时间序列分析考试卷及答案
- 格式:doc
- 大小:399.00 KB
- 文档页数:4
BCCAA,ACBDD,BBDBD,BA第六章时间序列分析一、单项选择题1.某地区1990—1996年排列的每年年终人口数动态数列是(b)。
A、绝对数动态数列B、绝对数时点数列C.相对数动态数列D.平均数动态数列2.某工业企业产品年生产量为20万件,期末库存万件,它们(c)。
A、是时期指标B、是时点指标C、前者是时期指标,后者是时点指标D、前者是时点指标,后者是时期指标3•间隔相等的不连续时点数列计算序时平均数的公式为(c )。
y n石=——c石■_ CQ2「十°2卜・+0"写九川皆/+•+也宁%九D.= 一二 ............. 二.................... 二........4.某地区连续4年的经济增长率分别为%, 9%, 8%, %,则该地区经济的年平均增长率为(a) oA ' A1.085x 1.09x1.08x 1.094-1 B、刘0.085 x 0.09 x 0.08 x 0.094C > A/l.085xl.09xl.08xl.094 D、(8.5%+9%+8%+9.4%)三55.某工业企业生产的产品单位成本从2005年到2007年的平均发展速度为98%,说说明该严品单位成本(a) oA、平均每年降低2%B、平均每年降低1%C、2007年是2005年的98%D、2007年比2005年降低98%6•根据近几年数据计算所的,某种商品第二季度销售量季节比率为,表明该商品第二季度销售(a) oA、处于旺季B、处于淡季C、增长了70%D、增长了170%7.对于包含四个构成因素(T,S,C,I)的时间序列,以原数列各项数值除以移动平均值(其平均项数与季节周期长度相等)后所得比率(c) oA、只包含趋势因素B、只包含不规则因素C、消除了趋势和循环因素D、消除了趋势和不规则因素8.当时间序列的长期趋势近似于水平趋势时,测定季节变动时(b )。
回归分析时间序列分析答案一、单项选择题1、下面的关系中不是相关关系的是(D )A、身高与体重之间的关系B、工资水平与工龄之间的关系C、农作物的单位面积产量与降雨量之间的关系D、圆的面积与半径之间的关系2、具有相关关系的两个变量的特点是(A )A、一个变量的取值不能由另一个变量唯一确定B、一个变量的取值由另一个变量唯一确定C、一个变量的取值增大时另一个变量的取值也一定增大D、一个变量的取值增大时另一个变量的取值肯定变小3、下面的假定中,哪个属于相关分析中的假定(B)A、两个变量之间是非线性关系B、两个变量都是随机变量C、自变量是随机变量,因变量不是随机变量D、一个变量的数值增大,另一个变量的数值也应增大4、如果一个变量的取值完全依赖于另一个变量,各观测点落在一条直线上,则称这两个变量之间为(A )A、完全相关关系B、正线性相关关系C、非线性相关关系D、负线性相关关系 5、根据你的判断,下面的相关系数取值哪一个是错误的( C )A、–0.86B、0.78C、1.25D、0x6、某校经济管理类的学生学习统计学的时间()与考试成绩(y)之间建立线性回归方程yx=a+b。
经计算,方程为y =200—0.8x,该方程参数的计算(C) ccA a值是明显不对的B b值是明显不对的C a值和b值都是不对的D a值和b值都是正确的 7、在回归分析中,描述因变量y如何依赖于自变量x和误差项ε的方程称为(B)A、回归方程B、回归模型C、估计回归方程D、经验回归方程,,,x,,8、在回归模型y=中,ε反映的是(C ) 01A、由于x的变化引起的y的线性变化部分B、由于y的变化引起的x的线性变化部分C、除x和y的线性关系之外的随机因素对y的影响D、由于x和y的线性关系对y的影响9、如果两个变量之间存在负相关关系,下列回归方程中哪个肯定有误(B),,A、=25–0.75xB、= –120+ 0.86x yy,,C、=200–2.5xD、= –34–0.74x yy10、说明回归方程拟合优度的统计量是(C )A、相关系数B、回归系数C、判定系数D、估计标准误差211、判定系数R是说明回归方程拟合度的一个统计量,它的计算公式为(A ) SSRSSRSSESSTA、 B、 C、 D、 SSTSSESSTSSR12、为了研究居民消费(C)与可支配收入(Y)之间的关系,有人运用回归分析的方法,得到以下方程:在该方程中0.76的含义是(B ) LnC,2.36,0.76LnY,A、可支配收入每增加1元,消费支出增加0.76元B、可支配收入每增加1%,消费支出增加0.76%C、可支配收入每增加1元,消费支出增加76%D、可支配收入每增加1%,消费支出增加76%13、年劳动生产率z(千元)和工人工资y=10+70x,这意味着年劳动生产率每提高1千元时,工人工资平均(A)A增加70元 B减少70元 C增加80元 D减少80元14、下列回归方程中哪个肯定有误(A),,A、y=15–0.48x,r=0.65B、y= –15 - 1.35x,r=-0.81,,C、yy=-25+0.85x,r=0.42D、=120–3.56x,r=-0.96215、若变量x与y之间的相关系数r=0.8,则回归方程的判定系数R为(C )A、0.8B、0.89C、0.64D、0.40 16、对具有因果关系的现象进行回归分析时(A)A、只能将原因作为自变量B、只能将结果作为自变量C、二者均可作为自变量D、没有必要区分自变量二、多项选择题1(下列哪些现象之间的关系为相关关系(ACD)A家庭收入与消费支出关系 B圆的面积与它的半径关系C广告支出与商品销售额关系 D单位产品成本与利润关系E在价格固定情况下,销售量与商品销售额关系2(相关系数表明两个变量之间的(DE)A线性关系 B因果关系 C变异程度 D相关方向 E相关的密切程度3、如下的现象属于负相关的有(BCD)。
第10章 时间序列分析和预测一、单项选择题 1.已知某公司近5年经营收入的增长速度分别为6%,8.2%,9.3%,8%和10.5%,则该公司近5年的年平均增长速度为( )。
[浙江工商大学2017研]A .(6%×8.2%×9.3%×8%×10.5%)/5B .(106%×108.2%×109.3%×108%×110.5%)/5-1C .(6%×8.2%×9.3%×8%×10.5%)1/5D .(106%×108.2%×109.3%×108%×110.5%)1/5-1【答案】D【解析】平均增长速度也称平均增长率,它是时间序列中逐期环比值(也称环比发展速度)的几何平均数减1后的结果,其计算公式为:111n n YG Y -=⨯⨯-=-所以该商品价格的年平均增长率为:1v =-2.如果时间数列逐期增长量大体相等,则宜拟合( )。
[浙江工商大学2017研]A .直线模型B.抛物线模型C.曲线模型D.众数指数曲线模型【答案】A【解析】A项,逐期增长量大体相等,说明关于时间t的曲线的斜率大体相等,应拟合直线模型;B项,抛物线模型适合于变化率逐渐减小再逐渐增大的时间序列;C项,指数曲线模型适合于呈指数增长的时间序列;D项,除直线模型意外的其他模型都属于曲线模型,包括抛物线模型和指数曲线模型。
3.定基发展速度和环比发展速度的关系是()。
[浙江工商大学2017研]A.相邻两个定基发展速度之商=其相应的环比发展速度B.相邻两个定基发展速度之积=其相应的环比发展速度C.相邻两个定基发展速度之差=其相应的环比发展速度D.相邻两个定基发展速度之和=其相应的环比发展速度【答案】A【解析】定基发展速度是以固定一个时期为基点计算发展速度,环比增长速度是以上一个时期为基点计算发展速度,因此A项正确。
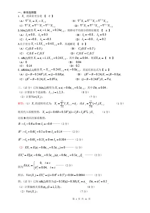
一、单项选择题1. t X 的k 阶差分是 【 C 】(A )k t t t k X X X -∇=- (B )11k k k t t t k X X X ---∇=∇-∇ (C )111k k k t t t X X X ---∇=∇-∇ (D )1112k k k t t t X X X ----∇=∇-∇ 2. MA(2)模型121.10.24t t t t X εεε--=-+,则移动平均部分的特征根是 【 A 】 (A )10.8λ=,20.3λ= (B )10.8λ=-,20.3λ= (C )10.8λ=-,20.3λ=- (D )10.8λ=-,20.2λ= 3.关于差分121.30.40t t t X X X ---+=,其通解是 【 D 】 (A )1(0.80.3)t t C + (B ) 1(0.80.5)t t C + (C ) 120.80.3t t C C + (D )120.80.5t t C C +4. AR(2)模型121.10.24t t t t X X X ε--=-+,其中0.04t D ε=,则t t EX ε=【 B 】 (A )0 (B ) 0.04 (C ) 0.14 (D )0.25. ARMA(2,1)模型1210.240.8t t t t t X X X εε-----=-,其延迟表达式为【 A 】(A )2(10.24)(10.8)t t B B X B ε--=- (B ) 2(0.24)(0.8)t t B B X B ε--=- (C )2(0.24)0.8t t B B X ε--=∇ (D )2(10.24)t t B B X ε--=∇三、(15分)已知MA(2)模型为120.60.5t t t t X εεε--=-+,其中0.04t D ε=, (1)计算前3个逆函数,,1,2,3j I j =;----------------(8分) (2)计算()t Var X ;-----------------------------------(7分)解答:(1)t X 的逆转形式为:1t jt j t j X IX ε+∞-==+∑,或0()t j t j j I X ε+∞-==-∑------------(1分)将其代入原模型得:2212(10.60.5)(1)t t X B B I B I B X =-+----------(1分)比较B 的同次幂系数得:11:0.600.6B I I --=⇒=-———(2分)2212:0.60.500.14B I I I -++=⇒=———(2分) 33213:0.60.500.384B I I I I -++=⇒=———(2分)(2)12(0.60.5)0t t t t EX E εεε--=-+=———(1分)21212[(0.60.5)(0.60.5)]t t t t t t t EX E εεεεεε----=-+-+,———(2分)因为20,0.04,t s t s E t sεεεσ≠⎧=⎨==⎩———(2分) 所以:222()(10.60.5)0.040.0644t t Var X EX ==++⨯=———(2分) 四、(15分)已知AR(2)模型为(10.5)(10.3)t tB B X ε--=,20.5t D εεσ==。
