钢材重量比重表
- 格式:xls
- 大小:233.00 KB
- 文档页数:75
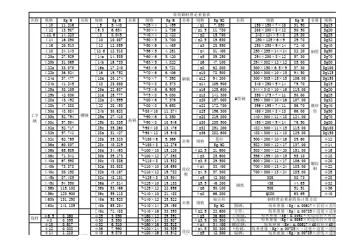
螺纹钢及圆钢筋的重量表螺纹钢①9-0.499kg/m① 100.617kg/m① 120.888kg/m① 141.21kg/m① 161.58kg/m① 182.00kg/m① 20-2.47kg/m① 22-2.98kg/m① 253.85kg/m① 284.83kg/m① 32-6.31kg/m① 40-9.87kg/m同圆钢具体算法可以采用直径除以10然后平再乘以0.617kg/m也就是10mm直径钢筋的每米重量这样就可以算出任直径的钢筋重量直径相同的螺纹钢圆钢带肋钢每米重量都相等所以只需要考虑直径就行了比如6mm钢每米重量就是0.6*0.6*0.617=0.222这就是6mm钢筋每米的重量了直径乘以直径乘 0.006165(标准) 商家默认标准:直径乘以直径乘 0.00617 其他:钢W=0.00785 乘边长的平 扁钢: W = 0 . 00785 X 宽X 厚 钢板W = 7 . 85 X 宽X 厚 钢管:W =(外径-壁厚)X 壁厚X02466渡锌W =原理论重量X06 .钢筋规格重量表重量(kg/m )0.0.0980.1540.0.1930.222 0.245 0.260圆钢规格重量表 规格截面面积①35 9.62①4 12.57①519.63①5.5 23.76①5.624.63①628.27 ①6.3 31.17 ①6.533.18 ①738.480.302①7.5 44.18 0.347 ①850.27 0.395 ①963.63 0.499 ①10 78.54 0.617 ①11 95.03 0.746 ①12 113.10 0.888 ①13 132.70 1.04 ①14 .90 1.21①15 176.70 1.39 ①16 201.10 1.58 ①17 227.00 1.78 ①18 254.50 2.00 ①19 283.50 2.23 ①20 314.20 2.47 ①21 346.40 2.72 ①22 380.10 2.98 ①24 452.40 3.55 ①25 490.90 3.85 ①26 530.90 4.17 ①28 615.80 4.83 ①30 706.90 5.55 ①32 804.20 6.31①34 907.90 7.13工字钢规格重量表工字钢型号尺寸(mm ) 截面面积(cm2 ) 重量(kg/m )高腿宽腹厚10 100 68 4.5 14.3 11.212 120 74 5.0 17.8 14.014 140 80 5.5 21.5 16.916 160 88 6.0 26.1 20.518 94 6.5 30.6 24.120A 200 100 7.0 35.5 27.9 20B 200 102 9.0 39.5 31.1 22A 220 110 7.5 42.0 33.0 22B 220 112 9.5 46.4 36.4 24A 240 116 8.0 47.7 37.4 24B 240 118 10.0 52.6 41.2 27A 270 122 8.5 54.6 42.8 27B 270 124 10.5 60.0 47.1 30A 300 126 9.0 61.2 48.0 30B 300 128 11.0 67.2 52.730C 300 130 13.0 73.4 57.4 36A 360 136 10.0 76.3 59.9 36B 360 12.0 83.5 65.6 36C 360 140 14.0 90.7 71.2 40A 400 142 10.5 86.1 67.6 40B 400 144 12.5 94.1 73.8 40C 400 146 14.5 102 80.1槽钢规格重量表槽钢型号尺寸截面面积(cm2 ) 重量(kg/m )高腿长腰厚5 50 37 4.5 6.93 5.446.5 65 40 4.8 8.54 6.708 80 43 5.0 10.24 8.0410 100 48 5.3 12.74 10.00 12 120 53 5.5 15.36 12.06 14A 140 58 6.0 18.51 14.53 14B 140 60 8.0 21.31 16.73 16A 160 63 6.5 21.95 17.23 16B 160 65 8.5 25.15 19.74 20A 200 73 7.0 28.83 22.6320B 200 75 9.0 32.83 25.7730A 300 85 7.5 43.89 34.4530B 300 87 9.5 49.59 36.1630C 300 89 11.5 55.89 43.81最近学了很多钢筋图,然后猛然不知道钢筋的计算,现在自己总结一下给大家分享直径为d的钢筋的理论重量= d A2/100*0.617=d A2X0.00617A2为平,0.617为直径为10钢筋的理论重量,只需要记住10钢筋的理论重量即可!直径12及以下的保留三位小数;直径12以上的保留两位小数;保留时候6舍7入!用钢筋直径(mm)的平乘以0.006170.617是圆10钢筋每米重量。
直径mm 理论重量kg/m 直径mm 理论重量kg/m φ8 0.395 φ10 0.617 φ12 0.888 φ14 1.21 φ16 1.58 φ18 2.00 φ20 2.47 φ6 0.222 φ6.5 0.26 φ22 2.98 φ25 3.85 Φb4 0.0986 钢材理论重量计算公式材料名称理论重量w(kg/m) 扁钢、钢板、钢带w=0.00785*宽*厚方钢w=0.00785*边长2 圆钢、线材、钢丝w=0.00617*直径2 钢管w=0.02466*壁厚(外径—壁厚)等边角钢w=0.00785*边厚(2边款—边厚)不等边角钢w=0.00785边厚(长边宽+短边宽—边厚)工字钢w=0.00785*腰厚【高+f (腿宽—腰厚)】槽钢w=0.00785*腰厚【高e (腿宽—腰厚)】注意事项:1、角钢、工字钢和槽钢的准确计算公式很繁,表列简式用于计算近似值。
