概率统计课程第6次作业参考解答
- 格式:docx
- 大小:37.15 KB
- 文档页数:18
概率论与数理统计课后答案第6章第6章习题参考答案1.设是取⾃总体X的⼀个样本,在下列情形下,试求总体参数的矩估计与最⼤似然估计:(1),其中未知,;(2),其中未知,。
2.设是取⾃总体X的⼀个样本,其中X服从参数为的泊松分布,其中未知,,求的矩估计与最⼤似然估计,如得到⼀组样本观测值X 0 1 2 3 4频数17 20 10 2 1求的矩估计值与最⼤似然估计值。
3.设是取⾃总体X的⼀个样本,其中X服从区间的均匀分布,其中未知,求的矩估计。
4.设是取⾃总体X的⼀个样本,X的密度函数为其中未知,求的矩估计。
5.设是取⾃总体X的⼀个样本,X的密度函数为其中未知,求的矩估计和最⼤似然估计。
6.设是取⾃总体X的⼀个样本,总体X服从参数为的⼏何分布,即,其中未知,,求的最⼤似然估计。
7. 已知某路⼝车辆经过的时间间隔服从指数分布,其中未知,现在观测到六个时间间隔数据(单位:s):1.8,3.2,4,8,4.5,2.5,试求该路⼝车辆经过的平均时间间隔的矩估计值与最⼤似然估计值。
8.设总体X的密度函数为,其中未知,设是取⾃这个总体的⼀个样本,试求的最⼤似然估计。
9. 在第3题中的矩估计是否是的⽆偏估计?解故的矩估计量是的⽆偏估计。
10.试证第8题中的最⼤似然估计是的⽆偏估计。
11. 设为总体的样本,证明都是总体均值的⽆偏估计,并进⼀步判断哪⼀个估计有效。
12.设是取⾃总体的⼀个样本,其中未知,令,试证是的相合估计。
13.某车间⽣产滚珠,从长期实践中知道,滚珠直径X服从正态分布,从某天⽣产的产品中随机抽取6个,量得直径如下(单位:mm):14.7,15.0,14.9,14.8,15.2,15.1,求的0.9双侧置信区间和0.99双侧置信区间。
14.假定某商店中⼀种商品的⽉销售量服从正态分布,未知。
为了合理的确定对该商品的进货量,需对和作估计,为此随机抽取七个⽉,其销售量分别为:64,57,49,81,76,70,59,试求的双侧0.95置信区间和⽅差的双侧0.9置信区间。
概率练习册第六章答案(总10页)--本页仅作为文档封面,使用时请直接删除即可----内页可以根据需求调整合适字体及大小--习题5-1 数理统计的基础知识1.某厂生产玻璃板,以每块玻璃上的泡疵点个数为数量指标,已知它服从均值为λ的泊松分布,从产品中抽一个容量为n 的样本12,,,n X X X ,求样本的分布.解: ,2,1,0,!}{),(~===-k e k k X P X kλλλπ所以11221(,,,)()nn n i i i P X k X k X k P X k ======∏112!!!ni i n k n ek k k λλ=-∑=0,1,i k =,1,2,,,i n =2.设总体),,(,),1(~21n X X X p B X 为其一个简单随机样本,求样本的分布. 解:1,0,)1(}{),,1(~1=-==-k p p k X P p B X k k所以11221122{,,,}{}{}{}n n n n P X x X x X x P X x P X x P X x =======n n x x x x x x p p p p p p ------=111)1()1(.)1(2211其中n i x i ,,2,11,0 ==3.加工某种零件时,每一件需要的时间服从均值为1λ的指数分布,今以加工时间为零件的数量指标,任取n 件零件构成一个容量为n 的样本,求样本分布。
解:⎩⎨⎧>=-其它,00,)(~x e x f X x λλ故样本12(,,,)n X X X 的密度为1121,0(,,,)0,.ni i ix nnx i n i e x f x x x e λλλλ=--=⎧∑⎪>==⎨⎪⎩∏其它 1,2,,i n =4.设12,,,n X X X ⋅⋅⋅是来自总体),(2σμN 的一个样本,其中μ已知,2σ未知,指出下列样本函数中哪些是统计量,哪些不是为什么22212311111(),(),()n nn i i i i i i X T X T T X X n n μμσ===-=-==-∑∑∑2411()n i i X X T n σ=-=∑解:13,T T 是统计量(不含未知参数),24,T T 不是统计量(含未知参数2σ)5.设621,,,X X X 是来自()θ,0上的均匀分布的样本,0>θ未知 (1)写出样本的联合密度函数;(2)指出下列样本函数中哪些是统计量,哪些不是为什么()()6214163626211,,,max ,,,6X X X T X E X T X T X X X T =-=-=+++=θ(3)设样本的一组观察是:,1,,,1,1,写出样本均值、样本方差和标准差。
