极值点偏移(自主整理) 答案
- 格式:pdf
- 大小:563.21 KB
- 文档页数:16
极值点偏移的问题(含答案)21212()ln ,(1()1121()()3(),,f x x ax a f x x x a a f m f mf x x x x x e =-==⋅1.已知为常数)()若函数在处的切线与轴平行,求的值;()当时,试比较与的大小;()有两个零点证明:>21212()ln (),,.f x x ax f x x x x x e =-⋅变式:已知函数,a 为常数。
(1)讨论的单调性;(2)若有两个零点,试证明:>2012120()+sin,(0,1);2()()()()(),2.xf x x ax x f x a a f x f x f x f x x x x π=+∈=+2.已知(1)若在定义域内单调递增,求的取值范围;(2)当=-2时,记取得极小值为若求证>()2121212121()ln -,()2(1=()()()(1)()1,,0,2f x x ax x a R f f xg x f x ax g x a x x f x f x x x x x =+∈-++=+≥3.已知(1)若)0,求函数的最大值;(2)令=-,求函数的单调区间;(3)若=-2,正实数满足()证明:212122(1)1(1)1,,x x x x x e -+>>4.设a>0,函数f(x)=lnx-ax,g(x)=lnx-证明:当时,g(x)>0恒成立;(2)若函数f(x)无零点,求实数a 的取值范围;(3)若函数f(x)有两个相异零点x 求证:x1212312()2ln ,1()2(),8f x x a a x a R f x f x x x x x a x x a =--∈<⋅<5.已知常数。
()求的单调区间;()有两个零点,且;(i)指出的取值范围,并说明理由;(ii)求证:6.设函数()e ()x f x ax a a =-+∈R ,其图象与x 轴交于1(0)A x ,,2(0)B x ,两点,且12x x <.(1)求a 的取值范围;(2)证明:0f '<(()f x '为函数()f x 的导函数);。
极值点的“偏移”问题一、极值点“偏移”图示(左右对称,无偏移,如二次函数;若f(x1)=f(x2),则x1+x2=2x0)(左陡右缓,极值点向左偏移;若f(x1)=f(x2),则x1+x2>2x0)(左缓右陡,极值点向右偏移;若f(x1)=f(x2),则x1+x2<2x0)二、极值点偏移问题的结论不一定总是x1+x2>(<)2x0,也可能是x1x2>(<)x20.三、解题策略:对称化构造法;双变元不等式问题解法一【例1】已知函数f(x)=x e-x 如果x1≠x2,且f(x1)=f(x2),证明:x1+x2>2.1.设函数f(x)=(x−2)e x+a(x−1)2有两个零点.(1)求a的取值范围;(2)设x1,x2是f(x)的两个零点,证明:x1+x2<2.2.设函数 f(x)=ln x−ax(a>0),且实数m使得方程f(x)=m有两个不等实根x1,x2,其中x1<x2.求证:(1)0<x1<1a<x2;(2)x1+x22>1a.3.设函数f(x)=ln xx,且实数m使得方程f(x)=m有两个不等实根x1,x2,其中x1<x2.求证:(1)0<x1<e<x2;(2)x1+x22>e;(3)1x1+1x2>2ⅇ.4.已知函数f(x)=e x-ax有两个不同的零点x1,x2,其极值点为x0. (1)求a的取值范围;(2)求证:x1+x2<2x0;(3)求证:x1+x2>2;(4)求证:x1x2<1.5. 设函数f(x)=e x−ax,其中a>e,(1)求证:函数f(x)有且仅有两个零点x1,x2,且0<x1<1<x2;(2)对于(1)中的x1,x2,求证:f′(x1)+f′(x2)>0.6.已知函数f(x)=x ln x-x,两相异正实数x1,x2满足f(x1)=f(x2).求证:x1+x2>2.总结:用对称化构造的方法解决极值点偏移问题分为以下三步:(1)求导,获得f(x)的单调性,极值情况,作出f(x)的图象,由f(x1)=f(x2)得x1,x2的取值范围(数形结合);(2)构造辅助函数,对结论x1+x2>(<)2x00,构造F(x)=f(x)-f(2x0-x);对结论x1x2>(<)x20,构造F(x)=f(x)-f⎝⎛⎭⎫x20x,求导,限定范围(x1或x2的范围),判定符号,获得不等式;(3)代入x1(或x2),利用f(x1)=f(x2)及f(x)的单调性证明最终结论.双变元不等式问题解法二【例2】(2020·重庆调研二)已知函数f(x)=x ln x,g(x)=12mx2+x.设F(x)=f(x)-g(x),已知F(x)在(0,+∞)上存在两个极值点x1,x2,且x1<x2,求证:x1x2>e2(其中e为自然对数的底数).1.设A(x1,y1),B(x2,y2)是函数f(x)=ax2+(1−2a)x−ln x图像 C上不同两点,M为线段AB的中点,过M作x轴的垂线交曲线C于N点.试问:曲线C在点N处的切线是否平行于直线AB?2.设函数f(x)=x2−(a−2)x−a ln x,a>0.若方程f(x)=m有两个不等实根x1,x2,求证:f′(x1+x22)>0.3.设函数f(x)=x ln x,且实数m使得方程f(x)=m有两个不等实根x1,x2,求证:x1x2<1ⅇ2.4.设函数f(x)=ln xx,且实数m使得方程f(x)=m有两个不等实根x1,x2,求证:f′(x1)+f′(x2)>0. 5.设函数f(x)=e x−ax+a有两个零点x1,x2,求证:x1x2<x1+x2.6. 已知函数f(x)=ln x和g(x)=ax,若存在两个实数x1,x2,且x1≠x2,满足f(x1)=g(x1),f(x2)=g(x2),求证:x1x2>e2.。
专题20极值点偏移问题1.极值点偏移的含义若单峰函数f (x )的极值点为x 0,则极值点的偏移问题的图示及函数值的大小关系如下表所示.极值点x 0函数值的大小关系图示极值点不偏移x 0=x 1+x 22f (x 1)=f (2x 0-x 2)极值点偏移左移x 0<x 1+x 22峰口向上:f (x 1)<f (2x 0-x 2)峰口向下:f (x 1)>f (2x 0-x 2)右移x 0>x 1+x 22峰口向上:f (x 1)>f (2x 0-x 2)峰口向下:f (x 1)<f (2x 0-x 2)2.函数极值点偏移问题的题型及解法极值点偏移问题的题设一般有以下四种形式:(1)若函数f (x )在定义域上存在两个零点x 1,x 2(x 1≠x 2),求证:x 1+x 2>2x 0(x 0为函数f (x )的极值点);(2)若在函数f (x )的定义域上存在x 1,x 2(x 1≠x 2)满足f (x 1)=f (x 2),求证:x 1+x 2>2x 0(x 0为函数f (x )的极值点);(3)若函数f (x )存在两个零点x 1,x 2(x 1≠x 2),令x 0=x 1+x 22,求证:f ′(x 0)>0;(4)若在函数f (x )的定义域上存在x 1,x 2(x 1≠x 2)满足f (x 1)=f (x 2),令x 0=x 1+x 22,求证:f ′(x 0)>0.3.极值点偏移问题的一般解法3.1对称化构造法主要用来解决与两个极值点之和,积相关的不等式的证明问题.其解题要点如下:(1)定函数(极值点为0x ),即利用导函数符号的变化判断函数的单调性,进而确定函数的极值点0x .(2)构造函数,即对结论1202x x x +>型,构造函数0()()(2)F x f x f x x =--或00()()()F x f x x f x x =+--;(3)对结论2120x x x ⋅>型,构造函数20()()()x F x f x f x=-,通过研究()F x 的单调性获得不等式.(4)判断单调性,即利用导数讨论()F x 的单调性.(5)比较大小,即判断函数()F x 在某段区间上的正负,并得出()f x 与0(2)f x x -的大小关系.(6)转化,即利用函数f (x )的单调性,将()f x 与0(2)f x x -的大小关系转化为x 与02x x -之间的关系,进而得到所证或所求.3.2.差值代换法(韦达定理代换令1212,x x t x x t =±=.)差值换元的目的也是消参、减元,就是根据已知条件首先建立极值点之间的关系,然后利用两个极值点之差作为变量,从而实现消参、减元的目的.设法用差值(一般用t 表示)表示两个极值点,即12t x x =-,化为单变量的函数不等式,继而将所求解问题转化为关于t 的函数问题求解.3.3.比值代换法比值换元的目的也是消参、减元,就是根据已知条件首先建立极值点之间的关系,然后利用两个极值点的比值作为变量,从而实现消参、减元的目的.设法用比值(一般用t 表示)表示两个极值点,即12x t x =,化为单变量的函数不等式,继而将所求解问题转化为关于t 的函数问题求解.3.4.对数均值不等式法两个正数a 和b (),(, )ln ln ().a ba b L a b a ba ab -⎧≠⎪=-⎨⎪=⎩(, )2a bL a b +≤≤(此式记为对数平均不等式)取等条件:当且仅当a b =时,等号成立.3.5指数不等式法在对数均值不等式中,设m a e =,nb e =,则()(,)()m nme e m n E a b m n e m n ⎧-≠⎪=-⎨⎪=⎩,根据对数均值不等式有如下关系:2(,)2m nm ne e eE a b ++≤≤专项突破练1.已知函数()1ln f x x a x=++.(1)求函数()f x 的单调区间;(2)当()()()1212f x f x x x =≠时,证明:122x x +>.【解析】(1)∵()1ln f x x a x=++,∴()22111x f x x x x -'=-=,令()0f x '=,得x =1,当01x <<时,()0f x '<,()f x 单调递减;当1x >时,()0f x '>,()f x 单调递增,故函数()f x 的减区间为()0,1,增区间为()1,+∞;(2)由(1)知,不妨设1201x x <<<,构造函数()()()2g x f x f x =--,01x <<,故()()()()()()2222241112022x x x g x f x f x x x x x ----'''=+-=+=<--,故()g x 在()0,1上单调递减,()()10g x g >=,∵()10,1x ∈,∴()()()11120g x f x f x =-->,又∵()()12f x f x =,∴()()2120f x f x -->,即()()212f x f x >-,∵1201x x <<<,∴2x ,()121,x -∈+∞,又∵()f x 在()1,+∞上单调递增,∴212x x >-,即122x x +>,得证.2.已知函数()()e ln xf x x a =+.(1)若()f x 是增函数,求实数a 的取值范围;(2)若()f x 有两个极值点1x ,2x ,证明:122x x +>.【解析】(1)函数的定义域为()0,∞+,()1e ln x f x x a x ⎛⎫'=++ ⎪⎝⎭,若()f x 是增函数,即()0f x '≥对任意0x >恒成立,故1ln 0x a x++≥恒成立,设()1ln g x x a x=++,则()22111x g x x x x -'=-=,所以当01x <<时,()0g x '<,()g x 单调递减,当1x >时,()0g x '>,()g x 单调递增,所以当1x =时,()()min 11g x g a ==+,由10a +≥得1a ≥-,所以a 的取值范围是[)1,-+∞.(2)不妨设120x x <<,因为1x ,2x 是()f x 的两个极值点,所以()11111e ln 0x f x x a x ⎛⎫'=++= ⎪⎝⎭,即111ln 0x a x ++=,同理221ln 0x a x ++=,故1x ,2x 是函数()1ln g x x a x=++的两个零点,即()()120g x g x ==,由(1)知,()()min 110g x g a ==+<,故应有(),1a ∞∈--,且1201x x <<<,要证明122x x +>,只需证212x x >-,只需证()()()()211122g x g x g x g x --=--()()111111111111ln ln 2ln ln 2022x a x a x x x x x x ⎡⎤=++--++=+--+>⎢⎥--⎣⎦,设()()11ln ln 22h x x x x x =+--+-,(]0,1x ∈,则()()()()()22222224111111102222x x x h x x x x x x x x x ---'=----=-≤----,所以()h x 在()0,1上单调递减,因为()10,1x ∈,所以()()110h x h >=,即()()2120g x g x -->,()()212g x g x >-,又21>x ,121x ->,及()g x 在()1,+∞上单调递增,所以212x x >-成立,即122x x +>成立.3.已知函数()()11e xf x x -=+.(1)求()f x 的极大值;(2)设m 、n 是两个不相等的正数,且()()11e 1e 4e n m m n m n +-+++=,证明:2m n +<.【解析】(1)因为()()111e 1e x x f x x x --+==+的定义域为R ,()1e x xf x -'=-,当0x <时,()0f x '>,此时函数()f x 单调递增,当0x >时,()0f x '<,此时函数()f x 单调递减,所以,函数()f x 的极大值为()0e f =.(2)证明:因为()()11e 1e 4e n m m n m n +-+++=,则11114e e em n m n --+++=,即()()4f m f n +=,由(1)知,函数()f x 在(),1-∞上单调递增,在()1,+∞上单调递减,因为m 、n 是两个不相等的正数,且满足()()4f m f n +=,不妨设01m n <<<,构造函数()()()2g x f x f x =+-,则()()()1122ee x xxx g x f x f x ---'''=--=--,令()()h x g x '=,则()()()()111111e 1e e ex x x x xh x x x -----'=---=--.当01x <<时,101x x ->>-,则()0h x '<,此时函数()h x 单调递减,当1x >时,101x x ->>-,则()0h x '<,此时函数()h x 单调递减,又因为函数()h x 在()0,∞+上连续,故函数()h x 在()0,∞+上单调递减,当01x <<时,()()10h x h >=,即()0g x '>,故函数()g x 在()0,1上为增函数,故()()()()()()214f m f m g m g f m f n -+=<==+,所以,()()2f n f m >-,21m -> 且1n >,函数()f x 在()1,+∞上为减函数,故2n m <-,则2m n +<.4.已知函数()1ln xf x ax+=(1)讨论f (x )的单调性;(2)若()()2112e e xxx x =,且121200x x x x >>≠,,,证明:>【解析】(1)()()2ln 0xf x x ax -'=>当0a >时,()01x ∈,,()0f x '>,所以()f x 单调递增;()1x ∈+∞,,()0f x '<,所以()f x 单调递减;当0a <时,()01x ∈,,()0f x '<,所以()f x 单调递减;()1x ∈+∞,,()0f x '>,所以()f x 单调递增;(2)证明:()()2112x x x x =e e ,∴()()2112ln ln x x x x =e e ,()()1212ln ln x x x x =e e 即当1a =时,()()12f x f x =由(1)可知,此时1x =是()f x 的极大值点,因此不妨令1201x x <<<>22122x x +>①当22x ≥时,22122x x +>成立;②当212x <<时先证122x x +>此时()2201x -∈,要证122x x +>,即证:122x x >-,即()()122f x f x >-,即()()222f x f x >-即:()()2220f x f x -->①令()()()()()()1ln 21ln 21,22x x g x f x f x x x x+-+=--=-∈-,∴()()()()()222222ln 2ln 2ln 2ln ln 02x x x x x x g x x x x x x ---'=-->--=->-∴()g x 在区间()12,上单调递增∴()()10x g g >=,∴①式得证.∴122x x +>∵21112x x +>,22212x x +>∴221212222x x x x ++>+∴()221212222x x x x +>+->>5.已知函数()22ln x f x x a=-(a ∈R 且0a ≠).(1)2a =,求函数()f x 在()()22f ,处的切线方程.(2)讨论函数()f x 的单调性;(3)若函数()f x 有两个零点12x x 、()12x x <,且2e a =,证明:122e x x +>.【解析】(1)当2a =时,()22ln 2x f x x =-,所以()222ln 2f =-.()2f x x x '=-,所以()22212f '=-=.所以函数()f x 在()()22f ,处的切线方程为()22ln 22y x --=-,即2ln 2y x =-.(2)()f x 的定义域为(0,+∞),22()x f x a x'=-.当a <0时,()0f x '<恒成立,所以()f x 在(0,+∞)上单调递减;当a >0时,(222()x f x x x a x ax'=-=.在(上,()0f x '<,所以()f x 单调递减;在)+∞上,()0f x '>,所以()f x 单调递增.(3)当2e a =,()222ln ex f x x =-.由(2)知,()f x 在()0,e 上单调递减,在()e,∞+上单调递增.由题意可得:()12(0,e),e,x x ∈∈+∞.由(2e)22ln 20f =->及2()0f x =得:()2e,2e x ∈.欲证x 1+x 2>2e ,只要x 1>2e-x 2,注意到f (x )在(0,e)上单调递减,且f (x 1)=0,只要证明f (2e-x 2)>0即可.由22222()2ln 0ex f x x =-=得22222e ln x x =.所以22222(2e )(2e )2ln(2e )e x f x x --=--2222224e 4e 2ln(2e )e x x x -+=--()2222224e 4e 2e ln 2ln 2e e x x x -+=--2222442ln 2ln(2e ),(e,2e),ex x x x =-+--∈令4()42ln 2ln(2e ),(e,2e)etg t t t t =-+--∈则24224(e )()0e 2e e (2e )t g t t t t t -'=-++=--,则g (t )在(e ,2e)上是递增的,∴g (t )>g (e)=0即f (2e-x 2)>0.综上x 1+x 2>2e.6.