高一数学集合与集合的运算测试题(带答案)
- 格式:docx
- 大小:33.73 KB
- 文档页数:6
高一数学集合测试题一、选择题〔每题5 分,共 60 分〕1 .以下八个关系式①{0}=②=0③{ }④{} ⑤{0}⑥0⑦{0}⑧{} 其中正确的个数〔〕〔A 〕4〔B〕5〔 C〕6〔D〕72.集合 {1 , 2, 3} 的真子集共有〔〕〔A〕5 个〔B〕6 个〔C〕7个〔D〕8 个3.集合 A={x x2k, k Z }B={x x2k 1, k Z }C={x x4k 1, k Z }又a A,b B, 那么有〔〕〔A〕〔 a+b〕A(B) (a+b)B(C)(a+b) C (D) (a+b) A 、 B、 C任一个4.设 A、 B 是全集U的两个子集,且A B,那么以下式子成立的是〔〕〔A〕CA C B〔B〕CA CB=UU U U U〔C〕 A C U B=〔 D〕 C U A B=5.集合 A={ x x2 2 0 }B={x x24x 30}那么A B =〔〕〔A〕 R〔B〕 { x x2或 x 1}〔C〕 { x x1或 x 2 }〔 D〕 { x x2或 x 3 }6.设 f(n)= 2n+1(n∈N ),P= {1 , 2,3, 4,5} , Q={3 ,4,5, 6,7} ,记P={ n∈N|f(n)∈P} ,Q= { n∈N|f(n)∈ Q} ,那么 ( P∩N Q )∪ ( Q∩NP )= ()e e(A) {0 , 3}(B){1 , 2}(C) (3 , 4,5}(D){1 , 2, 6, 7}7. A={1, 2, a2-3a-1},B={1,3},A B{3,1}那么 a 等于〔〕〔A〕-4 或 1〔B〕-1 或 4〔C〕-1〔D〕 48. 设 U={0, 1, 2, 3, 4} , A={0, 1, 2,3} , B={2, 3, 4} ,那么〔 CA〕〔 C B〕=〔〕U U〔A〕 {0}〔B〕 {0 ,1}〔C〕 {0 , 1, 4}〔D〕 {0 ,1, 2, 3,4}10.设 A={x Z x 2px150 },B={x Z x25x q 0 },假设A B={2,3,5},A、 B 分别为〔〕〔A〕{3 ,5} 、{2 ,3}〔 B〕 {2 ,3} 、 {3 ,5}〔C〕{2 ,5} 、{3 ,5}〔 D〕 {3 ,5} 、 {2 ,5}11.设一元二次方程2的根的判别式 b 24ac,那么不等式ax +bx+c=0(a<0)ax2 +bx+c0 的解集为〔〕〔A 〕R 〔B 〕〔C 〕 { x xb}〔D 〕{b}2a2a12.P={ m4 m0 },Q={m mx 2mx1 0 ,对于一切x R 成立 } ,那么以下关系式中成立的是〔〕( A 〕P Q( B 〕Q P〔 C 〕 P=Q 〔D 〕P Q=13.假设 M={ x n x , n Z },N={x n x 1, n22Z},那么 M N 等于〔〕〔A 〕〔B 〕{}〔C 〕{0}〔D 〕Z14. 集合那么实数 的取值X 围是〔 〕A .B .C . [-1,2]D .15.设 U={1,2,3,4,5} ,A ,B 为 U 的子集, 假设 A B={2} ,〔C U A 〕 B={4} ,〔C U A 〕 〔 C U B 〕 ={1 , 5} ,那么以下结论正确的选项是〔 〕 〔A 〕 3 A,3 B 〔B 〕3 A,3 B 〔C 〕 3 A,3B〔D 〕3A,3 B1,x A16.设集合 A 0,1 ,B1,1 , 函数f xx, 假设x 0A ,且f f x 0A ,2222 1 x ,x B那么x 0的取值X 围是 ( )A .1B .1 1C . 1 1D .30,4 ,4 ,0,422817. 在R 上定义运算:a b ab 2a b ,那么满足xx20 的实数 x 的取值X 围为2A. (0,2)B. (-1,2)C., 2 1,D. (-2,1) .18. 集合 P={x|x 2=1} , Q={x|mx=1} ,假设 QP ,那么 m 等于〔〕A . 1B .-1C .1 或-1D .0,1 或 -119.设全集 U={〔 x,y 〕x, y R },集合M={〔x,y 〕y2 1 },N={(x,y) y x 4 },x2那么〔 C M 〕 〔 C N 〕等于〔〕UU〔A 〕{ 〔2, -2 〕} 〔B 〕{ 〔-2,2〕} 〔C 〕〔 D 〕〔 C U N 〕20.不等式x 2 5x 6 <x 2-4 的解集是〔〕〔A 〕 {x x 2, 或x 2 }〔 B 〕{x x 2 }〔C 〕 { xx 3 }〔 D 〕 { x2 x 3, 且x 2 }二、填空题1.在直角坐标系中,坐标轴上的点的集合可表示为 2.假设 A={1,4,x},B={1,x 2}且 A B=B ,那么 x=3.假设 A={x x 23x 100 } B={x丨 x 3 }, 全集 U=R ,那么 A (C U B)=4.如果集合中只有一个元素,那么a 的值是5.集合 {a,b,c} 的所有子集是真子集是;非空真子集是6.方程 x 2-5x+6=0 的解集可表示为方程组2x 3y 13的解集可表示为3x 2 y7.设集合 A={ x3x 2 },B={x 2k 1 x2k1},且A B ,那么实数 k 的取值X 围是。
集合练习题1 .设集合A = {x|2 4}, B = {x|3x —7 >8 —2x},贝U A UB 等于()A. {x|x > 3}B. {x|x > 2}C. {x|2 <x3}D. {x|x > 4}2 .已知集合A = {1,3,5,7,9} , B= {0,3,6,9,12},贝U A AB =( )A. {3,5}B. {3,6}C. {3,7}D. {3,9}3. 已知集合A = {x|x>0} , B= {x| —1 w x w 2}则A UB =( )A. {x|x —1}B. {x|x w 2 }C. {x|0<x w 2}D. {x| —1 w x w 2}4. 满足M?{町,口2 ,巾,h },且MQp i ,叱,靭}= ,叱}的集合M的个数是()A . 1B . 2C . 3D . 45 .集合A = {0,2 , a}, B= {1,只}.若A UB = {0,1,2,4,16},贝U a 的值为()A . 0B . 1C . 2 D. 46 .设S= {x|2x + 1>0} , T = {x|3x —5<0},贝U S AT=( )A . ?B . {x|x< —1/2}C . {x|x>5/3}D . {x| —1/2<x<5/3}7 . 50名学生参加甲、乙两项体育活动,每人至少参加了一项,参加甲项的学生有30名,参加乙项的学生有25名,则仅参加了一项活动的学生人数为______________ .8.满足{1,3} U4 {1,3,5}的所有集合A的个数是________________ .9 .已知集合A = {x|x w 1}B = {x|x > a}且A UB = R,则实数a的取值范围是_________________ .10.已知集合A = {—4,2a —1,白}, B= {a —5,1 —a,9},若A AB = {9},求a 的值.11 .已知集合A = {1,3,5} , B= {1,2 , —1},若A UB = {1,2,3,5},求x 及A A B.12 .已知A = {x|2a w x^3}, B= {x|x< —1 或x>5},若A AB = ?,求a 的取值范围.13 . (10分)某班有36名同学参加数学、物理、化学课外探究小组,每名同学至多参加两个小组.已知参加数学、物理、化学小组的人数分别为26,15,13 ,同时参加数学和物理小组的有6人,同时参加物理和化学小组的有4人,则同时参加数学和化学小组的有多少人?集合测试一、选择题:本大题共10小题,每小题5分,共50分。
高一数学集合试题答案及解析1.已知全集为U,A∩B =B,且,则下列各式中一定错误的是()A.(A)=B.(A) =C.(A)(B)=D.A(B)【答案】D【解析】因为全集为U,A∩B =B,且,所以,必有,利用韦恩图知选D.【考点】本题主要考查空集、交集、并集、补集的概念。
点评:注意运用韦恩图,数形结合,易于理解。
B={x|x+4<-x},则集合B=()2.已知A∩B=B,且A={x|},若AA.{x|-2≤x<3}B.{x|-2<x<3}C.{x|-2<x≤3}D.{x|-2≤x≤3}【答案】AB={x|x<-2},结合数轴可知选A。
【解析】已知条件即A B,且A={x|x<3},CA【考点】本题主要考查交集、补集的概念、集合的表示方法。
点评:此题考查了交集、补集的概念,简单不等式的解法,主要结合数轴解题。
3.设集合A=,B=,当时,求.【答案】【解析】由已知必有,∴,或,当时集合B中的元素,且,与集合中元素的互异性矛盾,当时集合B适合题意,∴时得到.【考点】本题主要考查交集、并集的概念、集合中元素的性质。
点评:此题考查了集合的交、并运算,探究求得a,利用集合中元素的互异性,确定取舍。
细心解方程。
P=()4.设全集U=R,P={},则UA.{B.{}C.D.【答案】C【解析】集合P=,由数轴分析易得.选C。
【考点】本题主要考查补集的概念。
点评:注意数形结合。
是解答此类问题的常用方法。
5.下面四个命题:(1)集合N中的最小元素是1:(2)方程的解集含有3个元素;(3)(4)满足的实数的全体形成集合。
其中正确命题的个数是______________【答案】2.【解析】集合N中的最小元素是0,不是1,(1)不正确;方程的解为,所以(2)正确;空集中不含任何元素,所以(3)不正确;即,所以(4)正确,故正确命题的个数是2.【考点】本题主要考查集合的基本概念及集合的表示方法。
高一数学集合的运算试题答案及解析1.设全集,集合,则等于()A.B.C.D.【答案】D【解析】由,,所以.故选D.【考点】集合的简单运算.2.已知集合,,则().A.B.C.D.【答案】A【解析】因为,所以;又因为,所以.【考点】集合的运算.3.已知全集U=R,A={x|﹣3<x≤6,},B={x|x2﹣5x﹣6<0,}.求:(1)A∪B;(2).【答案】(1);(2).【解析】解题思路:由题意,先解出一元二次不等式,化简集合B,再求出集合B的补集,再由交、并的运算法则解出即可.规律总结:在处理集合间的运算问题时,往往先化简集合,再结合数轴求集合间的交、并、补集. 试题解析:(1),则;(2),则 .【考点】交、并、补集的运算.4.已知集合,,且,则实数的值是.【答案】.【解析】∵,,∴.【考点】集合间的关系.5.已知集合,则满足A∩B=B的集合B可以是( )A.{0,}B.{x|-1≤x≤1}C.{x|0<x<}D.{x|x>0}【答案】C【解析】利用复合函数的值域知识可得A={y|0<y},因为A∩B=B,所以B A,所以答案是C.【考点】(1)复合函数;(2)集合的运算.6.已知全集,设集合,集合,若,求实数a的取值范围.【答案】.【解析】先解方程,的x=a,-4将a,与-4比较进行讨论,再利用得进行求解.试题解析:因为,又因为2分当时满足,此时 4分当时若,则 6分当时,满足,此时 8分综合以上得:实数的取值范围,所以 10分.【考点】1.一元二次不等式的解法;2.集合的运算.7.已知全集则()A.B.C.D.【答案】C.【解析】找出全集U中不属于A的元素,确定出A的补集,找出既属于A补集又属于B的元素,即可确定出所求的集合,∵全集U={1,2,3,4},A={1,2},∴∁UA={3,4},又B={2,3},则(∁UA)∪B={2,3,4},故选C.【考点】交、并、补集的混合运算.8.以知集合,则=()A.B.C.D.【答案】C【解析】,即,,,【考点】指数不等式的运算和集合的运算9.集合,,则.【答案】【解析】根据,集合A与集合B中的公共元素为4,7,所以【考点】集合的运算10.已知集合,,则=A.B.C.D.【答案】A【解析】,,,故选:A.【考点】集合的运算11.已知,集合,.(Ⅰ)若,求,;(Ⅱ)若,求的范围.【答案】(Ⅰ),;(Ⅱ).【解析】(Ⅰ)将代入得到集合,然后计算并集和交集;(Ⅱ)结合数轴由,集合B的左端点大于等于1,右端点小于等于4,于是,特别注意端点值是否可以取等号。
高一数学集合试题及答案一、单选题1.已知集合{}23100A x x x =--<,{}21,Z B x x k k ==+∈ ,则A B 的子集的个数是( ) A .3B .4C .7D .82.已知集合{}1,4,M x x =,{}21,N x =,若N M ⊆,则实数x 组成的集合为( )A .{}0B .{}2,2-C .2,0,2D .2,0,1,23.设全集{}1,2,3,4U =,{}1,3A =,{}4B =,则()U A B =( ) A .{}2,4B .{}4C .∅D .{}1,3,44.设全集U =R ,集合302x A xx ⎧⎫-=≤⎨⎬+⎩⎭,集合{}ln 1B x x =≥,则()UA B =( )A .()e,3B .[]e,3C .[)2,e -D .()2,e -5.记集合{}22M x x x =><-或,{}2|30N x x x =-≤,则MN =( )A .{|23}x x <≤B .或{}02}x x x ><-或C .{|02}x x ≤<D .{}|23x x -<≤6.已知全集为R ,集合115xA x ⎧⎫⎪⎪⎛⎫=<⎨⎬ ⎪⎝⎭⎪⎪⎩⎭,11B x x ⎧⎫=≥⎨⎬⎩⎭,则A B ⋂=R( )A .{}0x x ≤B .{}01x x <≤C .{}1x x >D .∅7.设集合{}()(){}|32,|130A x x B x x x =-<<=+-≤,则A B =( ) A .{}|12x x -≤<B .{}|33x x -<≤C .{}|32x x -<≤D .{}|13x x -≤≤8.设集合{}2,1,0,1,2,3A =--,{|B x y ==,则AB =( )A .{}2B .{}0,1C .{}2,3D .{}2,1,0,1,2--9.已知集合{}14,Z A x x x =-<<∈,{}110B x x =<<,则集合A B 中元素的个数为( ) A .2B .3C .4D .510.若全集为R ,集合{2x A x=≤∣,{ln(2)0}B x x =-<∣,则()A B =R ( ) A .3,2⎛⎤-∞ ⎥⎝⎦B .30,2⎛⎤⎥⎝⎦C .3,22⎛⎫ ⎪⎝⎭D .()2,+∞11.已知集合{}35A x x =-≤<,{B x y ==,则()R A B ⋂=( ) A .13,2⎡⎫--⎪⎢⎣⎭B .1,52⎛⎫- ⎪⎝⎭C .[)3,2--D .()2,5-12.设集合{}{}(,)|20(,)|35A x y x y B x y x y =-==+=,,则A B =( ) A .{1,2}B .{1,2}xyC .(1,2)D .{(1,2)}13.设集合{}A x x a =>,{}2320B x x x =-+>,若A B ⊆,则实数a 的取值范围是( ). A .(),1-∞ B .(],1-∞ C .()2,+∞D .[)2,+∞14.已知集合{}22A x x =-≤<,{}13B x x =≤<,则A B =( ) A .[)2,2-B .[)2,3-C .[)1,2D .[]1,215.已知集合{}2280,Z A x x x x =--<∈,则A 的非空子集的个数为( )A .32B .31C .16D .15二、填空题16.已知集合{}21A x x =-<<,{}0B x x =<,则A B ⋃= ____________. 17.已知集合A ={x |(x -3)(x +1)<0},B ={x |x -1>0},则A ∪B =___________.18.已知集合{}2Z,4A x x x =∈<,{}1,2B =-,则A B ⋃=_________.19.若“x a >”是“39x >”的必要条件,则a 的取值范围是________.20.已知集合{}4194,A x x n n *==-+∈N ,{}6206,B y y n n *==-+∈N ,将A B 中的所有元素按从大到小的顺序排列构成一个数列{}n a ,则数列{}n a 的前n 项和的最大值为___________.21.满足条件:{}a {},,,M a b c d ⊆的集合M 的个数为______.22.若集合{}23,21,4A a a a =---,且3A -∈,则实数=a ___________.23.集合{}31A x x =-<,{}3782B x x x =-≥-,则A B =___________. 24.若实数2a =,集合{}|13B x x =-<<,则a 与B 的关系是______.25.已知A ={x |2a <x ≤a +8},B ={x |x <-1或x >5},若A ∪B =R , 则a 的取值范围是________.三、解答题26.已知集合{|28}x a A x -=>,2{|20}B x x x =+-<,再从条件① ,条件② ,条件③这三个条件中选择一个作为已知,求实数a 的取值范围. 条件①:A B =∅;条件②:A B A =;条件③:RA B ⊆.27.已知全集为实数集R ,集合{A x y ==,(){}lg 2B x y x ==-. (1)求A B 及()R B A ;(2)设集合{}1C x x a =<<,若C A ⊆,求实数a 的取值范围.28.对于任意的*n N ∈,记集合{1,2,3,,}n E n =,,n n n P x x a E b E ⎧⎫==∈∈⎨⎬⎩⎭,若集合A 满足下列条件:①n A P ⊆;②12,x x A ∀∈,且12x x ≠,不存在*N k ∈,使212x x k +=,则称A 具有性质Ω.