2、f3、e 值:一般型号及带a 的为3.26,带b 的为2.44,带c 的为2.24。
3、e 值:一般型号及带a 的为3.26,带b 的为2.44,带c 的为2.24。
4、各长度单位均为毫米螺纹钢的重量理算表螺纹钢d (6-18)6 8 10 12 14 16 18 重量(m/kg )0.22 0.395 0.617 0.888 1.21 1.58 2 螺纹钢d (20-40)20 22 25 28 32 36 40 重量(m/kg) 2.47 3 3.86 4.837 6.31 7.99 9.87 用螺纹钢直径(mm)平方乘以0.00617乘以长度L 0.617是圆10螺纹钢每米重量。
螺纹钢重量与直径(半径)的平方成正比。
C/m C/m = = = 0.617*D*D/100 0.617*D*D/100 每米的重量(Kg )= 螺纹钢的直径(mm )×螺纹钢的直径(mm)×0.00617 注:Φ12(含12)以下和Φ28(含28)的钢筋一般小数点后取三位数,Φ14至Φ25钢筋一般小数点后取二位数钢板理论重量表(钢板的理论重量)厚度厚度 (mm)理论重量理论重量(kg/m2)厚度(mm)理论重量理论重量(kg/m2)厚度厚度(mm)理论重量理论重量(kg/m2)0.20 1.57 0.75 5.89 1.8 14.13 0.25 1.96 0.80 6.28 2.0 15.70 0.30 2.36 0.90 7.07 2.2 17.27 0.35 2.75 1.00 7.85 2.5 19.36 0.40 3.14 1.1 8.64 2.8 21.98 0.45 3.53 1.2 9.42 3.0 23.55 0.50 3.93 1.3 10.21 3.2 25.12 0.55 4.32 1.4 10.99 3.5 27.48 0.60 4.71 1.5 11.78 3.8 29.83 0.65 5.10 1.6 12.56 3.9 30.62 0.70 5.50 1.7 13.35 4.0 31.40 中厚钢板理论重量表(中厚钢板钢板的理论重量)厚度厚度 (mm)理论重量理论重量(kg/m2)厚度厚度(mm)理论重量理论重量(kg/m2)厚度厚度(mm)理论重量理论重量(kg/m2)4.5 35.33 16 125.60 38 298.30 5 39.25 18 141.30 40 314.00 5.5 43.18 20 157.00 42 329.70 6 47.16 22 172.70 44 345.40 7 54.95 24 188.40 45 353.25 8 62.80 25 196.25 46 361.10 9 70.65 26 204.10 48 376.80 10 78.60 28 219.80 50 392.50 11 86.35 30 235.50 52 408.20 12 94.20 32 251.20 54 423.90 13 102.10 34 266.90 55 431.75 14 109.90 35 274.75 56 439.60 15 117.75 36 282.60 58 455.30 热轧普通工字钢每米重量表型号尺寸(毫米)尺寸(毫米) 截面面积截面面积(厘米2)理论重量理论重量(公斤(公斤//米)米) h b d t r110 100 68 4.5 7.6 3.3 14.3 11.2 12.6 126 74 5 8.4 3.5 18.1 14.2 14 140 80 5.5 9.1 3.8 21.5 16.9 16 160 88 6 9.9 4 26.1 20.518 180 94 6.5 10.7 4.3 30.6 24.1 20a 200 100 7 11.4 4.5 35.5 27.9 20b 200 102 9 11.4 4.5 39.5 31.1 22a 220 110 7.5 12.3 4.8 42 33 22b 220 112 9.5 12.3 4.8 46.4 36.4 25a 250 116 8 13 5 48.5 38.1 25b 250 118 10 13 5 53.5 42 28a 280 122 8.5 13.7 5.3 55.45 43.4 28b 280 124 10.5 13.7 5.3 61.05 47.932a 320 130 9.5 15 5.8 67.05 52.7 32b 320 132 11.5 15 5.8 73.45 57.7 32c 320 134 13.5 15 5.8 79.95 62.8 36a 360 136 10 15.8 6 76.3 59.9 36b 360 138 12 15.8 6 83.5 65.6 36c 360 140 14 15.8 6 90.7 71.2 40a 400 142 10.5 16.5 6.3 86.1 67.6 40b 400 144 12.5 16.5 6.3 94.1 73.8 40c 400 146 14.5 16.5 6.3 102 80.1 45a 450 150 11.5 18 6.8 102 80.4 45b 450 152 13.5 18 6.8 111 87.4 45c 450 154 15.5 18 6.8 120 94.5 50a 500 158 12 20 7 119 93.6 50b 500 160 14 20 7 129 101 50c 500 162 16 20 7 139 109 56a 560 166 12.5 21 7.3 135.25 106.2 56b 560 168 14.5 21 7.3 146.45 115 56c 560 170 16.5 