高等工程数学训练题
- 格式:docx
- 大小:673.67 KB
- 文档页数:24
考试题及参考解答(参考)一、填空题(每小题3分,共15分) 1,设总体X 服从正态分布(0,4)N ,而1215(,,)X X X 是来自X 的样本,则221102211152()X X U X X ++=++服从的分布是_______ .解:(10,5)F .2,ˆnθ是总体未知参数θ的相合估计量的一个充分条件是_______ . 解:ˆˆlim (), lim Var()0n nn n E θθθ→∞→∞==. 3,分布拟合检验方法有_______ 与____ ___. 解:2χ检验、柯尔莫哥洛夫检验. 4,方差分析的目的是_______ .解:推断各因素对试验结果影响是否显著.5,多元线性回归模型=+Y βX ε中,β的最小二乘估计ˆβ的协方差矩阵ˆβCov()=_______ . 解:1ˆσ-'2Cov(β)=()X X . 二、单项选择题(每小题3分,共15分)1,设总体~(1,9)X N ,129(,,,)X X X 是X 的样本,则___B___ .(A )1~(0,1)3X N -; (B )1~(0,1)1X N -; (C )1~(0,1)9X N -; (D ~(0,1)N . 2,若总体2(,)XN μσ,其中2σ已知,当样本容量n 保持不变时,如果置信度1α-减小,则μ的置信区间____B___ .(A )长度变大; (B )长度变小; (C )长度不变; (D )前述都有可能.3,在假设检验中,就检验结果而言,以下说法正确的是____B___ . (A )拒绝和接受原假设的理由都是充分的;(B )拒绝原假设的理由是充分的,接受原假设的理由是不充分的; (C )拒绝原假设的理由是不充分的,接受原假设的理由是充分的; (D )拒绝和接受原假设的理由都是不充分的.4,对于单因素试验方差分析的数学模型,设T S 为总离差平方和,e S 为误差平方和,A S 为效应平方和,则总有___A___ .(A )T e A S S S =+; (B )22(1)AS r χσ-;(C )/(1)(1,)/()A e S r F r n r S n r ----; (D )A S 与e S 相互独立.5,在多元线性回归分析中,设ˆβ是β的最小二乘估计,ˆˆ=-εY βX 是残差向量,则___B____ . (A )ˆn E ()=0ε; (B )1ˆ]σ-''-εX X 2n Cov()=[()I X X ; (C )ˆˆ1n p '--εε是2σ的无偏估计; (D )(A )、(B )、(C )都对.三、(本题10分)设总体21(,)XN μσ、22(,)Y N μσ,112(,,,)n X X X 和212(,,,)n Y Y Y 分别是来自X 和Y 的样本,且两个样本相互独立,X Y 、和22X Y S S 、分别是它们的样本均值和样本方差,证明12(2)X Y t n n +-,其中2221212(1)(1)2X Yn S n S S n n ω-+-=+-.证明:易知221212(,)X YN n n σσμμ--+,(0,1)X Y U N =.由定理可知22112(1)(1)Xn S n χσ--,22222(1)(1)Yn S n χσ--.由独立性和2χ分布的可加性可得222121222(1)(1)(2)XYn S n S V n n χσσ--=++-.由U 与V 得独立性和t 分布的定义可得12(2)X Y t n n =+-.四、(本题10分)设总体X 的概率密度为1, 0,21(;), 1,2(1)0, x f x x θθθθθ⎧<<⎪⎪⎪=≤<⎨-⎪⎪⎪⎩其他,其中参数01)θθ<<( 未知,12()n X X X ,,,是来自总体的一个样本,X 是样本均值,(1)求参数;的矩估计量θθˆ(2)证明24X 不是2θ的无偏估计量.解:(1)101()(,)22(1)42x x E X xf x dx dx dx θθθθθθ+∞-∞==+=+-⎰⎰⎰,令()X E X =,代入上式得到θ的矩估计量为1ˆ22X θ=-. (2)222211141 (4)44[()]4()424E X EX DX EX DX DX n nθθθ⎡⎤==+=++=+++⎢⎥⎣⎦,因为()00D X θ≥>,,所以22(4)E X θ>.故24X 不是2θ的无偏估计量.五、(本题10分)设总体X 服从[0,](0)θθ>上的均匀分布,12(,,)n X X X 是来自总体X 的一个样本,试求参数θ的极大似然估计. 解:X 的密度函数为1,0;(,)0,x f x θθθ≤≤⎧=⎨⎩其他, 似然函数为1,0,1,2,,,()0,n i x i n L θθθ<<=⎧⎪=⎨⎪⎩其它显然0θ>时,()L θ是单调减函数,而{}12max ,,,n x x x θ≥,所以{}12ˆmax ,,,n X X X θ=是θ的极大似然估计.六、(本题10分)设总体X 服从(1,)B p 分布,12(,,)n X X X 为总体的样本,证明X 是参数p 的一个UMVUE .证明:X 的分布律为1(;)(1),0,1x x f x p p p x -=-=.容易验证(;)f x p 满足正则条件,于是21()ln (;)(1)I p E f x p p p p ⎡⎤∂==⎢⎥∂-⎣⎦.另一方面1(1)1Var()Var()()p p X X n n nI p -===, 即X 得方差达到C-R 下界的无偏估计量,故X 是p 的一个UMVUE .七、(本题10分)某异常区的磁场强度服从正态分布20(,)N μσ,由以前的观测可知056μ=.现有一台新仪器, 用它对该区进行磁测, 抽测了16个点, 得261, 400x s ==, 问此仪器测出的结果与以往相比是否有明显的差异(α=0.05).附表如下:t 分布表 χ2分布表解:设0H :560==μμ.构造检验统计量)15(~0t ns X t μ-=, 确定拒绝域的形式2t t α⎧⎫>⎨⎬⎩⎭.由05.0=α,定出临界值1315.2025.02/==t t α,从而求出拒绝域{}1315.2>t .而60,16==x n ,从而 ||0.8 2.1315t ===<,接受假设0H ,即认为此仪器测出的结果与以往相比无明显的差异.八、(本题10分)已知两个总体X 与Y 独立,211~(,)X μσ,222~(,)Y μσ,221212, , , μμσσ未知,112(,,,)n X X X 和212(,,,)n Y Y Y 分别是来自X 和Y 的样本,求2122σσ的置信度为1α-的置信区间.解:设布定理知的样本方差,由抽样分,分别表示总体Y X S S 2221 , []/2121/212(1,1)(1,1)1P F n n F F n n ααα---<<--=-, 则222221211221/2122/212//1(1,1)(1,1)S S S S P F n n F n n αασασ-⎛⎫<<=- ⎪----⎝⎭,所求2221σσ的置信度为α-1的置信区间为 222212121/212/212//, (1,1)(1,1)S S S S F n n F n n αα-⎛⎫ ⎪----⎝⎭. 九、(本题10分)试简要论述线性回归分析包括哪些内容或步骤.答:建立模型、参数估计、回归方程检验、回归系数检验、变量剔除、预测。