第八章时间序列预测法一、单项选择题(在每小题列出的四个备选项中只有一个是符合题目要求的,请将其代码填写在题后的括号内。
错选、多选或未选均无分。
)1.从数学分析角度,时间序列长期趋势发展的规律性增长线的判断依据是( )A.最小二乘法B.散点图C.时间序列的差分变化D.函数表达式(2005.4)2.时间序列法将所有对研究对象的影响因素归结为()A.历史资料的变动B.长期趋势C.市场变量 D.时间变量(2009.7)3.时间序列研究的是预测对象( )A.与所有影响因素之间的关系B.与每个具体影响因素之间的关系C.与时间因素之间的关系D.与其变化趋势之间的关系(2010.4)4.时间序列分析法预测未来的前提是()A.假定事物过去的规律会同样延续到未来B.假定事物过去的规律不会延续到未来C.假定事物的未来是不会有变化的D.假定事物的未来是有规律变化的(2006.4)5.从数学分析角度来看,对于时间序列直线趋势的规律性增长线,可利用下列哪一选项作出判断()A.最小二乘法 B.散点图C.时间序列的一阶差分 D.函数表达式(2007.4)6.时间序列数据会呈出现一种长期趋势,它的表现( )A.只能是上升趋势B.只能是下降趋势C.只能是水平趋势7.时间序列数据因受一种固定周期性变化因素影响而出现的变动称为()A.长期变动趋势 B.季节变动C.循环变动 D.随机变动(2009.4)8. 时间序列数据因受一种固定周期性变化因素影响而出现的变动称之为( )A. 长期变动趋势B. 季节性变动C. 循环变动D. 随机变动(2002.7)9.呈现季节性变动的时间序列数据,其重复变动的周期一般是()A.以年为周期B.以季为周期C.以月为周期D.以周为周期(2008.4)10.循环变动是指时间序列数据变动呈现不固定的周期变动,且变动周期长于()A.3个月 B.6个月 C.9个月(2005.7)11.利用加权平均法进行预测,所求得的加权平均数已经包含了数据的()A.长期趋势变动 B.季节性变动C.循环变动 D.不规则变动(2007.7)12.与算术平均法相比,加权平均法的优越性表现在()A.计算方法更简便B.计算方法更容易C.对不同时期的数据等同对待,一视同仁D.对不同时期的数据区别对待,给予不同程度的重视(2011.7)13.加权平均法所求得的平均数,已包含了( )A.对各个数据的分析B.长期趋势变动C.各期资料对应的权数D.所有原始数据(2003.4)14.加权平均预测法的关键是()A.确定发展速度B.确定平均的项数C.确定权数D.剔除一些特殊的影响因素(2006.7)15.加权平均法预测的关键是( )A.确定计算公式B.确定平均的项数C.确定权数D.剔除一些特殊的影响因素(2005.4)16.在统计分析中常用来修匀历史数据,揭示变动趋势的方法是( )A.算术平均法B.加权平均法C.移动平均法D.趋势分析法(2011.4)17.移动平均法在统计分析中常用来()A.修匀时间序列,揭示变动趋势B.计算移动平均数C.计算时间序列的代表性值D.构成新的时间序列(2009.4)18.对于发展趋势呈斜坡样式的时间序列资料,不可..采用的预测模型是()A.直线趋势延伸法B.一次移动平均法简便形式C.一次移动平均变动趋势移动形式D.二次移动平均法(2009.7)19.在下列预测方法中最适合水平型数据样式的方法是()A.定性预测法 B.一次移动平均法C.趋势延伸法 D.季节变动预测法(2007.7)20.一次移动平均法适用于预测目标时间序列数据的变动基本呈( )趋势的变化。
一,名词解释时间序列是指将某种现象某一个统计指标在不同时间上的各个数值,按时间先后顺序排列而形成的序列随机过程是一连串随机事件动态关系的定量描述平稳性决定过程特性的统计规律不随时间的变化而改变严平稳对于一切的时滞k 和时点t1,t2,。
,tn,都有Yt1,Yt2,_ _ _,Ytn 与Yt1-k,Yt2-k,。
,Ytn-k 的联合分布相同弱平稳:–均值函数在所有时间上恒为常数–对所有的时间t 和时滞k,rt,t-k=r0,k白噪声独立同分布的随机序列,属于严平稳随机趋势:在任何时间点都有零均值,方差随时间的增加而增加确定性趋势:存在周期性或季节性的趋势LS(least-square ):最小二乘估计BLUE(best linear unbiased estimator):最佳线性无偏估计GLS(generalized least square):广义最小二乘QQ图(Quantile-Quantile plot):正态得分图,显示数据的分位数和根据正态分布计算的理论分位数。
正态分布的QQ图看起来近似于一条直线。
MA:滑动平均过程AR:自回归过程ARMA:自回归滑动平均混合模型非平稳时间序列:具有时变均值的时间序列自回归滑动平均求和模型ARIMA:一个时间序列的d次差分是一个平稳的ARMA过程ACF(autocorrelation function):自相关函数PACF(partial。
):偏自相关函数,即预测误差之间的相关系数EACF(Extended):扩展的自相关函数ADF单位根检验:用最小二乘回归所得估计系数的t统计量作为检验统计量,在有单位根的零假设下,该检验统计量服从某种非标准的大样本分布。
AIC(赤池信息准则):是估计模型与真实模型的平均Kullback-Leibler偏离的估计量,定义为:AIC=-2log(极大似然估计)+2k。
AIC是有偏估计量,当参数数量相对数据容量的比值较大时,偏差很大。
1. 时间序列数据的基本特征不包括以下哪一项?A. 趋势性B. 季节性C. 周期性D. 随机性2. 下列哪种方法不适用于时间序列的平稳性检验?A. ADF检验B. KPSS检验C. 自相关函数(ACF)D. 方差分析(ANOVA)3. 在时间序列分析中,ARIMA模型中的"I"代表什么?A. 自回归B. 差分C. 移动平均D. 指数平滑4. 季节性分解方法中,哪种方法最常用?A. 加法模型B. 乘法模型C. 对数加法模型D. 对数乘法模型5. 在时间序列预测中,以下哪种方法属于机器学习方法?A. ARIMAB. 指数平滑C. 支持向量机(SVM)D. 移动平均6. 时间序列数据中的白噪声具有以下哪个特征?A. 均值为零B. 方差为零C. 自相关系数为零D. 互相关系数为零7. 在ARIMA模型中,p, d, q分别代表什么?A. 自回归阶数,差分阶数,移动平均阶数B. 差分阶数,自回归阶数,移动平均阶数C. 移动平均阶数,差分阶数,自回归阶数D. 自回归阶数,移动平均阶数,差分阶数8. 时间序列分析中的平稳性意味着什么?A. 序列的均值和方差随时间变化B. 序列的均值和方差不随时间变化C. 序列的自相关系数随时间变化D. 序列的互相关系数随时间变化9. 在时间序列分析中,以下哪种模型适用于非平稳序列?A. AR模型B. MA模型C. ARMA模型D. ARIMA模型10. 时间序列数据的自相关函数(ACF)用于衡量什么?A. 序列与滞后序列之间的相关性B. 序列与未来序列之间的相关性C. 序列与随机序列之间的相关性D. 序列与固定序列之间的相关性11. 在时间序列分析中,偏自相关函数(PACF)用于衡量什么?A. 序列与滞后序列之间的直接相关性B. 序列与未来序列之间的直接相关性C. 序列与随机序列之间的直接相关性D. 序列与固定序列之间的直接相关性12. 时间序列分析中的季节性调整通常使用哪种方法?A. 移动平均B. 指数平滑C. 季节性分解D. 差分13. 在时间序列分析中,以下哪种方法适用于长期趋势的提取?A. 移动平均B. 指数平滑C. 季节性分解D. 差分14. 时间序列数据中的周期性波动通常由什么引起?A. 经济周期B. 季节变化C. 随机事件D. 技术进步15. 在时间序列分析中,以下哪种方法适用于短期预测?A. ARIMAB. 指数平滑C. 季节性分解D. 差分16. 时间序列数据中的趋势性通常由什么引起?A. 经济周期B. 季节变化C. 随机事件D. 技术进步17. 在时间序列分析中,以下哪种方法适用于非线性时间序列?A. ARIMAB. 指数平滑C. 季节性分解D. 神经网络18. 时间序列数据中的季节性通常由什么引起?A. 经济周期B. 季节变化C. 随机事件D. 技术进步19. 在时间序列分析中,以下哪种方法适用于长期预测?A. ARIMAB. 指数平滑C. 季节性分解D. 差分20. 时间序列数据中的随机性通常由什么引起?A. 经济周期B. 季节变化C. 随机事件D. 技术进步21. 在时间序列分析中,以下哪种方法适用于非平稳时间序列?A. ARIMAB. 指数平滑C. 季节性分解D. 差分22. 时间序列数据中的趋势性通常由什么引起?A. 经济周期B. 季节变化C. 随机事件D. 技术进步23. 在时间序列分析中,以下哪种方法适用于非线性时间序列?A. ARIMAB. 指数平滑C. 季节性分解D. 神经网络24. 时间序列数据中的季节性通常由什么引起?A. 经济周期B. 季节变化C. 随机事件D. 