六(1)班期末考试座位表
- 格式:doc
- 大小:61.00 KB
- 文档页数:2
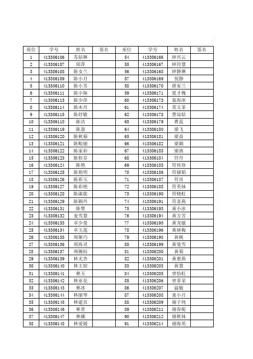
成人座位学号姓名签名座位学号姓名签名1413306106苏姑琳54413306166钟兴云2413306107邱萍55413306167钟玲慧3413306108陈女兰56413306168钟静琳4413306109陈小月57413306169倪静5413306110陈小芳58413306170唐家兰6413306111陈小妹59413306171夏才槐7413306113陈少萍60413306173聂海冰8413306114陈木丹61413306174莫文菲9413306115陈妤敏62413306178曹琼姑10413306118陈洁63413306179曹蕊11413306119陈盈64413306180梁飞12413306120陈秋菊65413306181梁益134********陈贻丽66413306182梁颖14413306122陈家彩67413306183梁燕15413306123陈桂芬68413306184符丹16413306124陈艳69413306185符传珍17413306125陈艳明70413306186符丽娟184********陈彩玉71413306187符苗19413306127陈彩艳72413306188符英妹20413306128陈淑能73413306190符晓虹21413306129陈颖丹74413306191符喜燕22413306131陈赞75413306193黄小冰23413306132麦雪慧76413306194黄方芳24413306133卓少曼77413306195黄龙敏25413306134卓玉莲78413306196黄娇梅26413306135周姬巧79413306198黄桃27413306136周海灵80413306199黄曼雪28413306137周婉钰81413306200黄菊29413306139林尤杏82413306201黄惠燕30413306140林主姣83413306203黄慧31413306141林玉84413306205曾怡虹32413306142林亚花85413306206曾菲菲33413306143林冰86413306207温敏34413306144林丽琴87413306208童小月35413306145林建员88413306209谢子纯36413306146林青89413306211谢春妮37413306147林娜90413306212谢秋妹38413306148林爱媛91413306214谢海英39413306149林益燕92413306215韩春桂40413306150林高月93413306216蒙春燕41413306151林森敏94413306217廖秋敏42413306152林森琳95413306218蔡乃丹43413306153林雅瞬96413306219蔡丽丁44413306154林瑜97413306220蔡苗45413306155竺芯98413306221蔡彩虹46413306156罗雪英99413306222雒慧萍47413306157郑天爱100413306223潘秋丽48413306158郑亚香101413306224颜春平49413306159郑泽月102413306225黎招怡50413306160郑朝娟103413306226黎选妹51413306162姜晓娟104413306227黎善52413306163胡伟105413306228黎遇宽53413306165钟小红106413306229薛丽霞成人教座位学号姓名签名座位学号姓名签名1410306328文慧54413306064余雪芬2413306001马晓慧55413306065吴小怡3413306002云彩丽56413306066吴光进4413306003云彩虹57413306067吴丽姬5413306005方其菊58413306068吴忠雅6413306006王三妹59413306069吴转姑7413306007王小丽60413306070吴春颜8413306008王小慧61413306071吴春燕9413306009王玉花62413306072吴茜婷10413306010王亚琴63413306073吴桂花11413306011王欢燕64413306074吴桂盛免考12413306012王丽国65413306076吴慧君134********王秀红66413306078张月彩14413