、解答题8.求下列定积分:(1)⎠⎛12⎝⎛⎭⎫x -x 2+1x d x ;(2)(cos e )d x x x π-⎰+;(3)⎠⎛49x (1+x )d x ;(4)⎠⎛0πcos 2x 2d x .解析: (1)⎠⎛12⎝⎛⎭⎫x -x 2+1x d x =⎠⎛12x d x -⎠⎛12x 2d x +⎠⎛121x d x =x 22| 21-x 33| 21+ln x |21=32-73+ln 2=ln 2-56. (2)(cos e )d x x x π-⎰+=00cosxd e d x x x ππ--+⎰⎰=sin x ||0-π+e x 0-π=1-1eπ. (3)⎠⎛49x (1+x )d x =⎠⎛49(x 12+x )d x =⎪⎪⎝⎛⎭⎫23x 32+12x 249=23×932-23×432+12×92-12×42=4516. (4)⎠⎛πcos 2x 2d x =⎠⎛0π1+cos x 2d x =12x |0π+12sin x |0π=π2.9. 已知函数f (x )=x 3+ax 2+bx +c 的图象如图:直线y =0在原点处与函数图象相切,且此切线与函数图象所围成的区域(阴影)面积为274,求f (x ).解:由f (0)=0得c =0, f ′(x )=3x 2+2ax +b . 由f ′(0)=0得b =0, ∴f (x )=x 3+ax 2=x 2(x +a ),由∫-a 0[-f (x )]d x =274得a =-3. ∴f (x )=x 3-3x 2.10.已知f (x )为二次函数,且f (-1)=2,f ′(0)=0,⎠⎛01f (x )d x =-2. (1)求f (x )的解析式;(2)求f (x )在[-1,1]上的最大值与最小值. 解析: (1)设f (x )=ax 2+bx +c (a ≠0), 则f ′(x )=2ax +b .由f (-1)=2,f ′(0)=0,得⎩⎪⎨⎪⎧ a -b +c =2b =0,即⎩⎪⎨⎪⎧c =2-ab =0.∴f (x )=ax 2+(2-a ).又⎠⎛01f (x )d x =⎠⎛01[ax 2+(2-a )]d x=⎣⎡⎦⎤13ax 3+(2-a )x | 10=2-23a =-2, ∴a =6,∴c =-4. 从而f (x )=6x 2-4.(2)∵f (x )=6x 2-4,x ∈[-1,1], 所以当x =0时,f (x )min =-4; 当x =±1时,f (x )max =2.B 卷:5+2+2一、选择题1. 已知f (x )为偶函数且61(),2f x dx =⎰则66()f x dx -⎰等于( )A .2B .4C .1D .-1解析:∵f (x )为偶函数,∴661()(),2f x dx f x dx -==⎰⎰∴6660()2() 1.f x dx f x dx -==⎰⎰答案:C2. (改编题)A . 3 B. 4 C. 3.5 D. 4.5 【答案】C【解析】2220202101102,0()2,()(2)(2)(2)|(2)|2,02232 3.5.2x x x x f x x f x dx x dx x dx x x x x ----≥⎧=-=∴=++-=++-⎨+<⎩=+=⎰⎰⎰3. 已知函数y =x 2与y =kx (k >0)的图象所围成的阴影部分的面积为92,则k 等于( )A .2B .1C .3D .4答案:C解析:由⎩⎪⎨⎪⎧y =x2y =kx 消去y 得x 2-kx =0,所以x =0或x =k ,则阴影部分的面积为 ∫k 0(kx -x 2)d x =(12kx 2-13x 3) |k 0=92. 即12k 3-13k 3=92,解得k =3. 4. 一物体在力F (x )=⎩⎪⎨⎪⎧10 (0≤x ≤2)3x +4 (x >2)(单位:N)的作用下沿与力F 相同的方向,从x=0处运动到x =4(单位:m)处,则力F (x )作的功为( )A .44B .46C .48D .50解析: W =⎠⎛04F (x )d x =⎠⎛0210d x +⎠⎛24(3x +4)d x =10x | 20+⎝⎛⎭⎫32x 2+4x | 42=46.答案:B5. 函数()x f 满足()00=f ,其导函数()x f '的图象如下图,则()x f 的图象与x 轴所围成的A .31 B .34 C .2 D .38 【答案】B【解析】由导函数()x f '的图像可知,函数()x f 为二次函数,且对称轴为1,x =-开口方向向上,设函数2()(0),(0)0,0.()2,f x ax bx c a f c f x ax b '=++>=∴==+因过点(-1,0)与(0,2),则有2(1)0,202,1, 2.a b a b a b ⨯-+=⨯+=∴==2()2f x x x ∴=+, 则()x f 的图象与x 轴所围成的封闭图形的面积为232032-22114(2)()|=2)(2).333S x x dx x x -=--=--⨯+-=⎰(- 二、填空题6.(改编题)设20lg ,0(),3,0ax x f x x t dt x >⎧⎪=⎨+≤⎪⎩⎰若((1))1,f f =则a 为 。
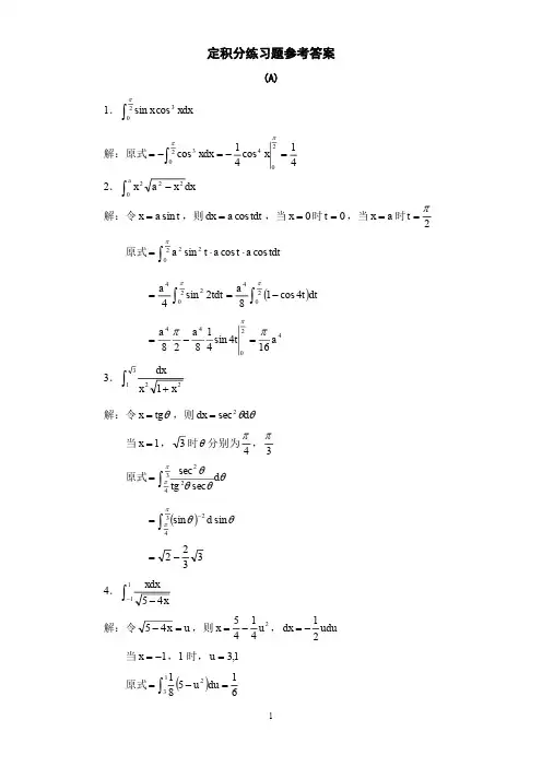
定积分典型例题20例答案例 1 求 Iim 42(3n τ 32n^ JH 3n 3).n厂n分析将这类问题转化为定积分主要是确定被积函数和积分上下限. 若对题目中被积函数难以想到,可采取如下方法:先对区间 [0, 1] n 等分写出积分和,再与所求极限相比较来找出被积函数与积分上下限•解 将区间[0, 1] n 等分,则每个小区间长为.* ,然后把1的一个因子-乘n n n nn入和式中各项•于是将所求极限转化为求定积分•即Iim A (V n 4 5+⅛2n 2切|+卅)=1计气卩弋F + 山 +;F )=[坏dx=3 •n -r ,n n n I n∖ n 042 -----------------2例 2 [J 2x —xdx= ______________•2 ry解法1由定积分的几何意义知, 0J 2x —X 2dx 等于上半圆周(x —1)2+y 2=1 ( y ≥0)与X 轴所围成的图形的面积.故$ 2χ 一χ2d χ= •■■02解法2本题也可直接用换元法求解.令x_1 = Sint (丄兰t ≤三),则2 2这是求变限函数导数的问题,禾U 用下面的公式即可d V(X)— f (t)dt = f[v(x)]v(x) - f[u(x)]u (X) • dxU(X )丄2-e;可得.Xf (X) = 0f (t)dt Xf(X) •X 3丄解 对等式;f(t)dt =x 两边关于X 求导得3 2f (x -1) 3x =1,4_..1 —sin 2tcostdt =2 :、1 —sin 2tcostdt2522例3(1)若f (x) e 丄Xdt ,则 f (X) =— ; (2)若 f(x)=Xxf (t)dt ,求 f (X )=— •■:'≡. 2 -= 2 02COs tdt=- 分析(2) 由于在被积函数中 X 不是积分变量,故可提到积分号外即Xf (X)=X Of (t)dt ,则V(X) 例4设f (x)连续,且X 3 -1O f (t)dt =X ,贝U f(26)=------ 2-XdX =例7已知两曲线y =f (X)与y =g(χ)在点(0,0)处的切线相同,其中arcs inx 十2g(x) = 0e dt , X [-1,1],试求该切线的方程并求极限Iim nf (-3). n 性 n分析 两曲线y =f(χ)与y =g(χ)在点(0,0)处的切线相同,隐含条件 f (0^g (0).解由已知条件得12X 2= (2) Iim =0 .x-⅛ Si nx注此处利用等价无穷小替换和多次应用洛必达法则.故 f(x 3-1)=13X 2 3 1,令X 46得x=3 ,所以f(26)冷1例5函数F(x) = j (3 _4)dt (x >0)的单调递减开区间为F(X)= 31 1 1x ,令F(X z O 得X 3 ,解之得。
定积分典型例题20例答案例1求lim 丄(循2丁2『L Vn 3) •n n分析将这类问题转化为定积分主要是确定被积函数和积分上下限. 若对题目中被积函数难以想到,可采取如下方法:先对区间 [0, 1] n 等分写出积分和,再与所求极限相比较来找出被积函数与积分上下限.解 将区间[0, 1] n 等分,则每个小区间长为 % -,然后把1丄的一个因子-乘nn n nn入和式中各项•于是将所求极限转化为求定积分•即lim A (习n 2 ^2n 2 LVn 3) = lim -(^—L ^—) = VXdx - • n nnnn,n ,n ° 42 -- ------ r例 2o (2x x dx = ___________• 2 . ________解法1由定积分的几何意义知, °. 2x x 2dx 等于上半圆周(x 1)2 y 2 1 ( y 0)与x 轴所围成的图形的面积.故2,2x x 2dx = _ • 0 2'1 sin 2tcostdt = 2。
2J sin 2t costdt =2 : cos 2 tdt^22x 2 2x例 3 (1)若 f (x) x e 七 dt ,则 f (x) = ________; (2)若 f (x) 0 xf (t)dt ,求 f (x)=分析这是求变限函数导数的问题,利用下面的公式即可(1) f (x) =2xe x e x可得xf (x) = 0 f (t)dt xf (x) •x 1例 4 设 f(x)连续,且。
f(t)dt x ,贝U f (26) = _________________O Ax 1解 对等式0 f(t)dtx 两边关于x 求导得3 2f(x 1) 3x 1,解法2本题也可直接用换元法求解.令x 1= Sint (2 t 2),则d v(x)dx u(x)f(t)dt f[v(x)]v(x) f[u(x)]u (x) • (2) 由于在被积函数中x 不是积分变量,故可提到积分号外即xf (x) x 0 f (t)dt ,则x 2dx =3 1 令x 1 26得x 3,所以f (26)27故f(x 3 1) 丄3x 例5函数F(x)F (x)1 1,令F (x) 0得r 3,解之得xx1 10 x -,即(0,-)为所求.9 9f (x)x0 (1 t)arctan tdt 的极值点.f (x) = (1 x)arctan x .令 f (x) = 0,得 x 1 , x 0.列表如下:x(,0)0 (0,1) 1(1,)f (x)-0 +f (x)的极大值例7已知两曲线y f (x)与y g(x)在点(0,0)处的切线相同,其中arcs inxg(x) 0t 2e dt , x [ 1,1],试求该切线的方程并求极限 lim nf (?).n n分析两曲线y f (x)与y g(x)在点(0,0)处的切线相同,隐含条件f(0) g(0),f (0)g (0) •解由已知条件得f(0)g(0)°e " dt且由两曲线在(0,0)处切线斜率相同知f (0)g(0)(arcsin x)2e1 x 2故所求切线方程为 y x .而lim nf (-) n nIim3nf(-) n3 0 nf(0) 一 3f (0) 3 •x 22sin tdtlim 0;x 0分析 该极限属于型未定式,可用洛必达法则. 0X 22sin tdt lim ------------------ = lim = ( 2) lim= ( 2)x 0:t (t sin t)dt x 0( 1) x (x sinx) 、7 x 0x sinx ' 丿2x(sin x 2)22 2(x ) 34x(x 0)的单调递减开区间为x 1(3点,x 0为极小值点.由题意先求驻点.于是12x=(2) lim =0 . x 0sinx注此处利用等价无穷小替换和多次应用洛必达法则.1 x t 2例9 试求正数a 与b ,使等式lim -------------------- dt 1成立.x 0x bsin x 0 ‘ ―t 2分析 易见该极限属于 0型的未定式,可用洛必达法则.1 x 2lim.a x 01 bcosx21 x lim3x 0x 2故f(x)是g(x)同阶但非等价的无穷小.2例11计算1|x|dx .分析 被积函数含有绝对值符号,应先去掉绝对值符号然后再积分.2 220 2x 0 x 251|x|dx = 1( x)dx 0xdx = [ y] 1 [y]0 =-.在使用牛顿-莱布尼兹公式时,应保证被积函数在积分区间上满足可积条件.如[-]32丄,则是错误的.错误的原因则是由于被积函数 」2在x 0处间断且在被x 6 x 2lim__ x 0x bsin x 0 . a 2x_ _t 「dt = lim _— =lim 1f 2 x 01 bcosx x op x 2x 2limx 01 bcosx由此可知必有 lim(1 bcosx) 0,得 b 1 .又由得a 4 .即a 4 , si nx1xlim a x 01 cosxb 1为所求. 例10设f (x)sin t 2dt , g(x) x 3 x 4,则当0 时,f (x)是 g(x)的( ). A .等价无穷小.B .同阶但非等价的无穷小.解法1由于lim 型 lim si 门伽浪)cosxx 0g(x) x 0C .高阶无穷小.D .低阶无穷小.mo Hx3x 2 4x 3cosx3 4xmo Hxsin (sin x)x解法2 将sin t 2展成t 的幕级数, 1 2 3 3!(t)f (x) 0 sin x 2 [t 2 再逐项积分,得到1 si n 42L ]dt 1 . 3 一 sin xlim 少 x 0g(x).31sin x(- lim -1 . 4sin x 4234x x1 lim -x 01 ■ 4 . sin x L 42 1 xUdx x积区间内无界 例12设f(x)是连续函数,且f(x) 1x 3 0 f(t)dt ,则 f (x)所以 分析本题只需要注意到定积分因f (x)连续,f (x)必可积,从而a 1—,所以 4例13 计算12x21 分析 bf (x)dx 是常数(a, b 为常数).从而f (x) x 3a ,且f(x) x1 21[―X 2 3ax]0 23 2 .10 f (t)dt 是常数,记 10 f (t)dt a ,则1 o(x3a)dx3a a ,x dx. 1 1 x 2由于积分区间关于原点对称,因此首先应考虑被积函数的奇偶性. I 2x 2 x ------ dx = II 1 x 2 I 2x 2----- dxII .1 x 2 ___ dx .由于 11 1 x 2一是偶函数,而 1 1 x 2 旦古函数, 是奇 2 x 111=dx 2 x0,I2x 2 xII1 x 2dx = 4 由定积分的几何意义可知 例14计算肿(x 2 011 x 20 1x 2dx 1 2x 2 1 dx = 4 1x 2 (11x 2) 0x _= dx 1 1 x 2t 2)dt ,其中 分析 要求积分上限函数的导数, 元使被积函数中不含 ,然后再求导. 由于 x 2 otf(xx 2dx = 4 dx 4;FVdx故令x 2xdx 01 4 dx 0 f(x)连续. 但被积函数中含有 x ,因此不能直接求导,必须先换2 1 x2 2 2t )dt = 2 0f(x t )dt .2 20时u x ;当t x 时u 0,而dtx2 2 1tf(x t)dt=;222d 1 x tf(x t)dt= dx [2 0x 2f (U)( du)=idu ,所以x 2f (u)du ,f (u)du] =£ f(x 2) 2x = xf (x 2).错误解答 — tf(x 2 t 2)dtxf(x 2 x 2) xf(O).dx 0错解分析这里错误地使用了变限函数的求导公式,公式d x(x) a f (t)dt f (x)dx a中要求被积函数f(t)中不含有变限函数的自变量 x ,而f (x 2 t 2)含有x ,因此不能直接求导,而应先换元. 15 计算 3 xsinxdx .分析 被积函数中出现幕函数与三角函数乘积的情形,通常采用分部积分法.=1ln21 In3 .417计算2e si nxdx .分析 被积函数中出现指数函数与三角函数乘积的情形通常要多次利用分部积分法. 解 由于 02e x sin xdx;sin xde x [e x sinx]〕2e x cosxdxe^2e x cos xdx ,(1)而02 *cosxdx2cos xde x[e x cosx](?o2e x ( sin x)dx2e x sin xdx 01 , (2)将(2)式代入(1)式可得?e x s in xdx e 2[2 e x sin xdx 1],故2 e xsin xdx1 ~2-(e 2 1). 21例 18 计算 xarcsinxdx .解 3 xs in xdx 3 xd(0 0 '3cosx) [x ( COSX )]oo3( cos x) dx616计算0兽dx .3cosxdx¥ 6分析被积函数中出现对数函数的情形,可考虑采用分部积分法.1x)d(-3 xJdx= 1ln(1 0(3 x)2'1Fln(1x)】1(3 x) (1 x)dx1 In2 21 xarcsin xdx分析被积函数中含有抽象函数的导数形式,可考虑用分部积分法求解. 解 由于 0 [ f (x) f (x)]cos xdx 0 f (x)d sinxcosxdf (x){ f (x)sin x 00 f (x)sin xd" {[ f (x)cosx]° 0f (x)sin xd 冷f ( ) f (0) 2 .故 f (0) 2 f ( )2 3分析 该积分是无穷限的的反常积分,用定义来计算.解 dxtdx1 t 11 解2= lim 2= lim ()dxx 4x 3 t 0 x 4x 3 t 2 0 x 1 x 31 x 1 t 1 t 1 1 =lim [In ]0= lim (In In ) t2 x3 t 2 t 3 3分析 被积函数中出现反三角函数与幕函数乘积的情形,通常用分部积分法.1解xarcs in xdx1x20arcsinxd (一2x1[ arcsinx]。