高等工程数学考研真题试卷一、选择题(每题3分,共30分)1. 设函数\( f(x) \)在点\( x_0 \)处可导,且\( f'(x_0) \neq 0 \),则\( f(x) \)在\( x_0 \)处的切线斜率为:A. \( f(x_0) \)B. \( f'(x_0) \)C. \( x_0 \)D. \( 0 \)2. 线性代数中,若矩阵\( A \)可逆,则下列哪个说法是正确的?A. \( A \)是对称矩阵B. \( A \)是正交矩阵C. \( A \)的行列式不为零D. \( A \)是单位矩阵3. 根据概率论,若随机变量\( X \)服从正态分布\( N(\mu,\sigma^2) \),则其期望值和方差分别是:A. \( \mu, \sigma \)B. \( \sigma, \mu \)C. \( \mu, \sigma^2 \)D. \( \sigma, \sigma^2 \)4. 常微分方程\( y'' - 2y' + y = 0 \)的特征方程是:A. \( r^2 - 2r + 1 = 0 \)B. \( r^2 - 2r + 2 = 0 \)C. \( r^2 + 2r + 1 = 0 \)D. \( r^2 - 2r - 1 = 0 \)5. 在多元函数极值问题中,若函数\( f(x, y) \)在点\( (x_0, y_0) \)处取得极小值,则下列说法正确的是:A. 在该点处,\( f(x, y) \)的一阶偏导数都为零B. 在该点处,\( f(x, y) \)的二阶偏导数都为正C. 在该点处,\( f(x, y) \)的Hessian矩阵是正定的D. 在该点处,\( f(x, y) \)的梯度向量为零二、填空题(每题4分,共20分)6. 若函数\( f(x) = 3x^3 - 2x^2 + x - 5 \),则\( f''(x) \)的值为________。
全国2007年4月高等教育自学考试高等数学(工专)试题一、单项选择题(本大题共5小题,每小题2分,共10分)在每小题列出的四个备选项中只有一个是符合题目要求的,请将其代码填写在题后的括号内。
错选、多选或未选均无分。
1.下列各对函数中,互为反函数的是( ) A .y=sinx,y=cosx B .y=e x ,y=e -x C .y=tanx,y=cotxD .y=2x,y=2x2.当x →+∞时,下列变量中为无穷大量的是( ) A .x1 B .ln(1+x) C .sinx D .e -x3.级数++++43225252525( )A .收敛B .的敛散性不能确定C .发散D .的和为+∞4.设f(x)可微,则d(e f(x))=( ) A .f’(x)dx B .e f(x)dx C .f’(x)e f(x) dx D .f’(x)de f(x)5.矩阵A=⎥⎦⎤⎢⎣⎡d cb a 为非奇异矩阵的充要条件是( )A .ad-bc=0B .ad-bc ≠0C .ab-cd=0D .ab-cd ≠0二、填空题(本大题共10小题,每小题3分,共30分) 6.曲线y=e x 在点(0,1)处的切线方程为________. 7.设函数f(x)=⎩⎨⎧>≤-0x ,x 0x ,1x 2,则极限)x (f limx →________.8.设y=x(x+1)(x+2),则0x dxdy ==________.9.不定积分⎰=dx x1cosx12________.10.dxd ⎰x20)dt 2t sin(=________.11.设由参数方程x=dxdy ),x (y y t 1y ,2t2则确定的函数为=-==________.12.曲线y=1+2)3x (x 36+的铅直渐近线为________.13.无穷限反常积分⎰+∞-0x5dxe=________.14.矩阵310010011⎥⎥⎥⎦⎤⎢⎢⎢⎣⎡=________.15.行列式631321111=________.三、计算题(本大题共8小题,每小题6分,共48分) 16.求极限5x 4x 1lim 5x ---→.17.设y='y ,)3x (x 1x 3求--.18.求由方程y=1+xe y 所确定的隐函数y=y(x)的导数dxdy .19.确定函数f(x)=e x -x-1的单调区间. 20.求不定积分⎰-dx)x cot x (csc x csc.21.求微分方程(1+y)dx-(1-x)dy=0的通解. 22.计算定积分⎰--+1122dx)x1x (.23.λ为何值时,线性方程组⎪⎩⎪⎨⎧=++λ=+λ+=λ++1x x x 1x x x 1x x x 321321321有唯一解?四、综合题(本大题共2小题,每小题6分,共12分)24.从一块边长为a 的正方形铁皮的四个角各截去一个大小相等的方块,做成一个无盖的盒子,问截去的方块边长为多少时,所做成的盒子容积最大?25.求由曲线y=x3与直线x=2,y=0所围平面图形绕x 轴旋转一周而成的旋转体的体积.全国2007年7月高等教育自学考试高等数学(工专)试题一、单项选择题(本大题共5小题,每小题2分,共10分) 1.函数1)ln(4)(2-+-=x xx f 的定义域是( )A .(-∞,+∞)B .(-2,2)C .(1,+∞)D .(]2,12.下列函数中是偶函数的为( ) A .1+=x y B .xey 2=C .3ln =yD .x y sin =3.=+⋯+++∞→)41414141(lim 32nn ( )A .41B .31C .21D .344.设⎪⎩⎪⎨⎧==-,2,3tte y e x 则=dxdy ( )A .te232 B .te232-C .yx -D .-xy5.线性方程组⎩⎨⎧=+-=+23,122121x x x x λ无解,则( )A .6-≠λB .6-=λC .6=λD .8=λ二、填空题(本大题共10小题,每小题3分,共30分)请在每小题的空格中填上正确答案。
数值分析(计算方法)部分一. (8分)求一个次数不高于3的多项式)(x f ,使它满足:(1)1,(0)0,f f -==(1)1,(2)16,f f ==,并求差商[2,1,0,2]f --的值。
解:商差表:-1 1 0 0 -111112 16 15 7 2∴ f(x)=1-(x+1)+x(x+1)+2(x+1)x(x-1)=2x 3+x 2-2x∴ (3)f()23!f [2,1,0,2]23!3!ξ⨯--===二.(10分)用迭代法求解方程:2ln 40x x --=的所有实数根(要求判断根的个数及范围,构造收敛的迭代格式,并且求出精确到610-的近似根)。