如当2n =时,2{1,2}E =,2P ⎧=⎨⎩,112,x x P ∀∈,且12x x ≠,不存在*N k ∈,使212x x k +=,所以2P 具有性质Ω.(1)写出集合3P ,4P 中的元素个数,并判断3P 是否具有性质Ω. (2)证明:不存在A 、B 具有性质Ω,且A B =∅,使15E A B =⋃. (3)若存在A 、B 具有性质Ω,且A B =∅,使n P A B =⋃,求n 的最大值.29.对于正整数a ,b ,存在唯一一对整数q 和r ,使得a bq r =+,0r b ≤<.特别地,当0r =时,称b 能整除a ,记作|b a ,已知{}1,2,3,,23A =⋅⋅⋅(1)存在q A ∈,使得()202291091q r r =+≤<,试求r 的值;(2)求证.不存在这样的函数f :{}1,2,3A →,使得对任意的整数1x ,2x A ∈,若{}121,2,3x x -∈,则()()12f x f x ≠(3)若B A ⊆,()12card B =(()card B 指集合B 中的元素的个数).且存在,a b B ∈,b a <,|b a ,则称B 为“和谐集”.判断:当7m =时,集合A 中有12个元素并且含有m 的任意子集是否都为“和谐集”,并说明理由.30.设R a ∈,关于x 的二次不等式2220ax x a -->的解集为A ,集合{}12B x x =<<,满足A B ⋂≠∅,求实数a 的取值范围.【参考答案】一、单选题 1.D 【解析】 【分析】解一元二次不等式可得到{}()231002,5A x x x =--<=-,根据集合的交集运算求得A B ,即可求得答案.【详解】因为{}()231002,5A x x x =--<=-,{}21,Z B x x k k ==+∈,所以{}1,1,3A B ⋂=-,所以A B 的子集的个数是328= , 故选:D . 2.C 【解析】 【分析】若N M ⊆,所以2x x =或24x =,解出x 的值,将x 的值代入集合,检验集合的元素满足互异性. 【详解】因为N M ⊆,所以2x x =,解得0x =,1x =或24x =,解得2x =±, 当0x =时,{}1,4,0M =,{}1,0N =,N M ⊆,满足题意. 当1x =时,{}1,4,1M =,不满足集合的互异性. 当2x =时,{}1,4,2M =,1,4N ,若N M ⊆,满足题意. 当2x =-时,{}1,4,2M =-,1,4N ,若N M ⊆,满足题意.故选:C. 3.A 【解析】 【分析】根据补集的概念求出UA ,再根据并集运算即可求出结果.【详解】 由题意可知{}2,4UA =,又{}4B =,所以(){}2,4U A B =.故选:A. 4.D 【解析】【分析】求出集合A 、B ,利用交集和补集的定义可求得集合()U A B ∩. 【详解】因为{}30232x A xx x x ⎧⎫-=≤=-<≤⎨⎬+⎩⎭,{}{}ln 1e B x x x x =≥=≥, 所以,{}e UB x x =<,因此,()()2,e UA B =-.故选:D. 5.A 【解析】 【分析】先求出集合N ,再由交集的定义即可得出答案. 【详解】{}{}2|30|03N x x x x x =-≤=≤≤,所以MN ={|23}x x <≤.故选:A 6.C 【解析】 【分析】根据题意解得集合{}|0A x x =>,{}|01B x x =<≤,由集合补集运算得到(](),01,B =-∞⋃+∞R,再由集合交集运算得到最后结果.【详解】集合115x A x ⎧⎫⎪⎪⎛⎫=<⎨⎬ ⎪⎝⎭⎪⎪⎩⎭,解得{}|0A x x =>,11B x x ⎧⎫=≥⎨⎬⎩⎭,()101110010x x xx x x x ⎧-≥-≥⇔≥⇔⇒<≤⎨≠⎩{}|01B x x ∴=<≤,(](),01,B =-∞⋃+∞R由集合交集运算得到:A B ⋂=R{}1x x >.故选:C. 7.A 【解析】 【分析】首先解一元二次不等式求出集合B ,再根据交集的定义计算可得; 【详解】解:由()()130x x +-≤,解得13x -≤≤, 所以()(){}{}|130|13B x x x x x =+-≤=-≤≤, 又{}|32A x x =-<<,所以{}|12A B x x ⋂=-≤<. 故选:A8.C 【解析】 【分析】根据偶次根式有意义及一元二次不等式的解法,再结合集合的交集的定义即可求解. 【详解】由y =()()250x x --≥,解得25x ≤≤,所以{}|25B x x =≤≤,A B ={}{}{}2,1,0,1,2,3|252,3x x --≤≤=,故选:C. 9.A 【解析】 【分析】利用集合交运算求A B ,即可确定元素个数. 【详解】由题设,{0,1,2,3}A =,又{|110}B x x =<<, 所以{2,3}A B =,共有2个元素. 故选:A 10.C 【解析】 【分析】先求出集合A ,B ,再根据补集交集的定义即可求出. 【详解】 因为32A x x ⎧⎫=≤⎨⎬⎩⎭∣,{}12B x x =<<,所以()322R A B xx ⎧⎫⋂=<<⎨⎬⎩⎭∣. 故选:C . 11.A 【解析】 【分析】先求出集合B ,得出其补集,再由交集运算得出答案. 【详解】由420x +≥,得21x ≥-,即集合1,2B ⎡⎫=-+∞⎪⎢⎣⎭,所以R 1,2B ∞⎛⎫=-- ⎪⎝⎭.所以()R 13,2AB ⎡⎫=--⎪⎢⎣⎭. 故选:A 12.D 【解析】 【分析】联立方程求解即可. 【详解】集合A 表示在直线2x -y =0上所有的点,集合B 表示3x +y =5上所有的点,所以联立方程2035x y x y -=⎧⎨+=⎩ ,解得x =1,y =2, ()1,2A B ⋂= ,即A 与B 的交集是点(1,2);故选:D. 13.D 【解析】 【分析】先求出集合B ,再由A B ⊆求出实数a 的范围. 【详解】{}{23202B x x x x x =-+>=>或}1x <.因为集合{}A x x a =>,A B ⊆,所以2a ≥. 故选:D 14.C 【解析】 【分析】 直接求解即可 【详解】因为{}|22A x x =-≤<,{}|13B x x =≤< 所以{}|12A B x x =≤< 故选:C 15.B 【解析】 【分析】求出集合A ,利用集合的非空子集个数公式可求得结果. 【详解】{}{}{}2280,Z 24,Z 1,0,1,2,3A x x x x x x x =--<∈=-<<∈=-,即集合A 含有5个元素,则A 的非空子集有52131-=(个). 故选:B.二、填空题16.{}1x x <【解析】 【分析】利用并集概念及运算法则进行计算.【详解】在数轴上画出两集合,如图:{}{}{}2101A B x x x x x x ⋃=-<<⋃<=<.故答案为:{}1x x < 17.{x |x >-1} 【解析】 【分析】利用集合的并集运算求解. 【详解】解:因为集合A ={x |(x -3)(x +1)<0}={x |-1<x <3},B ={x |x >1}, 所以A ∪B ={x |x >-1}. {x |x >-1}18.1,0,1,2【解析】 【分析】求出集合A ,利用并集的定义可求得结果. 【详解】{}{}{}2Z,4Z,221,0,1A x x x x x x =∈<=∈-<<=-,因此,{}1,0,1,2A B ⋃=-.故答案为:1,0,1,2.19.2a ≤【解析】 【分析】根据题意39x >解得:2x >,得出()()2,,a +∞⊆+∞,由此可得出实数a 的取值范围. 【详解】根据题意39x >解得:2x >,由于“x a >”是“39x >”的必要条件,则()()2,,a +∞⊆+∞,2a ∴≤. 因此,实数a 的取值范围是:2a ≤. 故答案为:2a ≤.20.1472【解析】 【分析】由题意设4194n b n =-+,6206m c m =-+,根据n m b c =可得326m n -=,从而312194n n a b n ==-+,即可得出答案.【详解】设4194n b n =-+,由41940n b n =-+>,得48n ≤ 6206m c m =-+,由62060m c m =-+>,得34m ≤A B 中的元素满足n m b c =,即41946206n m -+=-+,可得326m n -=所以223m n =+,由,*m n N ∈,所以3,*n k k N =∈ 所以312194n n a b n ==-+,要使得数列{}n a 的前n 项和的最大值,即求出数列{}n a 中所以满足0n a ≥的项的和即可. 即121940n a n =-+≥,得16n ≤,则116182,2a a == 所以数列{}n a 的前n 项和的最大值为121618221614722a a a ++++=⨯= 故答案为:1472 21.7 【解析】 【分析】根据{}a {},,,M a b c d ⊆可知,M 中的元素应该是多于一个不多于{},,,a b c d 中的元素个数,由此可求得答案. 【详解】由{}a {},,,M a b c d ⊆可知,M 中的元素个数多于{}a 中的元素个数,不多于{},,,a b c d 中的元素个数 因此M 中的元素来自于b ,c,d 中,即在b ,c,d 中取1元素时,M 有3个;取2个元素时,有3个;取3个元素时,有1个, 故足条件:{}a {},,,M a b c d ⊆的集合M 的个数有7个, 故答案为:7. 22.0或1. 【解析】 【分析】根据题意,分33a -=-、213a -=-和243a -=-,三种情况讨论,结合元素的互异性,即可求解. 【详解】由题意,集合{}23,21,4A a a a =---,且3A -∈,若33a -=-时,可得0a =,此时集合{}3,1,4A =---,符合题意;若213a -=-时,可得1a =-,此时243a -=-,不满足集合元素的互异性,舍去; 若243a -=-时,可得1a =或1a =-(舍去), 当1a =时,集合{}2,1,3A =--,符合题意,综上可得,实数a 的值为0或1. 故答案为:0或1.23.{}34x x ≤<【解析】 【分析】求出{}24A x x =<<与{}3B x x =≥,进而求出A B . 【详解】31x -<,解得:24x <<,故{}24A x x =<<,3782x x -≥-解得:3x ≥,故{}3B x x =≥,所以A B ={}34x x ≤<故答案为:{}34x x ≤<24.a B ∈【解析】 【分析】根据元素与集合关系即可判断. 【详解】因为2a =,满足123-<<,所以a B ∈. 故答案为:a B ∈.25.13,2⎡⎫--⎪⎢⎣⎭【解析】 【分析】由集合{|28}A x a x a =<+,{|1B x x =<-,或5}x >,A B R =,列出不等式组,能求出a 的取值范围. 【详解】集合{|28}A x a x a =<+,{|1B x x =<-,或5}x >,A B R =,∴2185a a <-⎧⎨+⎩, 解得132a -<-.a ∴的取值范围为[3-,1)2-.故答案为:[3-,1)2-.三、解答题26.若选① ,[2-,)∞+. 若选② ,(-∞,5]-.若选③ ,[2-,)∞+. 【解析】 【分析】先将集合A,B 中的不等式求解,根据集合运算的最后结果分析参数a 需要满足的范围即可求解. 【详解】{|28}{|3}{|3}x a A x x x a x x a -=>=->=>+,2{|20}{|(2)(1)0}{|21}B x x x x x x x x =+-<=+-<=-<<,若选择条件①:A B =∅,则需31a +,即2a -, 所求实数a 的取值范围为[2-,)∞+.若选择条件②:A B A =,即B A ⊆,则需32a +-,即5a -, 所求实数a 的取值范围为(-∞,5]-. 若选择条件③:RA B ⊆,因为{|2R B x x =-或1}x ,所以要使RA B ⊆,则需31a +,即2a -,所求实数a 的取值范围为[2-,)∞+. 27.(1){|1}A B x x =≥,R(){|12}B A x x =≤≤(2)(,3]a ∈-∞ 【解析】 【分析】(1)先求出集合A 、B ,再求A B ,R()B A ;(2)对C 是否为∅分类讨论,分别求出a 的范围.(1)由1030x x -≥⎧⎨-≥⎩可得{}|13A x x =≤≤ 又{|20}{|2}B x x x x =->=>,则R{|2}B x x =≤所以{|1}A B x x =≥,R(){|12}B A x x =≤≤(2)当1a ≤时,C =∅,此时C A ⊆; 当1a >时,C A ⊆,则13a ; 综上可得(,3]a ∈-∞28.(1)3P ,4P 中的元素个数分别为9,14,3P 不具有性质Ω. (2)证明见解析 (3)14 【解析】 【分析】(1)由已知条件能求出集合3P ,4P 中的元素个数,并判断出3P 不具有性质Ω.(2)假设存在A ,B 具有性质Ω,且A B =∅,使15E A B =.其中15{1E =,2,3,⋯,15},从而1AB ∈,由此推导出与A 具有性质Ω矛盾.从而假设不成立,即不存在A ,B具有性质Ω,且A B =∅,使15E A B =.(3)当15n 时,不存在A ,B 具有性质Ω,且A B =∅,使n P A B =.14n =,根据1b =、4b =、9b =分类讨论,能求出n 的最大值为14.(1)解: 对于任意的*n N ∈,记集合{1n E =,2,3,⋯,}n ,,n n n P x x a E b E ⎧⎫=∈∈⎨⎬⎩⎭.当3n =时{}31,2,3E =,3P ⎧=⎨⎩;当4n =时{}41,2,3,4E =,413,22P ⎧⎫=⎨⎬⎩⎭,∴集合3P ,4P 中的元素个数分别为9,14,集合A 满足下列条件:①n A P ⊆;②1x ∀,2x A ∈,且12x x ≠,不存在*k N ∈,使212x x k +=,则称A 具有性质Ω,因为31P ∈,33P ∈,2132+=,*2∈N ,不符合题意,3P ∴不具有性质Ω.(2)证明:假设存在A ,B 具有性质Ω,且A B =∅,使15E A B =.其中15{1E =,2,3,⋯,15}.因为151E ∈,所以1A B ∈,不妨设1A ∈.因为2132+=,所以3A ∉,3B ∈.同理6A ∈,10B ∈,15A ∈.因为21154+=,这与A 具有性质Ω矛盾. 所以假设不成立,即不存在A ,B 具有性质Ω,且A B =∅,使15E A B =. (3)解:因为当15n 时,15n E P ⊆,由(2)知,不存在A ,B 具有性质Ω,且A B =∅,使n P AB =.若14n =,当1b =时,1414x x a E E ⎧⎫∈=⎨⎬⎩⎭, 取1{1A =,2,4,6,9,11,13},1{3B =,5,7,8,10,12,14}, 则1A ,1B 具有性质Ω,且11A B =∅,使1411E A B =.当4b =时,集合14x x a E ⎧⎫=∈⎨⎬⎩⎭中除整数外,其余的数组成集合为13513{,,,,}2222⋯, 令215911{,,,}2222A =,23713{,,}222B =,则2A ,2B 具有性质Ω,且22A B =∅,使2213513{,,,,}2222A B ⋯=.当9b =时,集14x x a E ⎧⎫=∈⎨⎬⎩⎭中除整数外,其余的数组成集合12457810111314{,,,,,,,,,}3333333333, 令31451013{,,,,}33333A =,32781114{,,,,}33333B =. 则3A ,3B 具有性质Ω,且33A B =∅,使3312457*********{,,,,,,,,,}3333333333A B =.集合1414,,1,4,9C x x a E b E b ⎧⎫==∈∈≠⎨⎬⎩⎭中的数均为无理数, 它与14P 中的任何其他数之和都不是整数, 因此,令123A A A A C =,123B B B B =,则AB =∅,且14P AB =.综上,所求n 的最大值为14.29.(1)20 (2)证明见解析 (3)是,理由见解析 【解析】 【分析】(1)由2022除以91求解; (2)利用反证法证明; (3)利用“和谐集”的求解. (1)解:因为2022912220=⨯+,且q A ∈, 所以q =22,r =20; (2)假设存在这样的函数f :{}1,2,3A →,使得对任意的整数1x ,2x A ∈,若{}121,2,3x x -∈,则()()12f x f x ≠,设(){}(){}1,1,2,3,2,1,2,3f a a f b b =∈=∈, 由已知ab ,由于312,321-=-=, 所以()()()()31,32f f f f ≠≠,不妨设(){}3,1,2,3f c c =∈,且,c a c b ≠≠, 同理()()4,4f b f c ≠≠, 因为{}1,2,3只有三个元素, 所以()4f a =,即()()14f f =,但413-=,与已知矛盾,所以假设不成立,即不存在这样的函数f :{}1,2,3A →,使得对任意的整数1x ,2x A ∈,若{}121,2,3x x -∈,则()()12f x f x ≠ (3)设{}1211,,...,,7B a a a =,若1,14,21中之一为集合B 的元素,显然为“和谐集”, 现考虑1,14,21都不属于集合B ,构造集合{}{}{}1232,4,8,16,3,6,12,5,10,20B B B ===,{}{}459,18,11,22B B ==,{}13,15,17,19,23B '=,12345,,,,B B B B B 每个集合中的元素都是倍数关系,考虑B B '⊆的情况,也即B '中5个元素全都是B 的元素,则B 中剩下的6个元素必须从12345,,,,B B B B B 这5个集合中选取6个元素, 则至少有一个集合有两个元素被选,即集合B 中至少有两个元素存在倍数关系, 综上:当7m =时,集合A 中有12个元素并且含有m 的任意子集都为“和谐集”.30.()(),22,∞∞--⋃+【解析】 【分析】由题意0a ≠,求出方程2220ax x a --=的两根,讨论a 的正负,确定二次不等式的解集A 的形式,然后结合数轴列出不等式求解即可得答案. 【详解】解:由题意0a ≠,令2220ax x a --=,解得两根为1211x x aa ==可知120,0x x <>,当0a >时,解集{}{}12||A x x x x x x =<>,因为120,1x x <>,所以A B ⋂≠∅的充要条件是22x <,即12a +<,解得2a >;当0a <时,解集{}12|A x x x x =<<,因为120,2x x <<,所以A B ⋂≠∅的充要条件是21>x ,即11a+,解得2a <-;综上,实数a 的取值范围为()(),22,∞∞--⋃+.。