定积分典型例题例1 求21limn n→∞+.分析 将这类问题转化为定积分主要是确定被积函数和积分上下限.若对题目中被积函数难以想到,可采取如下方法:先对区间[0,1]n等分写出积分和,再与所求极限相比较来找出被积函数与积分上下限.解 将区间[0,1]n等分,则每个小区间长为1ix n∆=,然后把2111nn n=⋅的一个因子1n乘入和式中各项.于是将所求极限转化为求定积分.即21limn n→∞+++=1limn n→∞+=034=⎰.例2 0⎰=_________.解法1 由定积分的几何意义知,0⎰等于上半圆周22(1)1x y -+=(0y≥)与x 轴所围成的图形的面积.故0⎰=2π.解法2 本题也可直接用换元法求解.令1x -=sin t (22t ππ-≤≤),则⎰=22tdt ππ-⎰=2tdt=2202cos tdt π⎰=2π例3 比较12xe dx⎰,212xe dx⎰,12(1)x dx+⎰.分析 对于定积分的大小比较,可以先算出定积分的值再比较大小,而在无法求出积分值时则只能利用定积分的性质通过比较被积函数之间的大小来确定积分值的大小.解法1 在[1,2]上,有2xxe e≤.而令()(1)xf x e x =-+,则()1xf x e'=-.当0x >时,()0f x '>,()f x 在(0,)+∞上单调递增,从而()(0)f x f >,可知在[1,2]上,有1xe x >+.又1221()()f x dx f x dx =-⎰⎰,从而有2111222(1)xxx dx e dx e dx+>>⎰⎰⎰.解法2 在[1,2]上,有2xxe e≤.由泰勒中值定理212!xeex xξ=++得1x e x >+.注意到1221()()f x dx f x dx =-⎰⎰.因此2111222(1)xxx dx e dx e dx+>>⎰⎰⎰.例4 估计定积分202x xedx-⎰的值.分析 要估计定积分的值, 关键在于确定被积函数在积分区间上的最大值与最小值. 解 设 2()x xf x e-=, 因为2()(21)xxf x ex -'=-, 令()0f x '=,求得驻点12x =,而(0)1f e ==, 2(2)f e=,141()2f e -=,故124(),[0,2]ef x e x -≤≤∈,从而2122422x xeedx e--≤≤⎰,所以21024222x xe edx e---≤≤-⎰.例5 设()f x ,()g x 在[,]a b 上连续,且()0g x ≥,()0f x >.求l i m ()ba n g x→∞⎰.解 由于()f x 在[,]a b 上连续,则()f x 在[,]a b 上有最大值M 和最小值m .由()0f x >知0M>,0m >.又()0g x ≥,则()bag x dx (b ag x ≤⎰()b ag x dx ≤.由于limlim1n n →∞→∞==,故lim(b an g x →∞⎰=()bag x dx ⎰.例6求sin lim n pnn x dxx+→∞⎰,,p n为自然数.分析 这类问题如果先求积分然后再求极限往往很困难,解决此类问题的常用方法是利用积分中值定理与夹逼准则.解法1 利用积分中值定理 设sin ()x f x x=, 显然()f x 在[,]n n p +上连续, 由积分中值定理得sin sin n p nx dx pxξξ+=⋅⎰,[,]n n p ξ∈+,当n →∞时,ξ→∞, 而sin 1ξ≤, 故sin sin limlimn p nn x dx p xξξξ+→∞→∞=⋅=⎰.解法2 利用积分不等式 因为sin sin 1lnn p n p n p nnnx x n p dx dx dx xxxn++++≤≤=⎰⎰⎰,而lim lnn n p n→∞+=,所以sin limn p nn x dx x+→∞=⎰.例7 求1lim1nn xdxx→∞+⎰.解法1 由积分中值定理 ()()()()bbaaf xg x dx f g x dxξ=⎰⎰可知101nxdx x+⎰=1011nx dx ξ+⎰,01ξ≤≤.又101limlim1nn n x dx n →∞→∞==+⎰且11121ξ≤≤+,故10lim1nn xdx x→∞=+⎰.解法2 因为01x ≤≤,故有01nnxxx≤≤+.于是可得11001nnxdx x dxx≤≤+⎰⎰.又由于1010()1nx dx n n =→→∞+⎰.因此10lim1nn xdxx→∞+⎰=0.例8 设函数()f x 在[0,1]上连续,在(0,1)内可导,且3414()(0)f x dx f =⎰.证明在(0,1)内存在一点c,使()0f c '=.分析 由条件和结论容易想到应用罗尔定理,只需再找出条件()(0)f f ξ=即可.证明 由题设()f x 在[0,1]上连续,由积分中值定理,可得313(0)4()4()(1)()4f f x d x f f ξξ==-=⎰,其中3[,1][0,1]4ξ∈⊂.于是由罗尔定理,存在(0,)(0,1)c ξ∈⊂,使得()0f c '=.证毕. 例9 (1)若22()x txf x edt-=⎰,则()f x '=___;(2)若0()()xf x x ftd t =⎰,求()f x '=___.分析 这是求变限函数导数的问题,利用下面的公式即可()()()[()]()[()]()v x u x d f t dt f v x v x f u x u x dx''=-⎰.解 (1)()f x '=422x xxee ---;(2) 由于在被积函数中x不是积分变量,故可提到积分号外即0()()xf x x f t dt=⎰,则可得()f x '=0()()xf t dt xf x +⎰.例10 设()f x 连续,且31()x f t dt x-=⎰,则(26)f =_________.解 对等式31()x f t dt x-=⎰两边关于x 求导得32(1)31f x x -⋅=,故321(1)3f x x-=,令3126x -=得3x =,所以1(26)27f =.例11函数1()(3(0)xF x dt x =->⎰的单调递减开区间为_________.解()3F x '=-,令()0F x '<3>,解之得109x <<,即1(0,)9为所求.例12 求()(1)arctan x f x t tdt=-⎰的极值点.解 由题意先求驻点.于是()f x '=(1)arctan x x -.令()f x '=0,得1x =,0x =.列故1x =为()f x 的极大值点,0x =为极小值点.例13 已知两曲线()y f x =与()y g x =在点(0,0)处的切线相同,其中2arcsin 0()x tg x edt-=⎰,[1,1]x ∈-,试求该切线的方程并求极限3lim ()n nf n→∞.分析 两曲线()y f x =与()y g x =在点(0,0)处的切线相同,隐含条件(0)(0)f g =,(0)(0)f g ''=.解 由已知条件得200(0)(0)0tf g edt -===⎰,且由两曲线在(0,0)处切线斜率相同知(0)(0)1f g =''===.故所求切线方程为y x =.而3()(0)3lim ()lim 33(0)330n n f f n nf f nn→∞→∞-'=⋅==-.例14 求2200sin lim(sin )x x xtdtt t t dt→-⎰⎰;分析 该极限属于00型未定式,可用洛必达法则. 解 2200sin lim(sin )x x xtdtt t t dt→-⎰⎰=222(sin )lim (1)(sin )x x x x x x →-⋅⋅-=22()(2)limsin x x x x→-⋅-=34(2)lim1cos x xx→-⋅-=212(2)limsin x xx→-⋅=0.注 此处利用等价无穷小替换和多次应用洛必达法则. 例15 试求正数a 与b,使等式21lim1sin x x x b x→=-⎰成立.分析 易见该极限属于00型的未定式,可用洛必达法则.解21limsin x x x b x→-⎰=2lim1cos x b x→-=2lim lim1cos x x xb x→→-211cos x xb x→==-,由此可知必有0lim (1cos )0x b x →-=,得1b =.又由211cos x xx→==-,得4a =.即4a =,1b =为所求.例16 设sin 2()sin x f x t dt=⎰,34()g x x x=+,则当0x →时,()f x 是()g x 的( ).A .等价无穷小.B .同阶但非等价的无穷小.C .高阶无穷小.D .低阶无穷小.解法1 由于 223()sin(sin )cos limlim()34x x f x x xg x x x→→⋅=+22cos sin(sin )lim lim 34x x x x x x→→=⋅+2211lim33x x x→==. 故()f x 是()g x 同阶但非等价的无穷小.选B .解法2 将2sin t 展成t 的幂级数,再逐项积分,得到sin 22337111()[()]sin sin 3!342x f x t t dt x x =-+=-+⎰,则3443401111sin (sin )sin ()1342342limlimlim ()13x x x x x x f x g x x xx→→→-+-+===++.例17 证明:若函数()f x 在区间[,]a b 上连续且单调增加,则有()b axf x dx ⎰()2b aa b f x dx+≥⎰.证法1 令()F x =()()2xx a aa x tf t dt f t dt +-⎰⎰,当[,]t a x ∈时,()()f t f x ≤,则()F x '=1()()()22x aa x xf x f t dt f x +--⎰=1()()22x ax a f x f t dt--⎰≥1()()22x ax a f x f x dt --⎰=()()22x a x a f x f x ---0=.故()F x 单调增加.即 ()()F x F a ≥,又()0F a =,所以()0F x ≥,其中[,]x a b ∈.从而()F b =()()2bb aaa b xf x dx f x dx +-⎰⎰≥.证毕.证法2 由于()f x 单调增加,有()[()()]22a b a b x f x f ++--0≥,从而()[()()]22ba ab a bx f x fdx ++--⎰0≥.即()()2b aa b x f x dx +-⎰()()22b aa b a b x f dx++≥-⎰=()()22baa b a b f x dx++-⎰=0.故()b axf x dx ⎰()2b aa b f x dx+≥⎰.例18 计算21||x dx -⎰.分析 被积函数含有绝对值符号,应先去掉绝对值符号然后再积分. 解 21||x dx-⎰=021()x dx xdx--+⎰⎰=22021[][]22xx--+=52.注 在使用牛顿-莱布尼兹公式时,应保证被积函数在积分区间上满足可积条件.如33222111[]6dx xx--=-=⎰,则是错误的.错误的原因则是由于被积函数21x在0x =处间断且在被积区间内无界. 例19 计算22max{,}x x dx⎰.分析 被积函数在积分区间上实际是分段函数212()01x x f x x x ⎧<≤=⎨≤≤⎩.解 23212221210011717m ax{,}[][]23236xxxx dx xdx x dx =+=+=+=⎰⎰⎰例20 设()f x 是连续函数,且1()3()f x x f t dt=+⎰,则()________f x =.分析 本题只需要注意到定积分()b af x d x⎰是常数(,a b 为常数).解 因()f x 连续,()f x 必可积,从而10()f t dt ⎰是常数,记10()f t dt a=⎰,则()3f x x a =+,且110(3)()x a dx f t dt a+==⎰⎰.所以2101[3]2x ax a +=,即132a a+=,从而14a=-,所以3()4f x x =-.例21 设23, 01()52,12x x f x x x ⎧≤<=⎨-≤≤⎩,0()()x F x f t dt=⎰,02x ≤≤,求()F x , 并讨论()F x 的连续性.分析 由于()f x 是分段函数, 故对()F x 也要分段讨论.解 (1)求()F x 的表达式.()F x 的定义域为[0,2].当[0,1]x ∈时,[0,][0,1]x ⊂,因此23300()()3[]x x xF x f t dt t dt t x====⎰⎰.当(1,2]x ∈时,[0,][0,1][1,]x x = , 因此, 则121()3(52)xF x t dt t dt=+-⎰⎰=31201[][5]xt t t +-=235x x -+-,故32, 01()35,12x x F x x x x ⎧≤<⎪=⎨-+-≤≤⎪⎩. (2) ()F x 在[0,1)及(1,2]上连续,在1x =处,由于211lim ()lim (35)1x x F x x x ++→→=-+-=, 311lim ()lim 1x x F x x --→→==, (1)1F =.因此,()F x 在1x =处连续, 从而()F x 在[0,2]上连续.错误解答 (1)求()F x 的表达式, 当[0,1)x ∈时,23300()()3[]x x x F x f t dt t dt t x====⎰⎰.当[1,2]x ∈时,有()()x F x f t dt ==⎰(52)x t dt-⎰=25x x -.故由上可知32, 01()5,12x x F x x x x ⎧≤<⎪=⎨-≤≤⎪⎩.(2) ()F x 在[0,1)及(1,2]上连续, 在1x =处,由于211lim ()lim (5)4x x F x x x ++→→=-=,311lim ()lim 1x x F x x --→→==, (1)1F =.因此,()F x 在1x =处不连续, 从而()F x 在[0,2]上不连续.错解分析 上述解法虽然注意到了()f x 是分段函数,但(1)中的解法是错误的,因为当[1,2]x ∈时,0()()x F x f t dt=⎰中的积分变量t 的取值范围是[0,2],()f t 是分段函数,101()()()()x xF x f t dt f t dt f t dt==+⎰⎰⎰才正确.例22 计算21-⎰.分析 由于积分区间关于原点对称,因此首先应考虑被积函数的奇偶性. 解 21-⎰=211--+⎰⎰.2是偶函数,是奇函数,有10-=⎰, 于是21-⎰=214⎰=04x⎰=1044dx -⎰⎰由定积分的几何意义可知04π=⎰, 故2114444dx ππ-=-⋅=-⎰⎰.例23 计算341e e⎰分析 被积函数中含有1x及ln x ,考虑凑微分.解 3412e e⎰=34e 3412e e⎰=⎰=341[2e e =6π.例24 计算40sin 1sin x dxxπ+⎰.解 40s i n 1s i nx dxx π+⎰=420sin (1sin )1sin x x dxxπ--⎰=244200sin tan cos x dx xdxxππ-⎰⎰=244200cos (sec 1)cos d x x dxxππ---⎰⎰=44001[][tan ]cos x x xππ--=24π-+注 此题为三角有理式积分的类型,也可用万能代换公式来求解,请读者不妨一试.例25 计算20a⎰,其中0a >.解 20a⎰=20a ⎰,令sin x a a t -=,则2a ⎰=3222(1sin )cos a t tdt ππ-+⎰=32202cos 0a tdt π+⎰=32a π.注 ,一般令sin x a t =或cos x a t =.例26 计算a⎰,其中0a >.解法1 令sin x a t =,则a ⎰20cos sin cos t dtt t π=+⎰201(sin cos )(cos sin )2sin cos t t t t dtt tπ++-=+⎰201(s i n c o s )[1]2s i n c o st t dt t t π'+=++⎰[]201ln |sin cos |2t t t π=++=4π.解法2 令sin x a t =,则a ⎰=20cos sin cos t dtt tπ+⎰.又令2t uπ=-,则有20cos sin cos t dtt tπ+⎰=20sin sin cos u duu uπ+⎰.所以,a ⎰=2201sin cos []2sin cos sin cos t t dt dt t tt tππ+++⎰⎰=2012dtπ⎰=4π.注 如果先计算不定积分⎰,再利用牛顿-莱布尼兹公式求解,则比较复杂,由此可看出定积分与不定积分的差别之一.例27 计算ln 53e +⎰.分析 被积函数中含有根式,不易直接求原函数,考虑作适当变换去掉根式.解 设u =2ln(1)x u =+,221u dx duu =+,则ln 03e +⎰=2222(1)241u u u du u u +⋅=++⎰222222442244uu du duu u +-=++⎰⎰2221284du du u =-=+⎰⎰4π-.例28 计算22()x dtf x t dtdx-⎰,其中()f x 连续.分析 要求积分上限函数的导数,但被积函数中含有x ,因此不能直接求导,必须先换元使被积函数中不含x ,然后再求导.解 由于22()x tf x t dt -⎰=2221()2x f x t dt -⎰.故令22x t u -=,当0t =时2ux=;当t x =时0u =,而2dt du=-,所以22()x tf x t dt -⎰=201()()2xf u du -⎰=21()2xf u du⎰,故22()x dtf x t dtdx-⎰=21[()]2x d f u du dx⎰=21()22f x x⋅=2()xf x .错误解答22()x dtf x t dt dx-⎰22()(0)xf x x xf =-=.错解分析 这里错误地使用了变限函数的求导公式,公式()()()x ad x f t dt f x dx'Φ==⎰中要求被积函数()f t 中不含有变限函数的自变量x ,而22()f x t -含有x,因此不能直接求导,而应先换元.例29 计算30sin x xdx π⎰.分析 被积函数中出现幂函数与三角函数乘积的情形,通常采用分部积分法.解 3s i n x x d xπ⎰30(c o s )x d x π=-⎰33[(c o s)](c o s )x x x d x ππ=⋅---⎰3c o s 6x d x ππ=-+⎰26π=-.例30 计算12ln(1)(3)x dxx +-⎰.分析 被积函数中出现对数函数的情形,可考虑采用分部积分法. 解 12ln(1)(3)x dxx +-⎰=101ln(1)()3x d x+-⎰=1100111[ln(1)]3(3)(1)x dxxx x +-⋅--+⎰=11111ln 2()2413dxxx-++-⎰11ln 2ln 324=-.例31 计算20sin x e xdx π⎰.分析 被积函数中出现指数函数与三角函数乘积的情形通常要多次利用分部积分法.解 由于2sin xe xdx π⎰20sin xxdeπ=⎰220[sin ]cos xxe x e xd xππ=-⎰220cos xe e xd xππ=-⎰, (1)而20cos xe xd x π⎰20cos x xd e π=⎰220[cos ](sin )xxe x e x d xππ=-⋅-⎰20sin 1xe xdx π=-⎰, (2)将(2)式代入(1)式可得20sin xe xdx π⎰220[sin 1]x ee xdx ππ=--⎰,故20sin xe xdx π⎰21(1)2e π=+.例32 计算1arcsin x xdx ⎰.分析 被积函数中出现反三角函数与幂函数乘积的情形,通常用分部积分法.