半导体物理学作业及参考答案2
- 格式:pdf
- 大小:83.28 KB
- 文档页数:2
半导体物理试题及答案一、单项选择题(每题2分,共20分)1. 半导体材料的导电能力介于导体和绝缘体之间,这是由于()。
A. 半导体的原子结构B. 半导体的电子结构C. 半导体的能带结构D. 半导体的晶格结构答案:C2. 在半导体中,电子从价带跃迁到导带需要()。
A. 吸收能量B. 释放能量C. 吸收光子D. 释放光子答案:A3. PN结形成的基础是()。
A. 杂质掺杂B. 温度变化C. 压力变化D. 磁场变化答案:A4. 半导体器件中的载流子主要是指()。
A. 电子B. 空穴C. 电子和空穴D. 光子答案:C5. 半导体的掺杂浓度越高,其导电性能()。
A. 越好B. 越差C. 不变D. 先变好再变差答案:A二、填空题(每题2分,共20分)1. 半导体的导电性能可以通过改变其________来调节。
答案:掺杂浓度2. 半导体的能带结构中,价带和导带之间的能量差称为________。
答案:带隙3. 在半导体中,电子和空穴的复合现象称为________。
答案:复合4. 半导体器件中的二极管具有单向导电性,其导通方向是从________到________。
答案:阳极阴极5. 半导体的PN结在外加正向电压时,其内部电场会________。
答案:减弱三、简答题(每题10分,共30分)1. 简述半导体的掺杂原理。
答案:半导体的掺杂原理是指通过向半导体材料中掺入少量的杂质元素,改变其电子结构,从而调节其导电性能。
掺入的杂质元素可以是施主杂质(如磷、砷等),它们会向半导体中引入额外的电子,形成N型半导体;也可以是受主杂质(如硼、铝等),它们会在半导体中形成空穴,形成P型半导体。
2. 描述PN结的工作原理。
答案:PN结是由P型半导体和N型半导体结合而成的结构。
在PN结中,P型半导体的空穴会向N型半导体扩散,而N型半导体的电子会向P型半导体扩散。
由于扩散作用,会在PN结的交界面形成一个内建电场,该电场会阻止更多的载流子通过PN结。
第一篇 习题 半导体中的电子状态1-1、 什么叫本征激发?温度越高,本征激发的载流子越多,为什么?试定性说明之。
1-2、 试定性说明Ge 、Si 的禁带宽度具有负温度系数的原因。
1-3、 试指出空穴的主要特征。
1-4、简述Ge 、Si 和GaAS 的能带结构的主要特征。
1-5、某一维晶体的电子能带为[])sin(3.0)cos(1.01)(0ka ka E k E --=其中E 0=3eV ,晶格常数a=5х10-11m 。
求:(1) 能带宽度;(2) 能带底和能带顶的有效质量。
升高,则禁带宽度变窄,跃迁所需的能量变小,将会有更多的电子被激发到导带中。
1-1、 解:电子的共有化运动导致孤立原子的能级形成能带,即允带和禁带。
温度升高,则电子的共有化运动加剧,导致允带进一步分裂、变宽;允带变宽,则导致允带与允带之间的禁带相对变窄。
反之,温度降低,将导致禁带变宽。
因此,Ge 、Si 的禁带宽度具有负温度系数。
1-2、 解: 空穴是未被电子占据的空量子态,被用来描述半满带中的大量电子的集体运动状态,是准粒子。
主要特征如下:A 、荷正电:+q ;B 、空穴浓度表示为p (电子浓度表示为n );C 、E P =-E nD 、m P *=-m n *。
1-3、 解:(1) Ge 、Si:a )Eg (Si :0K) = 1.21eV ;Eg (Ge :0K) = 1.170eV ;b )间接能隙结构c )禁带宽度E g 随温度增加而减小;(2) GaAs :a )E g (300K )= 1.428eV , Eg (0K) = 1.522eV ;b )直接能隙结构;c )Eg 负温度系数特性: dE g /dT = -3.95×10-4eV/K ;1-4、 解:(1) 由题意得:[][])sin(3)cos(1.0)cos(3)sin(1.002220ka ka E a kd dEka ka aE dk dE +=-=eVE E E E a kd dEa k E a k d dEa k a k a k ka tg dkdE o ooo1384.1min max ,01028.2)4349.198sin 34349.198(cos 1.0,4349.198,01028.2)4349.18sin 34349.18(cos 1.0,4349.184349.198,4349.1831,04002222400222121=-=∆<⨯-=+==>⨯=+====∴==--则能带宽度对应能带极大值。