解:设f(x)=x 2-lnx-4,显然x>0 f ’(x)=2x-1/x ,故f(x)在(0,2)上单调递减,在(2,+∞)上单调递增又x →0+时 f(x)→-4,f(2)=1/2-ln2-4<0∴x ∈(0,2)时f(x)<0又x →+∞时 f(x)→+∞∴方程有且仅有一个实根x *,并且x *∈(2,+∞)容易计算出,f(2)=-ln2<0,f(3)=5-ln3>0∴方程有且仅有一个实根x *,并且x *∈(2,3) 选用Neuton 迭代法2k k k k 1k k k k kf (x )x ln x 4x x x 1f '(x )2x x +--=-=--(k=0,1,2,……)它在单根x *附近至少平方收敛 计算,选取x 0=2x 1=2.1980421,x 2=2.1869229,x 3=2.1868881,x4=2.1868881 精确到10-6的近似根为2.186888三.(12分)1.用列主元素法解方程组: 123422351121242532713230x x x x ---⎛⎫⎛⎫⎛⎫ ⎪ ⎪ ⎪- ⎪ ⎪ ⎪= ⎪ ⎪ ⎪- ⎪ ⎪ ⎪⎝⎭⎝⎭⎝⎭ 2.写出用 G auss Seidel - 迭代法求解线性方程组1231231232231242122316x x x x x x x x x -++=⎧⎪-++=⎨⎪++=⎩ 的迭代格式,并讨论其收敛性。
1高等工程数学题一、非空集合V 为数域P 上的线性空间,α∈V ,λ∈P ,θ为零元素,证明性质:1、0·α=θ 2、λ·θ=θ 3、(-1)α=-α 证明:1、∵α+0·α=(1+0)·α=α,由线性空间运算规则第3条规则 ∴0·α=θ 2、∵当λ≠0时,α+λ·θ=λ·(1/λ·α)+λ·θ=λ·(1/λ·α+θ) /由线性空间运算规则第3条规则λ·(1/λ·α+θ)= λ·(1/λ·α)= α /当λ=0时,α+λ·θ=α+0=α/由线性空间运算规则第3条规则 ∴λ·θ=θ3、∵α+(-1)α=(1+(-1))α=0·α=θ 由线性空间运算规则第4条规则 ∴(-1)α=-α二、在R 4中,有两组基:(1)α1=(1,0,0,0);α2=(0,1,0,0);α3=(0,0,1,0);α4=(0,0,0,1). (2)β1=(2,1,-1,1);β2=(0,3,1,0);β3=(5,3,2,1);β4=(6,6,1,3).求:1)从第(1)组到第(2)组基的过渡矩阵;2)向量χ=(ξ1,ξ2,ξ3,ξ4)对第(2)组基的坐标;3)对两组基有相同坐标的非零向量。
解:1)根据题意可得:β1=2α1+α2-α3+α4;β2=3α2+α3;β3=5α1+3α2+2α3+α4;β4=6α1+6α2+α3+3α 4由上式及(α1,α2,α3,α4)·A=(β1,β2,β3,β4)可得过渡矩阵A 为:A=⎥⎥⎥⎥⎦⎤⎢⎢⎢⎢⎣⎡-3111211633165022) 设χ´为χ对第(2)基的坐标,则χ´=A -1·χ,下面通过坐标变换求A -1⎥⎥⎥⎥⎦⎤⎢⎢⎢⎢⎣⎡-10003101010012110010633100016502=⎥⎥⎥⎥⎦⎤⎢⎢⎢⎢⎣⎡-10003101010012110001650200106331=⎥⎥⎥⎥⎦⎤⎢⎢⎢⎢⎣⎡--------10103230011075400021616000106331=⎥⎥⎥⎥⎦⎤⎢⎢⎢⎢⎣⎡-----10103230110043102001030000106331=⎥⎥⎥⎥⎦⎤⎢⎢⎢⎢⎣⎡--43109700200103001100431010003101=⎥⎥⎥⎥⎦⎤⎢⎢⎢⎢⎣⎡-----3/26313/79003/2003/10100310140103/5003/13001=⎥⎥⎥⎥⎦⎤⎢⎢⎢⎢⎣⎡-------27/263/19/127/710003/2003/1010027/233/19/427/100109/1113/19/40001=⎥⎥⎥⎥⎦⎤⎢⎢⎢⎢⎣⎡-------27/263/19/127/710003/2003/1010027/233/19/427/100109/1113/19/40001 ∴A -1=⎥⎥⎥⎥⎦⎤⎢⎢⎢⎢⎣⎡-------27/263/19/127/73/2003/127/233/19/427/19/1113/19/4 ∴向量χ对第(2)组基的坐标为⎪⎪⎩⎪⎪⎨⎧++--=-=--+=--+=432144134321243211*27/263/1*9/1*27/7'*3/2*3/1'*27/23*3/1*9/4*27/1'*9/11*3/1*9/4'ξξξξξξξξξξξξξξξξξξ3)根据题意令χ´=χ,则⎪⎪⎩⎪⎪⎨⎧++--=-=--+=--+=432144134321243211*27/263/1*9/1*27/7*3/2*3/1*27/23*3/1*9/4*27/1*9/11*3/1*9/4ξξξξξξξξξξξξξξξξξξ 解方程组得ξ1=ξ2=ξ3=-ξ4,根据题意,存在任意非零向量(c,c,c,-c)(c ≠0)对两组基有相同坐标.三、设向量组1)α1=(1,0,2,1);α2=(2,0,1,-1);α3=(3,0,3,0),2)β1=(1,1,0,1);β2=(4,1,3,1). 若V 1=L(α1,α2,α3),V 2=L(β1,β2),求V 1+ V 2的维数及一组基。
高等工程数学练习题一、填空题1. 对方程()ln(2)0f x x x =-+=,写出该方程存在正数根的一个区间 ,构造迭代公式 ,使其产生的序列{}n x 可以收敛于方程的这个正数根*x ;2. 用Cholesky (乔勒斯基) 分解法求解方程:1239631861311303113549x x x ⎡⎤⎡⎤⎡⎤⎢⎥⎢⎥⎢⎥=⎢⎥⎢⎥⎢⎥⎢⎥⎢⎥⎢⎥⎣⎦⎣⎦⎣⎦则:L = ; 方程组的解x = ; 3.建立最优化模型的三要素: ; ; ; 4.已知函数411.0)4.0(=f , 578.0)5.0(=f , 697.0)6.0(=f ,用此函数表作Newton 插值多项式,那么插值多项式2x 的系数是 ;5.设总体2220~(,),X N μσσσ=已知,X 是样本均值,在检验假设00:H μμ=时选用的检验统计量为 ,拒绝域为 ;6. 设总体X 服从],0[θ上的均匀分布,则θ的矩法估计为 ,极大似然估计为 ; 7.影响数学模型求解结果的误差有: , , 。
8.已知)(x f y =在区间],[b a 上通过点(,),0,1,2,,i i x y i n =,则其三次样条插值函数)(x S 是满足 , , ;9. 若函数3()230f x x x =-=, 给出该方程存在正根的区间 , 该方程的Newton 迭代公式是 ;10. 给出线性规划标准型的特点: 、 、 ; 11.求解无约束非线性最优化问题的下降迭代算法中,下降方向应该满足的条件是:; 12.已知函数)(x f y =过点(,),0,1,2,,i i x y i n =,[,]i x a b ∈,设函数)(x S 是()f x 的三次样条插值函数,则)(x S 满足的三个条件是 ;13.在进行单因子方差分析中,A 因子取五个水平,共进行了25N =次试验,通过计算得到1600;8500SSA SST ==,因此A F = ,而0.05(4,20)2.87F =,A 因子对试验指标 显著性影响。