解 10arcsin x xdx ⎰210arcsin ()2xxd =⎰22110[arcsin ](arcsin )22xxx d x =⋅-⎰21142π=-⎰. (1)令sin x t =,则21⎰220sin t π=⎰220sin cos cos t tdt tπ=⋅⎰220sin tdtπ=⎰201c o s 22t dt π-==⎰20s i n 2[]24t t π-4π=. (2)将(2)式代入(1)式中得10arcsin x xdx =⎰8π.例33 设()f x 在[0,]π上具有二阶连续导数,()3f π'=且0[()()]cos 2f x f x xdx π''+=⎰,求(0)f '.分析 被积函数中含有抽象函数的导数形式,可考虑用分部积分法求解. 解 由于0[()()]cos f x f x xdx π''+⎰()sin cos ()f x d x xdf x ππ'=+⎰⎰[]000{()sin ()sin }{[()cos ]()sin }f x x f x xdx f x x f x xdx ππππ'''=-++⎰⎰()(0)2f f π''=--=. 故 (0)f '=2()235f π'--=--=-.例34(97研) 设函数()f x 连续, 10()()x f xt dt ϕ=⎰,且0()limx f x Ax→=(A 为常数),求()x ϕ'并讨论()x ϕ'在0x =处的连续性.分析 求()x ϕ'不能直接求,因为1()f xt dt⎰中含有()x ϕ的自变量x ,需要通过换元将x从被积函数中分离出来,然后利用积分上限函数的求导法则,求出()x ϕ',最后用函数连续的定义来判定()x ϕ'在0x =处的连续性.解 由0()limx f x Ax→=知0lim()0x f x →=,而()f x 连续,所以(0)0f =,(0)0ϕ=.当0x ≠时,令u xt =,0t =,0u =;1t =,ux=.1dt dux =,则()()x f u du x xϕ=⎰,从而02()()()(0)x xf x f u dux x xϕ-'=≠⎰.又因为02()()(0)()limlimlim22x x x x f u du x f x A x xxϕϕ→→→-===-⎰,即(0)ϕ'=2A .所以()x ϕ'=02()(),0,02x xf x f u dux x Ax ⎧-⎪≠⎪⎨⎪=⎪⎩⎰.由于0022()()()()lim ()limlimlimx x x x x x xf x f u duf u du f x x xxxϕ→→→→-'==-⎰⎰=(0)2A ϕ'=.从而知()x ϕ'在0x =处连续.注 这是一道综合考查定积分换元法、对积分上限函数求导、按定义求导数、讨论函数在一点的连续性等知识点的综合题.而有些读者在做题过程中常会犯如下两种错误:(1)直接求出02()()()x xf x f u dux xϕ-'=⎰,而没有利用定义去求(0)ϕ',就得到结论(0)ϕ'不存在或(0)ϕ'无定义,从而得出()x ϕ'在0x =处不连续的结论.(2)在求0lim ()x x ϕ→'时,不是去拆成两项求极限,而是立即用洛必达法则,从而导致()()()1lim ()lim ().22x x xf x f x f x x f x xϕ→→'+-''==又由0()limx f x Ax→=用洛必达法则得到0lim()x f x →'=A ,出现该错误的原因是由于使用洛必达法则需要有条件:()f x 在0x =的邻域内可导.但题设中仅有()f x 连续的条件,因此上面出现的0lim()x f x →'是否存在是不能确定的.例35(00研) 设函数()f x 在[0,]π上连续,且 0()0f x dx π=⎰,0()cos 0f x xdx π=⎰.试证在(0,)π内至少存在两个不同的点12,ξξ使得12()()0f f ξξ==.分析 本题有两种证法:一是运用罗尔定理,需要构造函数0()()x F x f t dt=⎰,找出()F x的三个零点,由已知条件易知(0)()0F F π==,0x =,x π=为()F x 的两个零点,第三个零点的存在性是本题的难点.另一种方法是利用函数的单调性,用反证法证明()f x 在(0,)π之间存在两个零点.证法1 令0()(),0x F x f t dt x π=≤≤⎰,则有(0)0,()0F F π==.又00()cos cos ()[cos ()]()sin f x xdx xdF x xF x F x xdxππππ==+⎰⎰⎰()sin 0F x xdx π==⎰,由积分中值定理知,必有(0,)ξπ∈,使得()sin F x xdxπ⎰=()sin (0)F ξξπ⋅-.故()sin 0F ξξ=.又当(0,),sin 0ξπξ∈≠,故必有()0F ξ=. 于是在区间[0,],[,]ξξπ上对()F x 分别应用罗尔定理,知至少存在1(0,)ξξ∈,2(,)ξξπ∈, 使得12()()0F F ξξ''==,即12()()0f f ξξ==.证法2 由已知条件0()0f x dx π=⎰及积分中值定理知必有10()()(0)0f x dx f πξπ=-=⎰,1(0,)ξπ∈,则有1()0f ξ=.若在(0,)π内,()0f x =仅有一个根1x ξ=,由0()0f x d x π=⎰知()f x 在1(0,)ξ与1(,)ξπ内异号,不妨设在1(0,)ξ内()0f x >,在1(,)ξπ内()0f x <,由()cos 0f x xdx π=⎰,0()0f x dx π=⎰,以及cos x 在[0,]π内单调减,可知:100()(cos cos )f x x dxπξ=-⎰=11110()(cos cos )()(cos cos )f x x dx f x x dx ξπξξξ-+-⎰⎰0>.由此得出矛盾.故()0f x =至少还有另一个实根2ξ,12ξξ≠且2(0,)ξπ∈使得12()()0.f f ξξ==例36 计算2043dx x x +∞++⎰.分析 该积分是无穷限的的反常积分,用定义来计算.解 243dx x x +∞++⎰=2lim 43tt dx x x →+∞++⎰=0111lim()213t t dxx x →+∞-++⎰=011lim [ln]23tt x x →+∞++=111lim(lnln)233t t t →+∞+-+=ln 32.例37计算3+∞⎰解3+∞⎰2233sec tan sec tan d ππθθθθθ+∞=⎰⎰23cos 12d ππθθ==-⎰.例38计算42⎰.分析 该积分为无界函数的反常积分,且有两个瑕点,于是由定义,当且仅当32)⎰43⎰均收敛时,原反常积分才是收敛的.解 由于32⎰32lim aa +→⎰32lim aa +→⎰=32lim [arcsin(3)]aa x +→-=2π.43⎰=34lim b b -→⎰34lim bb -→⎰=34lim [arcsin(3)]b b x -→-=2π.所以42⎰22πππ=+=.例39计算0+∞⎰.分析 此题为混合型反常积分,积分上限为+∞,下限0为被积函数的瑕点. 解t=,则有+∞⎰5222(1)tdtt t +∞+⎰=5222(1)dtt +∞+⎰,再令tan t θ=,于是可得 522(1)dtt +∞+⎰=2522tan (tan 1)d πθθ+⎰=225sec sec d πθθθ⎰=230sec d πθθ⎰=32cos d πθθ⎰=220(1sin )cos d πθθθ-⎰=220(1sin )sin d πθθ-⎰=3/21[sin sin ]3πθθ-=23.例40计算21⎰.解 由于221112111()d x xx+-==⎰⎰⎰,可令1t x x=-,则当x =2t =-;当0x -→时,t →+∞;当0x +→时,t →-∞;当1x =时,0t =;故有21010211()()12()d x d x x x xx--=++-⎰⎰⎰022dt t+∞-∞=++⎰⎰1arctan)22π=+ .注 有些反常积分通过换元可以变成非反常积分,如例32、例37、例39;而有些非反常积分通过换元却会变成反常积分,如例40,因此在对积分换元时一定要注意此类情形.例41 求由曲线12y x=,3yx=,2y=,1y =所围成的图形的面积.分析 若选x 为积分变量,需将图形分割成三部分去求,如图5-1所示,此做法留给读者去完成.下面选取以y 为积分变量.解 选取y 为积分变量,其变化范围为[1,2]y ∈,则面积元素为dA=1|2|3y y dy-=1(2)3y y dy -. 于是所求面积为211(2)3A y y dy=-⎰=52.例42 抛物线22y x =把圆228x y +=分成两部分,求这两部分面积之比.解 抛物线22y x =与圆228x y +=的交点分别为(2,2)与(2,2)-,如图所示5-2所示,抛物线将圆分成两个部分1A ,2A ,记它们的面积分别为1S ,2S ,则有图5-21S =222)2ydy-⎰=24488cos 3d ππθθ--⎰=423π+,218S A π=-=463π-,于是12S S =423463ππ+-=3292ππ+-.例43 求心形线1cos ρθ=+与圆3cos ρθ=所围公共部分的面积.分析 心形线1cos ρθ=+与圆3cos ρθ=的图形如图5-3所示.由图形的对称性,只需计算上半部分的面积即可.解 求得心形线1cos ρθ=+与圆3cos ρθ=的交图5-33πθ=3cos ρθ=3211-o11-cos ρθ+点为(,)ρθ=3(,)23π±,由图形的对称性得心形线1cos ρθ=+与圆3cos ρθ=所围公共部分的面积为A=223203112[(1cos )(3cos )]22d d πππθθθθ++⎰⎰=54π.例44 求曲线ln yx=在区间(2,6)内的一条切线,使得该切线与直线2x =,6x =和曲线ln y x=所围成平面图形的面积最小(如图5-4所示).分析 要求平面图形的面积的最小值,必须先求出面积的表达式.解 设所求切线与曲线ln y x=相切于点(,ln )c c ,则切线方程为1ln ()y c x c c-=-.又切线与直线2x =,6x =和曲线ln yx =所围成的平面图形的面积为图5-4A=621[()ln ln ]x c c x dxc-+-⎰=44(1)4ln 46ln 62ln 2c c-++-+.由于dA dc=2164cc-+=24(4)c c--,令dA dc=,解得驻点4c =.当4c <时0dA dc<,而当4c >时0dA dc>.故当4c =时,A取得极小值.由于驻点唯一.故当4c =时,A 取得最小值.此时切线方程为:11ln 44y x =-+.例45 求圆域222()x y b a +-≤(其中b a >)绕x 轴旋转而成的立体的体积.解 如图5-5所示,选取x 为积分变量,得上半圆周的方程为2y b =+下半圆周的方程为1y b =-图5-5则体积元素为dV=2221()y y dxππ-=4π.于是所求旋转体的体积为V=4a b π-⎰=08b π⎰=284ab ππ⋅=222a b π.注 可考虑选取y 为积分变量,请读者自行完成.例46(03研) 过坐标原点作曲线ln y x =的切线,该切线与曲线ln y x =及x 轴围成平面图形D .(1)求D 的面积A ; (2)求D 绕直线xe=旋转一周所得旋转体的体积V.分析 先求出切点坐标及切线方程,再用定积分求面积A ,旋转体积可用大的立体体积减去小的立体体积进行图5-6计算,如图5-6所示.解 (1)设切点横坐标为0x ,则曲线ln y x =在点00(,ln )x x 处的切线方程是0001ln ()y x x x x =+-.由该切线过原点知0ln 10x -=,从而0x e=,所以该切线的方程是1y xe=.从而D 的面积10()12ye A e ey dy =-=-⎰.(2)切线1y xe=与x 轴及直线x e =围成的三角形绕直线x e =旋转所得的旋转体积为2113V eπ=,曲线ln y x =与x 轴及直线x e =围成的图形绕直线x e =旋转所得的旋转体积为1222011()(2)22y V e e dy e e ππ=-=-+-⎰.因此,所求体积为212(5123)6V V V e e π=-=-+.例47 有一立体以抛物线22y x =与直线2x =所围成的图形为底,而垂直于抛物线的轴的截面都是等边三角形,如图5-7所示.求其体积.解 选x 为积分变量且[0,2]x ∈.过x 轴上坐标为x 的点作垂直于x 轴的平面,与立体相截的截面为等边三角形,其底边长为图5-7()A x 24=.于是所求体积为V=20()A x dx⎰=20⎰=.例48(03研) 某建筑工程打地基时,需用汽锤将桩打进土层,汽锤每次击打,都将克服土层对桩的阻力而作功,设土层对桩的阻力的大小与桩被打进地下的深度成正比(比例系数为k ,0k >),汽锤第一次击打进地下a (m ),根据设计方案,要求汽锤每次击打桩时所作的功与前一次击打时所作的功之比为常数r(01r <<).问:(1)汽锤打桩3次后,可将桩打进地下多深?(2)若击打次数不限,汽锤至多能将桩打进地下多深?(注:m 表示长度单位米)分析 本题属于变力作功问题,可用定积分来求.解 (1)设第n 次击打后,桩被打进地下n x ,第n 次击打时,汽锤所作的功为n W (1n =,2, ).由题设,当桩被打进地下的深度为x 时,土层对桩的阻力的大小为kx ,所以12211022x k k W kxdx x a===⎰,2122222211()()22x x k k W kxdx x x x a ==-=-⎰.由21W rW =得22221x x ra-=,即222(1)x r a=+,3222223323()[(1)]22x x k k W kxdx x x x r a ==-=-+⎰.由2321W rW r W ==得22223(1)x r a r a-+=,即2223(1)x r r a=++.从而汽锤击打3次后,可将桩打进地下3x =m ).(2)问题是要求lim n n x →∞,为此先用归纳法证明:1n x +=.假设nx =,则12211()2n nx n n n x k W kxdx x x +++==-⎰2121[(1...)]2n n k x r ra -+=-+++.由2111...nn n n W rW r W r W +-====,得21221(1...)n n n x r ra r a-+-+++=.从而1n x +=.于是1lim limn n n x +→∞→==()m .例49 有一等腰梯形水闸.上底为6米,下底为2米,高为10米.试求当水面与上底相接时闸门所受的水压力.解 建立如图5-8所示的坐标系,选取x 为积分变量.则过点(0,3)A ,(10,1)B 的直线方程为135yx =-+.于是闸门上对应小区间[,]x x dx +的窄条所承受的水压力为2dF xy gdx ρ=.故闸门所受水压力为F=10012(3)5g x x dxρ-+⎰=5003gρ,其中ρ为水密度,g 为重力加速度.图5-8。
定积分典型例题20例答案例1 求33322321lim(2)n n n n n →∞+++.分析 将这类问题转化为定积分主要是确定被积函数和积分上下限.若对题目中被积函数难以想到,可采取如下方法:先对区间[0,1]n 等分写出积分和,再与所求极限相比较来找出被积函数与积分上下限.解 将区间[0,1]n 等分,则每个小区间长为1i x n ∆=,然后把2111n n n=⋅的一个因子1n 乘入和式中各项.于是将所求极限转化为求定积分.即33322321lim(2)n n n n n →∞+++=333112lim ()n n n n nn →∞+++=13034xdx =⎰.例2 2202x x dx -⎰=_________.解法1 由定积分的几何意义知,2202x x dx -⎰等于上半圆周22(1)1x y -+= (0y ≥)与x 轴所围成的图形的面积.故2202x x dx -⎰=2π. 解法2 本题也可直接用换元法求解.令1x -=sin t (22t ππ-≤≤),则222x x dx -⎰=2221sin cos t tdt ππ--⎰=2221sin cos t tdt π-⎰=2202cos tdt π⎰=2π 例3 (1)若22()x t xf x e dt -=⎰,则()f x '=___;(2)若0()()xf x xf t dt =⎰,求()f x '=___.分析 这是求变限函数导数的问题,利用下面的公式即可()()()[()]()[()]()v x u x d f t dt f v x v x f u x u x dx ''=-⎰.解 (1)()f x '=422x x xe e ---;(2) 由于在被积函数中x 不是积分变量,故可提到积分号外即0()()xf x x f t dt =⎰,则可得()f x '=0()()xf t dt xf x +⎰.例4 设()f x 连续,且31()x f t dt x -=⎰,则(26)f =_________.解 对等式310()x f t dt x -=⎰两边关于x 求导得32(1)31f x x -⋅=,故321(1)3f x x -=,令3126x -=得3x =,所以1(26)27f =. 例5 函数11()(3)(0)x F x dt x t =->⎰的单调递减开区间为_________.解 1()3F x x'=-,令()0F x '<得13x >,解之得109x <<,即1(0,)9为所求. 例6 求0()(1)arctan xf x t tdt =-⎰的极值点.解 由题意先求驻点.于是()f x '=(1)arctan x x -.令()f x '=0,得1x =,0x =.列表如下:故1x =为()f x 的极大值点,0x =为极小值点.例7 已知两曲线()y f x =与()y g x =在点(0,0)处的切线相同,其中2arcsin 0()xt g x e dt -=⎰,[1,1]x ∈-,试求该切线的方程并求极限3lim ()n nf n→∞.分析 两曲线()y f x =与()y g x =在点(0,0)处的切线相同,隐含条件(0)(0)f g =,(0)(0)f g ''=.解 由已知条件得2(0)(0)0t f g e dt -===⎰,且由两曲线在(0,0)处切线斜率相同知2(arcsin )2(0)(0)11x x e f g x -=''===-.故所求切线方程为y x =.而3()(0)3lim ()lim33(0)330n n f f n nf f n n→∞→∞-'=⋅==-. 例8 求 22000sin lim(sin )x x xtdtt t t dt→-⎰⎰;分析 该极限属于型未定式,可用洛必达法则. 解 22000sin lim (sin )x x xtdtt t t dt→-⎰⎰=2202(sin )lim (1)(sin )x x x x x x →-⋅⋅-=220()(2)lim sin x x x x →-⋅-=304(2)lim 1cos x x x→-⋅-x(,0)-∞0 (0,1)1 (1,)+∞()f x '-+-=2012(2)lim sin x x x→-⋅=0.