306015王秀南67413306079张昌春15413306016王录情68413306080张茹16413306017王金玉69413306081张夏柔17413306019王美玲70413306082李小杏184********王海珍71413306083李少文19413306022王海容72413306084李台艳20413306023王海静73413306085李庆靖21413306024王堂美74413306086李丽娜6413306111陈小妹59413306171夏才槐7413306113陈少萍60413306173聂海冰8413306114陈木丹61413306174莫文菲9413306115陈妤敏62413306178曹琼姑10413306118陈洁63413306179曹蕊11413306119陈盈64413306180梁飞12413306120陈秋菊65413306181梁益134********陈贻丽66413306182梁颖14413306122陈家彩67413306183梁燕15413306123陈桂芬68413306184符丹16413306124陈艳免考69413306185符传珍17413306125陈艳明70413306186符丽娟184********陈彩玉71413306187符苗19413306127陈彩艳72413306188符英妹20413306128陈淑能73413306190符晓虹21413306129陈颖丹74413306191符喜燕22413306131陈赞75413306193黄小冰23413306132麦雪慧76413306194黄方芳24413306133卓少曼77413306195黄龙敏25413306134卓玉莲78413306196黄娇梅26413306135周姬巧79413306198黄桃27413306136周海灵80413306199黄曼雪28413306137周婉钰81413306200黄菊29413306139林尤杏82413306201黄惠燕30413306140林主姣83413306203黄慧免考31413306141林玉84413306205曾怡虹32413306142林亚花85413306206曾菲菲33413306143林冰86413306207温敏34413306144林丽琴87413306208童小月35413306145林建员88413306209谢子纯免考36413306146林青89413306211谢春妮37413306147林娜90413306212谢秋妹38413306148林爱媛91413306214谢海英39413306149林益燕92413306215韩春桂40413306150林高月93413306216蒙春燕41413306151林森敏94413306217廖秋敏42413306152林森琳95413306218蔡乃丹43413306153林雅瞬96413306219蔡丽丁44413306154林瑜97413306220蔡苗免考45413306155竺芯98413306221蔡彩虹46413306156罗雪英99413306222雒慧萍成人教育2013-2014(1)期末考试座位安排表时间:2014-01-04(18周 星期六) 09:00-11:00课程:[C031200811]病理学班级:2013级成教护本(五)①班考场:2-401人数:106监考:教研室派麦惠芳时间:2014-01-04(18周 星期六) 09:00-11:00课程:[C031200811]病理学班级:2013级成教护本(五)①班考场:2-402 人数:93监考:教研室派李继平成人教育2013-2014(1)期末考试座位安排表时间:2014-01-04(18周 星期六) 19:30-21:30课程:[C041200201]病原生物学与免疫学班级:2013级成教护本(五)①班考场:2-401人数:106监考:教研室派麦惠芳时间:2014-01-04(18周 星期六) 19:30-21:30课程:[C041200201]病原生物学与免疫学班级:2013级成教护本(五)①班考场:2-402人数:93监考:教研室派李蕾时间:2014-01-04(18周 星期六) 15:30-17:30课程:[C031200711]生物化学班级:2013级成教护本(五)①班考场:1-101人数:84监考:教研室派麦惠芳座位学号姓名签名时间:2014-01-04(18周 星期六) 15 