高等工程数学练习题 (2012年12月16)1. n 位男士和n 位女士排成一行,要求男女相间,求有多少种不同的排法?把n 个男、n 个女分别进行全排列,然后按乘法法则放到一起,而男女分别在前面,应该再乘2,即方案数为2·(n!) 个2. n 个人围圆圈坐下做游戏,求不同的坐法数?若某两人不愿坐在一起,有多少种不同的坐法? 若有3人总是坐在一起,又有多少种不同的坐法? A: Q(n ,n)=(n-1)!;B: Q(n ,n)- Q(n-1,n-1) *2!=(n-1)!- (n-2)! *2! C: Q(n-2,n-2) *3!= (n-3)! *3!3. 书架上有一部24卷的百科全书,现要从中取出5本,使得没有两本书是连续的,问有多少种不同的取法? C(24-5+1,5)=C(20,5)4. 设{1,2,3,,(1)}.A n =+ (1)证明最大元素恰为j 的子集的个数是12j -;(2)证明:2112222 1.m m +++++=-A 、最大元素恰为j 的子集的个数,相当于前j-1个元素,每个元素出现或不出现的情况构成的所有子集的数量,每个元素出现或不出现2种可能,因此j-1个2相乘即为所有的情况,即12j -。
B:等比数列a1=2,q=2右侧为1+(2*(1-2^m )/1-2)=2^(m+1)-2+1=2^(m+1)-1=左侧5. 证明等式: 22222012n n n n n n n ⎛⎫⎛⎫⎛⎫⎛⎫⎛⎫++++= ⎪ ⎪ ⎪ ⎪ ⎪⎝⎭⎝⎭⎝⎭⎝⎭⎝⎭C(n 0)*C(n 0)=C(n 0)*C(n n); C(n 1)*C(n 1)=C(n 1)*C(n n-1); ……C(n k)*C(n k)=C(n k)*C(n n-k) ,K=0~nC(n k)相当于(0 0)到直线{(n 0)(0 n)}上的某点(n-k,k )的路径 C(n n-k) 相当于直线{(n 0)(0 n)}上的某点(n-k,k )到(n n )的路径根据乘法原理 C(n k)*C(n n-k)相当于(0 0)点通过直线{(n 0)(0 n)}上的某点(n-k,k )到(n n )的路径左侧为(0 0)点通过直线{(n 0)(0 n)}上所有点到(n n )的路径相加由于(0 0)点到达(n n )的所有路径均通过直线{(n 0)(0 n)},所以根据加法原理左侧为(0 0)点到(n n )的所有路径即等于(2n n ) 6. 证明恒等式: 11221011220n r n r n r n m r mn r m m m m m -+-+-+++⎛⎫⎛⎫⎛⎫⎛⎫⎛⎫⎛⎫⎛⎫⎛⎫⎛⎫++++=⎪ ⎪ ⎪ ⎪⎪ ⎪ ⎪ ⎪ ⎪--⎝⎭⎝⎭⎝⎭⎝⎭⎝⎭⎝⎭⎝⎭⎝⎭⎝⎭(-r-1,0)到(-1,i)路径为c(r+i,i)(-1,i)到(0,i)路径为1(0,i)到(n-m,m)路径为c(n-i.m-i)根据乘法原理,c(r+i,i) c(n-i.m-i)为(-r-1,0)经过(-1,i)到(0,i)再到(n-m,m)点的路径 左侧为i 取0至m ,(-r-1,0)经过(-1,i)到(0,i)再到(n-m,m)点的路径之和, 右侧围(-r-1,0)到(n-m,m)点的路径 左右相等7. 求不定方程123(,)n x x x x r n r Z +++++=∈的非负整数解的个数;设r n ≥,求不定方程的正整数解的个数. C (n+r-1,r )C(n+r-n-1,r-n)=c(r-1,r-n),相当于每盒先放一个球,球数量变成r-n ,再求解。
工程数学试题及答案高级专工程数学试题及答案(高级专科)一、单项选择题(每题3分,共30分)1. 极限的定义中,当x趋近于a时,f(x)的极限为L,意味着()。
A. f(x) = LB. |f(x) - L| < ε,对任意的ε > 0,存在δ > 0,使得0 < |x - a| < δ时成立C. |f(x) - L| = 0D. f(x) ≠ L答案:B2. 函数f(x) = x^2在x=0处的导数为()。
A. 0B. 1C. 2D. -1答案:B3. 以下哪个函数是奇函数?()A. f(x) = x^2B. f(x) = x^3C. f(x) = x^4D. f(x) = x答案:B4. 以下哪个函数是周期函数?()A. f(x) = e^xB. f(x) = sin(x)C. f(x) = ln(x)D. f(x) = x^2答案:B5. 以下哪个积分是发散的?()A. ∫(0, +∞) e^(-x) dxB. ∫(0, +∞) x^2 dxC. ∫(0, +∞) e^x dxD. ∫(0, +∞) 1/x dx答案:D6. 以下哪个是二阶常系数线性微分方程?()A. y'' + 2y' + y = 0B. y'' + 2y' + 3y = 0C. y'' + y' + y = 0D. y'' + y' = 0答案:A7. 以下哪个是二阶偏导数?()A. ∂^2f/∂x∂yB. ∂^2f/∂x^2C. ∂^2f/∂y^2D. ∂^2f/∂x∂y^2答案:A8. 以下哪个是线性方程组的解?()A. {x=1, y=2}B. {x=0, y=0}C. {x=1, y=1}D. {x=2, y=3}答案:C9. 以下哪个是矩阵的特征值?()A. λ = 1B. λ = 2C. λ = 3D. λ = 4答案:A10. 以下哪个是傅里叶级数的系数?()A. a_nB. b_nC. c_nD. d_n答案:A二、填空题(每题4分,共20分)11. 函数f(x) = sin(x)在x=π/2处的导数为______。
高等工程数学模拟题1. 求矩阵 ⎥⎥⎥⎦⎤⎢⎢⎢⎣⎡--=41130 1621A 的Jordan 标准型及相似变换矩阵。
2. 设⎥⎥⎥⎦⎤⎢⎢⎢⎣⎡-=1 010 21103A ,求可逆阵P ,使AP P 1-为Jordan 阵。
3. 求I A A A A A g ++--=232)(345其中 ⎥⎥⎥⎦⎤⎢⎢⎢⎣⎡=1 000 21002A 4. 讨论级数kk kak∑∞=⎥⎦⎤⎢⎣⎡-1124 1(0>a )的敛散性。
5.⎥⎦⎤⎢⎣⎡=1021A ,求Ae ,A sin ,A cos 。
6.⎥⎦⎤⎢⎣⎡=1711A ,求A ln 。
7.(1)证明向量微分方程)()(t X A t X dtd ⋅=的通解为be t X At⋅=)(,b 为任意常数向量。
(2)求微分方程组⎪⎪⎩⎪⎪⎨⎧-=-=212211232xx dtdx x x dtdx 的通解。
8.设线性变换T 在基[][]{}TT 1,1,1,121-==αα的矩阵表示是:⎥⎦⎤⎢⎣⎡=1101A 。
(1)求T 在基[][]{}TT1,1,0,121-==εε下的矩阵表示。
(2)求T 的核与值域。
(3)求T 的特征值与特征向量。
9.设12,,n X X X 是总体的一组样本,12,,n x x x 为相应的样本值。
求下述各总体的密度函数或分布律中的未知参数的二阶矩估计量。
(1)(1),()0,c x x cf x others θθθ-+⎧>==⎨⎩其中0c >为已知,1θ>,θ为未知参数。
(2)1,01()0,x f x others≤≤=⎪⎩其中0θ>,θ为未知参数。
(3)()(1),0,1,2,,,01,x xm x m P X x C p p x m p p -==-=<< 为未知参数。