已知函数()ln f x x x =-(1)求证:当1x >时,()21ln 1x x x ->+;(2)当方程()f x m =有两个不等实数根12,x x 时,求证:121x x m +>+【解析】(1)令()()()21ln 11x g x x x x -=->+,因为()()()()222114011x g x x x x x -'=-=>++,所以()g x 在()1,+∞上单调递增,所以()()10g x g >=,即当1x >时,()21ln 1x x x ->+.(2)证明:由()ln f x x x =-,得()11f x x'=-,易知()f x 在()0,1单调递减,在()1,+∞单调递增,所以()min 1f x =.因为方程()f x m =有两个不等实根,所以1m >.不妨设1201x x <<<.由(1)知,当1x >时,()21ln 1x x x ->+;当01x <<时,()21ln 1x x x -<+.方程()f x m =可化为ln x m x -=.所以()222221ln 1x x m x x --=>+,整理得()222120x m x m -++->.①同理由()111121ln 1x x m x x --=<+,整理得()211120x m x m -++-+>.②由①②,得()()()211210x x x x m -+-+>⎡⎤⎣⎦.又因为21x x >所以121x x m +>+.法二:由()ln f x x x =-,得()11f x x'=-,易知()f x 在()0,1单调递减,在()1,+∞单调递增,所以()min 1f x =.因为方程()f x m =有两个不等实根,所以1m >.不妨设1201x x <<<.要证121x x m +>+,只要证1211ln 1x x x x +>-+,只要证:21ln 11x x >-+>.因为()f x 在()1,+∞上单调递增,只要证:()()()1211ln f x f x f x =>-.令()()()(1ln 01h x f x f x x =--<<,只要证()0,1x ∀∈,()0h x >恒成立.因为()()()()1111ln 11ln 111ln 1ln x x x h x f x f x x x x x x x --⎛⎫⎛⎫=---=-+-=⎪ ⎪-⎭'⎝'-'⎝⎭,令()()ln 101F x x x x x =--<<,则()ln 0F x x '=->,故()F x 在()0,1上单调递增,()()10F x F <=,所以()0h x '<,所以()h x 在()0,1上单调递减,所以()()10h x h >=,故原结论得证.7.已知函数()()22ln 21f x a x x a x a =-+-+.(1)若1a =,证明:()22f x x x <-;(2)若()f x 有两个不同的零点12,x x ,求a 的取值范围,并证明:122x x a +>.【解析】(1)当1a =时,()22ln 1f x x x =-+,定义域为()0,∞+令()()()222ln 21g x f x x x x x =--=-+,则()22g x x'=-当01x <<时,()0g x '>;当1x <时,()0g x '<;所以函数()g x 在()0,1上单调递增,在()1,+∞上单调递减,故()()max 110g x g ==-<,所以()0g x <,得()22f x x x <-;(2)因为()f x 有两个不同的零点12,x x ,则()f x 在定义域内不单调;由()()()()212221x a x af x x a x x--+'=-+-=当0a ≤时,()0f x '<在()0,∞+恒成立,则()f x 在()0,∞+上单调递减,不符合题意;当0a >时,在()0,a 上有()0f x '>,在(),a +∞上有()0f x '<,所以()f x 在()0,a 上单调递增,在(),a +∞上单调递减.不妨设120x a x <<<令()()()2F x f x f a x =--则()()()()()()222F x f x f a x a x f x f a x ''''''=---=+-()()()()()2422221222122a x a ax a a x a x a x x a x -=-+-+--+-=--当()0,x a ∈时,()0F x '>,则()F 在()0,a 上单调递增所以()()()()20F x F a f a f a a <=--=故()()2f x f a x <-,因为120x a x <<<所以()()12f x f a x <-1,又()()2f x f x =1,122a a x a <-<则()()212f x f a x <-,又()f x 在(),a +∞上单调递减,所以212x a x >-,则122x x a +>.8.已知函数()21ln 2f x x x x x =+-.(1)求曲线()y f x =在点()()1,1f 处的切线方程;(2)若()00f x '=(()f x '为()f x 的导函数),方程()f x m =有两个不等实根1x 、2x ,求证:1202x x x +>.【解析】(1)因为()21ln 2f x x x x x =+-,则()ln f x x x '=+,所以,()112f =-,()11f '=,所以,曲线()y f x =在点()()1,1f 处的切线方程为112y x +=-,即32y x =-.(2)证明:因为()ln f x x x '=+,()00f x '=,所以00ln 0x x +=.因为()f x '为增函数,所以()f x 在()00,x 上单调递减,在()0,x +∞上单调递增.由方程()f x m =有两个不等实根1x 、2x ,则可设102x x x <<,欲证1202x x x +>,即证20102x x x x >->,即证()()2012f x f x x >-,而()()21f x f x =,即()()10120f x f x x -->,即()()()()2211110*********ln 2ln 222022x x x x x x x x x x x x +------+->,设()()()()()22000011ln 2ln 22222g x x x x x x x x x x x x x =+------+-,其中00x x <<,则()()00ln ln 22g x x x x x =+-+',设()()()000ln ln 220h x x x x x x x =<+<+-,则()()()000211022x x x x x x x x h x -=-=>--',所以,函数()g x '在()00,x 上单调递增,所以()()0002ln 20g x g x x x '<='+=,所以()g x 在()00,x 上单调递减,所以()()00g x g x >=,即()()2012f x f x x >-,故1202x x x +>得证.9.已知函数2()1e (1),1,1x f x k x x k R x ⎛⎫=--->-∈ ⎪+⎝⎭.(1)若0k =,证明:(1,0)x ∈-时,()1f x <-;(2)若函数()f x 恰有三个零点123,,x x x ,证明:1231x x x ++>.【解析】(1)0k =时,函数1()e ,(1,0)1xx f x x x -=∈-+,则221()e 0(1)x x f x x +='>+,()f x 在(1,0)-上单调递增,所以1()e (0)11xx f x f x -=<=-+.(2)e ()(1)1x f x x k x ⎛⎫=--⎪+⎝⎭,显然1x =为函数的一个零点,设为3x ;设函数e ()1xF x k x =-+,2e ()(1)x x F x x '=+当(1,0)x ∈-时,()0F x '<,当,()0x ∈+∞时,()0F x '>,故()F x 在(1,0)-上单调递减,在(0,)+∞上单调递增.由已知,()F x 必有两个零点12,x x ,且1210x x -<<<,下证:120x x +>.设函数()()(),(1,0)h x F x F x x =--∈-,则e e ()11x xh x x x -=++-,2e 11()e e (1)11x x x x x x h x x x x -++⎛⎫⎛⎫=+- ⎪⎪+--⎝⎭⎝⎭',由于(1,0)x ∈-,则2e 1e 0(1)1x x x x x x -+⎛⎫-< ⎪+-⎝⎭,由(1)有1e 01xx x ++>-,故()0h x '<,即函数()h x 在(1,0)-上单调递减,所以()(0)0h x h >=,即有()()()211F x F x F x =>-,由于12,(0,)x x -∈+∞,且在(0,)+∞上单调递增,所以21x x >-,所以120x x +>.10.已知函数()()()1ln 3f x x x a x =++-.(1)若函数()f x 为增函数,求实数a 的取值范围;(2)若函数()f x 有两个极值点1x 、()212x x x <.求证:()()12122f x f x x x +++>-.【解析】(1)因为()()()1ln 3f x x x a x =++-,该函数的定义域为()0,∞+,()1ln 2f x x a x'=++-,若函数()f x 为增函数,则()0f x '≥恒成立.令()1ln 2g x x a x =++-,()22111x g x x x x-'=-=,令()0g x '=得1x =,当()0,1x ∈时,()0g x '<,()g x 单调递减;当()1,x ∈+∞时,()0g x '>,()g x 单调递增,故()()11g x g a ≥=-,所以,10a -≥,因此1a ≥.(2)因为函数()f x 有两个极值点1x 、()212x x x <,即方程()0g x =有两个不等的实根1x 、()212x x x <,因为()g x 在()0,1上递减,在()1,+∞上递增,所以,1201x x <<<,即1x 、2x 是1ln 20x a x++-=的两个根,所以11221ln 201ln 20x a x x a x ⎧++-=⎪⎪⎨⎪++-=⎪⎩,则()()111222ln 21ln 21x x a x x x a x ⎧+-=-⎪⎨+-=-⎪⎩,所以,()()()()121211221212ln ln ln ln 2f x f x x x x x x x x x a x x +++=++++-+12ln ln 2x x =+-,即证12ln ln 0x x +>,即证121x x >.由11221ln 201ln 20x a x x a x ⎧++-=⎪⎪⎨⎪++-=⎪⎩两式作差得122111ln x x x x =-,令()120,1x t x =∈,则11ln t x t -=,21ln t x t t-=,即只需证111ln ln t t t t t--⋅>,即证ln 0t >.令()ln t t ϕ=-()0,1t ∈,则()210t ϕ-'=,故()t ϕ在区间()0,1上单调递减,当()0,1t ∈时,()()10t ϕϕ>=,命题得证.11.已知函数()ln f x x x =-.(1)求函数()f x 的单调区间;(2)若函数()y f x =的图象与()y m m R =∈的图象交于()11,A x y ,()22,B x y 两点,证明:12242ln 2x x +>-.【解析】(1)()f x 的定义域为(0,)+∞令11()10xf x x x -'=-=>,解得01x <<令11()10x f x x x-'=-=<,解得1x >所以()f x 的单调增区间为(0,1),减区间为(1,)+∞(2)由(1)不妨设1201x x <<<由题知11ln x x m -=,22ln x x m -=两式相减整理可得:12121ln x x x x -=所以要证明12242ln 2x x +>-成立,只需证明1211222(42ln 2l )n x x x x x x +->-因为12ln 0x x <,所以只需证明212112(42ln 2ln )2x x x x x x <-+-令12,01x t t x =<<,则只需证明1(42ln l 21n 2)t t t -<-+,即证(1)ln (1)02(42ln 2)t t t +--<-令2()(1)ln (1)2(4ln 2)g t t t t -=-+-2ln 22l 12ln (2)1()22n 2ln t t t g t t t t++'--=++=记()2ln (2)12ln 2h x t t t +-=+则()2ln 2h x t '=易知,当102t <<时,()0h x '<,当112t <<时,()0h x '>所以当12t =时,min 11()()022n 2ln l h x h ==+=所以当01t <<时,()0g t '≥,函数()g t 单调递增故()(1)0g t g <=,即(1)ln (1)02(42ln 2)t t t +--<-所以,原不等式12242ln 2x x +>-成立.12.已知函数()()3ln 010f x ax x a a =+≠.(1)讨论()f x 的单调性.(2)若函数()f x 有两个零点12x x ,,且12x x <,证明:12310x x +>.【解析】(1)函数()f x 的定义域为()0,∞+,()()ln ln 1f x a x a a x '=+=+.①当0a >时,令()0f x '<,得10x e <<,则()f x 在10,e ⎛⎫⎪⎝⎭上单调递减;令()0f x '>,得1x e >,则()f x 在1,e ⎛⎫+∞ ⎪⎝⎭上单调递增.②当0a <时,令()0f x '<,得1x e >,则()f x 在1,e ⎛⎫+∞ ⎪⎝⎭上单调递减;令()0f x '>,得10x e <<,则()f x 在10,e ⎛⎫⎪⎝⎭上单调递增.综上所述,当0a >时,()f x 在10,e ⎛⎫ ⎪⎝⎭上单调递减,在1,e ⎛⎫+∞ ⎪⎝⎭上单调递增;当0a <时,()f x 在1,e ⎛⎫+∞ ⎪⎝⎭上单调递减,在10,e ⎛⎫ ⎪⎝⎭上单调递增.(2)证明:因为12x x ,为()f x 的两个零点,所以113ln 010x x +=,223ln 010x x +=,两式相减,可得121233ln ln 01010x x x x -+-=,即1122123ln 10x x x x x x -=⋅,121212310ln x x x x x x -=⋅,因此,121121310ln x x x x x -=⋅,212121310ln x x x x x -=⋅.令12x t x =,则121113513310ln 10ln 10ln t t t x x t t t---+=⋅+⋅=⋅,令()()1ln 01h t t t t t =--<<,则()22211110t t h t t t t -+'=+-=>,所以函数()h t 在()0,1上单调递增,所以()()10h t h <=,即1ln 0t t t--<.因为01t <<,所以11ln t t t->,故12310x x +>得证.13.已知函数()ln f x x x ax a =-+.(1)若1≥x 时,()0f x ≥,求a 的取值范围;(2)当1a =时,方程()f x b =有两个不相等的实数根12,x x ,证明:121x x <.【解析】(1)∵1≥x ,()0f x ≥,∴ln 0a x a x -+≥,设()ln (1)ag x x a x x =-+≥,()221a x a g x x x x-'=-=,当1a >时,令()0g x '=得x a =,当1x a <≤时,()0g x '<,()g x 单调递减;当x a >时,()0g x '>,()g x 单调递增,∴()(1)0g a g <=,与已知矛盾.当1a ≤时,()0g x '≥,∴()g x 在[1,)+∞上单调递增,∴()(1)0g x g ≥=,满足条件;综上,a 取值范围是(,1]-∞.(2)证明:当1a =时,()ln f x x '=,当1x >,'()0f x >,当01x <<,'()0f x <,则()f x 在区间(1,)+∞上单调递增,在区间()0,1上单调递减,不妨设12x x <,则1201x x <<<,要证121x x <,只需证2111x x <<,∵()f x 在区间(1,)+∞上单调递增,∴只需证121()(f x f x <,∵12()()f x f x =,∴只需证111()()f x f x <.设1()()()(01)F x f x f x x =-<<,则22211()ln ln ln 0,x F x x x x x x -'=-=>,∴()F x 在区间()0,1上单调递增,∴()(1)0F x F <=,∴1()()0f x f x-<,即111()()f x f x <成立,∴121x x <.14.设函数()()e xf x x a =+,已知直线21y x =+是曲线()y f x =的一条切线.(1)求a 的值,并讨论函数()f x 的单调性;(2)若()()12f x f x =,其中12x x <,证明:124x x ⋅>.【答案】(1)1a =;()f x 在(),2-∞-上单调递减,在()2,-+∞上单调递增【解析】(1)设直线21y x =+与曲线()y f x =相切于点()()00,x f x ,()()1e x f x x a '=++ ,()()0001e 2x f x x a '∴=++=;又()()0000e 21x f x x a x =+=+,002e 21xx ∴-=+,即00e 210x x +-=;设()e 21x g x x =+-,则()e 20xg x '=+>,()g x ∴在R 上单调递增,又()00g =,()g x ∴有唯一零点0x =,00x ∴=,12a ∴+=,解得:1a =;()()1e x f x x ∴=+,()()2e x f x x '=+,则当(),2x ∞∈--时,()0f x '<;当()2,x ∈-+∞时,()0f x '>;()f x ∴在(),2-∞-上单调递减,在()2,-+∞上单调递增.(2)由(1)知:()()2min 2e 0f x f -=-=-<;当1x <-时,()0f x <;当1x >-时,()0f x >,1221x x ∴<-<<-;要证124x x ⋅>,只需证1242x x <<-;()f x 在(),2-∞-上单调递减,∴只需证()124f x f x ⎛⎫> ⎪⎝⎭,又()()12f x f x =,则只需证()224f x f x ⎛⎫> ⎪⎝⎭对任意()22,1x ∈--恒成立;设()()()421h x f x f x x ⎛⎫=--<<- ⎪⎝⎭,()()()()444333822e 2e e e 8xx xxxx x h x x x x x -⎛⎫++'∴=++=+ ⎪⎝⎭;设()()43e821x xp x x x -=+-<<-,则()2437e024x xp x x x -⎡⎤⎛⎫'=⋅++<⎢⎥ ⎪⎝⎭⎢⎥⎣⎦,()p x ∴在()2,1--上单调递减,()()2880p x p ∴<-=-+=,又当21x -<<-时,()432e 0xx x +<,()0h x '∴>,()h x ∴在()2,1--上单调递增,()()()()2220h x h f f ∴>-=---=,即()4f x f x ⎛⎫> ⎪⎝⎭在()2,1x ∈--时恒成立,又()22,1x ∈--,()224f x f x ⎛⎫∴> ⎪⎝⎭,原不等式得证.15.