第13次1在总体N (U 「2)中抽取样本 X !,X 2,X 3 (」已知,二2未知),指出X ! X 2 X 3,解 X 1 X 2 X 3 , X 2 2h , max(X 1 ,X 2,X 3) , |X 1—'X 31 是统计量2给定样本观测值92,94,103,105,106求样本均值和方差1解 X =丄(9294 103 105 106) =100 521 2 2 2 2 2S[(92 -100)(94 -100) (103-100)(105 -100) (106 -100)]5 -1=42.53在总体X ~ N(12,22)中随机抽取容量为 5的样本,求样本均值与总体均值之差的绝对值大于1的概率 2解 注意到 X~N (叫——)n - (2 丫有 X ~ N(12,)& 5丿13 _ 12 11 _ 12P{| X -12 | 1} =1 - P{11 :: X :: 13} =1 -[门( )一 门( 2 )]、5. 5=1一:门( )亠叫一 )=1一门()1一门()=0.26282 2 2 24 已知 X ~t(8),求(1)P{X 2.306},P{X <1.3968}(2)若 P{X }=0.01 求’解 (1)P{X 2.306} =0.025,P{ X ::: 1.3968} = P{ X 1.3968} = 1 - 0.1 = 0.9(2)P{X } =0.01= • - 2.89655 已知 X ~2(8),求(1)P{X 2.18},P{X :: 20.09}(2)若 P{X 「} =0.025求,(3)若 P{X :: } =0.95 求■ 解(1)P{X 2.18} =0.975,P{X :: 20.09} =1-P{X 20.09} = 1 -0.01 = 0.99(2) P{X •} =0.025 二,-17.534X 2 2」,max(X ,,X 2,X 3)|X i -X 3 I 哪些是统计量?2 2X iX 2 X2 3(3) P{X }=0.95 P{X . •} =0.05 二,-15.5076设总体X ~ N (3.2,62 3 4), X ,,X 2,...,X n 是X 的样本,则容量n 应取多大,才能使得P{1.2 :: X :: 5.2} _0.95P{1.2 :::X ::5.2}二仁5^尹)一讥违竺)凡(亍)一讥一亍)n= :.:,( □)_:「( 0) =2+(」)_1 _0.9533 3y' n Tn ::」()_ 0.975 1.96 n_ 34.5 7 4433所以n 最小为35第14次1从某正态总体 X 取得样本观测值:14.7,15.1,14.8,15.0, 15.2,14.6,用矩法估计总体均值」和方差c 2 解」-X =1(14.7 15.1 14.8 15.0 15.2 14.6) =14.96A —1-X21 n--------------------------- 2 1 2 2 2 匚 (X i -X) [(14.7—14.9)(15.1—14.9)(14.8—14.9)n i 总 6(15.0-14.9)2 (15.2 -14.9)2 (14.6 -14.9)2] =0.28X 乞1 2总体x 的密度为p(x) =1 飞,样本为X 1,X 2 ,...X n 求二的矩法估计量归 ex 〉11 3总体x 的密度为p (x )=1。
《概率论与数理统计》第六章习题exe6-1解:10()0x b f x b ⎧<<⎪=⎨⎪⎩其他01()()2bb E X xf x dx x dx b +∞-∞==⋅=⎰⎰ 令11μ=A ,即2b X =,解得b 的矩估计量为ˆ2b X = 2ˆ2(0.50.60.1 1.30.9 1.60.70.9 1.0) 1.6899bx ==++++++++= exe6-2解:202()()()3x E X xf x dx x dx θθθθ+∞-∞-==⋅=⎰⎰令11μ=A ,即,3θ=X 解得θ的矩估计量为ˆ3X θ= Exe6-3解:(1)由于12222()()()()(1)()E X mpE X D X E X mp p mp μμ==⎧⎨==+=-+⎩ 令 ⎩⎨⎧==.2211μμA A求解得221111p m p μμμμ⎧-=-⎪⎪⎨⎪=⎪⎩,p, m 的矩估计量为22211(1)ˆ11ˆˆA A n S pA nX X m p ⎧--=-=-⎪⎪⎨⎪=⎪⎩Exe6-4解:(1)()E X λ= 令11μ=A ,即,λ=X 解得λ的矩估计量为ˆX λ= {}),2,1,0(!===-x e x x X P xλλ{}),2,1,0(!===-i i xi x e x x X P iλλ似然函数11111(){}()!!niii x n nx n i ni i i ii eL P X x e x x λλλλλ=--===∑====∏∏∏11ln ()()ln ln(!)nni i i i L n x x λλλ===-+-∑∑1ln ()0nii x d L n d λλλ==-+=∑解得λ的最大似然估计值为 11ˆni i x x n λ===∑ (2)由(1)知1ˆ(6496101163710)7.210x λ==+++++++++= Exe6-5解:(1)似然函数1(1)111(){}(1)(1)ni i i nnx x ni i i L p P X x p p p p =--==∑===-=-∏∏∑-==-ni i nx np p 1)1(1ln ()ln (1)ln ni i L p n p x p ==+-⋅∑)1ln()(ln 1p n x p n ni i --+=∑=1(1)ln ()01ni i x d L