技术进步25. 在时间序列分析中,以下哪种方法适用于长期预测?A. ARIMAB. 指数平滑C. 季节性分解D. 差分26. 时间序列数据中的随机性通常由什么引起?A. 经济周期B. 季节变化C. 随机事件D. 技术进步27. 在时间序列分析中,以下哪种方法适用于非平稳时间序列?A. ARIMAB. 指数平滑C. 季节性分解D. 差分28. 时间序列数据中的趋势性通常由什么引起?A. 经济周期B. 季节变化C. 随机事件D. 技术进步29. 在时间序列分析中,以下哪种方法适用于非线性时间序列?A. ARIMAB. 指数平滑C. 季节性分解D. 神经网络30. 时间序列数据中的季节性通常由什么引起?A. 经济周期B. 季节变化C. 随机事件D. 技术进步31. 在时间序列分析中,以下哪种方法适用于长期预测?A. ARIMAB. 指数平滑C. 季节性分解D. 差分32. 时间序列数据中的随机性通常由什么引起?A. 经济周期B. 季节变化C. 随机事件D. 技术进步33. 在时间序列分析中,以下哪种方法适用于非平稳时间序列?A. ARIMAB. 指数平滑C. 季节性分解D. 差分34. 时间序列数据中的趋势性通常由什么引起?A. 经济周期B. 季节变化C. 随机事件D. 技术进步35. 在时间序列分析中,以下哪种方法适用于非线性时间序列?A. ARIMAB. 指数平滑C. 季节性分解D. 神经网络36. 时间序列数据中的季节性通常由什么引起?A. 经济周期B. 季节变化C. 随机事件D. 技术进步37. 在时间序列分析中,以下哪种方法适用于长期预测?A. ARIMAB. 指数平滑C. 季节性分解D. 差分38. 时间序列数据中的随机性通常由什么引起?A. 经济周期B. 季节变化C. 随机事件D. 技术进步39. 在时间序列分析中,以下哪种方法适用于非平稳时间序列?A. ARIMAB. 指数平滑C. 季节性分解D. 差分40. 时间序列数据中的趋势性通常由什么引起?A. 经济周期B. 季节变化C. 随机事件D. 技术进步41. 在时间序列分析中,以下哪种方法适用于非线性时间序列?A. ARIMAB. 指数平滑C. 季节性分解D. 神经网络42. 时间序列数据中的季节性通常由什么引起?A. 经济周期B. 季节变化C. 随机事件D. 技术进步43. 在时间序列分析中,以下哪种方法适用于长期预测?A. ARIMAB. 指数平滑C. 季节性分解D. 差分44. 时间序列数据中的随机性通常由什么引起?A. 经济周期B. 季节变化C. 随机事件D. 技术进步45. 在时间序列分析中,以下哪种方法适用于非平稳时间序列?A. ARIMAB. 指数平滑C. 季节性分解D. 差分46. 时间序列数据中的趋势性通常由什么引起?A. 经济周期B. 季节变化C. 随机事件D. 技术进步47. 在时间序列分析中,以下哪种方法适用于非线性时间序列?A. ARIMAB. 指数平滑C. 季节性分解D. 神经网络48. 时间序列数据中的季节性通常由什么引起?A. 经济周期B. 季节变化C. 随机事件D. 技术进步49. 在时间序列分析中,以下哪种方法适用于长期预测?A. ARIMAB. 指数平滑C. 季节性分解D. 差分50. 时间序列数据中的随机性通常由什么引起?A. 经济周期B. 季节变化C. 随机事件D. 技术进步51. 在时间序列分析中,以下哪种方法适用于非平稳时间序列?A. ARIMAB. 指数平滑C. 季节性分解D. 差分52. 时间序列数据中的趋势性通常由什么引起?A. 经济周期B. 季节变化C. 随机事件D. 技术进步53. 在时间序列分析中,以下哪种方法适用于非线性时间序列?A. ARIMAB. 指数平滑C. 季节性分解D. 神经网络54. 时间序列数据中的季节性通常由什么引起?A. 经济周期B. 季节变化C. 随机事件D. 技术进步55. 在时间序列分析中,以下哪种方法适用于长期预测?A. ARIMAB. 指数平滑C. 季节性分解D. 差分56. 时间序列数据中的随机性通常由什么引起?A. 经济周期B. 季节变化C. 随机事件D. 技术进步57. 在时间序列分析中,以下哪种方法适用于非平稳时间序列?A. ARIMAB. 指数平滑C. 季节性分解D. 差分58. 时间序列数据中的趋势性通常由什么引起?A. 经济周期B. 季节变化C. 随机事件D. 技术进步59. 在时间序列分析中,以下哪种方法适用于非线性时间序列?A. ARIMAB. 指数平滑C. 季节性分解D. 神经网络60. 时间序列数据中的季节性通常由什么引起?A. 经济周期B. 季节变化C. 随机事件D. 技术进步61. 在时间序列分析中,以下哪种方法适用于长期预测?A. ARIMAB. 指数平滑C. 季节性分解D. 差分62. 时间序列数据中的随机性通常由什么引起?A. 经济周期B. 季节变化C. 随机事件D. 技术进步答案1. D2. D3. B4. B5. C6. A7. A8. B9. D10. A11. A12. C13. A14. A15. B16. D17. D18. B19. A20. C21. A22. D23. D24. B25. A26. C27. A28. D29. D30. B31. A32. C33. A34. D35. D36. B37. A38. C39. A40. D41. D42. B43. A44. C45. A46. D47. D48. B49. A50. C51. A52. D53. D54. B55. A56. C57. A58. D59. D60. B61. A62. C。
CPDA考试真题与答案-410.时间序列若无季节变动,则其各月(季)季节指数为0.正确答案:×11.一个硬币掷10 次,其中5 次正面向上的概率是0.5。
正确答案:×12.DBSCAN算法对异常值敏感,因此要在聚类前进行异常值分析。
正确答案:×13.在假设检验中,当我们做出拒绝原假设而接受备择假设的结论时,表示原假设是错误的。
正确答案:×14.召回率(recall)指预测为正的样本中实际为正的样本所占比例。
正确答案:×15.逻辑回归只能用于二分类问题,即输出只有两种,分别代表两个类别。
正确答案:×二、单选题1.Apriori算法用下列哪个做项目集(Itemset)的筛选?A、最小信赖度(Minimum Confidence)B、最小支持度(Minimum Support)C、交易编号(TransactionID)D、购买数量正确答案:B2.为调查我国城市女婴出生体重:北方n1=5385,均数为3.08kg,标准差为0.53kg;南方n2=4896,均数为 3.10kg,标准差为0.34kg,经统计学检验,p=0.0034<0.01,这意味着()A、南方和北方女婴出生体重的差别无统计学意义B、南方和北方女婴出生体重差别很大C、由于P值太小,南方和北方女婴出生体重差别无意义D、南方和北方女婴出生体重差别有统计学意义但无实际意义正确答案:D3.预测分析中将原始数据分为训练数据集和测试数据集等,其中训练数据集的作用在于()A、用于对模型的效果进行无偏的评估B、用于比较不同模型的预测准确度C、用于构造预测模型D、用于选择模型正确答案:C4.一个射手连续射靶22次,其中3次射中10环,7次射中9环,9次射中8环,3次射中7环.则射中环数的中位数和众数分别为()A、8,9B、8,8C、8.5,8D、8.5,9正确答案:B5.一般来说,当居民收入减少时,居民储蓄存款也会相应减少,二者之间的关系是()A、负相关B、正相关C、零相关D、曲线相关正确答案:B6.下表为一交易数据库,请问A → C 的信赖度(Confidence)为()A、75%B、50%C、60%D、66.7%正确答案:D7.如何利用「体重」以简单贝式分类(Naive Bayes)预测「性别」?A、选取另一条件属性B、将体重正规化为到0~1 之间C、将体重离散化D、无法预测正确答案:C8.以下哪个属于时间序列的问题?()A、信用卡发卡银行侦测潜在的卡奴B、基金经理人针对个股做出未来价格预测C、电信公司将人户区分为数个群体D、以上皆是正确答案:B9.数据缺失(Null Value)处理方法可分为人工填补法及自动填补法,下列哪种填补法可得到较准确的结果?A、填入一个通用的常数值,例如填入"未知/UnknownB、把填补遗缺值的问题当作是分类或预测的问题C、填入该属性的整体平均值D、填入该属性的整体中位数正确答案:B10.某市有各类书店500家,其中大型50家,中型150家,小型300家。
时间序列期末试题及答案1. 试题考试时间:3小时考试形式:闭卷注意:请将答案写在答题纸上,不要在试卷上直接作答。
题目一:简答题(每题10分)1. 什么是时间序列分析?时间序列分析具有哪些应用领域?2. 请解释平稳时间序列的概念,并提供一个平稳时间序列的例子。
3. 什么是季节性、趋势性和周期性?请分别举一个例子。
4. 时间序列分析的步骤是什么?5. 请解释自相关函数(ACF)和偏自相关函数(PACF)的概念,并说明它们在时间序列分析中的作用。
题目二:计算题(每题20分)1. 从某超市取得了一组销售额数据,包括2004年到2019年的年度销售额。
请计算该时间序列的移动平均值,并绘制移动平均图。
2. 下表是某公司2005年到2019年每个季度的销售额数据,请利用季节性指数法预测2020年第一季度的销售额。
| 年份 | 第一季度销售额 ||-------|--------------|| 2005 | 100 || 2006 | 120 || 2007 | 140 || 2008 | 160 || 2009 | 180 || 2010 | 200 || 2011 | 220 || 2012 | 240 || 2013 | 260 || 2014 | 280 || 2015 | 300 || 2016 | 320 || 2017 | 340 || 2018 | 360 || 2019 | 380 |3. 通过对某股票每周收益率进行分析,发现其自相关系数和偏自相关系数都在95%置信区间之外。