第一章习题1.设晶格常数为a 的一维晶格,导带极小值附近能量E c (k)和价带极大值附近能量E V (k)分别为:E c =0220122021202236)(,)(3m k h m k h k E m k k h m k h V -=-+ 0m 。
试求:为电子惯性质量,nm a ak 314.0,1==π(1)禁带宽度;(2)导带底电子有效质量; (3)价带顶电子有效质量;(4)价带顶电子跃迁到导带底时准动量的变化 解:(1)eVm k E k E E E k m dk E d k m kdk dE Ec k k m m m dk E d k k m k k m k V C g V V V c 64.012)0()43(0,060064338232430)(2320212102220202020222101202==-==<-===-==>=+===-+ηηηηηηηη因此:取极大值处,所以又因为得价带:取极小值处,所以:在又因为:得:由导带:043222*83)2(1m dk E d mk k C nC===ηsN k k k p k p m dk E d mk k k k V nV/1095.7043)()()4(6)3(25104300222*11-===⨯=-=-=∆=-==ηηηηη所以:准动量的定义:2. 晶格常数为的一维晶格,当外加102V/m ,107 V/m 的电场时,试分别计算电子自能带底运动到能带顶所需的时间。
解:根据:tkhqE f ∆∆== 得qE k t -∆=∆ηsat sat 137192821911027.810106.1)0(1027.810106.1)0(----⨯=⨯⨯--=∆⨯=⨯⨯--=∆ππηη补充题1分别计算Si (100),(110),(111)面每平方厘米内的原子个数,即原子面密度(提示:先画出各晶面内原子的位置和分布图)Si 在(100),(110)和(111)面上的原子分布如图1所示:(a )(100)晶面 (b )(110)晶面(c )(111)晶面214221422142822/1083.7342232212414111/1059.92422124142110/1078.6)1043.5(224141100cmatom a a a cm atom a a a cm atom a a ⨯==⨯+⨯+⨯⨯==⨯⨯+⨯+⨯=⨯==⨯+-):():():(补充题2一维晶体的电子能带可写为)2cos 81cos 87()22ka ka ma k E +-=η(, 式中a 为 晶格常数,试求(1)布里渊区边界; (2)能带宽度;(3)电子在波矢k 状态时的速度;(4)能带底部电子的有效质量*n m ;(5)能带顶部空穴的有效质量*p m解:(1)由0)(=dk k dE 得 an k π=(n=0,1,2…)进一步分析an k π)12(+= ,E (k )有极大值,222)ma k E MAXη=( ank π2=时,E (k )有极小值所以布里渊区边界为an k π)12(+=(2)能带宽度为222)()ma k E k E MIN MAX η=-( (3)电子在波矢k 状态的速度)2sin 41(sin 1ka ka ma dk dE v -==ηη (4)电子的有效质量)2cos 21(cos 222*ka ka mdkEd m n-==η能带底部 an k π2=所以m m n 2*=(5)能带顶部 an k π)12(+=, 且**n p m m -=,所以能带顶部空穴的有效质量32*mm p =第二章习题1. 实际半导体与理想半导体间的主要区别是什么?答:(1)理想半导体:假设晶格原子严格按周期性排列并静止在格点位置上,实际半导体中原子不是静止的,而是在其平衡位置附近振动。
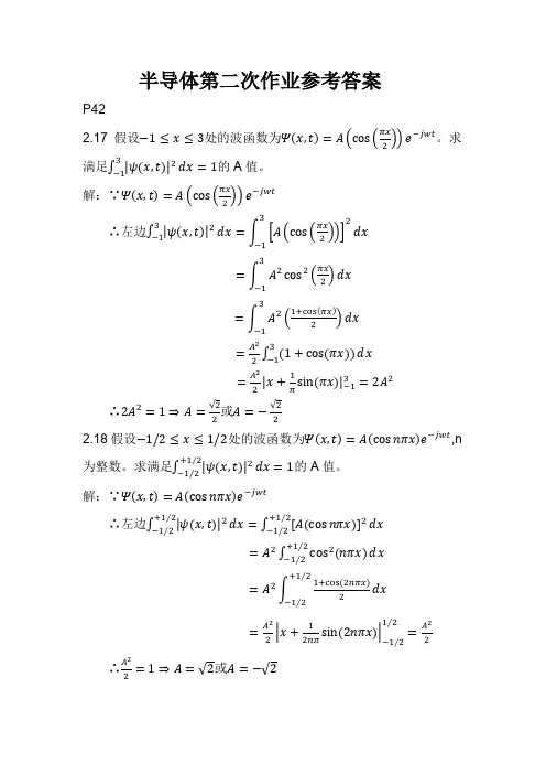
半导体第二次作业参考答案P422.17假设处的波函数为。
求满足的A值。
解:∵∴左边∴或2.18假设处的波函数为,n 为整数。
求满足的A值。
解:∵∴左边∴或P66E3.4当T=300K时,确定硅中和之间的能态总数。
解:N==P70E3.7假设在低于费米能级0.3eV,试求电子占据能带的概率为时的温度是多少。
解:由概率密度函数得,其中0.325eV∴T=321KP74--- P763.7 利用式(3.24)证明时,,其中n=0,1,2……证明:3.24式:………………………①令,,则①式为……..②②式两边同时对求导得…………………………..③假设,即,n=0,1,2……∴∴…………………………...④∴由④得,其中∴上式代入得∴∴当时,,其中n=0,1,2…(证毕)3.18 (a)GaAs的禁带宽度为。