95413306088李金花课程:[C031200711]生物化学96413306089李娇班级:2013级公卫专+护本(五)①班97413306090李玲考场:1-102人数:19+11598413306091李美联99413306092李倩监考:教研室派100413306093李莉101413306094李嘉李玉龙102413306095李慧103413306096李燕妹104413306097杜小丽105413306098杜爱莉106413306099杨俊苗107413306100杨珊108413306101杨倩免考109413306102杨惠秋110413306103杨裕新111413306104肖红月112413306105苏红妃113413306106苏姑琳114413306107邱萍115413306108陈女兰116413306109陈小月117413306110陈小芳118413306111陈小妹119413306113陈少萍免考120413306114陈木丹121413306115陈妤敏122413306118陈洁123413306119陈盈124413306120陈秋菊125413306121陈贻丽126413306122陈家彩127413306123陈桂芬128413306124陈艳129413306125陈艳明130413306126陈彩玉131413306127陈彩艳132413306128陈淑能133413306129陈颖丹134413306131陈赞13513613713813911:0021:3017:3018周 星期六) 15:30-17:30 00711]生物化学公卫专+护本(五)①班。
第一学期期中考试考务安排作者 : 查看次数: 389 次学校将于 6 月进行期末考试。
本次考试为阶段性诊断考 试,其诊断作用是双向的,既对学生的学习进行诊断,也对 老师的教学进行诊断,也是对教师教学水平的检测和评价。
务必引起大家的高度重视。
现将有关考试工作安排如下,希 望相关部门、级组、人员认真阅读工作安排,明确分工、职 责,密切配合,做好考试的相关工作。
一、考试科目与考试时间二、试室布置与座位编排: 1、试室位置:年 级 试 室 地 点高一(1) -- (15)班教室;教学楼中栋二楼辅导室( D206、D207、D208),共计高一18 间试室。
2、试室布置:上 午11 月 11 日 (星期四)10:40— 12:1011 月 12 日 (星期五)10:30— 12:00生物 2:30—4:00化学 3:30—5:00物理 3:30—5:0007:40— 10:1008:00— 10:0008:00— 10:00下 午日 期 语文 地理政治英语 数学 历史每个试室 42 人,以6×7 的规格布置试室(见下图),座位向后倒置,所有考生单人单桌,考试时学生座位上的书籍、资料全部整齐堆放在课室前面或要求学生暂时带回宿舍。
请各班班主任在每天第一堂考试开考前 30 分钟安排学生布置好试室并搞好卫生。
级长负责在考试前一天安排好辅导室的试室布置。
试室课桌摆放示意图如下:3 、考号、座位号编排:学生的考号和座位表均由教学处统一编排,用电脑随机派位,年级组长在 赵佩英老师处领取,在指定的时间张贴公布。
三、监考安排与监考要求1、本次考试,每个试室安排一位老师监考(监考表附后),每一楼层安排两位(一男一女)老师作为管理员。
管理员的职责,一是替监考老师临时监考,二是负责管理个别需要上厕所的学生。
管理员要在 开考前 5 分钟到岗,考试结束后方可离岗。
考试期间,全程启用电子监控系统进行监考,由信息科组 崔兰 郡老师在监控室对各试室的情况进行监督,并填写好“考场电子监控记录表”。
年级一班别 131 原任课教师:语文苏依妮数学谭思华巡视员梁敏敏监考教师李艳
年级一班别 132 原任课教师:语文黄海云数学赖侃球巡视员梁敏敏监考教师苏玉菁
二年级121班原任课教师:语文谭惠文数学黄美玲巡视员郑信平监考教师谭思华
年级二班别 122 原任课教师:语文刘小莲数学黄美玲巡视员郑信平监考教师黄海云·赖侃球
2013年秋季期期末考试中心学生考生座位表
年级三班别 111 原任课教师:语文徐冬妮数学陈桂星巡视员梁敏敏监考教师甘玉宇
2013年秋季期期末考试中心学生考生座位表
年级三班别 112 原任课教师:语文吴妹红数学陈桂星巡视员梁明敏监考教师黄建英
年级四班别 101 原任课教师:语文杨坤珍数学黄结巡视员郑信平监考教师
年级四班别 102 原任课教师:语文郑尚武数学梁翠玲巡视员梁明敏监考教师叶青
年级五班别 091 原任课教师:语文梁冬妮数学梁丽萍巡视员梁明敏监考教师李思梦