p n dp p p =-=-=-∑01)(ln 1=---=∑=pn x p ndp p L d ni i 解得p 的最大似然估计值为 11ˆnii npxx===∑ (2)155ˆ5174926px ===++++ Exe6-6解:由2()2()x f x μσ--=(1)2σ已知,似然函数221()()2211()(,)ni i i x nx n nii i L f x eμμσσμμ=----==∑===∏2211ln ())()2nii L n x μμσ==---∑21ln ()1(22)02nii d L x d μμμσ==--=∑即11()0nniii i x n xμμ==-=-=∑∑解得μ的最大似然估计值 1ˆnii xx nμ===∑(2)μ已知,似然函数为212222)(222)(12122121),()(σμσμπσσπσσ∑⎪⎭⎫ ⎝⎛====----==∏∏ni i i x nx ni n i i e ex f L21222)(21)ln(2)2ln(2)(ln μσσπσ-∑---==n i ix n n L 0)()(212)(ln 2122222=-+-=∑=μσσσσni i x n L d d 解得∑=-=n i i x x n 122)(1ˆσ,故2σ的最大似然估计值为 .)(1ˆ122∑=-=n i i i x x n σ Exe6-7解:(1)矩估计量2220()()()(3)2xt x xt xx E X xf x dx x e dx e dx t e dt θθθθθθθθ=--+∞+∞+∞+∞--∞==⋅===Γ=⎰⎰⎰⎰令2X θ=,得ˆ/2X θ= 似然函数211()(,)ix n nii i i x L f x eθθθθ-====∏∏1111ln ()(ln 2ln )ln 2ln nnnii i i i i i x L x x n x θθθθθ====--=--∑∑∑ 令21ln ()210ni i d L n x d θθθθ==-+=∑解得θ的最大似然估计值为111ˆ22n ii x x n θ===∑ (2)2311()(,)2ixnni i i i x L f x e θθθθ-====∏∏331111ln ()[2ln ln(2)]2ln ln(2)nnnii i i i i i x L x x n x θθθθθ====--=--∑∑∑令2321ln ()1602nii d L n xd θθθθθ==-⋅-=∑013)(ln 1223=+⋅-=∑=ni ixn d L d θθθθθ解得θ的最大似然估计值为 111ˆ33ni i x x n θ===∑ (3) ),(~p m B X ,m 已知{}∏∏=-=-===ni x m x x m ni i i i ip p C x X P p L 11)1()(1111ln ()[ln ln ()ln(1)]ln ln ln(1)()i inx m i i i nnnx m i i i i i L p C x p m x p C p x p nm x =====++--=++--∑∑∑∑令 11ln ()01n ni ii i x nm x d L p dp p p==-=-=-∑∑即1111(1)1n nniiii i i x xxnmppp p p===+==---∑∑∑ 解得p 的最大似然估计值为 1ˆnii xxpmnm===∑ Exe6-8解:(1)似然函数为{}{}{})1(2)1(2121)(522θθθθθθθ-=⋅-⋅==⋅=⋅==X P X P X P L)1ln(ln 52ln )(ln θθθ-++=L 令 0115)(ln =--=θθθθL d d 解得θ的最大似然估计值为.65ˆ=θ Exe6-9解:2121222222)()(22)(12)(111212121),,(),,(),(σβαβασβασβασπσπσπβαβαβα∑∑⎪⎪⎭⎫⎝⎛=====+-+---+--=---===∏∏∏∏ni i n i i i i i i y x ny ni x ni n i i Y n i i X e eey f x f L))()((21ln 2)2ln(),(ln 21212βαβασσπβα+-∑+--∑---===ni i ni i y x n n L0))()((22),(ln 112=+-+--=∂∂∑∑==βαβασβααni i n i i y x L 0)()((22),(ln 112=+----=∂∂∑∑==βαβασβαβn i i n i i x x L 联立 解得,2ˆ,2ˆyx y x -=+=βα故βα,的最大似然估计量为 .2ˆ,2ˆYX Y X -=+=βαExe6-10解:(1)由1/2EX μθ==,得θ的矩估计量ˆ2X θ= ˆ()2()2()22E E X E X θθθ===⋅= 故θ的矩估计量ˆ2X θ=是θ的无偏估计量。
概率论第六章课后习题答案概率论第六章课后习题答案概率论是一门研究随机现象的数学分支,它在解决实际问题中具有广泛的应用。
第六章是概率论中的重要章节,主要涉及随机变量及其概率分布、数学期望和方差等内容。
在课后习题中,我们将通过解答一些典型问题,进一步加深对这些概念的理解。