21 7.3 157.85 123.9 63a 630 176 13 22 7.5 154.9 121.6 63b 630 178 15 22 7.5 167.5 131.5 63c 630 180 17 22 7.5 180.1 141定型钢筋网型号型号钢筋网型号纵向钢筋纵向钢筋 横向钢筋横向钢筋重量(kg/m2kg/m2))公称直径公称直径(mm)间距间距(mm)每延米面积(mm2/mmm2/m))公称直径公称直径(mm)间距(mm)每延米面积(mm2/mmm2/m))A16 16200 1006 12200566 12.34A14 14 770 12 566 10.49 A12 12 566 12 566 8.88 A11 11 475 11 475 7.46A10 10 393 10 393 6.61 A9 9 318 9 318 4.99 A8 8 252 8 252 3.95 A7 7 193 7 193 3.02 A6 6 142 6 142 2.22 A5 5 98 5 98 1.54 B16 16 1002011 10 200393 18.89 B14 14 1539 10 393 15.19 B12 12 1131 8 252 10.90 B11 11 950 8 252 9.43 B10 10 785 8 252 8.14 B9 9 635 8 252 6.97 B8 8 503 8 252 5.93 B7 7 385 7 193 4.53 B6 6 283 7 193 3.73 B5 5 196 7 193 3.05 C16 16 150 1341 12 200 566 14.98 C14 14 1027 12 566 12.51 C12 12 754 12 566 10.36 C11 11 634 11 475 8.70 C10 10 523 10 393 7.19 C9 9 423 9 318 5.82 C8 8 335 8 252 4.61 C7 7 257 7 193 3.53 C6 6 189 6 142 2.60 C5 5 131 5 98 1.80 D16 16 100 2011 12 1001131 24.68 D14 14 1539 12 1131 20.98 D12 12 1131 12 1131 17.75 D11 11 950 11 950 14.92 D10 10 785 10 785 12.33 D9 9 635 9 635 9.98 D8 8 503 8 503 7.90 D7 7 385 7 385 6.04 D6 6 283 6 283 4.44 D5 5 196 5 196 3.08 E16 16 150 1341 12 150751 16.46 E14 14 1027 12 754 13.99 E12 12 754 12 754 11.84 E1111634116349.95E10 10 523 10 523 8.22 E9 9 423 9 423 6.66 E8 8 335 8 335 5.26 E7 7 257 7 257 4.03 E6 6 189 6 189 2.96 E5 5 131 5 131 2.05。
钢筋比重及各种钢材比重计算表螺纹钢及圆钢筋的重量表螺纹钢Φ9-0.499kg/mΦ10-0.617kg/mΦ12-0.888kg/mΦ14-1.21kg/mΦ16-1.58kg/mΦ18-2.00kg/mΦ20-2.47kg/mΦ22-2.98kg/mΦ25-3.85kg/mΦ28-4.83kg/mΦ32-6.31kg/mΦ40-9.87kg/m同圆钢具体算法可以采用直径除以10然后平方再乘以0.617kg/m 也就是10mm直径钢筋的每米重量这样就可以算出任何直径的钢筋重量直径相同的螺纹钢圆钢带肋钢每米重量都相等所以只需要考虑直径就行了比如6mm钢每米重量就是0.6*0.6*0.617=0.222这就是6mm钢筋每米的重量了直径乘以直径乘0.006165(国家标准)商家默认标准:直径乘以直径乘0.00617其他:方钢 W=0.00785乘边长的平方扁钢:W=0.00785×宽×厚钢板 W=7.85×宽×厚钢管:W=(外径-壁厚)×壁厚×0.02466渡锌类:W=原理论重量×1.06钢筋规格重量表圆钢规格重量表规格截面面积重量(kg/m)Ф3.5 9.62 0.075Ф4 12.57 0.098Ф5 19.63 0.154Ф5.5 23.76 0.187Ф5.6 24.63 0.193Ф6 28.27 0.222Ф6.3 31.17 0.245Ф6.5 33.18 0.260Ф7 38.48 0.302Ф7.5 44.18 0.347Ф8 50.27 0.395Ф9 63.63 0.499Ф10 78.54 0.617Ф11 95.03 0.746Ф12 113.10 0.888Ф13 132.70 1.04Ф14 153.90 1.21Ф15 176.70 1.39Ф16 201.10 1.58Ф17 227.00 1.78Ф18 254.50 2.00Ф19 283.50 2.23Ф20 314.20 2.47Ф21 346.40 2.72Ф22 380.10 2.98Ф24 452.40 3.55Ф25 490.90 3.85Ф26 530.90 4.17Ф28 615.80 4.83Ф30 706.90 5.55Ф32 804.20 6.31Ф34 907.90 7.13工字钢规格重量表工字钢型号尺寸(mm)截面面积(cm2)重量(kg/m)高腿宽腹厚10 100 68 4.5 14.3 11.212 120 74 5.0 17.8 14.014 140 80 5.5 21.5 16.916 160 88 6.0 26.1 20.518 180 94 6.5 30.6 24.120A 200 100 7.0 35.5 27.9 20B 200 102 