高一数学集合练习题及答案(5篇)高一数学练习题及答案篇1一、填空题.(每题有且只有一个正确答案,5分×10=50分)1、已知全集U = {1 ,2 ,3 ,4 ,5 ,6 ,7 ,8 }, A= {3 ,4 ,5 }, B= {1 ,3 ,6 },那么集合 { 2 ,7 ,8}是 ( )2 . 假如集合A={x|ax2+2x+1=0}中只有一个元素,则a的值是 ( )A.0B.0 或1C.1D.不能确定3. 设集合A={x|1A.{a|a ≥2}B.{a|a≤1}C.{a|a≥1}.D.{a|a≤2}.5. 满意{1,2,3} M {1,2,3,4,5,6}的集合M的个数是 ( )A.8B.7C.6D.56. 集合A={a2,a+1,1},B={2a1,| a2 |, 3a2+4},A∩B={1},则a的值是( )A.1B.0 或1C.2D.07. 已知全集I=N,集合A={x|x=2n,n∈N},B={x|x=4n,n∈N},则 ( )A.I=A∪BB.I=( )∪BC.I=A∪( )D.I=( )∪( )8. 设集合M= ,则 ( )A.M =NB. M NC.M ND. N9 . 集合A={x|x=2n+1,n∈Z},B={y|y=4k±1,k∈Z},则A 与B的关系为 ( )A.A BB.A BC.A=BD.A≠B10.设U={1,2,3,4,5},若A∩B={2},( UA)∩B={4},( UA)∩( UB)={1,5},则以下结论正确的选项是( )A.3 A且3 BB.3 B且3∈AC.3 A且3∈BD.3∈A且3∈B二.填空题(5分×5=25分)11 .某班有同学55人,其中音乐爱好者34人,体育爱好者43人,还有4人既不爱好体育也不爱好音乐,则班级中即爱好体育又爱好音乐的有人.12. 设集合U={(x,y)|y=3x1},A={(x,y)| =3},则 A= .13. 集合M={y∣y= x2 +1,x∈ R},N={y∣ y=5 x2,x∈ R},则M∪N=_ __.14. 集合M={a| ∈N,且a∈Z},用列举法表示集合M=_15、已知集合A={1,1},B={x|mx=1},且A∪B=A,则m的值为三.解答题.10+10+10=3016. 设集合A={x, x2,y21},B={0,|x|,,y}且A=B,求x, y的值17.设集合A={x|x2+4x=0},B={x|x2+2(a+1)x+a21=0} ,A∩B=B,求实数a的值.18. 集合A={x|x2ax+a219=0},B={x|x25x+6=0},C={x|x2+2x8=0}.?(1)若A∩B=A∪B,求a的值;(2)若A∩B,A∩C= ,求a的值.19.(本小题总分10分)已知集合A={x|x23x+2=0},B={x|x2ax+3a5=0}.若A∩B=B,求实数a的取值范围.20、已知A={x|x2+3x+2 ≥0}, B={x|mx24x+m10 ,m∈R}, 若A∩B=φ, 且A∪B=A, 求m的取值范围.21、已知集合,B={x|2参考答案C B AD C D C D C B26 {(1,2)} R {4,3,2,1} 1或1或016、x=1 y=117、解:A={0,4} 又(1)若B= ,则,(2)若B={0},把x=0代入方程得a= 当a=1时,B=(3)若B={4}时,把x=4代入得a=1或a=7.当a=1时,B={0,4}≠{4},∴a≠1.当a=7时,B={4,12}≠{4},∴a≠7.(4)若B={0,4},则a=1 ,当a=1时,B={0,4},∴a=1综上所述:a18、.解:由已知,得B={2,3},C={2,4}.(1)∵A∩B=A∪B,∴A=B于是2,3是一元二次方程x2ax+a219=0的两个根,由韦达定理知:解之得a=5.(2)由A∩B ∩ ,又A∩C= ,得3∈A,2 A,4 A,由3∈A,得323a+a219=0,解得a=5或a=2?当a=5时,A={x|x25x+6=0}={2,3},与2 A冲突;当a=2时,A={x|x2+2x15=0}={3,5},符合题意.∴a=2.19、解:A={x|x23x+2=0}={1,2},由x2ax+3a5=0,知Δ=a24(3a5)=a212a+20=(a2)(a10).(1)当2(2)当a≤2或a≥10时,Δ≥0,则B≠ .若x=1,则1a+3a5=0,得a=2,此时B={x|x22x+1=0}={1} A;若x=2,则42a+3a5=0,得a=1,此时B={2,1} A.综上所述,当2≤a10时,均有A∩B=B.20、解:由已知A={x|x2+3x+2 }得得.(1)∵A非空,∴B= ;(2)∵A={x|x }∴ 另一方面,,于是上面(2)不成立,否则,与题设冲突.由上面分析知,B= .由已知B= 结合B= ,得对一切x 恒成立,于是,有的取值范围是21、∵A={x|(x1)(x+2)≤0}={x|2≤x≤1},B={x|1∵ ,(A∪B)∪C=R,∴全集U=R。
高一数学集合的运算试题答案及解析1.若,则的值为【答案】-1【解析】由集合相等的概念可知有元素,又,则,故,根据集合中元素的互异性知,故。
【考点】集合相等的概念及集合中元素的互异性。
2.设集合,A.B.C.D.【答案】B【解析】集合=,N= ;所以M N=【考点】交集的运算3.已知集合,,则.【答案】【解析】集合,集合,.【考点】集合的交集.4.已知全集,集合(1)求(2)求【答案】(1)(2)【解析】分别求出两集合A,B的解集,,再求出,分别求出,.由,得-6<x-1<6,解得-5<x<7,由,得(x-8)(2x-1)>0,解得x>8,或x<.(1);(2).【考点】集合的运算.5.已知集合,集合,若是单元素集,则=【答案】6 或-4【解析】由条件,得,可知集合表示一条直线,集合表示圆心为,半径为的圆,若是单元素,则直线与圆相切,则有,即,解得.【考点】1、集合的交集运算;2、直线与圆的位置关系.6.集合.(1)当时,求;(2)若是只有一个元素的集合,求实数的取值范围.【答案】(1)(2)m=3或m≥【解析】(1)两集合的交集即两集合的公共部分,所以应联立方程解方程组。
(2)要使是只有一个元素的集合,只需联立的方程只有一个根,消去y或x后整理出一元二次方程,当判别式等于0时,对称轴需在内,当判别式大于0时,函数的一个零点应在内。
试题解析:(1),所以。
(2)消去y整理可得。
因为是只有一个元素的集合,即此方程在只有一个根。
所以或解得m=3或m≥【考点】集合运算一元二次函数图像7.集合.(1)若A B=,求a的取值范围.(2)若A B=,求a的取值范围.【答案】(1)(2)【解析】(1)A B=时,集合A集合B没有公共点,所以时成立。
当时,两集合仍没有公共点,所以;(2)集合B中必须含有小于等于的元素,集合A中含有的元素在集合B中仍可含有所以试题解析:(1)因为,A B=,所以(2)当A B=时【考点】集合的运算8.满足A∪{-1,1}={-1,0,1}的集合A共有( )A.10个B.8个C.6个D.4个【答案】D【解析】根据题意,分析可得,集合A中必须有元素0,可能含有元素1或-1,由此列举可得全部可能的集合集合A可能为{0}、{0,1}、{0,-1}、{0,1,-1},共有4个;故选D【考点】子集与真子集.9.设集合若,则实数 .【答案】4【解析】,或或,当时,,此时不合题意,.【考点】集合的交、并、补运算10.已知集合,.(Ⅰ)若,求();(Ⅱ)若,求实数的取值范围.【答案】(Ⅰ);(Ⅱ).【解析】(Ⅰ)解出集合,再根据确定集合,然后由数轴找出交集是;(Ⅱ)由可知,由子集概念求出的取值范围是.试题解析:(Ⅰ)因为当时,.所以.又因为集合,所以().(Ⅱ)因为,所以.当时,有:,此时;当时,有:,解得.综上所述,实数的取值范围是.【考点】集合的基本运算.11.已知全集为实数集R,集合,.(1)分别求,;(2)已知集合,若,求实数的取值集合.【答案】(1),;(2)的取值范围是.【解析】(1)只要求出集合,根据集合交集,并集,补集的定义就可以得出结论;(2)由于,可以在数轴上表示出两个集合,从而得出的范围.试题解析:(Ⅰ),,,.(Ⅱ)①当时,,此时;②当时,,则.综合①②,可得的取值范围是.【考点】1、集合的运算;2、子集的概念.A=12.已知集合A={y | y=2x,x∈R},则CRA.B.(-∞,0]C.(0,+∞)D.R【答案】B【解析】A={y | y=2x,x∈R},所以CA=(-∞,0].R【考点】本小题主要考查指数函数的值域和补集运算.点评:涉及到集合的运算,可以借助数轴辅助解决问题.13.已知全集U={1,2,3,4,5,6,7},A={3,4,5},B={1,3,6},则A∩(CB)等于()UA.{4,5} B.{2,4,5,7} C.{1,6} D.{3}【答案】AB={2,4,5,7},【解析】根据题意,由于全集U={1,2,3,4,5,6,7},A={3,4,5},B={1,3,6}那么可知,CU则A∩(CB)= {4,5},故选A.U【考点】交、并、补的定义点评:本题考查利用交、并、补的定义进行集合间的混合运算,属于基础题14.已知A={xú 2a≤x≤a+3},B={xú x<-1或x>5} 且A∩B=Ф,求实数a的取值范围.【答案】.【解析】当时,,所以,这时A∩B="Ф" (2分)当时,根据题意得,即,所以(8分)综上可得,或(9分)∴实数的取值范围是(10分)【考点】本题主要考查集合的运算,一元一次不等式组的解法。
高一数学必修一集合练习题含答案进入高中一之后,第一个学习的重要数学知识点就是集合,学生需要通过练习巩固集合内容,下面是店铺给大家带来的高一数学必修一集合练习题,希望对你有帮助。
高一数学必修一集合练习题一、选择题(每小题5分,共20分)1.下列命题中正确的( )①0与{0}表示同一个集合;②由1,2,3组成的集合可表示为{1,2,3}或{3,2,1};③方程(x-1)2(x-2)=0的所有解的集合可表示为{1,1,2};④集合{x|4A.只有①和④B.只有②和③C.只有②D.以上语句都不对【解析】{0}表示元素为0的集合,而0只表示一个元素,故①错误;②符合集合中元素的无序性,正确;③不符合集合中元素的互异性,错误;④中元素有无穷多个,不能一一列举,故不能用列举法表示.故选C.【答案】 C2.用列举法表示集合{x|x2-2x+1=0}为( )A.{1,1}B.{1}C.{x=1}D.{x2-2x+1=0}【解析】集合{x|x2-2x+1=0}实质是方程x2-2x+1=0的解集,此方程有两相等实根,为1,故可表示为{1}.故选B.【答案】 B3.已知集合A={x∈N*|-5≤x≤5},则必有( )A.-1∈AB.0∈AC.3∈AD.1∈A【解析】∵x∈N*,-5≤x≤5,∴x=1,2,即A={1,2},∴1∈A.故选D.【答案】 D4.定义集合运算:A*B={z|z=xy,x∈A,y∈B}.设A={1,2},B={0,2},则集合A*B的所有元素之和为( )A.0B.2C.3D.6【解析】依题意,A*B={0,2,4},其所有元素之和为6,故选D.【答案】 D二、填空题(每小题5分,共10分)5.已知集合A={1,a2},实数a不能取的值的集合是________.【解析】由互异性知a2≠1,即a≠±1,故实数a不能取的值的集合是{1,-1}.【答案】{1,-1}6.已知P={x|2【解析】用数轴分析可知a=6时,集合P中恰有3个元素3,4,5.【答案】 6三、解答题(每小题10分,共20分)7.选择适当的方法表示下列集合集.(1)由方程x(x2-2x-3)=0的所有实数根组成的集合;(2)大于2且小于6的有理数;(3)由直线y=-x+4上的横坐标和纵坐标都是自然数的点组成的集合.【解析】(1)方程的实数根为-1,0,3,故可以用列举法表示为{-1,0,3},当然也可以用描述法表示为{x|x(x2-2x-3)=0},有限集.(2)由于大于2且小于6的有理数有无数个,故不能用列举法表示该集合,但可以用描述法表示该集合为{x∈Q|2(3)用描述法表示该集合为M={(x,y)|y=-x+4,x∈N,y∈N}或用列举法表示该集合为{(0,4),(1,3),(2,2),(3,1),(4,0)}.8.设A表示集合{a2+2a-3,2,3},B表示集合{2,|a+3|},已知5∈A且5∉B,求a的值.【解析】因为5∈A,所以a2+2a-3=5,解得a=2或a=-4.当a=2时,|a+3|=5,不符合题意,应舍去.当a=-4时,|a+3|=1,符合题意,所以a=-4.9.(10分)已知集合A={x|ax2-3x-4=0,x∈R}.(1)若A中有两个元素,求实数a的取值范围;(2)若A中至多有一个元素,求实数a的取值范围.【解析】(1)∵A中有两个元素,∴方程ax2-3x-4=0有两个不等的实数根,∴a≠0,Δ=9+16a>0,即a>-916.∴a>-916,且a≠0.(2)当a=0时,A={-43};当a≠0时,若关于x 的方程ax2-3x-4=0有两个相等的实数根,Δ=9+16a=0,即a=-916;若关于x的方程无实数根,则Δ=9+16a<0,即a<-916;故所求的a的取值范围是a≤-916或a=0.高一数学必修一集合知识点集合通常用大写字母表示集合,用小写字母表示元素,如集合A={a,b,c}。
高一数学集合的运算试题答案及解析1.已知集合,则下列式子表示正确的有()①②③④A.1个B.2个C.3个D.4个【答案】C.【解析】由集合知,,即集合A包含两个元素1,-1.所以①,正确;由集合与集合之间的关系应为含于,即,所以②,不正确;由空集是任何非空集合的子集知,③正确;由任何非空集合是自身的子集,即④正确.所以其正确的个数为3个.故应选C.【考点】集合与集合的基本关系;元素与集合的关系.2.若,则的值为【答案】-1【解析】由集合相等的概念可知有元素,又,则,故,根据集合中元素的互异性知,故。
【考点】集合相等的概念及集合中元素的互异性。
3.设A是整数集的一个非空子集,对于k∈A,若k-1∉A,且k+1∉A,则称k是A的一个“孤立元”.给定S={1,2,3,4,5,6,7,8},由S的3个元素构成的所有集合中,不含“孤立元”的集合共有个.【答案】6【解析】由“孤立元”的定义可知,集合中不能存在一个与其他元素相差大于的元素。
故由S的3个元素构成的所有集合中,不含“孤立元”的集合有。
【考点】这是新定义问题,注意对“孤立元”定义的理解。
4.已知集合集合.(1)若,求;(2)若,求实数的取值范围.【答案】(1);(2)【解析】(1)解不等式、可得集合A、B中的元素,然后求交集;(2)即集合A是集合B的子集,所以集合A中元素的范围比集合B中元素的范围小,依此来建立关于的不等式。