注 此处利用等价无穷小替换和多次应用洛必达法则.例9 试求正数a 与b ,使等式2201lim1sin x x t dt x b x a t→=-+⎰成立. 分析 易见该极限属于型的未定式,可用洛必达法则. 解 20201lim sin x x t dt x b x a t →-+⎰=220lim 1cos x x a x b x →+-=22001lim lim 1cos x x x b x a x→→⋅-+201lim 11cos x x b x a →==-,由此可知必有0lim(1cos )0x b x →-=,得1b =.又由2012lim 11cos x x x a a→==-, 得4a =.即4a =,1b =为所求. 例10 设sin 20()sin x f x t dt =⎰,34()g x x x =+,则当0x →时,()f x 是()g x 的( ).A .等价无穷小.B .同阶但非等价的无穷小.C .高阶无穷小.D .低阶无穷小.解法1 由于 22300()sin(sin )cos lim lim()34x x f x x xg x x x →→⋅=+ 2200cos sin(sin )lim lim34x x x x x x →→=⋅+ 22011lim 33x x x →==. 故()f x 是()g x 同阶但非等价的无穷小.选B .解法2 将2sin t 展成t 的幂级数,再逐项积分,得到sin 223370111()[()]sin sin 3!342x f x t t dt x x =-+=-+⎰,则344340001111sin (sin )sin ()1342342lim lim lim ()13x x x x x x f x g x x x x→→→-+-+===++. 例11 计算21||x dx -⎰.分析 被积函数含有绝对值符号,应先去掉绝对值符号然后再积分.解 21||x dx -⎰=0210()x dx xdx --+⎰⎰=220210[][]22x x --+=52.注 在使用牛顿-莱布尼兹公式时,应保证被积函数在积分区间上满足可积条件.如 33222111[]6dx x x --=-=⎰,则是错误的.错误的原因则是由于被积函数21x 在0x =处间断且在被积区间内无界.例12 设()f x 是连续函数,且10()3()f x x f t dt =+⎰,则()________f x =.分析 本题只需要注意到定积分()baf x dx ⎰是常数(,a b 为常数).解 因()f x 连续,()f x 必可积,从而10()f t dt ⎰是常数,记1()f t dt a =⎰,则()3f x x a =+,且11(3)()x a dx f t dt a +==⎰⎰.所以2101[3]2x ax a+=,即132a a +=, 从而14a =-,所以 3()4f x x =-.例13 计算2112211x x dx x-++-⎰.分析 由于积分区间关于原点对称,因此首先应考虑被积函数的奇偶性. 解 2112211x x dx x-++-⎰=211112221111x x dx dx x x--++-+-⎰⎰.由于22211x x+-是偶函数,而211x x+-是奇函数,有112011xdx x-=+-⎰, 于是2112211x x dx x -++-⎰=2102411x dx x +-⎰=22120(11)4x x dx x--⎰=11200441dx x dx --⎰⎰ 由定积分的几何意义可知12014x dx π-=⎰, 故211122444411x x dx dx xππ-+=-⋅=-+-⎰⎰.例14 计算220()xd tf x t dt dx -⎰,其中()f x 连续. 分析 要求积分上限函数的导数,但被积函数中含有x ,因此不能直接求导,必须先换元使被积函数中不含x ,然后再求导.解 由于220()xtf x t dt -⎰=2221()2x f x t dt-⎰. 故令22x t u -=,当0t =时2u x =;当t x =时0u =,而2dt du =-,所以220()x tf x t dt -⎰=201()()2x f u du -⎰=201()2x f u du ⎰, 故220()x d tf x t dt dx -⎰=201[()]2x d f u du dx ⎰=21()22f x x⋅=2()xf x .错误解答220()x d tf x t dt dx -⎰22()(0)xf x x xf =-=. 错解分析 这里错误地使用了变限函数的求导公式,公式()()()xad x f t dt f x dx 'Φ==⎰中要求被积函数()f t 中不含有变限函数的自变量x ,而22()f x t -含有x ,因此不能直接求导,而应先换元.例15 计算30sin x xdx π⎰.分析 被积函数中出现幂函数与三角函数乘积的情形,通常采用分部积分法.解30s i n x x d x π⎰30(c o s )x d x π=-⎰33[(c o s )](c o s )x x x d x ππ=⋅---⎰ 30cos 6xdx ππ=-+⎰326π=-. 例16 计算120ln(1)(3)x dx x +-⎰.分析 被积函数中出现对数函数的情形,可考虑采用分部积分法.解 120ln(1)(3)x dx x +-⎰=101ln(1)()3x d x +-⎰=1100111[ln(1)]3(3)(1)x dx x x x +-⋅--+⎰ =101111ln 2()2413dx x x-++-⎰11ln 2ln324=-. 例17 计算20sin x e xdx π⎰.分析 被积函数中出现指数函数与三角函数乘积的情形通常要多次利用分部积分法.解 由于2sin xe xdx π⎰20sin xxde π=⎰220[sin ]cos xx e x e xdx ππ=-⎰220cos x e e xdx ππ=-⎰, (1)而20cos xe xdx π⎰20cos xxde π=⎰220[cos ](sin )xx e x e x dx ππ=-⋅-⎰20sin 1x e xdx π=-⎰, (2)将(2)式代入(1)式可得20sin xe xdx π⎰220[sin 1]x e e xdx ππ=--⎰,故20sin xe xdx π⎰21(1)2e π=+.例18 计算1arcsin x xdx ⎰.分析 被积函数中出现反三角函数与幂函数乘积的情形,通常用分部积分法.解 10arcsin x xdx ⎰210arcsin ()2x xd =⎰221100[arcsin ](arcsin )22x x x d x =⋅-⎰21021421x dx x π=--⎰. (1) 令sin x t =,则2121x dx x-⎰222sin sin 1sin td t tπ=-⎰220sin cos cos ttdt t π=⋅⎰220sin tdt π=⎰201cos22t dt π-==⎰20sin 2[]24t t π-4π=. (2)将(2)式代入(1)式中得1arcsin x xdx =⎰8π. 例19设()f x [0,]π上具有二阶连续导数,()3f π'=且0[()()]cos 2f x f x xdx π''+=⎰,求(0)f '.分析 被积函数中含有抽象函数的导数形式,可考虑用分部积分法求解. 解 由于0[()()]cos f x f x xdx π''+⎰00()sin cos ()f x d x xdf x ππ'=+⎰⎰[]000{()sin ()sin }{[()cos ]()sin }f x x f x xdx f x x f x xdx ππππ'''=-++⎰⎰()(0)2f f π''=--=.故 (0)f '=2()235f π'--=--=-. 例20 计算243dxx x +∞++⎰. 分析 该积分是无穷限的的反常积分,用定义来计算. 解2043dx x x +∞++⎰=20lim 43t t dx x x →+∞++⎰=0111lim ()213t t dx x x →+∞-++⎰ =011lim [ln ]23t t x x →+∞++=111lim (ln ln )233t t t →+∞+-+ =ln 32.。
定积分简单计算例题及解析
一、积分简介
积分是给出一种对函数进行求解的数学运算解法,它可以用来求解微分方程。
积分可分为定积分和不定积分,在定积分的过程中,我们利用某种数学运算方法,在一定的范围内把一个函数的定义域划分为多个小范围,并将该函数进行分段积分,最终得出的结果就是定积分的值。
二、积分计算例题及解析
例1:求解∫2 sinx dx
解:定积分,先使用积分公式将函数分段,
∫2sin x dx=∫0^2 sin x dx+∫2^2-2sin x dx
将分段积分求和,
∫2sin x dx= [-cosx]^2_0 + [-cosx]^2_2 - 2∫2^2-2sin x dx
消去 -2,得
∫2sin x dx= - cos2 + cos0 + 2∫2^2-2sin x dx
再次积分,
∫2^2-2sin x dx = x - 2∫ sin x dx
将它带入上面得,
∫2sin x dx= - cos2 + cos0 + 2(-2sin2 + 2sin20)
化简,
∫2sin x dx=-cos2 + 2sin20
最终结果得:
∫2sin x dx=-cos2 + 2sin20
三、总结
定积分是积分中一种重要的求解方法,它可以用来求解微分方程。
定积分的求解过程需要将函数分段,最后求得定积分的最终结果。
以上我们通过定积分的例题,总结出定积分的求解步骤,这也让我们对定积分的概念有了进一步的理解。
定积分典型例题20例答案例1 求3321lim)n n n →∞+.分析 将这类问题转化为定积分主要是确定被积函数和积分上下限.若对题目中被积函数难以想到,可采取如下方法:先对区间[0,1]n 等分写出积分和,再与所求极限相比较来找出被积函数与积分上下限.解 将区间[0,1]n 等分,则每个小区间长为1i x n ∆=,然后把2111n n n=⋅的一个因子1n 乘入和式中各项.于是将所求极限转化为求定积分.即3321lim)n n n →∞+=31lim )n n n n →∞+=34=⎰.例2 0⎰=_________.解法1 由定积分的几何意义知,0⎰等于上半圆周22(1)1x y -+= (0y ≥)与x 轴所围成的图形的面积.故0⎰=2π. 解法2 本题也可直接用换元法求解.令1x -=sin t (22t ππ-≤≤),则⎰=22tdt ππ-⎰=2tdt =2202cos tdt π⎰=2π例3 (1)若22()x t xf x e dt -=⎰,则()f x '=___;(2)若0()()xf x xf t dt =⎰,求()f x '=___.分析 这是求变限函数导数的问题,利用下面的公式即可()()()[()]()[()]()v x u x d f t dt f v x v x f u x u x dx ''=-⎰.解 (1)()f x '=422x x xe e ---;(2) 由于在被积函数中x 不是积分变量,故可提到积分号外即0()()xf x x f t dt =⎰,则可得()f x '=0()()xf t dt xf x +⎰.例4 设()f x 连续,且31()x f t dt x -=⎰,则(26)f =_________.解 对等式310()x f t dt x -=⎰两边关于x 求导得32(1)31f x x -⋅=,故321(1)3f x x -=,令3126x -=得3x =,所以1(26)27f =. 例5函数1()(3(0)x F x dt x =>⎰的单调递减开区间为_________.解()3F x '=()0F x '<3>,解之得109x <<,即1(0,)9为所求.例6 求0()(1)arctan xf x t tdt =-⎰的极值点.解 由题意先求驻点.于是()f x '=(1)arctan x x -.令()f x '=0,得1x =,0x =.列表如下:故1x =为()f x 的极大值点,0x =为极小值点.例7 已知两曲线()y f x =与()y g x =在点(0,0)处的切线相同,其中2arcsin 0()xt g x e dt -=⎰,[1,1]x ∈-,试求该切线的方程并求极限3lim ()n nf n→∞.分析 两曲线()y f x =与()y g x =在点(0,0)处的切线相同,隐含条件(0)(0)f g =,(0)(0)f g ''=.解 由已知条件得2(0)(0)0t f g e dt -===⎰,且由两曲线在(0,0)处切线斜率相同知(0)(0)1f g =''===.故所求切线方程为y x =.而3()(0)3lim ()lim33(0)330n n f f n nf f n n→∞→∞-'=⋅==-. 例8 求 22000sin lim(sin )x x xtdtt t t dt→-⎰⎰;分析 该极限属于型未定式,可用洛必达法则. 解 22000sin lim (sin )x x xtdtt t t dt→-⎰⎰=2202(sin )lim (1)(sin )x x x x x x →-⋅⋅-=220()(2)lim sin x x x x →-⋅-=304(2)lim 1cos x x x→-⋅-=2012(2)lim sin x x x→-⋅=0.注 此处利用等价无穷小替换和多次应用洛必达法则.例9 试求正数a 与b,使等式201lim1sin x x x b x →=-⎰成立. 分析 易见该极限属于型的未定式,可用洛必达法则. 解2001lim sin x x x b x →-⎰=20x →=20lim 1cos x x x b x →→-2011cos x x b x →==-,由此可知必有0lim(1cos )0x b x →-=,得1b =.又由2011cos x x x →=-, 得4a =.即4a =,1b =为所求. 例10 设sin 20()sin x f x t dt =⎰,34()g x x x =+,则当0x →时,()f x 是()g x 的( ).A .等价无穷小.B .同阶但非等价的无穷小.C .高阶无穷小.D .低阶无穷小.解法1 由于 22300()sin(sin )cos lim lim()34x x f x x xg x x x →→⋅=+ 2200cos sin(sin )lim lim34x x x x x x →→=⋅+ 22011lim 33x x x →==. 故()f x 是()g x 同阶但非等价的无穷小.选B .解法2 将2sin t 展成t 的幂级数,再逐项积分,得到sin 223370111()[()]sin sin 3!342x f x t t dt x x =-+=-+⎰,则344340001111sin (sin )sin ()1342342lim lim lim ()13x x x x x x f x g x x x x→→→-+-+===++. 例11 计算21||x dx -⎰.分析 被积函数含有绝对值符号,应先去掉绝对值符号然后再积分.解 21||x dx -⎰=0210()x dx xdx --+⎰⎰=220210[][]22x x --+=52.注 在使用牛顿-莱布尼兹公式时,应保证被积函数在积分区间上满足可积条件.如33222111[]6dx x x --=-=⎰,则是错误的.错误的原因则是由于被积函数21x 在0x =处间断且在被积区间内无界.例12 设()f x 是连续函数,且10()3()f x x f t dt =+⎰,则()________f x =.分析 本题只需要注意到定积分()baf x dx ⎰是常数(,a b 为常数).解 因()f x 连续,()f x 必可积,从而10()f t dt ⎰是常数,记1()f t dt a =⎰,则()3f x x a =+,且11(3)()x a dx f t dt a +==⎰⎰.所以2101[3]2x ax a+=,即132a a +=, 从而14a =-,所以 3()4f x x =-.例13 计算21-⎰.分析 由于积分区间关于原点对称,因此首先应考虑被积函数的奇偶性. 解 21-⎰=211--+⎰⎰2是偶函数,而是奇函数,有10-=⎰, 于是21-⎰=214⎰=04⎰=1044dx -⎰⎰由定积分的几何意义可知4π=⎰, 故2114444dx ππ-=-⋅=-⎰⎰.例14 计算220()xd tf x t dt dx -⎰,其中()f x 连续. 分析 要求积分上限函数的导数,但被积函数中含有x ,因此不能直接求导,必须先换元使被积函数中不含x ,然后再求导.解 由于220()xtf x t dt -⎰=2221()2x f x t dt-⎰. 故令22x t u -=,当0t =时2u x =;当t x =时0u =,而2dt du =-,所以220()x tf x t dt -⎰=201()()2x f u du -⎰=201()2x f u du ⎰,故220()x d tf x t dt dx -⎰=201[()]2x d f u du dx ⎰=21()22f x x⋅=2()xf x .错误解答220()xd tf x t dt dx -⎰22()(0)xf x x xf =-=. 错解分析 这里错误地使用了变限函数的求导公式,公式()()()xad x f t dt f x dx 'Φ==⎰中要求被积函数()f t 中不含有变限函数的自变量x ,而22()f x t -含有x ,因此不能直接求导,而应先换元.例15 计算30sin x xdx π⎰.分析 被积函数中出现幂函数与三角函数乘积的情形,通常采用分部积分法.解30sin x xdx π⎰30(cos )xd x π=-⎰330[(cos )](cos )x x x dx ππ=⋅---⎰30cos 6xdx ππ=-+⎰6π=-. 例16 计算120ln(1)(3)x dx x +-⎰.分析 被积函数中出现对数函数的情形,可考虑采用分部积分法.解 120ln(1)(3)x dx x +-⎰=101ln(1)()3x d x +-⎰=1100111[ln(1)]3(3)(1)x dx x x x +-⋅--+⎰ =101111ln 2()2413dx x x-++-⎰11ln 2ln324=-. 例17 计算20sin x e xdx π⎰.分析 被积函数中出现指数函数与三角函数乘积的情形通常要多次利用分部积分法.解 由于2sin xe xdx π⎰20sin xxde π=⎰220[sin ]cos xx e x e xdx ππ=-⎰220cos x e e xdx ππ=-⎰, (1)而20cos xe xdx π⎰20cos xxde π=⎰220[cos ](sin )xx e x e x dx ππ=-⋅-⎰20sin 1x e xdx π=-⎰, (2)将(2)式代入(1)式可得20sin xe xdx π⎰220[sin 1]x e e xdx ππ=--⎰,故20sin xe xdx π⎰21(1)2e π=+.例18 计算1arcsin x xdx ⎰.分析 被积函数中出现反三角函数与幂函数乘积的情形,通常用分部积分法.解 10arcsin x xdx ⎰210arcsin ()2x xd =⎰221100[arcsin ](arcsin )22x x x d x =⋅-⎰21142π=-⎰. (1) 令sin x t =,则21⎰22sin t π=⎰220sin cos cos ttdt t π=⋅⎰220sin tdt π=⎰201cos22t dt π-==⎰20sin 2[]24t t π-4π=. (2)将(2)式代入(1)式中得1arcsin x xdx =⎰8π. 例19设()f x [0,]π上具有二阶连续导数,()3f π'=且0[()()]cos 2f x f x xdx π''+=⎰,求(0)f '.分析 被积函数中含有抽象函数的导数形式,可考虑用分部积分法求解. 解 由于0[()()]cos f x f x xdx π''+⎰00()sin cos ()f x d x xdf x ππ'=+⎰⎰[]000{()sin ()sin }{[()cos ]()sin }f x x f x xdx f x x f x xdx ππππ'''=-++⎰⎰()(0)2f f π''=--=.故 (0)f '=2()235f π'--=--=-. 例20 计算2043dxx x +∞++⎰.分析 该积分是无穷限的的反常积分,用定义来计算.解2043dx x x +∞++⎰=20lim 43t t dx x x →+∞++⎰=0111lim ()213t t dx x x →+∞-++⎰ =011lim [ln ]23t t x x →+∞++=111lim (ln ln )233t t t →+∞+-+ =ln 32.。