(ⅰ)试求可以将价带中的电子激发到导带中的光子的最小频率;(ⅱ)对应的波长长度是多少?(b)以禁带宽度为重做(a)。
解:(a)当禁带宽度为时(ⅰ),其中,ℎ(ⅱ),其中m/s(b)当禁带宽度为时(ⅰ),其中,ℎ(ⅱ)3.47 如果,分别计算(a)T=200K和(b)T=400K时,和之间的能量范围。
解:(a)T=200K时,∴时解得,∴时解得,∴(a)T=400K时,∴时解得,∴时解得,∴P81E4.1 是确定能级被电子占据的概率,以及在T=300K的条件下,GaAs费米能级在以下0.25的电子浓度。
解:T=300K时,,,其中,其中∴P82E4.2 (a)T=250K时硅的热空穴浓度(b)计算T=250K和T=400K 下的之比。
解:(a)T=300K时,硅中的,T=250K时,(b)由例4.2可知T=400K时,=。
半导体物理习题答案半导体物理是固体物理的一个重要分支,它研究的是半导体材料的物理性质及其在电子器件中的应用。
以下是一些常见的半导体物理习题及其答案。
习题一:半导体的能带结构问题:简述半导体的能带结构,并解释价带、导带和禁带的概念。
答案:半导体的能带结构由价带和导带组成,两者之间存在一个能量间隔,称为禁带。
价带是半导体中电子能量最低的能带,当电子处于价带时,它们是被束缚在原子周围的。
导带是电子能量最高的能带,电子在导带中可以自由移动。
禁带是价带顶部和导带底部之间的能量区间,在这个区间内不存在允许电子存在的能级。
半导体的导电性能介于导体和绝缘体之间,主要因为其禁带宽度较小,电子容易从价带激发到导带。
习题二:PN结的形成与特性问题:解释PN结的形成过程,并描述其正向和反向偏置特性。
答案:PN结是由P型半导体和N型半导体接触形成的结构。
P型半导体中存在空穴,而N型半导体中存在自由电子。
当P型和N型半导体接触时,由于扩散作用,P型中的空穴会向N型扩散,而N型中的电子会向P型扩散。
这种扩散导致在接触区域形成一个耗尽层,其中电子和空穴复合,留下固定电荷,形成内建电场。
正向偏置时,外加电压使内建电场减弱,允许更多的电子和空穴通过PN结,从而增加电流。
反向偏置时,外加电压增强了内建电场,阻碍了电子和空穴的流动,导致电流非常小。
习题三:霍尔效应问题:描述霍尔效应的基本原理,并解释霍尔电压的产生。
答案:霍尔效应是指在垂直于电流方向的磁场作用下,载流子受到洛伦兹力的作用,导致电荷在样品一侧积累,从而在垂直于电流和磁场方向上产生一个横向电压差,即霍尔电压。
霍尔效应的发现为研究材料的载流子类型和浓度提供了一种有效的方法。
霍尔电压的大小与电流、磁场强度以及材料的载流子浓度有关。
习题四:半导体的掺杂问题:解释半导体掺杂的目的和方法,并举例说明。
答案:半导体掺杂的目的是为了改变半导体的导电性能。
通过在纯净的半导体中掺入微量的杂质原子,可以增加或减少半导体中的载流子数量。
半导体物理习题解答目录1-1.(P32)设晶格常数为a的一维晶格,导带极小值附近能量E c(k)和价带极大值附近能量E v(k)分别为: (2)1-2.(P33)晶格常数为0.25nm的一维晶格,当外加102V/m,107V/m的电场时,试分别计算电子自能带底运动到能带顶所需的时间。
(3)3-7.(P81)①在室温下,锗的有效状态密度Nc=1.05×1019cm-3,Nv=5.7×1018cm-3,试求锗的载流子有效质量mn*和mp*。
(3)3-8.(P82)利用题7所给的Nc和Nv数值及Eg=0.67eV,求温度为300k和500k时,含施主浓度ND=5×1015cm-3,受主浓度NA=2×109cm-3的锗中电子及空穴浓度为多少? (4)3-11.(P82)若锗中杂质电离能△ED=0.01eV,施主杂质浓度分别为ND=1014cm-3及1017cm-3,计算(1)99%电离,(2)90%电离,(3)50%电离时温度各为多少? (5)3-14.(P82)计算含有施主杂质浓度ND=9×1015cm-3及受主杂质浓度为1.1×1016cm-3的硅在300k 时的电子和空穴浓度以及费米能级的位置。
(6)3-18.(P82)掺磷的n型硅,已知磷的电离能为0.04eV,求室温下杂质一般电离时费米能级的位置和磷的浓度。
(7)3-19.(P82)求室温下掺锑的n型硅,使EF=(EC+ED)/2时的锑的浓度。
已知锑的电离能为0.039eV。
(7)3-20.(P82)制造晶体管一般是在高杂质浓度的n型衬底上外延一层n型的外延层,再在外延层中扩散硼、磷而成。
①设n型硅单晶衬底是掺锑的,锑的电离能为0.039eV,300k时的EF位于导带底下面0.026eV处,计算锑的浓度和导带中电子浓度。