注:泊松定理:lim (1)()!k kk n knn e C p p np k λλλ--→∞-==10.设某种电子器件的寿命(以小时计)T 服从双参数的指数分布,其概率密度为:()1,()0,t c et c f t othersθθ--⎧≥⎪=⎨⎪⎩其中,(,0)c c θθ>为未知参数自一批这种器件随机地取n 件进行寿命试验,设它们的失效时间依次为12n x x x ≤≤≤ ,求θ与c 的极大似然估计。
1.有5面不同颜色的旗帜,20种不同的盆花,排成两端是两面旗帜,中间放3盆花的形式。
试问有多少种不同的方案数?2.有男运动员7名,女运动员3名,列队进场。
(1)若要求头尾两名运动员必须是男生,且女运动员不相邻,有多少种方案?(2)若女运动员排在一起,并且排在队的头尾两端,有多少种方案?(3)只要女运动员排在一起,又有多少种方案?3.求由1,3,5,7不重复出现的组成的整数之和。
4.有5个女生和7个男生要租一个5人小组。
(1)没有特殊要求,有多少种方案?(2)要求该小组不允许男生甲和女生乙同时参加,有多少种方案?(3)某男甲和某女乙两人中必须有一人参加,有多少种方案?(4)某男甲和某女乙必须同时参加,有多少种方案。
5.从1,2,3…1000中选出三个数,有多少种选法使得所选的三个整数的和能被3整除。
6.用字母A,B,C组成5个字母的符号。
要求每个符号里,A之多出现2次,B至多出现1次,C至多出现3次。
求此类符号的个数。
7.共5对夫妇出席一个宴会,围一圆桌坐下,试问有几种不同的坐法?要求每对夫妇相邻又如何?8.求解特征方程:9.求解特征方程:10.S={1,2,3…600},求其中能被2,3,5整除的数的集合。
11.设a1,a2,…,a100是由1和2组成的序列。
已知从其中任意一个数开始的顺序中连续10个数的和不超过16,即1≤i≤91恒有a i,a i+2,…,a i+9≤16。
证明:至少存在h和k(h<k),使得a h+a h+1+a k=39。
12.在整数集Z上,定义运算○:任意a,b属于Z。
a○b=a+b+4。
证明:Z关于○运算时群。
13.求最小生成树:答题纸:(1)(2)(3)(5)(7)(8)(9)(11)(13)。
大学工程数学试题及答案一、选择题(每题3分,共30分)1. 以下哪个选项是微分方程的解?A. \( y = e^x \)B. \( y = e^{-x} \)C. \( y = x^2 \)D. \( y = \ln(x) \)答案:A2. 矩阵的行列式值表示了什么?A. 矩阵的面积B. 矩阵的体积C. 矩阵的旋转角度D. 矩阵的缩放因子答案:D3. 以下哪个是线性代数中的基本概念?A. 微分B. 积分C. 向量空间D. 极限答案:C4. 傅里叶变换用于解决什么问题?A. 微分方程B. 积分方程C. 信号处理D. 线性代数答案:C5. 欧拉公式 \( e^{ix} = \cos(x) + i\sin(x) \) 中,\( i \) 代表什么?A. 虚数单位B. 矩阵C. 行列式D. 向量答案:A6. 以下哪一项是拉普拉斯变换的基本性质?A. 线性性质B. 微分性质C. 积分性质D. 反演性质答案:A7. 泰勒级数展开是用于什么目的?A. 近似计算B. 精确计算C. 矩阵计算D. 向量计算答案:A8. 以下哪个函数是周期函数?A. \( y = x^2 \)B. \( y = e^x \)C. \( y = \sin(x) \)D. \( y = \ln(x) \)答案:C9. 以下哪一项是偏微分方程的解?A. \( u(x, y) = x^2 + y^2 \)B. \( u(x, y) = e^{x+y} \)C. \( u(x, y) = \ln(x+y) \)D. \( u(x, y) = \sin(x)\cos(y) \)答案:D10. 以下哪个选项是复数的性质?A. 可加性B. 可乘性C. 可除性D. 所有选项答案:D二、填空题(每题4分,共20分)1. 如果 \( f(x) = x^3 - 6x^2 + 11x - 6 \),则 \( f'(x) \) 等于 _______。
答案:\( 3x^2 - 12x + 11 \)2. 矩阵 \( A = \begin{bmatrix} 1 & 2 \\ 3 & 4 \end{bmatrix} \) 的行列式 \( \det(A) \) 等于 _______。
《高等工程数学》试题一、 设总体X 具有分布律其中(01)θθ<<为未知参数,已知取得了样本值1231,2,1x x x ===,求θ的矩估计和最大似然估计.解:(1)矩估计:2222(1)3(1)23EX θθθθθ=+⨯-+-=-+14(121)33X =++=令EX X =,得5ˆ6θ=. (2)最大似然估计:2256()2(1)22L θθθθθθθ=⋅⋅-=-45ln()10120d d θθθθ=-= 得5ˆ6θ= 二、(本题14分)某工厂正常生产时,排出的污水中动植物油的浓度)1,10(~N X ,今阶段性抽取10个水样,测得平均浓度为10.8(mg/L ),标准差为1.2(mg/L ),问该工厂生产是否正常?(220.0250.0250.9750.05,(9) 2.2622,(9)19.023,(9) 2.700t αχχ====)解:(1)检验假设H 0:σ2=1,H 1:σ2≠1; 取统计量:2022)1(σχs n -=;拒绝域为:χ2≤)9()1(2975.0221χχα=--n =2.70或χ2≥2025.022)1(χχα=-n =19.023, 经计算:96.1212.19)1(2222=⨯=-=σχs n ,由于)023.19,700.2(96.122∈=χ2,故接受H 0,即可以认为排出的污水中动植物油浓度的方差为σ2=1。
(2)检验假设101010≠'='μμ:,:H H ; 取统计量:10/10S X t -=~ )9(2αt ;拒绝域为2622.2)9(025.0=≥t t ;1028.210/2.1108.10=-=t <2.2622 ,所以接受0H ', 即可以认为排出的污水中动植物油的平均浓度是10(mg/L )。
综上,认为工厂生产正常。
三、 在单因素方差分析中,因素A 有3个水平,每个水平各做4次重复实验,完成下列方差分析表,在显著水平0.05α=下对因素A 是否显著做检验。
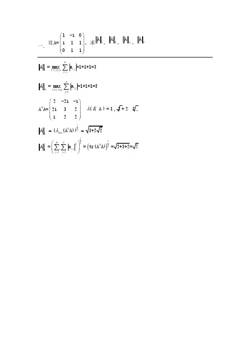
高等工程数学题(南理工高等工程数学考题)南京理工大学工程硕士高等工程数学学位课程考试试题(2010.3)(一)矩阵分析一.(6分)设,021320012-=A 求21,,A A A ∞值。
二.(8分)已知函数矩阵:22222222222223332t t t t t t Att t t t t t t t t tt t e e e e e e e e ee e e e e e e e e e ??--- ?=--- ? ?---?,求矩阵.A 。
三.(10分)已知矩阵822254245--=A ,()=099t t e e t b (1)求Ate ;(2)求解微分方程()()()()()??=+=T x t b t Ax dt t dx 2,0,10。
