大一经济数学微积分06-07(2)_B__answer
- 格式:pdf
- 大小:72.05 KB
- 文档页数:4
中南财经政法大学2006–2007学年第二学期期末考试试卷标准答案及评分标准课程名称:《 微积分(下)》 (A )卷课程代号:__09156020_____ 考试形式:闭卷、笔试使用对象:全校财经类各专业2006级一、填空: 1、0; 2、22-+ydx xdy x y; 3、{}0;4、18; 5、∞; 6、111(,)xdx f x y dy -⎰⎰; 7、11x+;8、π; 9、12π-; 10、xy e e C-=二、判断正误并说明理由:1、错 (1分) 令,u xy v x y ==-,∂''=+∂u v z yf f x(4分)2、错 (1分) 如211,nn u v nn=-=(4分)3、错 (1分) 广义积分3x dx +∞=+∞⎰(4分)4、正确 (1分)当x < 0时,xdt x F x-=-=⎰0)1()(;当x > 0时,x dtx F x==⎰01)(,当x = 0时,F (0) = 0.即F (x ) = |x |,显然,F (x )在(-∞ , +∞)内连续,但在x = 0点不可导. (4分)三、解答下列各题:1、原式=20cos ()xxd e π--⎰201sin x e xdx π-=-⎰(3分)221cos xe exdxππ-=+-⎰ (6分)故原式212e π+=(7分) 2、令21x θ-=,2dx d θθ=,(1分)原式021limεε→+=⎰(3分)21limd εθθ→= (5分)83=(7分) 3、画草图(略)(1分).因为根号下的函数为关于x 的一次函数,“先x 后y ”积分较容易,所以10d d y Dx y y x =⎰⎰⎰⎰(4分)()312221d 3=--⎰yy xy y y(6分)1222d 39==⎰y y (7分)4、利用二元函数的全微分公式或微分形式不变性计算.方法一、 22(4)8,∂'=-⋅∂z f x y x x,22(1,2)(1,2)(4)84∂'∴=-⋅=∂z f x y xx(3分)()()2222(1,2)(1,2)(4)2,(4)22∂∂''=-⋅-∴=-⋅-=-∂∂z z f x y y f x y y yy, (6分)()()()1,21,21,2d d d 4d 2d ⎡⎤∂∂∴=+=-⎢⎥∂∂⎣⎦z zzx y x y xy . (7分)方法二、对()224z f x y =-微分得2222d (4)d (4)'=--z f x y x y (3分)()22(4)8d 2d '=--f x y x x y y (6分)()()1,2d (0)8d 2d 4d 2d '∴=-=-zf x y x y . (7分)5、令212n n u nx-=()21221212222limlimlim22n n n n n n nn x u n x x u nxn++-→∞→∞→∞++===(2分)221111x x x x ∴<< >>即时,级数收敛;即时,级数发散;()111212n n x n x n ∞=∞==--=∑∑时,级数发散;时,级数发散.()1,1∴-收敛域为 (4分)()21,1,1nx x x x x =+++++ ∈--11()242221,1,1nnn x x x xx x∞==+++++=∈--∑ 11 (6分)()()()21222211122,1,111n nn n x nxx x xx ∞∞-=='⎛⎫'∴===∈- ⎪-⎝⎭-∑∑ (7分) 6、220325x V y dx ππ==⎰(4分) 44228y V dy ydy πππ=-=⎰⎰(7分)7、解: s i n (cos )ydx y x edy-= (*) (2分)解(cos )0dx y x dy-= 得 sin yx ce= (4分)令sin ()y x c y e =并代入(*)得:s i ns i n()y y c y ee'= ()c y y c =+(6分)原方程的通解为:s i n ()yx y c e=+ (7分)五、应用题:1.5U V +=拉格朗日函数(,,)( 1.5)L U V R U V λλ=++-(3分)000LU LV Lλ∂⎧=⎪∂⎪∂⎪=⎨∂⎪∂⎪=⎪∂⎩ (6分)01.52U V λ=⎧⎪⇒=⎨⎪=-⎩(9分) 六、证明题证明:作辅助函数()()()x baxF x f t dt g t dt =⎰⎰ (2分)由于(),()f x g x 在[],a b 上连续,所以()F x 在[],a b 上连续,(),a b 内可导,并有()()0F a F b == 由罗尔定理有,()()0,,F a b ξξ'=∈ (4分)即 ()()|()()()()0x bbx a x axf t dtg t dt f g x dx g f x dx ξξξξξ='⎡⎤=-=⎢⎥⎣⎦⎰⎰⎰⎰所以()()()()ξξξξ=⎰⎰a bf x dxf g g x dx(6分)。
第一章 函数极限与连续一、填空题1、已知x x f cos 1)2(sin +=,则=)(cos x f 。
2、=-+→∞)1()34(lim22x x x x 。
3、0→x 时,x x sin tan -是x 的阶无穷小。
4、01sin lim 0=→xx k x 成立的k 为。
5、=-∞→x e x x arctan lim 。
6、⎩⎨⎧≤+>+=0,0,1)(x b x x e x f x 在0=x 处连续,则=b 。
7、=+→xx x 6)13ln(lim 0。
8、设)(x f 的定义域是]1,0[,则)(ln x f 的定义域是__________。
9、函数)2ln(1++=x y 的反函数为_________。
10、设a 是非零常数,则________)(lim =-+∞→xx ax a x 。
11、已知当0→x 时,1)1(312-+ax 与1cos -x 是等价无穷小,则常数________=a 。