定积分典型例题20例答案例1 求3321lim )n n n→∞+.分析 将这类问题转化为定积分主要是确定被积函数和积分上下限.若对题目中被积函数难以想到,可采取如下方法:先对区间[0,1]n 等分写出积分和,再与所求极限相比较来找出被积函数与积分上下限.解 将区间[0,1]n 等分,则每个小区间长为1i x n∆=,然后把2111n n n=⋅的一个因子1n乘入和式中各项.于是将所求极限转化为求定积分.即3321lim)n n n →∞+=31lim )n n n n →∞+=34=⎰.例2 0⎰=_________.解法 1 由定积分的几何意义知,0⎰等于上半圆周22(1)1x y -+= (0y ≥)与x 轴所围成的图形的面积.故0⎰=2π.解法 2 本题也可直接用换元法求解.令1x -=sin t (22t ππ-≤≤),则⎰=22tdt ππ-⎰=2tdt =2202cos tdt π⎰=2π 例3 (1)若22()x t xf x e dt-=⎰,则()f x '=___;(2)若()()x f x xf t dt =⎰,求()f x '=___.分析 这是求变限函数导数的问题,利用下面的公式即可()()()[()]()[()]()v x u x d f t dt f v x v x f u x u x dx ''=-⎰.解 (1)()f x '=422x xxee ---;(2) 由于在被积函数中x 不是积分变量,故可提到积分号外即0()()xf x x f t dt =⎰,则可得()f x '=0()()xf t dt xf x +⎰.例4 设()f x 连续,且31()x f t dt x -=⎰,则(26)f =_________.解 对等式310()x f t dt x -=⎰两边关于x 求导得32(1)31f x x -⋅=,故321(1)3f x x -=,令3126x -=得3x =,所以1(26)27f =. 例 5 函数1()(3(0)xF x dt x =>⎰的单调递减开区间为_________.解()3F x '=-,令()0F x '<3>,解之得109x <<,即1(0,)9为所求.例6 求0()(1)arctan xf x t tdt =-⎰的极值点.解 由题意先求驻点.于是()f x '=(1)arctan x x -.令f '故1x =为()f x 的极大值点,0x =为极小值点.例7 已知两曲线()y f x =与()y g x =在点(0,0)处的切线相同,其中2arcsin 0()x t g x e dt -=⎰,[1,1]x ∈-,试求该切线的方程并求极限3lim ()n nf n→∞.分析 两曲线()y f x =与()y g x =在点(0,0)处的切线相同,隐含条件(0)(0)f g =,(0)(0)f g ''=.解 由已知条件得2(0)(0)0t f g e dt -===⎰,且由两曲线在(0,0)处切线斜率相同知(0)(0)1f g =''===.故所求切线方程为y x =.而3()(0)3lim ()lim33(0)330n n f f n nf f n n→∞→∞-'=⋅==-. 例8 求 22000sin lim(sin )x x xtdtt t t dt→-⎰⎰;分析 该极限属于00型未定式,可用洛必达法则. 解22000sin lim(sin )x x xtdtt t t dt→-⎰⎰=2202(sin )lim(1)(sin )x x x x x x →-⋅⋅-=220()(2)limsin x x x x→-⋅-=304(2)lim1cos x x x→-⋅- =2012(2)limsin x x x→-⋅=0.注 此处利用等价无穷小替换和多次应用洛必达法则. 例9 试求正数a 与b,使等式201lim1sin x x x b x →=-⎰成立.分析 易见该极限属于00型的未定式,可用洛必达法则.解2001lim sin x x x b x →-⎰=20x →=20lim 1cos x x x b x →→-2011cos x x b x →==-,由此可知必有0lim(1cos )0x b x →-=,得1b =.又由2011cos x x x →==-, 得4a =.即4a =,1b =为所求. 例10 设sin 20()sin xf x t dt =⎰,34()g x x x =+,则当0x →时,()f x 是()g x 的( ).A .等价无穷小.B .同阶但非等价的无穷小. C .高阶无穷小. D .低阶无穷小.解法1 由于 22300()sin(sin )cos lim lim ()34x x f x x xg x x x→→⋅=+ 22011lim 33x x x →==. 故()f x 是()g x 同阶但非等价的无穷小.选B .解法2 将2sin t 展成t 的幂级数,再逐项积分,得到sin 223370111()[()]sin sin 3!342x f x t t dt x x =-+=-+⎰,则344340001111sin (sin )sin ()1342342lim lim lim ()13x x x x x x f x g x x x x→→→-+-+===++. 例11 计算21||x dx -⎰.分析 被积函数含有绝对值符号,应先去掉绝对值符号然后再积分.解 21||x dx -⎰=0210()x dx xdx --+⎰⎰=220210[][]22x x --+=52.注 在使用牛顿-莱布尼兹公式时,应保证被积函数在积分区间上满足可积条件.如33222111[]6dx x x --=-=⎰,则是错误的.错误的原因则是由于被积函数21x 在0x =处间断且在被积区间内无界.例12 设()f x 是连续函数,且1()3()f x x f t dt=+⎰,则()________f x =.分析 本题只需要注意到定积分()baf x dx ⎰是常数(,a b为常数).解 因()f x 连续,()f x 必可积,从而10()f t dt ⎰是常数,记10()f t dt a =⎰,则()3f x x a =+,且11(3)()x a dx f t dt a +==⎰⎰.所以2101[3]2x ax a +=,即132a a +=, 从而14a =-,所以 3()4f x x =-.例13 计算21-⎰.分析 由于积分区间关于原点对称,因此首先应考虑被积函数的奇偶性.解 21-⎰=211--+⎰⎰.由于2是偶函数,而是奇函数,有10-=⎰, 于是21-⎰=214⎰=04⎰=1044dx -⎰⎰ 由定积分的几何意义可知4π=⎰, 故2114444dx ππ-=-⋅=-⎰⎰.例14 计算220()xd tf x t dt dx -⎰,其中()f x 连续. 分析 要求积分上限函数的导数,但被积函数中含有x ,因此不能直接求导,必须先换元使被积函数中不含x ,然后再求导.解 由于220()xtf x t dt -⎰=22201()2xf x t dt -⎰.故令22x t u -=,当0t =时2u x =;当t x =时0u =,而2dt du =-,所以220()xtf x t dt -⎰=201()()2x f u du -⎰=201()2x f u du ⎰,故220()x d tf x t dt dx -⎰=201[()]2x d f u du dx ⎰=21()22f x x ⋅=2()xf x . 错误解答22()x d tf x t dtdx -⎰22()(0)xf x x xf =-=. 错解分析 这里错误地使用了变限函数的求导公式,公式中要求被积函数()f t 中不含有变限函数的自变量x,而22()f x t -含有x ,因此不能直接求导,而应先换元.例15 计算30sin x xdx π⎰.分析 被积函数中出现幂函数与三角函数乘积的情形,通常采用分部积分法.解 30sin x xdx π⎰30(cos )xd x π=-⎰330[(cos )](cos )x x x dx ππ=⋅---⎰30cos 6xdx ππ=-+⎰6π=. 例16 计算120ln(1)(3)x dx x +-⎰.分析 被积函数中出现对数函数的情形,可考虑采用分部积分法.解120ln(1)(3)x dx x +-⎰=101ln(1)()3x d x +-⎰=1100111[ln(1)]3(3)(1)x dx x x x +-⋅--+⎰ =101111ln 2()2413dx x x-++-⎰ 11ln 2ln324=-. 例17 计算2sin x e xdx π⎰.分析 被积函数中出现指数函数与三角函数乘积的情形通常要多次利用分部积分法.解 由于20sin xe xdx π⎰20sin xxde π=⎰220[sin ]cos xx e x e xdx ππ=-⎰220cos x e e xdxππ=-⎰,(1) 而20sin 1x e xdx π=-⎰, (2)将(2)式代入(1)式可得20sin xe xdx π⎰220[sin 1]x e e xdx ππ=--⎰,故20sin xe xdx π⎰21(1)2e π=+.例18 计算10arcsin x xdx ⎰.分析 被积函数中出现反三角函数与幂函数乘积的情形,通常用分部积分法.解 10arcsin x xdx ⎰210arcsin ()2x xd =⎰221100[arcsin ](arcsin )22x x x d x =⋅-⎰21142π=-⎰. (1)令sin x t =,则201cos22t dt π-==⎰20sin 2[]24t t π-4π=. (2) 将(2)式代入(1)式中得1arcsin x xdx =⎰8π.例19设()f x [0,]π上具有二阶连续导数,()3f π'=且[()()]cos 2f x f x xdx π''+=⎰,求(0)f '.分析 被积函数中含有抽象函数的导数形式,可考虑用分部积分法求解.解 由于0[()()]cos f x f x xdx π''+⎰0()sin cos ()f x d x xdf x ππ'=+⎰⎰()(0)2f f π''=--=.故 (0)f '=2()235f π'--=--=-.例20 计算2043dx x x +∞++⎰.分析 该积分是无穷限的的反常积分,用定义来计算.解 2043dx x x +∞++⎰=20lim 43t t dx x x →+∞++⎰=0111lim ()213t t dx x x →+∞-++⎰ =011lim [ln ]23t t x x →+∞++=111lim (ln ln )233t t t →+∞+-+ =ln 3.。
定积分典型例题例1 求3321lim)n n n →∞+.分析 将这类问题转化为定积分主要是确定被积函数和积分上下限.若对题目中被积函数难以想到,可采取如下方法:先对区间[0,1]n 等分写出积分和,再与所求极限相比较来找出被积函数与积分上下限.解 将区间[0,1]n 等分,则每个小区间长为1i x n∆=,然后把2111n n n =⋅的一个因子1n 乘入和式中各项.于是将所求极限转化为求定积分.即3321lim)n n n →∞+=31lim )n n n n →∞+=34=⎰.例2 0⎰=_________.解法1 由定积分的几何意义知,0⎰等于上半圆周22(1)1x y -+= (0y ≥)与x 轴所围成的图形的面积.故0⎰=2π. 解法2 本题也可直接用换元法求解.令1x -=sin t (22t ππ-≤≤),则⎰=22tdt ππ-⎰=2tdt =2202cos tdt π⎰=2π 例3 比较12x e dx ⎰,212x e dx ⎰,12(1)x dx +⎰.分析 对于定积分的大小比较,可以先算出定积分的值再比较大小,而在无法求出积分值时则只能利用定积分的性质通过比较被积函数之间的大小来确定积分值的大小.解法1 在[1,2]上,有2x x e e ≤.而令()(1)x f x e x =-+,则()1x f x e '=-.当0x >时,()0f x '>,()f x 在(0,)+∞上单调递增,从而()(0)f x f >,可知在[1,2]上,有1x e x >+.又1221()()f x dx f x dx =-⎰⎰,从而有2111222(1)x x x dx e dx e dx +>>⎰⎰⎰.解法2 在[1,2]上,有2xx e e ≤.由泰勒中值定理212!xe e x x ξ=++得1x e x >+.注意到1221()()f x dx f x dx =-⎰⎰.因此2111222(1)x x x dx e dx e dx +>>⎰⎰⎰.例4 估计定积分22xxe dx -⎰的值.分析 要估计定积分的值, 关键在于确定被积函数在积分区间上的最大值与最小值. 解 设 2()xxf x e -=, 因为 2()(21)xxf x e x -'=-, 令()0f x '=,求得驻点12x =, 而 0(0)1f e ==, 2(2)f e =, 141()2f e -=,故124(),[0,2]ef x e x -≤≤∈,从而21224022xxee dx e --≤≤⎰,所以21024222x xe edx e ---≤≤-⎰.例5 设()f x ,()g x 在[,]a b 上连续,且()0g x ≥,()0f x >.求lim (ban g x →∞⎰.解 由于()f x 在[,]a b 上连续,则()f x 在[,]a b 上有最大值M 和最小值m .由()0f x >知0M >,0m >.又()0g x ≥,则()b ag x dx (b ag x ≤⎰()bag x dx ≤.由于1n n =,故lim (b an g x →∞⎰=()bag x dx ⎰.例6求sin lim n pnn xdx x+→∞⎰, ,p n 为自然数. 分析 这类问题如果先求积分然后再求极限往往很困难,解决此类问题的常用方法是利用积分中值定理与夹逼准则.解法1 利用积分中值定理 设 sin ()xf x x=, 显然()f x 在[,]n n p +上连续, 由积分中值定理得 sin sin n p n x dx p x ξξ+=⋅⎰, [,]n n p ξ∈+,当n →∞时, ξ→∞, 而sin 1ξ≤, 故sin sin lim lim 0n pnn x dx p xξξξ+→∞→∞=⋅=⎰.解法2 利用积分不等式因为sin sin 1ln n pn p n p nn n x x n p dx dx dx x x x n++++≤≤=⎰⎰⎰,而limln0n n pn→∞+=,所以 sin lim 0n pnn xdx x+→∞=⎰. 例7 求10lim 1nn x dx x→∞+⎰.解法1 由积分中值定理()()()()bbaaf xg x dx f g x dx ξ=⎰⎰可知101nx dx x +⎰=111n x dx ξ+⎰,01ξ≤≤.又11lim lim01n n n x dx n →∞→∞==+⎰且11121ξ≤≤+, 故10lim 01n n x dx x→∞=+⎰. 解法2 因为01x ≤≤,故有01nn x x x≤≤+. 于是可得110001nn x dx x dx x ≤≤+⎰⎰.又由于110()1n x dx n n =→→∞+⎰. 因此10lim 1nn x dx x→∞+⎰=0. 例8 设函数()f x 在[0,1]上连续,在(0,1)内可导,且3414()(0)f x dx f =⎰.证明在(0,1)内存在一点c ,使()0f c '=.分析 由条件和结论容易想到应用罗尔定理,只需再找出条件()(0)f f ξ=即可. 证明 由题设()f x 在[0,1]上连续,由积分中值定理,可得3413(0)4()4()(1)()4f f x dx f f ξξ==-=⎰,其中3[,1][0,1]4ξ∈⊂.于是由罗尔定理,存在(0,)(0,1)c ξ∈⊂,使得()0f c '=.证毕.例9 (1)若22()x t xf x e dt -=⎰,则()f x '=___;(2)若0()()xf x xf t dt =⎰,求()f x '=___.分析 这是求变限函数导数的问题,利用下面的公式即可()()()[()]()[()]()v x u x d f t dt f v x v x f u x u x dx ''=-⎰.解 (1)()f x '=422x x xe e ---;(2) 由于在被积函数中x 不是积分变量,故可提到积分号外即0()()xf x x f t dt =⎰,则可得()f x '=0()()xf t dt xf x +⎰.例10 设()f x 连续,且31()x f t dt x -=⎰,则(26)f =_________.解 对等式310()x f t dt x -=⎰两边关于x 求导得32(1)31f x x -⋅=,故321(1)3f x x -=,令3126x -=得3x =,所以1(26)27f =. 例11函数1()(3(0)x F x dt x =->⎰的单调递减开区间为_________.解()3F x '=-,令()0F x '<3>,解之得109x <<,即1(0,)9为所求. 例12 求0()(1)arctan xf x t tdt =-⎰的极值点.解 由题意先求驻点.于是()f x '=(1)arctan x x -.令()f x '=0,得1x =,0x =.列表如下:故1x =为()f x 的极大值点,0x =为极小值点.