(1)当时,,解得,则.由,得,则.所以.6′(2)由,得.即.若,则解得.所以实数的取值范围是. .12′【考点】(1)解绝对值、分式不等式;(2)集合的运算;5.设关于的二次方程和的解集分别是集合和,若为单元素集,求的值.【答案】或.【解析】先解出集合,根据为单元素集,得到或,相当于二次方程只有一个根2或二次方程只有一个根3,从而将2或3代入方程中得到参数的取值,求出的取值之后,返代,得出,检验此时的是否为或,满足要求的就取,不满足要求的的值应该舍去.试题解析:解方程,得 2分由为单元素集得或 3分当时有或时不合题意6分当时有或时不合题意10分综上得或 12分.【考点】1.集合的运算;2.二次方程的解.6.已知集合A=,B=,则()A.B.C.D.【答案】B【解析】,,故选B.【考点】集合的运算7.已知全集则()A.B.C.D.【答案】C.【解析】找出全集U中不属于A的元素,确定出A的补集,找出既属于A补集又属于B的元素,即可确定出所求的集合,∵全集U={1,2,3,4},A={1,2},∴∁UA={3,4},又B={2,3},则(∁UA)∪B={2,3,4},故选C.【考点】交、并、补集的混合运算.8.已知集合,集合,则()A.B.C.D.【答案】B【解析】集合为非负偶数集,所以【考点】本题考查集合的元素和运算.9.已知函数的定义域为集合,集合,集合.(1)求;(2)若 (),求的值.【答案】(1),(2)1.【解析】(1)求函数定义域,主要列出所有限制条件,本题一是要求分母不为零,二是要求偶次被开方数非负,结合两者得到函数定义域为;解对数不等式,注意真数要大于零及不等号的方向=,根据数轴求出集合的交集;(2)集合是解参数不等式,由于参数大于零,所以先求出集合为,再求出交集,由并结合数轴得,解此类问题需注意区间之间相互关系,并重视区间端点是否能取到.试题解析:(1)由题意得=.,=, 2分∴. 4分(2)由题意得=,∴, 6分∵,∴, 8分∴,又∵,∴=1. 10分【考点】函数定义域,解对数不等式,集合运算.A,则实数a的取值范围10.设全集U=R,A="{x|" x<-2,或x≥1},B="{x|" a-1<x<a+1},B∁R是______.【答案】【解析】由题意得,由,又因为,即集合为非空集合,所以有,解得.故正确答案为.【考点】集合的运算11.设集合A={1,2,3},B={2,4,5},则______________【答案】【解析】集合的并集是由两集合的所有元素组成.【考点】1、集合的并集运算;2、集合元素的互异性.12.已知集合,,则=A.B.C.D.【答案】A【解析】,,,故选:A.【考点】集合的运算13.某班共50人,参加A项比赛的共有30人,参加B项比赛的共有33人,且A,B两项都不参加的人数比A,B都参加的人数的多1人,则只参加A项不参加B项的有人.【答案】9【解析】假设A,B都参加的设为x,所以仅参加A项的共(30-x)人,仅参加B项的共(33-x)人,都不参加的()人,有这些相加即:,解得:x=21,所以只参加A项不参加B共有30-21=9,所以填9.【考点】本题考查的内容是容斥原理,通过韦恩建立数学模型巧妙的解决.14.已知集合,.(Ⅰ)若,求();(Ⅱ)若,求实数的取值范围.【答案】(Ⅰ);(Ⅱ).【解析】(Ⅰ)解出集合,再根据确定集合,然后由数轴找出交集是;(Ⅱ)由可知,由子集概念求出的取值范围是.试题解析:(Ⅰ)因为当时,.所以.又因为集合,所以().(Ⅱ)因为,所以.当时,有:,此时;当时,有:,解得.综上所述,实数的取值范围是.【考点】集合的基本运算.15.已知集合,,,.(1)求;(2)若,求实数的取值范围.【答案】(1),(2).【解析】(1)根据全集,先求出集合的补集,再求;(2)由知,集合与有公共元素,所以.试题解析:(1)因为,集合,所以,又因为,结合数轴可知(2)结合数轴可知:当时,.【考点】集合的基本运算16.设集合,,若,则的范围是()A.B.C.D.【答案】B【解析】在数轴上画出集合A,B,如图,可知.这种与实数集有关问题借助于数轴可以很快得出结论.【考点】子集的概念.17.给出以下五个命题①集合与都表示空集.②是从到的一个映射.③函数是偶函数.④是定义在上的奇函数,则⑤是减函数.以上命题正确的序号为:【答案】②④【解析】①集合与都表示空集,不对,因为,中有元素,不是空集;②是从到的一个映射,正确,因为,对中任意一个元素,按,在中都有唯一一个元素与之对应;③函数是偶函数,不正确,定义域不关于原点对称;④是定义在上的奇函数,则,正确,因为,,;⑤是减函数,不对,只能说其在区间是减函数。
高一数学集合测试题(含答案)一、单选题:1.设全集I={0,1,2,3,4},集合A={0,1,2,3},集合B={2,3,4},则C(I-A)∪C(I-B)= {0}2.方程组 { 2x-3y=1.x-y=3 } 的解的集合是 {8.5}3.有下列四个命题:①∅是空集;②若a∈Z,则−a∉N;③集合A={x∈R|x^2-2x+1=0}是有两个元素;④集合B={x∈Q|x∈N}是有限集。
其中正确命题的个数是 24.如果集合A={x|ax^2+2x+1=0}中只有一个元素,则a的值是 15.已知 M={y|x^2-4≤y≤x≤2},P={x|-2≤x≤2},则M∩P={-2.-1.0.1.2}6.已知全集I=N,集合A={x| x=2n,n∈N},B={x| x=4n,n∈N},则 I=A∪B7.设集合M={x|x=k1/k2,k∈Z},N={x|x=k1/k2+1/2,k∈Z},则 M⊂N8.设集合A={x|1<x<2},B={x|x<a}满足A⊂B,则实数a的取值范围是(2.+∞)9.满足{1,2,3}⊂M⊂{1,2,3,4,5,6}的集合M的个数是 810.如右图所示,I为全集,M、P、S为I的子集。
则阴影部分所表示的集合为(M∩P)∪S二、填空题:11.已知 A={y|y=x^2+1,x∈R,y∈R},全集U=R,则C(A)=R-A={y|y≤0}12.已知 M={a,b},N={b,c,d},若集合P满足P⊆N,M∩P=∅,则 P={c。
d}13.设全集U={a,b,c,d,e},A={a,c,d},B={b,d,e},则∁(A∩∁B)={b,e}14.已知 $x|x^2+2013\cdot(a+2)x+a^2-4|=|x-a-2||x+a+2|$,则$a=-2$。
15.已知集合 $A=\{x|-1<x<3\}$,$A\cap B=\varnothing$,$A\cup B=\mathbb{R}$,求集合 $B=\{x|x\leq -1\text{ 或 }x\geq 3\}$。
高一数学集合之间的关系与运算试题1.数集{1,2,x2-3}中的x不能取的数值的集合是( )A.{2,}B.{-2, }C.{±2,±}D.{2, }【答案】:C【解析】:(1)由x2-3≠1,解得x≠±2.(2)由x2-3≠2,解得x≠.∴x不能取的数值的集合为{±2, }.2.下列5个命题,其中正确的个数为()①a∈A a∈A∪B ②A B A∪B=B ③a∈B a∈A∩B④A∪B=B A∩B=A⑤A∪B=B∪C A=CA.2B.3C.4D.5【答案】:B【解析】:由交、并集的定义与性质可知①②④正确;③错误,如A=;⑤错误,如A={1,2},B={3,4},C={1,2,3},有A∪B=B∪C,但A≠C.3..已知集合S={a,b,c}中的三个元素是△ABC的三边长,那么△ABC一定不是()A.锐角三角形B.直角三角形C.钝角三角形D.等腰三角形【答案】:D【解析】:由于集合中的元素是互异的,所以a、b、c互不相等,即△ABC一定不是等腰三角形.4.已知集合P={x|x2=1},集合Q={x|ax=1},若Q P,那么a的值是()A.1B.-1C.1或-1D.0,1或-1【答案】:D【解析】:因为由x2=1得x=±1,所以P={-1,1}.又因为Q P,所以分Q=和Q≠两种情况讨论:(1)若Q=,则a=0;(2)若Q≠,则a≠0,Q={x|x=},所以a=-1或1.综合(1)(2)可知,a的值为0,1或-1.5..由实数x,-x,|x|,,()2,-所组成的集合,最多含有()A.2个元素B.3个元素C.4个元素D.5个元素【答案】:B【解析】:上面实数化简即为x,-x,|x|,x2.由于|x|与x和-x中有一个是相同的,故最多只有x,-x,x2三个元素.6. 已知集合M={x|x=+,k ∈Z},N={x|x=+,k ∈Z}.若x 0∈M,则x 0与N 的关系是 ( )A .x 0∈NB .x 0NC .x 0∈N 或x 0ND .不能确定【答案】:A【解析】主要考查对集合中元素特征的认识。
一、选择题(每题4分,共40分)1、集合{a ,b ,c }的真子集共有 个 ( ) A 7 B 8 C 9 D 104、若U={1,2,3,4},M={1,2},N={2,3},则C U (M ∪N )= ( ) A . {1,2,3} B. {2} C. {1,3,4} D. {4}5、方程组 11x y x y +=-=- 的解集是 ( )A .{x=0,y=1} B. {0,1} C. {(0,1)} D. {(x,y)|x=0或y=1} 6、以下六个关系式:{}00∈,{}0⊇∅,Q ∉3.0, N ∈0, {}{},,a b b a ⊂ ,{}2|20,x xx Z -=∈是空集中,错误的个数是 ( )A 4B 3C 2D 17、点的集合M ={(x,y)|xy≥0}是指 ( ) A.第一象限内的点集 B.第三象限内的点集C. 第一、第三象限内的点集D. 不在第二、第四象限内的点集8、设集合A=}{12x x <<,B=}{x x a <,若A ⊆B ,则a 的取值范围是 ( ) A }{2a a ≥ B }{1a a ≤ C }{1a a ≥ D }{2a a ≤9、 满足条件M}{1=}{1,2,3的集合M 的个数是 ( )A 1B 2C 3D 410、集合{}|2,P x x k k Z ==∈,{}|21,Q x x k k Z ==+∈,{}|41,R x x k k Z ==+∈,且,a P b Q ∈∈,则有 ( )A a b P +∈B a b Q +∈C a b R +∈D a b +不属于P 、Q 、R 中的任意一个 二、填空题(每题3分,共18分)11、若}4,3,2,2{-=A ,},|{2A t t x x B ∈==,用列举法表示B 12、集合A={x| x 2+x-6=0}, B={x| ax+1=0}, 若B ⊂A ,则a=__________13、设全集U={}22,3,23a a +-,A={}2,b ,C U A={}5,则a = ,b = 。
高一数学集合练习题含答案一、单选题1.设集合{}2|60A x x x x =--<∈Z ,,(){}2|ln 1B y y x x A ==+∈,,则集合B 中元素个数为( ) A .2B .3C .4D .无数个2.已知集合{}2|280{|1]M x x x N y y =--<=≥-,,则M N ⋂=( )A .[-1,4)B .[-1,2)C .(-2,-1)D .∅3.设I 为全集,1S 、2S 、3S 是I 的三个非空子集且123S S S I ⋃⋃=.则下面论断正确的是( )A .()123I S S S ⋂⋃=∅B .()123I I S S S ⊆⋂C .123I I I S S S ⋂⋂=∅D .()123I I S S S ⊆⋃4.已知集合{}42A x x =-<<,{}29B x x =≤,则A B ⋃=( )A .(]4,3-B .[)3,2-C .()4,2-D .[]3,3-5.设集合{}22A x x =≤,Z 为整数集,则集合A ⋂Z 子集的个数是( )A .3B .6C .7D .86.若集合{}220A x x x =--<,{}21B x x =<,则A B =( )A .AB .BC .()1,0-D .()0,27.设集合{}2,1,0,1,2,3A =--,{|B x y ==,则AB =( )A .{}2B .{}0,1C .{}2,3D .{}2,1,0,1,2--8.设全集U =R ,集合{}{}13,0,1,2,3,4,5A x x B =≤≤=,则()U A B =( ) A .{0,4,5}B .{0,1,3,4,5}C .{4,5}D .{0}9.已知集合{}1A x x =≤,B ={}02x x <<,则A B =( ) A .(]0,1B .[)1,2C .()0,1D .()0,210.已知全集{}U 1,0,1,3,6=-,{}0,6A =,则UA =( )A .{}1,3-B .{}1,1,3-C .{}0,1,3D .{}0,3,611.已知集合{}{}|1|Z 3,0A x x B x x =∈-≤≤=≥,则A B =( ) A .[]1,2B .{}1,2,3C .[]0,3D .{}0,1,2,312.设全集{}0,1,2,3,4U =,集合{}1,2,4A =,{}2,3B =,则()U A B ⋂=( ) A .{}2 B .{}2,3C .{}0,3D .{}313.已知集合{|03}A x x =<<,集合2{|0log 1}B x x =<<,则A ∩B =( )A .{|13}x x <<B .{|12}x x <<C .{|23}x x <<D .{|02}x x <<14.已知集合{}{}21,,3A x x n n Z B ==+∈=,则A B =( ) A .{1,3}B .{1,3,5,7,9}C .{3,5,7}D .{1,3,5,7}15.等可能地从集合{}1,2,3的所有子集中任选一个,选到非空真子集的概率为( ) A .78B .34C .1516 D .14二、填空题16.网络流行词“新四大发明’’是指移动支付、高铁、网购与共享单车.某中学为了解本校学生中“新四大发明”的普及情况,随机调查了100名学生,其中使用过移动支付或共享单车的学生共90名,使用过移动支付的学生共有80名,使用过共享单车的学生且使用过移动支付的学生共有60名,则该校使用共享单车的学生人数与该校学生总数比值的估计值为___________.17.已知集合{}21A x x =-<<,{}0B x x =<,则A B ⋃= ____________. 18.集合(){},A x y y a x ==,(){},B x y y x a ==+,C AB =,且集合C 为单元素集合,则实数a 的取值范围是________.19.集合{|13},{|25}A x x B x x =∈<≤=∈<<Z Z ,则A B 的子集的个数为___________.20.已知集合{}{}35,10A x Zx B y y =∈-<<=+>∣∣,则A B 的元素个数为___________. 21.已知集合{}2280A x x x =--<,非空集合{}23B x x m =-<<+,若x B ∈是x A ∈成立的一个充分而不必要条件,则实数m 的取值范围是___________.22.已知集合{1,2,3}A =,则满足A B A ⋃=的非空集合B 有_________个. 23.已知函数()94sin3264x x f x π-⋅+=,()21g x ax =-(0a >).若[]130,log 2x ∀∈,[]21,2x ∃∈,()()12f x g x =,则a 的取值范围是___________.24.若{}231,13a a ∈--,则=a ______.25.已知集合{}2202120200A x x x =-+<,{}B x x a =<,若A B ⊆,则实数a 的取值范围是______.三、解答题26.设A 为非空集合,令(){},,A A x y x y A ⨯=∈,则A A ⨯的任意子集R 都叫做从A 到A 的一个关系(Relation ),简称A 上的关系.例如{}0,1,2A =时,(){}10,2R =,2R A A =⨯,3R =∅,()(){}40,0,2,1R =等都是A 上的关系.设R 为非空集合A 上的关系.如果R 满足:①(自反性)若x A ∀∈,有(),x x R ∈,则称R 在A 上是自反的; ②(对称性)若(),x y R ∀∈,有(),y x R ∈,则称R 在A 上是对称的; ③(传递性)若(),x y ∀,(),y z R ∈,有(),x z R ∈,则称R 在A 上是传递的;称R 为A 上的等价关系.(1)已知{}0,1,2A =.用列举法写出A A ⨯,然后写出A 上的关系有多少个,最后写出A 上的所有等价关系.(只需写出结果)(2)设1R 和2R 是某个非空集合A 上的关系,证明: (ⅰ)若1R ,2R 是自反的和对称的,则12R R 也是自反的和对称的;(ⅱ)若1R ,2R 是传递的,则12R R 也是传递的.(3)若给定的集合A 有n 个元素()4n ≥,()12,,,2m A A A m n ⋅⋅⋅≤≤为A 的非空子集,满足12m A A A A ⋅⋅⋅=且两两交集为空集.求证:()()()1122m m R A A A A A A =⨯⨯⋅⋅⋅⨯为A上的等价关系.27.已知集合{|28}x a A x -=>,2{|20}B x x x =+-<,再从条件① ,条件② ,条件③这三个条件中选择一个作为已知,求实数a 的取值范围. 条件①:A B =∅;条件②:A B A =;条件③:RA B ⊆.28.已知M 由0,2,4,6,8组成的集合,{|33}Z N x x =∈-≤. (1)用列举法表示集合N ,用描述法表示集合M (书写格式要规范)(2)若∃x ∈B 而x ∉ A ,则称B 不是A 的子集.结合集合M ,N 写出5个含M 中3个元素但不是M 的子集的集合.29.已知集合{}|33A x a x a =-≤≤+,{}2|40B x x x =-≥.(1)当2a =时,求A B ,A B ;(2)若0a >,且“x A ∈”是“R x B ∈”的充分不必要条件,求实数a 的取值范围.30.已知集合(){}2log 31A x x =->,22112y y B y -⎧⎫⎪⎪⎛⎫=<⎨⎬ ⎪⎝⎭⎪⎪⎩⎭. (1)分别求出集合A 、B ; (2)设全集为R ,求()RA B ⋂.【参考答案】一、单选题 1.B 【解析】 【分析】先解出集合A ,再按照对数的运算求出集合B ,即可求解. 【详解】由260x x --<,解得23x -<<,故{}1,0,1,2A =-,()2222ln (1)1ln(11)ln 2,ln 010,ln(21)ln5⎡⎤-+=+=+=+=⎣⎦,故{}ln 2,0,ln5B =,集合B 中元素个数为3. 故选:B. 2.A 【解析】 【分析】解一元二次不等式求集合M ,再根据集合的交运算求M N ⋂. 【详解】由题设,{|24}M x x =-<<,而{|1}N y y ≥-, 所以{|14}M N x x ⋂=-≤<. 故选:A 3.C 【解析】 【分析】画出关于123S S S I ⋃⋃=且含7个不同区域的韦恩图,根据韦恩图结合集合的交并补运算确定各选项中对应集合所包含的区域,并判断包含关系. 【详解】将123S S S I ⋃⋃=分为7个部分(各部分可能为空或非空),如下图示:所以1A B D E S =⋃⋃⋃、2A B C F S =⋃⋃⋃、3S A C D G =⋃⋃⋃, 则1I S C F G =⋃⋃,2I S D E G =⋃⋃,3I S B E F =⋃⋃,所以23S S A B C D F G ⋃=⋃⋃⋃⋃⋃,故()123I S S S F G ⋂⋃=⋃,A 错误;23I I S S E ⋂=,故231I I S S S ⋂⊆,B 错误; 123I I I S S S ⋂⋂=∅,C 正确;23II S S B D E F G ⋃=⋃⋃⋃⋃,显然1S 与23I I S S ⋃没有包含关系,D 错误.故选:C 4.A 【解析】 【分析】先求B ,再求并集即可 【详解】易得{}3|3B x x =-≤≤,故(]4,3A B ⋃=- 故选:A 5.D 【解析】 【分析】解不等式求得A ,然后求得A ⋂Z ,进而求得正确答案. 