12、函数xxx f +=13arcsin)(的定义域是__________。
13、lim ____________x →+∞=。
14、设8)2(lim =-+∞→xx ax a x ,则=a ________。
15、)2)(1(lim n n n n n -++++∞→=____________。
二、选择题1、设)(),(x g x f 是],[l l -上的偶函数,)(x h 是],[l l -上的奇函数,则中所给的函数必为奇函数。
(A))()(x g x f +;(B))()(x h x f +;(C ))]()()[(x h x g x f +;(D ))()()(x h x g x f 。
2、xx x +-=11)(α,31)(x x -=β,则当1→x 时有。
(A)α是比β高阶的无穷小; (B)α是比β低阶的无穷小;(C )α与β是同阶无穷小; (D )βα~。
3、函数⎪⎩⎪⎨⎧=-≥≠-+-+=0)1(0,1111)(3x k x x x x x f 在0=x 处连续,则=k 。
大一上微积分的知识点总结微积分是数学的一个重要分支,是研究物体变化和运动的规律的数学工具。
在大一上学期的微积分课程中,我们学习了许多基础的微积分知识点。
本文将对这些知识点进行总结,以便加深理解和复习。
一、导数与微分导数是描述函数变化率的概念。
在微积分中,我们学习了如何计算函数的导数,并研究了导数的性质和应用。
导数的计算方法包括基本函数的求导法则,如常数规则、幂函数规则、指数函数规则、对数函数规则、三角函数规则等。
此外,我们还学习了利用导数来解决最优化问题、刻画曲线的凹凸性和拐点等内容。
微分是导数的几何意义,描述了函数局部近似线性化的过程。
利用微分,我们可以计算函数在某一点的增量和近似值。
微分的计算方法包括利用导数求微分和利用微分的性质进行计算。
二、积分与定积分积分是导数的逆运算,表示曲线下的面积。
在微积分课程中,我们主要学习了不定积分和定积分两个概念。
不定积分是求导运算的逆运算,表示函数的原函数。
我们学习了求不定积分的基本方法,如分部积分法、换元积分法等。
通过不定积分,我们可以得到函数的通解。
定积分是求曲线下面积的运算。
我们学习了利用定积分计算曲线下面积的方法,如用定积分求曲线与坐标轴所围成的面积、利用定积分计算弧长等。
三、微分方程微分方程是描述变化率关系的方程。
在微积分课程中,我们学习了一阶和二阶微分方程的基本概念和解法。
一阶微分方程的解法包括分离变量法、齐次方程法、一阶线性微分方程法等;二阶微分方程的解法包括特征方程法、常系数法等。
通过学习微分方程的解法,我们可以求得函数的特解,满足初始条件的解。
四、多元函数的导数与积分多元函数是自变量有多个的函数,我们学习了多元函数的偏导数和全微分。
偏导数描述了多元函数在某一方向上的变化率,全微分则表示了多元函数在各个方向上的线性化过程。
多元函数的积分可以通过重积分进行计算,如二重积分和三重积分。
以上是大一上学期微积分课程的主要知识点总结。
通过学习这些知识,我们能够更好地理解函数的性质和变化规律,为后续学习和应用打下坚实的基础。
大一微积分每章知识点总结微积分是数学的重要分支之一,用于研究变化率与累积效应。
在大一微积分课程中,我们学习了许多重要的知识点,这些知识点为我们进一步学习高级数学打下了坚实的基础。
本文将对大一微积分每章的知识点进行总结,以帮助读者巩固所学内容。
第一章:函数与极限在这一章中,我们学习了函数的概念与性质,以及极限的定义与运算法则。
函数是一种将一个数集映射到另一个数集的规则,可以用数学公式或图形表示。
极限是函数在某个点无限接近于某个值的情况,是微积分的基础概念之一。
第二章:导数与微分导数是用来描述函数变化率的概念,它表示函数在某一点处的切线斜率。
我们学习了导数的计算方法,包括基本导数公式、加减乘除法则、链式法则等。
微分则是导数的应用,用于计算函数在某一点的近似值,并研究函数的局部特征。
第三章:微分中值定理与导数的应用在这一章中,我们学习了微分中值定理和导数的应用。
微分中值定理是描述函数在某个区间内存在某点的斜率等于该区间的平均斜率的定理,包括拉格朗日中值定理和柯西中值定理。
导数的应用包括函数的单调性、极值点、凹凸性等的判断与求解。
第四章:不定积分不定积分是导数的逆运算,用于求解函数的原函数。
我们学习了不定积分的基本性质和常用的积分公式,包括换元法、分部积分法、有理函数的积分等。
通过不定积分,我们可以求解函数的面积、曲线长度等问题。
第五章:定积分与定积分的应用定积分是用来计算曲线下面积的工具,也可以表示变化率与累积效应。
我们学习了定积分的定义和性质,以及计算定积分的方法,如换元法、分部积分法和定积分的几何应用等。
定积分的应用包括计算曲线的弧长、质量、物体的质心等。
第六章:微分方程微分方程是用导数和未知函数构成的方程,研究函数之间的关系。
我们学习了常微分方程的基本概念和解法,包括一阶线性微分方程和可分离变量的方程等。
微分方程是实际问题建模与求解的重要工具,应用广泛于物理、化学、工程等领域。
通过对大一微积分每章的知识点进行总结,我们回顾了函数与极限、导数与微分、微分中值定理与导数的应用、不定积分、定积分与定积分的应用、微分方程等内容,巩固了所学知识,并为之后学习高级数学打下了坚实的基础。