该时间序列数据是否呈现ARCH效应?请解释原因。
4. 将某商品销售额数据建模为自回归移动平均模型(ARMA),请给出该模型的阶数,并解释原因。
2. 答案题目一:简答题1. 时间序列分析是一种研究时间相关数据的统计方法,通过对时间序列的特征进行分析,揭示其随时间变化的规律和趋势。
时间序列分析广泛应用于经济学、金融学、气象学、社会学等领域。
时间序列分析试卷及答案时间序列分析试卷1一、填空题(每小题2分,共计20分)1.ARMA(p,q)模型是一种常用的时间序列模型,其中模型参数为p和q。
2.设时间序列{Xt},则其一阶差分为Xt-Xt-1.3.设ARMA (2.1):Xt=0.5Xt-1+0.4Xt-2+εt-0.3εt-1,则所对应的特征方程为1-0.5B-0.4B^2+0.3B。
4.对于一阶自回归模型AR(1):Xt=10+φXt-1+εt,其特征根为φ,平稳域是|φ|<1.5.设ARMA(2.1):Xt=0.5Xt-1+aXt-2+εt-0.1εt-1,当a满足|a|<1时,模型平稳。
6.对于一阶自回归模型Xt=φXt-1+εt,其平稳条件是|φ|<1.7.对于二阶自回归模型AR(2):MA(1):Xt=εt-0.3εt-1,其自相关函数为Xt=0.5Xt-1+0.2Xt-2+εt,则模型所满足的XXX-Walker方程是ρ1-0.5ρ2=0.2,ρ2-0.5ρ1=1.8.设时间序列{Xt}为来自ARMA(p,q)模型:Xt=φ1Xt-1+。
+φpXt-p+εt+θ1εt-1+。
+θqεt-q,则预测方差为σ^2(1+θ1^2+。
+θq^2)。
9.对于时间序列{Xt},如果它的差分序列{ΔXt}是平稳的,则Xt~I(d)。
10.设时间序列{Xt}为来自GARCH(p,q)模型,则其模型结构可写为σt^2=α0+α1εt-1^2+。
+αpεt-p^2+β1σt-1^2+。
+βqσt-q^2.二、(10分)设时间序列{Xt}来自ARMA(2,1)过程,满足(1-B+0.5B^2)Xt=(1+0.4B)εt,其中{εt}是白噪声序列,并且E(εt)=0,Var(εt)=σ^2.1)判断ARMA(2,1)模型的平稳性。
根据特征方程1-φ1B-φ2B^2,求得其根为0.5±0.5i,因此模型的平稳条件是|φ1-0.5i|<1和|φ1+0.5i|<1,即-1<φ1<1.因为0.5i不在实轴上,所以模型不是严平稳的,但是是宽平稳的。
一、判断题1.数据根据计量尺度不同可以分为分类数据和数值型数据。
正确答案: ×2。
多次抛一枚硬币,正面朝上的频率是1/2。
正确答案:×3.归纳法是一种从个别到一般的推理方法。
正确答案:√4.datahoop中输入的数据必须是数值型的。
正确答案:×5.置信水平是假设检验中犯第一类错误的概率。
正确答案:×6。
当两种产品为互补品时,其交叉弹性小于零.正确答案:√7.时间序列分解法可以有乘法模型和加法模型两种表示方式,其中乘法模型都是相对值来表示预测值的,加法模型都是用绝对值来表示预测值的。
正确答案:×8。
需求定价法的核心思想是力求在需求高涨时收取较低价格,而当需求低落时则收取较高价格。
正确答案:×9.盈亏平衡分析是静态分析,不考虑资金的时间价值和项目寿命周期内的现金流量的变化。
正确答案:√10.决策树算法易于理解好实现,且对缺失值、异常值和共线性都不敏感,是做分类预测的首选算法。
正确答案:×11。
随机森林中的每棵树都不进行剪枝,因此过拟合的风险很高。
正确答案: ×12.当倒传递神经网络(BP神经网络)无隐藏层,输出层个数只有一个的时候,也可以看做是逻辑回归模型。
正确答案: √13.维规约即事先规定所取模型的维数,可以认为是降维的一种.正确答案:×14。
标准差越小,表示离散程度越小,风险越大;反之离散程度越大,风险越小.正确答案:×15.离群点是一个实际观测值,它与其他观测值的差别如此之大,以至于怀疑它是由不同的机制产生的。
正确答案:√二、单选题1。
SQL语言中,删除一个表中所有数据,但保留表结构的命令是()A、DELETEB、DROPC、CLEARD、REMORE正确答案:A2。
数据库系统是由()组成的A、数据库、数据库管理系统和用户B、数据文件、命令文件和报表C、数据库文件结构和数据D、常量、变量和函数正确答案: A3。
大学统计学考试练习题及答案111.[单选题]时间序列中各逐期环比值的几何平均数减1后的结果称为( )A)环比增长率B)定基增长率C)平均增长率D)年度化增长率答案:C解析:2.[单选题]假设检验差别有统计学意义时,P越小,说明A)样本均数差别越大B)总体均数差别越大C)认为样本之间有差别的统计学证据越充分D)认为总体之间有差别的统计学证据越充分答案:D解析:3.[单选题]综合指数包括()A)个体指数和总指数B)数量和质量指标指数C)定基指数和环比指数D)平均指数和平均指标指数答案:B解析:4.[单选题]从某地区中随机抽出20家企业,得到20位企业总经理的年平均收入为25,964.7元,标准差位42,807.8元。
则年平均收入的95%置信区间为( )A)25,964.7±20,034.3B)25,964.7±21,034,3C)25,964.7±25,034.3D)25,964.7±30,034.3答案:A解析:5.[单选题]在抽样调查中( )A)全及总体是唯一确定的B)样本是唯一确定的C)全及指标只能有一个6.[单选题]某病患者5人的潜伏期(天)分别为:6、8、5、12、>15,则平均潜伏期为A)8天B)5天C)11天D)不低于10天E无法计算答案:A解析:7.[单选题]下列不受极端值影响的平均数是( )A)算术平均数B)调和平均数C)众数D)上述三种都不对答案:C解析:8.[单选题]制定统计调查方案的首要问题是()。
A)确定调查组织工作B)调查任务和目的的明确C)调查时间和地点的明确D)调查经费的确定答案:B解析:9.[单选题]有两个数列,甲数列平均数为100,标准差为12.8;乙数列平均数为14.5,标准差为3.7。
据此资料可知( )。
A)甲平均数代表性高于乙B)乙平均数代表性高于甲C)甲乙平均数代表性相同D)无法直接比较甲乙平均数代表性大小答案:A解析:10.[单选题]对某单位职工的文化程度进行抽样调查,得知其中80%的人是高中毕业,抽样平均误差为2%,当概率为95.45%(Z=2)时,该单位职工中具有高中文化程度的比重是( )A)等于78%B)大于84%11.[单选题]圆的周长和半径之间存在着 ( )A)比较关系B)相关关系C)因果关系D)函数关系答案:D解析:12.[单选题]用简单随机重复抽样方法抽取样本时,如果要使抽样平均误差比原来减少一半,则样本单位数需要扩大到原来的( )。
第五章:时间序列测试题班级 姓名 学号 成绩一、选择题1、下列时间序列中,属于时点序列的有( )。
A. 某高校“十五”期间毕业生人数B.某企业“十五”期间年末利税额C.某地区“十五”期间年末人口数D.某地区“十五”期间粮食产量2、下列时间序列中,属于时期序列的有( )。
A. 某农场“十五”期间年末奶牛存栏数B. 某企业“十五”期间年末利税额C. 某地区“十五”期间年末人口数D.某企业“十五”年末产品库存量3、某企业2005年上半年应收账款余额资料如下:则该企业2005年上半年平均每个月的应收账款余额为( )。
A. 6210209688909159308502690++++++B. 71020968890915930850690++++++C. 6968890915930850690+++++D. 61020 968890915930850+++++4.某车间月初工人人数资料如下:则该车间上半年的平均人数约为( )A 296人B 292人C 295 人D 300人5.某地区某年9月末的人口数为150万人,10月末的人口数为150.2万人,该地区10月的人口平均数为( )A 150万人B 150.2万人C 150.1万人D 无法确定二、计算题1、某超市1-4月商品销售及人员资料如下:计算:(1)第一季度该店平均每月商品销售额;(2)第一季度平均售货员人数;(3)第一季度平均每售货员的销售额;2.某地区1994年平均人口数为150万人,2005年人口变动情况如下:计算:(1)2005年平均人口数;.3.某公司某年10月末有职工300人,11月上半月的人数变动情况是:10月4日新招聘12名大学生上岗,6日有5名老职工退休离岗,8日有8名青年工人跳槽其他公司,同日又有5名职工辞职离岗,12日招聘17名营销人员上岗。
试计算该公司11月上半月的平均在岗人数。
4.某地区1996—2000年国民生产总值数据如下:要求:(1)计算并填列表中所缺数字。
