对数及其运算的练习题(附答案)
- 格式:doc
- 大小:320.00 KB
- 文档页数:3
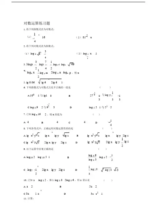
对数运算法则训练题1、lg 5·lg 8000+06.0lg 61lg )2(lg 23++ 2、 lg 2(x +10)-lg(x +10)3=4.3、23log 1log 66-=x .4、9-x -2×31-x =275、x )81(=128.6、5x+1=123-x .7、10log 5log )5(lg )2(lg 2233++·.10log 188、 (1)lg 25+lg2·lg50; (2)(log 43+log 83)(log 32+log 92). 9、求121log 8.0--=x x y 的定义域.10、log 1227=a,求log 616. 11、已知f(x)=1322+-x x a ,g(x)=522-+x x a (a >0且a ≠1), 确定x 的取值范围,使得f(x)>g(x).12、已知函数f(x)=321121x x ⎪⎭⎫ ⎝⎛+-. (1)求函数的定义域;(2)讨论f(x)的奇偶性;(3)求证f(x)>0.13、求关于x 的方程a x +1=-x 2+2x +2a(a >0且a ≠1)的实数解的个数.14、求log 927的值. 15、设3a =4b =36,求a 2+b 1的值.16、log 2(x -1)+log 2x=1 17、4x +4-x -2x+2-2-x+2+6=018、24x+1-17×4x +8=0 19、22)223()223(=-++-x x ±220、01433214111=+⨯------x x21、042342222=-⨯--+-+x x x x22、log 2(x -1)=log 2(2x+1)23、log 2(x 2-5x -2)=224、log 16x+log 4x+log 2x=725、log 2[1+log 3(1+4log 3x)]=126、6x -3×2x -2×3x +6=027、lg(2x -1)2-lg(x -3)2=228、lg(y -1)-lgy=lg(2y -2)-lg(y+2)29、lg(x 2+1)-2lg(x+3)+lg2=030、lg 2x+3lgx -4=0部分答案2、解:原方程为lg 2(x +10)-3lg(x +10)-4=0,∴[lg(x +10)-4][lg(x +10)+1]=0.由lg(x +10)=4,得x +10=10000,∴x=9990.由lg(x +10)=-1,得x +10=0.1,∴x=-9.9.检验知: x=9990和-9.9都是原方程的解.3、解:原方程为36log log 626=x ,∴x 2=2,解得x=2或x=-2. 经检验,x=2是原方程的解, x=-2不合题意,舍去.4、解:原方程为2)3(x --6×3-x -27=0,∴(3-x +3)(3-x -9)=0.∵3-x +3≠0,∴由3-x -9=0得3-x =32.故x=-2是原方程的解.5、 解:原方程为x 32-=27,∴-3x=7,故x=-37为原方程的解. 6、解:方程两边取常用对数,得:(x +1)lg5=(x 2-1)lg3,(x +1)[lg5-(x -1)lg3]=0. ∴x +1=0或lg5-(x -1)lg3=0.故原方程的解为x 1=-1或x 2=1+5log 3. 8、 (1)1;(2)45 9、 函数的定义域应满足:⎪⎩⎪⎨⎧>≥-≠-,0,01log ,0128.0x x x 即⎪⎪⎩⎪⎪⎨⎧>≥≠,0,1log ,218.0x x x解得0<x ≤54且x ≠21,即函数的定义域为{x|0<x ≤54且x ≠21}. 10、 由已知,得a=log 1227=12log 27log 33=2log 2133+,∴log 32=a a 23- 于是log 616=6log 16log 33=2log 12log 433+=aa +-3)3(4. 11、 若a >1,则x <2或x >3;若0<a <1,则2<x <312、 (1)(-∞,0)∪(0,+∞);(2)是偶函数;(3)略.13、 2个14、 设log 927=x,根据对数的定义有9x =27,即32x =33,∴2x=3,x=23,即log 927=23.15、 对已知条件取以6为底的对数,得a 2=log 63, b1=log 62, 于是a 2+b1=log 63+log 62=log 66=1. 16、x=2 17、x=0 18、x=-21或x=23 19、x=±120、x=37 21、x=23 22、x ∈φ 23、x=-1或x=6 24、x=16 25、x=3 26、x=127、x=829或x=1231 28、y=2 29、x=-1或x=7 30、x=10或x=10-4。
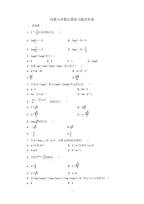
对数式及运算学校:___________姓名:___________班级:___________考号:___________第I 卷(选择题) 请点击修改第I 卷的文字说明评卷人 得分一、选择题1.2log 510+log 50.25=( )A .0B .1C .2D .42.已知log x 16=2,则x 等于( )A .±4B .4C .256D .23.已知函数f (x )=,则f[f ()]的值是() A . B . C .4 D .94.228log log 77的值为( )A. 3B. 3-C. 1D.1- 5.设函数f (x )=,则f (﹣2)+f (log 212)=( )A .3B .6C .9D .126.(log 227)•(log 34)=( )A .B .2C .3D .67.log 212﹣log 23=( )A .2B .0C .D .﹣28. =( )A .14B .0C .1D .69.若函数f(x)=ln(x),则f(e﹣2)等于()A.﹣1 B.﹣2 C.﹣e D.﹣2e10.计算:log29•log38=()A.12 B.10 C.8 D.611.函数y=a x与y=﹣log a x(a>0,且a≠1)在同一坐标系中的图象只可能是()A.B.C.D.12.下列各式(各式均有意义)不正确的个数为( )①log a(MN)=log a M+log a N ②log a(M﹣N)=③④(a m)n=a mn⑤log an b=﹣nlog a b.A.2 B.3 C.4 D.513.计算lg20﹣lg2=( )A.1 B.0 C.4 D.214.若3a=2,则log38﹣2log36的值是( )A.a﹣2 B.3a﹣(1+a)2C.5a﹣2 D.3a﹣a215.已知3a=2,那么log38﹣2log36用a表示是( )A.a﹣2 B.5a﹣2 C.3a﹣(1+a)2D.3a﹣a216.下列关系式中哪些是正确的( )①a m a n=a mn,②(a m)n=(a n)m③log a(MN)=log a M+log a N④log a(M﹣N)=log a M÷log a N.以上各式中a>0且a≠1,M>0,N>0.A.①③B.②④C.②③D.①②③④17.计算21og63+log64的结果是()A.log62 B.2 C.log63 D.318.下列指数式与对数式互化不正确的一组是()A.e0=1与ln1=0;B.8=2与log82= C.log39=2与9=3 D.log33=1与31=319.计算=( ) A . B . C . D . 320.已知 2345log 3log 4log 5log 6m =⋅⋅⋅,则m 是在( )A .(1,2)B .(2,3)C .(3,4)D .(4,5)21.已知a =2lg ,b =3lg ,则4log 3的值为( )A .a b 2B .b a 2C .ba D .ab 22.设m b m a 52log ,log ==,且111=+ba 则( ) A .10 B . 10 C . 20 D . 10023.若3a =2,则log 38-2log 36用a 的代数式可表示为( )(A )a-2 (B )3a-(1+a)2 (C )5a-2 (D )3a-a2 24.08lg100-的值为( )A .2B .2-C .1-D .1225.如果b a ==3lg ,2lg ,则12log 15等于 ( )A .b a b a +++12 B.b a b a +++12 C. b a b a +-+12 D. ba b a +-+12 26.已知lg3,lg7,a b ==则3lg49的值为( ) A 2a b - B 2a b - C 2b a D 2a b27.设lg 2a =,lg3b =,则5log 12=( )(A )21a b a ++ (B )21a b a ++ (C )21a b a +- (D )21a b a+- 28.若77log 2,log 3a b ==,则7log 6=( ) A .b a + B .ab C .b a D .ab 29.对于0,1a a >≠,下列结论正确的是A.log log log a a a M M N N =B. log log n a a n M M =C. log ()log log a a a MN M N =•D. log log log ()a a a M N M N +=+30.已知222125log 5,log 7,log 7a b ===则 ( ) A .3a b -B .3a b -C .3a bD .3a b 31.已知2349a =(a >0),则23log a = . 32.化简22311lg 5lg 2lg500lg log 9log 2225+⨯--⨯的值为( )A.0B.1C.2D.333.若2log 13a <,则a 的取值范围是 ( ) A. 2,13⎛⎫ ⎪⎝⎭ B. ()20,1,3⎛⎫+∞ ⎪⎝⎭ C. ()1,+∞ D. 220,,33⎛⎫⎛⎫+∞ ⎪ ⎪⎝⎭⎝⎭34.已知x y 、为正实数,则( )A.y x yx lg lg lg lg 222+=+ B.y x y x lg lg )lg(222•=+ C.y x y x lg lg lg lg 222+=• D.y x xy lg lg )lg(222•=35.3log 43的值是( ) A. 16 B. 2 C. 3 D. 4 36.22lg10lg 5lg 20(lg 2)-+⋅+=A.-1B.0C. 1D.237.设()log a f x x =(a >0,a ≠1),对于任意的正实数x ,y ,都有( )A 、)()()(y f x f xy f =B 、)()()(y f x f xy f +=C 、)()()(y f x f y x f =+D 、)()()(y f x f y x f +=+ 38.下列指数式与对数式互化不正确的一组是( )A. 01ln 10==与eB. 3121log 2188)31(-==-与 C. 3929log 213==与 D. 7717log 17==与25a 化简的结果是( ).A a - 2.B a .C a .D a对数式及运算试卷答案1.C2.B3.A4.A5.C6.D7.A8.B9.B 10.D 11.A 12.B 13.A 14.A 15.A 16.C 17.B 18.C 19.C20.B 21.B 22.A 23.A 24.C.25.C 26.B 27.C 略28.A 29.B 30.B 31.3 32.A 33.B 34.D 35.D 36.A 37.B 38.C 39.C。
指数对数计算题50道指数和对数是数学中重要的概念和运算符号,它们在各个领域都有着广泛的应用。
下面列举了50道与指数和对数计算有关的题目,并提供相应的参考内容。
1. 计算2^3的值。
参考答案:2^3 = 8。
2. 计算10^(-2)的值。
参考答案:10^(-2) = 1/10^2 = 1/100 = 0.01。
3. 计算2^(1/2)的值。
参考答案:2^(1/2) = √2 ≈ 1.414。
4. 计算log(100)的值。
参考答案:log(100) = 2,因为10^2 = 100。
5. 计算log(1/1000)的值。
参考答案:log(1/1000) = log(10^(-3)) = -3,因为10^(-3) =1/1000。
6. 计算log2(8)的值。
参考答案:log2(8) = 3,因为2^3 = 8。
7. 计算log4(16)的值。
参考答案:log4(16) = 2,因为4^2 = 16。
8. 计算ln(e)的值。
参考答案:ln(e) = 1,因为e^1 = e。
9. 计算ln(1)的值。
参考答案:ln(1) = 0,因为e^0 = 1。
10. 计算log5(25)的值。
参考答案:log5(25) = 2,因为5^2 = 25。
11. 计算log(x^2)的值,其中x = 10。
参考答案:log((10^2)) = log(100) = 2。
12. 计算log(2x)的值,其中x = 5。
参考答案:log(2(5)) = log(10) = 1。
13. 计算log3(9) + log3(27)的值。
参考答案:log3(9) + log3(27) = 2 + 3 = 5,因为3^2 = 9,3^3 = 27。
14. 计算log2(4) * log2(16)的值。
参考答案:log2(4) * log2(16) = 2 * 4 = 8,因为2^2 = 4,2^4 = 16。
15. 计算10^(log10(100))的值。