第六章 定积分§6.1~6.2 定积分的概念、性质一、填空题1、设()f x 在[,]a b 上连续,n 等分011[,]:n n a b a x x x x b -=<<<<=,并取小区间左端点1i x -,作乘积1()i b af x n --⋅,则11lim ()ni n i b a f x n -→∞=-⋅=∑()d b af x x⎰.2、根据定积分的几何意义,20d x x =⎰2,1x -=⎰2π,sin d x x ππ-=⎰0.3、设()f x 在闭区间[,]a b 上连续,则()d ()d b baaf x x f t t -=⎰⎰0.二、单项选择题1、定积分()d b af x x ⎰(C) .(A) 与()f x 无关 (B) 与区间[,]a b 无关 (C) 与变量x 采用的符号无关 (D) 是变量x 的函数 2、下列不等式成立的是 (C) . (A) 222311d d x x x x >⎰⎰ (B) 22211ln d (ln )d x x x x <⎰⎰(C)110d ln(1)d x x x x >+⎰⎰ (D) 11e d (1)d xx x x <+⎰⎰3、设()f x 在[,]a b 上连续,且()d 0b af x x =⎰,则 (C) .(A) 在[,]a b 的某小区间上()0f x = (B) [,]a b 上的一切x 均使()0f x = (C) [,]a b 内至少有一点x 使()0f x = (D) [,]a b 内不一定有x 使()0f x = 4、积分中值公式()d ()()b af x x f b a ξ=-⎰中的ξ是 (B) .(A) [,]a b 上的任一点 (B) [,]a b 上必存在的某一点(C) [,]a b 上唯一的某一点 (D) [,]a b 的中点5、d arctan d d bax x x =⎰ (D) .析:arctan d b ax x ⎰是常数(A) arctan x (B)211x+ (C) arctan arctan b a - (D) 06、设244123d ,s i n d I x x Ix x ππ===⎰⎰⎰,则123,,I I I 的关系为 (B) .(A) 123I I I >> (B) 213I I I >> (C) 312I I I >> (D) 132I I I >> 7、设41I x =⎰,则I 的值 (A) . (A) 0I ≤≤(B) 115I ≤≤ (C) 1165I ≤≤ (D) 1I ≥析:4()f x =[]0,1上的最大值是2,最小值是0,所以0I ≤≤.三、估计定积分220e d x x I x -=⎰的值.解 记2()e ,[0,2]xxf x x -=∈,则2()(21)e x x f x x -'=-,令()0f x '=,得12x =. 因为1241e ,(0)1,(2)e 2f f f -⎛⎫=== ⎪⎝⎭,所以()f x 在[0,2]上的最大值为2e ,最小值为14e -,从而 212242ee d 2e x x I x --≤=≤⎰.四、设()f x 在[,]a b 上连续,在(,)a b 内可导,且1()d ()baf x x f b b a =-⎰.求证:至少存在一点(,)a b ξ∈,使得()0f ξ'=.证明 由积分中值定理,存在一点[,]a b η∈,使得()d ()()b af x x f b a η=-⎰,即1()d ()b af x x f b a η=-⎰.又由题设可知,()f x 在[,]b η上连续,在(,)b η内可导,且有()()f f b η=,根据罗尔定理,存在一点(,)(,)b a b ξη∈⊂,使得()0f ξ'=.§6.3微积分的基本公式一、填空题1、若20()x f x t t =⎰,则()f x '=32x .2、32d d x x x⎰23、极限0sin 3d lim1cos x x t tx→=-⎰3.4、定积分412d x x -=⎰52.5、设,0()sin ,0x x f x x x ≥⎧=⎨<⎩,则11()d f x x -=⎰1cos12-.6、由方程2d cos d 0e y xt t t t +=⎰⎰所确定的隐函数()y y x =的导数d d y x=2cos ey x-.7、设()f x 是连续函数,且31()d x f t t x -=⎰,则(7)f =112.8、设13201()()d 1f x x f x x x =++⎰,则10()d f x x =⎰3π.析:设10()d f x x A =⎰,则等式两端同时积分得111320001()d d d 1f x x x x A x x =+⋅+⎰⎰⎰ 1013arctan |,,4443A x A A A ππ=+⋅∴==. 9、设()f x 在闭区间[,]a b 上连续,且()0f x >,则方程1()d d 0()x x abf t t t f t +=⎰⎰在开区间(,)a b 内有1个实根.析:设1()()d d ()x x abF x f t t t f t =+⎰⎰,则有 1()d 0,()()d 0()a b ba F a t Fb f t t f t =<=>⎰⎰,由根的存在定理知至少有存在一个(),a b ξ∈使得()0F ξ=;若方程有两个根,不妨设1,2ξξ即12()0,()0F F ξξ==,则由罗尔定理知,(),a b ξ∃∈使得()0F ξ'=, 即使得1()0()f x f x +=成立,这与()0f x >矛盾, 所以方程又且只有一个根.二、单项选择题1、下列积分中能用微积分基本公式的只有 (C) .(A) 11d x x -⎰ (B) 31e d ln x x x ⎰(C) 1-⎰(D) 1-⎰2、设2()()d xa x F x f t t x a=-⎰,其中()f x 是连续函数,则lim ()x a F x →= (B) . (A) 2a (B) 2()a f a (C) 0 (D) 不存在3、设561cos 2()sin d ,()56x x x f x t t g x -==+⎰,则当0x →时,()f x 是()g x 的 (B) .(A) 低阶无穷小 (B) 高阶无穷小 (C) 等价无穷小 (D) 同阶但不等价无穷小 析: 1cos 42056450004()sin d ()2limlimlim 0()56xx x x x xt tf x x xg x x x-→→→⋅===++⎰. 三、求020(e 1)d limsin x t x t t x x→-⎰.解 根据洛必得法则,得202322000(e 1)d (e 1)d (e 1)1limlimlim lim sin 333x x t t x x x x x t t t t x x x xx x x →→→→---====⎰⎰.