第四章 信息率失真函数-习题答案
- 格式:doc
- 大小:164.50 KB
- 文档页数:3
《信息论与编码》习题解答第四章 信息率失真函数-习题答案4.1解:依题意可知:失真矩阵:⎥⎦⎤⎢⎣⎡=0110d ,转移概率⎥⎦⎤⎢⎣⎡--=εεεε11)|(i j a b p 平均失真:εεεεε=⨯-⨯+⨯⨯+⨯⨯+⨯-⨯==∑∑==0)1(2/112/112/10)1(2/1),()|()(2121j i i j i j i b a d a b p a p D4.2解:依题意可知:失真矩阵:⎥⎦⎤⎢⎣⎡=0210d , 0min =D ,∑=⨯+⨯=⨯+⨯===ij i i j j y x d x p D D )102/122/1(2/112/102/1),()(min min max 舍去当0min =D ,bit X H R D R 12log )()0()(min ====因为没有失真,此时的转移概率为⎥⎦⎤⎢⎣⎡=1001P当2/1max =D ,0)(max =D R因为取的是第二列的max D 值,所以输出符号概率:,1)(,0)(21==b p b p ,,2221b a b a →→因此编码器的转移概率为⎥⎦⎤⎢⎣⎡=1010P 4.3解:0min =D0041041041041),(min )(43041141141141),()(min min min max =⨯+⨯+⨯+⨯===⨯+⨯+⨯+⨯===∑∑i j i j i i j i i j j y x d x p D y x d x p D D 当0min =D ,bit X H R D R 24log )()0()(min ==== 因为没有失真,此时的转移概率为⎥⎥⎥⎥⎦⎤⎢⎢⎢⎢⎣⎡=1000010000100001P 当4/3max =D ,0)(max =D R因为任何一列的max D 值均为3/4,所以取输出符号概率:0)(,0)(,0)(,1)(4321====b p b p b p b p ,即14131211,,,b a b a b a b a →→→→因此编码器的转移概率为⎥⎥⎥⎥⎦⎤⎢⎢⎢⎢⎣⎡=0001000100010001P 4.4解: 依题意可知:失真矩阵:⎥⎦⎤⎢⎣⎡=4/1014/110d , 0min =D∑=⨯+⨯===ij i i j j y x d x p D D )2/12(4/1)4/12/14/12/1min(),()(min min max 个均为其它当0min =D ,bit X H R D R 12log )()0()(min ====因为没有失真,此时的转移概率为⎥⎦⎤⎢⎣⎡=010001P 当4/1max =D ,0)(max =D R因为取的是第三列的max D 值为1/4,所以取输出符号概率:1)(,0)(,0)(321===b p b p b p ,即3231,b a b a →→因此编码器的转移概率为⎥⎦⎤⎢⎣⎡=100100P 4.5解:(1)依题意可知:失真矩阵:⎥⎦⎤⎢⎣⎡=0110d ,转移概率为:⎥⎦⎤⎢⎣⎡-=q q P 101 )1(0)1()1(1)1(1001),()|()(11p q q p q p p p y x d x y p x p D n i mj j i i j i -⨯=⨯-⨯-+⨯⨯-+⨯⨯+⨯⨯==∑∑==(2) 0min =D因为)(D R 是D 的递减函数,所以)1log()1(log )()()())(m ax (min min p p p p D H p H D R D R ----=-==当0=q 时可达到))(max(D R ,此时0=D(3) ∑-=⨯+⨯===iji i j j ,p p p p y x d