年级五班别 092 原任课教师:语文莫秋英数学陈彩萍巡视员梁明敏监考教师黄丽娜
年级六班别 081 原任课教师:语文朱燕珊数学苏荣巡视员梁明敏监考教师冯丽萍
年级六班别 082 原任课教师:语文谭治维数学苏秀姬巡视员梁明敏监考教师叶仕颜
年级一班别 4 原任课教师:语文莫惠贤数学莫惠贤
巡视员梁明敏监考教师赵明媚
年级三班别 5 原任课教师:语文苏瑞芳数学苏瑞芳巡视员梁明敏监考教师李保燕
年级 1 班别 3 原任课教师:语文梁桂高数学梁桂高巡视员梁明敏监考教师陈伟娟
年级 3 班别 3 原任课教师:语文谭远洁数学谭远洁巡视员梁明敏监考教师宋伟菊
年级二班别 3 原任课教师:语文蒙翠芳数学蒙翠芳巡视员梁明敏监考教师吴敬助。
中学期末考试考务工作方案中学期期末考试考务工作方案为了保证学校教育教学质量,做好期末考试工作,根据西宁市教育科学研究所《关于进行西宁市中学20XX—20XX学年度第二学期末调研测试的通知》(宁教科(20XX)66号)精神,结合学校工作实际,特制订《虎台分校期末考试工作方案》,请全体教职工遵照执行。
一、领导小组:根据学校考试工作的要求,成立领导小组,具体负责考务工作。
组长:冯永清、曲永臻、陈德峰、孙西宁组员:李铁英、郭海宁、司忠献、张生梅、季立新、严文明考务办公室主任:李铁英考务人员:季立新、董渝宁、刘梅花考务办公室设在四楼教务处二、考试安排1、考场安排:本次考试共设12个考场,初一年级3——5班、初二年级1——4班、初三年级4——6班、物理实验室、生物实验室。
初一年级和初二年级学生按考号安排到初一、初二、初三年级教室及物理、生物实验室考试。
班主任按要求在7月17日下午布置好考场,及座位号的粘贴;(初三年级4——6、物理、生物实验室由教务处负责。
)2、考试时间和科目安排:(见附件1)3、监考工作安排:(见附件2)监考工作要求:(1)监考教师必须按《监考表》的安排监考,不允许调换监考场次、时间,如需调换,须教务处同意,否则按私自调课处理;(2)监考教师必须在考试前15分钟到教务处领取试卷、考场钥匙,提前10分钟进入考场,提前5分钟发卷。
英语考试监考教师必须提前将考场多媒体打开,做好听力播放的准备工作,开考5分钟开始播放听力。
考试结束前15分钟提示学生考试结束时间;考试终了方可允许交卷,考试结束后将教室的门窗关好,将试卷、钥匙交到教务处。
(3)监考教师应指导并检查考生在正确位置上填写姓名、考号、班级等基本信息。
(4)监考时,不允许做与监考无关的事情,如看书、看杂志、看报纸、做考卷、批改作业、批改试卷、接打电话、教师间交谈等。
(5)监考过程中,要加强巡查。
及时警示学生中出现的作弊行为,对于作弊事实进行记载,并及时通报巡考领导,交由政教处处理。
谢坊镇小学2012年春期末考试秩序册一、组织机构总主考:杨利明主考:各校校长副主考:各校教导主任监察组组长:谢忠华成员:各考点监察员、各片巡视员各片巡视员:温冬娣(水南片)、谢忠华(新民片)、刘华雄(黄下片)二、考试时间及科目2012年6月26日上午8:40—10:00 一、二年级语文8:40—10:20 三、四、五年级语文10:40—11:40 三、四、五年级英语下午2:30---3:30 一、二年级数学2:30---4:00 三、四、五年级数学三、考场设置:实行年级交叉考试,参考人数按开学初上报+漏报人数100%确定,详见《考场安排表》。
注:六年级老师指的是未派出去监考的当天在上课的六年级科任老师。
1、25日前各校召开考试专门会议,全面组织教师逐条学习本秩序册,每位教师思想上要高度重视,行动上严格执行本册要求。
对全校师生进行相关761的安全教育和遵守考试纪律教育,要求学生在26日7点半后到校,不能来得太早。
2、25日下午各班按中心小学下发的考场座位表安排座位,并全部试坐一遍,各考场贴好考场号。
25日准备好26日早、中餐伙食,(从简,不用酒)。
准备好浆糊、1-2台放音机(备用电池),公章留副主考。
3、26日主考7:00到中心小学领取试卷、考场记录表及座位表;8:00前召开考点考务会;主考安排好数学科监考,尽量安排同级同科监考;同时主考、副主考、监察员当场检查数学试卷密封情况,当面拆数学试卷袋,分发试卷;8:25监考老师进考场检查考座,清理考场,清点学生数,下发试卷,督促学生填写好校名、姓名、班级;8:40开始考试。
4、语、数、英所有科目不得念卷,监考老师不作任何有关试卷的提示。
考试时间未到各科均不得提前交卷,监考老师提醒学生不得打瞌睡。
5、考试期间监考老师进一步检查学生校名、姓名、班级填写情况;主考、副主考、监察员一并到所有考场不断巡视。