四、求函数20()e d xtI x t t -=⎰的极值.解 2()e x I x x -'=,()2222()ee (2)12e x x x I x x x x ---''=+-=-.令()0I x '=,得驻点0x =,又(0)10I ''=>,所以0x =是()I x 得极小值点,极小值为(0)0I =.五、求x .解x x x ==⎰()()24204sin cos d cos sin d sin cos d x x x x x x x x x ππππ=-=-+-⎰⎰⎰()()42042sin cos cos sin x x x x πππ=++--=.六、已知0()()d 1cos xx t f t t x -=-⎰,证明:20()d 1f x x π=⎰.证明 原式可化为 0()d ()d 1cos x xx f t t tf t t x -=-⎰⎰,两边对x 求导,得()d ()()sin xf t t xf x xf x x +-=⎰,即0()d sin xf t t x =⎰,令2x π=,得20()d sin12f t t ππ==⎰,即 20()d 1f x x π=⎰.§6.4 定积分的换元积分法一、填空题1、设()f x 在区间[,]a a -上连续,则2[()()]d a ax f x f x x ---=⎰.2、91x =⎰2ln 2. 3、09912(21)d x x -+=⎰1200.4、31e =⎰2. 5、(211d x x -=⎰2.6、222d 2x xx x -+=+⎰ln3. 7、x =⎰4π.8、设211e ,22()11,2x x x f x x ⎧-≤<⎪⎪=⎨⎪-≥⎪⎩,则212(1)d f x x -=⎰12-.二、单项选择题1、设()f x 是连续函数,()d ()d b baaf x x f a b x x -+-=⎰⎰ (A) .(A) 0 (B) 1 (C) a b + (D) ()d b af x x ⎰析:令a b x y +-=,则()d ()d ()d ()dy 0b bbaaaabf x x f a b x x f x xg x -+-=+=⎰⎰⎰⎰2、设()f x 是连续函数,()F x 是()f x 的原函数,则 (A) . (A) 若()f x 是奇函数,()F x 必为偶函数 (B) 若()f x 是偶函数,()F x 必为奇函数 (C) 若()f x 是周期函数,()F x 必为周期函数 (D) 若()f x 是单调增函数,()F x 必为单调增函数 析:(B)反例:()cos ,()sin 1f x x F x x ==+(C)反例:()1,()f x F x x ==(D)反例:212(),()f x x F x x == 三、计算下列定积分1、()234332011311211222d 3d 32233t t t t t t t t -+⎛⎫⋅=+=+= ⎪⎝⎭⎰⎰. 2、()1ln 1122000021d 21d 2arctan 2112t t t t t t t t π⎛⎫⋅=-=-=- ⎪++⎝⎭⎰⎰.3、d d t t t t =⎰1t=-=.四、设()f x 是连续函数,证明:02(sin )d (sin )d xf x x f x x πππ=⎰⎰.证明(sin )d ()(sin )(d )=()(sin )d x txf x xt f t t t f t t ππππππ=-=---⎰⎰⎰令(sin )d (sin )d (sin )d (sin )d f t t tf t t f x x xf x x ππππππ=-=-⎰⎰⎰⎰.从而 02(sin )d (sin )d xf x x f x x πππ=⎰⎰,即 02(sin )d (sin )d xf x x f x x πππ=⎰⎰.五、设(),()f x g x 在[,](0)a a a ->上连续,且()f x 满足条件()()f x f x A +-=(A 为常数),()g x 为偶函数. (1)证明:()()d ()d a aaf xg x x A g x x -=⎰⎰;(2)利用(1)的结论计算定积分22sin arctan e d xx x ππ-⎰.(1)证明00()()d ()()d ()()d a aaaf xg x x f x g x x f x g x x --=+⎰⎰⎰,而000()()d ()()(d )()()d ()()d a aaax tf xg x xf tg t t f t g t t f x g x x -=----=-=-⎰⎰⎰⎰令,所以()()d ()()d ()()d a aaaf xg x x f x g x x f x g x x -=-+⎰⎰⎰[]0()()()d ()d a af x f xg x x A g x x =-+=⎰⎰.(2)解 取()arctan e ,()sin ,2xf xg x x a π===,令 ()()()arctan earctan e xx F x f x f x -=-+=+,则 ()2222e e e e ()arctan e arctan e 01e 1e 1e 1e x x x x xx x x x xF x -----''=+=+=+=++++,所以 ()F x A =(常数),又(0)arctan1arctan12arctan12F π=+==,即 ()()2f x f x A π-+==.于是有22202sin arctan e d sin d sin d 222xx x x x x x πππππππ-===⎰⎰⎰.§6.5 定积分的分部积分法一、填空题1、cos d x x x π=⎰2-.2、已知()f x 的一个原函数是2ln x ,则1e()d xf x x '=⎰1.3、11()e d xx x x --+=⎰124e --.4、设0sin ()d xtf x t t π=-⎰,则0()d f x x π=⎰2. 