4.3.2 对数的运算1.对数运算性质如果a >0,且a ≠1,M >0,N >0,那么 (1)log a (MN )=log a M +log a N ; (2)log a MN =log a M -log a N ;(3)log a M n =n log a M (n ∈R). 2.换底公式若a >0,且a ≠1,b >0,c >0,且c ≠1, 则有log a b =log c blog c a.1.计算log 84+log 82等于( ) A .log 86 B .8 C .6D .1D 解析:log 84+log 82=log 88=1. 2.计算log 510-log 52等于( ) A .log 58 B .lg 5 C .1D .2 C 解析:log 510-log 52=log 55=1. 3.计算2log 510+log 50.25=( ) A .0 B .1 C .2D .4 C 解析:2log 510+log 50.25=log 5100+log 50.25=log 525=2. 4.计算log 23·log 32=________. 1 解析:log 23·log 32=lg 3lg 2×lg 2lg 3=1. 5.计算log 225·log 322·log 59=________. 6 解析:原式=lg 25lg 2·lg 22lg 3·lg 9lg 5=2lg 5lg 2·32lg 2lg 3·2lg 3lg 5=6.【例1】(1)若lg 2=a ,lg 3=b ,则lg 45lg 12=( ) A.a +2b 2a +b B.1-a +2b 2a +bC.1-b +2a 2a +bD.1-a +2b a +2b(2)计算:lg 52+2lg 2-⎝⎛⎭⎫12-1=________.(1)B (2)-1 解析:(1)lg 45lg 12=lg 5+lg 9lg 3+lg 4=1-lg 2+2lg 3lg 3+2lg 2=1-a +2b2a +b .(2)lg 52+2lg 2-⎝⎛⎭⎫12-1=lg 5-lg 2+2lg 2-2=(lg 5+lg 2)-2=1-2=-1.【例2】计算:(1)log 345-log 35; (2)log 2(23×45);(3)lg 27+lg 8-lg 1 000lg 1.2;(4)log 29·log 38.解:(1)log 345-log 35=log 3455=log 39=log 332=2.(2)log 2(23×45)=log 2(23×210)=log 2(213) =13log 22=13. (3)原式=lg (27×8)-lg 1032lg 1210=lg (332×23÷1032)lg 1210=lg⎝⎛⎭⎫3×41032lg 1210=32lg1210lg 1210=32.(4)log 29·log 38=log 232·log 323 =2log 23·3log 32=6log 23·1log 23=6.利用对数运算性质化简与求值的原则和方法(1)基本原则:①正用或逆用公式,对真数进行处理;②选哪种策略化简,取决于问题的实际情况,一般本着便于化简的原则进行. (2)两种常用的方法:①“收”,将同底的两对数的和(差)收成积(商)的对数; ②“拆”,将积(商)的对数拆成同底的两对数的和(差).提醒:对于对数的运算性质要熟练掌握,并能够灵活运用,在求值过程中,要注意公式的正用和逆用.计算下列各式的值: (1)12lg 3249-43lg 8+lg 245; (2)lg 52+23lg 8+lg 5·lg 20+(lg 2)2;(3)lg 2+lg 3-lg 10lg 1.8.解:(1)原式=12(5lg 2-2lg 7)-43×32lg 2+12(2lg 7+lg 5)=52lg 2-lg 7-2lg 2+lg 7+12lg 5=12lg 2+12lg 5=12(lg 2+lg 5) =12lg 10=12. (2)原式=2lg 5+2lg 2+lg 5(2lg 2+lg 5)+(lg 2)2 =2lg 10+(lg 5+lg 2)2=2+(lg 10)2=2+1=3. (3)原式=12(lg 2+lg 9-lg 10)lg 1.8=lg 18102lg 1.8=lg 1.82lg 1.8=12.【例3】已知log 189=a ,18b =5,求log 3645. 解:因为18b =5,所以log 185=b . (方法一)log 3645=log 1845log 1836=log 18(9×5)log 181829=log 189+log 1852log 1818-log 189=a +b2-a.(方法二)因为lg 9lg 18=log 189=a , 所以lg 9=a lg 18,同理得lg 5=b lg 18, 所以log 3645=lg 45lg 36=lg (9×5)lg 1829=lg 9+lg 52lg 18-lg 9=a lg 18+b lg 182lg 18-a lg 18=a +b2-a.应用换底公式应注意的两个方面(1)化成同底的对数时,要注意换底公式的正用、逆用以及变形应用. (2)题目中有指数式和对数式时,要注意将指数式与对数式统一成一种形式.1.已知2x =3y =a ,且1x +1y =2,则a 的值为( )A .36B .6C .2 6 D. 6D 解析:因为2x =3y =a , 所以x =log 2a ,y =log 3a ,所以1x +1y =1log 2a +1log 3a =log a 2+log a 3=log a 6=2,所以a 2=6,解得a =±6.又a >0,所以a = 6. 2.求值:(1)log 23·log 35·log 516; (2)(log 32+log 92)(log 43+log 83).解:(1)原式=lg 3lg 2·lg 5lg 3·lg 16lg 5=lg 16lg 2=4lg 2lg 2=4.(2)原式=⎝⎛⎭⎫lg 2lg 3+lg 2lg 9⎝⎛⎭⎫lg 3lg 4+lg 3lg 8 =⎝⎛⎭⎫lg 2lg 3+lg 22lg 3⎝⎛⎭⎫lg 32lg 2+lg 33lg 2 =3lg 22lg 3·5lg 36lg 2=54.探究题1 若log 23=a ,log 25=b ,则用a ,b 表示log 415=________. a +b 2 解析:log 415=log 215log 24=log 23+log 252=a +b2.探究题2 已知3a =5b =c ,且1a +1b =2,求c 的值.解:∵3a =5b =c , ∴a =log 3c ,b =log 5c , ∴1a =log c 3,1b=log c 5, ∴1a +1b =logc 3+log c 5=log c 15=2. 得c 2=15, 即c =15.解决对数的运算问题,主要依据是对数的运算性质.常用方法有: (1)将真数化为“底数”;(2)将同底数的对数的和、差、倍合并; (3)利用常用对数中的lg 2+lg 5=1.已知x ,y ,z 为正数,3x =4y =6z ,且2x =py . (1)求p 的值; (2)证明:1z -1x =12y.解析:设3x =4y =6z =k (显然k >0,且k ≠1),则x =log 3k ,y =log 4k ,z =log 6k .(1)由2x =py ,得2log 3k =p log 4k =p ·log 3klog 34,因为log 3k ≠0,所以p =2log 34=4log 32. (2)证明:1z -1x =1log 6k -1log 3k=log k 6-log k 3=log k 2=12log k 4=12y .对数的运算练习(30分钟60分)1.(5分)计算:log153-log62+log155-log63=()A.-2B.0C.1 D.2B解析:原式=log15(3×5)-log6(2×3)=1-1=0.2.(5分)设10a=2,lg 3=b,则log26=()A.baB.a+baC.ab D.a+bB解析:∵10a=2,∴lg 2=a,∴log26=lg 6lg 2=lg 2+lg 3lg 2=a+ba.3.(5分)设a,b,c均为不等于1的正实数,则下列等式中恒成立的是() A.logab•logcb=logcaB.logab•logca=logcbC.loga(bc)=logab•logacD.loga(b+c)=logab+logacB解析:由logab•logcb=lg blg a•lg blg c≠logca,故A错;由logab•logca=lg blg a•lg alg c =lg blg c=logcb;loga(bc)=logab+logac,故C,D错.故选B.4.(5分)如果lg x=lg a+3lg b-5lg c,那么()A.x=ab3c5 B.x=3ab5cC.x=a+3b-5c D.x=a+b3-c3A解析:lg a+3lg b-5lg c=lg a+lg b3-lg c5=lgab3c5,由lg x=lgab3c5,可得x=ab3c5. 5.(5分)log2 4等于()A.12B.14C.2 D.4D解析:log2 4=log2 (2)4=4.6.(5分)已知lg 2=a,lg 3=b,则用a,b表示lg 15为()A.b-a+1B.b(a-1)C.b-a-1D.b(1-a)A解析:lg 15=lg(3×5)=lg 3+lg 5=lg 3+lg 102=lg 3+1-lg 2=b-a+1.7.(5分)方程lg x+lg(x+3)=1的解是x=________.2解析:原方程可化为lg(x2+3x)=1,∴x>0,x+3>0,x2+3x-10=0,解得x=2.8.(5分)若3x=4y=36,则2x+1y=________.1解析:3x=4y=36,两边取以6为底的对数,得xlog63=ylog64=2,∴2x=log63,2y=log64,即1y=log62,故2x+1y=log63+log62=1.9.(5分)已知log23=a,log37=b,则log1456=________(用a,b表示).3+ab1+ab解析:由log23=a,log37=b,得log27=ab,则log1456=log256log214=log28+log27log22+log27=3+log271+log27=3+ab1+ab. 10.(15分)计算.(1)log535-2log573+log57-log51.8;(2)log2748+log212-12log242-1.解:(1)原式=log5(5×7)-2(log57-log53)+log57-log595=log55+log57-2log57+2log53+log57-2log53+log55=2.(2)原式=log2748+log212-log242-log22=log27×1248×42×2=log2122=log22-23=-32.。
对数及其运算练习题含答案学校:__________ 班级:__________ 姓名:__________ 考号:__________1. 已知2x=3y=m,且1x +1y=2,则m的值为( )A.√2B.√6C.√22D.62. lg25−2lg12+log2(log2256)=( )A.3B.4C.5D.63. 计算lg2−lg15−e ln2−(14)−12+√(−2)2的值为()A.−1B.−5C.32D.−524. 函数f(x)=lg(x2−1)−lg(x−1)在[2,9]上的最大值为()A.0B.1C.2D.35. 若函数f(x)=|ln x|满足f(a)=f(b),且0<a<b,则4a2+b2−44a+2b的最小值是( )A.0B.1C.32D.2√26. 已知函数f(x)={2x,x≥4,f(x+1),x<4,则f(2+log23)的值为()A.8B.12C.16D.247. 《九章算术》中有如下问题:今有蒲生一日,长三尺,莞生一日,长1尺.蒲生日自半,莞生日自倍.问几何日而长等?意思是:今有蒲第一天长高3尺,莞第一天长高1尺,以后蒲每天长高前一天的一半,莞每天长高前一天的2倍.若蒲、莞长度相等,则所需时间为( )(结果精确到0.1.参考数据:lg2≈0.3010,lg3≈0.4771.)A.2.6天B.2.2天C.2.4天D.2.8天8. 碳14是碳的一种具有放射性的同位素,它常用于确定生物体的死亡年代,即放射性碳定年法.在活的生物体内碳14的含量与自然界中碳14的含量一样且保持稳定,一旦生物死亡,碳14摄入停止,机体内原有的碳14含量每年会按确定的比例衰减(称为衰减期),大约每经过5730年衰减为原来的一半,这个时间称为“半衰期”.1972年7月30日,湖南长沙马王堆汉墓女尸出土,该女尸为世界考古史上前所未见的不腐湿尸,女尸身份解读:辛追,生于公元前217年,是长沙国丞相利苍的妻子,死于公元前168年.至今,女尸碳14的残余量约占原始含量的(参考数据:log 20.7719≈−0.3735,log 20.7674≈−0.3820,log 20.7628≈−0.3906)( ) A.75.42% B.76.28% C.76.74% D.77.19%9. 意大利数学家斐波那契以兔子繁殖数量为例,引入数列:1,1,2,3,5,8,⋯,该数列从第三项起,每一项都等于前两项之和,即a n+2=a n+1+a n (n ∈N ∗)故此数列称为斐波那契数列,又称“兔子数列”,其通项公式为a n =√5[(1+√52)n−(1−√52)n].设n是不等式log √2[(1+√5)x −(1−√5)x ]>2x +11的正整数解,则n 的最小值为( ) A.11 B.10 C.9 D.810. 若b >a >1且3log a b +6log b a =11,则a 3+2b−1的最小值为________.11. 计算: log 26−log 23−3log 312+(14)12=________.12. 若函数f(x)=1+|x|+cos x x ,则f(lg 2)+f (lg 12)+f(lg 5)+f (lg 15)=_______.13. 正数x ,y 满足x +4y =2,则log 2x +log 2y 的最大值是________.14. 已知b >a >1,若log a b −log b a =32,且a b =b a ,则a −b =_______.15. 计算:e ln 12+π0−4−12+lg 4+lg 25=_________.16. 已知函数f(x)=log 2(3+x)+log 2(3−x). (1)当x =1时,求函数f(x)的值;(2)判断函数f(x)的奇偶性,并加以证明;(3)若f(x)<0,求实数x 的取值范围.17.(1)化简:4x 14(−3x 14y −13)÷(−6x −12y −23)3;(2)计算:(log 43+log 83)(log 32+log 92).18. 计算下列各题.(1)log 2√748+log 212−12log 242−21+log 23 ;(2)4×(1649)−12−√24×80.25+(−2010)0;(3)已知log 23=a ,3b =7,求log 1256.19. 已知函数f (x )=log a (1−x )+log a (x +3)(0<a <1). (1)求函数f (x )的定义域;(2)若函数f (x )的最小值为−2,求a 的值.20. 已知函数f (x )=lg (2x−1+a) ,a ∈R . (1)若函数f (x )是奇函数,求实数a 的值;(2)在(1)的条件下,判断函数y =f (x )与函数y =lg (2x )的图像的公共点的个数,并说明理由;(3)当x ∈[1,2)时,函数y =f (2x )的图像始终在函数y =lg (4−2x )的图象上方,求实数a 的取值范围.21. 已知f(x)=log a x ,g(x)=2log a (2x +t −2)(a >0, a ≠1, t ∈R). (1)若f(1)=g(2),求t 的值;(2)当t =4,x ∈[1, 2],且F(x)=g(x)−f(x)有最小值2时,求a 的值;(3)当0<a<1,x∈[1, 2]时,有f(x)≥g(x)恒成立,求实数t的取值范围.参考答案与试题解析对数及其运算练习题含答案一、选择题(本题共计 9 小题,每题 3 分,共计27分)1.【答案】B【考点】指数式与对数式的互化对数及其运算【解析】2x=3y=m>0,可得x=log2m,y=log3m.代入利用对数的运算法则即可得出.【解答】解:∵2x=3y=m>0,∴x=log2m,y=log3m.∴2=1x +1y=1log2m+1log3m=logm 2+logm3=logm 6,∴m2=6,解得m=√6.故选B.2.【答案】C【考点】对数及其运算【解析】本题考查对数式四则运算等基本知识,考查运算求解等数学能力.【解答】解:lg25−2lg12+log2(log2256)=lg100+log2(log228)=2+log28=5.故选C.3.【答案】A【考点】对数的运算性质对数及其运算【解析】利用指数,对数的性质和运算法则求解.【解答】解:原式=lg2+lg5−2−2+2 =lg10−2=1−2=−1.故选A.4.