1. 随机变量X的概率分布函数为F(x) ={ 0, x < 0{ 1/4, 0 ≤ x < 1{ 1/2, 1 ≤ x < 2{ 3/4, 2 ≤ x < 3{ 1, x ≥ 3(1) 求随机变量X的概率密度函数f(x)。
(2) 求P(0.5 ≤ X ≤ 2.5)。
解:(1) 概率密度函数f(x)是概率分布函数F(x)的导数。
根据导数的定义,我们可以得到:f(x) ={ 0, x < 0{ 1/4, 0 ≤ x < 1{ 1/2, 1 ≤ x < 2{ 1/4, 2 ≤ x < 3{ 0, x ≥ 3(2) P(0.5 ≤ X ≤ 2.5) = F(2.5) - F(0.5) = 3/4 - 1/4 = 1/2 2. 设随机变量X的概率密度函数为f(x) ={ c(1 - x^2), -1 ≤ x ≤ 1{ 0, 其他(1) 求常数c的值。
(2) 求P(|X| > 0.5)。
解:(1) 概率密度函数f(x)的积分值等于1。
我们可以计算:∫[-1,1] c(1 - x^2) dx = 1解这个积分方程,可得c = 3/4。
(2) P(|X| > 0.5) = 1 - P(|X| ≤ 0.5)= 1 - ∫[-0.5,0.5] c(1 - x^2) dx= 1 - 3/4 ∫[-0.5,0.5] (1 - x^2) dx= 1 - 3/4 [x - x^3/3] |[-0.5,0.5]= 1 - 3/4 [(0.5 - 0.5^3/3) - (-0.5 + 0.5^3/3)] = 1 - 3/4 [0.5 - 0.5/3 - (-0.5 + 0.5/3)]= 1 - 3/4 [1/3]= 1 - 1/4= 3/43. 设随机变量X的概率密度函数为f(x) ={ kx^2, 0 ≤ x ≤ 2{ 0, 其他(1) 求常数k的值。
第一章练习题1. 如图,设1、2、3、4、5、6表示开关,用B表示“电路接通”i A表示“第i个开关闭合”请用i A表示事件B解:2.一大型超市声称,进入商店的小偷有60%可以被电视监测器发现,有40%被保安人员发现,有20%被监测器和保安人员同时发现,试求小偷被发现的概率.解:3. 周昂,李虎和张文丽是同班学生.如果他们到校先后次序的模式的出现的可能性是一样的,那么周昂比张文丽先到校的概率是多少?解:4.甲、乙两城市都位于长江下游,根据一百余年来,气象的记录,知道甲、乙两城市一年中雨天占的比例分别为20%和18%,两地同时下雨的比例为12%,问(1) 乙市为雨天时,甲市为雨天的概率是多少?(2) 甲市为雨天时,乙市为雨天的概率是多少?(3) 甲、乙两城市至少有一个为雨天的概率是多少?解:5.某种动物由出生活到20岁的概率为0.8,活到25岁的概率为0.4,问现年20岁的这种动物活到25岁的概率是多少?解:6.发报台分别以0.6和0.8发出信号”*”和”+”,由于通信受到干扰,当发出信号为”*”时,收报台分别以概率0.8和0.2收到信号”*”和”+”.又若发出信号为”+”时,收报台分别以概率0.9和0.1收到信号”+”和”*”,求当收报台收到信号”*”时,发报台确实发出信号”*”的概率.解:7.某工厂由甲、乙、丙三个车间生产同一种产品,每个车间的产量分别占全厂的25%,35%,40%,各车间产品的次品率分别为5%,4%,2%,求全厂产品的次品率.解:8.某高校甲系二年级1、2、3班的学生人数分别为16、25、25人,其中参加义务献血的人数分别为12、15、20人,从这三个班中随机抽取一个,再从该班的学生名单中任意抽取2人.(1)求第一次抽取的是已献血的人的概率;(2)如果已知第二次抽到的是未参加献血的,求第一次抽到的是已献血的学生的概率.解:9.美国总统常常从经济顾问委员会寻求各种建议.假设有三个持有不同经济理论的顾问(Perlstadt,Kramer,和Oppenheim).总统正在考虑采取一项关于工资和价格控制的新政策,并关注这项政策对失业率的影响.每位顾问就这种影响给总统一个个人预测,他们所预测的失业率的概率综述于下表:根据以前与这些顾问一起工作的经验,总统已经形成了关于每位顾问有正确的经济理论的可能性的一个先验估计,分别为P (Perlstadt 正确)=1/6P (Kramer 正确)=1/3 P (Oppenheim 正确)=1/2假设总统采纳了所提出的政策,一年后,失业率上升了,总统应如何调整他对其顾问的理论正确性的估计.解:10.甲、乙、丙三人向同一架飞机射击.设甲、乙、丙击中的概率分别为0.4,0.5,0.7,又设只有一人击中,飞机坠毁的概率为0.2;若二人击中,飞机坠毁的概率为0.6;若三人击中,飞机必坠毁.求飞机坠毁的概率.解:11.如果)()(C B P C A P ≥,)()(C B P C A P ≥,则()().P A P B ≥证明:12.选择题(1).设C B A ,,三事件两两独立,则C B A ,,相互独立的充分必要条件是( )(A) A 与BC 独立; (B) AB 与C A 独立; (C) AB 与AC 独立; (D) B A 与C A 独立. (2).设当事件A 和B 同时发生时,事件C 必发生,则下述结论正确的是( )(A) 1)()()(-+≤B P A P C P ; (B) 1)()()(-+≥B P A P C P ; (C) )()(AB P C P =; (D) )()(B A P C P =.