例13 已知两曲线()y f x =与()y g x =在点(0,0)处的切线相同,其中2arcsin 0()x t g x e dt -=⎰,[1,1]x ∈-,试求该切线的方程并求极限3lim ()n nf n→∞.分析 两曲线()y f x =与()y g x =在点(0,0)处的切线相同,隐含条件(0)(0)f g =,(0)(0)f g ''=.解 由已知条件得20(0)(0)0t f g e dt -===⎰,且由两曲线在(0,0)处切线斜率相同知(0)(0)1f g =''==.故所求切线方程为y x =.而3()(0)3lim ()lim33(0)330n n f f n nf f n n→∞→∞-'=⋅==-. 例14 求 22000sin lim(sin )x x xtdtt t t dt→-⎰⎰;分析 该极限属于型未定式,可用洛必达法则. 解 22000sin lim (sin )x x xtdtt t t dt→-⎰⎰=2202(sin )lim (1)(sin )x x x x x x →-⋅⋅-=220()(2)lim sin x x x x →-⋅-=304(2)lim 1cos x x x →-⋅-=2012(2)lim sin x x x→-⋅=0.注 此处利用等价无穷小替换和多次应用洛必达法则.例15 试求正数a 与b,使等式201lim1sin x x x b x →=-⎰成立. 分析 易见该极限属于型的未定式,可用洛必达法则. 解2001lim sin x x x b x →-⎰=20x →=20lim 1cos x x x b x →→-2011cos x x b x→==-, 由此可知必有0lim(1cos )0x b x →-=,得1b =.又由2011cos x x x →==-, 得4a =.即4a =,1b =为所求.例16 设sin 20()sin x f x t dt =⎰,34()g x x x =+,则当0x →时,()f x 是()g x 的( ).A .等价无穷小.B .同阶但非等价的无穷小.C .高阶无穷小.D .低阶无穷小.解法1 由于 22300()sin(sin )cos lim lim ()34x x f x x xg x x x →→⋅=+2200cos sin(sin )lim lim 34x x x x x x→→=⋅+ 22011lim 33x x x →==.故()f x 是()g x 同阶但非等价的无穷小.选B .解法2 将2sin t 展成t 的幂级数,再逐项积分,得到sin 223370111()[()]sin sin 3!342x f x t t dt x x =-+=-+⎰,则344340001111sin (sin )sin ()1342342lim lim lim ()13x x x x x x f x g x x x x→→→-+-+===++. 例17 证明:若函数()f x 在区间[,]a b 上连续且单调增加,则有()baxf x dx ⎰()2baa b f x dx +≥⎰. 证法1 令()F x =()()2x xaaa x tf t dt f t dt +-⎰⎰,当[,]t a x ∈时,()()f t f x ≤,则 ()F x '=1()()()22x a a x xf x f t dt f x +--⎰=1()()22xa x a f x f t dt --⎰ ≥1()()22x a x a f x f x dt --⎰=()()22x a x af x f x ---0=. 故()F x 单调增加.即 ()()F x F a ≥,又()0F a =,所以()0F x ≥,其中[,]x a b ∈. 从而()F b =()()2bba aa b xf x dx f x dx +-⎰⎰0≥.证毕. 证法2 由于()f x 单调增加,有()[()()]22a b a bx f x f ++--0≥,从而 ()[()()]22baa b a bx f x f dx ++--⎰0≥. 即()()2baa b x f x dx +-⎰()()22b a a b a b x f dx ++≥-⎰=()()22b a a b a bf x dx ++-⎰=0.故()baxf x dx ⎰()2ba ab f x dx +≥⎰. 例18 计算21||x dx -⎰.分析 被积函数含有绝对值符号,应先去掉绝对值符号然后再积分.解 21||x dx -⎰=0210()x dx xdx --+⎰⎰=220210[][]22x x --+=52.注 在使用牛顿-莱布尼兹公式时,应保证被积函数在积分区间上满足可积条件.如 33222111[]6dx x x --=-=⎰,则是错误的.错误的原因则是由于被积函数21x 在0x =处间断且在被积区间内无界.例19 计算220max{,}x x dx ⎰.分析 被积函数在积分区间上实际是分段函数212()01x x f x x x ⎧<≤=⎨≤≤⎩. 解 23212221201011717max{,}[][]23236x x x x dx xdx x dx =+=+=+=⎰⎰⎰例20 设()f x 是连续函数,且10()3()f x x f t dt =+⎰,则()________f x =. 分析 本题只需要注意到定积分()ba f x dx ⎰是常数(,ab 为常数).解 因()f x 连续,()f x 必可积,从而10()f t dt ⎰是常数,记1()f t dt a =⎰,则()3f x x a =+,且11(3)()x a dx f t dt a +==⎰⎰.所以2101[3]2x ax a+=,即132a a +=, 从而14a =-,所以 3()4f x x =-.例21 设23, 01()52,12x x f x x x ⎧≤<=⎨-≤≤⎩,0()()x F x f t dt =⎰,02x ≤≤,求()F x , 并讨论()F x 的连续性.分析 由于()f x 是分段函数, 故对()F x 也要分段讨论. 解 (1)求()F x 的表达式.()F x 的定义域为[0,2].当[0,1]x ∈时,[0,][0,1]x ⊂, 因此23300()()3[]xxxF x f t dt t dt t x ====⎰⎰.当(1,2]x ∈时,[0,][0,1][1,]x x =, 因此, 则1201()3(52)xF x t dt t dt =+-⎰⎰=31201[][5]xt t t +-=235x x -+-,故32, 01()35,12x x F x x x x ⎧≤<⎪=⎨-+-≤≤⎪⎩. (2) ()F x 在[0,1)及(1,2]上连续, 在1x =处,由于211lim ()lim(35)1x x F x x x ++→→=-+-=, 311lim ()lim 1x x F x x --→→==, (1)1F =. 因此, ()F x 在1x =处连续, 从而()F x 在[0,2]上连续.错误解答 (1)求()F x 的表达式, 当[0,1)x ∈时,23300()()3[]xxxF x f t dt t dt t x ====⎰⎰.当[1,2]x ∈时,有()()xF x f t dt ==⎰0(52)xt dt -⎰=25x x -.故由上可知32, 01()5,12x x F x x x x ⎧≤<⎪=⎨-≤≤⎪⎩. (2) ()F x 在[0,1)及(1,2]上连续, 在1x =处,由于211lim ()lim(5)4x x F x x x ++→→=-=, 311lim ()lim 1x x F x x --→→==, (1)1F =. 因此, ()F x 在1x =处不连续, 从而()F x 在[0,2]上不连续.错解分析 上述解法虽然注意到了()f x 是分段函数,但(1)中的解法是错误的,因 为当[1,2]x ∈时,0()()xF x f t dt =⎰中的积分变量t 的取值范围是[0,2],()f t 是分段函数,101()()()()x xF x f t dt f t dt f t dt ==+⎰⎰⎰才正确.例22 计算21-⎰.分析 由于积分区间关于原点对称,因此首先应考虑被积函数的奇偶性. 解 21-⎰=211--+⎰⎰2是偶函数,而是奇函数,有10-=⎰, 于是21-⎰=214⎰=04⎰=1044dx -⎰⎰由定积分的几何意义可知4π=⎰, 故2114444dx ππ-=-⋅=-⎰⎰.例23 计算312e e⎰.分析 被积函数中含有1x及ln x ,考虑凑微分.解341e e ⎰=34e 312e e⎰=⎰=3412e e =6π.例24 计算4sin 1sin xdx xπ+⎰.解40s i n 1s i n x dx x π+⎰=420sin (1sin )1sin x x dx xπ--⎰=244200sin tan cos x dx xdx x ππ-⎰⎰ =244200cos (sec 1)cos d xx dx xππ---⎰⎰=44001[][tan ]cos x x x ππ--=24π- 注 此题为三角有理式积分的类型,也可用万能代换公式来求解,请读者不妨一试.例25 计算20a⎰,其中0a >.解20a⎰=20a⎰,令sin x a a t -=,则2a⎰=3222(1sin )cosat tdt ππ-+⎰=3222cos 0atdt π+⎰=32a π.注 sin x a t =或cos x a t =. 例26 计算a⎰,其中0a >.解法1 令sin x a t =,则a⎰2cos sin cos tdt t tπ=+⎰201(sin cos )(cos sin )2sin cos t t t t dt t tπ++-=+⎰ 201(sin cos )[1]2sin cos t t dt t tπ'+=++⎰ []201ln |sin cos |2t t t π=++=4π. 解法2 令sin x a t =,则a⎰=2cos sin cos tdt t tπ+⎰.又令2t u π=-,则有20cos sin cos t dt t t π+⎰=20sin sin cos u du u u π+⎰.所以,a⎰=22001sin cos []2sin cos sin cos t t dt dt t tt t ππ+++⎰⎰=2012dt π⎰=4π.注 如果先计算不定积分,再利用牛顿-莱布尼兹公式求解,则比较复杂,由此可看出定积分与不定积分的差别之一.例27 计算ln 0⎰.分析 被积函数中含有根式,不易直接求原函数,考虑作适当变换去掉根式.解 设u 2ln(1)x u =+,221udx du u =+,则ln 0⎰=22220(1)241u u u du u u +⋅=++⎰22222200442244u u du du u u +-=++⎰⎰ 2221284du du u =-=+⎰⎰4π-. 例28 计算22()x d tf x t dt dx -⎰,其中()f x 连续. 分析 要求积分上限函数的导数,但被积函数中含有x ,因此不能直接求导,必须先换元使被积函数中不含x ,然后再求导.解 由于220()xtf x t dt -⎰=22201()2xf x t dt -⎰. 故令22x t u -=,当0t =时2u x =;当t x =时0u =,而2dt du =-,所以220()x tf x t dt -⎰=201()()2x f u du -⎰=201()2x f u du ⎰,故220()x d tf x t dt dx -⎰=201[()]2x d f u du dx ⎰=21()22f x x ⋅=2()xf x . 错误解答22()x d tf x t dtdx -⎰22()(0)xf x x xf =-=. 错解分析 这里错误地使用了变限函数的求导公式,公式()()()xad x f t dt f x dx 'Φ==⎰中要求被积函数()f t 中不含有变限函数的自变量x ,而22()f x t -含有x ,因此不能直接求导,而应先换元.例29 计算30sin x xdx π⎰.分析 被积函数中出现幂函数与三角函数乘积的情形,通常采用分部积分法.解30s i n x x d x π⎰30(c o s )x d x π=-⎰33[(c o s )](c o s)x x x d x ππ=⋅--⎰30cos 6xdx ππ=-+⎰6π=-.例30 计算120ln(1)(3)x dx x +-⎰.分析 被积函数中出现对数函数的情形,可考虑采用分部积分法.解 120ln(1)(3)x dx x +-⎰=101ln(1)()3x d x +-⎰=1100111[ln(1)]3(3)(1)x dx x x x +-⋅--+⎰ =101111ln 2()2413dx x x-++-⎰11ln 2ln324=-. 例31 计算20sin x e xdx π⎰.分析 被积函数中出现指数函数与三角函数乘积的情形通常要多次利用分部积分法.解 由于2sin xe xdx π⎰20sin xxde π=⎰220[sin ]cos xx e x e xdx ππ=-⎰220cos x e e xdx ππ=-⎰, (1)而20cos xe xdx π⎰20cos xxde π=⎰220[cos ](sin )xx e x e x dx ππ=-⋅-⎰20sin 1x e xdx π=-⎰, (2)将(2)式代入(1)式可得20sin xe xdx π⎰220[sin 1]x e e xdx ππ=--⎰,故20sin xe xdx π⎰21(1)2e π=+.例32 计算10arcsin x xdx ⎰.分析 被积函数中出现反三角函数与幂函数乘积的情形,通常用分部积分法.解 10arcsin x xdx ⎰210arcsin ()2x xd =⎰221100[arcsin ](arcsin )22x x x d x =⋅-⎰ 21142π=-⎰. (1) 令sin x t =,则21⎰20sin t π=⎰220sin cos cos ttdt tπ=⋅⎰220sin tdt π=⎰201cos 22t dt π-==⎰20sin 2[]24t t π-4π=. (2) 将(2)式代入(1)式中得1arcsin x xdx =⎰8π.例33 设()f x 在[0,]π上具有二阶连续导数,()3f π'=且0[()()]cos 2f x f x xdx π''+=⎰,求(0)f '.分析 被积函数中含有抽象函数的导数形式,可考虑用分部积分法求解. 解 由于0[()()]cos f x f x xdx π''+⎰0()sin cos ()f x d x xdf x ππ'=+⎰⎰[]000{()sin ()sin }{[()cos ]()sin }f x x f x xdx f x x f x xdx ππππ'''=-++⎰⎰()(0)2f f π''=--=.故 (0)f '=2()235f π'--=--=-. 例34(97研) 设函数()f x 连续,1()()x f xt dt ϕ=⎰,且0()limx f x A x→=(A 为常数), 求()x ϕ'并讨论()x ϕ'在0x =处的连续性.分析 求()x ϕ'不能直接求,因为10()f xt dt ⎰中含有()x ϕ的自变量x ,需要通过换元将x从被积函数中分离出来,然后利用积分上限函数的求导法则,求出()x ϕ',最后用函数连续的定义来判定()x ϕ'在0x =处的连续性.解 由0()limx f x A x→=知0lim ()0x f x →=,而()f x 连续,所以(0)0f =,(0)0ϕ=.当0x ≠时,令u xt =,0t =,0u =;1t =,u x =.1dt du x=,则()()xf u du x xϕ=⎰,从而02()()()(0)xxf x f u dux x xϕ-'=≠⎰.又因为02()()(0)()limlimlim22xx x x f u du x f x A x x x ϕϕ→→→-===-⎰,即(0)ϕ'=2A.所以 ()x ϕ'=02()(),0,02x xf x f u du x x Ax ⎧-⎪≠⎪⎨⎪=⎪⎩⎰.由于22000()()()()lim ()limlim limxxx x x x xf x f u duf u du f x x xx x ϕ→→→→-'==-⎰⎰=(0)2A ϕ'=. 从而知()x ϕ'在0x =处连续.注 这是一道综合考查定积分换元法、对积分上限函数求导、按定义求导数、讨论函数在一点的连续性等知识点的综合题.而有些读者在做题过程中常会犯如下两种错误:(1)直接求出02()()()xxf x f u dux xϕ-'=⎰,而没有利用定义去求(0)ϕ',就得到结论(0)ϕ'不存在或(0)ϕ'无定义,从而得出()x ϕ'在0x =处不连续的结论.(2)在求0lim ()x x ϕ→'时,不是去拆成两项求极限,而是立即用洛必达法则,从而导致()()()1lim ()lim ().22x x xf x f x f x x f x x ϕ→→'+-''==又由0()limx f x A x→=用洛必达法则得到0lim ()x f x →'=A ,出现该错误的原因是由于使用洛必达法则需要有条件:()f x 在0x =的邻域内可导.但题设中仅有()f x 连续的条件,因此上面出现的0lim ()x f x →'是否存在是不能确定的.例35(00研) 设函数()f x 在[0,]π上连续,且()0f x dx π=⎰,0()cos 0f x xdx π=⎰.试证在(0,)π内至少存在两个不同的点12,ξξ使得12()()0f f ξξ==.分析 本题有两种证法:一是运用罗尔定理,需要构造函数0()()xF x f t dt =⎰,找出()F x的三个零点,由已知条件易知(0)()0F F π==,0x =,x π=为()F x 的两个零点,第三个零点的存在性是本题的难点.另一种方法是利用函数的单调性,用反证法证明()f x 在(0,)π之间存在两个零点.证法1 令0()(),0xF x f t dt x π=≤≤⎰,则有(0)0,()0F F π==.又00()cos cos ()[cos ()]()sin f x xdx xdF x xF x F x xdx ππππ==+⎰⎰⎰()sin 0F x xdx π==⎰,由积分中值定理知,必有(0,)ξπ∈,使得()sin F x xdx π⎰=()sin (0)F ξξπ⋅-.故()sin 0F ξξ=.又当(0,),sin 0ξπξ∈≠,故必有()0F ξ=.于是在区间[0,],[,]ξξπ上对()F x 分别应用罗尔定理,知至少存在1(0,)ξξ∈,2(,)ξξπ∈,使得12()()0F F ξξ''==,即12()()0f f ξξ==.证法2 由已知条件0()0f x dx π=⎰及积分中值定理知必有10()()(0)0f x dx f πξπ=-=⎰,1(0,)ξπ∈,则有1()0f ξ=.