【详解】2222x x ≤⇒-≤,所以2,2A ⎡=-⎣,所以{}1,0,1A ⋂=-Z , 所以A ⋂Z 子集的个数是328=. 故选:D 6.B 【解析】 【分析】由题知{}12A x x =-<<,{}11B x x =-<<,再求交集即可. 【详解】解:解不等式220x x --<得12x -<<,故{}12A x x =-<<, 解不等式21x <得11x -<<,故{}11B x x =-<<, 所以A B ={}11x x B -<<=. 故选:B 7.C 【解析】 【分析】根据偶次根式有意义及一元二次不等式的解法,再结合集合的交集的定义即可求解. 【详解】由y =()()250x x --≥,解得25x ≤≤,所以{}|25B x x =≤≤,A B ={}{}{}2,1,0,1,2,3|252,3x x --≤≤=,故选:C. 8.A 【解析】 【分析】由集合的补集和交集的运算可得. 【详解】 由题可得{1UA x x =<或3}x >,所以(){0,4,5}=UA B .故选:A .9.A 【解析】 【分析】根据集合的交集概念即可计算. 【详解】∵{}1A x x =≤,B ={}02x x <<,∴A B =(]0,1. 故选:A ﹒ 10.B 【解析】 【分析】根据集合补集的概念及运算,即可求解. 【详解】由题意,全集{}U 1,0,1,3,6=-,且{}0,6A =,根据集合补集的概念及运算,可得{}U1,1,3A =-.故选:B. 11.D 【解析】 【分析】直接利用集合的交集运算求解. 【详解】∵集合{}{}{}Z 131,0,1,2|,0|3,A x x B x x =∈-≤≤-=≥=, 所以{}0,1,2,3A B =. 故选:D. 12.D 【解析】 【分析】利用补集和交集的定义可求得结果. 【详解】 由已知可得{}0,3UA =,因此,(){}U 3AB ⋂=,故选:D. 13.B 【解析】 【分析】化简集合B ,再求集合A,B 的交集即可. 【详解】∵集合{|03}A x x =<<,集合2{|0lo {|}g 121}B x x x x =<<<<=, ∴A B ={|12}x x <<. 故选:B. 14.B 【解析】 【分析】先求出集合[)1,10B =,再根据集合的交集运算求得答案. 【详解】由题意得[){3}1,10B x =<=,其中奇数有1,3,5,7,9 又{}21,Z A x x n n ==+∈,则{}1,3,5,7,9A B ⋂=, 故选:B . 15.B 【解析】 【分析】写出集合{}1,2,3的所有子集,再利用古典概率公式计算作答.【详解】集合{}1,2,3的所有子集有:{}{}{}{}{}{}{},1,2,3,1,2,1,3,2,3,1,2,3∅,共8个,它们等可能,选到非空真子集的事件A 有:{}{}{}{}{}{}1,2,3,1,2,1,3,2,3,共6个, 所以选到非空真子集的概率为63()84P A ==. 故选:B二、填空题16.710##0.7 【解析】 【分析】利用韦恩图,根据题中的信息得出样本中使用共享单车和移动支付的学生人数,将人数除以100可得出所求结果. 【详解】根据题意,将使用过移动支付、共享单车的人数用如图所示的韦恩图表示,所以该校使用共享单车的学生人数与该校学生总数比值的估计值为6010710010+=. 故答案为:710. 17.{}1x x <【解析】 【分析】利用并集概念及运算法则进行计算. 【详解】在数轴上画出两集合,如图:{}{}{}2101A B x x x x x x ⋃=-<<⋃<=<.故答案为:{}1x x <18.[1,1]-【解析】 【分析】由题意可得集合A ,B 表示的曲线有一个交点,可得a x x a =+有一个根,当0a =时,符合题意,当0a ≠时,1x x a =+,分别作出y x =与1xy a=+的图象,根图象求解即可 【详解】因为C A B =,且集合C 为单元素集合, 所以集合A ,B 表示的曲线有一个交点, 所以a x x a =+有一个根 当0a =时,符合题意, 当0a ≠时,1x x a =+,分别作出y x =与1xy a=+的图象, 由图象可知11a ≥或11a≤-时,两函数图象只有一个交点, 解得01a <≤或10a -≤<, 综上,实数a 的取值范围是[1,1]-, 故答案为:[1,1]-19.8 【解析】 【分析】先求得A B ,然后求得A B 的子集的个数. 【详解】{}{}2,3,3,4A B ==,{2,3,4}A B ⋃=,有3个元素,所以子集个数为328=.故答案为:8 20.5 【解析】 【分析】直接求出集合A 、B ,再求出A B ,即可得到答案. 【详解】因为集合{}{}352,1,0,1,2,3,4A x Z x =∈-<<=--∣,集合{}{}101B y y y y =+>=>-∣∣, 所以{}0,1,2,3,4A B =, 所以A B 的元素个数为5. 故答案为:5.21.()5,1-【解析】 【分析】根据逻辑条件关系与集合间的关系、一元二次不等式的解法即可求解. 【详解】由题意得,{}{}228024A x x x x x =--<=-<<,由x B ∈是x A ∈成立的一个充分而不必要条件,得B A ,即2334m m -<+⎧⎨+<⎩解得,51m -<<, 故答案为:()5,1-. 22.7 【解析】 【分析】由A B A ⋃=可得B A ⊆,所以求出集合B 的所有非空子集即可 【详解】因为A B A ⋃=,所以B A ⊆, 因为{1,2,3}A =,所以非空集合{}1B =,{}2,{}3,{}1,2,{}1,3,{}2,3,{}1,2,3, 所以非空集合B 有7个, 故答案为:7 23.35,88⎡⎤⎢⎥⎣⎦【解析】 【分析】由题意,()f x 的值域为()g x 的值域子集,先求得两个函数的值域,再利用包含关系求得a 的取值范围. 【详解】因为()()294sin32311644x x x f x π-⋅+-+==, 又当[]30,log 2x ∈时,0311x ≤-≤,()f x 的值域为11,42⎡⎤⎢⎥⎣⎦.因为0a >,所以()g x 在[]1,2上单调递增,其值域为[]21,41a a --. 依题意得[]11,21,4142a a ⎡⎤⊆--⎢⎥⎣⎦,则12141412a a ⎧-≤⎪⎪⎨⎪-≥⎪⎩,解得3588a ≤≤. 故答案为:35,88⎡⎤⎢⎥⎣⎦24.4-【解析】 【分析】结合元素与集合的关系,利用集合的互异性分类讨论即可求解. 【详解】若13a -=,则4a =,此时,2113a a -=-,不合题意,舍去; 若2133a -=,则4a =-或4a =,因为4a =不合题意,舍去. 故4a =-. 故答案为:4-.25.[)2020,∞+【解析】 【分析】解一元二次不等式求得集合A ,根据A B ⊆求a 的取值范围. 【详解】由2202120200x x -+<,解得:12020x <<, ∴()1,2020A =,又A B ⊆,且{}|B x x a =<, ∴2020a ≥,故a 的取值范围为[)2020,∞+. 故答案为:[)2020,∞+三、解答题26.(1)答案见解析(2)(ⅰ)证明见解析;(ⅱ)证明见解析 (3)证明见解析 【解析】 【分析】(1)由A A ⨯的定义可直接得到结果;根据A A ⨯中元素个数可得其子集个数,即为A 上的关系个数;根据等价关系定义列举出所有满足的R 即可;(2)(ⅰ)由()1,x x R ∈,()2,y y R ∈可知()(){}()12,,,x x y y R R ⊆,自反性得证;由()1,x y R ∀∈,有()1,y x R ∈;()2,s t R ∀∈,有()2,t s R ∈,根据并集定义可知()()()(){}()12,,,,,,,x y y x s t t s RR ⊆,对称性得证;(ⅱ)采用反证法,可知1R 或2R 不是传递的,假设错误,传递性得证;(3)采用假设的方式,分别假设s s a A ∈,可知(){}(),s s s s a a A A R ⊆⨯⊆,自反性得证;假设,s t t a a A ∈,可知()(){}(),,,s t t s t t a a a a A A R ⊆⨯⊆,对称性得证;假设(),,1s t q q a a a A q m n ∈≤≤≤,可知()()(){}(),,,,,s t t s s q q q a a a a a a A A R ⊆⨯⊆,传递性得证;由此可得结论. (1)由题意得:()()()()()()()()(){}0,0,0,1,0,2,1,0,1,1,1,2,2,0,2,1,2,2A A ⨯=;A A ⨯共有9个元素,A A ∴⨯共有92个子集,即A 上的关系有72512=个;所有等价关系有:()()(){}10,0,1,1,2,2R =,()()()()(){}20,0,1,1,2,2,0,1,1,0R =,()()()()(){}30,0,1,1,2,2,0,2,2,0R =,()()()()(){}40,0,1,1,2,2,1,2,2,1R =, ()()()()()()()()(){}50,0,1,1,2,2,1,2,2,1,0,2,2,0,0,1,1,0R =. (2)(ⅰ)若任意,x y A ∈,12,R R 在A 上是自反的,令()1,x x R ∈,()2,y y R ∈,()(){}()12,,,x x y y R R ∴⊆,则12R R 是自反的;若12,R R 在A 上是对称的,则()1,x y R ∀∈,有()1,y x R ∈;()2,s t R ∀∈,有()2,t s R ∈,()()()(){}()12,,,,,,,x y y x s t t s R R ∴⊆,则12R R 是对称的;综上所述:若1R ,2R 是自反的和对称的,则12R R 也是自反的和对称的.(ⅱ)假设12R R 不是传递的,则()()12,x y R R ∃∈,()()12,y z R R ∈,()()12,x z R R ∉,即()1,x z R ∉或()2,x z R ∉,此时1R 或2R 不是传递的,与已知矛盾, ∴若1R ,2R 是传递的,则12R R 也是传递的.(3)令{}123,,,,n A a a a a =⋅⋅⋅, 12m A A A A ⋅⋅⋅=且两两交集为空集,设s s a A ∈()1s m n ≤≤≤,则除s A 外,其余集合不包含元素s a ; 则(){}(),s s s s a a A A ⊆⨯,又()()()()1122s s m m A A A A A A A A ⨯⊆⨯⨯⋅⋅⋅⨯,(),s s a a R ∴∈,则R 在A 上是自反的;设,s t t a a A ∈()1t m n ≤≤≤,则除t A 外,其余集合不包含元素,s t a a ; 则()(){}(),,,s t t s t t a a a a A A ⊆⨯, 又()()()()1122t t m m A A A A A A A A ⨯⊆⨯⨯⋅⋅⋅⨯,(),s t a a R ∴∈,(),t s a a R ∈,则R 在A 上是对称的;设(),,1s t q q a a a A q m n ∈≤≤≤,则除q A 外,其余集合不包含元素,,s t q a a a ; 则()()(){}(),,,,,s t t s s q q q a a a a a a A A ⊆⨯, 又()()()()1122q q m m A A A A A A A A ⨯⊆⨯⨯⋅⋅⋅⨯,(),s t a a R ∴∈,(),t s a a R ∈,(),s q a a R ∈,则R 在A 上是传递的; 综上所述:()()()1122m m R A A A A A A =⨯⨯⋅⋅⋅⨯为A 上的等价关系.【点睛】关键点点睛:本题考查集合的自反性、对称性和传递性的证明,解决此问题的关键是能够充分理解已知中所说的性质的含义;解题基本思路是采用假设的方式和反证的方式,通过说明元素与集合、集合与集合之间关系证得结论. 27.若选① ,[2-,)∞+. 若选② ,(-∞,5]-. 若选③ ,[2-,)∞+. 【解析】 【分析】先将集合A,B 中的不等式求解,根据集合运算的最后结果分析参数a 需要满足的范围即可求解. 【详解】{|28}{|3}{|3}x a A x x x a x x a -=>=->=>+,2{|20}{|(2)(1)0}{|21}B x x x x x x x x =+-<=+-<=-<<,若选择条件①:A B =∅,则需31a +,即2a -, 所求实数a 的取值范围为[2-,)∞+.若选择条件②:A B A =,即B A ⊆,则需32a +-,即5a -, 所求实数a 的取值范围为(-∞,5]-. 若选择条件③:RA B ⊆,因为{|2R B x x =-或1}x ,所以要使RA B ⊆,则需31a +,即2a -,所求实数a 的取值范围为[2-,)∞+.28.(1){}0,1,2,3,4,5,6N =;{2,4M x x k k ==≤且}N k ∈(答案不唯一); (2){}0,1,2,3,4,{}{}{}{}0,1,2,4,5,0,1,3,4,6,1,2,3,4,6,1,2,4,5,6(答案不唯一). 【解析】 【分析】(1)利用集合的列举法,描述法即得; (2)结合条件及子集的概念即得. (1)∵{|33}Z N x x =∈-≤,∴{}0,1,2,3,4,5,6N =,∵M 由0,2,4,6,8组成的集合,∴{2,4M x x k k ==≤且}N k ∈(答案不唯一); (2)由题可得含M 中3个元素但不是M 的子集的集合为:{}0,1,2,3,4,{}{}{}{}0,1,2,4,5,0,1,3,4,6,1,2,3,4,6,1,2,4,5,629.(1){|45}A B x x ⋂=,{|0A B x x ⋃=或1}x ; (2)(0,1). 【解析】 【分析】(1)当2a =时,求出集合A ,B ,由此能求出A B ,A B ;(2)推导出0a >,R A B 是的真子集,求出{|04}R B x x =<<,A ≠∅,列出不等式组,能求出实数a 的取值范围. (1)2{|40}{|0B x x x x x =-=或4}x ,当2a =时,{|15}A x x =,{|45}A B x x ∴⋂=, {|0A B x x ⋃=或1}x ;(2)若0a >,且“x A ∈”是“R x B ∈”的充分不必要条件,0a ∴>,R A B 是的真子集,{|04}RB x x =<<,A ≠∅,∴3034a a ->⎧⎨+<⎩,解得01a <<. ∴实数a 的取值范围是(0,1).30.(1){}5A x x =>,{0B y y =<或}2y > (2)(){}R5A B x x ⋂=≤【解析】 【分析】(1)利用对数函数和指数函数的单调性可分别求得集合A 、B ; (2)求出A B ,利用补集的定义可求得集合()RA B ⋂.(1)解:(){}{}{}2log 31325A x x x x x x =->=->=>,{}{222112002y y B y y y y y y -⎧⎫⎪⎪⎛⎫=<=->=<⎨⎬ ⎪⎝⎭⎪⎪⎩⎭或}2y >.(2)解:由(1)可得{}5A B x x ⋂=>,因此,(){}R5A B x x ⋂=≤.。
高一数学集合试题及答案一、单选题1.设集合104x A x x ⎧⎫+=≤⎨⎬-⎩⎭,{}1e ,R x B y y x ==-∈,R 为实数集,则()R A B ⋃=( )A .{1x x <-或}1x ≥B .{1x x ≤-或}1x >C .{}4x x ≥D .{}4x x >2.已知集合{}0,1,2,3,4,5,6,7A =,{}1,2,4,6B =,则A B =( )A .{}2,4B .{}1,2,4C .{}1,2,4,6D .{}2,4,63.{}1,2,3A =,{}28x B x =<,则A B =( ) A .∅ B .{}1 C .{}1,2 D .{}1,2,34.已知集合{}24A x x =≤,集合{}*1B x x N x A =∈-∈且,则B =( ) A .{}0,1 B .{}0,1,2 C .{}1,2,3 D .{}1,2,3,45.若集合{}220A x x x =--<,{}21B x x =<,则A B =( ) A .A B .B C .()1,0- D .()0,26.若全集为R ,集合{2x A x =≤∣,{ln(2)0}B x x =-<∣,则()A B =R ( ) A .3,2⎛⎤-∞ ⎥⎝⎦ B .30,2⎛⎤ ⎥⎝⎦ C .3,22⎛⎫ ⎪⎝⎭ D .()2,+∞7.已知集合{|4}A x x =<,{0,1,2,3,4}B =,则A B =( )A .{0,1,2}B .{1,2,3}C .{2,3}D .{0,1,2,3}8.设集合{A x y =,(){}ln 2B y y x ==-,(){}2,C x y y x ==,则下列集合不为空集的是( )A .A CB .BC ⋂ C .B A ⋂RD .A B C ⋂⋂9.已知集合{}2{63},3100S x x T x x x =∈-<<=--<Z ∣∣,则S T ( )A .{23}x x -<<∣B .{1,0,1,2}-C .{52}xx -<<∣ D .{2,1,0,1,2}-- 10.已知集合{}24A x x =≤,{}2,B y y x x ==∈R ,则A B =( ) A .[0,2] B .[0,4] C .[2,2]- D .∅11.已知函数()2log f x x =,()2g x a x =-,若存在[]12,1,2x x ∈,使得()()12f x g x =,则实数a 的取值范围是( )A .()(),25,-∞⋃+∞B .(][),25,-∞⋃+∞C .()2,5D .[]2,512.已知集合{}20A x R x a =∈+>,且2A ∉,则实数a 的取值范围是( ) A .{}4a a ≤ B .{}4a a ≥ C .{}4a a ≤- D .