9.0 39.5 31.1 22A 220 110 7.5 42.0 33.0 22B 220 112 9.5 46.4 36.4 24A 240 116 8.0 47.7 37.4 24B 240 118 10.0 52.6 41.2 27A 270 122 8.5 54.6 42.8 27B 270 124 10.5 60.0 47.1 30A 300 126 9.0 61.2 48.030B 300 128 11.0 67.2 52.7 30C 300 130 13.0 73.4 57.4 36A 360 136 10.0 76.3 59.9 36B 360 138 12.0 83.5 65.6 36C 360 140 14.0 90.7 71.2 40A 400 142 10.5 86.1 67.6 40B 400 144 12.5 94.1 73.8 40C 400 146 14.5 102 80.1槽钢规格重量表槽钢型号尺寸截面面积(cm2)重量(kg/m)高腿长腰厚5 50 37 4.5 6.93 5.446.5 65 40 4.8 8.54 6.708 80 43 5.0 10.24 8.04 10 100 48 5.3 12.74 10.00 12 120 535.5 15.36 12.06 14A 140 586.0 18.51 14.53 14B 140 60 8.0 21.31 16.73 16A 160 63 6.5 21.95 17.23 16B 160 658.5 25.15 19.74 20A 200 73 7.0 28.83 22.63 20B 200 75 9.0 32.83 25.77 30A 300 85 7.5 43.89 34.45 30B 300 87 9.5 49.59 36.16 30C 300 89 11.5 55.89 43.81最近学了很多钢筋图,然后猛然不知道钢筋的计算,现在自己总结一下给大家分享直径为d的钢筋的理论重量=d^2/100*0.617=d^2X0.00617^2为平方,0.617为直径为10钢筋的理论重量,只需要记住10钢筋的理论重量即可!直径12及以下的保留三位小数;直径12以上的保留两位小数;保留时候6舍7入!用钢筋直径(mm)的平方乘以0.006170.617是圆10钢筋每米重量。
常用钢材理论重量表大全速查常用钢材比重表:热轧工字钢:45c 450 154 15.5 18.0 13.5 6.8 94.550 50a 500 158 12.0 20.0 14.0 7.0 93.654 50b 500 160 14.0 20.0 14.0 7.0 101.504 50c 500 162 16.0 20.0 14.0 7.0 109.354 56a 560 166 12.5 21.0 14.5 7.3 106.316 56b 560 168 14.5 21.0 14.5 7.3 115.108 56c 560 170 16.5 21.0 14.5 7.3 123.900 63a 630 176 13.0 22.0 15.0 7.5 121.407 63b 630 178 15.0 22.0 15.0 7.5 131.298 63c 630 180 17.0 22.0 15.0 7.5 141.189 宽、中、窄H型钢:点击>>工程资料免费下载H型钢桩:(H—高度;B—宽度;t1腹板厚度;t2—翼缘厚度;r圆角半径)热轧槽钢:20a 200 737.01111.0 5.5 22.63720 200 75 9.0 11.0 11.0 5.5 25.777 7.0 11.5 11.5 5.8 24.99922a 220 7722 220 79 9.0 11.5 11.5 5.8 28.453 6.0 27.41025a 250 787.0 12.0 12.06.0 31.33525b 250 80 9.0 12.0 12.06.0 35.26025c 250 82 11.0 12.0 12.06.2 31.4277.5 12.5 12.528a 280 826.2 35.82328b 280 84 9.5 12.5 12.540.2196.228c 280 86 11.5 12.5 12.57.0 38.0838.0 14.0 14.032a 320 8843.1077.032b 320 90 10.0 14.0 14.048.1317.032c 320 92 12.0 14.0 14.047.8148.036a 360 96 9.0 16.0 16.053.46636b 360 98 11.0 16.0 16.08.059.1188.036c 360 100 13.0 16.0 16.058.92840a 400 100 10.5 18.0 18.0 9.040b 400 102 12.5 18.0 18.1 9.0 65.208 40c 400 104 14.5 18.0 18.0 9.0 71.488 C型钢点击>>工程资料免费下载方管及矩形管:热轧等边角钢:热轧不等边角钢:热轧圆钢和方钢:直缝电焊钢管:钢材理论重量计算:钢材理论重量计算的计量单位为公斤(kg)。