若在(0,)π内,()0f x =仅有一个根1x ξ=,由0()0f x dx π=⎰知()f x 在1(0,)ξ与1(,)ξπ内异号,不妨设在1(0,)ξ内()0f x >,在1(,)ξπ内()0f x <,由()cos 0f x xdx π=⎰,0()0f x dx π=⎰,以及cos x 在[0,]π内单调减,可知:100()(cos cos )f x x dx πξ=-⎰=11110()(cos cos )()(cos cos )f x x dx f x x dx ξπξξξ-+-⎰⎰0>.由此得出矛盾.故()0f x =至少还有另一个实根2ξ,12ξξ≠且2(0,)ξπ∈使得12()()0.f f ξξ==例36 计算2043dxx x +∞++⎰.分析 该积分是无穷限的的反常积分,用定义来计算. 解2043dx x x +∞++⎰=20lim43t t dx x x →+∞++⎰=0111lim ()213t t dx x x →+∞-++⎰ =011lim [ln ]23t t x x →+∞++=111lim (ln ln )233t t t →+∞+-+ =ln 32. 例37计算3+∞⎰.解3+∞⎰2233sec tan sec tan d ππθθθθθ+∞=⎰⎰23cos 1d ππθθ==⎰ 例38计算42⎰分析 该积分为无界函数的反常积分,且有两个瑕点,于是由定义,当且仅当32)⎰43⎰解 由于32⎰32lim aa +→⎰32lim aa +→⎰=32lim[arcsin(3)]a a x +→-=2π.43⎰34lim bb -→⎰34lim bb -→⎰=34lim[arcsin(3)]b b x -→-=2π. 所以42⎰22πππ=+=.例39计算0+∞⎰.分析 此题为混合型反常积分,积分上限为+∞,下限0为被积函数的瑕点. 解t ,则有+∞⎰=50222(1)tdt t t +∞+⎰=50222(1)dt t +∞+⎰,再令tan t θ=,于是可得5022(1dt t +∞+⎰=25022tan (tan 1)d πθθ+⎰=2250sec sec d πθθθ⎰=230sec d πθθ⎰ =32cos d πθθ⎰=220(1sin )cos d πθθθ-⎰=220(1sin )sin d πθθ-⎰=3/21[sin sin ]3πθθ-=23. 例40计算21⎰. 解 由于221112111())d x x x +-==⎰⎰⎰,可令1t x x=-,则当x =时,t =;当0x -→时,t →+∞;当0x +→时,t →-∞;当1x =时,0t =;故有21010211()())2()d x d x x x x x--=++-⎰⎰⎰022dt t +∞-∞=+⎰⎰1arctan )2π=+ . 注 有些反常积分通过换元可以变成非反常积分,如例32、例37、例39;而有些非反常积分通过换元却会变成反常积分,如例40,因此在对积分换元时一定要注意此类情形.例41 求由曲线12y x =,3y x =,2y =,1y =所围成的图形的面积.分析 若选x 为积分变量,需将图形分割成三部分去求,如图5-1所示,此做法留给读者去完成.下面选取以y 为积分变量.解 选取y 为积分变量,其变化范围为[1,2]y ∈,则面积元素为dA =1|2|3y y dy -=1(2)3y y dy -.于是所求面积为211(2)3A y y dy =-⎰=52.例42 抛物线22y x =把圆228x y +=分成两部分,求这两部分面积之比.解 抛物线22y x =与圆228x y +=的交点分别为(2,2)与(2,2)-,如图所示5-2所示,抛物线将圆分成两个部分1A ,2A ,记它们的面积分别为1S ,2S ,则有图5-21S =222)2y dy -⎰=24488cos 3d ππθθ--⎰=423π+,218S A π=-=463π-,于是12S S =423463ππ+-=3292ππ+-.例43 求心形线1cos ρθ=+与圆3cos ρθ=所围公共部分的面积.分析 心形线1cos ρθ=+与圆3cos ρθ=的图形如图5-3所示.由图形的对称性,只需计算上半部分的面积即可.解 求得心形线1cos ρθ=+与圆3cos ρθ=的交点为(,)ρθ=3(,)23π±,由图形的对称性得心形线1cos ρθ=+与圆3cos ρθ=所围公共部分的面积为图5-3A =223203112[(1cos )(3cos )]22d d πππθθθθ++⎰⎰=54π.例44 求曲线ln y x =在区间(2,6)内的一条切线,使得该切线与直线2x =,6x =和曲线ln y x =所围成平面图形的面积最小(如图5-4所示).分析 要求平面图形的面积的最小值,必须先求出面积的表达式.解 设所求切线与曲线ln y x =相切于点(,ln )c c ,则切线方程为1ln ()y c x c c-=-.又切线与直线2x =,6x =和曲线ln y x =所围成的平面图形的面积为图5-4A =621[()ln ln ]x c c x dx c -+-⎰=44(1)4ln 46ln 62ln 2c c-++-+.由于dA dc =2164c c -+=24(4)c c--, 令0dA dc =,解得驻点4c =.当4c <时0dAdc<,而当4c >时0dA dc >.故当4c =时,A 取得极小值.由于驻点唯一.故当4c =时,A 取得最小值.此时切线方程为:11ln 44y x =-+. 例45 求圆域222()x y b a +-≤(其中b a >)绕x 轴旋转而成的立体的体积.解 如图5-5所示,选取x 为积分变量,得上半圆周的方程为2y b =下半圆周的方程为1y b =图5-5则体积元素为3πθ=3cos ρθ=3211-o11-cos ρθ+dV =2221()y y dx ππ-=4π.于是所求旋转体的体积为V=4abπ-⎰=08b π⎰=284a b ππ⋅=222a b π.注 可考虑选取y 为积分变量,请读者自行完成.例46(03研) 过坐标原点作曲线ln y x =的切线,该切线与曲线ln y x =及x 轴围成平面图形D .(1)求D 的面积A ;(2)求D 绕直线x e =旋转一周所得旋转体的体积V . 分析 先求出切点坐标及切线方程,再用定积分求面积A ,旋转体积可用大的立体体积减去小的立体体积进行图5-6计算,如图5-6所示.解 (1)设切点横坐标为0x ,则曲线ln y x =在点00(,ln )x x 处的切线方程是0001ln ()y x x x x =+-. 由该切线过原点知0ln 10x -=,从而0x e =,所以该切线的方程是1y x e=.从而D 的面积10()12y eA e ey dy =-=-⎰. (2)切线1y x e =与x 轴及直线x e =围成的三角形绕直线x e =旋转所得的旋转体积为2113V e π=,曲线ln y x =与x 轴及直线x e =围成的图形绕直线x e =旋转所得的旋转体积为1222011()(2)22y V e e dy e e ππ=-=-+-⎰.因此,所求体积为212(5123)6V V V e e π=-=-+.例47 有一立体以抛物线22y x =与直线2x =所围成的图形为底,而垂直于抛物线的轴的截面都是等边三角形,如图5-7所示.求其体积.解 选x 为积分变量且[0,2]x ∈.过x 轴上坐标为x 的点作垂直于x 轴的平面,与立体相截的截面为等边三角形,其底边长为得等边三角形的面积为图5-7()A x 2=. 于是所求体积为 V =2()A x dx ⎰=2⎰=.例48(03研) 某建筑工程打地基时,需用汽锤将桩打进土层,汽锤每次击打,都将克服土层对桩的阻力而作功,设土层对桩的阻力的大小与桩被打进地下的深度成正比(比例系数为k ,0k >),汽锤第一次击打进地下a (m ),根据设计方案,要求汽锤每次击打桩时所作的功与前一次击打时所作的功之比为常数r (01r <<).问:(1)汽锤打桩3次后,可将桩打进地下多深?(2)若击打次数不限,汽锤至多能将桩打进地下多深?(注:m 表示长度单位米) 分析 本题属于变力作功问题,可用定积分来求.解 (1)设第n 次击打后,桩被打进地下n x ,第n 次击打时,汽锤所作的功为n W (1n =,2,).由题设,当桩被打进地下的深度为x 时,土层对桩的阻力的大小为kx ,所以 12211022x k k W kxdx x a ===⎰,2122222211()()22x x k k W kxdx x x x a ==-=-⎰.由21W rW =得22221x x ra -=,即 222(1)x r a =+,3222223323()[(1)]22x x k kW kxdx x x x r a ==-=-+⎰.由2321W rW r W == 得22223(1)x r a r a -+=,即 2223(1)x r r a =++.从而汽锤击打3次后,可将桩打进地下3x =m ).(2)问题是要求lim n n x →∞,为此先用归纳法证明:1n x +=.假设n x ,则12211()2n nx n n n x k W kxdx x x +++==-⎰2121[(1...)]2n n kx r r a -+=-+++.由2111...n n n n W rW r W r W +-====,得21221(1...)n n n x r r a r a -+-+++=.从而1n x +.于是1lim n n n x +→∞==.()m.例49有一等腰梯形水闸.上底为6米,下底为2米,高为10米.试求当水面与上底相接时闸门所受的水压力.解建立如图5-8所示的坐标系,选取x为积分变量.则过点(0,3)A,(10,1)B的直线方程为135y x=-+.于是闸门上对应小区间[,]x x dx+的窄条所承受的水压力为2dF xy gdxρ=.故闸门所受水压力为F=1012(3)5g x x dxρ-+⎰=5003gρ,其中ρ为水密度,g为重力加速度.图5-8高考定积分应用常见题型大全一.选择题(共21小题)1.(2012•福建)如图所示,在边长为1的正方形OABC中任取一点P,则点P恰好取自阴影部分的概率为()C D.23C D.3.设f(x)=,函数图象与x轴围成封闭区域的面积为()C D.4.定积分的值为()5.如图所示,曲线y=x2和曲线y=围成一个叶形图(阴影部分),其面积是()C D.6.=()7.已知函数f(x)的定义域为[﹣2,4],且f(4)=f(﹣2)=1,f′(x)为f(x)的导函数,函数y=f′(x)的图象如图所示,则平面区域f(2a+b)<1(a≥0,b≥0)所围成的面积是()8.∫01e x dx与∫01e x dx相比有关系式()x x dxx dx x dx9.若a=,b=,则a与b的关系是()10.的值是()C D.11.若f(x)=(e为自然对数的底数),则=()+e2﹣e +e C﹣e2+eD12.已知f(x)=2﹣|x|,则()214.积分=()C15.已知函数的图象与x轴所围成图形的面积为()16.由函数y=cosx(0≤x≤2π)的图象与直线及y=1所围成的一个封闭图形的面积是C D3C D.18.图中,阴影部分的面积是()19.如图中阴影部分的面积是()C D.20.曲线与坐标轴围成的面积是()C D.21.如图,点P(3a,a)是反比例函y=(k>0)与⊙O的一个交点,图中阴影部分的面积为10π,则反比例函数的解析式为()y=高考定积分应用常见题型大全(含答案)参考答案与试题解析一.选择题(共21小题)1.(2012•福建)如图所示,在边长为1的正方形OABC中任取一点P,则点P恰好取自阴影部分的概率为()C D.y=y=﹣﹣,取自阴影部分的概率为=23C D.═,3.设f(x)=,函数图象与x轴围成封闭区域的面积为()C D.S=4.定积分的值为()=5.如图所示,曲线y=x2和曲线y=围成一个叶形图(阴影部分),其面积是()C D.两个解析式求出交点坐标,然后在解:联立得或(6.=()xx∴x7.已知函数f(x)的定义域为[﹣2,4],且f(4)=f(﹣2)=1,f′(x)为f(x)的导函数,函数y=f′(x)的图象如图所示,则平面区域f(2a+b)<1(a≥0,b≥0)所围成的面积是()8.∫01e x dx与∫01e x dx相比有关系式()x x dxx dx x dxx在图象第一象限内圆弧与坐标轴x xx x dx9.若a=,b=,则a与b的关系是())cos b==sinx=)=cos=sinx=sin110.的值是()C D.=﹣﹣=11.若f(x)=(e为自然对数的底数),则=()+e2﹣e +e C﹣e2+eD=12.已知f(x)=2﹣|x|,则()由题意,=+22x+x14.积分=()Cy==15.已知函数的图象与x轴所围成图形的面积为()16.由函数y=cosx(0≤x≤2π)的图象与直线及y=1所围成的一个封闭图形的面积是C D及)的图象与直线及003C D.,×)1=18.图中,阴影部分的面积是()[],[19.如图中阴影部分的面积是()C D.轴负半轴交点(﹣,20.曲线与坐标轴围成的面积是()C D.,积分上限为,积分下限为与坐标轴围成的面积是:0(﹣)21.如图,点P(3a,a)是反比例函y=(k>0)与⊙O的一个交点,图中阴影部分的面积为10π,则反比例函数的解析式为()y=阴影部分的面积等于圆的面积的,即可求得圆的半径,.y==ry=。
定积分例题例1、计算dx x ⎰π20sin分析:可利用积分的可加性将绝对值去掉解:dx x ⎰π20sin ππππππ2020cos cos )sin (sin x x dx x xdx +-=-+=⎰⎰ 4)]1(1[)11(=--+---= 例2、计算dx xxe ⎰12ln 解:dx x x e ⎰12ln 31ln 31ln ln 1312===⎰ee x x xd 例3、计算下列定积分1、dx xe x ⎰2022、⎰exdx x 1ln分析:利用分部积分法,定积分的分部积分公式是⎰⎰-=baba bavdu uv udv ,它与不定积分的区别在于每一项都带有积分上、下限。
解:1、dx xe x ⎰202)(2222202202dx e xe xde x x x ⎰⎰-==4)44(444202=--=-=e e e e x2、⎰exdx x 1ln )ln ln (21ln 21121212x d x x x xdx e e e ⎰⎰-== )1(4121412121212212212--=-=-=⎰e e x e xdx e ee)1(41414122+=+=e e 例4、计算下列无穷限积分:1、dx e x ⎰+∞-03; 2、dx xx e⎰+∞ln 1分析:由定义知,⎰⎰+∞→+∞=bab a dx x f dx x f )(lim )(,对于无穷限积分⎰+∞adx x f )(的求解步骤为①求常义积分)()()(a F b F dx x f ba-=⎰;②计算极限)]()([lim a F b F b -+∞→解:1、dx e x⎰+∞-03)31(lim lim303bx b bxb e dx e-+∞→-+∞→-==⎰31)1(lim 313=--=-+∞→b b e2、dx xx e⎰+∞ln 1+∞===+∞→+∞→⎰be b b e b x x d x ln ln lim ln ln 1lim 说明此无穷积分dx xx e ⎰+∞ln 1是发散的例5、设)(x f ''在],[b a 上连续,证明:)]()([)]()([)(a f a f a b f b f b dx x f x ba-'--'=''⎰分析:利用定积分的分部积分公式证明 证明:⎰⎰⎰'-'='=''ba ba ba ba dx x f x f x x f xd dx x f x )()()()( ba x f a f ab f b )()()(-'-'= )]()([)]()([a f a f a b f b f b -'--'=。
定积分典型例题20例答案例1 求3321lim)n n n →∞+.分析 将这类问题转化为定积分主要是确定被积函数和积分上下限.若对题目中被积函数难以想到,可采取如下方法:先对区间[0,1]n 等分写出积分和,再与所求极限相比较来找出被积函数与积分上下限.解 将区间[0,1]n 等分,则每个小区间长为1i x n ∆=,然后把2111n n n=⋅的一个因子1n 乘入和式中各项.于是将所求极限转化为求定积分.即3321lim)n n n →∞+=31lim )n n n n →∞+=34=⎰.例2 0⎰=_________.解法1 由定积分的几何意义知,0⎰等于上半圆周22(1)1x y -+= (0y ≥)与x 轴所围成的图形的面积.故0⎰=2π. 解法2 本题也可直接用换元法求解.令1x -=sin t (22t ππ-≤≤),则⎰=22tdt ππ-⎰=2tdt =2202cos tdt π⎰=2π 例3 (1)若22()x t xf x e dt -=⎰,则()f x '=___;(2)若0()()xf x xf t dt =⎰,求()f x '=___.分析 这是求变限函数导数的问题,利用下面的公式即可()()()[()]()[()]()v x u x d f t dt f v x v x f u x u x dx ''=-⎰.解 (1)()f x '=422x x xe e ---;(2) 由于在被积函数中x 不是积分变量,故可提到积分号外即0()()xf x x f t dt =⎰,则可得()f x '=0()()xf t dt xf x +⎰.例4 设()f x 连续,且31()x f t dt x -=⎰,则(26)f =_________.解 对等式310()x f t dt x -=⎰两边关于x 求导得32(1)31f x x -⋅=,故321(1)3f x x -=,令3126x -=得3x =,所以1(26)27f =. 例5函数1()(3(0)x F x dt x =>⎰的单调递减开区间为_________.解()3F x '=()0F x '<3>,解之得109x <<,即1(0,)9为所求.例6 求0()(1)arctan xf x t tdt =-⎰的极值点.解 由题意先求驻点.于是()f x '=(1)arctan x x -.令()f x '=0,得1x =,0x =.列表如下:故1x =为()f x 的极大值点,0x =为极小值点.例7 已知两曲线()y f x =与()y g x =在点(0,0)处的切线相同,其中2arcsin 0()xt g x e dt -=⎰,[1,1]x ∈-,试求该切线的方程并求极限3lim ()n nf n→∞.分析 两曲线()y f x =与()y g x =在点(0,0)处的切线相同,隐含条件(0)(0)f g =,(0)(0)f g ''=.解 由已知条件得2(0)(0)0t f g e dt -===⎰,且由两曲线在(0,0)处切线斜率相同知(0)(0)1f g =''===.故所求切线方程为y x =.而3()(0)3lim ()lim33(0)330n n f f n nf f n n→∞→∞-'=⋅==-. 例8 求 22000sin lim(sin )x x xtdtt t t dt→-⎰⎰;分析 该极限属于型未定式,可用洛必达法则. 