(3).设事件A 和B 满足B A ⊂,0)(>B P ,则下列选项必然成立的是( )(A) )()(B A P A P <; (B) )()(B A P A P ≤; (C) )()(B A P A P >; (D) )()(B A P A P ≥.(4).n 张奖券中有m 张可以中奖,现有k 个人每人购买一站张,其中至少有一个人中奖的概率为( )(A)knk mn m C C C 11--; (B)k nC m; (C) k nk m n C C --1; (D)∑=ki k ni mC C 1.(5).一批产品的一、二、三等品各占60%、30%、10%,从中任意取出一件,结果不是三等品,则该产品为一等品的概率为( )(A)21; (B) 41; (C) 31; (D) 32.第二章练习题1.一袋中有3个白球5个红球,从中任取2个球,求其中红球个数X的概率函数.解:2.自动生产线在调整以后出现废品的概率为p,生产过程中出现废品时立即重新调整,求两次调整之间生产的合格品数X的分布.解:3.一张考卷上有5道题目,同时每道题列出4个选择答案,其中有一个答案是正确的.某学生凭猜测能答对至少4道题的概率是多少?解:4.分析病史资料表明,因患感冒而最终死亡(相互独立)比例占0.2%.试求,目前正在患感冒的1000个病人中:(1)最终恰有4个人死亡的概率;(3)最终死亡人数不超过2个人的概率.解:5.某公司经理拟将一提案交董事会代表批准,规定如提案获多数代表赞成则通过.经理估计各代表对此提案投赞成票的概率是0.6,且各代表投票情况独立.为以较大概率通过提案,试问经理请三名懂事代表好还是五名好?解:6.一电话交换台每分钟收到呼唤次数服从参数为4的泊松分布,求(1)每分钟恰有8次呼唤的概率;(2)每分钟呼唤次数大于10次的概率.解:7.设某射手有5发子弹,连续向一目标射击,直到击中或子弹用完为止.已知其每次击中的概率为0.8,设X为射击的次数.求(1)X的概率分布;(2)未用完子弹的概率;(3)用完子弹且击中目标的概率;(4)已知用完子弹的条件下,其射中目标的概率.解:8.设随机变量X的概率密度为:∞f x)(,求:cex=-x<<-∞(1)常数c;(2)X的值落)1,1(-在内的概率;(3)X的分布函数.解:9.设若)4,3(X,~N(1)求}3≤<X≤P<-XP;XPPX>{},{2{>},2},{5410(2)确定c,使得}XP≤c=>.{c{P}X解:10.设)2,1(~UX,求2Y的分布.3+=X解:10.研究了英格兰在1875—1951年内,在矿山发生导致10人以上死亡的事故的频繁程度,得知相继两次事故之间的时间T (以日计)服从指数分布,其概率密度为: 002411)(241≤>⎪⎩⎪⎨⎧=-t t et f t,求分布函数)(t F ,并求概率}10050{<<T P . 解:11.选择题:(1).如果随机变量X 服从指数分布,则随机变量)2,min(X Y =的分布函数( ). (A) 是连续函数; (B) 至少有两个间断点; (C) 是阶梯函数; (D) 恰好有一个间断点.(2).设)1,1(~N X ,概率密度函数为)(x ϕ,下述选项正确的是( ).(A) 5.0)0()0(=≤=≥X P X P ; (B) 5.0)1()1(=≥=≤X P X P ;(C) )()(x x -=ϕϕ,),(+∞-∞∈x ; (D) )(1)(x F x F --=,),(+∞-∞∈x . (3).设!/)(k e a k X P k λλ-==),4,2,0( =k ,是随机变量X 的概率分布,则λ,a 一定满足( ).(A)0>λ; (B) 0>a ; (C) 0>λa ; (D) 0>λ且0>a . (4).设随机变量X 的密度函数为)1(1)(2x x f +=π,则X Y 2=的概率密度函数为( ).(A))41(12x +π; (B))4(22x +π; (C))1(22x +π; (D))4(12x +π.(5) .设随机变量),(~211σμN X ,随机变量),(~222σμN Y ,且1{1}P X μ-<>2{1},P Y μ-<则必有(A)21σσ>; (B) 21σσ<; (C) 21μμ>; (D) 21μμ<.第三章练习题1.甲乙二人轮流投篮,假定每次甲的命中率为0.4,乙的命中率为o.6,且各次投篮相互独立.甲先投,乙再投,直到有人命中为止.求甲乙投篮次数X 与Y 的联合分布.解:2.设随机变量(X,Y)的联合概率密度为=),(y x f ⎩⎨⎧--其它,0),6(y x k ;40,20<<<<y x求:(1)常数k ;(2));3,1(<<Y X P (3));5.1(<X P (4))4(≤+Y X P解:3.已知X 与Y 同分布且概率密度为⎪⎩⎪⎨⎧<<=其他,030,814)(3x x x f设事件}0{>>=a X A 和}0{>>=a Y B 独立,且9/5)(=⋃B A P ,求常数a .解:4.一批产品中有a 件合格品与b 件次品.每次从这批产品中任取一件产品,共取两次,抽样方式是:(1)放回抽样;(2)不放回抽样.