x p D D )1(10),()(min min max 舍去更大另一个 因为)(D R 是D 的递减函数,所以0)()()())(m in(max max =-==D H p H D R D R当1=q 时可达到))(min(D R ,此时p D -=1(图略,见课堂展示)4.6解:依题意可知:失真矩阵:⎥⎦⎤⎢⎣⎡∞∞=1010d ,信源⎥⎦⎤⎢⎣⎡=⎥⎦⎤⎢⎣⎡2/12/110)(u p u 0min =D ,∑⨯+⨯⨯+∞⨯∞⨯+⨯===iji i j j y x d x p D D )12/112/1,02/12/1,2/102/1min(),()(min min max )(1]1,,m in[舍去另二个,∞=∞∞=10≤≤D因为二元等概信源率失真函数:⎪⎭⎫ ⎝⎛-=a D H n D R ln )( 其中1,2==a n ,所以率失真函数为:D D R -=1)(4.7解:失真矩阵为⎥⎥⎥⎦⎤⎢⎢⎢⎣⎡=011101110d ,按照P81页方法求解。
第4章作业1. 设输入符号表与输出符号表为X =Y ={0,1,2,3},且输入信号的分布为p (X = i ) = 1/4,i =0,1,2,3,设失真矩阵为0111101111011110⎡⎤⎢⎥⎢⎥=⎢⎥⎢⎥⎣⎦d 求D min 、D max 和R (D min )、R (D max )以及相应的编码器转移概率矩阵,并求出信源的R(D)函数,画出其曲线(取4至5个点)。
解:10110 41011A A n A P n A A n -⎡⎤⎢⎥⎡⎤-⎢⎥⎢⎥⎢⎥⎢⎥=↔==⎢⎥⎢⎥⎢⎥⎢⎥-⎢⎥⎣⎦⎢⎥-⎣⎦d有114i p n ==得:()()111011i ji ij ijA AD p P d n n n A n n n-==-⨯⨯+⨯⨯=--∑∑所以1A D =-,进而:()()1111j i ji iA A q p P n n n n n-==+-⨯=-∑()()()()()()()()()1111 ,,,,,1111 ,,1,,,11 log 1log 11log11log ,1log 1 2,1log 3j ji R D H q H p AA H H A n n n n D D H H D n n n n D Dn D D n n n n H D D D n H D D D ==--⎛⎫⎛⎫=- ⎪ ⎪--⎝⎭⎝⎭⎛⎫⎛⎫=-- ⎪ ⎪--⎝⎭⎝⎭=+--+-⨯--=----=--- ()minmin 0,2D R D bit ==,此时1000010000100001⎡⎤⎢⎥⎢⎥=⎢⎥⎢⎥⎣⎦P()maxmax 3/4,0D R D ==,此时1000100010001000⎡⎤⎢⎥⎢⎥=⎢⎥⎢⎥⎣⎦P2. 设输入符号为X ={0,1},输出符号为Y ={0,1}。
输入信号的概率分布为P =(1/2,1/2),失真函数为d (0,0) = d (1,1) = 0,d (0,1) =d (1,0) =α。
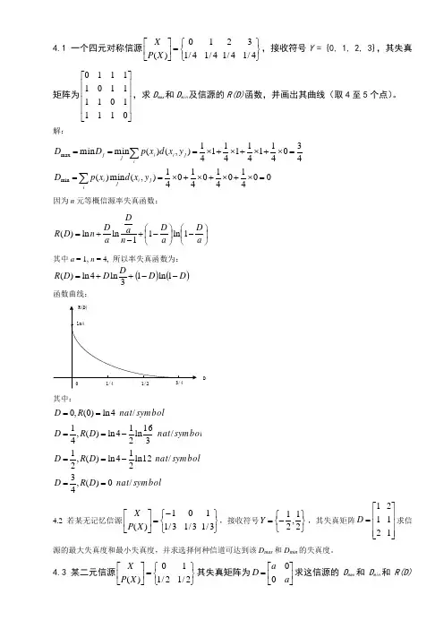
4.1 一个四元对称信源⎭⎬⎫⎩⎨⎧=⎥⎦⎤⎢⎣⎡4/14/1324/14/110)(X P X ,接收符号Y = {0, 1, 2, 3},其失真矩阵为⎥⎥⎥⎥⎦⎤⎢⎢⎢⎢⎣⎡0111101111011110,求D max 和D min 及信源的R(D)函数,并画出其曲线(取4至5个点)。