(8)4-1.(P113)300K时,Ge的本征电阻率为47Ω.cm,如电子和空穴迁移率分别为3900cm2/V.S和1900cm2/V.S,试求本征Ge的载流子浓度。
半导体物理学习题答案(有目录)半导体物理习题解答目录1-1.(P32)设晶格常数为a的一维晶格,导带极小值附近能量E c(k)和价带极大值附近能量E v(k)分别为: (2)1-2.(P33)晶格常数为0.25nm的一维晶格,当外加102V/m,107V/m的电场时,试分别计算电子自能带底运动到能带顶所需的时间。
(3)3-7.(P81)①在室温下,锗的有效状态密度Nc=1.05×1019cm-3,Nv=5.7×1018cm-3,试求锗的载流子有效质量mn*和mp*。
(3)3-8.(P82)利用题7所给的Nc和Nv数值及Eg=0.67eV,求温度为300k和500k时,含施主浓度ND=5×1015cm-3,受主浓度NA=2×109cm-3的锗中电子及空穴浓度为多少? (4)3-11.(P82)若锗中杂质电离能△ED=0.01eV,施主杂质浓度分别为ND=1014cm-3及1017cm-3,计算(1)99%电离,(2)90%电离,(3)50%电离时温度各为多少? (5)3-14.(P82)计算含有施主杂质浓度ND=9×1015cm-3及受主杂质浓度为1.1×1016cm-3的硅在300k 时的电子和空穴浓度以及费米能级的位置。
(6)3-18.(P82)掺磷的n型硅,已知磷的电离能为0.04eV,求室温下杂质一般电离时费米能级的位置和磷的浓度。
(7)3-19.(P82)求室温下掺锑的n型硅,使EF=(EC+ED)/2时的锑的浓度。
已知锑的电离能为0.039eV。
(7)3-20.(P82)制造晶体管一般是在高杂质浓度的n型衬底上外延一层n型的外延层,再在外延层中扩散硼、磷而成。
①设n型硅单晶衬底是掺锑的,锑的电离能为0.039eV,300k时的EF位于导带底下面0.026eV处,计算锑的浓度和导带中电子浓度。
(8)4-1.(P113)300K时,Ge的本征电阻率为47Ω.cm,如电子和空穴迁移率分别为3900cm2/V.S和1900cm2/V.S,试求本征Ge的载流子浓度。
半导体物理学试题及答案半导体物理学试题及答案(一) 一、选择题1、如果半导体中电子浓度等于空穴浓度,则该半导体以( A )导电为主;如果半导体中电子浓度大于空穴浓度,则该半导体以( E )导电为主;如果半导体中电子浓度小于空穴浓度,则该半导体以( C )导电为主。
A、本征B、受主C、空穴D、施主E、电子2、受主杂质电离后向半导体提供( B ),施主杂质电离后向半导体提供( C ),本征激发向半导体提供( A )。
A、电子和空穴B、空穴C、电子3、电子是带( B )电的( E );空穴是带( A )电的( D )粒子。
A、正B、负C、零D、准粒子E、粒子4、当Au掺入Si中时,它是( B )能级,在半导体中起的是( D )的作用;当B掺入Si中时,它是( C )能级,在半导体中起的是( A )的作用。
A、受主B、深C、浅D、复合中心E、陷阱5、 MIS结构发生多子积累时,表面的导电类型与体材料的类型( A )。
A、相同B、不同C、无关6、杂质半导体中的载流子输运过程的散射机构中,当温度升高时,电离杂质散射的概率和晶格振动声子的散射概率的变化分别是( B )。
A、变大,变小 ;B、变小,变大;C、变小,变小;D、变大,变大。
7、砷有效的陷阱中心位置(B )A、靠近禁带中央B、靠近费米能级8、在热力学温度零度时,能量比EF小的量子态被电子占据的概率为( D ),当温度大于热力学温度零度时,能量比EF小的量子态被电子占据的概率为( A )。
A、大于1/2B、小于1/2C、等于1/2D、等于1E、等于09、如图所示的P型半导体MIS结构的C-V特性图中,AB段代表( A),CD段代表( B )。
A、多子积累B、多子耗尽C、少子反型D、平带状态10、金属和半导体接触分为:( B )。
A、整流的肖特基接触和整流的欧姆接触B、整流的肖特基接触和非整流的欧姆接触C、非整流的肖特基接触和整流的欧姆接触D、非整流的肖特基接触和非整流的欧姆接触11、一块半导体材料,光照在材料中会产生非平衡载流子,若光照忽然停止t??后,其中非平衡载流子将衰减为原来的( A )。
半导体物理作业题————————————————————————————————作者: ————————————————————————————————日期:第一章习题1. 什么是电子的共有化运动答:原子组成晶体后,由于电子壳层的交叠,电子不再完全局限于某一个原子上,可以由一个原子转移到相邻的原子上去,因而,电子可以在整个晶体中运动。