螺纹钢及圆钢筋的重量表螺纹钢Φ9-0.499kg/mΦ10-0.617kg/mΦ12-0.888kg/mΦ14-1.21kg/mΦ16-1.58kg/mΦ18-2.00kg/mΦ20-2.47kg/mΦ22-2.98kg/mΦ25-3.85kg/mΦ28-4.83kg/mΦ32-6.31kg/mΦ40-9.87kg/m同圆钢具体算法可以采用直径除以10然后平方再乘以0.617kg/m也就是10mm直径钢筋的每米重量这样就可以算出任何直径的钢筋重量直径相同的螺纹钢圆钢带肋钢每米重量都相等所以只需要考虑直径就行了比如6mm钢每米重量就是0.6*0.6*0.617=0.222这就是6mm钢筋每米的重量了直径乘以直径乘0.006165(国家标准)商家默认标准:直径乘以直径乘0.00617其他:方钢W=0.00785乘边长的平方扁钢:W=0.00785×宽×厚钢板W=7.85×宽×厚钢管:W=(外径-壁厚)×壁厚×0.02466 渡锌类:W=原理论重量×1.06钢筋规格重量表圆钢规格重量表规格截面面积重量(kg/m)Ф3.5 9.62 0.075Ф4 12.57 0.098Ф5 19.63 0.154Ф5.5 23.76 0.187Ф5.6 24.63 0.193Ф6 28.27 0.222Ф6.3 31.17 0.245Ф6.5 33.18 0.260Ф7 38.48 0.302Ф7.5 44.18 0.347Ф8 50.27 0.395Ф9 63.63 0.499Ф10 78.54 0.617Ф11 95.03 0.746Ф12 113.10 0.888Ф13 132.70 1.04Ф14 153.90 1.21Ф15 176.70 1.39Ф16 201.10 1.58Ф17 227.00 1.78Ф18 254.50 2.00Ф19 283.50 2.23Ф20 314.20 2.47Ф21 346.40 2.72Ф22 380.10 2.98Ф24 452.40 3.55Ф25 490.90 3.85Ф26 530.90 4.17Ф28 615.80 4.83Ф30 706.90 5.55Ф32 804.20 6.31Ф34 907.90 7.13工字钢规格重量表工字钢型号尺寸(mm)截面面积(cm2)重量(kg/m)高腿宽腹厚10 100 68 4.5 14.3 11.212 120 74 5.0 17.8 14.014 140 80 5.5 21.5 16.916 160 88 6.0 26.1 20.518 180 94 6.5 30.6 24.120A 200 100 7.0 35.5 27.9 20B 200 102 9.0 39.5 31.1 22A 220 110 7.5 42.0 33.0 22B 220 112 9.5 46.4 36.4 24A 240 116 8.0 47.7 37.4 24B 240 118 10.0 52.6 41.2 27A 270 122 8.5 54.6 42.8 27B 270 124 10.5 60.0 47.1 30A 300 126 9.0 61.2 48.030B 300 128 11.0 67.2 52.7 30C 300 130 13.0 73.4 57.4 36A 360 136 10.0 76.3 59.9 36B 360 138 12.0 83.5 65.6 36C 360 140 14.0 90.7 71.2 40A 400 142 10.5 86.1 67.6 40B 400 144 12.5 94.1 73.8 40C 400 146 14.5 102 80.1槽钢规格重量表槽钢型号尺寸截面面积(cm2)重量(kg/m)高腿长腰厚5 50 37 4.5 6.93 5.446.5 65 40 4.8 8.54 6.708 80 43 5.0 10.24 8.04 10 100 48 5.3 12.74 10.00 12 120 53 5.5 15.36 12.06 14A 140 58 6.0 18.51 14.53 14B 140 60 8.0 21.31 16.73 16A 160 63 6.5 21.95 17.23 16B 160 65 8.5 25.15 19.74 20A 200 73 7.0 28.83 22.63 20B 200 75 9.0 32.83 25.77 30A 300 85 7.5 43.89 34.45 30B 300 87 9.5 49.59 36.16 30C 300 89 11.5 55.89 43.81最近学了很多钢筋图,然后猛然不知道钢筋的计算,现在自己总结一下给大家分享直径为d的钢筋的理论重量=d^2/100*0.617=d^2X0.00617^2为平方,0.617为直径为10钢筋的理论重量,只需要记住10钢筋的理论重量即可!直径12及以下的保留三位小数;直径12以上的保留两位小数;保留时候6舍7入!用钢筋直径(mm)的平方乘以0.006170.617是圆10钢筋每米重量。
无缝钢管计算公式为:(外径-壁厚)*壁厚*0.02466=每米重量例如:
ф159*5无缝钢管每米重量计算为:
【(159-5)*5*0.02466=18.988公斤/米】。
螺旋焊管计算方法与无缝钢管相同.(试用于焊接钢管).螺旋焊管每米另加0.5公斤。
钢板重量(公斤)计算方法为:长(m)*宽(m)*厚(mm)*7.85 例如:一块8.5米长,1.8米宽,厚为12MM的钢板重量为:【8.5*1.8*12*7.85=1441.26公斤】
扁钢的重量与钢板相同。
圆钢螺纹钢每米重量(公斤)计算方法为:直径(mm)*直径(mm)*0.00617 例如:计算ф85MM圆钢及18MM螺纹钢每米重量分别为:
【85*85*0.00617=44.578公斤/米】【 18*18*0.00617=2.00公斤/米】
不锈钢的比重为:8.00 铝的比重为:2.8
长度/(一端半径-另一端半径)=倾斜度
钢材重量表
焊接钢管理论重量
焊接钢管----包括一般焊接钢管、吹氧钢管、电线套管、镀锌钢管、变压器管、电焊异型管等。
钢管重量计算公式:W(kg/m)=0.02466*壁度*(外径-壁厚)
镀锌钢管理论重量
2008-01-24 13:28:05 鲁西钢管网收集整理
焊管及镀锌管重量表(按GB/T3091—2001标准执行)
方钢重量表
表4_28热轧工字钢的允许偏
差(mm)
H型钢与工字钢型号对照表。