已知函数()()32ln f x x x a a R x=++-∈有两个不同的零点12,x x .(1)求实数a 的取值范围;(2)求证:121x x >.【解析】(1)定义域为()()22232230,,1x x f x x x x ∞+-+=-+=',()(),0,10x f x '∈<,所以()f x 在()0,1x ∈上单调递减.()()1,,0x f x '∈+∞>,所以()f x 在()1,x ∈+∞上单调递增,所以()f x 在1x =处取得极小值,也是最小值,又()min ()14f x f a ==-,所以先保证必要条件()10f <成立,即4a >满足题意.当4a >时,易知,()()()33222ln 22ln 2022f a a a a a a a a=++-=++>;()111132ln 2ln 0;f a a a a a a aa a ⎛⎫=+--=+->> ⎪⎝⎭由以上可知,当4a >时,()()32ln f x x x a a R x=++-∈有两个不同的零点.(2)由题意,假设1201x x <<<,要证明121x x >,只需证明121x x >.只需证()121f x f x ⎛⎫< ⎪⎝⎭,又()()12f x f x =.即只需证()221f x f x ⎛⎫< ⎪⎝⎭,构造函数()()1,(1)g x f x f x x ⎛⎫=-> ⎪⎝⎭.()224ln g x x xx =-+()222(1)x g x x --∴=',所以()g x 在()1,+∞单调递减.()()()2210,1,1g x g x g =>∴< ,即()221f x f x ⎛⎫<⎪⎝⎭成立,即()121f x f x ⎛⎫< ⎪⎝⎭所以原命题成立.16.已知a 是实数,函数()ln f x a x x =-.(1)讨论()f x 的单调性;(2)若()f x 有两个相异的零点12,x x 且120x x >>,求证:212e x x ⋅>.【解析】(1)()f x 的定义域为()0,∞+,()1a a x f x x x-'=-=,当0a ≤时,()0f x '<恒成立,故()f x 在()0,∞+上单调递减;当0a >时,令()0f x '>得:()0,x a ∈,令()0f x '<得:(),x a ∈+∞,故()f x 在()0,x a ∈上单调递增,在(),x a ∈+∞上单调递减;综上:当0a ≤时,()f x 在()0,∞+上单调递减;当0a >时,()f x 在()0,x a ∈上单调递增,在(),x a ∈+∞上单调递减;(2)由(1)可知,要想()f x 有两个相异的零点12,x x ,则0a >,不妨设120x x >>,因为()()120f x f x ==,所以1122ln 0,ln 0a x x a x x -=-=,所以()1212ln ln x x a x x -=-,要证212e x x ⋅>,即证12ln ln 2x x +>,等价于122x x a a +>,而1212ln ln 1x x a x x -=-,所以等价于证明121212ln ln 2x x x x x x ->-+,即()1212122ln x x x x x x ->+,令12x t x =,则1t >,于是等价于证明()21ln 1t t t ->+成立,设()()21ln 1t g t t t -=-+,1t >()()()()222114011t g t t t t t -'=-=>++,所以()g t 在()1,+∞上单调递增,故()()10g t g >=,即()21ln 1t t t ->+成立,所以212e x x ⋅>,结论得证.17.已知函数()1e xf x ax -=-,(1)讨论函数()f x 的单调性;(2)若函数()f x 在()0,2上有两个不相等的零点12,x x ,求证:121x x a>.【解析】(1)()1e xf x a -='-,x ∈R .①当0a ≤时,()0f x '>恒成立,()f x 单调递增;②当0a >时,由()0f x '>得,()1ln ,x a ∈++∞,()f x 单调递增,由()0f x '<得,(),1ln x a ∈-∞+,()f x 单调递减.综上:当0a ≤时,()f x 单调递增;当0a >时,()f x 在()1ln ,x a ∈++∞上单调递增,在(),1ln x a ∈-∞+上单调递减.(2)∵()f x 在()0,2上有两个不相等的零点1x ,2x ,不妨设12x x <,∴1e x a x -=在()0,2上有两个不相等的实根,令()1e x g x x -=,()0,2x ∈,∴()()12e 1x x g x x --'=,由()0g x '<得,()0,1x ∈,()g x 单调递减,由()0g x '>得,()1,2x ∈,()g x 单调递增,()11g =,()e 22g =,0x →,()g x ∞→+,∴e 1,2a ⎛⎫∈ ⎪⎝⎭要证121x x a>,即证121ax x >,又∵()()12g x g x a ==,只要证211e1x x ->,即证211e x x ->,∵121x x <<,即证()()211e xg x g -<即证()()212e x g x g -<,即证12221e 112e e ex x x x ----<,即证212e ln 10x x -+->令()1eln 1xh x x -=+-,()1,2x ∈,∴()11e x h x x-'=-+,令()e e x x x ϕ=-,()1,2x ∈,则()e e x x ϕ'=-,当()1,2x ∈时,()e e>0x x ϕ'=-恒成立,所以()e e xx x ϕ=-在()1,2x ∈上单调递增,又()()10x ϕϕ>=,∴e e x x >,∴11e x x-<,∴()0h x '>∴()h x 在()1,2上递增,∴()()10h x h >>,∴1e ln 10x x -+->,∴121x x a>.18.已知函数21()ln 2f x x x x x =+-的导函数为()'f x .(1)判断()f x 的单调性;(2)若关于x 的方程()f x m '=有两个实数根1x ,212()x x x <,求证:2122x x <.【解析】(1)()1(1ln )(0)f x x x x x x '=+-+=>,令()ln g x x x =-,由11()1(0)x g x x x x'-=-=>,可得()g x 在(0,1)上单调递减,(1,)+∞上单调递增,所以()()(1)10f x g x g '==>,所以()f x 在(0,)+∞上单调递增;(2)依题意,1122ln ln x x mx x m-=⎧⎨-=⎩,相减得2121ln x x x x -=-,令21(1)x t t x =>,则有1ln 1t x t =-,2ln 1t t x t =-,欲证2122x x <成立,只需证222ln (ln )21(1)t t t t t ⋅<--成立,即证3322(1)(ln )t t t -<成立,即证13232(1)ln t t t-<成立,令13(1)t x x =>,只需证13212()3ln 0x x x-->成立,令1321()2()3ln (1)F x x x x x=-->,即证1x >时,()0F x >成立11323333232(2)3()2(1x x F x x x x+-'=+-=,令1323()2(2)3(1)h x x x x =+->,则11233()2(3)63(22)(1)x x x x x g x '=-=->,可得()h x 在23(1,2)内递减,在23(2,)+∞内递增,所以23()(2)0h x h = ,所以()0F x ',所以()F x 在(1,)+∞上单调递增,所以()(1)0F x F >=成立,故原不等式成立.19.已知函数()ln f x x =.(1)设函数()()ln tg x x t x=-∈R ,且()()g x f x ≤恒成立,求实数t 的取值范围;(2)求证:()12e e x f x x>-;(3)设函数()()1y f x ax a R x=--∈的两个零点1x 、2x ,求证:2122e x x >.【解析】(1)由()()g x f x ≤可得ln ln tx x x-≤,可得2ln t x x ≤,令()2ln h x x x =,其中0x >,则()()21ln h x x '=+,当10ex <<时,()0h x '<,此时函数()h x 单调递减,当1ex >时,()0h x '>,此时函数()h x 单调递增,所以,()min 12e e h x h ⎛⎫==- ⎪⎝⎭,所以,2e t ≤-;(2)要证()12e e x f x x >-,即证2ln e ex x x x >-,由(1)可知,1ln ex x ≥-,当且仅当1e x =时,等号成立,令()2e exx m x =-,其中0x >,则()1e x x m x -'=,当01x <<时,()0m x '>,此时函数()m x 单调递增,当1x >时,()0m x '<,此时函数()m x 单调递减,所以,()()max 11em x m ==-,因为1ln ex x ≥-和()1e m x ≤-取等的条件不同,故2ln e e x x x x >-,即()12e e x f x x >-;(3)由题知1111ln x ax x -=①,2221ln x ax x -=②,①+②得()()12121212ln x x x x a x x x x +-=+③,②-①得()22121112ln xx x a x x x x x ⎛⎫-+=- ⎪⎝⎭④.③÷④得()()1212212122112ln ln x x x x x x x x x x x x ++-=-,不妨设120x x <<,记211x t x =>.令()()()21ln 11t F t t t t -=->+,则()()()()222114011t F t t t t t -'=-=>++,所以()F t 在()1,+∞上单调递增,所以()()10F t F >=,则()21ln 1t t t ->+,即()2121122lnx x x x x x ->+,所以()()1212212122112ln ln 2x x x x x x x x x x x x ++-=>-.因为()()()()1212121212122ln ln ln x x x x x x x x x x +-<==所以2,即1>.令()2ln x x x ϕ=-,()2120x x xϕ'=+>,则()x ϕ在()0,∞+上单调递增.又)1lnln 2112e =+<,所以)1ln >-)ϕϕ>,所以2122x xe >.20.已知函数1()e xx f x -=.(1)求()f x 的单调区间与极值.(2)设m ,n 为两个不相等的正数,且ln ln m n n m m n -=-,证明:4e mn >.【解析】(1)()f x 的定义域为R ,()2e rxf x -'=.当(,2)x ∈-∞时,()0f x '>;当(2,)x ∈+∞时,()0.f x '<所以()f x 的单调递增区间为(,2)-∞,单调递减区间为(2,)+∞.故()f x 在2x =处取得极大值,且极大值为21e ,无极小值.(2)证明:易知m ,0n >,ln ln (ln 1)m n n m m n m n -=-⇔-()ln n ln ln 1ln 1ln 1ln 1ln 1e emn m n m n m n m ----=-⇔=⇔=即()ln (ln )f f m n =,ln ln m n ≠.不妨设1ln x m =,2ln x n =,12x x <.(1)可知2(2,)x ∈+∞,()()120f x f x =>,1(1,2)x ∈当23x ≥时,124x x +>,4e mn >,当223x <<时,2142x <-<,()()()()22224222222441e 31414x xx x x x e x x f x f x e e e ----------=-=设4()(1)e (3)e x x h x x x -=---,(2,3)x ∈,则()()()()()442e2e 2e e xx x x h x x x x --=---=--',因为(2,3)x ∈,4x x -<,所以()0h x '>,()h x 在区间(2,3)上单调递增,422()(21)e (32)e 0h x ->---=,所以()()()()2212440f x f x f x f x --=-->,()()124x f f x >-又因为1x ,24(1,2)x -∈,所以124x x >-,即124x x +>,故4e mm >.21.已知函数()()2ln f x e x x =-,其中 2.71828e =⋅⋅⋅为自然对数的底数.(1)讨论函数()f x 的单调性;(2)若()12,0,1x x ∈,且()21121212ln 2ln ln x x x ex x x x -=-,证明:1211221e e x x <+<+.【解析】(1)2(1)'()ln e x xf x =-+,2e y x =是减函数,1ln y x =+是增函数,所以'()f x 在()0,∞+单调递减,∵()'0f e =,∴()0,x e ∈时,()'()'0f x f e >=,()f x 单调递增;(),x e ∈+∞时,()'()'0f x f e <=,()f x 单调递减.(2)由题意得,121212ln ln 2ln 2ln x x e x e x x x -=-,即1212112ln 2ln e x e x x x ⎛⎫⎛⎫-=- ⎪ ⎪⎝⎭⎝⎭,112211112ln 2ln e e x x x x ⎛⎫⎛⎫-=- ⎪ ⎪⎝⎭⎝⎭,设111a x =,221a x =,则由()12,0,1x x ∈得,()12,1,a a ∈+∞,且()()12f a f a =.不妨设12a a <,则即证12221e a a e <+<+,由()20f e =及()f x 的单调性知,1212a e a e <<<<.令()()()2F x f x f e x =--,1x e <<,则[]24'()'()'(2)2ln (2)(2)e F xf x f e x x e x x e x =+-=----,∵()22x e x e -≤,∴2224'()2ln 0eF x e e>--=,()()0F x F e <=,∴()()2f x f e x <-,取1x a =,则()()112f a f e a <-,又()()12f a f a =,则()()212f a f e a <-,又12e a e ->,2a e >,且()f x 在(),e +∞单调递减,∴212a e a >-,122a a e +>.下证:1221a a e +<+.(i )当21a e <+时,由1a e <得,1221a a e +<+;(ii )当212e a e +≤<时,令()()(21)G x f x f e x =-+-,12e x e +<<,则22'()'()'(21)1ln 1ln(21)21e e G x f x f e x x e x x e x=++-=--+--+-+-222(21)2ln (21)(21)e e x e x x e x+⎡⎤=---++⎣⎦-++,记2(21)t x e x =-++,12e x e +≤<,则2(21)'()2ln e e G x t t+=--,又2(21)t x e x =-++在[)1,2e e +为减函数,∴()22,1t e e ∈+,2(21)2e e t +-在()22,1e e +单调递减,ln t 在()22,1e e +单调递增,∴2(21)2ln e e t t+--单调递减,从而,'()G x 在[)1,2e e +单调递增,又2(21)'(2)2ln 2(212)21ln 22(212)e e G e e e e e e e e e +=--+-=--+-,ln 1≤-x x ,∴()'20G e >,又2(21)'(1)2ln(1)(211)(1)(211)e e G e e e e e e e ++=--++--++--1ln(1)01e e e -=-+<+,从而,由零点存在定理得,存在唯一0(1,2)x e e ∈+,使得()0'0G x =,当[)01,x e x ∈+时,()0'()'0()G x G x G x <=⇒单调递减;当()0,2x x e ∈时,()0'()'0()G x G x G x >=⇒单调递增.所以,{}()max (1),(2)G x G e G e ≤+,又(1)(1)(211)(1)()(1)ln(1)G e f e f e e f e f e e e e +=+-+--=+-=-+-,ln 11ln ln(1)x x e x e x e e e+≤⇒≤⇒+≤,所以,11(1)(1)0e G e e e e e+-+<-⋅-=<,显然,()()()22212000G e f e f e e =-+-=-=,所以,()0<G x ,即()()210f x f e x -+-<,取[)21,2x a e e =∈+,则()()2221f a f e a <+-,又()()12f a f a =,则()()1221f a f e a <+-,结合()221211e a e e e +-<+-+=,1a e <,以及()f x 在()0,e 单调递增,得到1221a e a <+-,从而1221a a e +<+.22.已知函数()e ln xf x x a x a =--,其中0a >.(1)若2e a =,求()f x 的极值:(2)令函数()()g x f x ax a =-+,若存在1x ,2x 使得()()12g x g x =,证明:1212e e 2x xx x a +>.【解析】(1)当2e a =时()e 2eln 2e xf x x x =-,()0,x ∈+∞,所以()()()1e 2e2e 1e xxx x f x x x x+-'=+-=,当()0,1x ∈时,202x x <+<,1e e x <<,所以()0f x '<,当()1,x ∈+∞时,22x x +>,e e x >,所以()0f x '>,所以()f x 在()0,1上单调递减,在()1,+∞上单调递增,所以()f x 的极小值为()1e f =-,无极大值.(2)证明:()()()e ln e ln e x x xg x a x ax x f x ax x a x a ==-=+---,令e x t x =,则上述函数变形为()ln h a t t t =-,对于()e x t x x =,()0,x ∈+∞,则()()1e 0xt x x '=+>,即()e x t x x =在()0,∞+上单调递增,。