2. 金属导体与半导体,绝缘体与半导体,导电机理主要不同之处 答:金属导体与半导体:半导体中导带的电子和价带的空穴均参与导电; 绝缘体与半导体:绝缘体禁带宽度很大,通常温度下激发到导带去的电子很少,所以导电性很差;半导体禁带宽度较小,通常温度下激发到导带去的电子有不少,所以具有一定的导电能力。
3. 有效质量m*的引入意义答:有效质量概括了半导体内部势场的作用,使得在解决半导体中电子在外力作用下的运动规律时,可以不涉及半导体内部势场的作用 4. 外层电子与内层电子相比哪个有效质量相对质量大,为什么答:内层电子有效质量大,因为公式 (自填),能带越窄,二次微商越小,有效质量越大,内层电子能带窄。
1.设晶格常数为a 的一维晶格,导带极小值附近能量E c (k)和价带极大值附近能量E V (k )分别为:E c=0220122021202236)(,)(3m k h m k h k E m k k h m k h V -=-+ 0m 。
试求:为电子惯性质量,nm a ak 314.0,1==π(1)禁带宽度;(2)导带底电子有效质量; (3)价带顶电子有效质量;(4)价带顶电子跃迁到导带底时准动量的变化 解:(1)eV m k E k E E E k m dk E d k m kdk dE Ec k k m m m dk E d k k m k k m k V C g V V V c 64.012)0()43(0,060064338232430)(2320212102220202020222101202==-==<-===-==>=+===-+ 因此:取极大值处,所以又因为得价带:取极小值处,所以:在又因为:得:由导带:043222*83)2(1m dk E d mk k C nC=== sN k k k p k p m dk E d mk k k k V nV/1095.7043)()()4(6)3(25104300222*11-===⨯=-=-=∆=-== 所以:准动量的定义:2. 晶格常数为0.25nm 的一维晶格,当外加102V/m,107 V/m 的电场时,试分别计算电子自能带底运动到能带顶所需的时间。
半导体物理学试题及答案半导体物理学试题及答案(一) 一、选择题1、如果半导体中电子浓度等于空穴浓度,则该半导体以( A )导电为主;如果半导体中电子浓度大于空穴浓度,则该半导体以( E )导电为主;如果半导体中电子浓度小于空穴浓度,则该半导体以( C )导电为主。
A、本征B、受主C、空穴D、施主E、电子2、受主杂质电离后向半导体提供( B ),施主杂质电离后向半导体提供( C ),本征激发向半导体提供( A )。
A、电子和空穴B、空穴C、电子3、电子是带( B )电的( E );空穴是带( A )电的( D )粒子。
A、正B、负C、零D、准粒子E、粒子4、当Au掺入Si中时,它是( B )能级,在半导体中起的是( D )的作用;当B掺入Si中时,它是( C )能级,在半导体中起的是( A )的作用。
A、受主B、深C、浅D、复合中心E、陷阱5、 MIS结构发生多子积累时,表面的导电类型与体材料的类型( A )。
A、相同B、不同C、无关6、杂质半导体中的载流子输运过程的散射机构中,当温度升高时,电离杂质散射的概率和晶格振动声子的散射概率的变化分别是( B )。
A、变大,变小 ;B、变小,变大;C、变小,变小;D、变大,变大。
7、砷有效的陷阱中心位置(B )A、靠近禁带中央B、靠近费米能级8、在热力学温度零度时,能量比EF小的量子态被电子占据的概率为( D ),当温度大于热力学温度零度时,能量比EF小的量子态被电子占据的概率为( A )。
A、大于1/2B、小于1/2C、等于1/2D、等于1E、等于09、如图所示的P型半导体MIS结构的C-V特性图中,AB段代表( A),CD段代表( B )。
A、多子积累B、多子耗尽C、少子反型D、平带状态10、金属和半导体接触分为:( B )。
A、整流的肖特基接触和整流的欧姆接触B、整流的肖特基接触和非整流的欧姆接触C、非整流的肖特基接触和整流的欧姆接触D、非整流的肖特基接触和非整流的欧姆接触11、一块半导体材料,光照在材料中会产生非平衡载流子,若光照忽然停止t??后,其中非平衡载流子将衰减为原来的( A )。
复习思考题与自测题第一章1.原子中的电子和晶体中电子受势场作用情况以及运动情况有何不同, 原子中内层电子和外层电子参与共有化运动有何不同。
答:原子中的电子是在原子核与电子库伦相互作用势的束缚作用下以电子云的形式存在,没有一个固定的轨道;而晶体中的电子是在整个晶体内运动的共有化电子,在晶体周期性势场中运动。