记录好考生到位情况。
(缺考生要家校联系,跟踪原因)6、10:00一、二年级清场,要求学生本人及试卷留在原座,由监考老师按顺序收好试卷,学生方可离场,不得出现倒卷、反卷,分年级整理。
学校考试管理制度精选篇1一、考场安排1、考试实行全年级通排座次,单人单桌,年级提前安排考场与考号,考场号用小胶带贴在前门,考号一率贴在桌子右上角。
2、桌子调转过来,抽屉口向讲台,座位之间的距离要尽可能拉大,前面的座位要靠讲台,其它边上的座位要靠墙,每个座位之间的距离要平均。
3、桌面整洁,可有一张空白纸作垫,书包等与考试无关学习用品全部放在考场外面。
注意安全,提醒学生能不带的书尽量不带,带来的全部放在书包内,统一保管。
4、学校领导巡场时检查各考场座位,对不合格的考场应要求班主任重做。
5、班主任强调公物保护,建议让学生把东西全捎回去,学生换位,课桌不动。
二、试卷的管理1、提前一上午由年级教导主任到教导处领取试卷,试卷中途不得由他人经手,到年级后,由年级主任负总责,任何其他老师中途不得翻看试卷。
2、每场考试结束后,应迅速把试卷交到指定地方,安排专人装订密封。
试卷密封好后送教导处。
3、试卷从分发、领取、学生做题、交卷等过程中不允许有一张试卷流入无关人员手中。
三、人员的安排1、领导干部巡场分工:周一上午:郑伟、周红华,周一下午:王日升、高峰,周二上午:宋立年、孙梅娜,周二下午:周红华,许传江。
保证每场巡视不少于一次。
2、每年级安排一至三名老师订卷与信号,监考人员具体安排年级教师会传达。
四、考场规则1、按考试科目要求携带必需的.文具用品进场。
其他物品,一律不得携入座位。
2、考试所需的草稿纸,由考生自己准备。
3、考场必须保持肃静。
如试题印刷有不清之处考生可举手询问,但不得要求监考人员对题意作任何解释。
考试过程,考生除因病外,不得中途离开考场后回来续考。
4、考试终了,时间一到,应立即停止答卷,将试卷整理好,反放在课桌上,然后安静地离开考场。
提前交卷的考生交卷后不得在考场附近逗留,谈笑,喧哗。
5、凡有以下情节之一者,以作弊论处。
(凡作弊者,通报批评,不得参与学校表彰)(1)把与考试课程有关的书本,材料,纸条等藏匿于试卷下或文具盒,课桌内等处。
班级排座位的技巧排座位的方法有很多,找到适合自己班级学生的才是最好的方法。
从调整座位的小事中可以看出一个老师工作的艺术。
不要按照学习成绩排座位,老师的这种做法动机固然是好的,但这种方法会让学生以为成绩代表一切,成绩差的学生会因此否定自己,认为自己是失败者;感觉自卑,伤害了自尊和自信;制造了班级的敌对气氛,甚至让成绩不好的成绩越来越差。
班级排座位的技巧1.按照身高滚动法按照身高排座位,是最为传统的方法,也是被大多数老师采用的方法。
高个子坐在后面不至于挡住矮个子,也方便大家课堂学习。
其实这种方法也是有不公平的地方,高个子为什么偏偏就要坐最后一排,矮个子就要坐前排,而不高不矮的反而坐中间。
所以可以和滚动相结合在此身高基础上再实行每周一次的滚动式座位移动,横向每周每组由左至右滚动一组座位,纵向每周以两桌或三桌为单位从下至上滚动一个座位。
每周一次的纵横变动,使学生有机会在学习中尝试坐到教室里上下左右前后侧位置,多少也从教室里体味到生存和发展的甜酸苦辣咸。
2.互补法+滚动法互补法必须是建立在老师了解和熟悉学生的状态下进行的,如果班级是新组建的,老师可以过一段时间再按照此方法进行。
互补法就是性格外向的学生和性格内向的学生坐一起,弱科学生和强科学生坐一起。
每两周左中右列互换;同时第一排的同学坐到第二排,第二排到第三排,依次类推,最后一排到第一排。
这种方法优点就是将他们的优势互补,经常调换也不存在偏心。
班级排座位的技巧一、遵循的原则就目前大多数教室结构及设置而言,编排座位时考虑高矮顺序,视力因素等生理原则还是必要的,但只考虑这一原则远远不够,还必须遵循以下几个原则:1、公平、全体原则公平是班主任管理好班级的前提条件。
我们的教育是面向全体学生,是让每一个学生得到全面健康的发展。
我们中学教育不是精英性教育,更不是淘汰性教育。
在安排位置时要本着对全体学生负责任的思想,不应该带有任何个人偏见和歧视。
2、和谐、宏观调控原则安排位置时很有必要将先进和落后的合理搭配,组成有一对一的有效帮扶模式。
考试随机生成座位表记得期末考试田小远写了一个随机生成代码座位的小代码(JAVA),并且在全院每场考试中使用,给田小远点赞。
当时我就在想可不可以用C试试,一直没有付诸行动,,就写一篇关于这的用C试试。
两种不同的思路如下。