钢筋理论重量表钢筋Φ6 ;kg/m 0.222钢筋Φ8 ;kg/m 0.3950钢筋Φ10 ;kg/m 0.6169钢筋Φ12 ;kg/m 0.8880钢筋Φ14 ;kg/m 1.21钢筋Φ16 ;kg/m 1.5800钢筋Φ18 ;kg/m 2钢筋Φ20 ;kg/m 2.4700钢筋Φ22 ;kg/m 2.98钢筋Φ25 ;kg/m 3.8500钢筋Φ28 ;kg/m 4.8300钢筋Φ32 ;kg/m 6.3100钢筋Φ36 ;kg/m 7.9900钢筋Φ40 ;kg/m 9.8700钢筋Φ50 ;kg/m 15.42:二级/三级钢,抗震/非抗震钢筋及盘元钢筋,这些都遵循钢筋计算公式:每米的重量(Kg)=钢筋的直径(mm)×钢筋的直径(mm)×0.00617么?低碳钢热轧圆盘条Φ5.5 kg/m ;0.187低碳钢热轧圆盘条Φ6.0 kg/m ;0.222低碳钢热轧圆盘条Φ6.5 kg/m ;0.2600低碳钢热轧圆盘条Φ7.0 kg/m ;0.3019低碳钢热轧圆盘条Φ7.5 kg/m ;0.3469低碳钢热轧圆盘条Φ8.0 kg/m ;0.3950低碳钢热轧圆盘条Φ8.5 kg/m ;0.4450低碳钢热轧圆盘条Φ9.0 kg/m ;0.499常用材料密度表石灰岩密度 g/cm3 2.60花岗岩密度 g/cm3 2.60~2.80(石灰岩)碎石密度 g/cm3 2.60砂密度g/cm3 2.60粘土密度 g/cm3 2.60普通粘土砖密度 g/cm3 2.50~2.80粘土空心砖密度 g/cm3 2.50水泥密度 g/cm3 3.10普通混凝土密度 g/cm3 2.60轻骨料混凝土密度 g/cm3 2.60石灰岩容重 kg/m3 1000~2600花岗岩容重 kg/m3 2500~2700(石灰岩)碎石容重 kg/m3 1400~1700 容重kg/m3 1450~1650粘土容重 kg/m3 1600~1800普通粘土砖容重 kg/m3 1600~1800 粘土空心砖容重 kg/m3 1000~1400 水泥容重 kg/m3 1200~1300普通混凝土容重 kg/m3 2100~2600 轻骨料混凝土容重 kg/m3 800~1900 常用钢丝钢丝 0.05 kg/km 0.016钢丝 0.055 kg/km 0.019钢丝 0.063 kg/km 0.024钢丝 0.07 kg/km 0.03钢丝 0.08 kg/km 0.039钢丝 0.09 kg/km 0.05钢丝 0.1 ;kg/km 0.062钢丝 0.11 kg/km 0.075钢丝 0.12 kg/km 0.089钢丝 0.14 kg/km 0.121钢丝 0.16 kg/km 0.158钢丝 0.18 kg/km 0.199钢丝 0.2 ;kg/km 0.246钢丝 0.22 kg/km 0.298钢丝 0.25 kg/km 0.385钢丝 0.28 kg/km 0.484钢丝 0.30* kg/km 0.555钢丝 0.32 kg/km 0.631钢丝 0.35 kg/km 0.754钢丝 0.4 ;kg/km 0.989钢丝 0.45 kg/km 1.248钢丝 0.5 ;kg/km 1.539钢丝 0.55 kg/km 1.868预应力混凝土用钢绞线名称型号单位数值预应力混凝土用钢绞线(1×2) 10 kg/km 310预应力混凝土用钢绞线(1×2) 12 kg/km 447预应力混凝土用钢绞线(1×3) 10.8 kg/km 465预应力混凝土用钢绞线(1×3) 12.9 kg/km 671预应力混凝土用钢绞线(1×7)标准型 9.5 ;kg/km 432预应力混凝土用钢绞线(1×7)标准型 11.1 kg/km 580 预应力混凝土用钢绞线(1×7)标准型 12.7 kg/km 774 预应力混凝土用钢绞线(1×7)标准型 15.2 kg/km 1101 预应力混凝土用钢绞线(1×7)摸拔型 12.7 kg/km 890预应力混凝土用钢绞线(1×7)摸拔型 15.2 kg/km 1295 注: 1.表中的理论重量是按密度为7.85g/cm3 计算的,对特殊合金钢丝,在计算理论重量时应采用相应牌号的密度。
钢筋体积*钢筋容重7850Kg/m^3Φ6=0.222KgΦ8=0.395KgΦ10=0.617KgΦ12=0.888KgΦ14=1.21KgΦ16=1.58KgΦ18=2KgΦ20=2.47KgΦ22=3KgΦ25=3.85KgΦ28=4.83KgΦ32=6.31Kg钢筋的每米理论重量=0.00617D²(其中D为钢筋直径单位毫米)用钢筋直径(mm)的平方乘以0.00617 (0.617是圆10钢筋每米重量。
钢筋重量与直径(半径)的平方成正比)。
钢筋理论重量表钢筋Φ6 ;kg/m 0.222钢筋Φ8 ;kg/m 0.3950钢筋Φ10 ;kg/m 0.6169钢筋Φ12 ;kg/m 0.8880钢筋Φ14 ;kg/m 1.21钢筋Φ16 ;kg/m 1.5800钢筋Φ18 ;kg/m 2钢筋Φ20 ;kg/m 2.4700钢筋Φ22 ;kg/m 2.98钢筋Φ25 ;kg/m 3.8500钢筋Φ28 ;kg/m 4.8300钢筋Φ32 ;kg/m 6.3100钢筋Φ36 ;kg/m 7.9900钢筋Φ40 ;kg/m 9.8700钢筋Φ50 ;kg/m 15.42低碳钢热轧圆盘条Φ5.5 kg/m ;0.187低碳钢热轧圆盘条Φ6.0 kg/m ;0.222低碳钢热轧圆盘条Φ6.5 kg/m ;0.2600低碳钢热轧圆盘条Φ7.0 kg/m ;0.3019低碳钢热轧圆盘条Φ7.5 kg/m ;0.3469低碳钢热轧圆盘条Φ8.0 kg/m ;0.3950低碳钢热轧圆盘条Φ8.5 kg/m ;0.4450低碳钢热轧圆盘条Φ9.0 kg/m ;0.499常用材料密度表石灰岩密度 g/cm3 2.60花岗岩密度 g/cm3 2.60~2.80(石灰岩)碎石密度 g/cm3 2.60砂密度g/cm3 2.60粘土密度 g/cm3 2.60普通粘土砖密度 g/cm3 2.50~2.80 粘土空心砖密度 g/cm3 