当原子互相靠近结成固体时,各个原子的内层电子仍然组成围绕各原子核的封闭壳层,和孤立原子一样;然而,外层价电子则参与原子间的相互作用,应该把它们看成是属于整个固体的一种新的运动状态。
组成晶体原子的外层电子共有化运动较强,其行为与自由电子相似,称为准自由电子,而内层电子共有化运动较弱,其行为与孤立原子的电子相似。
2.描述半导体中电子运动为什么要引入"有效质量"的概念, 用电子的惯性质量描述能带中电子运动有何局限性。
答:引进有效质量的意义在于它概括了半导体内部势场的作用,使得在解决半导体中电子在外力作用下的运动规律时,可以不涉及半导体内部势场的作用。
惯性质量描述的是真空中的自由电子质量,而不能描述能带中不自由电子的运动,通常在晶体周期性势场作用下的电子惯性运动,成为有效质量3.一般来说, 对应于高能级的能带较宽,而禁带较窄,是否如此,为什么?答:不是,能级的宽窄取决于能带的疏密程度,能级越高能带越密,也就是越窄;而禁带的宽窄取决于掺杂的浓度,掺杂浓度高,禁带就会变窄,掺杂浓度低,禁带就比较宽。
4.有效质量对能带的宽度有什么影响,有人说:"有效质量愈大,能量密度也愈大,因而能带愈窄.是否如此,为什么?答:有效质量与能量函数对于K的二次微商成反比,对宽窄不同的各个能带,1(k)随k的变化情况不同,能带越窄,二次微商越小,有效质量越大,内层电子的能带窄,有效质量大;外层电子的能带宽,有效质量小。
5.简述有效质量与能带结构的关系;答:能带越窄,有效质量越大,能带越宽,有效质量越小。
半导体物理学试题及答案(总6页) --本页仅作为文档封面,使用时请直接删除即可----内页可以根据需求调整合适字体及大小--半导体物理学试题及答案半导体物理学试题及答案(一) 一、选择题1、如果半导体中电子浓度等于空穴浓度,则该半导体以( A )导电为主;如果半导体中电子浓度大于空穴浓度,则该半导体以( E )导电为主;如果半导体中电子浓度小于空穴浓度,则该半导体以( C )导电为主。
A、本征B、受主C、空穴D、施主E、电子2、受主杂质电离后向半导体提供( B ),施主杂质电离后向半导体提供( C ),本征激发向半导体提供( A )。
A、电子和空穴B、空穴C、电子3、电子是带( B )电的( E );空穴是带( A )电的( D )粒子。
A、正B、负C、零D、准粒子E、粒子4、当Au掺入Si中时,它是( B )能级,在半导体中起的是( D )的作用;当B掺入Si中时,它是( C )能级,在半导体中起的是( A )的作用。
A、受主B、深C、浅D、复合中心E、陷阱5、 MIS结构发生多子积累时,表面的导电类型与体材料的类型( A )。
A、相同B、不同C、无关6、杂质半导体中的载流子输运过程的散射机构中,当温度升高时,电离杂质散射的概率和晶格振动声子的散射概率的变化分别是( B )。
A、变大,变小 ;B、变小,变大;C、变小,变小;D、变大,变大。
7、砷有效的陷阱中心位置(B )A、靠近禁带中央B、靠近费米能级8、在热力学温度零度时,能量比EF小的量子态被电子占据的概率为( D ),当温度大于热力学温度零度时,能量比EF小的量子态被电子占据的概率为( A )。
A、大于1/2B、小于1/2C、等于1/2D、等于1E、等于09、如图所示的P型半导体MIS结构的C-V特性图中,AB段代表( A),CD段代表( B )。
A、多子积累B、多子耗尽C、少子反型D、平带状态10、金属和半导体接触分为:( B )。
A、整流的肖特基接触和整流的欧姆接触B、整流的肖特基接触和非整流的欧姆接触C、非整流的肖特基接触和整流的欧姆接触D、非整流的肖特基接触和非整流的欧姆接触11、一块半导体材料,光照在材料中会产生非平衡载流子,若光照忽然停止t?后,其中非平衡载流子将衰减为原来的( A )。
第五章 金属-半导体接触1、 用不同波长的光照射置于真空中的金、银、铜三种金属和施主浓度皆为1×1016cm -3的锗、硅、砷化镓三种半导体的清洁表面,欲使其向真空发射电子,求各自的激发光临界波长。
计算时需要的相关参数见表5-1和5-2(下同)。