极值点偏移问题【典型例题】例1.已知函数f (x )=ln x -ax ,a 是常数且a ∈R .(1)若曲线y =f (x )在x =1处的切线经过点(-1,0),求a 的值;(2)若0<a <1e(e 是自然对数的底数),试证明:①函数f (x )有两个零点,②函数f (x )的两个零点x 1,x 2满足x 1+x 2>2e .【解析】(1)解:切线的斜率k =f (1)=1-af (1)=-a ,k =f (1)-01-(-1)=-a2,即1-a =-a2,解得a =2;(2)证明:①由f (x )=1x -a =0,得x =1a,当0<x <1a 时,f (x )>0;当x >1a 时,f (x )<0,∴f (x )在x =1a 处取得最大值f 1a=-ln a -1,f (1)=-a <0,∵0<a <1e ,∴f 1a =-ln a -1>0,f (x )在区间1,1a有零点,∵f (x )在区间0,1a 单调递增,∴f (x )在区间0,1a有唯一零点.由幂函数与对数函数单调性比较及f (x )的单调性知,f (x )在区间1a,+∞ 有唯一零点,从而函数f (x )有两个零点.②不妨设0<x 1<1a <x 2,作函数F (x )=f (x )-f 2a -x ,0<x <2a,则F 1a =0,F (x )=f (x )+f 2a -x =2(1-ax )2x (2-ax )≥0.∴F (x 1)<F 1a=0,即f (x 1)-f 2a -x 1 <0,f 2a-x 1 >f (x 1),又f (x 1)=f (x 2),∴f 2a-x 1 >f (x 2).∵0<x 1<1a<x 2,∴2a -x 1,x 2∈1a,+∞ ,∵f (x )在区间1a,+∞ 单调递减,∴2a -x 1<x 2,x 1+x 2>2a.又0<a <1e ,1a >e ,∴x 1+x 2>2e .例2.已知函数f (x )=ln x -ax (a ∈R ).(1)若曲线y =f (x )与直线x -y -1-ln2=0相切,求实数a 的值;(2)若函数y =f (x )有两个零点x 1,x 2,证明1ln x 1+1ln x 2>2.【解析】解:(1)由f (x )=ln x -ax ,得f (x )=1x-a ,设切点横坐标为x 0,依题意得1x 0-a =1x 0-1-ln2=ln x 0-ax 0,解得x 0=12a =1,即实数a 的值为1.(2)不妨设0<x 1<x 2,由ln x 1-ax 1=0ln x 2-ax 2=0,得ln x 2-ln x 1=a (x 2-x 1),即1a =x 2-x 1ln x 2-ln x 1,所以1ln x 2+1ln x 1-2=1ax 1+1ax 2-2=x 2-x 1ln x 2-ln x 11x 1+1x 2-2=x 2x 1-x 1x 2-2ln x2x 1ln x 2x 1,令t =x 2x 1>1,则ln x 2x 1>0,x 2x 1-x 1x 2-2ln x 2x 1=t -1t-2ln t ,设g (t )=t -1t -2ln t ,则g(t )=t 2-2t +1t 2>0,即函数g (t )在(1,+∞)上递减,所以g (t )>g (1)=0,从而x 2x 1-x 1x 2-2ln x2x 1ln x 2x 1>0,即1ln x 2+1ln x 1>2.例3.已知函数f (x )=x -e 2 (a -ln x )且f (e )=e4(其中e 为自然对数的底数).(Ⅰ)求函数f (x )的解析式;(Ⅱ)判断f (x )的单调性;(Ⅲ)若f (x )=k 有两个不相等实根x 1,x 2,证明:x 1+x 2>2e .【解析】解:(Ⅰ)f (e )=e 2a -12 =e 4,解得a =1,所以函数解析式为f (x )=x -e2(1-ln x );(Ⅱ)函数f (x )的定义域为(0,+∞),f (x )=1-ln x +x -e 2-1x =e2x-ln x ,设g(x)=e2x-ln x,g (x)=-e2x2-1x,在(0,+∞)上,g(x)<0恒成立,所以g(x)在(0,+∞)上单调递减,即f (x)在(0,+∞)上单调递减,又f (e)=0,则在(0,e)上f (x)>0,在(e,+∞)上f (x)<0.所以函数f(x)在(0,e)上单调递增,在(e,+∞)上单调递减;(Ⅲ)证明:构造函数F(x)=F(x)-f(2e-x),x∈(0,e),F (x)=f (x)+f (2e-x)=e2x-ln x+e2⋅12e-x-ln(2e-x)=ex(2e-x)-ln[x(2e-x)],设t=x(2e-x),当x∈(0,e)时,t∈(0,e),设h(t)=et-ln t,且h (t)=-et2-1t<0,可知h(t)在(0,e)上单调递减,且h(e)=0,所以h(t)>0在t∈(0,e)上恒成立,即F (x)>0在x∈(0,e)上恒成立,所以y=F(x)在(0,e)上单调递增,不妨设x1<x2,由(Ⅱ)知x1<e<x2F(x1)=f(x1)-f(2e-x1)<F(e)=f(e)-f(2e-e) =0,即f(x1)<f(2e-x1),因为f(x1)=f(x2),所以f(x2)<f(2e-x1),由(Ⅱ)知f(x)在(e,+∞)上单调递减,得x2>2e-x1,所以x1+x2>2e.例4.已知函数f(x)=e2x-a(x-1).(1)讨论函数f(x)的单调性;(2)若a>0,设f′(x)为f(x)的导函数,若函数f(x)有两个不同的零点x1,x2,求证:f′x1+x22<0.【解析】(1)解:f′(x)=2e2x-a,当a≤0时,f′(x)>0,函数f(x)在R上单调递增;当a>0时,令f′(x)>0,得x>12ln a2,令f′(x)<0,得x<12ln a2,所以f(x)在-∞,12ln a2上单调递减,在12ln a2,+∞上单调递增.(2)证明:由题意得e2x1-a(x1-1)=0e2x2-a(x2-1)=0,两式相减得a=e2x2-e2x1x2-x1,不妨设x1<x2,由f′(x)=2e2x-a,得f′x1+x22=2e x1+x2-e2x2-e2x1x2-x1=e x1+x2x2-x1[2(x2-x1)+e x1-x2-e x2-x1],令t=x2-x1,h(t)=2t-e t+e-t,因为当t>0时,h′(t)=2-e t-e-t=2-(e t+e-t)<0,所以h(t)在(0,+∞)上单调递减,所以当t>0时,h(t)<h(0)=0,又e x1+x2x2-x1>0,故f′x1+x22<0.例5.已知函数f(x)=12x2-(a+1)x+2(a-1)ln x,g(x)=-32x2+x+(4-2a)ln x.(1)若a>1,讨论函数f(x)的单调性;(2)是否存在实数a,对任意x1,x2∈(0,+∞),x1≠x2,有f(x1)-f(x2)x1-x2+a>0恒成立,若存在,求出a的范围,若不存在,请说明理由;(3)记h(x)=f(x)+g(x),如果x1,x2是函数h(x)的两个零点,且x1<x2<4x1,h′(x)是h(x)的导函数,证明:h2x1+x23>0.【解析】解:(1)f(x)的定义域为(0,+∞),f (x)=x-(a+1)+2(a-1)1x =x2-(a+1)x+2(a-1)x=(x-2)[x-(a-1)]x,①若a-1=2,则a=3,f (x)=(x-2)2x>0,f(x)在(0,+∞)上单调递增;②若a-1<2,则a<3,而a>1,∴1<a<3,当x∈(a-1,2)时,f′(x)<0;当x∈(0,a-1)及(2,+∞)时f′(x)>0,所以f(x)在(a-1,2)上单调递减,在(0,a-1)及(2,+∞)单调递增;③若a-1>2,则a>3,同理可得f(x)在(2,a-1)上单调递减,在(0,2)及(a-1,+∞)单调递增.(2)假设存在a,对任意x1,x2∈(0,+∞),x1≠x2,有f(x1)-f(x2)x1-x2+a>0恒成立,不妨设0<x1<x2,只要f(x2)-f(x1)x2-x1+a>0,即f(x2)+ax2>f(x1)+ax1,令g(x)=f(x)+ax,只要g(x)在(0,+∞)上为增函数,g(x)=12x2-x+2(a-1)ln xg (x)=x-1+2(a-1)x=x2-x+2(a-1)x=x-122+2a-94x,只要g′(x)≥0在(0,+∞)恒成立,只要2a-94≥0,a≥98,故存在a∈98,+∞时,对任意x1,x2∈(0,+∞),x1≠x2,有f(x1)-f(x2)x1-x2+a>0恒成立.(3)证明:由题意知,h(x)=12x2-(a+1)x+2(a-1)ln x+-32x2+x+(4-2a)ln x=2ln x-x2-ax,h(x1)=2ln x1-x21-ax1=0,h(x2)=2ln x2-x22-ax2=0两式相减,整理得2ln x2x1+(x1-x2)(x1+x2)=a(x2-x1),所以a=2ln x2x1x2-x1-(x2+x1),又因为h (x)=2x-2x-a,所以h2x1+x23=62x1+x2-23(2x1+x2)-a=-2x2-x1lnx2x1-3x2x1-32+x2x1-13(x1-x2),令t=x2x1∈(1,4),φ(t)=ln t-3t-3t+2,则φ(t)=(t-1)(t-4)t(t+2)2<0,所以φ(t)在(1,4)上单调递减,故φ(t)<φ(1)=0,又-2x2-x1<0,-13(x1-x2)>0,所以h2x1+x23>0.例6.设函数f(x)=x2-a ln x,g(x)=(a-2)x.(Ⅰ)求函数f(x)的单调区间;(Ⅱ)若函数F(x)=f(x)-g(x)有两个零点x1,x2.(ⅰ)求满足条件的最小正整数a的值;(ⅱ)求证:F′x1+x22>0.【解析】解:(Ⅰ)f (x)=2x-ax=2x2-ax(x>0).⋯(1分)当a≤0时,f (x)>0在(0,+∞)上恒成立,所以函数f(x)单调递增区间为(0,+∞),此时f(x)无单调减区间.⋯(2分)当a>0时,由f (x)>0,得x>2a2,f(x)<0,得0<x<2a2,所以函数f(x)的单调增区间为2a2,+∞,单调减区间为0,2a2.⋯(3分)(Ⅱ)(i)F (x)=2x-(a-2)-ax =2x2-(a-2)x-ax=(2x-a)(x+1)x(x>0).因为函数F(x)有两个零点,所以a>0,此时函数f(x)在a2,+∞单调递增,在0,a 2单调递减.⋯(4分)所以F(x)的最小值Fa2<0,即-a2+4a-4a ln a2<0.⋯(5分)因为a>0,所以a+4ln a2-4>0.令h(a)=a+4ln a2-4,显然h(a)在(0,+∞)上为增函数,且h(2)=-2<0,h(3)=4ln 32-1=ln8116-1>0,所以存在a0∈(2,3),h(a0)=0.⋯(6分)当a>a0时,h(a)>0;当0<a<a0时,h(a)<0,所以满足条件的最小正整数a=3.⋯(7分)又当a=3时,F(3)=3(2-ln3)>0,F(1)=0,所以a=3时,f(x)有两个零点.综上所述,满足条件的最小正整数a的值为3.⋯(8分)(ii)证明:不妨设0<x1<x2,于是x21-(a-2)x1-a ln x1=x22-(a-2)x2-a ln x2,即x21-(a-2)x1-a ln x1-x22+(a-2)x2+a ln x2=0,x21+2x1-x22-2x2=ax1+a ln x1-ax2-a ln x2=a(x1 +ln x1-x2-ln x2).所以a=x21+2x1-x22-2x2x1+ln x1-x2-ln x2.⋯(10分)因为Fa2=0,当x∈0,a2时,F (x)<0,当x∈a2,+∞时,F (x)>0,故只要证x1+x22>a2即可,即证明x1+x2>x21+2x1-x22-2x2x1+ln x1-x2-ln x2,⋯(11分)即证x21-x22+(x1+x2)(ln x1-ln x2)<x21+2x1-x22-2x2,也就是证ln x1x2<2x1-2x2x1+x2.⋯(12分)设t=x1x2(0<t<1).令m(t)=ln t-2t-2t+1,则m(t)=1t-4(t+1)2=(t-1)2t(t+1)2.因为t>0,所以m (t)≥0,⋯(13分)当且仅当t=1时,m (t)=0,所以m(t)在(0,+∞)上是增函数.又m(1)=0,所以当m∈(0,1),m(t)<0总成立,所以原题得证.⋯(14分)例7.设函数f(x)=x2-a ln x-(a-2)x.(Ⅰ)求函数f(x)的单调区间;(Ⅱ)若函数f(x)有两个零点x1,x2(1)求满足条件的最小正整数a的值;(2)求证:fx1+x22>0.【解析】解:(Ⅰ)f′(x)=2x-(a-2)-ax=(2x-a)(x+1)x,(x>0).当a≤0时,f′(x)>0在(0,+∞)上恒成立,所以函数f(x)单调递增区间为(0,+∞),此时f(x)无单调减区间;当a>0时,由f′(x)>0,得x>a2,f′(x)<0,得0<x<a2,所以函数f(x)的单调增区间为a2,+∞,单调减区间为0,a2;(Ⅱ)(1)由(Ⅰ)可知函数f(x)有两个零点,所以a>0,f(x)的最小值f a2<0,即-a2+4a-4a ln a2<0,∵a>0,∴a-4+4ln a2>0,令h(a)=a-4+4ln a2,显然h(a)在(0,+∞)上为增函数,且h(2)=-2<0,h(3)=4ln 32-1>0∴存在a0∈(2,3),h(a0)=0,当a>a0时,h(a)>0;当0<a<a0时,h(a)<0,所以满足条件的最小正整数a=3.又当a=3时,f(3)=3(2-ln3)>0,f32=341-4ln32<0,f(1)=0,所以a=3时,f(x)有两个零点.综上所述,满足条件的最小正整数a的值为3.(2)证明:不妨设0<x1<x2,于是x21-(a-2)x1-a ln x1=x22-(a-2)x2-a ln x2,∴a=x21+2x1-x22-2x2x1+ln x1-x2-ln x2.,因为f′a2=0,当x∈0,a2时,f′(x)<0;当x∈a2,+∞时,f′(x)>0.故只要证x1+x22>a2即可,即证明x1+x2>x21+2x1-x22-2x2x1+ln x1-x2-ln x2.,即证x21-x22+(x1+x2)(ln x1-ln x2)<x21+2x1-x22-2x2.也就是证ln x1x2<2x1-2x2x1+x2.设x1x2=t∈(0,1).令m(t)=ln t-2t-2t+1,则m′(t)=1t-4(t+1)2=(t-1)2t(t+1)2.∵t>0,所以m (t)≥0,当且仅当t=1时,m (t)=0,所以m(t)在(0,+∞)上是增函数.又m(1)=0,所以当m∈(0,1),m(t)<0总成立,所以原题得证.例8.已知函数f(x)=e x-12ax2(a∈R),其中e为自然对数的底数,e=2.71828⋯.f(x0)是函数f(x)的极大值或极小值,则称x0为函数f(x)的极值点,极大值点与极小值点统称为极值点.(1)函数f(x)在(0,+∞)上单调递增,求实数a的取值范围;(2)判断函数f(x)的极值点的个数,并说明理由;(3)当函数f(x)有两个不相等的极值点x1和x2时,证明:x1x2<ln a.【解析】解:(1)f′(x)=e x-ax≥0在(0,+∞)上恒成立,即a≤e xx在(0,+∞)上恒成立,令g(x)=e xx,x∈(0,+∞),g′(x)=e x⋅x-e xx2=e x(x-1)x2,在(0,1)上,g′(x)<0,g(x)单调递减,在(1,+∞)上,g′(x)>0,g(x)单调递增,所以g(x)≥g(1)=e,所以a≤e.所以a的取值范围为(-∞,e].(2)f′(x)=e x-ax,令g(x)=e x-ax,则g′(x)=e x-a,①当a<0时,g′(x)=e x-a>0,f′(x)=e x-ax在(-∞,+∞)上单调递增,又f′(0)=1>0,f′1a=e1a-1<0,于是f′(x)=e x-ax在(-∞,+∞)上有一个零点x1,x(-∞,x1)x1(x1,+∞) f′(x)-0+f(x)↓极小值↑于是函数f(x)的有1个极值点,②当a=0时,f(x)=e x单调递增,于是函数f(x)没有极值点,③当0<a≤e时,由g′(x)=e x-a=0,得x=ln a,x(-∞,ln a)ln a(ln a,+∞) g′(x)-0+f′(x)↓a(1-ln a)↑f′(x)≥0,当且仅当x=ln a时,取“=”号,所以函数f(x)在(-∞,+∞)上单调递增,所以函数f(x)没有极值点.④当a>e时,x(-∞,ln a)ln a(ln a,+∞) g′(x)-0+f′(x)↓a(1-ln a)↑f′(ln a)=a(1-ln a)<0,f′(0)=1>0,又因为a>ln a,所以f′(a)=e a-a2>a2-a2=0,于是,函数f′(x)在(-∞,ln a)和(ln a,+∞)上各有一个零点,分别为x2,x3,x(-∞,x2)x2(x2,x3)x3(x3,+∞) f′(x)+0-0+f(x)↑极大值↓极小值↑于是f(x)有2个极值点,综上,当a<0时,函数f(x)有1个极值点,当0≤a≤e时,函数f(x)没有极值点,当a>e时,函数f(x)有2个极值点.(3)证明:当函数f(x)有两个不等的极值点x1和x2时,由(2)知a>e且1<x1<ln a<x2,f′(x1)=f′(x2)=0,令F(x)=f′(x)-f′(2ln a-x),F′(x)=(e x-a)2 e x,由F′(x)=0,得x=ln a,x(-∞,ln a)ln a(ln a,+∞) F′(x)+0+F(x)↑非极值点↑F(x1)<F(ln a)=0,即f′(x1)<f′(2ln a-x1),即f′(x2)<f′(2ln a-x1),因为x2>ln a,2ln a-x1>ln a,f′(x)在(ln a,+∞)上单调递增,所以x2<2ln a-x1,即x1+x2<2ln a,又x1+x2>2x1x2,所以x1x2<ln a.例9.已知函数f(x)=ln x-1x,g(x)=ax+b.(1)若函数h(x)=f(x)-g(x)在(0,+∞)上单调递增,求实数a的取值范围;(2)若直线g(x)=ax+b是函数f(x)=ln x-1x图象的切线,求a+b的最小值;(3)当b=0时,若f(x)与g(x)的图象有两个交点A(x1,y1),B(x2,y2),求证:x1x2>2e2.(取e为2.8,取ln2为0.7,取2为1.4)【解析】(1)解:h(x)=f(x)-g(x)=ln x-1x-ax-b,则h (x)=1x+1x2-a,∵h(x)=f(x)-g(x)在(0,+∞)上单调递增,∴对∀x>0,都有h (x)=1x +1x2-a≥0,即对∀x >0,都有a ≤1x +1x2,∵1x +1x2>0,∴a ≤0,故实数a 的取值范围是(-∞,0];(2)解:设切点x 0,ln x 0-1x 0 ,则切线方程为y -ln x 0-1x 0=1x 0+1x 20(x -x 0),即y =1x 0+1x 20x -1x 0+1x 20 x 0+ln x 0-1x 0,亦即y =1x 0+1x 20x +ln x 0-2x 0-1,令1x 0=t >0,由题意得a =1x 0+1x 20=t +t 2,b =ln x 0-2x 0-1=-ln t -2t -1,令a +b =φ(t )=-ln t +t 2-t -1,则φ (t )=-1t +2t -1=(2t +1)(t -1)t,当t ∈(0,1)时,φ (t )<0,φ(t )在(0,1)上单调递减;当t ∈(1,+∞)时,φ (t )>0,φ(t )在(1,+∞)上单调递增,∴a +b =φ(t )≥φ(1)=-1,故a +b 的最小值为-1;(3)证明:由题意知ln x 1-1x 1=ax 1,ln x 2-1x 2=ax 2,两式相加得ln x 1x 2-x 1+x 2x 1x 2=a (x 1+x 2),两式相减得lnx 2x 1-x 1-x 2x 1x 2=a (x 2-x 1),即ln x2x 1x 2-x 1+1x 1x 2=a ,∴ln x 1x 2-x 1+x 2x 1x 2=ln x2x 1x 2-x 1+1x 1x 2 (x 1+x 2),即ln x 1x 2-2(x 1+x 2)x 1x 2=x 1+x 2x 2-x 1ln x 2x 1,不妨令0<x 1<x 2,记t =x 2x 1>1,令F (t )=ln t -2(t -1)t +1(t >1),则F ′(t )=(t -1)2t (t +1)2>0,∴F (t )=ln t -2(t -1)t +1在(1,+∞)上单调递增,则F (t )=ln t -2(t -1)t +1>F (1)=0,∴ln t >2(t -1)t +1,则ln x 2x 1>2(x 2-x 1)x 1+x 2,∴ln x 1x 2-2(x 1+x 2)x 1x 2=x 1+x 2x 2-x 1ln x 2x 1>2,又ln x 1x 2-2(x 1+x 2)x 1x 2<ln x 1x 2-4x 1x 2x 1x 2=ln x 1x 2-4x 1x 2=2ln x 1x 2-4x 1x 2,∴2ln x1x2-4x1x2>2,即ln x1x2-2x1x2>1,令G(x)=ln x-2x,则x>0时,G(x)=1x+2x2>0,∴G(x)在(0,+∞)上单调递增,又ln2e-22e=12ln2+1-2e≈0.85<1,∴G(x1x2)=ln x1x2-2x1x2>1>ln2e-22e,则x1x2>2e,即x1x2>2e2.