java我就是个渣渣...........问题转化:班级人数以60为例,座位表—即产生60个不重复的随机数。
(方案1:直接生成随即数且不重复(去重)。
方案2:数按顺序生成,随机对两个数进行交换位置(次数尽可能多))方案一:随机生成1到100的数,逐个保存到长度为60的数组中,每次保存时遍历前面已经保存的数,如果出现重复,则舍弃这个随机数,重新生成,再遍历。
直至把数组填满。
#include<stdio.h>#include<time.h>#include<stdlib.h>//终于意识到这种定义的方便性#define M 60 // 班级总人数#define line 6 //每一排坐几个人//随机数生成函数int randomNumber(){return rand()%M+1;}int main(){srand((unsigned)time(NULL));//生成随机数的种子int a[M]={NULL};//初始化数组int n=0;while(n<M){int m=randomNumber();bool flag=0;for(int j=0;j<n+1;j++){if(a[j]==m){flag=1;//如果之前保存的数中出现了和m相同的数,就把flag标记为1并跳出循环,表示需要重新生成随机数mbreak;}}if(flag==0){a[n]=m;//如果flag是0,表示前n个数中没有和m相同的数,因此可以把第n+1个元素赋值为mn++;}}for(int k=0;k<M;k++){//输出数组printf("%5d ",a[k]);if((k+1)%5==0){printf("\n");}}printf("\n对数组进行排序,检验数组是否正确!\n\n");for(int i=0;i<M;i++){//下面双重循环是一个快速实现的排序代码,用来检验之前生成的数组是否符合要求for(int j=0;j<M;j++){if(a[i]<a[j]){int temp;temp=a[i];a[i]=a[j];a[j]=temp;}}}for(int k=0;k<M;k++){//输出数组printf("%5d ",a[k]);if((k+1)%5==0){printf("\n");}}return 0;}方案2:问题等价于随机排列1到100,可以先把1到100用循环语句写进数组;然后进入一个很大的循环(循环次数越多越好),每次循环随机生成两个0到99的数,将这两个数为下标的元素对调,最后得到的就是随机排列的1到100了。
史院学区小学生期末考试考场座位表
史院学区小学生期末考试考场座位表
史院学区小学生期末考试考场座位表
史院学区小学生期末考试考场座位表
史院学区小学生期末考试考场座位表
史院学区小学生期末考试考场座位表
史院学区小学生期末考试考场座位表
史院学区小学生期末考试考场座位表
史院学区小学生期末考试考场座位表
史院学区小学生期末考试考场座位表
史院学区小学生期末考试考场座位表
史院学区小学生期末考试考场座位表
史院学区小学生期末考试考场座位表
史院学区小学生期末考试考场座位表
史院学区小学生期末考试考场座位表
史院学区小学生期末考试考场座位表
史院学区小学生期末考试考场座位表
史院学区小学生期末考试考场座位表
史院学区小学生期末考试考场座位表
史院学区小学生期末考试考场座位表
史院学区小学生期末考试考场座位表
史院学区小学生期末考试考场座位表
史院学区小学生期末考试考场座位表
史院学区小学生期末考试考场座位表
史院学区小学生期末考试考场座位表
史院学区小学生期末考试考场座位表
史院学区小学生期末考试考场座位表
史院学区小学生期末考试考场座位表。
2017—2018学年度第一学期官湖中心小学期末考试秩序册邳州市官湖镇中心小学2018年1月22日2017-2018学年度第一学期官湖中心小学期末考试秩序册一、组织机构:1、考务主任:陈学联监督指导考试的全面工作2、考务副主任:王海峰具体落实考试工作3、考务组: 