四.(10分)给定3R 的两个基()Tx 1,0,11= ()Tx 0,1,22= ()Tx 1,1,13=()Ty 1,2,11-= ()Ty 1,2,22-= ()Ty 1,1,23--=定义线性变换:i i y Tx = ()3,2,1=i(1)写出由基321,,x x x 到基321,,y y y 的过渡矩阵;(2)写出T 在基321,,x x x 下的矩阵;(3)写出T 在基321,,y y y 下的矩阵。
五.(8分)给定(){}R a a A Rij ij ∈==??2222(数域R 上的二阶实矩阵按矩阵的加法和数乘构成的线性空间)的子集 {}0221122=+∈=?a a R A V(1)证明V 是22?R的线性子空间;(2)求V 的一组基与维数。
六.(8分)设A 是实反对称矩阵,证明:A 的特征值为零或纯虚数。
(二)数值分析一.(8分)作一个五次多项式()x H ,使得()31=H ()12-=H ()34=H ()21='H ()12='H ()22=''H 二.(10分)分析方程 ()11=-xe x存在几个实根,用简单迭代格式求出这些根(精确到四位有效数字),并说明所用迭代格式是收敛的。
2019年高等工程数学试题答案一、(15分)设210120003⎛⎫⎪= ⎪ ⎪⎝⎭A ,计算()ρA 、225max =x Ax 及()2cond A 。
解:12321012001;3003λλλλλλλ---=--=⇒===-I A ()3ρ=A 2||||()3是正规矩阵ρ∴== A A A 2222515max 5max 5155==∞===x x xAx AA ()2331是正规矩阵∴== A cond A 二、(10分)讲述一下求解矩阵A 的最靠近*λ的特征值的思路、步骤。
答:**对使用逆幂法,求出其按模最小的特征值再加上。
λλ-A I 000u v =≠任取*11()max()k k k k k u A I v u v u λ--⎧=-⎪⎨=⎪⎩*1()max()k k kk k A I u v u v u λ-⎧-=⎪⎨=⎪⎩即**()A I P A I LUλλ--=对进行选列主元的三角分解有1max()k k k kk k k Ly PvUu y u v u -⎧⎪=⎪⎪∴=⎨⎪⎪=⎪⎩1max()max()k ik i u x v x λλ*⎧→⎪⎪⎨⎪→⎪⎩-有三、(18分)已知矩阵200226044-⎛⎫⎪= ⎪ ⎪⎝⎭A ,求P 使得1-P AP 为A 的Jordan 标准型,同时需要求出A 的Jordan 标准型。
解:200226044λλλλ+-=-----I A ()()23+28λλ=-D 211D D ==()()23+28λλ=-d 211d d ==初等因子:()()2+2 8,λλ-Jordan 标准形:2128-⎛⎫ ⎪=- ⎪ ⎪⎝⎭J 1123212,[]8令--⎛⎫⎪==-= ⎪ ⎪⎝⎭P AP J P p p p 11121223332[032]512[0]228[011]∴=-∴=-=-=-==TT TAp p p Ap p p p Ap p p 15002131,2201使得-⎛⎫⎪ ⎪⎪∴=-= ⎪ ⎪- ⎪⎝⎭P P AP J四、(20分)已知241111212,212211⎛⎫⎛⎫⎪ ⎪=-= ⎪ ⎪ ⎪ ⎪---⎝⎭⎝⎭A b ,(1)求A 的满秩分解;(2)求A +;(3)判断Ax b =是否有解,有解时求极小范数解,无解时求极小范数最小二乘解。
考试题及参考解答(参考)一、填空题(每小题3分,共15分) 1,设总体X 服从正态分布(0,4)N ,而1215(,,)X X X 是来自X 的样本,则221102211152()X X U X X ++=++服从的分布是_______ .解:(10,5)F .2,ˆnθ是总体未知参数θ的相合估计量的一个充分条件是_______ . 解:ˆˆlim (), lim Var()0n nn n E θθθ→∞→∞==. 3,分布拟合检验方法有_______ 与____ ___. 解:2χ检验、柯尔莫哥洛夫检验. 4,方差分析的目的是_______ .解:推断各因素对试验结果影响是否显著.5,多元线性回归模型=+Y βX ε中,β的最小二乘估计ˆβ的协方差矩阵ˆβCov()=_______ . 解:1ˆσ-'2Cov(β)=()X X . 二、单项选择题(每小题3分,共15分)1,设总体~(1,9)X N ,129(,,,)X X X 是X 的样本,则___B___ .(A )1~(0,1)3X N -; (B )1~(0,1)1X N -; (C )1~(0,1)9X N -; (D ~(0,1)N . 2,若总体2(,)XN μσ,其中2σ已知,当样本容量n 保持不变时,如果置信度1α-减小,则μ的置信区间____B___ .(A )长度变大; (B )长度变小; (C )长度不变; (D )前述都有可能.3,在假设检验中,就检验结果而言,以下说法正确的是____B___ . (A )拒绝和接受原假设的理由都是充分的;(B )拒绝原假设的理由是充分的,接受原假设的理由是不充分的; (C )拒绝原假设的理由是不充分的,接受原假设的理由是充分的; (D )拒绝和接受原假设的理由都是不充分的.4,对于单因素试验方差分析的数学模型,设T S 为总离差平方和,e S 为误差平方和,A S 为效应平方和,则总有___A___ .(A )T e A S S S =+; (B )22(1)AS r χσ-;(C )/(1)(1,)/()A e S r F r n r S n r ----; (D )A S 与e S 相互独立.5,在多元线性回归分析中,设ˆβ是β的最小二乘估计,ˆˆ=-εY βX 是残差向量,则___B____ . (A )ˆn E ()=0ε; (B )1ˆ]σ-''-εX X 2n Cov()=[()I X X ; (C )ˆˆ1n p '--εε是2σ的无偏估计; (D )(A )、(B )、(C )都对.三、(本题10分)设总体21(,)XN μσ、22(,)Y N μσ,112(,,,)n X X X 和212(,,,)n Y Y Y 分别是来自X 和Y 的样本,且两个样本相互独立,X Y 、和22X Y S S 、分别是它们的样本均值和样本方差,证明12(2)X Y t n n +-,其中2221212(1)(1)2X Yn S n S S n n ω-+-=+-.证明:易知221212(,)X YN n n σσμμ--+,(0,1)X Y U N =.由定理可知22112(1)(1)Xn S n χσ--,22222(1)(1)Yn S n χσ--.由独立性和2χ分布的可加性可得222121222(1)(1)(2)XYn S n S V n n χσσ--=++-.由U 与V 得独立性和t 分布的定义可得12(2)X Y t n n =+-.四、(本题10分)设总体X 的概率密度为1, 0,21(;), 1,2(1)0, x f x x θθθθθ⎧<<⎪⎪⎪=≤<⎨-⎪⎪⎪⎩其他,其中参数01)θθ<<( 未知,12()n X X X ,,,是来自总体的一个样本,X 是样本均值,(1)求参数;的矩估计量θθˆ(2)证明24X 不是2θ的无偏估计量.