【同步练习】1.已知函数f(x)=ln x+2x-ax2,a∈R.(Ⅰ)若f(x)在x=1处取得极值,求a的值;(Ⅱ)设g(x)=f(x)+(a-4)x,试讨论函数g(x)的单调性;(Ⅲ)当a=-2时,若存在正实数x1,x2满足f(x1)+f(x2)+3x1x2=x1+x2,求证:x1+x2>12.【解析】解:(Ⅰ)因为f(x)=ln x+2x-ax2,所以f′(x)=1x+2-2ax,因为f(x)在x=1处取得极值,所以f′(1)=1+2-2a=0,解得:a=3 2.验证:当a=32时,f′(x)=1x+2-3x=-(3x+1)(x-1)x(x>0),易得f(x)在x=1处取得极大值.(Ⅱ)因为g(x)=f(x)+(a-4)x=ln x-ax2+(a-2)x,所以g′(x)=-(ax+1)(2x-1)x(x>0),①若a≥0,则当x∈0,1 2时,g′(x)>0,所以函数g(x)在0,1 2上单调递增;当x∈12,+∞时,g′(x)<0,∴函数g(x)在12,+∞上单调递减.②若a<0,g′(x)=-a x+1a(2x-1)x(x>0),当a<-2时,易得函数g(x)在0,-1 a和12,+∞上单调递增,在-1a,12上单调递减;当a=-2时,g′(x)≥0恒成立,所以函数g(x)在(0,+∞)上单调递增;当-2<a<0时,易得函数g(x)在0,1 2和-1a,+∞上单调递增,在12,-1a上单调递减.(Ⅲ)证明:当a=-2时,f(x)=ln x+2x+2x2,因为f(x1)+f(x2)+3x1x2=x1+x2,所以ln x1+2x1+2x21+ln x2+2x2+2x22+3x1x2=x1+x2,即ln x1x2+2(x21+x22)+(x1+x2)+3x1x2=0,所以2(x1+x2)2+(x1+x2)=x1x2-ln x1x2,令t=x1x2,φ(t)=t-ln t(t>0),则φ′(t)=t-1t(t>0),当t∈(0,1)时,φ′(t)<0,所以函数φ(t)=t-ln t(t>0)在(0,1)上单调递减;当t∈(1,+∞)时,φ′(t)>0,所以函数φ(t)=t-ln t(t>0)在(1,+∞)上单调递增.所以函数φ(t)在t=1时,取得最小值,最小值为1.所以2(x1+x2)2+(x1+x2)≥1,即2(x1+x2)2+(x1+x2)-1≥0,所以x1+x2≥12或x1+x2≤-1,因为x1,x2为正实数,所以当x1+x2=12时,x1x2=1,此时不存在x1,x2满足条件,所以x1+x2>1 2.2.已知函数f(x)=ln x+x-ax2,a∈R.(1)若f(x)在x=1处取得极值,求a的值;(2)设g(x)=f(x)+(a-3)x,试讨论函数g(x)的单调性;(3)当a=-2时,若存在正实数x1,x2满足f(x1)+f(x2)+3x1x2=0,求证:x1+x2>12.【解析】(1)解:因为f(x)=ln x+x-ax2,所以f′(x)=1x+1-2ax,因为f(x)在x=1处取得极值,所以f′(1)=1+1-2a=0,解得:a=1.验证:当a=1时,f′(x)=1x+1-2x=-(x-1)(2x+1)x(x>0),易得f(x)在x=1处取得极大值.(2)解:因为g(x)=f(x)+(a-3)x=ln x-ax2+(a-2)x,所以g′(x)=-(ax+1)(2x-1)x(x>0),①若a≥0,则当x∈0,1 2时,g′(x)>0,所以函数g(x)在0,1 2上单调递增;当x∈12,+∞时,g′(x)<0,∴函数g(x)在12,+∞上单调递减.②若a<0,g′(x)=-a x+1a(2x-1)x(x>0),当a<-2时,易得函数g(x)在0,-1 a和12,+∞上单调递增,在-1a,12上单调递减;当a=-2时,g′(x)≥0恒成立,所以函数g(x)在(0,+∞)上单调递增;当-2<a<0时,易得函数g(x)在0,1 2和-1a,+∞上单调递增,在12,-1a上单调递减.(3)证明:当a=-2时,f(x)=ln x+x+2x2,因为f(x1)+f(x2)+3x1x2=0,所以ln x1+x1+2x12+ln x2+x2+2x22+3x1x2=0,即ln x1x2+2(x12+x22)+(x1+x2)+3x1x2=0,所以2(x1+x2)2+(x1+x2)=x1x2-ln x1x2,令t=x1x2,φ(t)=t-ln t(t>0),则φ′(t)=t-1t(t>0),当t∈(0,1)时,φ′(t)<0,所以函数φ(t)=t-ln t(t>0)在(0,1)上单调递减;当t∈(1,+∞)时,φ′(t)>0,所以函数φ(t)=t-ln t(t>0)在(1,+∞)上单调递增.所以函数φ(t)在t=1时,取得最小值,最小值为1.所以2(x1+x2)2+(x1+x2)≥1,即2(x1+x2)2+(x1+x2)-1≥0,所以x1+x2≥12或x1+x2≤-1,因为x1,x2为正实数,所以x1+x2≤-1,因为当x1+x2=12时,x1x2=1,不满足t∈(1,+∞),所以x1+x2>1 2.3.已知函数f(x)=x(1-ln x).(1)讨论f(x)的单调性;(2)设a,b为两个不相等的正数,且b ln a-a ln b=a-b,证明:2<1a +1b<e.【解析】(1)解:由函数的解析式可得f (x)=1-ln x-1=-ln x,∴x∈(0,1),f′(x)>0,f(x)单调递增,x∈(1,+∞),f′(x)<0,f(x)单调递减,则f(x)在(0,1)单调递增,在(1,+∞)单调递减.(2)证明:由b ln a-a ln b=a-b,得-1a ln1a+1bln1b=1b-1a,即1a1-ln1a=1b1-ln1b,由(1)f(x)在(0,1)单调递增,在(1,+∞)单调递减,所以f(x)max=f(1)=1,且f(e)=0,令x1=1a,x2=1b,则x1,x2为f(x)=k的两根,其中k∈(0,1).不妨令x1∈(0,1),x2∈(1,e),则2-x1>1,先证2<x1+x2,即证x2>2-x1,即证f(x2)=f(x1)<f(2-x1),令h(x)=f(x)-f(2-x),则h′(x)=f′(x)+f′(2-x)=-ln x-ln(2-x)=-ln[x(2-x)]在(0,1)单调递减,所以h′(x)>h′(1)=0,故函数h(x)在(0,1)单调递增,∴h(x1)<h(1)=0.∴f(x1)<f(2-x1),∴2<x1+x2,得证.同理,要证x1+x2<e,(法一)即证1<x2<e-x1,根据(1)中f(x)单调性,即证f(x2)=f(x1)>f(e-x1),令φ(x)=f(x)-f(e-x),x∈(0,1),则φ (x)=-ln[x(e-x)],令φ′(x0)=0,x∈(0,x0),φ (x)>0,φ(x)单调递增,x∈(x0,1),φ (x)<0,φ(x)单调递减,又0<x<e时,f(x)>0,且f(e)=0,故limx→0+φ(x)=0,φ(1)=f(1)-f(e-1)>0,∴φ(x)>0恒成立,x1+x2<e得证,(法二)f(x1)=f(x2),x1(1-ln x1)=x2(1-ln x2),又x1∈(0,1),故1-ln x1>1,x1(1-ln x1)>x1,故x1+x2<x1(1-ln x1)+x2=x2(1-ln x2)+x2,x2∈(1,e),令g(x)=x(1-ln x)+x,g′(x)=1-ln x,x∈(1,e),在(1,e)上,g′(x)>0,g(x)单调递增,所以g(x)<g(e)=e,即x2(1-ln x2)+x2<e,所以x1+x2<e,得证,则2<1a+1b<e.4.已知函数f(x)=ln x-x.(Ⅰ)讨论函数f(x)的单调性;(Ⅱ)设a,b为两个不相等的正数,ln a-ln b=a-b,证明:ab<1.【解析】解:(I)f′(x)=1x-1=1-xx,x>0,当0<x<1时,f′(x)>0,函数f(x)单调递增,当x>1时,f′(x)<0,函数f(x)单调递减,故函数在(0,1)上单调递增,在(1,+∞)上单调递减,(II)证明:由ln a-ln b=a-b,得ln a-a=ln b-b,令x1=a,x2=b,则x1,x2是f(x)=x的两根,不妨令x1∈(0,1),x2∈(1,+∞),则0<x1<1,0<1x2<1,要证ab<1,即证x1<1x2,即f(x1)=f(x2)<f1x2,令h(x)=f(x)-f1x=2ln x+1x-x,则h′(x)=2x-1x2-1=-(x-1)2x2<0,所以h(x)在(1,+∞)单调递减,h(x)<h(1)=0,所以f(x1)=f(x2)<f1x2 ,所以ab<1,5.已知函数f(x)=xe-x(x∈R).(Ⅰ)求函数f(x)的单调区间和极值;(Ⅱ)已知函数y=g(x)的图象与函数y=f(x)的图象关于直线x=1对称,证明:当x>1时,f(x) >g(x);(Ⅲ)如果x1≠x2,且f(x1)=f(x2),证明:x1+x2>2.【解析】解:(Ⅰ)解:f′(x)=(1-x)e-x令f′(x)=0,解得x=1当x变化时,f′(x),f(x)的变化情况如下表x(-∞,1)1(1,+∞)f′(x)+0-f(x)增极大值减所以f(x)在(-∞,1)内是增函数,在(1,+∞)内是减函数.函数f(x)在x=1处取得极大值f(1)且f(1)=1 e.(Ⅱ)证明:由题意可知g(x)=f(2-x),得g(x)=(2-x)e x-2令F(x)=f(x)-g(x),即F(x)=xe-x+(x-2)e x-2于是F (x)=(x-1)(e2x-2-1)e-x当x>1时,2x-2>0,从而e2x-2-1>0,又e-x>0,所以F′(x)>0,从而函数F(x)在[1,+∞)是增函数.又F(1)=e-1-e-1=0,所以x>1时,有F(x)>F(1)=0,即f(x)>g(x).(Ⅲ)证明:(1)若(x1-1)(x2-1)=0,由(I)及f(x1)=f(x2),则x1=x2=1.与x1≠x2矛盾.(2)若(x1-1)(x2-1)>0,由(I)及f(x1)=f(x2),得x1=x2.与x1≠x2矛盾.根据(1)(2)得(x1-1)(x2-1)<0,不妨设x1<1,x2>1.由(Ⅱ)可知,f(x2)>g(x2),则g(x2)=f(2-x2),所以f(x2)>f(2-x2),从而f(x1)>f(2-x2).因为x2>1,所以2-x2<1,又由(Ⅰ)可知函数f(x)在区间(-∞,1)内是增函数,所以x1>2-x2,即x1+x2>2.6.已知函数f(x)=x-e a+x(a∈R).(1)若a=1,求函数f(x)在x=0处的切线方程;(2)若f(x)有两个零点x1,x2,求实数a的取值范围,并证明:x1+x2>2.【解析】解:(1)f(x)=x-e1+x的导数为f′(x)=1-e1+x,则函数f(x)在x=0处的切线斜率为1-e,又切点为(0,-e),则切线的方程为y=(1-e)x-e,即(e-1)x+y+e=0;(2)设函数g(x)=x-ln x+a,与函数f(x)具有相同的零点,g (x)=x-1x,知函数g(x)在(0,1)上递减,(1,+∞)上递增,当x→0,g(x)→+∞;可证当x∈(0,+∞)时,ln x<x-1,即-ln x=ln 1x≤1x-1,即此时g(x)=x-ln x+a<x+1x+a-1,当x→+∞时,g(x)→+∞,f(x)有两个零点,只需g(1)<0,即a<-1;证明:方法一:设函数F(x)=g(x)-g(2-x),(1<x<2)则F(x)=2x-2-ln x+ln(2-x),且F (x)=2(x-1)2x(x-2)<0对x∈(1,2)恒成立即当x∈(1,2)时,F(x)单调递减,此时,F(x)<F(1)=0,即当x∈(1,2)时,g(x)<g(2-x),由已知0<x1<1<x2,则1-x1∈(1,2),则有g(2-x1)<g(2-2+x1)=g(x1)=g(x2)由于函数g(x)在(1,+∞)上递增,即2-x1<x2,即x1+x2>2.方法二:故x2-x1=ln x2-ln x1=ln x2 x1.设x2x1=t,则t>1,且x2=tx1x2-x1=ln t,解得x1=ln tt-1,x2=t ln tt-1.x1+x2=(t+1)ln tt-1,要证:x1+x2=(t+1)ln tt-1>2,即证明(t+1)ln t>2(t-1),即证明(t+1)ln t-2t+2>0,设g(t)=(t+1)ln t-2t+2(t>1),g (t)=ln t+1t-1,令h(t)=g (t),(t>1),则h (t)=t-1t2>0,∴h(t)在(1,+∞)上单调增,g (t)=h(t)>h(1)=0,∴g(t)在(1,+∞)上单调增,则g(t)>g(1)=0.即t>1时,(t+1)ln t-2t+2>0成立,7.已知函数f(x)=axe x-(a-1)(x+1)2(其中a∈R,e为自然对数的底数,e=2.718128⋯).(1)若f(x)仅有一个极值点,求a的取值范围;(2)证明:当0<a<12时,f(x)有两个零点x1,x2,且-3<x1+x2<-2.【解析】(1)解:f (x)=ae x+axe x-2(a-1)(x+1)=(x+1)(ae x-2a+2),由f (x)=0得到x=-1或ae x-2a+2=0(*)由于f(x)仅有一个极值点,关于x的方程(*)必无解,①当a=0时,(*)无解,符合题意,②当a≠0时,由(*)得e x=2a-2a,故由2a-2a≤0得0<a≤1,由于这两种情况都有,当x<-1时,f (x)<0,于是f(x)为减函数,当x>-1时,f (x)>0,于是f(x)为增函数,∴仅x=-1为f(x)的极值点,综上可得a的取值范围是[0,1];(2)证明:由(1)当0<a<12时,x=-1为f(x)的极小值点,又∵f(-2)=-2ae2-(a-1)=-2e2-1a+1>0对于0<a<12恒成立,f(-1)=-ae <0对于0<a<12恒成立,f(0)=-(a-1)>0对于0<a<12恒成立,∴当-2<x<-1时,f(x)有一个零点x1,当-1<x<0时,f(x)有另一个零点x2,即-2<x1<-1,-1<x2<0,且f(x1)=ax1e x1-(a-1)(x1+1)2=0,f(x2)=ax2e x2-(a-1)(x2+1)2=0,(#)所以-3<x1+x2<-1,下面再证明x1+x2<-2,即证x1<-2-x2,由-1<x2<0得-2<-2-x2<-1,由于x<-1,f(x)为减函数,于是只需证明f(x1)>f(-2-x2),也就是证明f(-2-x2)<0,f(-2-x2)=a(-2-x2)e-2-x2-(a-1)(-x2-1)2=a(-2-x2)e-2-x2 -(a-1)(x2+1)2,借助(#)代换可得f(-2-x2)=a(-2-x2)e-2-x2-ax2e x2=a[(-2-x2)e-2-x2-x2e x2],令g(x)=(-2-x)e-2-x-xe x(-1<x<0),则g (x)=(x+1)(e-2-x-e x),∵h(x)=e-2-x-e x为(-1,0)的减函数,且h(-1)=0,∴g (x)=(x+1)(e-2-x-e x)<0在(-1,0)恒成立,于是g(x)为(-1,0)的减函数,即g(x)<g(-1)=0,∴f(-2-x2)<0,这就证明了x1+x2<-2,综上所述,-3<x1+x2<-2.8.已知函数f(x)=e x-ax(a为常数),f′(x)是f(x)的导函数.(Ⅰ)讨论f(x)的单调性;(Ⅱ)当x>0时,求证:f(ln a+x)>f(ln a-x);(Ⅲ)已知f(x)有两个零点x1,x2(x1<x2),求证:f/x1+x22<0.【解析】证明:(Ⅰ)∵f′(x)=e x-a.当a≤0时,则f′(x)=e x-a>0,即f(x)在R上是增函数,当a>0时,由f′(x)=e x-a=0,得x0=ln a.当x∈(-∞,x0)时,f′(x)<0;当x∈(x0,+∞)时,f′(x)>0.即f(x)在(-∞,ln a)上是减函数,在(ln a,+∞)上是增函数,(Ⅱ)证明:设g(x)=f(ln a+x)-f(ln a-x)(x>0)=[e ln a+x-a(ln a+x)]-[e ln a-x-a(ln a-x)]= a(e x-e-x-2x),∴g′(x)=a(e x+e x-2)≥2a e x∙e-x-2a=0,当且仅当x=0时等号成立,但x>0,∴g′(x)>0,即g(x)在(0,+∞)上是增函数,所以g(x)>g(0)=0∴不等式f(x0+x)>f(x0-x)恒成立.(Ⅲ)由(I)知,当a≤0时,函数y=f(x)的图象与x轴至多有一个交点,故a>0,从而f(x)的最小为f(ln a),且f(ln a)<0.设A(x1,0),B(x2,0),0<x1<x2,则0<x1<ln a<x2.由(II)得f(2ln a-x1)=f(ln a+ln a-x1)>f(x1)=0.∵2ln a-x1=ln a+(ln a-x1)>ln a,x2>ln a,且f(x)在(ln a,+∞)上是增函数又f(2ln a-x1)>0=f(x2),∴2ln a-x1>x2.于是x1+x22<ln a,∵f(x)在(-∞,ln a)上减函数,∴fx1+x22<0.9.设函数f(x)=e x-ax+a,a∈R,其图象与x轴交于A(x1,0),B(x2,0)两点,且x1<x2.(1)求a的取值范围;(2)证明:f (x1x2)<0.【解析】解:(1)∵f(x)=e x-ax+a,∴f (x)=e x-a,若a≤0,则f (x)>0,则函数f(x)是单调增函数,这与题设矛盾.∴a>0,令f (x)=0,则x=ln a,当f (x)<0时,x<ln a,f(x)是单调减函数,当f (x)>0时,x>ln a,f(x)是单调增函数,于是当x=ln a时,f(x)取得极小值,∵函数f(x)=e x-ax+a(a∈R)的图象与x轴交于两点A(x1,0),B(x2,0)(x1<x2),∴f(ln a)=a(2-ln a)<0,即a>e2,此时,存在1<ln a,f(1)=e>0,存在3ln a>ln a,f(3ln a)=a3-3a ln a+a>a3-3a2+a>0,又由f(x)在(-∞,ln a)及(ln a,+∞)上的单调性及曲线在R上不间断,可知a>e2为所求取值范围.(2)∵e x1-ax1+a=0 e x2-ax2+a=0 ,∴两式相减得a=e x2-e x1x2-x1,记x2-x12=s(s>0),则f′x1+x22=e x1+x22-e x2-e x1x2-x1=ex1+x222s[2s-(e s-e-s)],设g(s)=2s-(e s-e-s),则g (s)=2-(e s+e-s)<0,∴g(s)是单调减函数,则有g(s)<g(0)=0,而e x1+x222s>0,∴f′x1+x22<0.