杜杭州、王海峰、刘尧文、郁章衡4、后勤组:柳明、王海峰(试卷保管)陈文强、杨浩(安全保卫)郁章衡(广播与信号)5、巡视员:王海峰、杜杭州、刘尧文督察全程考试.6、试卷收集存放:杜杭州、郁章衡、王海峰、刘尧文7、听力准备与拷贝:刘尧文三、考试程序安排1月29日第一场(一至三语文)8:10监考人员到达考试地点,召开考前会议8:20预备,监考人员领取试卷,组织学生入场(信号:铃声、广播)8:25发卷(信号:广播)8:30答卷(信号:铃声和广播)9:15监考人员提醒一、二年级考生注意,本场考试还有最后15分钟(信号:广播)9:30一、二年级考试结束(信号:广播)9:45监考人员提醒三年级考生注意,本场考试还有最后15分钟(信号:广播)10:00本场考试结束(信号:铃声和广播)第二场(一至三数学)10:20预备,监考人员领取试卷,组织学生入场(信号:铃声、广播)10:25发卷(信号:广播)10:30答卷(信号:铃声和广播)11:15监考人员提醒考生注意,本场考试还有最后15分钟(信号:铃声、广播)11:30本场考试结束(信号:铃声和广播)第三场(三年级英语)13:30预备,监考人员领取试卷,组织学生入场(信号:铃声、广播)13:35发卷(信号:广播)13:40答卷(信号:铃声和广播)14:25监考人员提醒考生注意,本场考试还有最后15分钟(信号:广播)14:40本场考试结束(信号:铃声和广播)第四场(三年级科学)14:50预备,监考人员领取试卷,组织学生入场(信号:铃声、广播)14:55发卷(信号:广播)15:00答卷(信号:铃声和广播)15:45监考人员提醒考生注意,本场考试还有最后15分钟(信号:广播)16:00本场考试结束(信号:铃声和广播)1月30日第一场(四、五年级语文)8:10监考人员到达考试地点,召开考前会议8:20预备,监考人员领取试卷,组织学生入场(信号:铃声、广播)8:25发卷(信号:广播)8:30答卷(信号:铃声和广播)9:45监考人员提醒考生注意,本场考试还有最后15分钟(信号:广播)10:00本场考试结束(信号:铃声和广播)第二场(四、五年级英语)10:20预备,监考人员领取试卷,组织学生入场(信号:铃声、广播)10:25发卷(信号:广播)10:30答卷(信号:铃声和广播)11:15监考人员提醒考生注意,本场考试还有最后15分钟(信号:铃声、广播)11:30本场考试结束(信号:铃声和广播)第三场(四、五年级数学)13:30预备,监考人员领取试卷,组织学生入场(信号:铃声、广播)13:35发卷(信号:广播)13:40答卷(信号:铃声和广播)14:40监考人员提醒考生注意,本场考试还有最后15分钟(信号:广播)14:55本场考试结束(信号:铃声和广播)第四场(四、五年级科学)15:05预备,监考人员领取试卷,组织学生入场(信号:铃声、广播)15:10发卷(信号:广播)15:15答卷(信号:铃声和广播)16:00监考人员提醒考生注意,本场考试还有最后15分钟(信号:广播)16:15本场考试结束(信号:铃声和广播)四、监考安排监考老师安排表(1月29日)监考老师安排表(1月30日)未安排人员待机动安排、调整,不得离校。
教学信息新教师教学我国古代有孟母三迁的故事,受此传统思想的影响,家长、学生对座位问题均非常重视,使得如何排座位成为敏感话题。
班级学生的座位安排是班主任的一项重要工作,如何科学合理地给学生排座位成为考验一个班主任工作能力的重要途径。
通过十几年的高中班主任工作实践,现将我给高中生排座位的一些感悟跟大家分享,不当之处,还请批评指正。
一、 编排座位的意义首先,座位对学生的成长有重要影响。
我国二、三线城市的普通高中,班级人数基本都在50个人以上,座位总是有好有坏,比如教室后面与靠边的位置不属于教师的教学中心区。
因此,学生或家长不管什么情况,都希望能够坐在教室前面或中心的位置。
其次,座位的合理编排是促使教学环境优化、班级稳定和谐、班级良好学风形成的一个重要因素。
座位调整是否合理,将直接影响每一位学生的成长和整个班级班风的形成,对学生的学习心理和正常的人际关系的培养也将产生长期深远的影响。
因此,班级座位的编排必须本着有利于学习,有利于班级稳定,有利于团结和谐的原则。
再次,合理地编排座位可以起到对学生心理调节的杠杆作用。
座位会直接影响学生的学习情绪和学习效果。
特别是当今学生的心理素质和心理承受力有着极大的个性和差异。
班主任可以借助编排座位的机会,有针对性地合理安排学生座位,将有利于创建一个“班风优良、纪律严明、团结有力”的班级。
二、 编排座位的原则首先,高中生的座位调整,需先与学生通气,做好思想工作再做调整。
班主任需在班级成立之初和全班同学讨论,把座位排定的方法思路公开化、制度化,目的是使学生对座位调动心服口服,尽最大限度发挥座位的积极因素并培养学生的规则意识,使学生认识到座位的调动,于人于己都有好处。
其次,高中生的座位调整,需动静结合。
一个班级几十个学生的性格特征往往大相径庭,有文静型的,有好动型的,也有“顽皮”的。
班主任要通过细致观察,多找学生和任课老师交谈,这样在安排学生座位时可以做到“动”“静”结合,以“静”制“动”,保证班级的正常教学秩序。