解:(1)101()(,)22(1)42x x E X xf x dx dx dx θθθθθθ+∞-∞==+=+-⎰⎰⎰,令()X E X =,代入上式得到θ的矩估计量为1ˆ22X θ=-. (2)222211141 (4)44[()]4()424E X EX DX EX DX DX n nθθθ⎡⎤==+=++=+++⎢⎥⎣⎦,因为()00D X θ≥>,,所以22(4)E X θ>.故24X 不是2θ的无偏估计量.五、(本题10分)设总体X 服从[0,](0)θθ>上的均匀分布,12(,,)n X X X 是来自总体X 的一个样本,试求参数θ的极大似然估计. 解:X 的密度函数为1,0;(,)0,x f x θθθ≤≤⎧=⎨⎩其他, 似然函数为1,0,1,2,,,()0,n i x i n L θθθ<<=⎧⎪=⎨⎪⎩其它显然0θ>时,()L θ是单调减函数,而{}12max ,,,n x x x θ≥,所以{}12ˆmax ,,,n X X X θ=是θ的极大似然估计.六、(本题10分)设总体X 服从(1,)B p 分布,12(,,)n X X X 为总体的样本,证明X 是参数p 的一个UMVUE .证明:X 的分布律为1(;)(1),0,1x x f x p p p x -=-=.容易验证(;)f x p 满足正则条件,于是21()ln (;)(1)I p E f x p p p p ⎡⎤∂==⎢⎥∂-⎣⎦.另一方面1(1)1Var()Var()()p p X X n n nI p -===, 即X 得方差达到C-R 下界的无偏估计量,故X 是p 的一个UMVUE .七、(本题10分)某异常区的磁场强度服从正态分布20(,)N μσ,由以前的观测可知056μ=.现有一台新仪器, 用它对该区进行磁测, 抽测了16个点, 得261, 400x s ==, 问此仪器测出的结果与以往相比是否有明显的差异(α=0.05).附表如下:t 分布表 χ2分布表解:设0H :560==μμ.构造检验统计量)15(~0t ns X t μ-=, 确定拒绝域的形式2t t α⎧⎫>⎨⎬⎩⎭.由05.0=α,定出临界值1315.2025.02/==t t α,从而求出拒绝域{}1315.2>t .而60,16==x n ,从而 ||0.8 2.1315t ===<,接受假设0H ,即认为此仪器测出的结果与以往相比无明显的差异.八、(本题10分)已知两个总体X 与Y 独立,211~(,)X μσ,222~(,)Y μσ,221212, , , μμσσ未知,112(,,,)n X X X 和212(,,,)n Y Y Y 分别是来自X 和Y 的样本,求2122σσ的置信度为1α-的置信区间.解:设布定理知的样本方差,由抽样分,分别表示总体Y X S S 2221 , []/2121/212(1,1)(1,1)1P F n n F F n n ααα---<<--=-, 则222221211221/2122/212//1(1,1)(1,1)S S S S P F n n F n n αασασ-⎛⎫<<=- ⎪----⎝⎭,所求2221σσ的置信度为α-1的置信区间为 222212121/212/212//, (1,1)(1,1)S S S S F n n F n n αα-⎛⎫ ⎪----⎝⎭. 九、(本题10分)试简要论述线性回归分析包括哪些内容或步骤.答:建立模型、参数估计、回归方程检验、回归系数检验、变量剔除、预测。
《高等工程数学》训练题I 、矩阵论部分1、 在线性空间V=R 2×2中,⎪⎪⎭⎫⎝⎛=⎪⎪⎭⎫ ⎝⎛=⎪⎪⎭⎫ ⎝⎛=⎪⎪⎭⎫ ⎝⎛=1111,0111,0011,00014321ββββ是V 的一个基,则a b c d V α⎛⎫∀=∈⎪⎝⎭,α在{}4321,,,ββββ下的坐标为⎪⎪⎪⎪⎪⎭⎫⎝⎛---d dc c b b a 。
2、设α1=(1,1,-2,1),α2=(2,7,1,4), α3=(-3,2,11,-1), β1=(1,0,0,1), β2=(1,6,3,3),令V 1=L(α1,α2, α3),V 2=L(β1, β2),(1)求dim(V 1+V 2)及V 1+V 2的一个基; (2)求)V dim (V 21I 。
解:(1)对下列矩阵施行如下初等行变换⎪⎪⎪⎪⎪⎭⎫⎝⎛-→⎪⎪⎪⎪⎪⎭⎫⎝⎛--→⎪⎪⎪⎪⎪⎭⎫ ⎝⎛--→⎪⎪⎪⎪⎪⎭⎫⎝⎛--→⎪⎪⎪⎪⎪⎭⎫⎝⎛---==00000010*******113210100002000101101132151550525501011011321'20220525505155011321311413011126027111321)(21321TT T T T A ββααα∴r(A)=3∴r(α1, α2, α3, β1, β2)=3 ∴dim(V 1+V 2)=3可选{α1, α2, β1}为V 1+V 2的基(2)∵dim V 1=r{α1, α2, α3}=2,dimV 2=r{β1, β2}=2∴dim(V 1∩V 2)=dimV 1+dimV 2-dim(V 1+V 2)=2+2-3=1 。
3、设V 是数域F 上的n 维线性空间,T 是V 的一个线性变换,证明(1)dimT(V)+dimker(T)=n 。
(2)若T 在{}12,,,n αααL 下对应矩阵为A ,则rankT=dimT(V)=r(A)。
证:令t=dimker(T)取12,,,t αααL 是ker(T)的一个基,扩充得121,,,,,t t n ααααα+L L 是V 的一个基。
下证1t n T T αα+L 是T(V)的一个基 (略)4、设V=R 2中线性变换T 1在基⎪⎪⎭⎫ ⎝⎛=⎪⎪⎭⎫ ⎝⎛=12,2121αα下的矩阵为1223⎛⎫ ⎪⎝⎭, 线性变换T 2在基⎪⎪⎭⎫ ⎝⎛=⎪⎪⎭⎫ ⎝⎛=21,1121ββ下的矩阵为3324⎛⎫⎪⎝⎭ (1)求T 1+T 2在基β1,β2下对应矩阵;(2)设⎪⎪⎭⎫⎝⎛=33δ,求δ1T 在基α1,α2下的坐标;(3)求δ2T 在基β1,β2下的坐标。
思路:T1在基β1,β2下的矩阵B 1解:(1) ∵)(3111211ααβ+=⎪⎪⎭⎫ ⎝⎛=,2120121ααβ+=⎪⎪⎭⎫ ⎝⎛= ∴()()⎪⎪⎪⎪⎭⎫⎝⎛=0311312121ααββ 即从{}21,αα到{}21,ββ的过渡矩阵为⎪⎪⎪⎪⎭⎫⎝⎛=031131C 设T1在基β1,β2下的矩阵B 1,则 B 1=C -1A 1C ,其中 11223A ⎛⎫= ⎪⎝⎭。
所以 111111561233.21123100333B -⎛⎫⎛⎫⎛⎫⎪ ⎪⎛⎫ ⎪ ⎪ ⎪== ⎪ ⎪-- ⎪ ⎪⎝⎭ ⎪⎝⎭⎪ ⎪⎝⎭⎝⎭从而 T 1+T 2在基β1,β2下对应矩阵为 56893324132433⎛⎫⎛⎫⎛⎫ ⎪ ⎪+= ⎪ ⎪ ⎪--⎝⎭ ⎪ ⎪⎝⎭⎝⎭。