【答案】B【考点】对数函数的单调性与特殊点对数及其运算【解析】此题暂无解析【解答】解:因为f(x)=lg x 2−1x−1=lg(x+1)在[2,9]上单调递增,所以f(x)max=f(9)=lg10=1.故选B.5.【答案】A【考点】基本不等式在最值问题中的应用对数及其运算函数的最值及其几何意义【解析】利用对数函数的性质可知ab=1,进而目标式可转化为2a+b2−42a+b,通过换元令t=2a+b(t≥2√2),进一步转化为t2−4t,利用函数y=t2−4t在[2√2,+∞)上的单调性,即可求得最值.【解答】解:依题意,|ln a|=|ln b|,又0<a<b,∴ln a+ln b=0,即ab=1,且0<a<1<b,又4a 2+b2−44a+2b =(2a+b)2−8ab2(2a+b)=2a+b2−42a+b,令t=2a+b≥2√2ab=2√2,当且仅当“2a=b”时取等号,则4a 2+b2−44a+2b =t2−4t,又函数y=t2−4t在[2√2,+∞)上单调递增,故y min=2√222√2=0,即4a2+b2−44a+2b的最小值为0.故选A.6.【答案】 D【考点】指数式与对数式的互化 对数及其运算 函数的求值【解析】本题考查指数式、对数式的运算. 【解答】解:因为3<2+log 23<4,所以f(2+log 23)=f(3+log 23)=23+log 23=8×3=24. 故选D . 7.【答案】 A【考点】等比数列的前n 项和 数列的应用 对数及其运算 【解析】由题设蒲的长度组成等比数列{a n },其a 1=3,公比为12,其前n 项和为A n ,莞的长度组成等比数列{b n },其b 1=1,公比为2,其前n 项和为B n ,由题意可得:3(1−12n )1−12=2n −12−1,整理后求解即可.【解答】解:由题设蒲的长度组成等比数列{a n },其a 1=3,公比为12,其前n 项和为A n ,莞的长度组成等比数列{b n },其b 1=1,公比为2,其前n 项和为B n , 则A n =3(1−12n )1−12,B n =2n −12−1, 由题意可得:3(1−12n )1−12=2n −12−1,整理得(2n )2−7×2n +6=0, 即(2n −1)(2n −6)=0,解得n =0(舍去)或n =log 26, 故n =log 26=lg 6lg 2=lg 2+lg 3lg 2≈0.3010+0.47710.3010≈2.6,即蒲、莞长度相等,所需时间为2.6天. 故选A . 8. 【答案】 C【考点】对数及其运算指数式与对数式的互化【解析】 无【解答】解:∵ 每经过5730年衰减为原来的一半,∴ 生物体内碳14的含量y 与死亡年数t 之间的函数关系式为y =(12)t 5730.现在是2021年,所以女尸从死亡至今已有2021+168=2189年, 由题意可得,y =(12)21895730≈(12)0.3820=2−0.3820.因为log 20.7674≈−0.3820,所以y ≈2−0.3820≈0.7674=76.74%. 故选C . 9.【答案】 D【考点】 对数及其运算 数列的函数特性 数列与不等式的综合 【解析】首先对不等式进行化简得出a n >√2)11√5,即a n 2>2115,根据数列的单调性,求出满足不等式成立的n 的最小值即可. 【解答】解:∵ n 是不等式log √2[(1+√5)x−(1−√5)x]>2x +11的正整数解, ∴ log √2[(1+√5)n−(1−√5)n ]>2n +11, ∴ log √2[(1+√5)n−(1−√5)n]−2n >11, ∴ log √2[(1+√5)n−(1−√5)n]−log √2(√2)2n>11,∴ log √2[(1+√5)n−(1−√5)n]−log √22n >11, ∴ log √2[(1+√5)n−(1−√5)n2n]>11, ∴ log √2[(1+√52)n−(1−√52)n]>11,∴ (1+√52)n−(1−√52)n>(√2)11,∴√5[(1+√52)n −(1−√52)n]>√2)11√5.令a n=√5[(1+√52)n−(1−√52)n],则数列{a n}即为斐波那契数列,∴a n>√2)11√5,即a n2>2115.∵{a n}为递增数列,∴{a n2}也为递增数列.∵a7=13,a8=21,a72<2115,a82>2115,∴使得a n2>2115成立的n的最小值为8.故选D.二、填空题(本题共计 6 小题,每题 3 分,共计18分)10.【答案】2√2+1【考点】基本不等式在最值问题中的应用对数及其运算【解析】本题考查对数的运算、基本不等式的应用.【解答】解:由b>a>1,得logab>1,b−1>0,又∵logb a=1log a b,∴3loga b+6log a b=11,解得loga b=3或logab=23(舍去),则a3=b,a3+2b−1=b+2b−1=(b−1)+2b−1+1≥2√2+1(当且仅当b−1=√2,即b=√2+1时,取等号),故a3+2b−1的最小值为2√2+1.故答案为:2√2+1.11.【答案】1【考点】有理数指数幂的化简求值对数及其运算【解析】无【解答】解:原式=1+log23−log23−12+12=1.故答案为:1.12.【答案】6【考点】对数及其运算函数的求值【解析】此题暂无解析【解答】解:∵ f(x)=1+|x|+cos xx,∴ f(−x)+f(x)=2+2|x|,∵lg12=−lg2,lg15=−lg5,∴ f(lg2)+f(lg 12)+f(lg5)+f(lg15)=2×2+2(lg2+lg5)=6,故答案为:6.13.【答案】−2【考点】基本不等式在最值问题中的应用对数及其运算【解析】此题暂无解析【解答】解:因为log2x+log2y=log2x+log2y+2−2=log2x+log2y+log24−2=log2(4xy)−2,因为x+4y=2,所以log2(4xy)−2≤log2(x+4y2)2−2=−2,当且仅当x=4y,即x=1,y=14时取等号,故log2x+log2y的最大值是−2.故答案为:−2.14.【答案】−2【考点】对数及其运算 【解析】 无【解答】解: 令log a b =t ,则log b a =1t .∵ b >a >1,则t >0,∴ t −1t =32,解得t =2,或t =−12(舍去), ∴ log b a =12,即b =a 2.∵ a b =b a ,∴ a a 2=(a 2)a ,即a 2=2a , ∴ a =2,b =4, ∴ a −b =−2. 故答案为:−2. 15.【答案】 3【考点】对数的运算性质 对数及其运算【解析】(1)根据题目所给信息进行解题即可. 【解答】解:e ln 12+π0−4−12+lg 4+lg 25 =12+1−12+lg (4×25)=1+2=3 .故答案为:3.三、 解答题 (本题共计 6 小题 ,每题 10 分 ,共计60分 ) 16.【答案】解:(1)f(1)=log 2(3+1)+log 2(3−1)=3; (2)由{3+x >03−x >0,解得:−3<x <3,定义域关于原点对称,而f(−x)=log 2(3−x)+log 2(3+x)=f(x), 故函数f(x)是偶函数; (3)若f(x)<0,则log 2(3+x)+log 2(3−x) =log 2(3+x)(3−x)<0, 即0<9−x 2<1,解得:−3<x <−2√2或2√2<x <3. 【考点】对数函数的图象与性质对数值大小的比较 对数及其运算 函数奇偶性的判断【解析】(1)将x =1的值带入f(x),求出f(1)的值即可; (2)根据函数奇偶性的定义判断即可;(3)根据对数函数的性质,问题转化为0<9−x 2<1,解出即可. 【解答】解:(1)f(1)=log 2(3+1)+log 2(3−1)=3; (2)由{3+x >03−x >0,解得:−3<x <3,定义域关于原点对称,而f(−x)=log 2(3−x)+log 2(3+x)=f(x), 故函数f(x)是偶函数; (3)若f(x)<0,则log 2(3+x)+log 2(3−x) =log 2(3+x)(3−x)<0, 即0<9−x 2<1,解得:−3<x <−2√2或2√2<x <3. 17. 【答案】 解:(1)原式=−12x 12y −13−216x−32y−2=x 12y −1318x−32y−2=x 12y −1318(x −2y −53)x 12y −13=118x −2y −53=1181x 21y 53=x 2y 5318.(2)原式=(lg 32lg 2+lg 33lg 2)(lg 2lg 3+lg 22lg 3) =12+14+13+16=54.【考点】 对数及其运算 分数指数幂【解析】(1)利用指数幂的运算性质即可得出.(2)利用换底公式、对数的运算性质即可得出. 【解答】解:(1)原式=−12x 12y −13−216x−32y−2=x 12y−1318x −32y −2=x 12y −1318(x −2y −53)x 12y −13=118x −2y −53=1181x 21y 53=x 2y 5318.(2)原式=(lg 32lg 2+lg 33lg 2)(lg 2lg 3+lg 22lg 3) =12+14+13+16=54. 18. 【答案】解:(1)log 2√748+log 212−12log 242−21+log 23 =log 2√748+log 212−log 2√42−2⋅2log 23=log √748×12√42−2×3=log 22−12−6=−12−6=−132.(2)4×(1649)−12−√24×80.25+(−2010)0=4×(47)−1−214×234+1=7−2+1 =6.(3)∵ log 23=a ,3b =7, ∴ log 32=1a , b =log 37,∴ log 1256=log 356log312=log 3(23×7)log 3(22×3)=3log 32+log 372log 32+1=3a +b 2a+1=3+ab 2+a.【考点】对数的运算性质根式与分数指数幂的互化及其化简运算 有理数指数幂的化简求值对数及其运算【解析】(1)利用对数的运算法则求解即可; (2)利用有理指数幂的运算求解即可;(3)由题意得到log 32=1a , b =log 37,所以log 1256=log 356log 312=log 3(23×7)log 3(22×3)=3log 32+log 372log 32+1,代入即可. 【解答】解:(1)log 2√748+log 212−12log 242−21+log 23 =log 2√748+log 212−log 2√42−2⋅2log 23=log √748×12√42−2×3=log 22−12−6=−12−6=−132.(2)4×(1649)−12−√24×80.25+(−2010)0=4×(47)−1−214×234+1=7−2+1 =6.(3)∵ log 23=a ,3b =7, ∴ log 32=1a ,b =log 37, ∴ log 1256=log 356log 312=log 3(23×7)log 3(22×3)=3log 32+log 372log 32+1=3a +b 2a+1=3+ab 2+a.19. 【答案】解:(1)要使函数f (x )有意义,则有{1−x >0,x +3>0,解得−3<x <1,∴ 函数f (x )的定义域为(−3,1). (2)f (x )=log a (1−x )+log a (x +3) =log a [(1−x )(x +3)] =log a (−x 2−2x +3) =log a [−(x +1)2+4], ∵ −3<x <1,∴ 0<−(x +1)2+4≤4. ∵ 0<a <1,∴ log a [−(x +1)2+4]≥log a 4, 即f (x )min =log a 4,又∵ 函数f (x )的最小值为−2, ∴ log a 4=−2, ∴ a −2=4, ∴ a =12. 【考点】对数函数的定义域 对数及其运算 对数函数的值域与最值 【解析】 此题暂无解析 【解答】解:(1)要使函数f (x )有意义,则有{1−x >0,x +3>0,解得−3<x <1,∴ 函数f (x )的定义域为(−3,1). (2)f (x )=log a (1−x )+log a (x +3) =log a [(1−x )(x +3)] =log a (−x 2−2x +3) =log a [−(x +1)2+4],∵ −3<x <1,∴ 0<−(x +1)2+4≤4. ∵ 0<a <1,∴ log a [−(x +1)2+4]≥log a 4, 即f (x )min =log a 4,又∵ 函数f (x )的最小值为−2, ∴ log a 4=−2, ∴ a −2=4, ∴ a =12. 20.【答案】解:(1)因为f (x )为奇函数,所以对于定义域内任意x ,都有f (x )+f (−x )=0, 即lg (2x−1+a)+lg (2−x−1+a)=0, 所以(a +2x−1)⋅(a −2x+1)=1,显然x ≠1,由于奇函数定义域关于原点对称,所以必有x ≠−1.上面等式左右两边同时乘以(x −1)(x +1)得: [a (x −1)+2]⋅[a (x +1)−2]=x 2−1,化简得: (a 2−1)x 2−(a 2−4a +3)=0,上式对定义域内任意x 恒成立,所以必有{a 2−1=0a 2−4a +3=0,解得a =1. (2)由(1)知a =1, 所以f (x )=lg (1+2x−1), 即f (x )=lgx+1x−1,由x+1x−1>0得x <−1或x >1,所以函数f (x )定义域D =(−∞,−1)∪(1,+∞),由题意,要求方程lg x+1x−1=lg 2x 解的个数,即求方程: 2x −2x−1−1=0在定义域D 上的解的个数. 令F (x )=2x −2x−1−1,显然F (x )在区间(−∞,−1)和(1,+∞)均单调递增,又F (−2)=2−2−2−3−1=14−13<0,F (−32)=2−32−2−52−1=2√215>0 , 且F (32)=232−212−1=2√2−5<0, F (2)=22−21−1=1>0,所以函数F (x )在区间(−2,−32)和(32,2)上各有一个零点,即方程2x −2x−1−1=0在定义域D 上有2个解,所以函数y =f (x )与函数y =lg 2x 的图象有2个公共点.(3)要使x ∈[1,2)时,函数y =f (2x )的图象始终在函数y =lg (4−2x )的图象的上方, 必须使22x −1+a >4−2x 在x ∈[1,2)上恒成立,令t =2x ,则t ∈[2,4),上式整理得t 2+(a −5)t +6−a >0在t ∈[2,4)恒成立, 分离参数得:a >−t 2+5t−6t−1=−(t−1)2+3(t−1)−2t−1=−(t −1+2t−1)+3, t −1∈[1,3),因为t −1∈[1,3),所以t −1+2t−1∈[2√2,113),所以−(t −1+2t−1)+3∈(−23,3−2√2],所以a >3−2√2,即实数a 的取值范围为(3−2√2,+∞). 