Booth School of Business,University of ChicagoBusiness41202,Spring Quarter2012,Mr.Ruey S.TsaySolutions to MidtermProblem A:(34pts)Answer briefly the following questions.Each question has two points.1.Describe two improvements of the EGARCH model over the GARCHvolatility model.Answer:(1)allows for asymmetric response to past positive or negative returns,i.e.leverage effect,(2)uses log volatility to relax parameter constraint.2.Describe two methods that can be used to infer the existence of ARCHeffects in a return series,i.e.,volatility is not constant over time.Answer:(1)The sample ACF(or PACF)of the squared residuals of the mean equation,(2)use the Ljung-Box statistics on the squared residuals.3.Consider the IGARCH(1,1)volatility model:a t=σt t withσ2t =α0+β1σ2t−1+(1−β1)a2t−1.Often one pre-fixesα0=0.Why?Also,suppose thatα0=0and the1-step ahead volatility prediction at the forecast origin h is16.2%(annualized),i.e.,σh(1)=σh+1=16.2for the percentage log return.What is the10-step ahead volatility prediction?That is,what isσh(10)?Answer:(1)Fixingα0=0based on the prior knowledge that volatility is mean reverting.(2)σh(10)=16.2.4.(Questions4to8)Consider the daily log returns of Amazon stockfrom January3,2007to April27,2012.Some summary statistics of the returns are given in the attached R output.Is the expected(mean) return of the stock zero?Why?Answer:The data does not provide sufficient evidence to suggest that the mean return is not zero,because the95%confidence interval con-tains zero.5.Let k be the excess kurtosis.Test H0:k=0versus H a:k=0.Writedown the test statistic and draw the conclusion.1Answer:t-ratio =9.875√24/1340=73.79,which is highly significant com-pared with χ21distribution.6.Are there serial correlations in the log returns?Why?Answer:No,the Ljung-Box statistic Q (10)=10.69with p-value 0.38.7.Are there ARCH effects in the log return series?Why?Answer:Yes,the Ljung-Box statist of squared residuals gives Q (10)=39.24with p-value less than 0.05.8.Based on the summary statistics provided,what is the 22-step ahead point forecast of the log return at the forecast origin April 27,2012?Why?Answer:The point forecast r T (22)=0because the mean is not signif-icantly different from zero.[Give students 1point if they use sample mean.]9.Give two reasons that explain the existence of serial correlations in ob-served asset returns even if the true returns are not serially correlated.Answer:Any two of (1)bid-ask bounce,(2)nonsynchronous trading,(3)dynamic dependence of volaitlity via risk premuim.10.Give two reasons that may lead to using moving-average models inanalyzing asset returns.Answer:(1)Smoothing (or manipulation),(2)bid-ask bounce in high frequency returns.11.Describe two methods that can be used to compare different modelsfor a given time series.Answer:(1)Information criteria such as AIC or BIC,(2)backtesting or out-of-sample forecasting.12.(Questions 12to 14)Let r t be the daily log returns of Stock A.Assume that r t =0.004+a t ,where a t =σt t with t being iid N(0,1)random variates and σ2t =0.017+0.15a 2t −1.What is the unconditionalvariance of a t ?Answer:Var(a t )=0.0171−0.15=0.02.13.Suppose that the log price at t =100is 3.912.Also,at the forecastorigin t =100,we have a 100=−0.03and σ100=pute the21-step ahead forecast of the log price (not log return)and its volatility for Stock A at the forecast origin t =100.Answer:r 100(1)=0.004so that p 100(1)=3.912+0.004=3.916.Thevolatility forecast is σ2100(1)= 0.017+0.15(−0.03)2=pute the 30-step ahead forecast of the log price and its volatilityof Stock A at the forecast origin t =100.Answer:p 100(30)=3.912+0.004×30=4.032and the voaltility is the unconditional stantard error √0.02=0.141.15.Asset volatility has many applications in finance.Describe two suchapplications.Answer:Any two of (1)pricing derivative,(2)risk management,(3)asset allocation.16.Suppose the log return r t of Stock A follows the model r t =a t ,a t =σt t ,and σ2t =α0+α1a 2t −1+β1σ2t −1,where t are iid N(0,1).Under whatcondition that the kurtosis of r t is 3?That is,state the condition under which the GARCH dynamics fail to generate any additional kurtosis over that of t .Answer:α1=0.17.What is the main consequence in using a linear regression analysis whenthe serial correlations of the residuals are overlooked?Answer:The t -ratios of coefficient estimates are not reliable.Problem B .(30pts)Consider the daily log returns of Amazon stock from January 3,2007to April 27,2012.Several volatility models are fitted to the data and the relevant R output is attached.Answer the following questions.1.