析:0000sin sin ()d ()|d ()d x x f x x xf x x x x x x xπππππππ=-=---⎰⎰⎰0(cos )|2x π=-=. 二、计算下列定积分1、2001d arccos 122x x x x =+=-⎰⎰12==+. 2、1e111e1e 1e 1111eeee11ln d (ln )d ln d ln d ln d x x x x x x x x x x x x x x x x =-+=-+⋅+-⋅⎰⎰⎰⎰⎰1121e e 12e e e=-+-+-+=-. 3、ln 2ln 2ln 20ln 2ln 211e d d(e )e e d ln 2e (1ln 2)22x x xx xx x x x x -----=-=-+=--=-⎰⎰⎰. 4、2222200001cos 211sin d d d cos 2d 222x x x x x x x x x x x ππππ-=⋅=-⎰⎰⎰⎰22220022011d(sin 2)sin 2sin 2d 44164x x x x x x x πππππ⎛⎫⎪=-=-- ⎪ ⎪⎝⎭⎰⎰22201110cos 21642164x πππ⎛⎫ ⎪=-+=+ ⎪⎝⎭. 5、1102x x =⎰⎰(被积函数为偶函数)方法一 :122arcsin dx =-⎰1202arcsin x x ⎫=--⎪⎪⎝⎭212x ⎛⎫=-- ⎪ ⎪⎝⎭1202d 1x ⎫=--=-⎪⎪⎝⎭⎰. 方法二:166sin arcsin cos dt cos t txt x t t ππ-=⎰⎰602d(-cos )1t t π==-⎰. 6、111120000ln(1)1ln(1)1d ln(1)d d ln(1)(2)222x x x x x x x x x ++⎛⎫=+=-+ ⎪----⎝⎭⎰⎰⎰ 11001111ln 2d ln 2d (2)(1)321x x x x x x ⎛⎫=-=-+ ⎪-+-+⎝⎭⎰⎰[]1121ln 2ln(2)ln(1)ln 2ln 2ln 2333x x =---++=-=.三、设()f x 是连续函数,证明:000()d d ()()d x u xf t t u x u f u u ⎡⎤=-⎢⎥⎣⎦⎰⎰⎰.证明()0000()d d ()d d()d ()d ()d xx u u x u x xf t t u u f t t u f t t x f t t uf u u ⎡⎤=-=-⎢⎥⎣⎦⎰⎰⎰⎰⎰⎰⎰()d ()d ()d ()d xxx xx f u u uf u u xf u u uf u u =-=-⎰⎰⎰⎰()()d xx u f u u =-⎰.§6.6 广义积分与Γ函数一、单项选择题1、下列广义积分收敛的是 (D) . (A)e d xx +∞⎰(B) e1d ln x x x +∞⎰(C) 1x +∞⎰ (D) 321d x x +∞-⎰2、以下结论中错误的是 (D) .(A) 201d 1x x +∞+⎰收敛 (B) 20d 1x x x +∞+⎰发散 (C) 2d 1x x x +∞-∞+⎰发散 (D) 2d 1x x x +∞-∞+⎰收敛 3、1211d x x -=⎰ (D) .(A) 0 (B) 2 (C) 2- (D) 发散析:1101222210101111d d d ,d x x x x x x x x --=+⎰⎰⎰⎰发散,0211d x x-⎰也发散。
大一经管类微积分知识点总结微积分作为一门重要的数学工具和学科,是经管类专业中必不可少的一门课程。
通过学习微积分,我们可以揭开经济、管理等领域中隐藏的规律和本质。
在大一的微积分学习中,不可避免地会遇到一些难点和容易混淆的概念。
本文将对大一经管类微积分中的一些重要知识点进行总结和讲解。
一、导数与导函数在微积分的学习中,导数与导函数是我们首先要掌握的概念。
导数表示了函数在某一点上的变化率,而导函数则是函数在其定义域上的导数的集合。
导数的基本概念是极限,如果函数在某一点上的极限存在,则称该点可导。
如果函数在其定义域上的每一个点都可导,那么我们就可以得到一个导函数。
导数有一些基本的运算法则,如导数的和、常数倍、乘积、商等。
这些法则可以方便地对各种函数进行求导运算。
此外,还可以通过链式法则、隐函数求导法则、参数方程求导法则等来求解一些特殊的函数。
二、微分学的应用微分学是微积分的一个重要分支,它研究了函数变化的规律和性质。
在实际应用中,微分学具有广泛的应用价值。
其中,最重要的应用之一就是求解极值问题。
通过对函数的导数进行分析,可以找到函数的最大值和最小值,并且可以确定函数取得最值的点。
另外,微分学也可以用于解决优化问题。
例如,在经济学中,我们常常需要确定一个函数的最优解,以实现资源的有效配置和效益的最大化。
通过对函数的导数进行求解,可以找到函数的临界点,并通过求解这些临界点的函数值来确定最优解。
三、积分与定积分积分是微积分的另一个重要概念。
它是导数的反运算。
通过积分可以求出函数的原函数,即给定一个函数f(x),我们可以求出它的原函数F(x),并且满足F'(x)=f(x)。
在微积分学中,我们主要关注于定积分。
定积分可以看作是函数在某一区间上的“累积量”。
通过积分,我们可以计算函数曲线与坐标轴所夹的面积,这是定积分的几何意义。
同时,定积分还具有重要的物理和经济学中的应用。
例如,在经济学中,我们可以通过计算边际收益和边际成本的面积差来确定某一投入是否合理。
大学大一微积分知识点总结微积分是数学中的重要分支,也是大多数理工科专业学生必修的一门课程。
在大学的微积分课程中,学生们需要掌握一系列基本的知识点,并能够运用这些知识点解决实际问题。
本文将对大学大一微积分课程的知识点进行总结,以帮助学生们更好地理解和掌握微积分的内容。
一、导数与微分1. 导数的定义及求导法则导数表示了函数在某一点上的变化率,可以通过定义或者求导法则来计算。
求导法则包括常数导数、幂函数导数、指数函数导数、对数函数导数、三角函数导数等。