【考点】函数奇偶性的性质对数函数图象与性质的综合应用 对数及其运算 函数零点的判定定理 函数的单调性及单调区间 函数的最值及其几何意义 基本不等式在最值问题中的应用 函数恒成立问题 【解析】此题暂无解析 【解答】解:(1)因为f (x )为奇函数,所以对于定义域内任意x ,都有f (x )+f (−x )=0, 即lg (2x−1+a)+lg (2−x−1+a)=0, 所以(a +2x−1)⋅(a −2x+1)=1,显然x ≠1, 由于奇函数定义域关于原点对称,所以必有x ≠−1.上面等式左右两边同时乘以(x −1)(x +1)得: [a (x −1)+2]⋅[a (x +1)−2]=x 2−1, 化简得: (a 2−1)x 2−(a 2−4a +3)=0,上式对定义域内任意x 恒成立,所以必有{a 2−1=0a 2−4a +3=0,解得a =1.(2)由(1)知a =1, 所以f (x )=lg (1+2x−1),即f (x )=lg x+1x−1, 由x+1x−1>0得x <−1或x >1,所以函数f (x )定义域D =(−∞,−1)∪(1,+∞),由题意,要求方程lg x+1x−1=lg 2x 解的个数,即求方程: 2x −2x−1−1=0在定义域D 上的解的个数. 令F (x )=2x −2x−1−1,显然F (x )在区间(−∞,−1)和(1,+∞)均单调递增,又F (−2)=2−2−2−3−1=14−13<0,F (−32)=2−32−2−52−1=2√215>0 , 且F (32)=232−212−1=2√2−5<0, F (2)=22−21−1=1>0,所以函数F (x )在区间(−2,−32)和(32,2)上各有一个零点,即方程2x −2x−1−1=0在定义域D 上有2个解,所以函数y =f (x )与函数y =lg 2x 的图象有2个公共点.(3)要使x ∈[1,2)时,函数y =f (2x )的图象始终在函数y =lg (4−2x )的图象的上方, 必须使22x −1+a >4−2x 在x ∈[1,2)上恒成立,令t =2x ,则t ∈[2,4),上式整理得t 2+(a −5)t +6−a >0在t ∈[2,4)恒成立, 分离参数得:a >−t 2+5t−6t−1=−(t−1)2+3(t−1)−2t−1=−(t −1+2t−1)+3, t −1∈[1,3),因为t −1∈[1,3),所以t −1+2t−1∈[2√2,113),所以−(t −1+2t−1)+3∈(−23,3−2√2],所以a >3−2√2,即实数a 的取值范围为(3−2√2,+∞). 21. 【答案】解:(1)∵ f(1)=g(2), ∴ 0=2log a (4+t −2), 解得t =−1.(2)当t =4时,F(x)=g(x)−f(x)=log a (2x+2)2x,x ∈[1, 2].令ℎ(x)=(2x+2)2x =4(x +1x +2),x ∈[1, 2].设u =x +1x ,x ∈[1, 2],易知u(x)=x +1x 在[1, 2]上为单调增函数.∴ ℎ(x)在[1, 2]上是单调增函数, ∴ ℎ(x)min =16,ℎ(x)max =18. 当0<a <1时,有F(x)min =log a 18, 令log a 18=2,解得a =3√2>1(舍去); 当a >1时,有F(x)min =log a 16, 令log a 16=2,解得a =4>1, ∴ a =4.(3)当0<a <1,x ∈[1, 2]时,有f(x)≥g(x)恒成立,即当0<a <1,x ∈[1, 2]时,log a x ≥2log a (2x +t −2)恒成立, 由log a x ≥2log a (2x +t −2)可得log a √x ≥log a (2x +t −2), ∴ √x ≤2x +t −2, ∴ t ≥−2x +√x +2. 设u(x)=−2x +√x +2 =−2(√x)2+√x +2 =−2(√x −14)2+178.∵ x ∈[1, 2],∴ √x ∈[1, √2].∴ u(x)max =u(1)=1,∴ 实数t 的取值范围为t ≥1. 【考点】 对数及其运算函数的最值及其几何意义 函数恒成立问题【解析】(1)当t =4,x ∈[1, 2],且F(x)=g(x)−f(x)有最小值2时,求a 的值;(2)当0<a <1,x ∈[1, 2]时,有f(x)≥g(x)恒成立,求实数t 的取值范围. 【解答】解:(1)∵ f(1)=g(2), ∴ 0=2log a (4+t −2), 解得t =−1.(2)当t =4时,F(x)=g(x)−f(x)=log a (2x+2)2x,x ∈[1, 2].令ℎ(x)=(2x+2)2x=4(x +1x +2),x ∈[1, 2].设u =x +1x ,x ∈[1, 2],易知u(x)=x +1x 在[1, 2]上为单调增函数. ∴ ℎ(x)在[1, 2]上是单调增函数, ∴ ℎ(x)min =16,ℎ(x)max =18. 当0<a <1时,有F(x)min =log a 18, 令log a 18=2,解得a =3√2>1(舍去); 当a >1时,有F(x)min =log a 16, 令log a 16=2,解得a =4>1, ∴ a =4.(3)当0<a <1,x ∈[1, 2]时,有f(x)≥g(x)恒成立,即当0<a <1,x ∈[1, 2]时,log a x ≥2log a (2x +t −2)恒成立, 由log a x ≥2log a (2x +t −2)可得log a √x ≥log a (2x +t −2), ∴ √x ≤2x +t −2, ∴ t ≥−2x +√x +2. 设u(x)=−2x +√x +2 =−2(√x)2+√x +2 =−2(√x −14)2+178.∵ x ∈[1, 2],∴ √x ∈[1, √2].∴ u(x)max =u(1)=1,∴ 实数t 的取值范围为t ≥1.。
对数运算练习题1.将下列指数式改为对数式:(1)12316 _________________( 2)814x __________________ 42.将下列对数式改为指数式:(1)log483( 2)log1x 5 ______________ ___________________423. 3log33log37149___________ 24log3 4 log3124.log a x2log a n log a p ,则x___________ log a m25. lg 0.0622lg 61_____________ lg 66. 下列指数式与对数式互化不正确的一组是()A 10011与 log 2711 1与 lg10B27 3333 11与51C log392与 923D log 5 557. 已知log x16 2 ,则 x 的值为()A 4B4C4D 1 48. 下列各等式中,正确运用对数运算性质的是()A lg x2 y z lg x 2lg z B lg x2 y z2lg y2lg z lg y lg xC lg x2 y z2lg x lg y2lg zD lg x2 y z2lg x lg y 1lg z9. 以下运算中结果正确的是2()A log102log 10 5 1B log 4 6log 4 21 log 4 32131log 2 8C log52lg x lg y2lg z D3 log 2 8 3 35310. 已知a log 3 2 ,那么 log 3 82log 3 6 ,用 a 表示是()A a2B5a2C 3a12D3a a21 a11.计算:11lg9lg 240(1)lg 4 lg5lg20 lg522( 2)2lg 27lg3613512. 已知log a2x,log a 3y ,求 a2 x y的值13. 设在海拔x米处的大气压强是yPa ,已知 y ce kx,其中 c, k 为常数,若沿海某地元旦那天,在海平面的大气压强为 1.01105 Pa ,100米高空的大气压强是0.90 105 Pa ,求8000米高空的大气压强(结果保留 4 为有效数字)答案: 1. (1)log11623(2)log81x44 352. ( 1)448( 2)1x23.34.m15.n2 p6.C7.B8.D9.A10.A11.(1)2(2)112.1213.4.015 104 Pa。
高中数学对数与对数运算训练题(含答案)1.2-3=18化为对数式为()A.log182=-3 B.log18(-3)=2C.log218=-3 D.log2(-3)=18解析:选C.根据对数的定义可知选C.2.在b=log(a-2)(5-a)中,实数a的取值范围是() A.a>5或a B.2<a<3或3<a<5C.25 D.3<a<4解析:选B.5-a>0a-2>0且a-21,2<a<3或3<a<5. 3.有以下四个结论:①lg(lg10)=0;②ln(lne)=0;③若10=lgx,则x=10;④若e=lnx,则x=e2,其中正确的是()A.①③ B.②④C.①② D.③④解析:选C.lg(lg10)=lg1=0;ln(lne)=ln1=0,故①、②正确;若10=lgx,则x=1010,故③错误;若e=lnx,则x=ee,故④错误.4.方程log3(2x-1)=1的解为x=________.解析:2x-1=3,x=2.答案:21.logab=1成立的条件是()A.a=b B.a=b,且b0C.a0,且a D.a0,a=b1解析:选D.a0且a1,b0,a1=b.2.若loga7b=c,则a、b、c之间满足()A.b7=ac B.b=a7cC.b=7ac D.b=c7a解析:选B.loga7b=cac=7b,b=a7c.3.如果f(ex)=x,则f(e)=()A.1 B.eeC.2e D.0解析:选A.令ex=t(t0),则x=lnt,f(t)=lnt.f(e)=lne=1.4.方程2log3x=14的解是()A.x=19 B.x=x3C.x=3 D.x=9解析:选A.2log3x=2-2,log3x=-2,x=3-2=19. 5.若log2(log3x)=log3(log4y)=log4(log2z)=0,则x +y+z的值为()A.9 B.8C.7 D.6解析:选A.∵log2(log3x)=0,log3x=1,x=3.同理y=4,z=2.x+y+z=9.6.已知logax=2,logbx=1,logcx=4(a,b,c,x>0且1),则logx(abc)=()A.47B.27C.72D.74解析:选D.x=a2=b=c4,所以(abc)4=x7,所以abc=x74.即logx(abc)=74.7.若a0,a2=49,则log23a=________.解析:由a0,a2=(23)2,可知a=23,log23a=log2323=1.答案:18.若lg(lnx)=0,则x=________.解析:lnx=1,x=e.答案:e9.方程9x-63x-7=0的解是________.解析:设3x=t(t0),则原方程可化为t2-6t-7=0,解得t=7或t=-1(舍去),t=7,即3x=7. x=log37.答案:x=log3710.将下列指数式与对数式互化:(1)log216=4;(2)log1327=-3;(3)log3x=6(x>0); (4)43=64;(5)3-2=19; (6)(14)-2=16.解:(1)24=16.(2)(13)-3=27.(3)(3)6=x.(4)log464=3.(5)log319=-2.(6)log1416=-2.11.计算:23+log23+35-log39.解:原式=232log23+353log39=233+359=24+27=51. 12.已知logab=logba(a0,且a1;b0,且b1).求证:a=b或a=1b.证明:设logab=logba=k,则b=ak,a=bk,b=(bk)k=bk2.∵b0,且b1,k2=1,即k=1.当k=-1时,a=1b;当k=1时,a=b.a=b或a=1b,命题得证.。
必修一 对数与对数运算 练习题C 附答案一、选择题 1.log 89log 23=( )A.23B.32 C .1 D .2[答案] A[点拨] 原式=lg9lg8lg3lg2=2lg33lg2lg3lg2=23,故选A.2.log 23·log 3m =12,则m =( ) A .2 B. 2 C .4 D .1[答案] B[解析] log 23·log 3m =log 2m =12 ∴m =2 12=2,故选B.3.log 23·log 34·log 45·log 56·log 67·log 78=( ) A .1 B .2 C .3 D .4[答案] C[解析] log 23·log 34·log 45·log 56·log 67·log 78=lg3lg2×lg4lg3×lg5lg4×lg6lg5×lg7lg6×lg8lg7=lg8lg2=3,故选C.4.若2.5x=1000,0.25y=1000,则1x -1y =( )A.13 B .3 C .-13 D .-3[答案] A[解析] x =log 2.51000,y =log 0.251000, ∴1x =log 10002.5,1y =log 10000.25,∴1x -1y =log 10002.5-log 10000.25=log 100010=13,故选A. 5.设lg2=a ,lg3=b ,则log 512等于( ) A.2a +b 1+a B.a +2b1+a C.2a +b 1-a D.a +2b 1-a[答案] C[解析] log 512=lg12lg5=2lg2+lg31-lg2=2a +b1-a,故选C.6.设,则x ∈( )A .(-2,-1)B .(1,2)C .(-3,-2)D .(2,3)[答案] D[解析]=log 310∈(2,3),故选D.7.设a 、b 、c ∈(0,+∞),且3a =4b =6c ,则以下四个式子中恒成立的是( )A.1c =1a +1bB.2c =2a +1bC.1c =2a +2bD.2c =1a +2b[答案] B[解析] 设3a =4b =6c =m , ∴a =log 3m ,b =log 4m ,c =log 6m , ∴1a =log m 3,1b =log m 4,1c =log m 6, 又∵log m 6=log m 3+log m 2,1c =1a +12b ,即 2c =2a +1b ,故选B.8.设方程(lg x )2-lg x 2-3=0的两实根是a 和b ,则log a b +log b a 等于( )A .1B .-2C .-103D .-4 [答案] C[解析] 由已知得:lg a +lg b =2,lg a lg b =-3,那么log a b +log b a =lg b lg a +lg a lg b =lg 2b +lg 2alg a lg b=(lg a +lg b )2-2lg a lg b lg a lg b =4+6-3=-103,故选C. 二、填空题9.log 22+log 927+4log 413=________.[答案] 15[解析] 原式=12+log 3233+13=15. 10.log 43·log 13432=________.[答案] -58[解析] 原式=log 43·(-14log 332)=-14×log 432=-14×log 2225=-14×52=-58.11.lg9=a,10b =5,用a 、b 表示log 3645为________. [答案]a +ba -2b +2[解析] 由已知b =lg5,则log 3645=lg45lg36=lg5+lg9lg4+lg9=a +b a +2lg2=a +b a +2(1-b )=a +ba -2b +2.12.