解: 0041041041041),(min )(43041141141141),()(min min min max =⨯+⨯+⨯+⨯===⨯+⨯+⨯+⨯===∑∑ij i j i i j i i j j y x d x p D y x d x p D D 因为n 元等概信源率失真函数:⎪⎭⎫ ⎝⎛-⎪⎭⎫ ⎝⎛-+-+=a D a D n a Da D n D R 1ln 11ln ln )( 其中a = 1, n = 4, 所以率失真函数为:()()D D D D D R --++=1ln 13ln4ln )( 函数曲线:D 其中:sym bol nat D R D sym bol nat D R D sym bol nat D R D sym bolnat R D /0)(,43/12ln 214ln )(,21/316ln 214ln )(,41/4ln )0(,0==-==-==== 4.2 若某无记忆信源⎭⎬⎫⎩⎨⎧-=⎥⎦⎤⎢⎣⎡3/113/13/101)(X P X ,接收符号⎭⎬⎫⎩⎨⎧-=21,21Y ,其失真矩阵⎥⎥⎥⎦⎤⎢⎢⎢⎣⎡=112211D 求信源的最大失真度和最小失真度,并求选择何种信道可达到该D max 和D min 的失真度。
4.3 某二元信源⎭⎬⎫⎩⎨⎧=⎥⎦⎤⎢⎣⎡2/12/110)(X P X 其失真矩阵为⎥⎦⎤⎢⎣⎡=a a D 00求这信源的D max 和D min 和R(D)函数。
解:0021021),(min )(202121),()(min min min max =⨯+⨯===⨯+⨯===∑∑ij i j i i j i i j j y x d x p D a a y x d x p D D 因为二元等概信源率失真函数:⎪⎭⎫ ⎝⎛-=a D H n D R ln )( 其中n = 2, 所以率失真函数为:⎥⎦⎤⎢⎣⎡⎪⎭⎫ ⎝⎛-⎪⎭⎫ ⎝⎛-+-=a D a D a D a D D R 1ln 1ln 2ln )( 4.4 已知信源X = {0, 1},信宿Y = {0, 1, 2}。
4.1 一个四元对称信源⎭
⎬⎫⎩⎨⎧=⎥⎦⎤⎢⎣⎡4/14/1324/14/110)(X P X ,接收符号Y = {0, 1, 2, 3},其失真矩阵为⎥⎥⎥⎥⎦
⎤⎢⎢⎢⎢⎣⎡0111
101111011110,求D max 和D min 及信源的R(D)函数,并画出其曲线(取4至5个点)。
解: 0041041041041),(min )(43041141141141),()(min min min max =⨯+⨯+⨯+⨯===⨯+⨯+⨯+⨯===∑∑i
j i j i i j i i j j y x d x p D y x d x p D D 因为n 元等概信源率失真函数:
⎪⎭
⎫ ⎝⎛-⎪⎭⎫ ⎝⎛-+-+=a D a D n a D
a D n D R 1ln 11ln ln )( 其中a = 1, n = 4, 所以率失真函数为:
()()D D D D D R --++=1ln 13
ln
4ln )( 函数曲线:
D 其中:
symbol nat D R D symbol nat D R D symbol nat D R D symbol
nat R D /0)(,4
3/12ln 2
14ln )(,21/3
16ln 214ln )(,41/4ln )0(,0==-==-==== 4.2 若某无记忆信源⎭⎬⎫⎩⎨⎧-=⎥⎦⎤⎢⎣⎡3/113/13/101)(X P X ,接收符号⎭⎬⎫⎩⎨⎧-=21,21Y ,其失真矩阵⎥⎥⎥⎦
⎤⎢⎢⎢⎣⎡=112211D 求信源的最大失真度和最小失真度,并求选择何种信道可达到该D max 和D min 的失真度。
4.3 某二元信源⎭⎬⎫⎩⎨⎧=⎥⎦⎤⎢⎣⎡2/12/110)(X P X 其失真矩阵为⎥⎦
⎤⎢⎣⎡=a a D 00求这信源的D max 和D min 和R(D)
函数。
解:
0021021),(min )(202121),()(min min min max =⨯+⨯===⨯+⨯===∑∑i
j i j i i j i i j j y x d x p D a a y x d x p D D 因为二元等概信源率失真函数:
⎪⎭
⎫ ⎝⎛-=a D H n D R ln )( 其中n = 2, 所以率失真函数为:
⎥⎦
⎤⎢⎣⎡⎪⎭⎫ ⎝⎛-⎪⎭⎫ ⎝⎛-+-=a D a D a D a D D R 1ln 1ln 2ln )( 4.4 已知信源X = {0, 1},信宿Y = {0, 1, 2}。
设信源输入符号为等概率分布,而且失真函数⎥⎦⎤⎢⎣⎡∞∞=1100D ,求信源的率失真函数R(D)。
4.5 设信源X = {0, 1, 2, 3},信宿Y = {0, 1, 2, 3, 4, 5, 6}。
且信源为无记忆、等概率分布。
失真函数定义为
⎪⎪⎩⎪⎪⎨⎧∞======其他
且且53,21
41,010),(j i j i j i y x d j i 证明率失真函数R(D)如图所示。
log2
2log2
D
4.6 设信源X = {0, 1, 2},相应的概率分布p (0) = p (1) = 0.4,p (2) = 0.2。
且失真函数为 )2,1,0,(10),(=⎩⎨⎧≠==j i j i j i y x d j i
(1) 求此信源的R(D);
(2) 若此信源用容量为C 的信道传递,请画出信道容量C 和其最小误码率P k 之间的曲线关系。
4.7 设0 < α, β < 1, α + β = 1。
试证明:αR(D ’) +βR(D ”) ≥ R(αD ’ +βD ”)
4.8 试证明对于离散无记忆N 次扩展信源,有R N (D) = NR(D)。
其中N 为任意正整数,D ≥ D min 。
4.9 设某地区的“晴天”概率p (晴) = 5/6,“雨天”概率p (雨) = 1/6,把“晴天”预报为“雨天”,把“雨天”预报为“晴天”造成的损失为a 元。
又设该地区的天气预报系统把“晴天”预报为“晴天”,“雨天”预报为“雨天”的概率均为0.9;把把“晴天”预报为“雨天”,把“雨天”预报为“晴天”的概率均为0.1。
试计算这种预报系统的信息价值率v (元/比特)。
4.10 设离散无记忆信源⎭
⎬⎫⎩⎨⎧=⎥⎦⎤⎢⎣⎡3/13/13/1)(321x x x X P X 其失真度为汉明失真度。
(1) 求D min 和R(D min ),并写出相应试验信道的信道矩阵;
(2) 求D max 和R(D max ),并写出相应试验信道的信道矩阵;
(3) 若允许平均失真度D = 1/3,试问信源的每一个信源符号平均最少有几个二进制符号表示?
解:
⎪⎪⎩⎪⎪⎨⎧≠-+=-+==⨯+⨯+⨯==∑j i e n e j i e n x y p y x d x p D sa sa sa i j i
j i j i ,)1(1,)1(11)/(0031031031),(min )(min
4.11 设信源⎭
⎬⎫⎩⎨⎧-=⎥⎦⎤⎢⎣⎡p p x x X P X 1)(21(p < 0.5),其失真度为汉明失真度,试问当允许平均失真度D = 0.5p 时,每一信源符号平均最少需要几个二进制符号表示?
解:
因为二元信源率失真函数:
⎪⎭
⎫ ⎝⎛-=a D H p H D R )()( 其中a = 1(汉明失真), 所以二元信源率失真函数为:
)()()(D H p H D R -= 当2
p D =时 []symbol nat p p p p p p p p p H p H p R /21ln 212ln 2)1ln()1(ln 2)(2⎥⎦
⎤⎢⎣⎡⎪⎭⎫ ⎝⎛-⎪⎭⎫ ⎝⎛-++--+-=⎪⎭⎫ ⎝⎛-=⎪⎭⎫ ⎝⎛。