2.50水泥密度 g/cm3 3.10普通混凝土密度 g/cm3 2.60轻骨料混凝土密度 g/cm3 2.60石灰岩容重 kg/m3 1000~2600花岗岩容重 kg/m3 2500~2700(石灰岩)碎石容重 kg/m3 1400~1700 容重kg/m3 1450~1650粘土容重 kg/m3 1600~1800普通粘土砖容重 kg/m3 1600~1800 粘土空心砖容重 kg/m3 1000~1400 水泥容重 kg/m3 1200~1300普通混凝土容重 kg/m3 2100~2600 轻骨料混凝土容重 kg/m3 800~1900 常用钢丝钢丝 0.05 kg/km 0.016钢丝 0.055 kg/km 0.019钢丝 0.063 kg/km 0.024钢丝 0.07 kg/km 0.03钢丝 0.08 kg/km 0.039钢丝 0.09 kg/km 0.05钢丝 0.1 ;kg/km 0.062钢丝 0.11 kg/km 0.075钢丝 0.12 kg/km 0.089钢丝 0.14 kg/km 0.121钢丝 0.16 kg/km 0.158钢丝 0.18 kg/km 0.199钢丝 0.2 ;kg/km 0.246钢丝 0.22 kg/km 0.298钢丝 0.25 kg/km 0.385钢丝 0.28 kg/km 0.484钢丝 0.30* kg/km 0.555钢丝 0.32 kg/km 0.631钢丝 0.35 kg/km 0.754钢丝 0.4 ;kg/km 0.989钢丝 0.45 kg/km 1.248钢丝 0.5 ;kg/km 1.539钢丝 0.55 kg/km 1.868预应力混凝土用钢绞线名称型号单位数值预应力混凝土用钢绞线(1×2) 10 kg/km 310 预应力混凝土用钢绞线(1×2) 12 kg/km 447预应力混凝土用钢绞线(1×3) 10.8 kg/km 465预应力混凝土用钢绞线(1×3) 12.9 kg/km 671预应力混凝土用钢绞线(1×7)标准型 9.5 ;kg/km 432预应力混凝土用钢绞线(1×7)标准型 11.1 kg/km 580预应力混凝土用钢绞线(1×7)标准型 12.7 kg/km 774预应力混凝土用钢绞线(1×7)标准型 15.2 kg/km 1101预应力混凝土用钢绞线(1×7)摸拔型 12.7 kg/km 890预应力混凝土用钢绞线(1×7)摸拔型 15.2 kg/km 1295注: 1.表中的理论重量是按密度为7.85g/cm3 计算的,对特殊合金钢丝,在计算理论重量时应采用相应牌号的密度。
钢筋每米单位理论重量表 Last updated on the afternoon of January 3, 2021ΦΦ钢筋单位理论重量表1、圆钢每m重量=×直径×直径2、方钢每m重量=×边宽×边宽3、六角钢每m重量=×对边直径×对边直径4、八角钢每m重量=×直径×直径5、螺纹钢每m重量=×直径×直径6、等边角钢每m重量=边宽×边厚×7、扁钢每m重量=×厚度×宽度8、无缝钢管每m重量=×壁厚×(外径-壁厚)9、电焊钢每m重量=无缝钢管10、钢板每㎡重量=×厚度11、黄铜管:每米重量=*壁厚*(外径-壁厚)12、紫铜管:每米重量=*壁厚*(外径-壁厚)13、铝花纹板:每平方米重量=*厚度14、有色金属比重:紫铜板黄铜板锌板铅板15、有色金属板材的计算公式为:每平方米重量=比重*厚度方管:每米重量=(边长+边长)×2×厚×不等边角钢每米重量=×边厚(长边宽+短边宽--边厚)工字钢每米重量=×腰厚[高+f(腿宽-腰厚)]槽钢每米重量=×腰厚[高+e(腿宽-腰厚)]钢材理论重量计算简式材料名称理论重量W(kg/m)扁钢、钢板、钢带W=×宽×厚方钢W=×边长2圆钢、线材、钢丝W=×直径2钢管W=×壁厚(外径--壁厚)等边角钢W=×边厚(2边宽--边厚)不等边角钢W=×边厚(长边宽+短边宽--边厚)工字钢W=×腰厚[高+f(腿宽-腰厚)]槽钢W=×腰厚[高+e(腿宽-腰厚)]备注1、角钢、工字钢和槽钢的准确计算公式很繁,表列简式用于计算近似值。
2、f值:一般型号及带a的为,带b的为,带c的为。
钢筋重量计算表公式"一米的重量(公斤)=直径(厘米)*直径(厘米)*0.617直径12及以下的保留三位小数;直径12以上的保留两位小数;保留时候6舍7入如直径25的钢筋0.006165*25*25=3.85KG6 0.222 6.5 0.260 8 0.395 8.2 0.432 10 0.617 12 0.888 14 1.21 161.58 182.00 20 2.47 22 2.98 253.85 284.83 32 6.31 36 7.99 40 9.87 50 15.42冷轧带肋钢筋的理论重量的计算方法列出下面小公式供大家参考:例如:求直径为D的钢筋的理论重量,D*D*0.00617 0.617为直径为10钢筋的理论重量,只需要记住10钢筋的理论重量即可~直径12及以下的保留三位小数;直径12以上的保留两位小数;保留时候6舍7入~直径40以下的都很准,[/size]2、方钢每m重量=0.00786×边宽×边宽3、六角钢每m重量=0.0068×对边直径×对边直径4、八角钢每m重量=0.0065×直径×直径5、螺纹钢每m重量=0.00617×直径×直径6、角钢每m重量=0.00786×(边宽+边宽-边厚)×边厚7、扁钢每m重量=0.00785×厚度×宽度8、无缝钢管每m重量=0.02466×壁厚×(外径-壁厚) 9、电焊钢每m重量=无缝钢管10、钢板每?重量=7.85×厚度11、黄铜管:每米重量=0.02670*壁厚*(外径-壁厚)12、紫铜管:每米重量=0.02796*壁厚*(外径-壁厚)13、铝花纹板:每平方米重量=2.96*厚度14、有色金属比重:紫铜板8.9黄铜板8.5锌板7.2铅板11.3715、有色金属板材的计算公式为:每平方米重量=比重*厚度钢筋工程(新编)工程计量规则1(一般规则(1)编制预算时,钢筋工程量可按招标文件或合同约定暂按混凝土构件工程量×"钢筋混凝土构件的钢筋含钢量取定表"相应项目的钢筋含量计算。