[ 或设()()C 2121ααββ=,即C ⎪⎪⎭⎫⎝⎛=⎪⎪⎭⎫ ⎝⎛12212111,求出C1*11a b d b C C C ad bc C c d c a -⎛⎫⎛⎫-=⇒==⎪ ⎪--⎝⎭⎝⎭](2) ∵2133ααδ+=⎪⎪⎭⎫⎝⎛=∴21111ααδT T T +=∵11121112121212212(,)(,)2323T T T T αααααααααα⎧=+⎛⎫⎪=⇒⎨⎪=+⎝⎭⎪⎩ ∴()()212121153322ααααααδ+=+++=T∴δ1T 在基21,αα下的坐标为⎪⎪⎭⎫⎝⎛53(3) ∵1333βδ=⎪⎪⎭⎫⎝⎛=∴1223βδT T =又()()⎪⎪⎭⎫⎝⎛=4233212212ββββT T∴⎩⎨⎧+=+=212221124323ββββββT T∴21122693βββδ+==T T∴δ2T 在β1,β2下的坐标为⎪⎪⎭⎫ ⎝⎛695、证明:Hermite 阵属于不同特征值的特征向量一定正交。
证:设n n C A ⨯∈,A A H =λ1, λ2是A 的两个互异的特征值,对应的特征向量分别取x 和y , 则Ax=λ1x ,Ay=λ2y (θθ≠≠∈y x C y x n ,,,) ∵A 为Hermite 阵 ∴R ∈21,λλ∴y H Ax=y H (Ax)=y H (λ1x)= λ1y H x另一方面,y H Ax=y H A H x=(Ay)H x=(λ2y)H x=x y H 2λ=λ2y H x ∵λ1y H x=λ2y H x ∴(λ1-λ2) y H x=0 ∵λ1-λ2≠0 ∴(x,y)= y H x=0 ∴x 与y 正交。
6、设⎪⎪⎪⎭⎫ ⎝⎛-=110026011A ,求P 将A 相似化简为 Jordan 标准型J 。
解:分析,取⎪⎪⎪⎭⎫⎝⎛=⎪⎪⎪⎭⎫ ⎝⎛--=32100100400011001λλλJ (λ1=λ2=-1, λ3=4为A 的特征值),设P=(x 1,x 2,x 3)——可逆阵,()()()()()()()11121212213333311212333321111233是A 对应的特征向量是A 对应的特征向量,是的一个非零解Ax x x P AP J AP PJ Ax x x Ax x x A E x x A E x A E x x A E x A E x A E x x A E x λλλλλλλθλθλθλθλλθ-⎧=+⎪=⇔=⇔=--⎨⎪=--⎩⎧-=⎪⎪⇔-=⎨⎪-=-=⎪⎩⎧-=⎪⎪⇔-=⎨⎪-=⎪⎩即可求P 。
7、已知⎪⎪⎪⎪⎪⎪⎪⎪⎭⎫⎝⎛---=⎪⎪⎭⎫ ⎝⎛=111111111121J J A ,求A 100 解:设f(λ)= λ100,则A 100=f(A)=12(1)(1)(1)(1)(1)(1)()2!()(1)(1)(1)(1)(1)(1)2!110011009910012110011009910012f f f f f f f J f J f f f f f f ⎛⎫- ⎪'-- ⎪ ⎪''-''- ⎪⎛⎫ ⎪= ⎪ ⎪ ⎪⎝⎭ ⎪' ⎪⎪'''⎪⎝⎭⎛⎫⎪- ⎪⎪⨯-⎪⎪= ⎪ ⎪⎪⎪⨯ ⎪⎝⎭注:当nn CA ⨯∈为一个普通方阵时,计算f(A)的步骤(1)求A 的Jordan 标准形⎪⎪⎪⎪⎪⎭⎫⎝⎛=S J J J J O21 (2)求一个可逆阵P ,使得()111211211-------==⇒=⋅=⇒=⇒=PPJ PJPA P PJ PJP PJP A PJP A J AP P k kkΛ(3)()11221011102210)()(----=++++=++=+++=PJ Pf PJb J b J b E b P P PJ b PJP b E b A b A b A b E b A f mm m m m m ΛΛΛ8、设n n C A ⨯∈,f(λ)是A 的任一零化多项式,m(λ)是A 的最小多项式,试证明:m(λ)| f(λ)。
证:用m(λ)作除式,f(λ)作被除式,两多项式相除,设商式为g(λ),余式为r(λ),则f(λ)= m(λ)q(λ)+ r(λ) (这里r(λ)≡0或r(λ)是一个次数比m(λ)低的非零多项式) 下证:r(λ)≡0反证,r(λ)是一个比m(λ)次数低的非零多项式。
设r(λ)的最高次项系数为k(k ≠0),令)(1)(1λλr kr =∴r 1(λ)是首一多项式,且0)(1)(1==A r kA r∴r 1(λ)是A 的首一零化多项式,而且r 1(A)与r(A)同次,均比m(λ)次数低,这与m(λ)为A 的最小多项式矛盾!∴r(λ)≡0,m(λ)| f(λ)。
9、设 34302C i x ∈⎪⎪⎪⎭⎫ ⎝⎛+-=,则{}543,0,2max 295027502430222221=+-==++==++=+++-=∞i xx i x10、设3)()(121sin )1(312C k i k k i k k kk xk k ∈⎪⎪⎪⎪⎪⎪⎪⎭⎫⎝⎛+-+++=(k=1,2,3…),则 *)(02132lim x i i x k k =⎪⎪⎪⎭⎫⎝⎛++=→∞。
11、设⎪⎪⎪⎭⎫ ⎝⎛=⎪⎪⎪⎭⎫ ⎝⎛----+-=111,42414311x i i ii A ,其中i 2=-1,求12,,A A Ax ∞解:{}{}76,7,7max 4,241,4311max ==+-+--++-++-+=∞i i i i A{}98,9,3max 1==A23434,4i Ax i Ax⎛⎫+ ⎪=-+==⎪ ⎪-⎝⎭12、已知3131313A ⎛⎫⎪ ⎪= ⎪ ⎪⎝⎭,求①e A , ②e At , ③sinA 解:①设()()()()z z f z e f z f z f z e ''''''=⇒=== ∴()3333333333(3)(3)(3)(3)(3)(3)2!2(2)(3)(3)(3)3!2!62A e f e e f f f e e f A f f e e f f e e f f e e ⎛⎫⎛⎫⎪ ⎪' ⎪ ⎪⎪ ⎪''===' ⎪ ⎪ ⎪ ⎪⎪ ⎪'''''' ⎪⎪⎝⎭⎝⎭②令()zt f z e = (z 是自变量,t 为某固定字母)23(),(),()zt zt zt f z te f z t e f z t e ''''''===∴()2222222322222(2)(2)(2)(2)(2)(2)2!2(2)(2)(2)(2)3!2!62t t t t At t t t ttt e f te e f f f t e e f A f f te e f f t e t e f f te e ⎛⎫⎛⎫⎪ ⎪' ⎪ ⎪⎪ ⎪''===' ⎪ ⎪ ⎪ ⎪⎪ ⎪'''''' ⎪⎪⎝⎭⎝⎭③设()sin ,()cos ,()sin ,()cos f z z f z z f z z f z z ''''''===-=- ∴(2)sin 2(2)(2)cos 2sin 2(2)sin 2sin ()(2)(2)cos 2sin 22!2(2)(2)cos 2sin 2(2)(2)cos 2sin 23!2!62f f f f A f A f f f f f f ⎛⎫⎛⎫ ⎪ ⎪' ⎪ ⎪ ⎪ ⎪''==='- ⎪ ⎪ ⎪ ⎪⎪ ⎪''''''-- ⎪ ⎪⎝⎭⎝⎭注:当nn CA ⨯∈为一个普通方阵且()R A <ρ,求f(A)的步骤:①求出A 的Jordan 标准形⎪⎪⎪⎪⎪⎭⎫⎝⎛=S J J J J O21; ②求一个可逆阵P ,使得11--=⇒=PJP A J AP P ; ③()11)(])([lim lim )(--∞→∞→===P J Pf P J Pf A f A f m m m m 。