设随机变量X 及Y 分别表示第一次及第二次取出的次品数,写出上述两种情况下二维随机变量(X ,Y )的概率分布及边缘分布,并说明X 与Y 是否独立.解:5.设二维随机变量),(Y X 的联合密度函数为⎪⎩⎪⎨⎧≤≤=其他,01,421),(22y x y x y x f求条件密度函数和条件概率}2143{=>x Y P 解:6.设二维随机变量),(Y X 的概率函数为求:(1))0,1(≤≥Y X P ;(2))02(≤=Y X P ;(3)讨论Y X ,的独立性; 解:7.设X 与Y 两个相互独立的随机变量,其概率密度分别为 ⎩⎨⎧≤≤=.,0;10,1)(其它x x f X ⎪⎩⎪⎨⎧≤>=-.0,0;0,)(y y e y f y Y 求随机变量Y X Z +=的概率密度.解:8.设随机变量X ,Y 相互独立,并且]1,0[~U X ,)1(~e Y ,求Y X +,},max{Y X ,},min{Y X 的概率密度函数.解:9.设(X ,Y )的分布律为试求:(1)Y X Z +=解:10.选择题:(1).下列函数可以作为二维分布函数的是( ).(A) ⎩⎨⎧>+=.,0,8.0,1),(其他y x y x F (B) ⎪⎩⎪⎨⎧>>⎰⎰=--.,0,0,0,),(00其他y x dsdt ey x F y x t s(C) ⎰⎰=∞-∞---y x ts dsdt ey x F ),(; (D) ⎪⎩⎪⎨⎧>>=--.,0,0,0,),(其他y x ey x F y x(2).设事件B A ,满足41)(=A P ,21)|()|(==A B P B A P .令 ⎩⎨⎧=.,0,,1不发生若发生若A A X ⎩⎨⎧=.,0,,1不发生若发生若B B Y 则===)0,0(Y X P .(A)81; (B) 83; (C) 85; (D) 87.(3).设随机变量X 与Y 相互独立且同分布:21)1()1(====Y P X P ,21)1()1(=-==-=Y P X P ,则==)1(XY P . (A)21; (B) 31; (C) 32; (D) 41. (4).设(),10~,N X (),21~,N Y Y X ,相互独立,令X Y Z 2-=,则~Z ( )(A ))5,2(-N ; (B) )5,1(N ; (C) )6,1(N ; (D) )9,2(N .(5).设二维随机变量),Y X (服从G 上的均匀分布,G 的区域由曲线2x y =与x y =所围,则),Y X (的联合概率密度函数为 . (A )⎩⎨⎧∈=他其,0),(,6),(G y x y x f ; (B )⎩⎨⎧∈=他其,0),(,6/1),(Gy x y x f ;(C )⎩⎨⎧∈=他其,0),(,2),(G y x y x f ; (D )⎩⎨⎧∈=他其,0),(,2/1),(Gy x y x f第四章练习题1. 设随机变量X 的分布律为如下, 求)(X E ,)12(-X E ,)(2X E .解:2. 射击比赛,每人射4次,每次射一发,约定全都不中得0分,只中一弹得15分,中两弹得30分,中三弹得55分,中四弹得100分.甲每次射击命中率为0.6,问他期望得多少分?解:3. 9粒种子分种在3个坑内,每粒种子发芽的概率为0.5.若一个坑内至少有1粒种子发芽,则这个坑不需要补种;若一个坑内的种子都没有发芽,则这个坑需要补种.假定每个坑至多补种一次,每补种1个坑需10元,用ξ表示补种费用,写出ξ的分布列并求ξ的数学期望.解:4.(1)(2) 求完成该任务的期望天数;(3) 该任务的费用由两部分组成:20000元的固定费用加每天2000元,求整个项目费用的期望值;(4) 求完成天数的方差和标准差.解:5. 设离散型随机变量X的概率分布为(1)(2)试求DXEX,,众数和中位数.解:6. 设两个相互独立的随机变量X和Y均服从正态分布(1,1/5).如果随机变量X-aY+2满足条件XE-aYaYDX+-)2][()2+(2=求(1)a的值;(2))2-aYX(+D(+E及)2-aYX解:7. 游客乘电梯从底层到电视塔的顶层观光,电梯于每个整点的第5分钟、第25分钟和第55分钟从底层起行.一游客在早上八点的第X分钟到达底层候梯处,且X在[0,60]上服从均匀分布,求该游客等候时间Y的数学期望.解:8. 某电力排灌站,一天内停电的概率为0.1(设若停电,全天不能工作),若4天内全不停电,可获得利润6万元;如果停电一次,可获利3万元;如果有二次停电,则获利为0万元;若有三次以上停电,要亏损1万元.求4天内期望利润是多少?解:9. 一台设备由三大部件构成,在设备运行中各部件需要调整的概率相应为0.10,0.20,0.30.假设各部件的状态相互独立,以X 表示同时需要调整的部件数,求X 的概率分布、数学期望EX 和方差DX .解:10. 一商店经销某种商品,每周进货的数量X 与顾客对该种商品的需求量Y 是相互独立的随机变量,且都服从区间[10,20]上的均匀分布.商店每售出一单位商品可得利润1000元;若需求量超过了进货量,商店可从其他商店调剂供应,这时每单位商品可得利润500元.试计算此商店经销该种商品每周所得利润的期望值.解:11. 