(2points)A volatility model,called m1in R,is entertained.Write down the fitted model,including the mean equation.Is the model adequate?Why?Answer:ARCH(1)model.r t =0.0018+a t ,a t =σt t with t being iidN(0,1)and σ2t =7.577×10−4+0.188a 2t −1.The model is inadequatebecause the normality assumption is clearly rejected.2.(3points)Another volatility model,called m2in R,is fitted to the returns.Write down the model,including all estimated parameters.3Answer:ARCH(1)model.r t=4.907×10−4+a t,a t=σt t,where t∼t∗3.56with t∗vdenoting standardized Student-t distribution with v degreesof freedom.The volatility equation isσ2t =7.463×10−4+0.203a2t−1.3.(2points)Based on thefitted model m2,test H0:ν=5versus H a:ν=5,whereνdenotes the degrees of freedom of Student-t distribution.Perform the test and draw a conclusion.Answer:t-ratio=3.562−50.366=−3.93,which compared with1.96is highlysignificant.If you compute the p-value,it is8.53×10−5.Therefore, v=5is rejected.4.(3points)A third model,called m3in R,is also entertained.Writedown the model,including the distributional parameters.Is the model adequate?Why?Answer:Another ARCH(1)model.r t=0.0012+a t,a t=σt t,where t are iid and follow a skew standardized Student-t distribution with skew parameter1.065and degrees of freedom3.591.The volatility equationisσ2t =7.418×10−4+0.208a2t−1.Ecept for the insigicant mean value,thefitted ARCH(1)model appears to be adequate based on the model checking statistics shown.5.(2points)Letξbe the skew parameter in model m3.Does the estimateofξconfirm that the distribution of the log returns is skewed?Why?Perform the test to support your answer.Answer:The t-ratio is1.065−10.039=1.67,which is smaller than1.96.Thus,the null hypothesis of symmetric innovations cannot be rejected at the 5%level.6.(3points)A fourth model,called m4in R,is alsofitted.Write downthefitted model,including the distribution of the innovations.Answer:a GARCH(1,1)model.r t=0.0017+a t,a t=σt t,where t are iid and follow a skew standardized Student-t distribution with skew parameter1.101and degrees of freedom3.71.The volatility equationisσ2t =1.066×10−5+0.0414a2t−1+0.950σ2t−1.7.(2points)Based on model m4,is the distribution of the log returnsskewed?Why?Perform a test to support your answer.Answer:The t-ratio is1.101−10.043=2.349,which is greater than1.96.Thus,the distribution is skew at the5%level.48.(2points)Among models m1,m2,m3,m4,which model is preferred?State the criterion used in your choice.Answer:Model4is preferred as it has a smaller AIC value.9.(2points)Since the estimatesˆα1+ˆβ1is very close to1,we consideran IGARCH(1,1)model.Write down thefitted IGARCH(1,1)model, called m5.Answer:r t=a t,a t=σt t,whereσ2t =3.859×10−5+0.85σ2t−1+0.15a2t−1.10.(2points)Use the IGARCH(1,1)model and the information providedto obtain1-step and2-step ahead predictions for the volatility of the log returns at the forecast origin t=1340.Answer:From the outputσ21340(1)=σ21341=3.859×10−5+0.85×(0.02108)2+0.15(.146)2=0.00361.Therefore,σ21340(2)=3.859×10−5+σ2 1340(1)=0.00365.The volatility forecasts are then0.0601and0.0604,respectively.11.(2points)A GARCH-M model is entertained for the percentage logreturns,called m6in the R output.Based on thefitted model,is the risk premium statistical significant?Why?Answer:The risk premium parameter is−0.112with t-ratio−0.560, which is less than1.96in modulus.Thus,the risk premium is not statistical significant at the5%level.12.(3points)Finally,a GJR-type model is entertained,called m7.Writedown thefitted model,including all parameters.Answer:This is an APARCH model.The model is r t=0.0014+a t,a t=σt t,where t are iid and follow a skew standardized Student-tdistribution with skew parameter1.098and degrees of freedom3.846.The volatility equation isσ2 t =7.583×10−6+0.0362(|a t−1|−0.478a t−1)2+0.953σ2t−1.13.(2points)Based on thefitted GJR-type of model,is the leverage effectsignificant?Why?Answer:Yes,the leverage parameterγ1is signfiicantly different from zero so that there is leverage effect in the log returns.5Problem C.(14pts)Consider the quarterly earnings per share of Abbott Laboratories(ABT)stock from1984.III to2011.III for110observations.We analyzed the logarithms of the earnings.That is,x t=ln(y t),where y t is the quarterly earnings per share.Two models are entertained.1.(3points)Write down the model m1in R,including residual variance.Answer:Let r t be the log earnings per share.Thefitted model is=0.00161.