又f (x)=e x-a是单调增函数,且x1+x22>x1x2,∴f′(x1x2)<0.10.设函数f(x)=e x-ax+a(a∈R)其图象与x轴交于A(x1,0),B(x2,0)两点,且x1<x2.(1)求f(x)的单调区间和极值点;(2)证明:f′(x1x2)<0(f′(x)是f(x)的导函数);(3)证明:x1x2<x1+x2.【解析】解:(1)设函数f(x)=e x-ax+a(a∈R)其图象与x轴交于A(x1,0),B(x2,0)两点,所以函数f(x)不单调,∵f (x)=e x-a=0有实数解,所以a>0,解得x=ln a,因为x<ln a,f (x)<0,f(x)单调递减,x>ln a时,f (x)>0,f(x)单调递增,且ln a是极小值点;f(ln a)极小值=e ln a-a ln a+a=2a2-ln a,由题意得,f(ln a)<0,所以a>e2,所以函数f(x)的单调递增区间(-∞,ln a),单调递减区间(ln a,+∞),极小值点是ln a,无极大值点,且a>e2.(2)证明:∵e x1-ax1+a=0 e x2-ax2+a=0 ,两式相减可得,a=e x2-e x1x2-x1,令s=ex2-x12(s>0),则fx1+x22=e x1+x22-e x2-e x1x2-x1,=e x1+x222s[2s-(e s-e-s)],令g(s)=2s-(e s-e-s),则g′(s)=2-(e s+e-s)<0,所以g(s)单调递减,g(s)<g(0)=0,而e x1+x222s>0,∴fx1+x22<0,又x1+x22>x1x2,∴f′(x1x2)<0;(3)证明:由e x1-ax1+a=0e x2-ax2+a=0,可得e x2-x1=x2-1x1-1,∴e(x2-1)-(x1-1)=x2-1 x1-1,令m=x1-1,n=x2-1,则0<m<1<n,∴e n-m=nm,设t=nm,则t>1,n=mt,∴e(t-1)m=t,∴m=ln tt-1,n=t ln tt-1,∴mn=t(ln t)2 (t-1)2,要证明:x1x2<x1+x2,等价于证明:(x1-1)(x2-1)<1,即证mn<1,即证t(ln t)2(t-1)2<1,即证ln tt-1<1t,即证ln t<t-1t ,令g(t)=2ln t-t+1t,(t>1),g′(t)=2t -1-1t2=-(t-1)2t2<0,∴g(t)在(1,+∞)上单调递减,∵t>1,故g(t)<0,∴2ln t-t+1t<0,∴ln t<t-1t,从而有:x1x2<x1+x2.11.已知函数f(x)=x2ln x+ax(a∈R)在x=1处的切线与直线x-y+2=0平行.(1)求实数a的值,并求f(x)的极值;(2)若方程f(x)=m有两个不相等的实根x1,x2,求证:x21+x22>2e.【解析】解:(1)函数f(x)的定义域为(0,+∞),f (x)=2x ln x+x-ax2,由题意知f′(1)=1-a=1,∴a=0.∴f′(x)=2x ln x+x=x(2ln x+1),令f′(x)=0,则x=e e,当x∈0,e e时,f′(x)<0;x∈e e,+∞时,f′(x)>0.∴f(x)的极小值为f ee=-12e,证明:(2)由(1)知f(x)=x2ln x,由f(x1)=f(x2)=m,得x12ln x1=x22ln x2,即2x12ln x1=2x22ln x2,所以x12ln x12=x22ln x22.∵x1≠x2,不妨设x1<x2,令t1=x12,t2=x22,h(t)=t ln t(t>0),则原题转化为h(t)=2m有两个实数根t1,t2(t1<t2),又h′(t)=1+ln t,令h′(t)>0,得t>e-1;令h′(t)<0,得t<e-1,∴h(t)在(0,e-1)上单调递减,在(e-1,+∞)上单调递增,又t→0+时,h(t)→0,h(1)=0,h(e-1)=-e-1,由h(t)图象可知,-e-1<2m<0,0<t1<e-1<t2<1.设g(t)=h(t)-h2e-t=t ln t-2e-tln2e-t,t∈0,1e,则g (t)=(ln t+1)--ln2e-t-1=2+ln t2e-t.当0<t<1e时,t2e-t=-t-1e2+1e2<1e2,则g′(t)<0∴g(t)在0,1 e上单调递减.又∵g1e=h1e -h2e-1e=0∴t∈0,1e时,g(t)>0,得到g(t1)=h(t1)-h2e-t1>0,即h(t1)>h2e-t1,又∵h(t1)=h(t2),∴h(t2)>h2e -t1,又0<t1<1e,则2e-t1>1e,且1>t2>1e,h(t)在1e,+∞上单调递增,∴t2>2e -t1,即t1+t2>2e,即x12+x22>2e.。
极值点偏移问题总结判定方法1极值点偏移的定义对于函数y f(x)在区间(a,b)内只有一个极值点X。
,方程f (x) 0的解分别为Xp x2,且a X i X2 b,(1)若冬X2x0,则称函数y f(x)在区间(X i,X2)上极值点X o偏移;2(2)若空X2x0,则函数y f (x)在区间(x i, X2)上极值点X o左偏,简称极值点X o2左偏;(3)若X o,贝U函数y f(x)在区间(X i,X2)上极值点X o右偏,简称极值点X o2右偏。
2、极值点偏移的判定定理则函数y f (x)的单调递增(减)区间为(a,x o),单调递减(增)区间为(x o,b),又 a x i x2b,有'X2(a,b)由于f'(X1 X2) o,故匹X2(a,x o),所以2 2 2乞△ ( )X o,即函数极大(小)值点X o右(左)偏。
2判定定理2 对于可导函数y f(x),在区间(a,b)上只有一个极大(小)值点沧,方程f(x) 0的解分别为x「X2,且a X i X2 b ,(1)若f(xj f (2x o X2),则一X2( )x o 即函数y f (x)在区间(x i, X2)上极2,大(小)值点X o右(左)偏;(2)若f(xj f(2x o X2),则■昙()X o 即函数y f(x)在区间(X i,X2)上极2大(小)值点X o左(右)偏。
证明:(1)因为对于可导函数y f (x)在区间(a,b)上只有一个极大(小)值点x o,则函数y f (x)的单调递增(减)区间为(a,x o),单调递减(增)区间为(x o,b),又a X i X2 b,有X! X o,且2x o X2 X o,又 f (xj f (2x°X2),故X i ( )2X o X2,所以空X2( )x o,即函数极大(小)值点X o右(左)偏.2结论(2)证明略。
二、运用判定定理判定极值点偏移的方法1•方法概述:(1)求出函数f(x)的极值点;(2)构造一兀差函数F(x) f (x o x) f (x o x)(3)确定函数F(x)的单调性;(4)结合F(o)o,判断F(x)的符号,从而确定f(x o x), f(x o x)的大小关系。
极值点偏移的问题(含答案)1.已知 $f(x)=\ln x-ax$,其中 $a$ 为常数。
1)若函数 $f(x)$ 在 $x=1$ 处的切线与 $x$ 轴平行,求$a$ 的值;2)当 $a=1$ 时,比较 $f(m)$ 和 $f(1)$ 的大小;3)$f(x)$ 有两个零点 $x_1$ 和 $x_2$,证明:$x_1\cdotx_2>e^2$。
变式:已知函数 $f(x)=\ln x-ax^2$,其中 $a$ 为常数。
1) 讨论 $f(x)$ 的单调性;2) 若有两个零点 $x_1$ 和 $x_2$,试证明:$x_1\cdotx_2>e$。
2.已知 $f(x)=x^2+ax+\sin (\pi x)$,$x\in(0,1)$。
1)若 $f(1)=0$,求函数 $f(x)$ 的最大值;2)令 $g(x)=f(x)-(ax-1)$,求函数 $g(x)$ 的单调区间;3)若 $a=-2$,正实数 $x_1$ 和 $x_2$ 满足$f(x_1)+f(x_2)+x_1x_2=0$,证明:$x_1+x_2\geq \frac{5}{2}$。
3.已知 $f(x)=\ln x-ax^2+x$,其中 $a\in R$。
1)若 $f(1)=0$,求函数 $f(x)$ 的最大值;2)令 $g(x)=f(x)-(ax-1)$,求函数 $g(x)$ 的单调区间;3)若 $a=-2$,正实数 $x_1$ 和 $x_2$ 满足$f(x_1)+f(x_2)+x_1x_2=0$,证明:$x_1+x_2\geq \frac{5}{2}$。
4.设 $a>0$,函数 $f(x)=\ln x-ax$,$g(x)=\ln x-\frac{2(x-1)}{x+1}$。
1)证明:当 $x>1$ 时,$g(x)>0$ 恒成立;2)若函数 $f(x)$ 无零点,求实数 $a$ 的取值范围;3)若函数$f(x)$ 有两个相异零点$x_1$ 和$x_2$,求证:$x_1\cdot x_2>e^2$。
极值点偏移的问题(含答案)1. 已知 f (x) ln x ax,( a 为常数) ()若函数 f ( x) 在 处的切线与 轴平行,求 的值; 1 x 1xa ( 2)当 a 1时,试比较 f (m)与 f ( 1 )的大小;m(3) f ( x)有两个零点 x 1, x 2, 证明: x 1 x 2> e 2变式:已知函数 f ( x) ln x ax 2, a 为常数。
(1) 讨论 f ( x)的单调性;(2) 若有两个零点 x 1, x 2 ,,试证明: x 1 x 2> e.2. 已知 f ( x)x 2+ax sin x, x (0,1);2(1)若 f ( x) 在定义域内单调递增,求 的取值范围;a(2)当 a=-2 时,记 f (x)取得极小值为 f (x 0 )若f ( x 1 ) f (x 2 ),求证 x 1 x 2>2x 0.3. 已知 f ( x) ln x- 1ax 2x,( a R)2(1)若 ) 0,求函数的最大值;f (1 =f ( x)( 2)令 g ( x) =f ( x)- (ax 1), 求函数 g( x)的单调区间;(3)若 a =-2, 正实数 x 1 , x 2 , 满足( ) f x 2x 1x 2 0,证明: x 1 5 1f x 1x 222( x 1) 4. 设 a>0, 函数 f(x)=lnx-ax,g(x)=lnx-x 1(1)证明:当 x 1时, g(x)>0 恒成立;( 2)若函数 f(x) 无零点,求实数 a 的取值范围;( 3)若函数 f(x) 有两个相异零点 x 1 , x 2 , 求证: x 1 x 2 e 25. 已知 f ( x) x 2aa ln x, 常数 。
a R ()求 的单调区间;1f ( x)( ) 有两个零点,且 x 1 ;2 f ( x) x 1, x 2 x 2(i) 指出 的取值范围,并说明理由;( ii) 求证:x 1 x 2 3a8a6.设函数 f (x) exax a (a R ) ,其图象与 x 轴交于 A(x 1 ,0) , B( x 2 ,0) 两点,且 x 1 x 2 .( 1)求 a 的取值范围;( 2)证明: fx 1 x 20 ( f ( x) 为函数 f ( x) 的导函数);( 3)设点 C 在函数 yf (x) 的图象上,且△ ABC 为等腰直角三角形,记x 2 1t ,x 1 1求 (a 1)(t 1) 的值.【解】( 1) f ( x) e x a .若 a ≤ 0 ,则 f (x) 0 ,则函数 f (x) 是单调增函数,这与题设矛盾.所以 a 0 ,令f (x) 0 ,则 x ln a .当 x ln a 时, f ( x) 0 , f (x) 是单调减函数;x ln a 时, f (x) 0 , f ( x) 是单调增函数;于是当 x ln a 时, f ( x) 取得极小值.因为函数 f ( x) e x ax a(a R ) 的图象与 x 轴交于两点 A(x 1 ,0) , B( x 2 ,0) (x 1< x 2),所以 f (ln a)a(2 ln a ) 0 ,即 a e 2. .此时,存在 1 ln a , f (1) e 0 ;存在 3ln aln a , f (3ln a) a 3 3a ln a a a 3 3a 2a 0 ,又由 f ( x) 在 (,ln a) 及 (ln a , ) 上的单调性及曲线在 R 上不间断,可知 ae 2为所求取值范围 .xax 1 a 0 ,( 2)因为e1两式相减得 ax 2x 1.e x2eeax 2 a 0 ,x 2 x 1记x2x 1x 1x 2 e x 12x2e x2e x1x 1 x 2s( s0) , 则 f e 22s (e se s ), 设22x 2 x 12sg( s) 2s(e s e s ) ,则 g (s)2 (e s e s ) 0 ,所以 g( s) 是单调减函数,x 1 x 2 x 1 x 2则有 g (s) g (0)0 ,而e20 ,所以 f0 .2s2 又 f ( x)e x a 是单调增函数,且 x 1 x 2x 1x 22所以 fx 1x 20 .( 3)依题意有 e x i ax a 0,则a (xi1) e x i 0 x (1 i 1,2)i i.x1 x2于是 e 2 a (x1 1)(x2 1) ,在等腰三角形 ABC 中,显然 C = 90°,所以x0x1 x2( x1, x2 ) ,即 y0 f (x0 ) 0 ,2由直角三角形斜边的中线性质,可知x2 x1y0,2x2 x1x1 x 2 a ( x1 x2 x1所以 y0 0,即 e 2 x2 ) a 0 ,2 2 2所以 a ( x1 1)( x2 1)a( x1 x2 ) a x2 x1 0 ,22即 a ( x1 1)(x2 1)a[( x1 1) ( x2 1)] (x2 1) ( x1 1) 0 .2 2x2 1 x2 1x2 1 1因为 x1 a 1 x1 1 0 ,1 0 ,则 a1 x1 1 2x1 2又x2 1t ,所以 ata(12)1(t21) 0 ,x1 1 2 t 2即 a 1 2 ,所以 (a 1)(t 1) 2.t 17.已知函数 f ( x) xc x ( x R)(Ⅰ)求函数 f ( x) 的单调区间和极值;(Ⅱ)已知函数y g( x) 的图象与函数y f ( x) 的图象关于直线x 1 对称,证明当x 1 时, f (x) g( x)(Ⅲ)如果x1x2,且 f ( x1 ) f ( x2 ) ,证明 x1x2 2(Ⅰ)解: f ’( x) f ' (1 x)e x令 f ’ (x)=0, 解得 x=1当 x 变化时, f ’ (x) , f(x)的变化情况如下表X (,1) 1 (1,) f ’ (x) + 0 -f(x)Z 极大值]所以 f(x) 在 (,1 )内是增函数,在( 1,) 内是减函数。
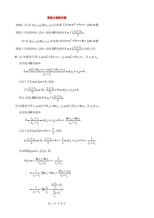
极值点偏移问题10181.(1)设1122(,),(,)A x y B x y 是函数2()f x ax bx c =++(0)abc ≠图象上不同的两点,求证:直线AB 的斜率12'()2x x k f +=; (2)设1122(,),(,)A x y B x y 是函数2()ln g x ax bx c x =++(0)abc ≠图象上不同的两点,试问:直线AB 的斜率12'()2x x k g +=还成立吗? 解:(1)由题意可得2111y ax bx c =++,2222y ax bx c =++,且12x x ≠,故直线AB 的斜率2222111221()()ax bx c ax bx c k a x x b x x ++-++==++-. 又由于'()2f x ax b =+,因此121212'()2()22x x x x f a b a x x b ++=⋅+=++. 所以,直线AB 的斜率12'()2x x k f +=. (2)由题意可得21111ln y ax bx c x =++,22222ln y ax bx c x =++,且12x x ≠,故直线AB 的斜率 2121122121ln ln ()y y x x k a x x b c x x x x --==+++⋅--. 又由于1'()2g x ax b c x =++⋅,因此 1212121212'()2()22x x x x g a b c a x x b c x x x ++=⋅++⋅=+++⋅+. 令函数()'()h x k g x =-,则212112ln ln 2()x x h x c c x x x x -=⋅-⋅-+ 212121212()[ln ln ]c x x x x x x x x -=⋅---+ 221221112(1)[ln ]1x c x x x x x x x -=⋅--+.不妨令120x x <<,则211x t x =>,2(1)()ln 1t t t t ϕ-=-+, 则由22214(1)'()0(1)(1)t t t t t t ϕ-=-=>++可知()t ϕ在(1,)+∞上递增. 故()(1)0t ϕϕ>=.从而,由可得()0h x ≠,即直线AB 的斜率12'()2x x k g +≠.10182.设11(,)A x y ,22(,)B x y 是函数2()(12)ln f x ax a x x =+--图象C 上不同的两点,M 为线段AB 的中点,过点M 作x 轴的垂线交曲线C 于点N ,试问:曲线C 在点N 处的切线是否平行于直线AB ? 解:由题意可得21111(12)ln y ax a x x =+--,22222(12)ln y ax a x x =+--, 且12x x ≠,故直线AB 的斜率 2121212121ln ln ()12y y x x k a x x a x x x x --==++----. 由题意可知曲线C 在点N 处的切线的斜率为12'()2x x f +,因此我们只需判断直线AB 的斜率k 与12'()2x x f +是否相等即可. 又由于1'()212f x ax a x =+--,因此 1212122'()()122x x f a x x a x x +=++--+. 令函数()'()g x k f x =-,则2112212ln ln ()x x g x x x x x -=-+- 2121212112()[(ln ln )]x x x x x x x x -=⋅---+221221112(1)1[ln ]1x x x x x x x x -=⋅--+. 不妨令120x x <<,则211x t x =>,2(1)()ln 1t h t t t -=-+, 则由22214(1)'()0(1)(1)t h t t t t t -=-=>++可知()t ϕ在(1,)+∞上递增. 故()(1)0h t h >=.从而可得()0h x ≠,即直线AB 的斜率k 与12'()2x x f +不相等,也即曲线C 在点N 处的切线与直线AB 不平行.10183.设函数2()(2)ln f x x a x a x =---.(1)求函数()f x 的单调区间; (2)若方程()f x c =有两个不等实根12,x x ,求证:12()02x x f +'>. 