已知X ,Y 的相关系数为.,,d cY b aX +=+=ηζρ,求ηζ,的相关系数ζηρ 解:12. 设),0(~),,0(~2221σσN Y N X ,且相互独立Y a X a V Y a X a U 2121,-=+=(1)分别写出U,V 的概率密度函数; (2)求U,V 的相关系数; (3)讨论U,V 的独立性;(4)当U,V 相互独立时,写出(U,V)的联合密度函数解:13. 设A ,B 是二随机事件;随机变量 ⎩⎨⎧-=不出现若,出现若A A X 1,1 ⎩⎨⎧-=不出现若,出现若B B Y 1,1试证明随机变量X 和Y 不相关的充分必要条件是A 与B 相互独立. 解:14.试验证21X Y =与X 不相关,而32X Y =与X 却相关. 解:15.选择题:(1).随机变量X 的概率分布为:)1(21)(+==n n n X P ,),3,2,1( =n .则其数学期望)(X E 为( ).(A) 0; (B) 0.5; (C) 1; (D) 不存在.(2).随机变量X 与Y 独立同分布,令Y X -=ξ,Y X +=η,则随机变量ξ和η必然( ) (A) 独立; (B) 不独立; (C) 相关系数为0; (D) 相关系数不为0.(3).对任意随机变量X 与Y ,则下列等式中一定成立的为( )(A) )()()(Y D X D Y X D +=+; (B) )()()(Y E X E Y X E +=+; (C) )()()(Y D X D XY D =; (D) )()()(Y E X E XY E =.(4).设X 与Y 为任意随机变量,若)()()(Y E X E XY E =,则下述结论中成立的为( )(A) )()()(Y D X D Y X D +=+; (B) )()()(Y D X D XY D =;(C) X 与Y 相互独立; (D) X 与Y 不独立.(5).设离散型随机变量X 的可能取值为1、2、3,且3.2)(=X E ,9.5)(2=X E ,则对应取值1、2、3的概率应为( )(A)1.01=p ,2.02=p ,7.03=p ; (B) 3.01=p ,2.02=p ,5.03=p ; (C) 1.01=p ,4.02=p ,5.03=p ; (D) 2.01=p ,3.02=p ,5.03=p .第五章练习题1.利用Chebychev 不等式证明:能以大于0.97的概率断言,掷1000次均匀硬币,正面出现的次数在400到600次之间.解:2.设随机变量X 的概率密度为⎪⎩⎪⎨⎧≤>=-0,00,)(x x xe x f x 用Chebychev 不等式证明 2/1}40{≥<<X P解:3.电视机厂每月生产10000台电视机,但它的显象管车间的正品率为0.8,为了以0.997的概率保证出厂的电视机都装上正品的显象管,该车间每月应生产多少只显象管?解:4.保险公司对20岁男青年卖保险,每年交300元,约定:若在今后5年内投保历史资料表明一个人若能活到25岁并一直投保,则平均保险公司可获利1500元.试问:(1)20岁男青年能活过25岁以上的概率有多大?(2)收300元保险费,而一旦死亡要赔10万元,两者差距似乎很大,而公司还能获利,为什么?设有十万人投保能获利多少?(3)试求对每个20 岁投保人,大致可获利多少?(5)为了准备获利1000000元,应征集多少20岁男青年投保?解:5.药厂断言,该工厂生产的某种药品对于治疗一种疑难的疾病的治愈率为0.8.某医院试用了这种药品,任意抽查了100个服用次药品的病人,如果其中多于75人治愈,医院就接受药厂的这一断言,否则就拒绝之.问:(1)若实际上次药品对这种疾病的治愈率为0.8,那么,医院接受这一断言的概率是多少?(2)若实际上次药品对这种疾病的治愈率为0.7,那么,医院接受这一断言的概率是多少?解:6.某商店负责供应某地区1000人所需商品,其中一商品在一段时间内每人需用一件的概率为0.6,假定在这一段时间内个人购买与否彼此无关,问商店应预备多少件这样的商品,才能以99.7%的概率保证不会脱销(假定该商品在某一段时间内每人最多可以买一件).解:7.选择题(1).设随机变量),(~211σμN X ,),(~222σμN Y ,且}1|{|}1|{|21<-><-μμY P X P ,则必有( ).(A)21σσ>; (B) 21σσ<; (C) 21μμ<; (D) 21μμ>.(2).设随机变量序列}{n X 相互独立,],[~n n U X n -, ,2,1=n ,则对}{n X ( ). (A)可使用切比雪夫大数定律; (B) 不可使用切比雪夫大数定律;(C) 可使用辛钦大数定律; (D) 不可使用辛钦大数定律. (3).设随机事件A 在第i 次独试验中发生的概率为i p ,n i ,,2,1 =.m 表示事件A 在n 次试验中发生的次数,则对于任意正数ε恒有=⎪⎪⎭⎫⎝⎛<∑-=∞→εn i i n p n n m P 11lim ( ). (A)1; (B) 0; (C)21; (D)不可确定. (4).设 ,,,,21n X X X 相互独立且都服从参数为λ的指数分布,则下述选项中成立的是( ).