{}4a a ≥-13.已知集合(){}2{34},log 22A x Zx B x x =∈-≤<=+<∣∣,则A B 的元素个数为( )A .3B .4C .5D .614.已知集合{}2280,Z A x x x x =--<∈,则A 的非空子集的个数为( ) A .32 B .31 C .16 D .1515.设全集U =R ,集合{}21A x x =-≤,{}240x B x =-≥,则集合()U A B =( )A .()1,2B .(]1,2C .[)1,2D .[]1,2二、填空题16.已知集合{}2|210A x ax x =+-=,若集合A 中只有一个元素,则实数a 的取值的集合是______17.已知集合{}1,2,3,4,A =,{}1,4,7,10,B =,下有命题: ①{} 2,3,5,6,8,9,A B =;②若f 表示对二个数乘以3减去2的运算,则对应:f A B →表示一个函数;③A 、B 两个集合元素个数相等;④n A ∀∈,22n n ≥.其中真命题序号是______.18.已知A ={x ∈R|2a ≤x ≤a +3},B ={x ∈R|x <-1或x >4},若A B ⊆,则实数a 的取值范围是________.19.集合{}33A x Z x =∈-<<的子集个数为______.20.已知集合{}{}0,1,2,1P Q xx ==∣,则P Q 的非空真子集的个数为__________. 21.已知集合{}1,3,5,6,8A =,{}2,3,4,6B =,则下图中阴影部分表示的集合为___________.22.满足{}{},,a M a b c ⊆⊆的所有集合M 共有__________ 个.23.若a ∈R ,集合A ={1,a ,a +2},B ={1,3,5},且A =B ,则a =___________.24.(1)已知集合{}2230A x x x =--=,{}20B x ax =-=,且B A ⊆,则实数a 的值为______.(2)若不等式23208kx kx +-<对一切实数x 都成立,则k 的取值范围为______.25.若集合(){,|M x y y ==,(){},|1N x y x ==,则M N =______.三、解答题26.立德中学高一年级共有200名学生,报名参加学校团委与学生会组织的社团组织,据统计,参加艺术社团组织的学生有103人,参加体育社团组织的学生有120人(并非每个学生必须参加某个社团).求在高一年级的报名学生中,同时参加这2个社团的最多有多少人?最少有有多少人?27.已知集合{23}M xx =-<≤∣, {}N x x a =≤∣. (1)当1a =时,求M N ⋂,M N ⋃,()R M N ;(2)当M N ⋂=∅时,求a 的取值范围.28.已知集合11{|}A x a x a =-≤≤+,5|03x B x x -⎧⎫=≤⎨⎬+⎩⎭. (1)若3a =-,求A B ;(2)在①A B =∅,②()R B A R ⋃=,③A B B ⋃=,这三个条件中任选一个作为已知条件,求实数a 的取值范围.29.已知集合A 的元素全为实数,且满足:若a A ∈,则11a A a+∈-. (1)若3a =-,求出A 中其他所有元素;(2)0是不是集合A 中的元素?请你设计一个实数a A ∈,再求出A 中的元素30.已知集合2{|40}A x x =-≥,集合{|1}B x m x m =<<-.(1)求A .(2)求A B A ⋃=,求m 的取值范围.【参考答案】一、单选题1.C【解析】【分析】先求出集合A ,B ,再求两集合的并集,然后再求其补集【详解】 由104x x +≤-,得(1)(4)040x x x +-≤⎧⎨-≠⎩,解得14x -≤<, 所以{}14A x x =-≤<,因为当R x ∈时,e 0x >,所以1e 1x -<, 所以{}1B y y =<, 所以{}4A B x x ⋃=<,所以(){}R 4A B x x ⋃=≥,故选:C2.C【解析】【分析】由交集定义可直接得到结果.【详解】由交集定义知:{}1,2,4,6A B =.故选:C.3.C【解析】【分析】先求出集合B ,再按照交集的定义计算即可.【详解】 由题意知:{}3B x x =<,故A B ={}1,2.故选:C.4.C【解析】【分析】化简集合A ,根据集合B 中元素的性质求出集合B.【详解】{}24[2,2]A x x =≤=-,{}*1B x x N x A =∈-∈且, {1,2,3}B ∴=,故选:C5.B【解析】【分析】由题知{}12A x x =-<<,{}11B x x =-<<,再求交集即可.【详解】解:解不等式220x x --<得12x -<<,故{}12A x x =-<<,解不等式21x <得11x -<<,故{}11B x x =-<<,所以A B ={}11x x B -<<=.故选:B6.C【解析】【分析】先求出集合A ,B ,再根据补集交集的定义即可求出.【详解】因为32A x x ⎧⎫=≤⎨⎬⎩⎭∣,{}12B x x =<<,所以()322R A B x x ⎧⎫⋂=<<⎨⎬⎩⎭∣. 故选:C .7.D【解析】【分析】根据集合交集运算方法计算即可.【详解】因为{|4}A x x =<,{0,1,2,3,4}B =,∴A B ={0,1,2,3}.故选:D.8.C【解析】【分析】先化简集合A ,B ,C ,再利用集合的类型和运算求解.【详解】解:因为集合{{}2A x y x x ===≥,(){}ln 2B y y x R ==-=,且(){}2,C x y y x ==为点集, 所以A C ⋂=∅,B C =∅,{}|2=<A x x R ,{}|2⋂=<B A x x R ,A B C =∅,故选:C9.B【解析】【分析】求解一元二次不等式解得集合T ,再求S T 即可.【详解】因为{63}S x x =∈-<<Z∣{}5,4,3,2,1,0,1,2=-----, {}23100T x x x =--<∣()(){}|520{|25}x x x x x =-+<=-<<,故S T {}1,0,1,2=-.故选:B.10.A【解析】【分析】解不等式得集合A ,求二次函数值域得集合B ,然后由集合的交集运算可得.【详解】由24x ≤解得22x -≤≤,即{}22A x x =-≤≤,易知20y x =≥,即{|0}B y y =≥则{|02}A B x x =≤≤.故选:A11.D【解析】【分析】根据条件求出两个函数在[1,2]上的值域,结合若存在[]12,1,2x x ∈,使得12()()f x g x =,等价为两个集合有公共元素,然后根据集合关系进行求解即可.【详解】当12x ≤≤时,22log 1()log 2f x ≤≤,即0()1f x ≤≤,则()f x 的值域为[0,1], 当12x ≤≤时,4()2a g x a -≤≤-,则()g x 的值域为[4,2]a a --,因为存在[]12,1,2x x ∈,使得12()()f x g x =,则[4,2][0,1]a a --≠∅若[4,2][0,1]a a --=∅,则14a <-或02a >-,得5a >或2a <,则当[4,2][0,1]a a --≠∅时,25a ≤≤,即实数a 的取值范围是[2,5],A ,B ,C 错,D 对.故选:D .12.C【解析】【分析】结合元素与集合的关系得到220a +≤,解不等式即可求出结果.【详解】由题意可得220a +≤,解得4a ≤-,故选:C13.A【解析】【分析】根据对数函数的单调性解得集合B ,再求A B ⋂即可得到其元素个数.【详解】因为{34}A x Zx =∈-≤<∣{}3,2,1,0,1,2,3=---, ()2log 22x +<,即()22log 2log 4x +<,故024x <+<,解得22x -<<, 即{|22}B x x =-<<,则{}1,0,1A B ⋂=-,其包含3个元素.故选:A.14.B【解析】【分析】求出集合A ,利用集合的非空子集个数公式可求得结果.【详解】{}{}{}2280,Z 24,Z 1,0,1,2,3A x x x x x x x =--<∈=-<<∈=-, 即集合A 含有5个元素,则A 的非空子集有52131-=(个).故选:B.15.C【解析】【分析】解不等式化简集合A ,B ,再利用补集、交集的定义计算作答.【详解】 解不等式21-≤x 得:13x ≤≤,则[1,3]A =,解不等式240x -≥得:2x ≥,则[2,)B =+∞,(,2)U B =-∞, 所以()[1,2)U AB =.故选:C二、填空题16.{}0,1-【解析】【分析】分0a =和0a ≠两种情况保证方程2210ax x 只有一个解或重根,求出a 的值即可.【详解】当0a =时,2210ax x 只有一个解12x =, 则集合2{|210}A x ax x =+-=有且只有一个元素,符合题意;当0a ≠时,若集合A 中只有一个元素,则一元二次方程2210ax x 有二重根,即440a ∆=+=,即 1.a =-综上,0a =或1-,故实数a 的取值的集合为{}0,1.-故答案为:{}0,1.-17.①②③【解析】【分析】①由补集定义直接判断;②按照函数定义进行判断;③元素一一对应即可判断;④3n =时,不成立.【详解】 因为{}{}**,32,A n n N B n n k k N =∈==-∈,故②正确,又{ 31A B n n k ==-或}*3,n k k N =∈,故①正确;A 、B 两个集合元素一一对应,元素个数相等,故③正确;当3n =时,3223<,故④错误. 故答案为:①②③.18.a <-4或a >2【解析】【分析】按集合A 为空集和不是空集两种情况去讨论即可求得实数a 的取值范围.【详解】①当a >3即2a >a +3时,A =∅,满足A B ⊆;.②当a ≤3即2a ≤a +3时,若A B ⊆, 则有233124a a a a ≤+⎧⎨+-⎩或,解得a <-4或2<a ≤3 综上,实数a 的取值范围是a <-4或a >2.故答案为:a <-4或a >219.32【分析】由n 个元素组成的集合,集合的子集个数为2n 个.【详解】解:由题意得{}2,1,0,1,2A =--,则A 的子集个数为5232=.故答案为:32.20.2【解析】【分析】先求P Q 后再计算即可.【详解】{}1,2,P Q P Q ⋂=∴⋂的非空真子集的个数为2222-=.故答案为:221.{}1,5,8【解析】【分析】 分析可知,阴影部分所表示的集合为{x x A ∈且}x B ∉,即可得解.【详解】 由图可知,阴影部分所表示的集合为{x x A ∈且}{}1,5,8x B ∉=.故答案为:{}1,5,8.22.4【解析】【分析】由题意列举出集合M ,可得集合的个数.【详解】由题意可得,{}M a =或{},M a b =或{},M a c =或{},,M a b c =,即集合M 共有4个 故答案为:423.3【解析】【分析】根据集合相等的概念得到方程组,解之即可求出结果.【详解】∵A B =,∴325a a =⎧⎨+=⎩,解得3a =, 或523a a =⎧⎨+=⎩,无解故答案为:3.24. 2a =-或23a =或0 30k -<≤ 【解析】【分析】(1)分情况讨论,0,a B ==∅满足题意;当0a ≠时,{}220B x ax a ⎧⎫=-==⎨⎬⎩⎭,因为B A ⊆,故得到21a =-或23a=,解出即可;(2)分情况讨论,当0k =时,满足题意;当0k ≠时,只需要满足203Δ808k k k <⎧⎪⎨⎛⎫=-⨯-< ⎪⎪⎝⎭⎩解不等式组即可. 【详解】 已知集合{}{}22301,3A x x x =--==-,{}20B x ax =-= 当0,a B ==∅,满足B A ⊆;当0a ≠时,{}220B x ax a ⎧⎫=-==⎨⎬⎩⎭, 因为B A ⊆,故得到21a =-或23a = 解得2a =-或23a =; 不等式23208kx kx +-<对一切实数x 都成立, 当0k =时,满足题意;当0k ≠时,只需要满足203Δ808k k k <⎧⎪⎨⎛⎫=-⨯-< ⎪⎪⎝⎭⎩解得30k -<<综上结果为:30k -<≤.故答案为:2a =-或23a =或0;30k -<≤ 25.(){}1,0【解析】【分析】根据交运算的含义,求解方程组,即可求得结果.【详解】根据题意M N ⋂中的元素是方程组1y x ⎧=⎪⎨=⎪⎩求解方程组可得:1,0x y ==,故M N =(){}1,0.故答案为:(){}1,0.三、解答题26.103;23.【解析】【分析】由题可知当艺术社团组织的学生都参加体育社团组织时,同时参加这2个社团的人数最多,当每个学生都参加某个社团时,同时参加这2个社团的学生最少.【详解】由题意:当艺术社团组织的103名学生都参加体育社团组织时,同时参加这2个社团的学生最多,且有103人;当每个学生都参加某个社团时,同时参加这2个社团的学生最少,且有10312020023+-=人,所以同时参加这2个社团的最多有103名学生,最少有23名学生.27.(1){}|21M N x x =-<≤,{}|3M N x x =≤,()(]1,3R M N ⋂=(2)(]2-∞-,【解析】【分析】(1)由集合的交集运算和并集运算、补集元素概念可得答案;(2)由集合间的关系可求得a 的取值范围.(1)当1a =时,{}|1N x x =≤,又{}|23M x x =-<≤,所以{}|21MN x x =-<≤,{}|3M N x x =≤; ()1,R N =+∞,则()(]1,3R M N ⋂=(2)当M N ⋂=∅时,则需2a ≤-,所以a 的取值范围(]2-∞-,. 28.(1){|45}A B x x ⋃=-≤≤(2)答案见解析【解析】【分析】(1)分别求出集合A 和集合B ,求并集即可;(2)选①,根据集合A 和集合B 的位置在数轴上确定端点的关系,列出不等式组即可求解,选②,先求出R A ,再根据条件在数轴确定端点位置关系列出不等式组即可求解, 选③,得到A B ⊆,根据数轴端点位置关系列出不等式组即可求解.(1)因为3a =-,所以{|42}A x x =-≤≤-,又因为{|35}B x x =-<≤,所以{|45}A B x x ⋃=-≤≤.(2)若选①A B =∅:则满足15a ->或13a +≤-, 所以a 的取值范围为{|4a a ≤-或6}a >. 若选②()R B A R ⋃=:所以{|1R A x x a =<-或1}x a >+,则满足1315a a ->-⎧⎨+≤⎩,所以a 的取值范围为{|24}a a -<≤. 若选③A B B ⋃=: 由题意得A B ⊆,则满足1315a a ->-⎧⎨+≤⎩所以a 的取值范围为{|24}a a -<≤29.(1)11223-,, (2)0不是集合A 中的元素;可以取a =3,则A 中的元素还有:2-,13-,12 【解析】【分析】(1)根据定义直接计算即可得到A 中其他所有元素;(2)先假设0A ∈,依定义判断即可;取3a =,根据定义直接计算即可得到A 中其他所有元素.(1)由题意可知:3A -∈,则()()131132A +-=-∈--,11()12131()2A +-=∈--,1132113A +=∈-,12312A +=-∈-, 所以A 中其他所有元素为11223-,,; (2)假设0A ∈,则10110A +=∈-,而当1A ∈时,11a a+-不存在,假设不成立, 所以0不是A 的元素,取3a =,则13213A +=-∈-,1(2)11(2)3A +-=-∈--,11()13121()3A +-=∈--,1123112A +=∈-, 所以当3A ∈,A 中的元素是:3,2-,13-,12; 30.(1){|22}A x x =-≤≤(2)[1,)-+∞【解析】【分析】(1)由不等式240x -≥,求得22x -≤≤,即可求解; (2)由A B A ⋃=,得到B A ⊆,列出不等式组,即可求解.(1)解:由240x -≥,即24x ≤,可得22x -≤≤,可得集合{|22}A x x =-≤≤.(2)解:因为{|22}A x x =-≤≤,且集合{|1}B x m x m =<<-, 又因为A B A ⋃=,即B A ⊆,当B =∅时,即1m m ≥-,可得12m ≥,此时满足B A ⊆; 当B ≠∅时,则满足2121m m m m ≥-⎧⎪-≤⎨⎪<-⎩,解得112m -≤<, 综上可得,1m ≥-,即实数m 的取值范围[1,)-+∞.。