解:(1)由(1)(2)'()2(2)a x x a f x x a x x+-=---=,且0x >可知: 当0a ≤时,'()0f x >,此时函数()f x 在(0,)+∞上单调递增;当0a >时,若02a x <<,则'()0f x <;若2a x >,则'()0f x >;此时,函数()f x 在(0,)2a 上单调递减;在(,)2a +∞上单调递增. (2)由12,x x 12(0)x x <<是方程()f x c =的两个不等实根可知: 2111(2)ln x a x a x c ---=,2222(2)ln x a x a x c ---=. 两式作差可得12121212()()(2)()(ln ln )0x x x x a x x a x x -+-----=. 故212121ln ln 2x x x x a a x x -+=-+⋅-.由'()2(2)a f x x a x=---可得 1212122'()(2)2x x a f x x a x x +=+---+ 212121ln ln 2x x a a x x x x -=⋅--+ 212121212()[(ln ln )]a x x x x x x x x -=⋅---+ 221221112(1)[ln ]1x a x x x x x x x -=⋅--+. 由120x x <<可知211x t x =>,因此由2(1)()ln 1t g t t t -=-+, 则由22214(1)'()0(1)(1)t g t t t t t -=-=>++可知()g t 在(1,)+∞上递增. 故()(1)0g t g >=,从而可知12()02x x f +'>.10184.设函数2ln 2)(x mx x x f -+=有两个零点21,x x )(21x x <,且0x 是21,x x 的等差中项,求证:0)('0<x f .证明:由21,x x )(21x x <是函数2ln 2)(x mx x x f -+=的两个零点可知 21112ln =0x mx x +-,22222ln =0x mx x +-, 两式作差可得121212122(ln ln )()()()0x x m x x x x x x -+---+=.故211221ln ln 2x x x x m x x -+=+⋅-. 由2'()2f x m x x =+-,及1202x x x +=可得 12012124'()'()()2x x f x f m x x x x +==+-++2121214ln ln 2x x x x x x -=-⋅+- 2121212122()[(ln ln )]x x x x x x x x -=-⋅---+ 221221112(1)2[ln ]1x x x x x x x x -=-⋅--+. 由120x x <<可知211x t x =>,因此由2(1)()ln 1t g t t t -=-+, 则由22214(1)'()0(1)(1)t g t t t t t -=-=>++可知()g t 在(1,)+∞上递增. 故()(1)0g t g >=,从而可知0)('0<x f .10185.设函数()ln f x x ax =-有两个零点21,x x ,求证:212x x e >. 证明:由21,x x )(21x x <是函数()ln f x x ax =-的两个零点可得: 11ln =0x ax -, 22ln =0x ax -,两式相减可得1212ln ln ()0x x a x x ---=2121ln ln x x a x x -⇒=-. 两式相加可得1212ln ln ()0x x a x x +-+=2121ln ln x x a x x +⇒=+. 故有21212121ln ln ln ln x x x x a x x x x -+==-+. 由于212x x e >12ln ln 2x x ⇔+>.因此只需证明2121212121ln ln ln ln 2x x x x x x x x x x -+=>-++即可. 而212121ln ln 2x x x x x x ->-+212121ln ln 2x x x x x x -⇔->⋅+ 2212111ln 201x x x x x x -⇔-⋅>+ 由120x x <<可知211x t x =>,因此由2(1)()ln 1t g t t t -=-+, 则由22214(1)'()0(1)(1)t g t t t t t -=-=>++可知()g t 在(1,)+∞上递增. 故()(1)0g t g >=,从而原命题得证.10186.设函数()x f x e ax a =-+有两个零点21,x x ,求证:2121x x x x +<. 证明:由21,x x 是函数()x f x e ax a =-+的两个零点可得11(1)0x e a x =->,22(1)0x e a x =->,两式相乘可得12212(1)(1)x x e a x x +=--12121221x x e x x x x a +⇒--=-. 两式相减可得1212()x x e e a x x -=-2121x x e e a x x -⇒=-. 故有122122112122()1()x x x x e x x x x x x e e +⋅---=--. 因此122122112122()10()x x x x e x x x x x x e e +⋅-<+⇔-<-. 1221221()x x x x e x x e e +⇔⋅-<-21212221x x x x x x e e ---⇔-<-.由题意不妨设12x x <,则2120x x t -=>.因此1212x x x x <+2t t t e e -⇔<-(0)t >.令函数()2t t g t e e t -=--(0)t >,则由'()20t t g t e e -=+->可知函数()g t 在(0,)+∞上递增.故()(0)0g t g >=,从而原命题得证.10187.设函数()x f x e ax =-,其中a e >,(1)求证:函数()f x 有且仅有两个零点21,x x ,且1201x x <<<;(2)对于(1)中的21,x x ,求证:12'()'()0f x f x +>.证明:(1)由()x f x e ax =-得'()x f x e a =-,且a e >,若ln x <,则'()0f x <,若ln x a >,则'()0f x >,故函数()f x 在(,ln )a -∞上单调递减;在(ln ,)a +∞上单调递增. 由()f x 的图像在(0,1)上是连续的,且(0)10f =>,(1)0f e a =-<, 因此()f x 在区间(0,1)上至少有一个零点,又由函数()f x 在(,ln )a -∞上单调递减,且(0,1)(,ln )a ⊆-∞, 故函数()f x 在(,ln )a -∞上有且仅有一个零点1x ,且101x <<; 令函数()2ln g x x x =-()x e >,则2'()10g x x=->,故函数()g x 在区间(,)e +∞上单调递增,从而可得()()20g x g e e >=->.因为函数()f x 的图像在区间(ln ,2ln )a a 上是连续的,且由a e >可知(ln )(1ln )0f a a a =-<,以及(2ln )(2ln )0f a a a a =->, 所以()f x 在区间(ln ,2ln )a a 上至少有一个零点.又由()f x 在(ln ,)a +∞上单调递增,且(ln ,2ln )(ln ,)a a a ⊆+∞, 故函数()f x 在(ln ,)a +∞上有且仅有一个零点2x ,且2ln 1x a >>; 综上可知,函数()f x 有且仅有两个零点1x ,2x ,且1201x x <<<.证明:(2)令函数2()(2)x x h x x e x e -=⋅--⋅(01)x <<,则由22'()(1)(1)0x x h x x e e -=-⋅⋅->可知()h x 在(0,1)单调递增, 故()(1)0h x h <=,即对(0,1)x ∈,都有2(2)0x x x e x e -⋅--⋅<. 由1x ,2x 均为()f x 的零点得11x e ax =,22x eax =,且1201x x <<<. 由11122111111(2)(2)((2))0x x x f x e a x x e x e x ---=--=--<,及(1)的证明过程可知1122x x x <-<,故122x x +>.所以,121212'()'()2(2)0x xf x f x e e a a x x +=+-=+->.。
导数压轴题分类(2)---极值点偏移问题(含答案)极值点偏移问题是在求解函数的极值点时,由于函数表达式的特殊性质,导致极值点位置发生偏移,需要采用特殊的解决方法。
常见的处理方法有以下几种:1.构造一元差函数F(x)=f(x)-f(2x-x)或F(x)=f(x+x)-f(x-x),其中x为函数y=f(x)的极值点。
2.利用对数平均不等式ab<a-b+a+b。
3.变换主元等方法lna-lnb^2<ln(a-b^2)。
接下来,我们以一个具体的例子来说明极值点偏移问题的解决方法。
题目:设函数f(x)=-alnx+x-ax(a∈R),试讨论函数f(x)的单调性;若f(x)=m有两解x1,x2(x12a。
解析:1.讨论函数f(x)的单调性由f(x)=-alnx+x-ax可知:f'(x)=-a/x+1-a=-(a/x+a-1)因为函数f(x)的定义域为(0,+∞),所以:①若a>0时,当x∈(0,a)时,f'(x)0,函数f(x)单调递增。
②若a=0时,当f'(x)=1/x>0在x∈(0,+∞)XXX成立,函数f(x)单调递增。
③若a0,函数f(x)单调递增。
2.求证x1+x2>2a因为f(x)=m有两解x1,x2(x1<x2),所以:alnx1+x1-ax=m,-alnx2+x2-ax=m将两式相减,整理得:lnx1-lnx2+ln(x1-x2)=a根据对数平均不等式,有:ln(x1-x2)<(lnx1-lnx2)/2代入上式得:a>-[(lnx1-lnx2)/2]化XXX:x1-x2<2e^-2a因为x1+x2>2x2>a,所以:x1+x2>2a综上所述,极值点偏移问题的解决方法包括构造一元差函数、利用对数平均不等式和变换主元等方法。
在具体求解中,需要根据函数表达式的特殊性质,选择合适的方法进行处理。
2(t-1)x2-1)/(4(t-1)2+1)为减函数,且在(1,∞)上递增,所以原不等式得证。
极值点偏移问题总结判定方法1极值点偏移的定义对于函数y f(x)在区间(a,b)内只有一个极值点X。
,方程f (x) 0的解分别为Xp x2,且a X i X2 b,(1)若冬X2x0,则称函数y f(x)在区间(X i,X2)上极值点X o偏移;2(2)若空X2x0,则函数y f (x)在区间(x i, X2)上极值点X o左偏,简称极值点X o2左偏;(3)若X o,贝U函数y f(x)在区间(X i,X2)上极值点X o右偏,简称极值点X o2右偏。
2、极值点偏移的判定定理则函数y f (x)的单调递增(减)区间为(a,x o),单调递减(增)区间为(x o,b),又 a x i x2b,有'X2(a,b)由于f'(X1 X2) o,故匹X2(a,x o),所以2 2 2乞△ ( )X o,即函数极大(小)值点X o右(左)偏。
2判定定理2 对于可导函数y f(x),在区间(a,b)上只有一个极大(小)值点沧,方程f(x) 0的解分别为x「X2,且a X i X2 b ,(1)若f(xj f (2x o X2),则一X2( )x o 即函数y f (x)在区间(x i, X2)上极2,大(小)值点X o右(左)偏;(2)若f(xj f(2x o X2),则■昙()X o 即函数y f(x)在区间(X i,X2)上极2大(小)值点X o左(右)偏。
证明:(1)因为对于可导函数y f (x)在区间(a,b)上只有一个极大(小)值点x o,则函数y f (x)的单调递增(减)区间为(a,x o),单调递减(增)区间为(x o,b),又a X i X2 b,有X! X o,且2x o X2 X o,又 f (xj f (2x°X2),故X i ( )2X o X2,所以空X2( )x o,即函数极大(小)值点X o右(左)偏.2结论(2)证明略。
二、运用判定定理判定极值点偏移的方法1•方法概述:(1)求出函数f(x)的极值点;(2)构造一兀差函数F(x) f (x o x) f (x o x)(3)确定函数F(x)的单调性;(4)结合F(o)o,判断F(x)的符号,从而确定f(x o x), f(x o x)的大小关系。
导数极值点偏移问题知识整合:已知函数f(x)的图象的顶点的横坐标就是极值点x0,若f(x)=c 的两根的中点刚好满足122x x +=x0,即极值点在两根的正中间,也就是说极值点没有偏移.此时函数f(x)在x =x0两侧,函数值变化快慢相同,如图(1).2.若122x x +≠x0,则极值点偏移,此时函数f(x)在x =x0两侧,函数值变化快慢不同,如图(2)(3).典例:已知()21ln 2f x x x mx x =--,m ∈R .若()f x 有两个极值点1x ,2x ,且12x x <,求证:212e x x >(e 为自然对数的底数).解法一:齐次构造通解偏移套路 证法1:欲证212e x x >,需证12ln ln 2x x +>.若()f x 有两个极值点1x ,2x ,即函数()f x '有两个零点.又()ln f x x mx'=-,所以,1x,2x 是方程()0f x '=的两个不同实根.于是,有1122ln 0ln 0x mx x mx -=⎧⎨-=⎩,解得1212ln ln x x m x x +=+.另一方面,由1122ln 0ln 0x mx x mx -=⎧⎨-=⎩,得()2121ln ln x x m x x -=-, 从而可得,21122112ln ln ln ln x x x x x x x x -+=-+.于是,()()222121111222111lnln ln ln ln 1x x x x x x x x x x x x x x ⎛⎫+ ⎪-+⎝⎭+==--.又120x x <<,设21x t x =,则1t >.因此,()121ln ln ln 1t tx x t ++=-,1t >.要证12ln ln 2x x +>,即证:()1ln 21t t t +>-,1t >.即:当1t >时,有()21ln 1t t t ->+.设函数()()21ln 1t h t t t -=-+,1t ≥,则()()()()()()222212111011t t t h t t t t t +---'=-=≥++,所以,()h t 为()1.+∞上的增函数.注意到,()10h =,因此,()()10h t h ≥=.,当1t >时,有()21ln 1t t t ->+.所以,有12ln ln 2x x +>成立,212e x x >.求解本题的关键点有两个.一个是消参,把极值点转化为导函数零点之后,需要利用两个变量把参数表示出来,这是解决问题的基础,若只用一个极值点表示参数,如得到11ln x x m =之后,代入第二个方程,则无法建立两个极值点的关系,本题中利用两个方程相加(减)之后再消参,巧妙地把两个极值点与参数之间的关系建立起来;二是消“变”,即减少变量的个数,只有把方程转化为一个“变量”的式子后,才能建立与之相应的函数,转化为函数问题求解.本题利用参数m 的值相等建立方程,进而利用对数运算的性质,将方程转化为关于12x x 的方程,通过建立函数模型求解该问题,这体现了对数学建模等核心素养的考查.(消参减元)解法二 变换函数能妙解 证法2:欲证212e x x >,需证12ln ln 2x x +>.若()f x 有两个极值点1x ,2x ,即函数()f x '有两个零点.又()ln f x x mx'=-,所以,1x ,2x 是方程()0f x '=的两个不同实根.显然0m >,否则,函数()f x '为单调函数,不符合题意.由()11121222ln 0ln ln ln 0x mx x x m x x x mx -=⎧⇒+=+⎨-=⎩,即只需证明()122m x x +>即可.即只需证明122x x m +>.设()()210,g x f x f x x m m ⎛⎫⎛⎫⎛⎫''=--∈ ⎪ ⎪ ⎪⎝⎭⎝⎭⎝⎭,()()()22102mx g x x mx -'=>-,故()g x 在10,m ⎛⎫↑ ⎪⎝⎭,即()10g x g m ⎛⎫<= ⎪⎝⎭,故()2f x f x m ⎛⎫''<- ⎪⎝⎭. 由于()11mx f x m x x -''=-=,故()f x '在10,m ⎛⎫↑ ⎪⎝⎭,1,m ⎛⎫+∞↓ ⎪⎝⎭. 设121x x m <<,令1x x =,则()()2112f x f x f x m ⎛⎫'''=<- ⎪⎝⎭, 又因为2x ,121,x m m ⎛⎫-∈+∞ ⎪⎝⎭,()f x '在1,m ⎛⎫+∞↓ ⎪⎝⎭,故有212x x m >-,即122x x m +>.原命题得证.解法三 构造函数现实力证法3:由1x ,2x 是方程()0f x '=的两个不同实根得ln x m x =,令()ln xg x x =,()()12g x g x =,由于()21ln xg x x -'=,因此,()g x 在()1,e ↑,()e,+∞↓.设121e x x <<<,需证明212e x x >,只需证明()212e 0,e x x >∈,只需证明()212e f x f x ⎛⎫> ⎪⎝⎭,即()222e f x f x ⎛⎫> ⎪⎝⎭,即()222e 0f x f x ⎛⎫-> ⎪⎝⎭.即()()()()2e 1,e h x f x f x x ⎛⎫=-∈ ⎪⎝⎭,()()()22221ln e 0e x x h x x --'=>,故()h x 在()1,e ↑,故()()e 0h x h <=,即()2e f x f x ⎛⎫< ⎪⎝⎭.令1x x =,则()()2211e f x f x f x ⎛⎫=< ⎪⎝⎭,因为2x ,()21e e,x ∈+∞,()f x 在()e,+∞↓,所以221e x x >,即212e x x >.对称变换主要用来解决与两个极值点之和、积相关的不等式的证明问题.其解题要点如下:(1)定函数(极值点为x0),即利用导函数符号的变化判断函数单调性,进而确定函数的极值点x0.(2)构造函数,即根据极值点构造对称函数F(x)=f(x)-f(2x0-x),若证x1x2>2x ,则令F(x)=f(x)-f 20x x ⎛⎫ ⎪⎝⎭(3)判断单调性,即利用导数讨论F(x)的单调性.(4)比较大小,即判断函数F(x)在某段区间上的正负,并得出f(x)与f(2x0-x)的大小关系. (5)转化,即利用函数f(x)的单调性,将f(x)与f(2x0-x)的大小关系转化为x 与2x0-x 之间的关系,进而得到所证或所求.[提醒] 若要证明f ′122x x +⎛⎫ ⎪⎝⎭的符号问题,还需进一步讨论122x x +与x0的大小,得出122x x +所在的单调区间,从而得出该处导数值的正负.解法四 巧引变量(一)证法4:设()11ln 0,1t x =∈,()22ln 1,t x =∈+∞,则由1122ln 0ln 0x mx x mx -=⎧⎨-=⎩得11221122e e e t t t t t t m t m t -⎧=⇒=⎨=⎩,设120k t t =-<,则1e e 1k k k t =-,2e 1k k t =-.欲证212e x x >,需证12ln ln 2x x +>.即只需证明122t t +>,即()()()()()1e 21e 2e 11e 2e 10e 1k k k k k k k k k +>⇔+<-⇔+--<-.