解:根据能量与波长关系:λγchh E ==可得Ehc =λ 金、银、铜三种金属的功函数分别为5.20eV 4.42eV 4.59eV 施主浓度皆为1×1016cm -3的锗、硅、砷化镓三种半导体的功函数分别为 4.31eV 4.25eV 4.17eV对于金:nm E hc 239106.120.51031062.619834=⨯⨯⨯⨯⨯==--λ 对于银:nm E hc 281106.142.41031062.619834=⨯⨯⨯⨯⨯==--λ对于铜:nm E hc 270106.159.41031062.619834=⨯⨯⨯⨯⨯==--λ 对于锗:nm E hc 288106.131.41031062.619834=⨯⨯⨯⨯⨯==--λ 对于硅:nm E hc 292106.125.41031062.619834=⨯⨯⨯⨯⨯==--λ对于砷化镓:nm E hc 298106.117.41031062.619834=⨯⨯⨯⨯⨯==--λ 2、 计算N D = 5×1016cm -3 的n-Si 室温下的功函数。
将其分别与铝、钨、铂三种金属的清洁表面相接触,若不考虑表面态的影响,形成的是阻挡层还是反阻挡层?分别画出能带图说明之。
解:设室温下杂质全部电离,则其费米能级由n 0=N D =5⨯1015cm -3求得:17C C C 19C 10ln 0.026ln 0.15 eV 2.810D F NE E kT E E N =+=+=-⨯ 其功函数即为:C () 4.050.15 4.20V SF W E E e χ=+-=+=若将其与功函数较小的Al (W Al =4.18eV )接触,则形成反阻挡层,若将其与功函数较大的Au (W Au =5.2eV )和Mo (W Mo =4.21eV )则形成阻挡层。
第三次作业1、计算能量在到之间单位体积中的量子态数。
解:导带底附近状态密度为:由状态密度定义:cEE=2*2100(/8)cnEEhmL=+*3/21/23(2)()4()nccmgEVEEhπ=?由状态密度定义:所以单位体积量子态数:两边积分:()dZgEdE=1()dZgEdEVV=第三次作业211()EcEZgEdEVV=∫2*2*3/2100(/8)1/23(2)14()cncEhmLncEmVEEdEVhπ+=?∫3cEVh∫2*2*3/2100(/8)1/23(2)cEhmLncEmEEdEhπ+=?∫2*2*3/2100(/8)3/23(2)24()3cncEhmLncEmEEhπ+=??310003Lπ=第三次作业2、试证明实际硅、锗中导带附近状态密度公式为解:对于实际半导体硅、锗,在它们的导带附近,等能面是旋转椭球面,选极值能量为则:*3/21/23(2)()4()nccmgEVEEhπ=?cE2222312()()2ctlkkkhEkEmm+=++椭球的解析表达式:椭球体积:2tlmm2223122()2()2()tctclckkkmEEmEEmEEhhh++=????1/21/211[2()],[2()]tclcabmEEcmEEhh==?=?1/23/23482()33tlcVabcmmEEhππ=?椭=第三次作业k空间中量子态数和能量的关系为:状态密度:1/23/23162()2()3tlcZEVVsVsmmEEhπ=??=?椭其中令*3/21/23(2)()4()nccmdZgEVEEdEhπ==?*2/321/3()nltmsmm=第三次作业3、i.在室温下,锗的有效态密度Nc=1.05×1019cm-3,Nv=5.7×1018cm-3,试求锗的载流子有效质量mn*和mp*。
计算77K时的Nc和Nv。
已知300K时,Eg=0.67eV。
77K时Eg=0.76eV。
第一章习题1.设晶格常数为a 的一维晶格,导带极小值附近能量E c (k)和价带极大值附近能量E V (k)分别为:E C (K )=0220122021202236)(,)(3m k h m k h k E m k k h m k h V -=-+ 0m 。
试求:为电子惯性质量,nm a ak 314.0,1==π(1)禁带宽度;(2)导带底电子有效质量; (3)价带顶电子有效质量;(4)价带顶电子跃迁到导带底时准动量的变化 解:(1)eVm k E k E E E k m dk E d k m kdk dE Ec k k m m m dk E d k k m k k m k V C g V V V c 64.012)0()43(0,060064338232430)(2320212102220202020222101202==-==<-===-==>=+===-+ηηηηηηηη因此:取极大值处,所以又因为得价带:取极小值处,所以:在又因为:得:由导带:043222*83)2(1m dk E d mk k C nC===ηsN k k k p k p m dk E d mk k k k V nV/1095.7043)()()4(6)3(25104300222*11-===⨯=-=-=∆=-==ηηηηη所以:准动量的定义:2. 晶格常数为的一维晶格,当外加102V/m ,107 V/m 的电场时,试分别计算电子自能带底运动到能带顶所需的时间。