(山东淄博2012~2013高一期中试题)设3x=4y=36,则2x +1y =________.[答案] 1[解析] 由3x=4y=36得x =log36,y =log 436,2x +1y =2log 336+1log 436=2log 363+log 364=log 369+log 364=log 3636=1. 三、解答题13.(瓮安二中2012~2013学年度第一学期高一年级期末考试数学科卷)求下列各式的值:(1)log 427·log 258·log 95;(2)(log 43+log 83)(log 32+log 92). [解析] (1)原式=lg27lg4·lg8lg25·lg5lg9 =3lg32lg2·3lg22lg5·lg52lg3 =98(2)解法一:原式=log 43·log 32+log 83·log 32+log 43·log 92+log 83·log 92=log 223·log 32+log 233·log 32+log 223·log 322+log 233·log 322=12log 23·log 32+13log 23·log 32+12log 23·12log 32+13log 23·12log 32=12+13+14+16=54.解法二:原式=(log 223+log 233)·(log 32+log 322) =(12log 23+13log 23)(log 32+12log 32) =56log 23×32log 32=54.14.计算:(log 23+log 49+log 827+…+log 2n 3n )×log 9n32. [分析] 此题是不同底数的对数运算,也需用换底公式进行化简求值.[解析] 原式=(log 23+2log 232log 22+3log 233log 22+…+n log 23n log 22)×log 9n32=(log 23+log 23+log 23+…+log 23)×log 9n32 =n ×log 23×5n ×12log 32=52.[点评] (1)应用换底公式时,究竟换成以什么为底? ①一般全都换成以10为底的对数.②根据情况找一个底数或真数的因子作为底.(2)直接利用换底公式的下面几个推论,加快解题速度. log a b =1log ba ,log anb m =mn log a b ,log an b n =log a b .15.某化工厂生产化工产品,去年生产成本为50元/桶,现使生产成本平均每年降低28%,那么几年后每桶的生产成本为20元(lg2≈0.301 0,lg3≈0.477 1,精确到1年)?[分析] 设x 年后每桶的生产成本为20元,由题意列出关于x,50,28%,20之间的关系式,解出x .[解析] 设x 年后每桶的生产成本为20元. 1年后每桶的生产成本为50×(1-28%), 2年后每桶的生产成本为50×(1-28%)2, x 年后每桶的生产成本为50×(1-28%)x =20. 所以,0.72x =0.4,等号两边取常用对数,得 x lg0.72=lg0.4.故x =lg0.4lg0.72=lg (4×10-1)lg (72×10-2)=lg4-1lg72-2=2lg2-13lg2+2lg3-2≈0.3010×2-13×0.3010+2×0.4771-2=-0.398-0.1428≈3(年). 所以,3年后每桶的生产成本为20元. 16.设3x =4y =6x =t >1,求证:1z -1x =12y .[分析] 对数与指数的底数都不相同时,首先用换底公式将底数化为相同.[解析] 证法一:∵3x =4y =6z =t >1, ∴x =lg t lg3,y =lg t lg4,z =lg t lg6, ∴1z -1x =lg6lg t -lg3lg t =lg2lg t =lg42lg t =12y . 证法二:∵3x =4y =6z =t >1,两边同时取以t 为底的对数,得x log t 3=y log t 4=z log t 6=1, ∴1z -1x =log t 6-log t 3=log t 2=12log t 4=12y .[点评] 化为同底与指对互化是解决指数、对数求值问题的常用策略.运用换底公式时,要注意选取合适的底数,以达到简化运算的作用.。
对数与对数运算练习题及答案一.选择题1.2-3=18化为对数式为( )A .log 182=-3B .log 18(-3)=2C .log 218=-3D .log 2(-3)=182.log 63+log 62等于( )A .6B .5C .1D .log 653.如果lg x =lg a +2lg b -3lg c ,则x 等于( )A .a +2b -3cB .a +b 2-c 3C.ab 2c 3 D.2ab3c4.已知a =log 32,那么log 38-2log 36用a 表示为( )A .a -2B .5a -2C .3a -(1+a )2D .3a -a 2-15. 的值等于( )A .2+ 5B .2 5C .2+52 D .1+526.Log 22的值为( ) A .- 2 B. 2C .-12 D.127.在b =log (a -2)(5-a )中,实数a 的取值范围是( )A .a >5或a <2B .2<a <3或3<a <5C .2<a <5D .3<a <48.方程2log3x =14的解是( )A .x =19B .x =x3C .x = 3D .x =99.若log 2(log 3x )=log 3(log 4y )=log 4(log 2z )=0,则x +y +z 的值为()A .9B .8C .7D .610.若102x =25,则x 等于( ) A .lg 15 B .lg5 C .2lg5 D .2lg 1511.计算log 89·log 932的结果为( )A .4 B.53 C.14 D.3512.已知log a x =2,log b x =1,log c x =4(a ,b ,c ,x >0且≠1),则log x (abc )=( )A.47B.27C.72D.74二.填空题1. 2log 510+log 50.25=____.2.方程log 3(2x -1)=1的解为x =_______.3.若lg(ln x )=0,则x =_ ______.4.方程9x -6·3x -7=0的解是_______5.若log 34·log 48·log 8m =log 416,则m =________.6.已知log a 2=m ,log a 3=n ,则log a 18=_______.(用m ,n 表示)7.log 6[log 4(log 381)]=_______.8.使对数式log (x -1)(3-x )有意义的x 的取值范围是_______三.计算题1.计算:(1)2log 210+log 20.04 (2)lg3+2lg2-1lg1.2(3)log 6112-2log 63+13log 627 (4)log 2(3+2)+log 2(2-3);2.已知log 34·log 48·log 8m =log 416,求m 的值.对数与对数运算练习题答案一.选择题1. C 2. C 3. C 4. A 5. B 6. D 7. B 8 A 9. A 10. B11.B 12.D二.填空题1. 22. 23. e4. x =log 375. 96. m +2n7. 08. 1<x <3且x ≠2三.计算题1.解: (1)2log 210+log 20.04=log 2(100×0.04)=log 24=2(2)lg3+2lg2-1lg1.2=lg(3×4÷10)lg1.2=lg1.2lg1.2=1(3)log 6112-2log 63+13log 627=log 6112-log 69+log 63=log 6(112×19×3)=log 6136=-2.(4)log 2(3+2)+log 2(2-3)=log 2(2+3)(2-3)=log 21=0.2. [解析] log 416=2,log 34·log 48·log 8m =log 3m =2,∴m =9.欢迎您的下载,资料仅供参考!致力为企业和个人提供合同协议,策划案计划书,学习课件等等打造全网一站式需求。
对数运算-计算题练习(含答案)作者: 日期:2017-2018学年高一数学必修一对数运算计算题练习1、计算:LgV27 + lg8-31og42 .lgl-22、计算:l Cfi32EL+i E25+lfi4+7lwa +log a3»lo^43、计算:■ - v' ■: ■■_.•匕:1 -.4、计算:- 45、计算:U8^1gl25-1^2-U5 lg丽湮0」6、计算:log2 24 lg 0.5 log 3^27 lg 2 log2 3&计算:v'lg 23 lg9 1 (lg V27 lg 8 lg J1000) lg0.3lg1.2 9、计算:2lg25 + lg2 • lg 50 + lg 2;10、计算: (log t3+log83)(log3 2+lofo 2)11、计算: 农1^5 +临20_严+12、计算:2f吁25+汝13、计算:| : ; . : ' I ■ : 114、计算:2(lg..2)2 Ig._2lg5「(lg —2)2一lg 2一121og 3 2 - log 3 #+ log 3 8-17、计算::.!_ : : I + _ - I - I J15、计算: 16、计算:@劄0十治5 +殛2 + w -(占詁第5页共10页18、计算:I 上‘ +_.“:+_ 厂;-寸堆25-hlg2-lg^/OJ -log2 ^xlog^S20、计算:21、计算: L2 l_41g3+4+te 6-1^0.0222、计算:| 丁― .「•・「+ y ‘「—..■;21g2 + lg323、计算:l + |lg0.3fi+24、计算:⑵捱25+lg 2-lg7ol25、计算: 呃扮+1吧卫-拖曲26、计算: 迢25 +葩-泸昭+Qog昇+ 1。
毀9) log s227、计算:l 盯+ _ __ ■:;21s2+lg328、计算1+-1?O.^+-1S82 63 &29、计算: 1' L - f■-…- :'- "L',.1-. .21s2+lg330、计算: .1 ' .7 1 -'31、计算:(¥启 + + In 苕-畑232、计算:322log 32 —log 3 ' + log 38—■■:;33、计算: .x J U计算 34 计算 35、 (log 32+log i>2)(kg 43+kg 3?) 计算 36 lg 计算 37、 0.06^1 计算 38、 计算 39、n s> + 16* 4-0.25a d-21o536-log 312—log 25 2也 70-lg 3- 2(Ig5) + lg2 • lg50 + 21 + l+-lg^-lg24Q l-|lg27+lg^+1参考答案1、答案为 1.5.2、答案为 4.753、答案为 6.5.4、答案为 4.5.5、答案为-4.6、答案为 1.5.&答案为-1.5.9、答案为 2.10、答案为 1.25.11、答案为212、答案为513、答案为1+ 2书14、答案为 1.15、答案为-7.16、答案为 5.17、答案为0.18、答案为320、答案为0.5.21、答案为 4.22、答案为-2 a .23、答案为 1.24、答案为 1.5.25、答案为0.5.26、答案为7/6.27、答案为 6.28、答案为 1.29、答案为 3.5.30、答案为 1.31、答案为 3.5.32、答案为-7.33、答案为 2.34、答案为035、答案为 1.25.36、答案为lg3.37、答案为1+ 2搭38、答案为11.39、答案为 2.。
对数与对数函数(讲义)知识点睛一、对数与对数的运算1.对数(1)如果x a N =(a >0,且a ≠1),那么数x 叫做以a 为底N 的对数,记作log a x N =,其中a 叫做对数的底数,N 叫做真数.常用对数:10log lg N N =;自然对数:e log ln N N =.(2)当a >0,且a ≠1时,x a N =⇔log a x N =.(3)负数和零没有对数;log 10a =,log 1a a =.2.对数的运算性质(1)如果a >0,且a ≠1,M >0,N >0,那么①log ()log log a a a M N M N ⋅=+;②log log log aa a MM N N=-;③log log ()n a a M n M n =∈R .(2)换底公式:log log log c a c bb a=(a >0,且a ≠1;c >0,且c ≠1;b >0).(3)log (010)a b a b a a b =>≠>,;.二、对数函数及其性质1.定义:一般地,函数log (0,1)a y x a a =>≠且叫做对数函数,其中x 是自变量,函数的定义域是(0,+∞).2.对数函数log (0,1)a y x a a =>≠且的图象和性质:0<a <1a >1图象定义域(0,+∞)值域R性质①过定点(1,0),即x =1时,y =0②在(0,+∞)上是减函数②在(0,+∞)上是增函数3.对数函数底数变化与图象分布规律1log a y x =;②log b y x =;③log c y x =;④log d y x =,则有0<b <a <1<d <c ,即:x ∈(1,+∞)时,log log log log a b c d x x x x <<<;x ∈(0,1)时,log log log log a b c d x x x x >>>.4.反函数对数函数与指数函数互为反函数,互为反函数的两个函数的图象关于直线y x =对称.精讲精练1.把下列指数式化为对数式,对数式化为指数式.(1)32=8_______________;(2)415625-=_______________;(3)13127=3-_______________;(4)lg 0.0013=-_____________;(5)0.3log 2=a _____________;(6)ln x =_____________.2.求下列各式的值.(1)43log (927)⨯(2)1lg lg 4lg 52++(3)661log 12log 2-(4)22333399(log 2)(log )log log 422++⋅(5)2345log 3log 4log 5log 2⋅⋅⋅(6)48525(log 5log 5)(log 2log 2)++3.已知234log [log (log )]0x =,则x 的值为_________.4.已知3485log 4log 8log log 25m ⋅⋅=,那么m 的值为()A .9B .18C .12D .275.已知4823log 3x y ==,,则x +2y 的值为()A .3B .8C .4D .log 486.已知log 3a m =,log 2a n =,那么a 2m +3n =()A .17B .72C .108D .317.已知lg lg 2lg(2)x y x y +=-,则xy的值为_________.8.设lg a ,lg b 是方程2x 2-4x +1=0的两个实根,则2(lg )ab的值等于()A .2B .12C .4D .149.