(1−B)(1−B4)r t=(1−0.565B)(1−0.183B4)a t,σ2a2.(2points)Is the model adequate?Why?Answer:No,the Ljung-Box statistics of the residuals give Q(12)=25.76with p-value0.012.3.(3points)Write down thefitted model m2in R,including residualvariance.Answer:Thefitted model is=0.00144.(1−B)(1−B4)r t=(1−0.470B−0.312B3)a t,σ2a4.(2points)Model checking of thefitted model m2is given in Figure1.Is the model adequate?Why?Answer:Yes,the model checking statistics look reasonable.5.(2points)Compare the twofitted model models.Which model ispreferred?Why?Answer:Model2is preferred.It passes model checking and has a smaller AIC value.6.(2points)Compute95%interval forecasts of1-step and2-step aheadlog-earnings at the forecast origin t=110.Answer:1-step ahead prediction:0.375±1.96×0.038,and2-step ahead prediction:0.0188±1.96×0.043.(Some students may use2-step ahead prediction due to the forecast origin confusion.)Problem D.(22pts)Consider the growth rate of the U.S.weekly regular gasoline price from January06,1997to September27,2010.Here growth rate is obtained by differencing the log gasoline price and denoted by gt in R output.The growth rate of weekly crude oil from January03,1997to September24,2010is also obtained and is denoted by pt in R output.Note that the crude oil price was known3days prior to the gasoline price.61.(2points)First,a pure time series model is entertained for the gasolineseries.An AR(5)model is selected.Why?Also,is the mean of the gtseries significantly different from zero?Why?Answer:An AR(5)is selected via the AIC criterion.The mean of g tis not significantly different from zero based on the one-sample t-test.The p-value is0.19.2.(2points)Write down thefitted AR(5)model,called m2,includingresidual variance.Answer:Thefitted model is=0.000326.(1−0.507B−0.079B2−0.136B3+0.036B4+0.086B5)g t=a t,σ2a3.(2points)Since not all estimates of model m2are statistically signifi-cant,we refine the model.Write down the refined model,called m3.Answer:Thefitted model is=0.000327.(1−0.504B−0.074B2−0.122B3+0.101B5)g t=a t,σ2a4.(2points)Is the refined AR(5)model adequate?Why?Answer:Yes,the Ljung-Box statistics of the residuals give Q(14)=10.27with p-value0.74,indicating that there are no serial correlationsin the residuals.5.(2points)Does the gasoline price show certain business-cycle behavior?Why?Answer:Yes,thefitted AR(5)polynomial contains compplex solutions.6.(3points)Next,consider using the information of crude oil price.Writedown the linear regression model,called m4,including R2and residualstandard error.Answer:Thefitted linear regression model isg t=0.287p t+ t,σ =0.0184,and the R2of the regression is33.66%.7.(2points)Is thefitted linear regression model adequate?Why?Answer:No,because the residuals t are serially correlated based onthe Ljung-Box test.78.(3points)A linear regression model with time series errors is enter-tained and insignificant parameters removed.Write down thefinalmodel,including allfitted parameters.Answer:The model is(1−0.404B−0.164B2−0.096B3+0.101B5)(g t−0.191p t)=a t,σ2=0.000253.a9.(2points)Model checking shows that thefittedfinal model has noresidual serial correlations.Based on the model,is crude oil pricehelpful in predicting the gasoline price?Why?Answer:Yes,because thefitted coefficient of p t is signficantly differentfrom zero.10.(2points)Compare the pure time series model and the regression modelwith time-series errors.Which model is preferred?Why?Answer:The regression model with time series error is preferred as ithas a smaller AIC criterion.8。
《时间序列》试卷答案【篇一:时间序列分析试卷及答案3套】>一、填空题(每小题2分,共计20分)1. arma(p, q)模型_________________________________,其中模型参数为____________________。
2. 设时间序列?xt?,则其一阶差分为_________________________。
3. 设arma (2, 1):xt?0.5xt?1?0.4xt?2??t?0.3?t?1则所对应的特征方程为_______________________。
4. 对于一阶自回归模型ar(1): xt?10+?xt?1??t,其特征根为_________,平稳域是_______________________。
5. 设arma(2, 1):xt?0.5xt?1?axt?2??t?0.1?t?1,当a满足_________时,模型平稳。
6. 对于一阶自回归模型______________________。
7. 对于二阶自回归模型ar(2):xt?0.5xt?1?0.2xt?2??tma(1):xt??t?0.3?t?1,其自相关函数为则模型所满足的yule-walker方程是______________________。
8. 设时间序列?xt?为来自arma(p,q)模型:xt??1xt?1?l??pxt?p??t??1?t?1?l??q?t?q则预测方差为___________________。
9. 对于时间序列?xt?,如果___________________,则xt~i?d?。