设()()()()1e 2e 10k k g k k k =+--<,()e e 1k k g k k '=-+,()e 0k g k k ''=<,故()g k '在(),0-∞↓,故()()00g k g ''>=,故()g k 在(),0-∞↑,因此()()00g k g <=,命题得证.解法五 巧引变量(二)证法5:设()11ln 0,1t x =∈,()22ln 1,t x =∈+∞,则由1122ln 0ln 0x mx x mx -=⎧⎨-=⎩得11221122e e e t t t t t t m t m t -⎧=⇒=⎨=⎩,设()120,1t k t =∈,则1ln 1k k t k =-,2ln 1k t k =-.欲证212e x x >,需证12ln ln 2x x +>,即只需证明122t t +>,即()()()1ln 21212ln ln 0111k k k k k k k k k +-->⇔<⇔-<-++,设()()()()21ln 0,11k g k k k k -=-⇔+,()()()22101k g k k k -'=>+,故()g k 在()0,1↑,因此()()10g k g <=,命题得证.比(差)值换元的目的也是消参、减元,就是根据已知条件首先建立极值点之间的关系,然后利用两个极值点之比(差)作为变量,从而实现消参、减元的目的.设法用比值或差值(一般用t 表示)表示两个极值点,继而将所求解问题转化为关于t 的函数问题求解.变式1.已知函数()()x f x xe x R -=∈.(1)判断函数()f x 的单调性;(2)如果12x x ≠,且()()12f x f x =,求证:122x x +>.解:(1)因为()xf x xe -=,所以()()1xf x x e -'=-,.可得函数()xf x xe -=在(),1-∞上单调递增,在()1,+∞上单调递减.(2)证明:由()()12f x f x =,12x x ≠,不妨设12x x <,构造函数()()()11F x f x f x =+--,(]0,1x ∈,则()()()()211110xx x F x f x f x e e+'''=++-=->, 所以()F x 在(]0,1x ∈上单调递增,()()00F x F >=,也即()()11f x f x +>-对(]0,1x ∈恒成立.由1201x x <<<,则(]110,1x -∈,所以()()()()()()()1111211211f x f x f x f x f x +-=->--==,即()()122f x f x ->,又因为12x -,()21,x ∈+∞,且()f x 在()1,+∞上单调递减,所以122x x -<,即122x x +>.变式2.已知函数()2cos f x x xπ=+(1)求函数()f x 的最小值;(2)若函数()()g x f x a=-在()0,∞+上有两个零点1x ,2x ,且12xx <,求证:12232x x π+<.【答案】(1)()2min 4f x π=(2)证明见解析;(1)()2cos f x x x π=+,()()2cos f x x x f x π-=+=,()f x 为偶函数,故只需求[)0,x ∈+∞时()f x 的最小值,()2sin f x x x π'=-,当0,2x π⎛⎫∈ ⎪⎝⎭时,设()2sin h x x x π=-, ()2cos h x x π'=-,显然()h x '单增,而()00h '<,02h π⎛⎫'> ⎪⎝⎭, 由零点存在定理,存在唯一的00,2x π⎛⎫∈ ⎪⎝⎭,使得()00h x '=, 当()00,x x ∈,()0h x '<,()h x 单减,当0,2x x π⎛⎫∈ ⎪⎝⎭,()0h x '>,()h x 单增, 而()00h =,02h π⎛⎫= ⎪⎝⎭,故0,2x π⎛⎫∈ ⎪⎝⎭,()0h x <, 即0,2x π⎛⎫∈ ⎪⎝⎭,()0f x '<,()f x 单减; 又当,2x π⎡⎫∈+∞⎪⎢⎣⎭,2sin x x ππ>>,()0f x '>,()f x 单增,所以()n2mi 24f x f ππ⎛⎫==⎪⎝⎭.(2)11212212123131222223332x x x x x x x x x x ++++++=<=, 只需证1222x x π+<,由(1)得10,2x π⎛⎫∈ ⎪⎝⎭,2,2x π⎛⎫∈+∞ ⎪⎝⎭, 构造函数()()()F x f x f x π=--,0,2x π⎛⎫∈ ⎪⎝⎭,()()()22sin 0F x f x f x x πππ'''=+-=->,即()F x 单增,所以()02F x F π⎛⎫<= ⎪⎝⎭,即当0,2x π⎛⎫∈ ⎪⎝⎭时,()()f x f x π<-, 而10,2x π⎛⎫∈ ⎪⎝⎭,所以()()11f x f x π<-,又()()12f x f x =, 即()()21f x f x π<-,此时2x ,1,2x ππ⎛⎫-∈+∞ ⎪⎝⎭,()f x 在,2π⎛⎫+∞ ⎪⎝⎭单增,所以21x x π<-,12x x π+<,即证1222x x π+<.变式3.(2020•安徽模拟)已知f (x )=2x+1﹣eax (a ∈R ).若x1,x2为方程f (x )=1的两个相异的实根,求证:x1+x2.【解析】证明:x1,x2为方程f (x )=1的两个相异的实根,则x1,x2为方程2x ﹣eax =0的两个相异的实根,即x1,x2为方程ax =ln (2x )的两个相异的实根, ∴ax1=ln (2x1),ax2=ln (2x2).不妨设x1>x2>0.∴a (x1﹣x2)=ln ,即a .证明:x1+x2⇔a .因此只要证明:.即证明ln即可.令t>1.上述不等式等价于:g(t)=lnt0(t>1),g(1)=0.g′(t)0,∴函数g(t)在(1,+∞)上单调递增,∴g(t)>g(1)=0,∴ln成立.即x1+x2.变式4..(2020•抚顺模拟)已知函数f(x)=lnx﹣tx+t.当t=2时,方程f(x)=m﹣ax恰有两个不相等的实数根x1,x2,证明:.【解析】证明:由f(x)=m﹣ax,得lnx+(a﹣2)x+2﹣m=0.令g(x)=lnx+(a﹣2)x+2,则g(x1)=g(x2)=m.即lnx1+(a﹣2)x1=lnx2+(a﹣2)x2,∴a﹣2.不妨设0<x1<x2,要证,只需证2(2﹣a),即证.令(c>1),g(c)=2lnc﹣c,∵g′(c)0.∴g(c)在(1,+∞)上单调递减,则g(c)<g(1)=0.故成立.变式5.设函数()()22lnf x x a x a x=---.(1)求函数()f x 的单调区间;(2)若方程()f x c =有两个不相等的实数根1x ,2x,求证:12()02x x f +'>.【答案】(1)(0,)x ∈+∞.22(2)(2)(1)()2(2)a x a x a x a x f x x a x x x ----+'=---==.当0a 时,()0f x '>,函数()f x 在(0,)+∞上单调递增,即()f x 的单调递增区间为(0,)+∞.当0a >时,由()0f x '>得2a x >;由()0f x '<,解得02ax <<.所以函数()f x 的单调递增区间为(,)2a +∞,单调递减区间为(0,)2a . (2)1x ,2x 是方程()f x c =得两个不等实数根,由(1)可知:0a >. 不妨设120x x <<.则()21112ln x a x a x c---=,()22222ln x a x a x c---=.两式相减得()()221112222ln 2ln 0x a x a x x a x a x ----+-+=,化为221122112222ln ln x x x x a x x x x +--=+--.()02a f '=,当(0,)2a x ∈时,()0f x '<,当(,)2a x ∈+∞时,()0f x '>. 故只要证明1222+>x x a即可, 即证明22112212112222ln ln x x x x x x x x x x +--+>+--,即证明11221222ln x x x x x x -<+, 设12(01)x t t x =<<,令()22ln 1t g t t t -=-+,则22214(1)()(1)(1)t g t t t t t -'=-=++. 10t >>,()0g t ∴'>.()g t ∴在(0,1)上是增函数,又在1t =处连续且g (1)0=,∴当(0,1)t ∈时,()0g t <总成立.故命题得证.。
导数及其应用 专题七:极值点偏移问题一、知识储备1、极值点偏移的相关概念所谓极值点偏移,是指对于单极值函数,由于函数极值点左右的增减速度不同,使得函数图像没有对称性。
若函数)(x f 在0x x =处取得极值,且函数)(x f y =与直线b y =交于),(),,(21b x B b x A 两点,则AB 的中点为),2(21b x x M +,而往往2210xx x +≠。
如下图所示。
图1 极值点不偏移 图2 极值点偏移极值点偏移的定义:对于函数)(x f y =在区间),(b a 内只有一个极值点0x ,方程)(x f 的解分别为21x x 、,且b x x a <<<21,(1)若0212x x x ≠+,则称函数)(x f y =在区间),(21x x 上极值点0x 偏移;(2)若0212x x x >+,则函数)(x f y =在区间),(21x x 上极值点0x 左偏,简称极值点0x 左偏;(3)若0212x x x <+,则函数)(x f y =在区间),(21x x 上极值点0x 右偏,简称极值点0x 右偏。
2、对称变换主要用来解决与两个极值点之和、积相关的不等式的证明问题.其解题要点如下:(1)定函数(极值点为0x ),即利用导函数符号的变化判断函数单调性,进而确定函数的极值点x 0.(2)构造函数,即根据极值点构造对称函数0()()(2)F x f x f x x =--,若证2120x x x > ,则令2()()()x F x f x f x=-. (3)判断单调性,即利用导数讨论()F x 的单调性.(4)比较大小,即判断函数()F x 在某段区间上的正负,并得出()f x 与0(2)f x x -的大小关系.(5)转化,即利用函数()f x 的单调性,将()f x 与0(2)f x x -的大小关系转化为x 与02x x -之间的关系,进而得到所证或所求.[提醒] 若要证明122x x f +⎛⎫'⎪⎝⎭的符号问题,还需进一步讨论122x x +与x 0的大小,得出122x x +所在的单调区间,从而得出该处导数值的正负. 二、例题讲解1.(2022·贵州省思南中学高三月考(文))设函数()22ln 1f x x mx =-+.(1)讨论函数()f x 的单调性;(2)当1m =时,若在()f x 定义域内存在两实数1x ,2x 满足12x x <且()()12f x f x =,证明:122x x +>.【详解】(1)依题意,函数()f x 定义域为(0,)+∞,()222(1)2mx f x mx x x-'=-=,当0m ≤时,()0f x '>,()f x 在(0,)+∞上单调递增,当0m >时,由()0f x '=得m x m =,当0mx m <<时,()0f x '>,当m x m >时,()0f x '<,于是得()f x 在(0,)m m 上单调递增,在(,)mm+∞上单调递减,所以,当0m ≤时,()f x 在(0,)+∞上单调递增,当0m >时,()f x 在(0,)m m 上单调递增,在(,)mm+∞上单调递减;(2)分析 :如图:1201x x <<< 要证122x x +> 只需证:122x x -<由于101x <<,则112x <-即只需证1212x x <-< 如图,只需证12(2)()f x f x ->;由于()()12f x f x = 只需证11(2)()f x f x ->此时可构造函数()()(2)F x f x f x =--(即用x 替代了上式1x ) 只需证:在01x <<,()()(2)0F x f x f x =--<。
一、极值点偏移的判定定理对于可导函数)(x f y =,在区间),(b a 上只有一个极大(小)值点0x ,方程0)(=x f 的解分别为21,x x ,且b x x a <<<21,(1)若)2()(201x x f x f -<,则021)(2x x x ><+,即函数)(x f y =在区间),(21x x 上极(小)大值点0x 右(左)偏;(2)若)2()(201x x f x f ->,则021)(2x x x <>+,即函数)(x f y =在区间),(21x x 上极(小)大值点0x 右(左)偏.证明:(1)因为对于可导函数)(x f y =,在区间),(b a 上只有一个极大(小)值点0x ,则函数)(x f 的单调递增(减)区间为),(0x a ,单调递减(增)区间为),(0b x ,由于b x x a <<<21,有01x x <,且0202x x x <-,又)2()(201x x f x f -<,故2012)(x x x -><,所以021)(2x x x ><+,即函数极(小)大值点0x 右(左)偏; (2)证明略. 左快右慢(极值点左偏221x x m +<⇔) 左慢右快(极值点右偏221x x m +>⇔) 左快右慢(极值点左偏221x x m +<⇔) 左慢右快(极值点右偏221x x m +>⇔) 二、运用判定定理判定极值点偏移的方法1、方法概述:(1)求出函数)(x f 的极值点0x ;(2)构造一元差函数)()()(00x x f x x f x F --+=;(3)确定函数)(x F 的单调性;(4)结合0)0(=F ,判断)(x F 的符号,从而确定)(0x x f +、)(0x x f -的大小关系. 口诀:极值偏离对称轴,构造函数觅行踪;四个步骤环相扣,两次单调紧跟随.2、抽化模型答题模板:若已知函数)(x f 满足)()(21x f x f =,0x 为函数)(x f 的极值点,求证:0212x x x <+.(1)讨论函数)(x f 的单调性并求出)(x f 的极值点0x ;假设此处)(x f 在),(0x -∞上单调递减,在),(0+∞x 上单调递增.(2)构造)()()(00x x f x x f x F --+=;注:此处根据题意需要还可以构造成)2()()(0x x f x f x F --=的形式.(3)通过求导)('x F 讨论)(x F 的单调性,判断出)(x F 在某段区间上的正负,并得出)(0x x f +与)(0x x f -的大小关系;假设此处)(x F 在),0(+∞上单调递增,那么我们便可得出0)()()()(000=-=>x f x f x F x F ,从而得到:0x x >时,)()(00x x f x x f ->+.(4)不妨设201x x x <<,通过)(x f 的单调性,)()(21x f x f =,)(0x x f +与)(0x x f -的大小关系得出结论;接上述情况,由于0x x >时,)()(00x x f x x f ->+且201x x x <<,)()(21x f x f =,故)2()]([)]([)()(2002002021x x f x x x f x x x f x f x f -=-->-+==,又因为01x x <,0202x x x <-且)(x f 在),(0x -∞上单调递减,从而得到2012x x x -<,从而0212x x x <+得证.(5)若要证明0)2('21<+x x f ,还需进一步讨论221x x +与0x 的大小,得出221x x +所在的单调区间,从而得出该处函数导数值的正负,从而结论得证. 此处只需继续证明:因为0212x x x <+,故0212x x x <+,由于)(x f 在),(0x -∞上单调递减,故0)2('21<+x x f . 【说明】(1)此类试题由于思路固定,所以通常情况下求导比较复杂,计算时须细心;(2)此类题目若试题难度较低,会分解为三问,前两问分别求)(x f 的单调性、极值点,证明)(0x x f +与)(0x x f -(或)(x f 与)2(0x x f -)的大小关系;若试题难度较大,则直接给出形如0212x x x <+或0)2('21<+x x f 的结论,让你给予证明,此时自己应主动把该小问分解为三问逐步解题.三、对点详析,利器显锋芒★已知函数)()(R x xe x f x ∈=-.(1)求函数)(x f 的单调区间和极值;(2)若21x x ≠,且)()(21x f x f =,证明:221>+x x .∵12>x ,∴122<-x ,)(x f 在)1,(-∞上单调递增,∴212x x ->,∴221>+x x . ★函数3434)(x x x f -=与直线)31(->=a a y 交于),(1a x A 、),(2a x B 两点. 证明:221<+x x .★已知函数2()ln f x x x=+,若1x ≠2x ,且)()(21x f x f =,证明:421>+x x . 【解析】由函数2()ln f x x x =+单调性可知:若)()(21x f x f =,则必有212x x <<,。
极值点偏移1-2---极值点偏移判定定理一、极值点偏移的判定定理对于可导函数)(x f y =,在区间),(b a 上只有一个极大(小)值点x ,方程0)(=x f 的0x ,x a <左快右慢(极值点左偏221x x m +<⇔) 左慢右快(极值点右偏221x x m +>⇔)左快右慢(极值点左偏221x x m +<⇔) 左慢右快(极值点右偏221x x m +>⇔) 二、运用判定定理判定极值点偏移的方法. .00(2)构造)()()(00x x f x x f x F --+=;注:此处根据题意需要还可以构造成)2()()(0x x f x f x F --=的形式.(3)通过求导)('x F 讨论)(x F 的单调性,判断出)(x F 在某段区间上的正负,并得出)(0x x f +与)(0x x f -的大小关系;假设此处)(x F 在),0(+∞上单调递增,那么我们便可得出0)()()()(000=-=>x f x f x F x F ,从而得到:0x x >时,)()(00x x f x x f ->+.(4)不妨设201x x x <<,通过)(x f 的单调性,)()(21x f x f =,)(0x x f +与)(0x x f -的大小关系得出结论;接上述情况,由于0x x >时,)()(00x x f x x f ->+且201x x x <<,)()(21x f x f =, 故)2()]([)]([)()(2002002021x x f x x x f x x x f x f x f -=-->-+==,又因为01x x <,0202x x x <-且)(x f 在),(0x -∞上单调递减,从而得到2012x x x -<,从而0212x x x <+得证.(5((2★已知函数)()(R x xe x f x ∈=-.(1)求函数)(x f 的单调区间和极值;(2)若21x x ≠,且)()(21x f x f =,证明:221>+x x .∵★★已知函数2()ln f x x x=+,若1x ≠2x ,且)()(21x f x f =,证明:421>+x x .【解析】由函数2()ln f x x x =+单调性可知:若)()(21x f x f =,则必有212x x <<,。