测试卷(一) 集合[测试范围 1.1集合的概念 1.2集合间的基本关系 1.3集合的基本运算](本卷满分150分,考试时间120分钟) 得分栏 一、单项选择题 二、多项选择题三、填空题 四、解答题 总得分第Ⅰ卷(选择题,共60分)一、单项选择题:本大题共8小题,每小题5分,共40分.在每小题给出的四个选项中,只有一项是符合题目要求的.1.a 是R 中的元素但不是Q 中的元素,则a 可以是( )A.3.14B.-5C.37D.72.用描述法表示函数y =3x -1图象上的所有点的是( )A.{x |y =3x -1}B.{y |y =3x -1}C.{(x ,y )|y =3x -1}D.{y =3x -1}3.已知集合M ={x |x 2-3x +2=0},N ={0,1,2},则集合M 与N 的关系是( )A.M =NB.N MC.M ND.N ⊆M4.集合M ={(x ,y )|y =2x +1},N ={y |y =x -1}.则M ∩N =( )A.{-2}B.{(-2,-3)}C.∅D.{-3}5.已知集合A ={x |x -1≥0},B ={0,1,2},则A ∩B =( )A.{0}B.{1}C.{1,2}D.{0,1,2}6.已知集合A ={x |2≤x <4},B ={x |3x -7≥8-2x },则A ∪B =( )A.{x |3≤x <4}B.{x |x ≥2}C.{x |2≤x <4}D.{x |2≤x ≤3}7.已知集合P ={x |x >0},Q ={x |-1<x <1},则(∁R P )∩Q =( )A.{x |x >-1}B.{x |0<x <1}C.{x |-1<x ≤0}D.{x |-1<x <1}8.已知a ,b 是非零的实数,代数式|a |a +|b |b +|ab |ab的值组成的集合是M ,则下列判断正确的是( ) A.0∈M B.-1∈M C.3∉M D.1∈M二、多项选择题:本大题共4小题,每小题5分,共20分.在每小题给出的选项中有多项符合题目要求.全部选对得5分,部分选对得3分,有选错的得0分.9.若集合A ={x |x ≥0},则满足B ⊆A 的集合可以是( )A.{x |x ≥2}B.{-1}C.{1,2,3}D.{x |x ≥-1}10.方程组⎩⎪⎨⎪⎧x +y =3,x -y =1的解集可表示为( ) A.⎩⎪⎨⎪⎧(x ,y )⎪⎪⎪⎭⎪⎬⎪⎫⎩⎪⎨⎪⎧x +y =3,x -y =1 B.⎩⎪⎨⎪⎧(x ,y )⎪⎪⎪⎭⎪⎬⎪⎫⎩⎪⎨⎪⎧x =2,y =1 C.(1,2) D.{(1,2)}11.已知集合A ={x |x 2=x },集合B 中有两个元素,且满足A ∪B ={0,1,2},则集合B 可以是( )A.{0,1}B.{0,2}C.{0,3}D.{1,2}12.设全集为U,则图中的阴影部分可以表示为()A.∁U(A∪B)B.(∁U A)∩(∁U B)C.∁U(A∩B)D.A∪(∁U B)第Ⅱ卷(非选择题,共90分)三、填空题:本大题共4小题,每小题5分,共20分.13.若集合A={x|ax+1=0,x∈R},不含有任何元素,则实数a=________.14.集合A={0,2,a2},B={1,a},若A∩B={1},则a=________.15.满足{1,3}∪A={1,3,5}的所有集合A的个数是________.16.已知集合A={x|x<a},B={x|1<x<2},A∪(∁R B)=R,则实数a的取值范围是________.四、解答题:本大题共6小题,共70分.解答应写出文字说明,证明过程或演算步骤.17.(10分)已知集合P=∅,Q={-4,-1,1},若集合M满足P M Q.求所有满足条件的集合M.18.(12分)已知集合A={1,2,m3},B={1,m},B⊆A,求m的值.19.(12分)若集合A={x|ax2+2x+1=0,x∈R}只有一个真子集,求a的值.20.(12分)已知集合A={x|x2-px-2=0},B={x|x2+qx+r=0},若A∪B={-2,1,5},A∩B={-2},求p+q+r的值.21.(12分)已知集合A={x|x2-4x+2m+6=0},B={x|x<0},U=R,若A∩B≠∅,求实数m的取值范围.22.(12分)已知集合A={x|x<-1或x>4},B={x|2a≤x≤a+3},若A∩B=B,求实数a的取值范围.参考答案第一章集合与常用逻辑用语测试卷(一)集合1.解析R是实数集,Q是有理数集,7是实数但不是有理数.答案 D2.解析A,B都是数为元素,C表示函数y=3x-1图象上的所有点,D的集合是以式子y=3x-1为元素.答案 C3.解析M={1,2},N={0,1,2},∴M N.答案 C4.解析集合M是点的集合,集合N是数的集合,两个集合没有公共元素,M∩N=∅.答案 C5.解析∵A={x|x≥1},B={0,1,2},∴A∩B={1,2}.答案 C6.解析∵B={x|x≥3}.∴A∪B={x|x≥2}.答案 B7.解析∵∁R P={x|x≤0},∴(∁R P)∩Q={x|-1<x≤0}.答案 C8.解析当a,b都为正数时,代数式的值为3.当a,b都为负数时,代数式的值为-1.当a,b一正一负时,代数式的值为-1.综上可知B正确.答案 B9.解析只要满足B中的元素都在A中即可.答案AC10.解析因为方程组的解集为有序实数对,应是点集.答案ABD11.解析∵A={0,1}且A∪B={0,1,2},∴集合B中一定包含2,且不包含除0,1外的其他元素.故选B、D.答案BD12.AB13.解析由题意A=∅,即方程ax+1=0无解,∴a=0.答案014.解析∵A∩B=1,∴a2=1,∴a=±1,由集合元素的互异性知:a≠1,故a=-1.15.解析 {1,3}∪A ={1,3,5},说明集合A 中至少要有元素5,元素个数可以是一个的{5},也可以是两个的{1,5},{3,5},还可以是三个的{1,3,5}.故集合A 的个数是4.答案 416.解析 因为集合A ={x |x <a }=(-∞,a ),B ={x |1<x <2}={1,2},∁R B =(-∞,1]∪[2,+∞),若要A ∪(∁R B )=R ,必有a ≥2,即a ∈[2,+∞).答案 [2,+∞)17.解析 由题意知集合M 为Q 的一个非空真子集,这样的集合有6个分别为{-4},{-1},{1},{-4,-1},{-4,1},{-1,1}.18.解析 由B ⊆A 得m ∈A ,所以m =m 3或m =2,所以m =2或m =-1或m =1或m =0,又由集合中元素的互异性知m ≠1.所以m =0或2或-1.19.解析 当A 只有一个真子集时,A 为单元素集,这时有两种情况:当a =0时,方程化为2x +1=0,解得x =-12;当a ≠0时,由Δ=4-4a =0, 解得a =1.综上所述,a =0或1.20.解析 因为A ∩B ={-2},所以-2∈A ,代入x 2-px -2=0.解得p =-1,所以A ={-2,1},由A ∪B ={-2,1,5},A ∩B ={-2},得B ={-2,5}.所以-2,5是方程x 2+qx +r =0的两个根,由根与系数的关系可得-q =-2+5,r =(-2)×5.所以q =-3,r =-10,所以p +q +r =-14.21.解析 先求A ∩B =∅的m 的取值范围.①当A =∅时,方程x 2-4x +2m +6=0无实根,所以Δ=(-4)2-4(2m +6)<0,解得m >-1.②当A ≠∅时,方程x 2-4x +2m +6=0的根为非负实根,设方程x 2-4x +2m +6=0的两根为x 1,x 2,则⎩⎪⎨⎪⎧Δ=(-4)2-4(2m +6)≥0,x 1+x 2=4≥0,x 1x 2=2m +6≥0,即⎩⎪⎨⎪⎧m ≤-1,m ≥-3. 所以m 的取值范围为-3≤m ≤-1.22.解析 ①当B =∅时,只需2a >a +3,即a >3;②当B ≠∅时,根据题意作出如图所示的数轴,可得⎩⎪⎨⎪⎧a +3≥2a ,a +3<-1,或⎩⎪⎨⎪⎧a +3≥2a ,2a >4, 解得a <-4或2<a ≤3.综上可得,实数a 的取值范围为a <-4或a >2.。
高一数学集合练习题及答案(人教版)-百度文库一、单选题1.已知集合{}22A x x =-≥,集合{2,3,4,5}B =,那么集合A B =( ) A .[2,5] B .(3,5]C .{4,5}D .{2,3,4,5}2.已知集合(){}{}|20,|10M x x x N x x =-<=-<,则M N =( )A .(),2-∞B .(),1-∞C .()0,1D .()1,2 3.设全集U =R ,集合302x A x x ⎧⎫-=≤⎨⎬+⎩⎭,集合{}ln 1B x x =≥,则()U A B =() A .()e,3 B .[]e,3 C .[)2,e - D .()2,e - 4.已知集合{}2|4A x x =≤,{}2|log 1B x x =≥,则A B ⋃=( )A .[]22-,B .{}2C .[)2+∞,D .[)2+-∞,5.已知集合{|04,}P x x x Z =<<∈,且M P ⊆,则M 可以是( )A .{1,2}B .{2,4}C .{0,2}D .{3,4} 6.设集合{}1A x x =>,{}2B x x =≤,则A B =( )A .∅B .{}12x x <≤C .{}12x x x ≤>或D .R7.若集合{}220A x x x =--<,{}21B x x =<,则A B =( )A .AB .BC .()1,0-D .()0,2 8.集合{}220A x x x =--≤,{}10B x x =-<,则A B =( )A .{}1x x ≥B .{}11x x -≤<C .{}1x x <-D .{}21x x -≤<9.已知集合{}1,2,3A =,{}20B x x =-<,则A B =( )A .{}1B .{}1,2C .{}0,1,2D .{}1,2,310.已知集合{|A x y ==,集合{|1}B x x =<,则A B =( )A .[)1,1-B .(1,1)-C .(,1)-∞D .(0,1) 11.已知{}1,2,3,4,5,7,8U =,{}1,2,3,5,8A =,则U A 的子集个数为( ) A .2 B .3 C .4 D .512.已知全集{}1,2,3,4,5U =,{}2,3,4A =,{}3,5B =,则()U A B =( ) A .{}1 B .{}3 C .{}2,4 D .{}1,2,4,513.已知集合{}{}|2|21A x x B x x =≥-=-≤≤,,则下列关系正确的是( )A .AB = B .A B ⊆C .B A ⊆D .A B =∅ 14.已知集合{}31,A a a n n ==-∈Z ,{}31,B b b n n ==+∈Z ,全集U =Z ,则()U A B ⋂=( )A .AB .BC .∅D .Z 15.已知集合{|03}A x x =<<,集合2{|0log 1}B x x =<<,则A ∩B =( )A .{|13}x x <<B .{|12}x x <<C .{|23}x x <<D .{|02}x x << 二、填空题16.已知全集{1,2,3,4,5,6,7}U =,集合{}1,3,5,7A =,则U A ____________.17.若集合(){}21420A x a x x =-+-=有且仅有两个子集,则实数a 的值是____. 18.已知函数2()43f x x x =-+,()52g x mx m =+-,若对任意的[]11,4x ∈,总存在[]21,4x ∈,使12()()f x g x =成立,则实数m 的取值范围是 ________.19.将集合{220s t A t s =-≤<且,}s t Z ∈中所有的元素从小到大排列得到的数列记为{}n a ,则50a =___________(填数值).20.设函数()1ln12mx f x x+=-是定义在区间(),n n -上的奇函数(0m >,0n >),则实数n 取值范围为______. 21.已知集合{}1,0,1A =-,{}220B x x x =-=,则A B ⋃=______.22.若集合234|0A x x x ,{}|10B x ax =-=,且“x B ∈”是“x A ∈”的充分非必要条件,则实数a 组成的集合是______.23.给出下列关系:①1R 2;Q ;③3N ∈;④0Z ∈.其中正确的序号是______.24.已知全集{}1,2,3,4,5,6U =,集合{}{}1,2,2,3,4A B ==,则A B ⋃=___________25.若集合{}2A x x =<,101B x x ⎧⎫=>⎨⎬+⎩⎭,则A B =______. 三、解答题26.已知集合{}21,3,A a =,()(){}|120B x x x a =---=,是否存在实数a ,使得A B A ⋃=若存在,求出a 的值;若不存在,说明理由.27.已知函数()f x =A ,函数()g x 的定义域为集合B ,(1)当0a =时,求A B ;(2)设命题:p x A ∈,命题:q x B ∈,p q 是的充分不必要条件,求实数a 的取值范围.28.设集合{}()(){}2|20,|30,0A x x x B x x a x a a =--<=--<>,语句:p x A ∈,语句:q x B ∈.(1)当1a =时,求集合A 与集合B 的交集;(2)若p 是q 的必要不充分条件,求正实数a 的取值范围.29.已知集合{}4222x A x =<≤,{}122B x a x a =-<≤+(1)当0a =,求A B ;(2)若A B =∅,求a 的取值范围.30.(1)集合{a, b, c, d }的所有子集的个数是多少?(2)集合{a 1, a 2, …, an }的所有子集的个数是多少?【参考答案】一、单选题1.C【解析】【分析】解出不等式22x -≥,然后根据集合的交集运算可得答案.【详解】 因为{}{}224A x x x x =-≥=≥,{2,3,4,5}B =,所以{4,5}A B =,故选:C2.C【解析】【分析】分别求出集合M 和集合N ,然后取交集即可.【详解】集合(){}{}|20|02M x x x x x =-<=<<,{}|1N x x =<,则MN ={}()|010,1x x <<=, 故选:C3.D【解析】【分析】求出集合A 、B ,利用交集和补集的定义可求得集合()U A B ∩.【详解】 因为{}30232x A x x x x ⎧⎫-=≤=-<≤⎨⎬+⎩⎭,{}{}ln 1e B x x x x =≥=≥, 所以,{}e U B x x =<,因此,()()2,e U A B =-.故选:D.4.D【解析】【分析】先化简集合A 、B ,再去求A B【详解】{}{}2|4|22A x x x x =≤=-≤≤,{}{}2|log 1|2B x x x x =≥=≥ 则{}{}{}|22|2|2x x x B x A x x -≤≤⋃≥==≥-⋃故选:D5.A【解析】【分析】化简集合P ,根据集合的包含关系确定M .【详解】因为{|04,}={1,2,3}P x x x Z =<<∈,又M P ⊆,所以任取x M ∈,则{1,2,3}x ∈, 所以M 可能为{2,3},A 对,又 0M ∉,4M ∉,∴ M 不可能为{2,4},{0,2},{3,4},B ,C ,D 错,故选:A.6.B【解析】【分析】根据交集的定义计算可得;【详解】 解:因为{}1A x x =>,{}2B x x =≤, 所以{}12A B x x ⋂=<≤;故选:B7.B【解析】【分析】 由题知{}12A x x =-<<,{}11B x x =-<<,再求交集即可.【详解】解:解不等式220x x --<得12x -<<,故{}12A x x =-<<,解不等式21x <得11x -<<,故{}11B x x =-<<,所以A B ={}11x x B -<<=.故选:B8.B【解析】【分析】解不等式可求得集合,A B ,由交集定义可得结果.【详解】{}{}22012A x x x x x =--≤=-≤≤,{}{}101B x x x x =-<=<, {}11A B x x ∴⋂=-≤<.故选:B.9.A 【解析】【分析】 根据集合交集的概念及运算,即可求解.【详解】由题意,集合{}{}202B x x x x =-<=<,又由{}1,2,3A =,根据集合交集的概念及运算,可得{}1A B ⋂=.故选:A.10.A【解析】【分析】求出集合A ,根据集合的交集运算即可求得答案.【详解】由题意得:{|{|1}A x y x x ===≥-,故{|11}A B x x ⋂=-≤<,故选:A11.C【解析】【分析】求出补集,再由子集的定义求解.【详解】由已知{4,7}U A =,子集有4个. 故选:C . 12.D【解析】【分析】利用交集和补集的定义可求得结果.【详解】由已知可得{}3A B ⋂=,所以,(){}1,2,4,5U A B ⋂=. 故选:D.13.C【解析】【分析】由子集的定义即可求解.【详解】解:因为集合{}{}|2|21A x x B x x =≥-=-≤≤,,所以根据子集的定义可知B A ⊆,故选:C.14.A【解析】【分析】根据集合的描述判断集合,A B 的关系,进而判断,U A B 的包含关系,即可得答案.【详解】由题设,{...,4,1,2,5,8,...}A =--,{...,5,2,1,4,7,...}B =--,所以A B =∅,而{...,4,3,1,0,2,3,5,6,8,...}U B =---,则U A B ≠⊂, 所以()U A B A =.故选:A15.B【解析】【分析】化简集合B ,再求集合A,B 的交集即可.【详解】∵集合{|03}A x x =<<,集合2{|0lo {|}g 121}B x x x x =<<<<=,∴A B ={|12}x x <<.故选:B.二、填空题16.{}2,4,6【解析】【分析】由补集的定义即可求解.【详解】解:因为全集{1,2,3,4,5,6,7}U =,集合{}1,3,5,7A =,所以{}2,4,6U A =. 故答案为:{}2,4,617.±1【解析】【分析】分析出集合A 有1个元素,对a 讨论方程解的情况即可.【详解】因为集合(){}21420A x a x x =-+-=有且仅有两个子集, 所以集合A 有1个元素.当a =1时,{}1|4202A x x ⎧⎫=-==⎨⎬⎩⎭,符合题意; 当a ≠1时,要使集合A 只有一个元素,只需()()244120a ∆=--⨯-=,解得:1a =-;综上所述: 实数a 的值是1或-1.故答案为:±1.18.(,3][6,)-∞-⋃+∞【解析】【分析】根据对任意的[]11,4x ∈,总存在[]21,4x ∈,使得12()()f x g x =,可得两个函数值域的包含关系,进而根据关于m 的不等式组,解不等式组即可.【详解】因为()22()4321f x x x x =-+=--,所以函数()f x 的对称轴为2x =,对任意的[]11,4x ∈,记()[]1,3f x ∈-.记[]1,3A =-.由题意知,当0m =时不成立,当0m >时,()52g x mx m =+-在[]1,4上是增函数,所以[]()5,25g x m m ∈-+,记[]5,25B m m =-+由题意知,B A所以m m -≥-+≥⎧⎨⎩15253,解得6m ≥. 