10. 设时间序列?xt?为来自garch(p,q)模型,则其模型结构可写为_____________。
二、(10分)设时间序列?xt?来自arma?2,1?过程,满足1b0.5bx2t1?0.4bt,2其中??t?是白噪声序列,并且e??t??0,var??t。
(1)判断arma?2,1?模型的平稳性。
考核课程 时间序列分析(B 卷) 考核方式 闭卷 考核时间 120 分钟注:B 为延迟算子,使得1-=t tY BY ;∇为差分算子,1--=∇t t tY Y Y 。
一、单项选择题(每小题3 分,共24 分。
)1. 若零均值平稳序列{}t X ,其样本ACF 和样本PACF 都呈现拖尾性,则对{}t X 可能建立( B )模型。
A. MA(2)B.ARMA(1,1)C.AR(2)D.MA(1)2.下图是某时间序列的样本偏自相关函数图,则恰当的模型是( B )。
A. )1(MAB.)1(ARC.)1,1(ARMAD.)2(MA3. 考虑MA(2)模型212.09.0--+-=t t t t e e e Y ,则其MA 特征方程的根是( C )。
(A )5.0,4.021==λλ (B )5.0,4.021-=-=λλ (C )5.2221==λλ, (D ) 5.2221=-=λλ,4. 设有模型112111)1(----=++-t t t t t e e X X X θφφ,其中11<φ,则该模型属于( B )。
A.ARMA(2,1) B.ARIMA(1,1,1) C.ARIMA(0,1,1) D.ARIMA(1,2,1)5. AR(2)模型t t t t e Y Y Y +-=--215.04.0,其中64.0)(=t e Var ,则=)(t t e Y E ( B )。
A.0 B.64.0 C. 16.0 D. 2.06.对于一阶滑动平均模型MA(1): 15.0--=t t t e e Y ,则其一阶自相关函数为( C )。
A.5.0- B. 25.0 C. 4.0- D. 8.07. 若零均值平稳序列{}t X ∇,其样本ACF 呈现二阶截尾性,其样本PACF 呈现拖尾性,则可初步认为对{}t X 应该建立( B )模型。
A. MA(2)B.)2,1(IMAC.)1,2(ARID.ARIMA(2,1,2)8. 记∇为差分算子,则下列不正确的是( C )。
A. 12-∇-∇=∇t t t Y Y YB. 2122--+-=∇t t t t Y Y Y YC. k t t t kY Y Y --=∇ D. t t t t Y X Y X ∇+∇=+∇)( 二、填空题(每题3分,共24分);1. 若{}t Y 满足: 1312112---Θ-Θ--=∇∇t t t t t e e e e Y θθ, 则该模型为一个季节周期为=s __12____的乘法季节s ARIMA )1,1_,0(_)1_,1_,0(⨯模型。
2.时间序列{}t Y 的周期为s 的季节差分定义为:=∇t s Y _____s t t Y Y --________________________。
3. 设ARMA (2, 1):1211.025.0----+-=t t t t t e e Y Y Y则所对应的AR 特征方程为___025.012=--x x _____________,其MA 特征方程为________01.01=-x _____________。
4. 已知AR (1)模型为:),0(~x 4.0x 2t t 1-t t εσεεWN ,+=,则)(t x E =_______0_____________, 偏自相关系数11φ=________8.0__________________,kk φ=________0__________________(k>1);5.设{}t Y 满足模型:t t t t e Y aY Y ++=--218.0,则当a 满足______2.02.0<<-a __________时,模型平稳。
6.对于时间序列t t t t e e Y Y ,9.01+=-为零均值方差为2e σ的白噪声序列,则)(t Y Var =_______81.012-e σ____________________。
7.对于一阶滑动平均模型MA(1): 16.0--=t t t e e Y ,则其一阶自相关函数为_______________36.016.0+-________________________________。
8.一个子集),(q p ARMA 模型是指_形如__),(q p ARMA 模型但其系数的某个子集为零的模型_。
三、计算题(每小题5分,共10分)已知某序列{}t Y 服从MA(2)模型:218.06.040--+-+=t t t t e e e Y ,若6,4,2,20212-=-===--t t t e e e e σ(a)预测未来2期的值;(b)求出未来两期预测值的95%的预测区间。
解:(1)()121112118.06.040),,8.06.040((),,(1ˆ--+++-=⋅⋅⋅+-+=⋅⋅⋅=t t t t t t t t t e e Y Y Y e e e E Y Y Y Y E Y =6.35)4(8.026.040=-⨯+⨯-()tt t t t t t t e Y Y Y e e e E Y Y Y Y E Y 8.040),,8.06.040((),,(2ˆ2112212+=⋅⋅⋅+-+=⋅⋅⋅=+++ =6.4128.040=⨯+ (2)注意到()∑-==122][l j j e tl e Var ψσ,1≥l 。
因为,6.0,110-==ψψ故有()20]1[=t e Var ,()2.27)36.01(20]2[=+=t e Var 。
未来两期的预测值的%95的预测区间为:()()[]()()[]()l e Var z l Y l e Var zl Y t t t t025.0025.0ˆ,ˆ+-,其中2,1,96.1025.0==l z。
代入相应数据得未来两期的预测值的%95的预测区间为:未来第一期为: )2096.16.35,2096.16.35(+-,即 )3654.44 ,8346.26(; 未来第二期为: )2.2796.16.41,2.2796.16.41(+-,即)8221.15 ,3779.31(。
四、计算题(此题10分)设时间序列}{t X 服从AR(1)模型:t t t e X X +=-1φ,其中}{t e 是白噪声序列,2)(,0)(e t t e Var e E σ==)(,2121x x x x ≠为来自上述模型的样本观测值,试求模型参数2,e σφ的极大似然估计。
解:依题意2=n ,故无条件平方和函数为 212221212212222)1()()(x x x x x x x S t φφφφ-+=-+-=∑= 易见(见p113式(7.3.6))其对数似然函数为 )(21)1log(21)log()2log(),(2222φσφσπσφS e e e --+--= 所以对数似然方程组为⎪⎪⎩⎪⎪⎨⎧=∂∂=∂∂0),(0),(222φσφσσφe e e,即⎪⎪⎩⎪⎪⎨⎧=-+-=-+02122222122212221e e x x x x x x σφφσφ。
解之得()()⎪⎪⎩⎪⎪⎨⎧+-=+=22212222122221212ˆ2ˆx x x x x x x x εσφ。
五、计算题(每小题6分,共12分)判定下列模型的平稳性和可逆性。
(a) 114.08.0---+=t t t t e e Y Y (b)21215.06.14.18.0----++=+-t t t t t t e e e Y Y Y 解:(a)其AR 特征方程为: 08.01=-x ,其根25.1=x 的模大于1,故满足平稳性条件,该模型平稳。
其MA 特征方程为:04.01=-x ,其根5.2=x 的模大于1,故满足可逆性条件。
该模型可逆。
综上,该模型平稳可逆。
(b) 其AR 特征方程为: 04.18.012=+-x x ,其根为4.126.564.08.02,1⨯-±=x ,故其根的模为4.126.5⨯小于1,从而不满足平稳性条件。
该模型是非平稳的。
MA 特征方程为:05.06.112=++x x ,其有一根5.02256.26.1⨯-+-=x 的模小于1,故不满足可逆性条件。
所以该模型不可逆。
综上,该模型非平稳且不可逆。
六、计算题(每小题5分,共10分)某AR 模型的AR 特征多项式如下:)8.01)(7.07.11(122x x x -+- (1) 写出此模型的具体表达式。
(2) 此模型是平稳的吗?为什么? 解:(1)该模型为一个季节ARIMA 模型,其模型的具体表达式是(其中B 为延迟算子) t t e Y B B B =-+-)8.01)(7.07.11(122或者 t t t t t t t e Y Y Y Y Y Y =-+-+------1413122156.036.18.07.07.1。
(2)该模型是非平稳的,因为其AR 特征方程)8.01)(7.07.11(122x x x -+-=0有一根1=x 的模小于等于1,故不满足平稳性条件。
七、计算题(此题10分)设有如下AR(2)过程: t t t t e Y Y Y +-=--211.07.0,t e 为零均值方差为 1 的白噪声序列。
(a) 写出该过程的Yule-Walker 方程,并由此解出21,ρρ;(6分) (b) 求t Y 的方差。
(4分)解答:(a)其Yule-Walker 方程(见课本P55公式(4.3.30))为:⎩⎨⎧=-=-21111.07.01.07.0ρρρρ解之得 5519,11721==ρρ。
(b )由P55公式(4.3.31)得27516255191.01177.0111.07.01)(2120=⨯+⨯-=+-==ρρσγe t Y Var 。