2. 高阶导数与隐函数求导高阶导数表示导数的导数,可以通过递归地求导来计算。
隐函数求导用于求解含有隐含变量的函数的导数。
二、微分应用1. 最值与极值利用导数的概念和性质,可以求解函数的最值和极值问题。
其中,极值点需要通过导数的一阶和二阶导数条件进行判断。
2. 曲线的凹凸性与拐点利用导数的一阶和二阶导数可以判断曲线的凹凸性和拐点位置,从而帮助分析曲线的性质和形状。
3. 泰勒公式与近似计算泰勒公式是一种利用函数在某一点的导数信息来逼近函数值的方法,可以用于计算函数在某一点的近似值。
三、不定积分与定积分1. 不定积分的定义与性质不定积分表示函数的原函数,可以通过反向计算导数来求解。
不定积分具有线性性质和换元积分法则等特点。
2. 基本积分公式与常见积分表达式基本积分公式包括幂函数积分、三角函数积分、指数函数的积分等常用积分表达式,学生需要熟练掌握。
3. 定积分的概念与性质定积分表示函数在一定区间上的累积效果,可以通过面积的概念来理解。
定积分具有线性性质、积分中值定理等特点。
4. 牛顿-莱布尼茨公式与定积分的应用牛顿-莱布尼茨公式表示定积分与不定积分之间的关系,可以简化定积分的计算。
定积分的应用包括求曲线下的面积、求弧长、求体积等。
四、微分方程1. 微分方程的基本概念与分类微分方程描述了函数与其导数之间的关系,可以根据方程中未知函数的阶数和自变量的个数进行分类。
2. 一阶常微分方程的解法一阶常微分方程的解法包括可分离变量法、齐次方程法、一阶线性方程法等方法。
大一微积分知识点总结微积分是大一学生学习的一门重要课程,它是数学的一个分支,主要研究变化的规律。
微积分知识点繁多,涉及面广,对于大一的学生来说,掌握微积分知识是非常重要的。
下面我将对大一微积分知识点进行总结,希望能够帮助大家更好地学习和掌握微积分知识。
首先,我们来看一元函数的微分和积分。
一元函数的微分是指在一个点上函数值的变化率,通常用导数来表示。
而积分则是对函数在一个区间上的累积效果的描述,通常用定积分来表示。
微分和积分是微积分的两个基本概念,它们是密切相关的,可以相互转化。
接下来,我们来看一元函数的微分和积分的基本公式。
对于一元函数的微分来说,最基本的微分公式是导数的定义公式,即f'(x) = lim(h->0) [f(x+h)-f(x)]/h。
而对于一元函数的积分来说,最基本的积分公式是定积分的定义公式,即∫[a,b] f(x)dx = lim(n->∞) Σf(xi)Δx。
除了基本的微分和积分公式外,还有一些常用的微积分公式,比如常见的导数和不定积分的公式,如导数公式f'(x) = nx^(n-1)和不定积分公式∫x^n dx =x^(n+1)/(n+1) + C。
这些公式在解决微积分问题时非常有用,需要大家熟练掌握和灵活运用。
另外,微积分中还有一些重要的定理,比如中值定理、积分中值定理、洛必达法则等。
这些定理在微积分的证明和应用中起着重要的作用,对于理解微积分的原理和方法非常有帮助。
最后,我们来看一元函数微积分的应用。
微积分在物理、经济、生物等领域有着广泛的应用,比如在物理学中,微积分可以用来描述物体的运动规律;在经济学中,微积分可以用来描述供求关系和市场变化规律;在生物学中,微积分可以用来描述生物种群的增长规律等。
因此,学好微积分对于将来的学习和工作都是非常重要的。
综上所述,大一微积分知识点总结包括了一元函数的微分和积分、基本公式、常用公式、重要定理和应用等内容。
经济学微积分知识点大一上经济学是一门应用广泛的学科,其中涉及到很多与数学相关的知识,其中微积分便是不可或缺的一环。
在大一上学期,学生们通常会接触到一些经济学微积分的基础知识。
下面,我们将一起回顾并简要探讨一些重要的经济学微积分知识点。
一、导数和边际效应微积分的核心概念之一就是导数。
在经济学中,导数可以用来描述一物体、一变量或者一个函数的变化率。
对于经济学而言,导数的应用十分广泛。
例如,我们可以通过导数来计算一个企业的成本函数在某一特定产量下的边际成本。
边际成本表示的是额外生产一件产品所增加的成本。
通过计算成本函数的导数,我们可以得到该企业在某一产量下的边际成本。
同样地,导数也可以用于计算收入函数的边际收益、效用函数的边际效用等等。
这些边际效应在经济学中具有重要的作用,它们帮助我们理解经济行为背后的动机和决策过程。
二、优化问题和极值点微积分还可以应用于解决经济学中的优化问题。
在经济学中,我们经常需要找到一个最优解来满足某些特定的条件。
这个最优解往往对应于一个函数的极值点。
对于单变量函数而言,我们可以通过计算导数来找到该函数的驻点和拐点。
驻点是函数的极值点,而拐点则是函数取得极值的转折点。
通过进一步的计算,我们可以确定这些驻点和拐点是否是局部极值点。
同样地,对于多变量函数而言,我们可以通过计算偏导数来找到函数在某一特定点的极值。
偏导数描述了函数在特定变量上的变化率。
优化问题在经济学中的应用非常广泛。
例如,在生产函数中,我们可以通过优化求解来确定最大产量条件下的最小成本。
在消费理论中,我们可以通过优化求解来确定消费者在有限收入条件下的最大满足程度。
这些问题的解决对于经济主体的决策和资源配置具有重要的意义。
三、微分和积分微积分的另一个重要概念是微分和积分。
微分可以看作是导数的一个近似表示,而积分则可以看作是导数的逆运算。
微分与积分的应用同样广泛。
在经济学中,微分可以用于确定边际变化率。
例如,我们可以通过计算收益函数的微分来确定该函数在某一点的边际收益率。
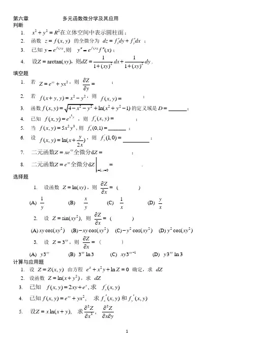