已知函数()lg f x x =.若()1f ab =,则22()()f a f b +=_____.10.下列函数表达式中是对数函数的是()A .0.01log (0)y x x =>B .22log y x =C .2log (2)(2)y x x =+>-D .2ln(1)y x =+11.若点(a ,b )在lg y x =图象上,且a ≠1,则下列点也在此图象上的是()A .1()b a ,B .(10a ,1-b )C .10(1)b a+,D .(a 2,2b )12.若函数log ()a y x b =+(a >0,a ≠1)的图象过两点(-1,0)和(0,1),则()A .a =2,b =2B .2a b ==C .a =2,b =1D .a b ==13.直接写出下列函数的定义域:311log (2)_______________2345log (3)_______________16_______________ln(1)x y x y y y y x y x -=-====-=+=+();();();();();().14.已知()f x 的定义域为[0,1],则函数12[log (3)]y f x =-的定义域是_____________.15.函数212log (613)y x x =++的值域为()A .RB .[8,+∞)C .(-∞,-2]D .[-3,+∞)16.函数log a y x =在区间[2,π]上最大值比最小值大1,则a =__________.17.下列判断不正确的是()A .22log 3.4log 4.3<B .0.20.3log 0.4log 0.4<C .67log 7log 6>D .30.3log log 4π<18.为了得到函数3lg10x y +=的图象,只需把函数lg y x =的图象上所有的点()A .向左平移3个单位长度,再向上平移1个单位长度B .向右平移3个单位长度,再向上平移1个单位长度C .向左平移3个单位长度,再向下平移1个单位长度D .向右平移3个单位长度,再向下平移1个单位长度19.函数21log (01)1a x y a a x +=>≠-,的图象过定点P ,则点P 的坐标为()A .(1,0)B .(-2,0)C .(2,0)D .(-1,0)20.已知函数()log (1)a f x x =+,()log (1)a g x x =-(a >0,且a ≠1).(1)求函数()()f x g x +的定义域;(2)判断函数()()f x g x +的奇偶性,并说明理由.21.设a ,b ∈R 且a ≠2,定义在区间(-b ,b )上的函数1()lg12axf x x+=+满足:()()0f x f x +-=.(1)求实数a 的值;(2)求b 的取值范围.22.已知关于x 的方程212log 210x a x ⋅--=有实数根,求a 的取值范围.23.已知函数2log [(21)]a y x a x a =--+的定义域为R ,求实数a 的取值范围.回顾与思考________________________________________________________________________________________________________________________________________________________________________【参考答案】1.(1)2log 83=;(2)51log 4625=-;(3)2711log 33=-;(4)3100.001-=;(5)0.32a =;(6)e x =2.(1)11;(2)1;(3)12;(4)4;(5)1;(6)543.644.A 5.A 6.B 7.48.A 9.210.A 11.D 12.A13.(1)(2)+∞,;(2)(0)+∞,;(3)2(1]3,;(4)(0;(5)(12)(23)⋃,,;(6)(10)(02]-⋃,,14.5[22,15.C16.2π或2π17.D18.C 19.B20.(1)(-1,1);(2)偶函数,证明()()()()f x g x f x g x -+-=+21.(1)2a =-;(2)102b ≤<22.02a ≤<23.33(11)(1122,-⋃+对数与对数函数(随堂测试)1.函数22()log (2)f x x x a =-+的值域为[0,+∞),则正实数a 等于()A .1B .2C .3D .42.求函数2log (4)(01)a y x x a a =->≠,且的单调递减区间.【参考答案】1.B2.当01a <<时,f (x )的单调递减区间为(0,2];当1a >时,f (x )的单调递减区间为[2,4)对数与对数函数(作业)1.求下列各式的值.(1)lg +(2)553log 10log 0.125+(3)22(lg 2)(lg 5)lg 4lg 5++⋅(4)22lg 5lg83+(5)20321log log ()52-+-(6)231lg 25lg 2lg log 9log 22+-⨯2.下列对数运算中,一定正确的是()A .lg()lg lg M N M N +=⋅B .ln ln n M n M =C .lg()lg lg M N M N⋅=+D .lg log lg a b b a=3.已知3log 2a =,那么33log 22log 6-用a 表示是()A .5a -2B .-a -2C .3a -(1+a )2D .3-a 2-14.设a ,b ,c 均为不等于1的正实数,则下列等式中恒成立的是()A .log log log a c c b b a ⋅=B .log log log a c c b a b ⋅=C .log ()log log a a a bc b c =⋅D .log ()log log a a a b c b c+=+5.已知x ,y 为正实数,则下列式子中正确的是()A .lg lg lg lg 222x y x y +=+B .lg()lg lg 222x y x y +=⋅C .lg lg lg lg 222x y x y⋅=+D .lg()lg lg 222x y x y⋅=⋅6.设方程22(lg )lg 30x x --=的两实根是a ,b ,则log log a b b a +等于()A .1B .-2C .-4D .103-7.在(2)log (5)a y a -=-中,实数a 的取值范围是()A .5a >或2a <B .23a <<或35a <<C .25a <<D .34a <<8.函数()ln1xf x x =+-的定义域为()A .(0,+∞)B .(1,+∞)C .(0,1)D .(0,1)∪(1,+∞)9.已知函数12()2log f x x =的值域为[-1,1],则函数()f x 的定义域为()A .22B .[11]-,C .1[2]2,D .2(])2-∞⋃∞,+10.已知3log 6a =,5log 10b =,7log 14c =,则()A .c b a >>B .b c a >>C .a c b >>D .a b c>>11.已知2log 3.45a =,4log 3.65b =,3log 0.31()5c =,则()A .a b c >>B .b a c >>C .a c b >>D .c a b>>12.函数12log 2y x =+的单调增区间为()A .()-∞∞,+B .(2)-∞-,C .(2)-∞+,D .(2)(2)-∞-⋃∞,,+13.若函数log (01)a y x a =<<在区间[a ,2a ]上的最大值是最小值的3倍,则a的值为()A .22B .24C .12D .1414.函数log (2)5a y x =-+过定点()A .(1,0)B .(3,1)C .(3,5)D .(1,5)15.当a >1时,在同一坐标系中,函数x y a -=与log a y x =的图象大致是()A .B .C .D .16.设函数()(01)x x f x ka a a a -=->≠,在()-∞+∞,上既是奇函数又是增函数,则()log ()a g x x k =+的图象是()A .B .C .D .17.已知函数e 1(1)()ln (1)x x f x x x ⎧-=⎨>⎩≤,则(ln 2)f 的值为_________.18.函数12log (1)()2(1)x x x f x x ⎧⎪=⎨⎪<⎩≥的值域是_________________.19.已知13log 2a =,0.62b =,4log 3c =,则a ,b ,c 的大小关系为_____________.20.给出下列命题:12log 2log a a x x =;2函数2log (1)y x =+是对数函数;3函数1ln1xy x+=-与ln(1)ln(1)y x x =+--的定义域相同;4若log log a a m n <,则m n <.其中正确的命题是_________.21.已知函数()f x 在[0)+∞,上是增函数,()(||)g x f x =-,若(lg )(1)g x g >,求x 的取值范围.22.设函数212log (0)()log ()(0)xx f x x x >⎧⎪=⎨-<⎪⎩,若()()f a f a >-,求实数a 的取值范围.23.已知函数3()2log f x x =+(1≤x ≤9),求函数22[()]()y f x f x =+的最大值.【参考答案】24.(1)1;(2)3;(3)1;(4)2;(5)4;(6)12-25.D26.B27.B28.D29.D30.B31.B32.A33.D34.C35.B36.B37.C38.A39.C40.141.(2)-∞,42.a <c <b43.③44.11010x <<45.1a >或10a -<<46.22阅读材料反函数趣谈在指数函数2x y =中,x 为自变量,y 为因变量.如果把y 当成自变量,x 当成因变量,同学们思考一下,x 是不是y 的函数?在指数函数2x y =中,过y 轴正半轴上任意一点作x 轴的平行线,与2x y =的图象有且只有一个交点.另一方面,根据指数与对数的关系,由指数式2x y =可得到对数式2log x y =.这样,对于任意一个(0)y ∈+∞,,通过式子2log x y =,在R 中都有唯一确定的x 和它对应.此时,可以把y 作为自变量,x 作为y 的函数,这时我们就说2log x y =((0))y ∈+∞,是函数2x y =()x ∈R 的反函数.注意到,在函数2log x y =中,y 是自变量,x 是函数,但是习惯上,我们通常用x 表示自变量,y 表示函数,因此我们对调函数2log x y =中的字母,把它写成2log y x =,这样,对数函数2log y x =((0))x ∈+∞,是指数函数2x y =()x ∈R 的反函数.由前面的讨论可知,指数函数2x y =()x ∈R 与对数函数2log y x =((0))x ∈+∞,是互为反函数的.类似地,我们可以得到对数函数log (01)a y x a a =>≠,且和指数函数x y a =(01)a a >≠,且互为反函数.在上面的讨论过程中我们发现,过y 轴正半轴上任意一点作x 轴的平行线,与2x y =的图象有且只有一个交点,这就保证了对于任意一个(0)y ∈+∞,,都有唯一确定的2log x y =和它对应,进而才能得到反函数.这就启发我们,不是任意的函数都存在反函数的,只有一一对应的函数才存在反函数.一一对应的函数是指值域中的每一个元素y 只有定义域中的唯一的一个元素x 和它相对应,即定义域中的元素x 和值域中的元素y ,通过对应法则y=f (x )存在着一一对应关系.清楚了反函数存在的条件后,我们接下来讨论反函数的性质.通过画出指数函数2x y =与对数函数2log y x =的图象后,我们发现它们是关于直线y=x 对称的,也就是互为反函数的两个函数的图象是关于直线y=x 对称的.这与我们前面的分析也是一致的,原函数与反函数是定义域、值域互换,对应法则互逆.研究反函数的性质离不开函数的单调性和奇偶性,下面的结论同学们可以自己尝试证明.一个函数与它的反函数在相应区间上单调性是一致的,也就是说如果原函数在某个区间上是单调递增(减)的,那么它的反函数在相应区间上也是单调递增(减)的.关于奇偶性,如果一个奇函数存在反函数,那么它的反函数也是奇函数;一般情况下偶函数是不存在反函数的,例外情况是f (x )=C (C 为常数).学习了反函数这种重要的工具,它可以帮助我们解决很多问题.当原函数的性质不容易研究时,我们可以考虑研究它的反函数.比如当直接求原函数的值域比较困难时,可以通过求其反函数的定义域来确定原函数的值域,来看一道具体的例题.【例】已知函数10110x xy =+,求它的值域.解析:先计算它的反函数,由10110x x y =+得到(110)10x x y +=,解得101x y y =-,反函数即为lg 1y x y =-,反函数的定义域为原函数的值域,也就是01y y >-,原函数的值域即为(01),.练习题1.下列函数中,有反函数的是()A .22y x x=+B .||y x =C .2lg y x =D .11y x =-2.函数21x y =-的反函数为_____________.3.已知函数1212x x y -=+,求它的值域.【参考答案】1.D2.2log (1)y x =+3.(-1,1)。
第四章 指数函数与对数函数4.3.2 对数的运算一、选择题1.(2019全国高一课时)若a >0,a≠1,x >0,y >0,x >y ,下列式子中正确的个数是( )①log a x·log a y =log a (x +y);②log a x -log a y =log a (x -y);③log a x y =log a x÷log a y; ④log a (xy)=log a x·log a y.A.0B.1C.2D.3【答案】A【解析】由对数的运算性质,得到logax•logay≠loga (x+y );log log log x x yya a a -= ;log a (xy )=log a x+log a y . 故选A2.(2019全国高一课时练)lg8+3lg5的值为( )A.-3B.-1C.1D.3【答案】D【解析】383585212510003lg lg lg lg lg lg lg ==+==Q ++,故选D 。