解:根据:tkhqE f ∆∆== 得qE k t -∆=∆ηsat sat 137192821911027.810106.1)0(1027.810106.1)0(----⨯=⨯⨯--=∆⨯=⨯⨯--=∆ππηη补充题1分别计算Si (100),(110),(111)面每平方厘米内的原子个数,即原子面密度(提示:先画出各晶面内原子的位置和分布图)Si 在(100),(110)和(111)面上的原子分布如图1所示:(a )(100)晶面 (b )(110)晶面(c )(111)晶面补充题2一维晶体的电子能带可写为)2cos 81cos 87()22ka ka ma k E +-=η(, 式中a 为 晶格常数,试求(1)布里渊区边界; (2)能带宽度;(3)电子在波矢k 状态时的速度;(4)能带底部电子的有效质量*n m ;(5)能带顶部空穴的有效质量*p m解:(1)由0)(=dk k dE 得 an k π= (n=0,1,2…)进一步分析an k π)12(+= ,E (k )有极大值,222)mak E MAXη=( ank π2=时,E (k )有极小值所以布里渊区边界为an k π)12(+=(2)能带宽度为222)()ma k E k E MIN MAX η=-( (3)电子在波矢k 状态的速度)2sin 41(sin 1ka ka ma dk dE v -==ηη (4)电子的有效质量)2cos 21(cos 222*ka ka mdkEd m n-==η能带底部 an k π2=所以m m n 2*=(5)能带顶部 an k π)12(+=, 且**n p m m -=,所以能带顶部空穴的有效质量32*mm p =半导体物理第2章习题1. 实际半导体与理想半导体间的主要区别是什么?答:(1)理想半导体:假设晶格原子严格按周期性排列并静止在格点位置上,实际半导体中原子不是静止的,而是在其平衡位置附近振动。
作业6:
1.一块半导体材料的寿命μs 13=τ,受到光照产生非平衡载流子,此时光照突然停止,问52μs 后材料中的非平衡载流子浓度将衰减为原来的百分之几?
2.室温下有一块n 型硅材料,掺杂浓度为-314cm 107⨯=D N ,由于光照产生的
非平衡载流子浓度为-314cm 102.1⨯=∆=∆p n ,试计算此时准费米能级的位置(可以禁带中线E i 作为基准),并与热平衡态的费米能级做比较。
已知本征载流子浓度310cm 1012.1-⨯=i n ,室温下eV 026.0=T k B 。
【参考解答】
1.由τt e p t p -∆=∆0)()(,其中μs 13=τ 可得:%83.1e )()65(1352
0≈=∆∆-p p 即光照停止μs 52后,非子将衰减到原来的1.83%
(需要注意的问题是:此题比较简单,直接代入公式计算即可,目的在于加
深大家对于寿命的感性认识。
此外寿命的物理意义由
此也可见一斑。
)
2.由于掺杂浓度不是很高,因此室温下杂质应可全部电离
即:3140cm 107-⨯==D N n
则热平衡态时的费米能级位置为:
eV 2871.01012.1107ln 026.0ln ln 10140+=⨯⨯+=+=+=i i i D B i i
B i F E E n N T k E n n T k E E 光注入非平衡载流子后:
⎪⎪⎭⎫ ⎝⎛--=⎪⎪⎭⎫ ⎝
⎛--=∆+=T k E E n T k E E n n n n B Fn i i B Fn F exp exp 00
⎪⎪⎭⎫
⎝⎛--=⎪⎪⎭
⎫ ⎝⎛--=∆≈∆+=∆+=T k E E n T k E E p p p n n p p p B i Fp i B F Fp i exp exp 0020 故准费米能级位置分别为:
eV 2912.01012.1102.1107ln 026.0ln 101414+=⨯⨯+⨯+=+=i i i B i Fn
E E n n T k E E eV 2413.010
12.1102.1ln 026.0ln 1014-=⨯⨯-=-=i i i B i Fp E E n p T k E E 可见:
eV 0041.0=-F Fn E E ,eV 5284.0=-Fp F E E
即结论是:对于n 型半导体,导带电子的准费米能级只比热平衡态的费米能级稍高一点,而价带空穴的准费米能级则比热平衡态的费米能级要低很多。
(需要注意的问题是:此题的目的在于加深大家对于n 型半导体中费米能级
和准费米能级的相对位置的感性认识,结论比计算过
程更重要;对于p 型半导体,也要求大家要学会举一
反三,对应地去理解。
)。