第六章 多元函数微分学及其应用判断 1.222x y R +=在立体空间中表示圆柱面;2. 函数 (,)z f x y = 的全微分为 x y dz f dy f dx ''=+ ;3. ()(),()f x f x y e y e f x ''''==已知则;4. arctan()Z xy =设,22111()1()dZ dx dy xy xy =+++则. 填空题1. 若 2xy Z e yx =+,则 Z y∂=∂______;2. 若 22(,)f x y y x y +=-,则 (,)f x y =________;3. 函数22(,)ln(1)f x y x y =+-的定义域是D =______;4. 已知 2(,)x y f x y e= ,则 '(,)x f x y =________;5. 当 23(,)5f x y x y =,则 '(0,1)x f =_______ ;6. 设 (,)ln()2y f x y x x=+,则 '(1,0)y f =;7. xyZ xe Z ==二元函数全微分d ___________;8. 1,0xy x y Z e Z====二元函数全微分d ___________.选择题1. 设函数 ln()Z xy =,则Zx∂=∂ ( ) (A) 1y (B) x y (C) 1x (D) y x2. 设 2sin(),Z xy = 则 Z x∂=∂ ( )(A)2cos()xy xy (B)2cos()xy xy - (C)22cos()y xy - (D)22cos()y xy3. 设 3xy Z =,则 Zx∂=∂ ( )(A) 3xyy (B) 3ln 3xy (C) 13xy xy - (D) 3ln 3xy y计算与应用题1. 设 (,)Z Z x y = 由方程 2ln 0Ze x y Z ++= 确定,求 dZ 2. 设函数 2ln()Z x y =+,求 dZ 3. '(,)2,(,)y y f x y xy e f x y =+已知求4. 2(,),(,)(,)xy x y f x y e yx f x y f x y ''=+已知求和5. 222ln(),,ZZZ x x y xx y∂∂=+∂∂∂设求6. 设lnZ =求偏导数7. 已知 2242(3),x yZ ZZ x y x y+∂∂=+∂∂设求和2. 二重积分 判断题 1.Dd σ⎰⎰ 等于平面区域 D 的面积;2. 二重积分 100(,)ydy f x y dx ⎰⎰ 交换积分次序后为 11(,)xdx f x y dy ⎰⎰;计算与应用题1. 计算二重积分2dxdy ⎰⎰,其中积分区域为 2214xy ≤+≤。
大一微积分函数习题答案大一微积分函数习题答案微积分是数学中的一门重要学科,其在各个领域都有广泛的应用。
对于大一学生来说,微积分是必修课程之一,而函数是微积分的基础。
在学习微积分函数时,习题练习是必不可少的环节。
本文将为大家提供一些大一微积分函数习题的答案,希望能够帮助大家更好地理解和掌握这门学科。
1. 求函数f(x) = x^2 - 3x + 2的极值点和极值。
首先,我们需要求出函数的导数f'(x)。
对于f(x) = x^2 - 3x + 2,求导得到f'(x) = 2x - 3。
然后,我们需要求出f'(x) = 0时的x值,即2x - 3 = 0。
解方程得到x = 3/2。
接下来,我们将x = 3/2代入函数f(x)中,得到f(3/2) = (3/2)^2 - 3(3/2) + 2 = 1/4。
所以,函数f(x) = x^2 - 3x + 2的极值点为x = 3/2,极小值为1/4。
2. 求函数f(x) = x^3 - 6x^2 + 9x的拐点。
首先,我们需要求出函数的二阶导数f''(x)。
对于f(x) = x^3 - 6x^2 + 9x,求导得到f'(x) = 3x^2 - 12x + 9,再次求导得到f''(x) = 6x - 12。
然后,我们需要求出f''(x) = 0时的x值,即6x - 12 = 0。
解方程得到x = 2。
接下来,我们将x = 2代入函数f(x)中,得到f(2) = 2^3 - 6(2)^2 + 9(2) = 2。
所以,函数f(x) = x^3 - 6x^2 + 9x的拐点为x = 2,拐点坐标为(2, 2)。
3. 求函数f(x) = e^x的反函数。
函数f(x) = e^x的反函数记作f^(-1)(x)。
为了求出反函数,我们需要将y = e^x 转化为x = f^(-1)(y)的形式。
首先,将y = e^x转化为x = ln(y)。
大一经济数学习题答案大一经济数学习题答案在大一学习经济数学时,习题是我们巩固知识、提高能力的重要方式之一。
然而,有时候我们可能会遇到一些难题,无法得到正确的答案。
本文将为大一经济数学中一些常见的习题提供答案,并对解题思路进行简要的分析。
一、微积分1. 计算函数 f(x) = 2x^3 - 5x^2 + 3x - 7 的导数。
解答:对于多项式函数 f(x) = 2x^3 - 5x^2 + 3x - 7,我们可以按照幂次逐项求导。
首先,对于 x^n,其导数为 n*x^(n-1)。
因此,我们可以得到 f'(x) = 6x^2 - 10x + 3。
2. 求函数 f(x) = e^x * ln(x) 的导数。
解答:根据指数函数和对数函数的导数公式,我们可以得到 f'(x) = e^x * ln(x) + e^x / x。
3. 求函数f(x) = ∫(0,x) t^2 dt 的导数。
解答:根据牛顿-莱布尼茨公式,我们可以将该函数视为一个定积分的上限函数,即 f(x) = F(x) - F(0),其中F(x) = ∫(0,x) t^2 dt。
根据定积分的基本性质,我们可以得到 f'(x) = F'(x) - F'(0) = x^2 - 0 = x^2。
二、线性代数1. 求矩阵 A = [1 2; 3 4] 的逆矩阵。
解答:我们可以使用矩阵的伴随矩阵求逆矩阵。
首先,计算矩阵 A 的行列式为|A| = 1*4 - 2*3 = -2。
然后,计算矩阵 A 的伴随矩阵为 A* = [4 -2; -3 1]。
最后,根据逆矩阵的定义,我们可以得到 A 的逆矩阵为 A^-1 = A*/|A| = [4/-2 -2/-2;-3/-2 1/-2] = [-2 1; 3/2 -1/2]。
2. 求向量 v = [1; 2; 3] 在向量空间 span{[1; 0; 0], [0; 1; 0]} 中的投影向量。