3.(2019甘肃武威十八中高一课时练)已知lg2=0.301,lg3=0.477 ,则lg12= ()A.0.778B.1.079C.0.301D.0.477【答案】B【解析】因为lg12lg 3lg 4lg 32lg 20.47720.301 1.079.=+=+=+´=所以选B.4.(2019全国高一课时) 若log 34·log 8m =log 416,则m 等于( )A.3B.9C.18D.27【答案】D【解析】原式可化为log 8m =432log ,lg 2lg 43lg 2lg 3m =,即lg m =6lg 2lg 32lg 2×,lg m =lg 27,m =27.故选D.5.(2017·全国高一课时练习)设,则f[f(2)]的值为A.0B.1C.2D.3【答案】C 【解析】f(2)=log 3(22−1)=log 33=1,则f[f(2)]=2.6.(2017·全国高一课时练习)已知,,,,则下列等式一定成立的是A.B.C.D.【答案】B【解析】因为,,所以,.又,所以,则.二、填空题7.(2019·全国高一课时练)地震的震级R 与地震释放的能量E 的关系为R =23(lg E -11.4).2011年3月11日,日本东海岸发生了9.级特大地震,2008年中国汶川的地震级别为8.0级,那么2011年地震的能量是2008年地震能量的__________倍.【答案】【解析】设震级9.0级、8.0级地震释放的能量分别为21E E 、,则212983lgE lgE ()-=-,即3222113102E E lg E E ,=\== .那么2011年地震的能量是2008年地震能量的倍.故答案为.8.(2019全国高一课时练)方程lg x +lg (x -1)=1-lg 5的根是________.【答案】2【解析】方程变形为lg [x (x -1)]=lg 2,所以x (x -1)=2,解得x =2或x =-1.经检验x =-1不合题意,舍去,所以原方程的根为x =2.9.(2017·全国高一课时练习)若,则【答案】【解析】,从而,故选D .10.(2017·北京市第二中学分校高一课时练习)设函数()(0a f x log x a >=且1)a ¹,若()12 2 0128f x x x ¼=,则222122012()()()f x f x f x +++L 的值等于________.【答案】16【解析】由()1220128f x x x ¼=,得()1220128a log x x x ¼=.因为()()()222222122012122012a a a f x f x f x log x log x log x +++=+++L L 1220122 2 2a a a log x log x log x =+++L ()1220122 a a a log x log x log x =+++L ()1220122 2816a log x x x =¼=´=故答案为16.三、解答题11.(2019·全国高一课时练习)化简:;(2)(lg5)2+lg2lg50+2211+log 52.【答案】(1)115(2)1+ 【解析】 (1)原式===. (2)原式=(lg5)2+lg2(lg5+1)+21·log 2=lg5·(lg5+lg2)+lg2+2=1+2.12.(2019·全国高一课时练习)若a 、b 是方程2lg 2 x -lg x 4+1=0的两个实根,求lg(ab )·lg lg lg lg b a a b æö+ç÷èø的值.【答案】12【解析】原方程可化为2lg 2x -4lg x +1=0,设t =lg x ,则原方程化为2t 2-4t +1=0,∴t 1+t 2=2,t 1t 2=.由已知a ,b 是原方程的两个根,则t 1=lg a ,t 2=lg b ,即lg a+lg b=2,lg a·lg b=,lg(ab)·lg lglg lgb aa bæö+ç÷èø==(lg a+lgb)·()2lg lg2lg lglg lga b a ba b+-=2×=12.故lg(ab)·lg lglg lgb aa bæö+ç÷èø=12.。
对数与对数运算练习题一.选择题1.2-3=18化为对数式为( ) A .log 182=-3B .log 18(-3)=2C .log 218=-3 D .log 2(-3)=182.log 63+log 62等于( )A .6B .5C .1D .log 65 3.如果lg x =lg a +2lg b -3lg c ,则x 等于( ) A .a +2b -3cB .a +b 2-c 3C.ab 2c 3D.2ab 3c4.已知a =log 32,那么log 38-2log 36用a 表示为( ) A .a -2B .5a -2C .3a -(1+a )2D .3a -a 2-15.的值等于( ) A .2+ 5 B .2 5 C .2+52D .1+526.Log 22的值为( ) A .- 2 B. 2 C .-12D.127.在b =log (a -2)(5-a )中,实数a 的取值范围是( ) A .a >5或a <2 B .2<a <3或3<a <5 C .2<a <5D .3<a <48.方程2log3x =14的解是( ) A .x =19B .x =x3C.x= 3 D.x=99.若log2(log3x)=log3(log4y)=log4(log2z)=0,则x+y+z的值为() A.9 B.8C.7 D.610.若102x=25,则x等于()A.lg 15B.lg5 C.2lg5 D.2lg1511.计算log89·log932的结果为()A.4 B.53C.14D.3512.已知log a x=2,log b x=1,log c x=4(a,b,c,x>0且≠1),则log x(abc)=()A.47 B.27C.72 D.74二.填空题1.2log510+log50.25=____.2.方程log3(2x-1)=1的解为x=_______.3.若lg(ln x)=0,则x=_ ______.4.方程9x-6·3x-7=0的解是_______5.若log34·log48·log8m=log416,则m=________.6.已知log a2=m,log a3=n,则log a18=_______.(用m,n表示) 7.log6[log4(log381)]=_______.8.使对数式log(x-1)(3-x)有意义的x的取值范围是_______三.计算题1.计算:(1)2log210+log20.04 (2)lg3+2lg2-1lg1.2(3)log6112-2log63+13log627 (4)log2(3+2)+log2(2-3);2.已知log34·log48·log8m=log416,求m的值.对数与对数运算练习题答案一.选择题1.C 2. C 3. C 4. A 5. B 6. D 7. B 8 A 9. A 10. B11.B 12.D二.填空题1. 22. 23. e4. x=log375. 96. m+2n7. 08. 1<x<3且x≠2三.计算题1.解:(1)2log210+log20.04=log2(100×0.04)=log24=2(2)lg3+2lg2-1lg1.2=lg(3×4÷10)lg1.2=lg1.2lg1.2=1(3)log6112-2log63+13log627=log6112-log69+log63=log6(112×19×3)=log6136=-2.(4)log2(3+2)+log2(2-3)=log2(2+3)(2-3)=log21=0.2. [解析] log 416=2,log 34·log 48·log 8m =log 3m =2, ∴m =9.对 数一、选择题 1、25)(log 5a -(a ≠0)化简得结果是( ) A 、-aB 、a 2C 、|a |D 、a2、 log 7[log 3(log 2x )]=0,则21-x 等于( )A 、31B 、321 C 、221 D 、3313、 nn ++1log(n n -+1)等于( ) A 、1B 、-1C 、2D 、-24、 已知32a =,那么33log 82log 6-用表示是( )A 、2a -B 、52a -C 、23(1)a a -+ D 、 23a a - 5、 2log (2)log log a a a M N M N -=+,则NM的值为( ) A 、41B 、4C 、1D 、4或1 6、 若log m 9<log n 9<0,那么m,n 满足的条件是( ) A 、m>n>1 B 、n>m>1 C 、0<n<m<1 D 、0<m<n<17、 若1<x<b,a=log 2b x,c=log a x,则a,b,c 的关系是( ) A 、a<b<c B 、 a<c<b C 、c<b<a D 、c<a<b 8、在)5(log 2a b a -=-中,实数a 的范围是( ) A 、 a >5或a <2B 、 25<<aC 、 23<<a 或35<<aD 、 34<<a9、 已知23834x y ==,log ,则x y +2的值为( ) A 、 3B 、 8C 、 4D 、 log 4810、 设a 、b 、c 都是正数,且c b a 643==,则( ) A 、111c a b=+ B 、221c a b =+ C 、 122c a b=+ D 、212c a b=+ 二、填空题11 、若lg2=a ,lg3=b ,则log 512=________ 12、3a=2,则log 38-2log 36=__________ 13、若2log 2,log 3,m na a m n a+===___________________14、若f x x ()log ()=-31,且f a ()=2,则a=____________ 15、2342923232log ()log ()+-+=___________三、解答题16、计算:(1) 12lg )2(lg 5lg 2lg )2(lg 222+-+⋅+(2)(log 2125+log 425+log 85)(log 52+log 254+log 1258)17、 若lga 、lgb 是方程01422=+-x x 的两个实根,求2)(lg )lg(baab ⋅的值。
姓名_______ §2.2.1 对数与对数运算一、课前准备 1,。
对数:定义:如果a N a a b=>≠()01且,那么数b 就叫做以a 为底的对数,记作b Na =l o g (a 是底数,N 是真数,lo g a N 是对数式。
) 由于N a b=>0故lo g a N 中N 必须大于0。
2.对数的运算性质及换底公式.如果 a > 0,a ≠ 1,b>0,M > 0, N > 0 ,则:(1)log ()a MN = ; (2)nm mn b a =log (3)log aMN= ;(4) log n a M = . (5) b a b a =log 换底公式log a b = . (6) b aba=log (7)ba b a nn log 1log =考点一: 对数定义的应用例1:求下列各式中的x 的值; (1)23log27=x; (2)32log 2-=x ; (3)9127log =x (4)1621log =x例2:求下列各式中x 的取值范围; (1))10(2log-x (2)22)x )1(log +-(x (3)21)-x )1(log (+x例3:将下列对数式化为指数式(或把指数式化为对数式) (1)3log3=x (2)6log 64-=x (3)9132-= (4)1641=x )(考点二 对数的运算性质1.定义在R 上的函数f(x )满足f(x)=⎩⎨⎧>---≤-)0(),2()1(log )0(),4(2x x f x f x x ,则f(3)的值为__________2.计算下列各式的值: (1)245lg 8lg 344932lg 21+- (2)8.1lg 10lg 3lg 2lg -+3.已知)lg(y x ++)32lg(y x +-lg3=lg4+lgx+lgy,求x:y 的值4.计算: (1))log log log 582541252++()log log log 812542525++( (2)3473159725log log log log ••+)5353(2log --+(3)求0.32log ⎝⎭的值 (4):已知 2log 3 = a , 3log 7 = b ,用 a ,b 表示42log 56.随堂练习:1.9312-=⎪⎭⎫⎝⎛写成对数式,正确的是( ) 2log .319-=A 2log .931-=B 9log .2-31=)(C 31log .2-9=)(D 2.=34349log( )A.7B.2C.32D.23 3.成立的条件yx xy 33)(3log log log +=( ) A.x>0,y>0 B.x>0,y<0 C.x<0.y>0 D.R y R x ∈∈, 4.,0,0,1,0>>≠>y x a a 若下列式子中正确的个数有( )①)(log log log y x a y a x a +=• ②)-(log log -log y x a y a x a = ③ya x a y x alog log log ÷= ④y a x a xy a log log log •= A.0 B.1 C.2 D.35.已知0log)2(log 3log 7=⎥⎦⎤⎢⎣⎡x ,那么21-x =( )A.31 B.321 C.221 D.3316已知x f x =)10(,则f(5)=( )A.510B.105C.105logD.lg57.若16488443log log log log =••m ,则m=( ) A.21 B.9 C.18 D.278.设638323log 2log ,log -=则a ,用a 表示的形式是( )A.a-2B.2)1(3a +-C.5a-2D.132-+-a a 9.设a 、b 、c 均为正实数,且c b a 643==,则有( )A.b a c 111+=B.b a c 112+=C.b a c 2111+=D.ba c 212+=10若方程05lg 7lg lg )5lg 7(lg )lg 2=•+++x x (的两根为βα,,则βα•=( ) A.5lg lg7• B.35lg C.35 D.351 二.填空题11.若4123log =x ,则x=________ 12.已知______)21(,)lo (2==f x g f x 则13.已知lg2=0.3010,lg3=0.4771,lgx=-2+0.7781,则x=_________ 三.选做题(三题中任选两道)14.已知lgx+lgy=2lg(x-2y),求yx2log 的值15.已知2014log 4)3(32-=x f x ,求f(2)+f(4)+f(8)+.....+)2(1007f 的值 16.设a 、b 、c 均为不等于1的正数,且0111,=++==zyxc b a z y x ,求abc 的值附答案: 考点一:例1:1,x=9 2,223=x 3,32-=x 4,x=-4例2:1,x>0; 2,21≠>x x 且 3,101-≠≠>x x x 且且例3:1,33)(=x , 2,646=-x 3,2log 913-= 4,x =1641log 考点二:1,-2 2,(1)21 (2)213,x:y=1:2或x:y=3:1(x>0,y>0) 4, (1)13, (2)-1 (3)-21 (4)12+++a ab aab 随堂练习:一选择题:1B;2D;3A;4A;5C;6D;7B;8A;9C;10D(注意原方程的根为x,不是lgx,别弄错了) 二.填空题:11,91 12,2 13, 0.06三选做题:14, 4 15,2014 16,1。
1、《对数:概念》【知识要点】1、对数的概念若N a b =,则称b 是以a 为底N 的对数,记作b N a =log ,其中,a 叫做对数的底数,N 叫做真数。