解 22000sin lim (sin )x x xtdtt t t dt→-⎰⎰=2202(sin )lim (1)(sin )x x x x x x →-⋅⋅-=220()(2)lim sin x x x x →-⋅-=304(2)lim 1cos x x x→-⋅-=2012(2)lim sin x x x→-⋅=0.注 此处利用等价无穷小替换和多次应用洛必达法则.例9 试求正数a 与b,使等式201lim1sin x x x b x →=-⎰成立. 分析 易见该极限属于型的未定式,可用洛必达法则. 解2001lim sin x x x b x →-⎰=20x →=20lim 1cos x x x b x →→-2011cos x x b x →==-,由此可知必有0lim(1cos )0x b x →-=,得1b =.又由2011cos x x x →=-, 得4a =.即4a =,1b =为所求. 例10 设sin 20()sin x f x t dt =⎰,34()g x x x =+,则当0x →时,()f x 是()g x 的( ).A .等价无穷小.B .同阶但非等价的无穷小.C .高阶无穷小.D .低阶无穷小.解法1 由于 22300()sin(sin )cos lim lim()34x x f x x xg x x x →→⋅=+ 2200cos sin(sin )lim lim34x x x x x x →→=⋅+ 22011lim 33x x x →==. 故()f x 是()g x 同阶但非等价的无穷小.选B .解法2 将2sin t 展成t 的幂级数,再逐项积分,得到sin 223370111()[()]sin sin 3!342x f x t t dt x x =-+=-+⎰,则344340001111sin (sin )sin ()1342342lim lim lim ()13x x x x x x f x g x x x x→→→-+-+===++. 例11 计算21||x dx -⎰.分析 被积函数含有绝对值符号,应先去掉绝对值符号然后再积分.解 21||x dx -⎰=0210()x dx xdx --+⎰⎰=220210[][]22x x --+=52.注 在使用牛顿-莱布尼兹公式时,应保证被积函数在积分区间上满足可积条件.如33222111[]6dx x x --=-=⎰,则是错误的.错误的原因则是由于被积函数21x 在0x =处间断且在被积区间内无界.例12 设()f x 是连续函数,且10()3()f x x f t dt =+⎰,则()________f x =.分析 本题只需要注意到定积分()baf x dx ⎰是常数(,a b 为常数).解 因()f x 连续,()f x 必可积,从而10()f t dt ⎰是常数,记1()f t dt a =⎰,则()3f x x a =+,且11(3)()x a dx f t dt a +==⎰⎰.所以2101[3]2x ax a+=,即132a a +=, 从而14a =-,所以 3()4f x x =-.例13 计算21-⎰.分析 由于积分区间关于原点对称,因此首先应考虑被积函数的奇偶性. 解 21-⎰=211--+⎰⎰2是偶函数,而是奇函数,有10-=⎰, 于是21-⎰=214⎰=04⎰=1044dx -⎰⎰由定积分的几何意义可知4π=⎰, 故2114444dx ππ-=-⋅=-⎰⎰.例14 计算220()xd tf x t dt dx -⎰,其中()f x 连续. 分析 要求积分上限函数的导数,但被积函数中含有x ,因此不能直接求导,必须先换元使被积函数中不含x ,然后再求导.解 由于220()xtf x t dt -⎰=2221()2x f x t dt-⎰. 故令22x t u -=,当0t =时2u x =;当t x =时0u =,而2dt du =-,所以220()x tf x t dt -⎰=201()()2x f u du -⎰=201()2x f u du ⎰,故220()x d tf x t dt dx -⎰=201[()]2x d f u du dx ⎰=21()22f x x⋅=2()xf x .错误解答220()xd tf x t dt dx -⎰22()(0)xf x x xf =-=. 错解分析 这里错误地使用了变限函数的求导公式,公式()()()xad x f t dt f x dx 'Φ==⎰中要求被积函数()f t 中不含有变限函数的自变量x ,而22()f x t -含有x ,因此不能直接求导,而应先换元.例15 计算30sin x xdx π⎰.分析 被积函数中出现幂函数与三角函数乘积的情形,通常采用分部积分法.解30sin x xdx π⎰30(cos )xd x π=-⎰330[(cos )](cos )x x x dx ππ=⋅---⎰30cos 6xdx ππ=-+⎰6π=-. 例16 计算120ln(1)(3)x dx x +-⎰.分析 被积函数中出现对数函数的情形,可考虑采用分部积分法.解 120ln(1)(3)x dx x +-⎰=101ln(1)()3x d x +-⎰=1100111[ln(1)]3(3)(1)x dx x x x +-⋅--+⎰ =101111ln 2()2413dx x x-++-⎰11ln 2ln324=-. 例17 计算20sin x e xdx π⎰.分析 被积函数中出现指数函数与三角函数乘积的情形通常要多次利用分部积分法.解 由于2sin xe xdx π⎰20sin xxde π=⎰220[sin ]cos xx e x e xdx ππ=-⎰220cos x e e xdx ππ=-⎰, (1)而20cos xe xdx π⎰20cos xxde π=⎰220[cos ](sin )xx e x e x dx ππ=-⋅-⎰20sin 1x e xdx π=-⎰, (2)将(2)式代入(1)式可得20sin xe xdx π⎰220[sin 1]x e e xdx ππ=--⎰,故20sin xe xdx π⎰21(1)2e π=+.例18 计算1arcsin x xdx ⎰.分析 被积函数中出现反三角函数与幂函数乘积的情形,通常用分部积分法.解 10arcsin x xdx ⎰210arcsin ()2x xd =⎰221100[arcsin ](arcsin )22x x x d x =⋅-⎰21142π=-⎰. (1) 令sin x t =,则21⎰22sin t π=⎰220sin cos cos ttdt t π=⋅⎰220sin tdt π=⎰201cos22t dt π-==⎰20sin 2[]24t t π-4π=. (2)将(2)式代入(1)式中得1arcsin x xdx =⎰8π. 例19设()f x [0,]π上具有二阶连续导数,()3f π'=且0[()()]cos 2f x f x xdx π''+=⎰,求(0)f '.分析 被积函数中含有抽象函数的导数形式,可考虑用分部积分法求解. 解 由于0[()()]cos f x f x xdx π''+⎰00()sin cos ()f x d x xdf x ππ'=+⎰⎰[]000{()sin ()sin }{[()cos ]()sin }f x x f x xdx f x x f x xdx ππππ'''=-++⎰⎰()(0)2f f π''=--=.故 (0)f '=2()235f π'--=--=-. 例20 计算2043dxx x +∞++⎰.分析 该积分是无穷限的的反常积分,用定义来计算.解2043dx x x +∞++⎰=20lim 43t t dx x x →+∞++⎰=0111lim ()213t t dx x x →+∞-++⎰ =011lim [ln ]23t t x x →+∞++=111lim (ln ln )233t t t →+∞+-+ =ln 32.。
定积分典型例题20例答案例1 求3321lim)n n n →∞+.分析 将这类问题转化为定积分主要是确定被积函数和积分上下限.若对题目中被积函数难以想到,可采取如下方法:先对区间[0,1]n 等分写出积分和,再与所求极限相比较来找出被积函数与积分上下限.解 将区间[0,1]n 等分,则每个小区间长为1i x n ∆=,然后把2111n n n=⋅的一个因子1n 乘入和式中各项.于是将所求极限转化为求定积分.即3321lim)n n n →∞+=31lim )n n n n →∞+=34=⎰.例2 0⎰=_________.解法1 由定积分的几何意义知,0⎰等于上半圆周22(1)1x y -+= (0y ≥)与x 轴所围成的图形的面积.故0⎰=2π. 解法2 本题也可直接用换元法求解.令1x -=sin t (22t ππ-≤≤),则⎰=22tdt ππ-⎰=2tdt =2202cos tdt π⎰=2π 例3 (1)若22()x t xf x e dt -=⎰,则()f x '=___;(2)若0()()xf x xf t dt =⎰,求()f x '=___.分析 这是求变限函数导数的问题,利用下面的公式即可()()()[()]()[()]()v x u x d f t dt f v x v x f u x u x dx ''=-⎰.解 (1)()f x '=422x x xe e ---;(2) 由于在被积函数中x 不是积分变量,故可提到积分号外即0()()xf x x f t dt =⎰,则可得()f x '=0()()xf t dt xf x +⎰.例4 设()f x 连续,且31()x f t dt x -=⎰,则(26)f =_________.解 对等式310()x f t dt x -=⎰两边关于x 求导得32(1)31f x x -⋅=,故321(1)3f x x -=,令3126x -=得3x =,所以1(26)27f =. 例5函数1()(3(0)x F x dt x =>⎰的单调递减开区间为_________.解()3F x '=()0F x '<3>,解之得109x <<,即1(0,)9为所求.例6 求0()(1)arctan xf x t tdt =-⎰的极值点.解 由题意先求驻点.于是()f x '=(1)arctan x x -.令()f x '=0,得1x =,0x =.列表如下:故1x =为()f x 的极大值点,0x =为极小值点.例7 已知两曲线()y f x =与()y g x =在点(0,0)处的切线相同,其中2arcsin 0()xt g x e dt -=⎰,[1,1]x ∈-,试求该切线的方程并求极限3lim ()n nf n→∞.分析 两曲线()y f x =与()y g x =在点(0,0)处的切线相同,隐含条件(0)(0)f g =,(0)(0)f g ''=.解 由已知条件得2(0)(0)0t f g e dt -===⎰,且由两曲线在(0,0)处切线斜率相同知(0)(0)1f g =''===.故所求切线方程为y x =.而3()(0)3lim ()lim33(0)330n n f f n nf f n n→∞→∞-'=⋅==-. 例8 求 22000sin lim(sin )x x xtdtt t t dt→-⎰⎰;分析 该极限属于型未定式,可用洛必达法则. 解 22000sin lim (sin )x x xtdtt t t dt→-⎰⎰=2202(sin )lim (1)(sin )x x x x x x →-⋅⋅-=220()(2)lim sin x x x x →-⋅-=304(2)lim 1cos x x x→-⋅-=2012(2)lim sin x x x→-⋅=0.注 此处利用等价无穷小替换和多次应用洛必达法则.例9 试求正数a 与b,使等式201lim1sin x x x b x →=-⎰成立. 分析 易见该极限属于型的未定式,可用洛必达法则. 解2001lim sin x x x b x →-⎰=20x →=20lim 1cos x x x b x →→-2011cos x x b x →==-,由此可知必有0lim(1cos )0x b x →-=,得1b =.又由2011cos x x x →=-, 得4a =.即4a =,1b =为所求. 例10 设sin 20()sin x f x t dt =⎰,34()g x x x =+,则当0x →时,()f x 是()g x 的( ).A .等价无穷小.B .同阶但非等价的无穷小.C .高阶无穷小.D .低阶无穷小.解法1 由于 22300()sin(sin )cos lim lim()34x x f x x xg x x x →→⋅=+ 2200cos sin(sin )lim lim34x x x x x x →→=⋅+ 22011lim 33x x x →==. 故()f x 是()g x 同阶但非等价的无穷小.选B .解法2 将2sin t 展成t 的幂级数,再逐项积分,得到sin 223370111()[()]sin sin 3!342x f x t t dt x x =-+=-+⎰,则344340001111sin (sin )sin ()1342342lim lim lim ()13x x x x x x f x g x x x x→→→-+-+===++. 例11 计算21||x dx -⎰.分析 被积函数含有绝对值符号,应先去掉绝对值符号然后再积分.解 21||x dx -⎰=0210()x dx xdx --+⎰⎰=220210[][]22x x --+=52.注 在使用牛顿-莱布尼兹公式时,应保证被积函数在积分区间上满足可积条件.如33222111[]6dx x x --=-=⎰,则是错误的.错误的原因则是由于被积函数21x 在0x =处间断且在被积区间无界.例12 设()f x 是连续函数,且10()3()f x x f t dt =+⎰,则()________f x =.分析 本题只需要注意到定积分()baf x dx ⎰是常数(,a b 为常数).解 因()f x 连续,()f x 必可积,从而10()f t dt ⎰是常数,记1()f t dt a =⎰,则()3f x x a =+,且11(3)()x a dx f t dt a +==⎰⎰.所以2101[3]2x ax a+=,即132a a +=, 从而14a =-,所以 3()4f x x =-.例13 计算21-⎰.分析 由于积分区间关于原点对称,因此首先应考虑被积函数的奇偶性. 解 21-⎰=211--+⎰⎰2是偶函数,而是奇函数,有10-=⎰, 于是21-⎰=214⎰=04⎰=1044dx -⎰⎰由定积分的几何意义可知4π=⎰, 故2114444dx ππ-=-⋅=-⎰⎰.例14 计算220()xd tf x t dt dx -⎰,其中()f x 连续. 分析 要求积分上限函数的导数,但被积函数中含有x ,因此不能直接求导,必须先换元使被积函数中不含x ,然后再求导.解 由于220()xtf x t dt -⎰=2221()2x f x t dt-⎰. 故令22x t u -=,当0t =时2u x =;当t x =时0u =,而2dt du =-,所以220()x tf x t dt -⎰=201()()2x f u du -⎰=201()2x f u du ⎰,故220()x d tf x t dt dx -⎰=201[()]2x d f u du dx ⎰=21()22f x x⋅=2()xf x .错误解答220()xd tf x t dt dx -⎰22()(0)xf x x xf =-=. 错解分析 这里错误地使用了变限函数的求导公式,公式()()()xad x f t dt f x dx 'Φ==⎰中要求被积函数()f t 中不含有变限函数的自变量x ,而22()f x t -含有x ,因此不能直接求导,而应先换元.例15 计算30sin x xdx π⎰.分析 被积函数中出现幂函数与三角函数乘积的情形,通常采用分部积分法.解 30sin x xdx π⎰30(cos )xd x π=-⎰330[(cos )](cos )x x x dx ππ=⋅---⎰30cos 6xdx ππ=-+⎰6π=-. 例16 计算120ln(1)(3)x dx x +-⎰.分析 被积函数中出现对数函数的情形,可考虑采用分部积分法.解 120ln(1)(3)x dx x +-⎰=101ln(1)()3x d x +-⎰=1100111[ln(1)]3(3)(1)x dx x x x +-⋅--+⎰ =101111ln 2()2413dx x x-++-⎰11ln 2ln324=-. 例17 计算20sin x e xdx π⎰.分析 被积函数中出现指数函数与三角函数乘积的情形通常要多次利用分部积分法.解 由于2sin xe xdx π⎰20sin xxde π=⎰220[sin ]cos xx e x e xdx ππ=-⎰220cos x e e xdx ππ=-⎰, (1)而20cos xe xdx π⎰20cos xxde π=⎰220[cos ](sin )xx e x e x dx ππ=-⋅-⎰20sin 1x e xdx π=-⎰, (2)将(2)式代入(1)式可得20sin xe xdx π⎰220[sin 1]x e e xdx ππ=--⎰,故20sin xe xdx π⎰21(1)2e π=+.例18 计算1arcsin x xdx ⎰.分析 被积函数中出现反三角函数与幂函数乘积的情形,通常用分部积分法.解 10arcsin x xdx ⎰210arcsin ()2x xd =⎰221100[arcsin ](arcsin )22x x x d x =⋅-⎰21142π=-⎰. (1) 令sin x t =,则21⎰22sin t π=⎰220sin cos cos ttdt t π=⋅⎰220sin tdt π=⎰201cos22t dt π-==⎰20sin 2[]24t t π-4π=. (2)将(2)式代入(1)式中得1arcsin x xdx =⎰8π. 例19设()f x [0,]π上具有二阶连续导数,()3f π'=且0[()()]cos 2f x f x xdx π''+=⎰,求(0)f '.分析 被积函数中含有抽象函数的导数形式,可考虑用分部积分法求解. 解 由于0[()()]cos f x f x xdx π''+⎰00()sin cos ()f x d x xdf x ππ'=+⎰⎰[]000{()sin ()sin }{[()cos ]()sin }f x x f x xdx f x x f x xdx ππππ'''=-++⎰⎰()(0)2f f π''=--=.故 (0)f '=2()235f π'--=--=-. 例20 计算2043dxx x +∞++⎰.分析 该积分是无穷限的的反常积分,用定义来计算.解 2043dx x x +∞++⎰=20lim 43t t dx x x →+∞++⎰=0111lim ()213t t dx x x →+∞-++⎰ =011lim [ln ]23t t x x →+∞++=111lim (ln ln )233t t t →+∞+-+ =ln 32.。