大一微积分习题及答案大一微积分习题及答案微积分是大一学生必修的一门重要课程,它是数学的一个分支,主要研究函数的变化规律和面积、体积等数学概念。
学习微积分的过程中,习题是不可或缺的一部分,通过解答习题可以巩固所学的知识,并提高解决问题的能力。
下面将介绍几个常见的微积分习题及其答案。
1. 求函数f(x) = x^2在区间[0, 2]上的定积分。
解答:根据定积分的定义,可以将区间[0, 2]划分为若干个小区间,然后计算每个小区间上函数值的乘积,并将其累加起来。
在本题中,我们可以将区间[0, 2]划分为n个小区间,每个小区间的长度为Δx = (2-0)/n。
然后,计算每个小区间上函数值的乘积,即f(xi) * Δx,其中xi为小区间的中点。
最后,将所有小区间上的乘积累加起来,即可得到定积分的近似值。
2. 求函数f(x) = sin(x)在区间[0, π/2]上的定积分。
解答:同样地,我们可以将区间[0, π/2]划分为n个小区间,每个小区间的长度为Δx = (π/2-0)/n。
然后,计算每个小区间上函数值的乘积,即f(xi) * Δx,其中xi为小区间的中点。
最后,将所有小区间上的乘积累加起来,即可得到定积分的近似值。
3. 求函数f(x) = 3x^2 + 2x - 1的不定积分。
解答:不定积分是定积分的逆运算,即求函数的原函数。
在本题中,我们可以使用求导的逆运算来求解不定积分。
首先,对函数f(x)进行求导,得到f'(x) = 6x + 2。
然后,我们可以通过反向求导的方法,找到f(x)的原函数。
在本题中,f(x)的原函数为F(x) = 2x^3 + x^2 - x + C,其中C为常数。
因此,函数f(x)的不定积分为F(x) + C。
通过以上几个习题的解答,我们可以看到微积分的应用范围是非常广泛的。
无论是求解定积分还是不定积分,都需要我们熟练掌握微积分的基本概念和计算方法。
在学习微积分的过程中,我们可以通过大量的习题来提高自己的解题能力,同时也可以加深对微积分知识的理解和掌握。
高等数学经济应用数学基础微积分课后习题答案标题:高等数学经济应用数学基础微积分课后习题答案详解高等数学是大学数学的重要组成部分,它在经济、物理、工程等领域都有着广泛的应用。
在经济应用数学基础微积分课程中,学生需要掌握微积分的基本概念和技能,包括极限、导数、微分、积分等。
本文将对这些基本概念和技能进行详细的解释,并给出一些相应的例题和答案。
一、极限极限是微积分的基础,它描述了一个变量在趋近于某个值时变化的趋势。
在数学上,我们用lim表示极限,记作lim f(x) = A,其中f(x)是自变量x的函数,A是一个常数。
例1:求lim(x->0) sin(x)/x。
解:当x趋近于0时,sin(x)和x都趋近于0,因此我们可以使用洛必达法则来求解。
将分子和分母分别求导,得到lim(x->0) cos(x)/1 = 1。
二、导数导数描述了一个函数在某一点的变化率,记作f'(x)。
如果f'(x)是一个常数,那么f(x)就是线性的;如果f'(x)不是常数,那么f(x)就是非线性的。
例2:求f(x) = x^3的导数。
解:f'(x) = 3x^2。
三、微分微分是导数的逆运算,它描述了一个函数在某一点的微小变化。
记作df(x) = f'(x)dx。
例3:求f(x) = x^3的微分。
解:df(x) = 3x^2dx。
四、积分积分是微分的逆运算,它可以将一个函数的微小变化累积起来,得到这个函数的积分。
记作∫f(x)dx。
例4:求∫(x^2)dx。
解:∫(x^2)dx = (1/3)x^3+C,其中C为常数。
以上就是微积分的基本概念和技能,通过这些例题和答案,我们可以更好地理解和掌握这些概念和技能,为后续的学习和应用打下坚实的基础。
经济应用数学基础教案标题:经济应用数学基础教案一、文章类型与目标本文将提供一份全面的经济应用数学基础教案,旨在为教师提供教学指导,帮助学生掌握与经济相关的数学基础知识,为进一步学习经济学、金融学等专业课程打下坚实的基础。
大一经济数学微积分知识点微积分是经济学和数学中的重要分支,它提供了解决各种经济问题的工具和方法。
在大一的经济数学课程中,学生们将接触到一些基本的微积分知识点。
本文将介绍一些大一经济数学微积分的重要知识点,帮助读者更好地理解和应用这些知识。
1. 函数与导数在微积分中,函数是一个十分基础的概念。
函数可以描述各种经济变量之间的关系,例如需求曲线、供给曲线等。
函数的导数是描述函数变化率的工具,它可以帮助我们求解函数的极值,判断函数的凹凸性等。
在经济学中,导数有着广泛的应用,例如弹性系数的计算、边际成本的评估等。
2. 一元函数的微分学微分学是微积分的核心内容之一。
在大一的经济数学课程中,我们学习了一元函数的微分学。
通过求解函数的微分,我们可以更加深入地理解函数的性质和行为。
例如,微分可以帮助我们计算函数某一点的切线斜率,从而得到函数在该点的局部线性近似。
这对于理解经济曲线的弹性、边际意义等具有重要意义。
3. 一元函数的积分学积分学是微积分的另一大分支,它与微分学密切相关。
在大一的经济数学课程中,我们学习了一元函数的积分学。
通过计算函数的积分,我们可以对函数进行累积求和,从而获得一些重要的经济意义。
例如,积分可以帮助我们计算经济变量的总量、平均值等。
此外,积分还可以帮助我们解决一些应用问题,例如计算经济曲线下的面积等。
4. 多元函数的微分学与积分学在实际的经济问题中,我们经常遇到多个变量同时变化的情况。
为了解决这类问题,我们需要学习多元函数的微分学和积分学。
通过对多元函数的求导和积分,我们可以研究多个变量之间的关系,并得到一些重要的经济结论。
例如,通过求解多元函数的偏导数,我们可以计算经济变量之间的边际效应;通过对多元函数的多重积分,我们可以计算多个经济变量的累积效应。
5. 应用案例分析在学习微积分的过程中,经济学教师通常会结合一些实际案例进行分析。
通过这些案例,我们可以将微积分理论与实际经济问题相结合,更好地应用所学知识。