当0m <时,()52g x mx m =+-在[]1,4上是减函数,所以[]()25,5g x m m ∈+-,记[]25,5C m m =+-,由题意知,C A ⊇所以251{53m m +≤--≥,解得3m ≤-. 综上所述,实数m 的取值范围是(,3][6,)-∞-⋃+∞.故答案为: (,3][6,)-∞-⋃+∞【点睛】解决本题的关键是将问题转化为对任意的[]11,4x ∈,总存在[]21,4x ∈,使得12()()f x g x =, 可得两个函数值域的包含关系,进而分别求两个函数的值域.19.992【解析】【分析】列举数列的前几项,观察特征,可得出50a .【详解】由题意得10212032313012345622,22,22,22,22,22,,a a a a a a =-=-=-=-=-=-观察规律可得22s t -中,以2s 为被减数的项共有s 个,因为123945++++=,所以50a 是1022t -中的第5项,所以1055022992a =-=.故答案为:992.20.10,2⎛⎤⎥⎝⎦【解析】【分析】由奇函数的定义和对数的运算性质,解方程可得m ,再由对数的真数大于0解不等式,然后利用集合的包含关系即可求解.【详解】 解:因为函数1()ln 12mx f x x +=-是定义在区间(,)n n -上的奇函数(0,0)m n >>,所以()()f x f x -=-,即1112lnln ln 12121mx mx x x x mx -+-=-=+-+, 所以112121mx x x mx--=++,即222114m x x -=-, 所以24m =,解得2m =±,又0m >,所以2m =,此时,21()ln12x f x x +=-, 由21012x x +>-,解得1122x -<<, 所以()11,22,n n ⎛-⎫⊆- ⎪⎝⎭,又0n >, 所以实数n 取值范围为10,2⎛⎤ ⎥⎝⎦. 故答案为:10,2⎛⎤ ⎥⎝⎦. 21.{1,0,1,2}-【解析】【分析】根据给定条件求出集合B ,再利用并集的定义直接计算作答.【详解】解方程220x x -=得:0x =或2x =,则{}0,2B =,而{}1,0,1A =-,所以{1,0,1,2}A B =-.故答案为:{1,0,1,2}-22.10,1,4⎧⎫-⎨⎬⎩⎭【解析】【分析】解出集合A ,根据题意,集合B 为集合A 的真子集,进而求得答案.【详解】由题意,{}1,4A =-,因为“x B ∈”是“x A ∈”的充分非必要条件,所以集合B 为集合A 的真子集,若a =0,则B =∅,满足题意;若0a ≠,则1B a ⎧⎫=⎨⎬⎩⎭,所以111a a =-⇒=-或1144a a =⇒=. 故答案为:10,1,4⎧⎫-⎨⎬⎩⎭. 23.①③④【解析】【分析】根据数的分类直接判断.【详解】由题可得1R 2Q ,3N ∈,0Z ∈,故①③④正确. 故答案为:①③④.24.5,6##{}6,5【解析】【分析】先求出A B ,再进行补集运算及即可求解.【详解】因为集合{}{}1,2,2,3,4A B ==,所以{}1,2,3,4A B =, 因为{}1,2,3,4,5,6U =,所以{}5,6A B ⋃=, 故答案为:5,6.25.{}12x x -<<## ()1,2-【解析】【分析】求解绝对值不等式解得集合A ,求解分式不等式求得集合B ,再求交集即可.【详解】 因为{}2A x x =<{|22}x x =-<<,101B x x ⎧⎫=>⎨⎬+⎩⎭{}1x x =-, 故可得A B ={|12}x x -<<. 故答案为:{}12x x -<<.三、解答题26.存在,2【解析】【分析】先得到B A ⊆,分别讨论1a =-和1a ≠-两种情况即可.【详解】由A B A ⋃=,得B A ⊆,当21a +=,即1a =-时,{1}B =,此时21a =不合题意,故1a ≠- 当1a ≠-时,{}1,2B a =+,因为B A ⊆,所以2a A +∈ 所以23a +=或22a a +=,解得1a =或2a =, 当1a =时,21a =不合题意;当2a =时,{}1,3,4A =,{}1,4B =,符合题意, 综上所述,存在实数2a =,使得A B A ⋃=成立.27.(1)1{|03A B x x ⋂=-<≤或1}x =;(2)1a ≥或43a ≤-. 【解析】【分析】(1)求解分式不等式和一元二次不等式,解得集合,A B ,再求交集即可; (2)根据p q 是的充分不必要条件可知A 是B 的真子集,列不等式求a 的取值范围即可.(1)要使得()f x 有意义,则1031x x -≥+,得(1)(31)0310x x x -+≥⎧⎨+≠⎩,解得:113x ≤-<, 所以1|13A x x ⎧⎫=-<≤⎨⎬⎩⎭;当0a =时,()g x =()g x 有意义,则20x x -≥,解得:1x ≥或0x ≤, 所以{|1B x x =≥或0}x ≤, 故1{|03A B x x ⋂=-<≤或1}x =. (2)以为22(21)0x a x a a -+++≥,即[]()(1)0x a x a --+≥,解得:1x a ≥+或x a ≤, 所以{|1B x x a =≥+或}x a ≤,由题意可知A 是B 的真子集,所以1a ≥或113a +≤-(等号不同时成立), 得1a ≥或43a ≤-. 28.(1){|12}x x <<; (2)20,3⎛⎤ ⎥⎝⎦. 【解析】【分析】(1)解一元二次不等式求集合A 、B ,应用集合的交运算求交集即可.(2)根据必要不充分关系有B A ≠⊂,即可求a 的范围. (1)由题设,{|12}A x x =-<<,当1a =时{|13}B x x =<<,所以{|12}A B x x =<<;(2)由题设,{|3}B x a x a =<<,且{|12}A x x =-<<,若p 是q 的必要不充分条件,则B A ≠⊂,又a 为正实数,即320a a ≤⎧⎨>⎩,解得203a <≤, 故a 的取值范围为20,3⎛⎤ ⎥⎝⎦. 29.(1){12}A B xx ⋂=<≤∣(2)1,[5,)2⎛⎤-∞-⋃+∞ ⎥⎝⎦ 【解析】【分析】(1)首先求出集合,A B ,然后根据集合的交集运算可得答案; (2)分B =∅、B ≠∅两种情况讨论求解即可.(1)因为0a =,所以{12}B xx =-<≤∣ 因为{}4222{14}x A x x x =<≤=<≤∣, 所以{12}A B xx ⋂=<≤∣. (2)当B =∅,即122a a -≥+,3a ≤-时,符合题意当B ≠∅时可得12214a a a -<+⎧⎨-≥⎩或122221a a a -<+⎧⎨+≤⎩, 解得5a ≥或132a -<≤-. 综上,a 的取值范围为1,[5,)2⎛⎤-∞-⋃+∞ ⎥⎝⎦. 30.(1)16;(2)2n【解析】【分析】设集合A 为集合的子集,利用分步计数原理分析每个元素出现的情况,即得解【详解】(1)由题意,若A 为集合{a, b, c, d }的子集则集合A 中的元素只能从a, b, c, d 中选择,每个元素出现或者不出现有两种可能 故集合A 的不同情形有222216⨯⨯⨯=种情况故集合{a, b, c, d }的所有子集的个数是16(2)由题意,若A 为集合{a 1, a 2, …, an }的子集则集合A 中的元素只能从a 1, a 2, …, an 中选择,每个元素出现或者不出现有两种可能 故集合A 的不同情形有22...22n ⨯⨯⨯=种情况故集合{a 1, a 2, …, an }的所有子集的个数是2n。
集合练习题1.设集合A={x|2≤x<4},B={x|3x-7≥8-2x},则A∪B等于()A.{x|x≥3}B.{x|x≥2} C.{x|2≤x<3} D.{x|x≥4}2.已知集合A={1,3,5,7,9},B={0,3,6,9,12},则A∩B=()A.{3,5} B.{3,6} C.{3,7} D.{3,9}3.已知集合A={x|x>0},B={x|-1≤x≤2},则A∪B=()A.{x|x≥-1} B.{x|x≤2 } C.{x|0<x≤2}D.{x|-1≤x≤2} 4. 满足M⊆{,,,},且M∩{,,}={,}的集合M的个数是() A.1 B.2 C.3 D.45.集合A={0,2,a},B={1,}.若A∪B={0,1,2,4,16},则a的值为()A.0 B.1 C.2 D.46.设S={x|2x+1>0},T={x|3x-5<0},则S∩T=()A.ØB.{x|x<-1/2} C.{x|x>5/3} D.{x|-1/2<x<5/3} 7.50名学生参加甲、乙两项体育活动,每人至少参加了一项,参加甲项的学生有30名,参加乙项的学生有25名,则仅参加了一项活动的学生人数为________.8.满足{1,3}∪A={1,3,5}的所有集合A的个数是________.9.已知集合A={x|x≤1},B={x|x≥a},且A∪B=R,则实数a的取值范围是________.10.已知集合A={-4,2a-1,},B={a-5,1-a,9},若A∩B={9},求a的值.11.已知集合A={1,3,5},B={1,2,-1},若A∪B={1,2,3,5},求x及A∩B. 12.已知A={x|2a≤x≤a+3},B={x|x<-1或x>5},若A∩B=Ø,求a的取值范围.13.(10分)某班有36名同学参加数学、物理、化学课外探究小组,每名同学至多参加两个小组.已知参加数学、物理、化学小组的人数分别为26,15,13,同时参加数学和物理小组的有6人,同时参加物理和化学小组的有4人,则同时参加数学和化学小组的有多少人?集合测试一、选择题:本大题共10小题,每小题5分,共50分。
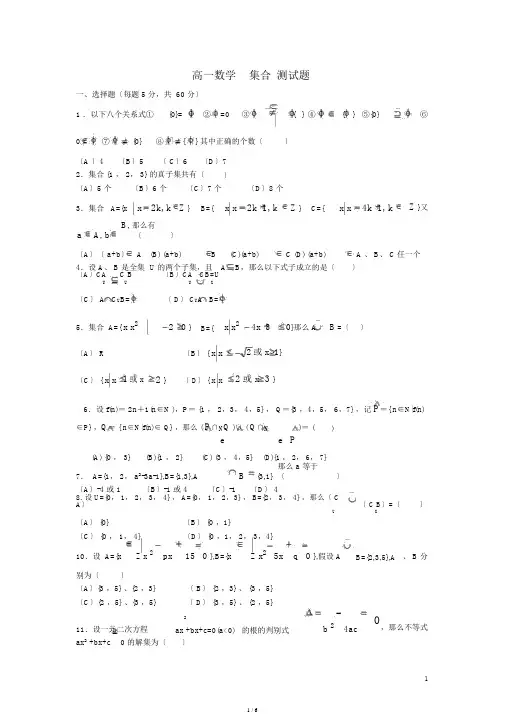
高一数学集合与集合的运算测试题
第I卷(共60分)
一、选择题:本大题共12小题,每小题5分,共60分,在每小题给出的四个选项中,只有一项是
符合题目要求的.
1 •若集合a,b,C当中的元素是△ ABC的三边长,则该三角形是(
)
A •正三角形
B •等腰三角形
C •不等边三角形
D •等腰直角三角形
2 •集合{1 , 2, 3}的真子集共有(
)
A • 5个
B • 6个
C • 7个
D • 8个
3 .设A、B是全集U 的两个子集,且 A B,则下列式子成立的是( )
A• C u A C u B B • C U A C U B=U C • A C u B= D • C u A B=
4 .如果集合A={x|ax 2+ 2x + 仁0} 中只有一个元素,那么a的值是( )
A • 0
B • 0 或1
C • 1
D •不能确定
5 •设集合M x| x 2 .3 , a -.11 b其中b 0,1,则下列关系中正确的是( )
A • a M
B • a M
C • a M
D • a M
6 .已知A={1 , 2, a2-3a-1},B={1,3},A B {3,1}则a等于( )
A • -4 或1
B • -1 或4
C • -1
D • 4
7 •设S、T是两个非空集合,且S_ T,T_S,令X=S T,那么S X= ( )
A • X
B • T
C •
D • S
8 •给定集合 A B ,定义 A % B { x| x m n , m A , n B } •若 A {4,5,6}, B {1, 2,3},
J 厂厂-——-■
-Tr-t 、f ( )则集合 A -※B 中的所有兀素之和为
A • 15
B • 14
C • 27
D • -14
9 •设集合M={x|x € Z 且一10 W x W
3},N={x|x € Z 且|x| W 5 },贝U M U N中元素的个—
数为( )
(C u A) (C u B )={1 , 5},则下列结论正确的是( )
A • 11
B • 10
C • 16
D • 15
10 •设 U={1 , 2 , 3 , 4 , 5}, A , B 为 U 的子集,若A B={2},
(C u A ) B={4}
A . 3
A,3 B
B .3 A,3 B
C . 3 A,3 B
D .
3 A,3 B 11 . 设 A={x Z
2
x px 15 °},B={x
Z
2
x 5x
q 0 },若A
B={2,3,5},A 、B 分
别为
( )
A . {3 , 5}、{2 , 3}
B . {2 , 3}、 {3, 5}
C . {2, 5}、 {3
, 5}
D . {3, 5}、 {2, 5}
12 .设※是集合A 中元素的一种运算,如果对于任意的x 、y A ,都有乂※y A ,则称运
算※对集合A 是封闭的,若M {x|x a . 2b,a, b Z},则对集合M 不封闭的运算 是 (
)
A .加法
B .减法
C .乘法
D .除法
第n 卷(共90分)
二、填空题:本题共 4小题,每小题4分,共16分.把答案填在题中的横线上. 13 .已知集合
A ={0, 2 , 3},
B ={x|x ab, a 、b A },贝U B 的子集的个数是 _________ .
14 .若一数集中的任一元素的倒数仍在该集合中,则称该集合为“可倒数集”
,试写出一个
含三个元素的可倒数集 ___________ .(只需写出一个集合) 15 .定义集合A 和B 的运算:A B xx A,且
x B .试写出含有集合运算符号“
”
“ U ”、“I ”,并对任意集合 A 和B 都成立的一个等式: _________________ . 16 .设全集为
,用集合A 、B 、C 的交、并、补集符号表图中的阴影部分.
(1 ) ______________________________ (2 ) ______________________________
(3) ____________________________
三、解答题:本大题共6小题,共74分.解答应写出必要的文字说明、证明过程及演算步 骤.
17.已知集合A={x|1 < x v 4 = , B={x| x v a =,若A^B,试求实数a的取值集合.
求实数a 的取值范围.
19 .设全集U={x
x 5,且x N * },集合 A={x
2
x 5x q 0},B={ x
2
x +px+12=0},
且(C U A )
B={1 , 4 , 3 , 5},求实数 P 、 q 的值.
18 .设 A={x
x 2 4x 0, B {x x 2 2(a 1)x a 2
1 0},其中x R,如果A
B=B ,
2
20 •集合 A={ (x,y ) x
mx y 2 0},集合 B={ (x,y ) x y 1
0,且 0 x 2},
又A B ,求实数m 的取值范围.(12分)
21 .集合 A ={ x | x 2 — ax + a 2 — 19 = 0 }, B ={ x | x 2
5x + 6 = 0}.若 A Cl B = A U B ,
求a 的值.(12分)
22.知集合 A (x,y) y
4
4 2x x 2
, x R , B
x,y (x 1)2 y 2 a 2,a 0 ,
是否存在正实数a ,使得A B A ,如果存在求a 的集合?如果不存在请说明理由.
二、填空题
综上所述实数a=1或a -1 . 4}或 A={2 , 3} CuA={2,3,5}或{1 , 4 , 5}
B={3 ,
4} ( C U A ) B= (1 , 3 , 4 , 5),又 B={3 , 4} C U A={1 , 4 , 5} 故 A 只有等于
集合{2 , 3},
P=- (3+4 ) =-7 ,
q=2 X 3=6 .
、选择题
集合与集合的运算答案
8 . A 9 . C 10 . C 11 . A
13 . 16 .
14 .
15
A (Al B)
(AUB) B ;
B (AI B) (AUB) A ;
(AUB) (Al
B) (A B)U(B A)
16 . (1 ) (A
C u (A B);
(2) [ (C u A )
(C u B )] C ;
(3) (A
(C u C ).
三、解答题
17 .将数集A 表示在数轴上(如图),要满足AWB ,表示数
a 的点必须在4或4的右边,
所求a 的取值集合为{a | a > 4}.
18 . A={0 , (i ) B=
(ii)B={0} -4},又 A B=B ,所以 B A .
时,
4 (a+1 ) 2-4(a 2-1)<0,得 a<-1 ;
或 B={-4}时,
得 a=-1 ;
2(a 1) ⑴)B={0
,-4}
,a 2 1
4
解得a=1 . 19 . U={1 , 2 , 3 , 4, 5}
A={1 ,
.21 2
2
x mx y 20 亠 在0 x
由A B 知方程组 x y 1 0
若 3,则X 1+X 2=1-m<0,x 1X 2=1,所以方程只有负根。
个小于1,即至少有一根在[0, 2]内。
由韦达定理知:
设 T(x) (x 1)2 、4 2x x 2 ,
当t 丄时,
2
得x 2+(m-1)x=0 在0 x 2内有解,
(m 1)2
4 0 即 m 3 或 m -1。
若m -1,x 1+X 2=1-m>0,x 1x 2=1,所以方程有两正根, -H-
且两根均为1或两根一个大于1,
21 因此
{m
<m
-1} •
由已知,得B =
•/ A n B = A U B ,
兀二次方程 x 2 — ax + a 2 — 19 = 0 的两个
根,
22 •/ A
3 a 3 a 2
19解之,得a = 5 .
4
4 2x x 2 代入(x 1)2
a 2,得(x 1)2 ,4 2x x 2 a 2,
令 t .4 2x x 2 1)2
2
依题意得a
21 4
•••适合
条件的
a 存在其集合为
20
2内有解,消去y,
-H-
21 4。