钢材理论重量表
钢材理论重量表
产品型
号:
HG5010-58、JB81-59 产品名
称:
钢制平焊法兰
产品特点:概况用途:钢制管法兰是化工工程设计中使用极为普通,涉及面非常广泛的一种(管路)零部件。
它是管路设计、管件阀门中必不可少的零件,而且也是设备中必备的构件。
钢制管法兰广泛应用于石油、化工、食品、冶金、建筑、电力工程。
钢制平焊法兰,突面平焊法兰,平焊法兰
材质:18-8、321、304、304L、316、316L、20#等。
类型:平焊法兰、对焊法兰、带颈法兰、承插法兰、准槽法兰、环连接法兰、松套法兰、螺纹法兰、法兰盖。
一、Pg=6公斤/厘米2
三、Pg=16公斤/厘米2。
螺纹钢及圆钢筋的重量表螺纹钢Φ9-0.499kg/mΦ10-0.617kg/mΦ12-0.888kg/mΦ14-1.21kg/mΦ16-1.58kg/mΦ18-2.00kg/mΦ20-2.47kg/mΦ22-2.98kg/mΦ25-3.85kg/mΦ28-4.83kg/mΦ32-6.31kg/mΦ40-9.87kg/m同圆钢具体算法可以采用直径除以10然后平方再乘以0.617kg/m也就是10mm直径钢筋的每米重量这样就可以算出任何直径的钢筋重量直径相同的螺纹钢圆钢带肋钢每米重量都相等所以只需要考虑直径就行了比如6mm钢每米重量就是0.6*0.6*0.617=0.222这就是6mm钢筋每米的重量了直径乘以直径乘0.006165(国家标准)商家默认标准:直径乘以直径乘0.00617其他:方钢 W=0.00785乘边长的平方扁钢:W=0.00785×宽×厚钢板 W=7.85×宽×厚钢管:W=(外径-壁厚)×壁厚×0.02466 渡锌类:W=原理论重量×1.06钢筋规格重量表圆钢规格重量表规格截面面积重量(kg/m)Ф3.5 9.62 0.075Ф4 12.57 0.098Ф5 19.63 0.154Ф5.5 23.76 0.187Ф5.6 24.63 0.193Ф6 28.27 0.222Ф6.3 31.17 0.245Ф6.5 33.18 0.260Ф7 38.48 0.302Ф7.5 44.18 0.347Ф8 50.27 0.395Ф9 63.63 0.499Ф10 78.54 0.617Ф11 95.03 0.746Ф12 113.10 0.888Ф13 132.70 1.04Ф14 153.90 1.21Ф15 176.70 1.39Ф16 201.10 1.58Ф17 227.00 1.78Ф18 254.50 2.00Ф19 283.50 2.23Ф20 314.20 2.47Ф21 346.40 2.72Ф22 380.10 2.98Ф24 452.40 3.55Ф25 490.90 3.85Ф26 530.90 4.17Ф28 615.80 4.83Ф30 706.90 5.55Ф32 804.20 6.31Ф34 907.90 7.13工字钢规格重量表工字钢型号尺寸(mm)截面面积(cm2)重量(kg/m)高腿宽腹厚10 100 68 4.5 14.3 11.212 120 74 5.0 17.8 14.014 140 80 5.5 21.5 16.916 160 88 6.0 26.1 20.518 180 94 6.5 30.6 24.120A 200 100 7.0 35.5 27.9 20B 200 102 9.0 39.5 31.1 22A 220 110 7.5 42.0 33.0 22B 220 112 9.5 46.4 36.4 24A 240 116 8.0 47.7 37.4 24B 240 118 10.0 52.6 41.2 27A 270 122 8.5 54.6 42.8 27B 270 124 10.5 60.0 47.1 30A 300 126 9.0 61.2 48.030B 300 128 11.0 67.2 52.7 30C 300 130 13.0 73.4 57.4 36A 360 136 10.0 76.3 59.9 36B 360 138 12.0 83.5 65.6 36C 360 140 14.0 90.7 71.2 40A 400 142 10.5 86.1 67.6 40B 400 144 12.5 94.1 73.8 40C 400 146 14.5 102 80.1槽钢规格重量表槽钢型号尺寸截面面积(cm2)重量(kg/m)高腿长腰厚5 50 37 4.5 6.93 5.446.5 65 40 4.8 8.54 6.708 80 43 5.0 10.24 8.04 10 100 48 5.3 12.74 10.00 12 120 53 5.5 15.36 12.06 14A 140 58 6.0 18.51 14.53 14B 140 60 8.0 21.31 16.73 16A 160 63 6.5 21.95 17.23 16B 160 65 8.5 25.15 19.74 20A 200 73 7.0 28.83 22.63 20B 200 75 9.0 32.83 25.77 30A 300 85 7.5 43.89 34.45 30B 300 87 9.5 49.59 36.16 30C 300 89 11.5 55.89 43.81最近学了很多钢筋图,然后猛然不知道钢筋的计算,现在自己总结一下给大家分享直径为d的钢筋的理论重量=d^2/100*0.617=d^2X0.00617^2为平方,0.617为直径为10钢筋的理论重量,只需要记住10钢筋的理论重量即可!直径12及以下的保留三位小数;直径12以上的保留两位小数;保留时候6舍7入!用钢筋直径(mm)的平方乘以0.006170.617是圆10钢筋每米重量。