2、常用对数:对数N 10log 简记为N lg ;自然对数:N e log 简记为N ln3、对数的运算性质N M MN a a a log log )(log += ;=NMalog =n a b log ;=b m a log =n a b m log ;1log =a a ;01log =a 对数恒等式:=xa alog (x >0); =x a a log对数的换底公式:abb c c a log log log =(1,1,0,0,0≠≠>>>c a b c a 且); =•a b b a log log2、《对数与指数的转化》 姓名:【基础】1、将下列对数式改写成指数式 (1)49log 3= (2)c x b a =+)(log (3)3001.0lg -=2、已知4771.03lg ≈,则4771.010≈ 33、若9log x = 2, 则x = 34、若lg 2,lg 3a b ==,则3log 2= ba (用a 、b 表示)5、已知0)](log [log log 237=x ,则21-x=42 6、若0)](log [log log 432=x ,则x =_____ 647、若n m a a ==3log ,2log ,则23n m a-=362 8、若2log 2,log 3,m n a a m n a +=== 129、已知3log 2a =,那么33log 82log 6-用a 表示是 2-a 10、若3log 41x =,则11、已知2(3)log 35x f x =⋅+,则1()(2)2f f +的值等于_________10 12、213)(log x x f =,则f (3) = 313、若13log 2=x ,则x x 93+的值为 6 14、若4log 3a =,则22aa-+=33415、若2log 6log 31log 635=x ,则x =________251 16、 若2log 3x =,则12x-等于42 17、若f x x (ln )=+34,则f x ()= 43+xe 18、已知32a=,那么33log 82log 6-用a 表示是 2a -19、若2log 2,log 3,m n a a m n a +=== 12 20、已知0)](log [log log 237=x ,则21-x=42【难度】1、若211,53=+==ba mb a 且, 则m 的值为 2、若4510a b==,则=+ba 21 2 3、已知lg lg lg 0x y z ++=,则111111()()()lg lg lg lg lg lg z yz xx yxyz+++⋅⋅=10001 4、已知2510x y==,则11x y+= ____________1_5、设lg 2,lg 3a b ==,则5log 12等于 aba -+12(结果用a 或b 的式子表示) 6、若lg2=a , lg3=b , 则log 418= aba 22+7、若52ab==0abc ≠,则c ca b+等于 2 8、若n m a a ==3log ,2log ,则23n m a -=362 9、 已知23834xy ==,log ,则x y +2的值为 3 3、《同底对数加减运算》1、5lg )4lg 3(lg 24lg ++-= 12 43、552log 10log 0.25+= 24、8log 932log 2log 2333+-= 2 5、8.1log 7log 37log 235log 5555-+- = 2 6、=-15log 5log 33 1-8、33(lg5)(lg 2)lg5lg8++⋅= 1 9、()=+⋅++22lg 20lg 5lg 8lg 3225lg ____3_______10、021.10.5lg252lg2-++= 311、2lg 225lg )161(8)25.0(43322---+--= 1012、lg14-37lg2+lg7-lg18 = 0 13、552log 10log 0.25+= 214、2312128log 32log 227-⎛⎫++=⎪⎝⎭134. 15、142log 2112log 487log 222--+= 23-16、计算:21lg 4932-34lg 8+ lg 245.= 2117、42log 2112log 487log 222-+= 21-18、21lg 5(lg8lg1000)(lg lglg 0.066++++= 1 19、()()=-++++321log 321log 22______23_______ 20、不查表,化简:2221log log 12log 422-为 12- .21、求值:222lg 5lg8lg 5lg 20(lg 2)3++⋅+= 3 22、()=+⋅++22lg 20lg 5lg 8lg 3225lg ____3_______23、2lg 25lg 2lg50(lg 2)++= 2 24、化简:()2lg5lg 20lg 2⋅++ 025、((222lg 5lg ++126、若10≤x ≤100, 则|3-lg x |-4)lg(lg 42+-x x = 127、46lg 46lg 29lg 4lg 2+-++ = 428、3lglg 707+ = 3lg 2 29、40lg 50lg 8lg 5lg 2lg --+= 130、26666(1log 3)(log 2)(log 18)log 4-+⋅= 131、2.1lg 10lg 38lg 27lg -+= 2332、求值:022*******log 9log 3log 3log --+= 033、1.0lg 21036.0lg 21600lg )2(lg 8000lg 5lg 23--+⋅= 4334、计算:11lg 9lg 240212361lg 27lg 35+-+-+= 4 35、错误!未找到引用源。
对数及对数运算基础训练题(有详解) 一、单选题 1.设()()ln 21x g x +=,则(4)(3)(3)(4)g g g g -+---= A .-1 B .1 C .l n2 D .-ln2 2.已知函数(),1log ,1x a a x f x x x ⎧≤=⎨>⎩(1a >且1a ≠),若()12f =,则12f f ⎛⎫⎛⎫=⎪ ⎪⎝⎭⎝⎭() A .1- B .12- C .12 D 3.已知,则的值是( ) A .1B .3C .D . 4.设227a =,则3log 2等于( ) A .3a B .3a C .13a D .3a 5.若()[)[]3,1,01,0,13x x x f x x ⎧∈-⎪=⎨⎛⎫∈⎪ ⎪⎝⎭⎩,则()3log 2f 的值为 ( ) A .2 B .12 C D .3 6.61log 12log 2-( ) A .B .C .12 D .3 7.若77log 2,log 3,a b == 则 7log 12= ( ) A .2+a b B .2ab C .2a b D .+2a b8.下列等式一定正确的是( ) A . B . C . D . 二、填空题 9.已知()f x 为R 上的偶函数,当0x >时,6()log f x x =,则(4)(9)f f -+=__________.10.求值:7log 23log lg25lg473+++=_________________. 11.已知函数()33,0log ,0x x f x x x ⎧≤=⎨>⎩,则1(())2=ff __________. 12.21444log 3[(5)]-⋅--=______. 13.()21log 5223(lg5)lg2lg5lg20log 3log 82++⋅+-⋅+=______.14.______.15.21326684log 12log 2⨯+-=__________. 16.已知3log 2m =,则32log 18=____________(用m 表示)17.12100=______.18.若3log 21x =,则42x x --=___.19.计算2ln33(0.125)e -++的结果为______.20.lg4+2lg5=______;若log a 2=m ,log a 3=n ,则1m n 2a +=______.21._________.三、解答题22.计算下列各式的值:(1)13(0.027)--(-13)-2+65;(2)l og 43×log 92+2log 32-log .23.求值:(1)()122230133220083482--⎛⎫⎛⎫⎛⎫---+ ⎪ ⎪ ⎪⎝⎭⎝⎭⎝⎭;(2)()2lg5lg 2lg50+⨯.24.计算:(1)102239(22(54-++(2)1lg100lg 4lg 25lg 10+++ 25.解答题求下列各式的值: (1)5lg12.5lg lg 0.58-+ ; (2)lg20+log 10025. 26.计算下列各式: (1)112032170.027()(2)1)79---+-; (2)231lg 25lg 2log 9log 22+-⨯. 27.计算 (1) (2) (3) 28.求值: (1); (2) . 29.计算下列各式的值: ; . 30.计算: (1) (2)参考答案1.C【解析】【分析】先把(4)(3)(3)(4)g g g g -+---化为[][](4)(4)(3)(3)g g g g --+--,再根据公式log log log a a aM M N N-=和log +log log ()a a a M N MN =求解. 【详解】 (4)(3)(3)(4)g g g g -+---[][](4)(4)(3)(3)g g g g =--+--4433ln(21)ln(21)ln(21)ln(21)--⎡⎤⎡⎤=+-+++-+⎣⎦⎣⎦43432121ln ln 2121--++=+++ 43ln 2ln 2-=+()43ln 22ln 2-=⋅=故选C.【点睛】本题考查对数、指数的运算,注意观察题目之间的联系.2.C【解析】【分析】由()12f =,求得2a =,得到函数的解析式,进而可求解1(())2f f 的值,得到答案。
姓名_______ § 对数与对数运算
一、课前准备 1,。
对数:
定义:如果a N a a b
=>≠()01且,那么数b 就叫做以a 为底的对数,记作b N
a =l o g (a 是底数,N 是真数,lo g a N 是对数式。
) 由于N a b
=>0故lo g a N 中N 必须大于0。
2.对数的运算性质及换底公式. 如果 a > 0,a 1,b>0,M > 0, N > 0 ,则:(1)log ()a MN = ; (2)n
m m
n
b a =
log (3)log a
M
N
= ;(4) log n a M = . (5) b a b a =log 换底公式log a b = . (6) b a
b
a
=log (7)b
a b a n
n log 1log =
考点一: 对数定义的应用
】
例1:求下列各式中的x 的值;
(1)23log
27=x
; (2)32log 2-=x ; (3)91
27log =x (4)162
1log =x
例2:求下列各式中x 的取值范围; (1))10(2
log
-x (2)22)
x )
1(log +-(x (3)2
1)-x )
1(log (+x
例3:将下列对数式化为指数式(或把指数式化为对数式) (1)3log
3
=x (2)6log 64
-=x (3)9
132-= (4)1641=x )( |
考点二 对数的运算性质
1.定义在R 上的函数f(x )满足f(x)=⎩⎨⎧>---≤-)
0(),2()1(log )
0(),4(2x x f x f x x ,则f(3)的值为__________
2.计算下列各式的值: (1)245lg 8lg 3
4
4932lg 21+- (2)
8.1lg 10lg 3lg 2lg -+
3.已知)lg(y x ++)32lg(y x +-lg3=lg4+lgx+lgy,求x:y 的值
·
4.计算: (1))log log log 5
825
41252++()log log log 8
1254
252
5++(
(2)
3
4
7
3
1
59725log log log log ••+)
5353(
2log --+
(3)求0.32
52log
⎝⎭
的值 (4):已知 2log 3 = a , 3log 7 = b ,用 a ,b 表示42log 56.
随堂练习:
1.9312
-=⎪⎭
⎫
⎝⎛写成对数式,正确的是( ) 2log .31
9
-=A 2log .931-=B 9log .2-3
1
=)
(C 3
1log .2-9=)(D '
2.=343
49log ( )
C.3
2 D.
2
3
3.成立的条件y
x xy 33)
(3
log log log +=( )
>0,y>0 >0,y<0 <>0 D.R y R x ∈∈,
4.,0,0,1,0>>≠>y x a a 若下列式子中正确的个数有( )
①
)(log
log log y x a
y a x a +=• ②
)-(log
log -log y x a
y a x a = ③
y
a
x a y x
a
log log log ÷= ④y
a x a xy a log log log •=
5.已知0log
)2(log 3log 7
=⎥⎦⎤
⎢⎣⎡x ,那么2
1
-
x =( )
A.3
1 B.
3
21 C.
2
21 D.
3
31
6已知x f x =)10(,则f(5)=( )
)
A.510
B.105
C.105log
7.若16488443log log log log =••m ,则m=( ) A.2
1
8.设6
38323log 2log ,log -=则a ,用a 表示的形式是( )
B.2)1(3a +- D.132-+-a a
9.设a 、b 、c 均为正实数,且c b a 643==,则有( )
A.b a c 111+=
B.b a c 112+=
C.b a c 2111+=
D.b
a c 212+=
10若方程
05lg 7lg lg )5lg 7(lg )lg 2=•+++x x (的两根为βα,,则βα•=( ) A.5lg lg7• B.35lg D.
35
1
二.填空题 11.~
12.
若4123
log =x ,则x=________ 12.已知______
)2
1(,)lo (2==f x g f x 则
13.已知lg2=,lg3=,lgx=-2+,则x=_________ 三.选做题(三题中任选两道)
14.已知lgx+lgy=2lg(x-2y),求y
x
2log 的值
15.已知2014log 4)3(32-=x f x ,求f(2)+f(4)+f(8)+.....+)2
(1007
f 的值 16.设a 、b 、c 均为不等于1的正数,且0111,=++==z
y
x
c b a z y x ,求abc 的值
附答案: 考点一: {
例1:1,x=9 2,
2
23
=
x 3,3
2-=x 4,x=-4
例2:1,x>0; 2,21≠>x x 且 3,101-≠≠>x x x 且且
例3:1,33)(=
x , 2,646
=-x 3,2log 91
3-= 4,x =164
1log 考点二:
1,-2 2,(1)2
1 (2)2
1
3,x:y=1:2或x:y=3:1(x>0,y>0) 4, (1)13, (2)-1 (3)-2
1 (4)
1
2+++a ab a
ab 随堂练习:
一选择题:1B;2D;3A;4A;5C; &
6D;7B;8A;9C;10D(注意原方程的根为x,不是lgx,别弄错了)
二.填空题:
11,9
1 12,
2 13,
三选做题:
14, 4 15,2014 16,1。