(A) )(lim 1x x n X P n i i n Φ=⎪⎪⎪⎪⎭⎫ ⎝⎛≤-∑=∞→λλ; (B) )(lim 1x x nn X P n i i n Φ=⎪⎪⎪⎪⎭⎫ ⎝⎛≤-∑=∞→;(C) )(lim 1x x nn X P n i i n Φ=⎪⎪⎪⎪⎭⎫ ⎝⎛≤-∑=∞→λ; (D) )(lim 1x x n X P n i i n Φ=⎪⎪⎪⎪⎭⎫ ⎝⎛≤-∑=∞→λλ.(5).设随机变量序列 ,,,,21n X X X 相互独立同分布, 0)(=i X E ,2)(σ=i X D ,且)(4i X E 存在,则对任意0>ε,下述选项中正确的是( ).(A) 11lim 21=⎪⎪⎭⎫ ⎝⎛<-∑=∞→εσni i n X n P ; (B) 11lim 212≤⎪⎪⎭⎫⎝⎛<-∑=∞→εσni i n X n P ; (C) 11lim 212=⎪⎪⎭⎫ ⎝⎛<-∑=∞→εσn i i n X n P ; (D) 01lim 212=⎪⎪⎭⎫ ⎝⎛<-∑=∞→εσn i i n X n P第六章练习题1. 在总体)3.6,52(2N 中随机抽取一容量为36的样本,求样本均值X 落在50.8至53.8之间的概率.解:由题意:)363.6,2.5(~2N X , 8293.0]8729.01[9564.0)1429.1()7143.1()63.6528.50()63.6528.53()8.538.50(=--=-Φ-Φ=-Φ--Φ=<<∴X P2. 已知某种白炽灯泡的使用寿命服从正态分布, 在某星期所生产的该种灯泡中随机抽取10只,测得其寿命(以小时计)为:1067 919 1196 785 1126 936 918 1156 920 948试用样本数字特征法求出寿命总体的均值μ和方差2σ的估计值,并估计这种灯泡的寿命大于1300小时的概率.解:由题设知:样本容量10=n 样本均值1.997)9489201156918936112678511969191067(101=+++++++++=X 样本方差17305)1.997109489201156918936112678511969191067(91222222222222=⨯-+++++++++=S .0107.09893.01)3026.2(1)55.1311.9971300(1)173051.9971300(1)1300(1)1300(=-=Φ-=-Φ-=-Φ-≈≤-=>X P X P3. 设各种零件的重量都是随机变量, 它们相互独立, 且服从相同的分布,其数学期望为0.5公斤,均方差为0.1公斤,问5000只零件的总重量超过2510公斤的概率是多少?(提示:当n 较大时,随机变量之和n X X X X +++= 21近似地服从正态分布,以下第6题,第7题也适用)解:由题设知5000=n ,已知)50001.0,5.0(~5000500050001N X X X i i 近似∑===33.06700.01)444.0(1)0045.0002.0(1)50001.05.05020.0(1)5020.0(1)5020.0()500025105000()2510(=-=Φ-=Φ-=-Φ-=≤-=>=>=>∴X P X P X P X P4. 部件包括10个部分, 每部分的长度是一个随机变量, 它们相互独立, 且服从同一分布. 其数学期望为2毫米, 均方差为0.05毫米,规定总长度为1.020±毫米时产品合格, 试求产品合格的概率.解:由题设知102,1,05.0)(,2,10 ====i X D EX n i i则总长度∑==101i iXX ,且5.005.010,20210=⨯==⨯=DX EX则产品合格的概率为.1114.01)1414.0(2)5.01.0()5.01.0()1.0201.020(=-Φ=-Φ-Φ=+≤≤-X P 5. 计算机进行加法时, 对每个加数取整(即取最接近于它的整数),设所有的取整误差是相互独立的,且它们都在(-0.5,0.5)上服从均匀分布.(1) 若将1500个数相加,问误差总和的绝对值超过15的概率是多少? (2) 几个数加在一起, 可使得误差总和的绝对值小于10的概率为0.90?解:由题设知15002,1,121)(,0,1500====i X D EX n i i则误差总和∑==15001i i X X ,且121500,0==DX EX(1).1802.0)]3416.1(1[2]1)12150015(2[1)15(1)15(=Φ-=-Φ-=≤-=>X P X P(2)∑==ni i n X X 1且12,0nDX EX n ==90.01)1210(21)10(=-Φ==<n X P n441121095.0)1210(=⇒⇒=Φ⇒n n n6.设总体X 具有概率密度 ⎩⎨⎧<<=其它0102)(x x x f从总体X 抽取样本4321,,,X X X X ,求最大顺序统计量m ax =T (4321,,,X X X X )的概率密度.解:)()]([4)(,)]([)(34t f t F t f t F t F T T ==⎪⎩⎪⎨⎧≥<<≤==⎰∞-111000)()(2t t t t dt t f t F t⎩⎨⎧<<==∴otherst t t f t F t f T 0108)()]([4)(737.已知一台电子设备的寿命T (单位:h )服从指数分布,其概率密度为⎪⎩⎪⎨⎧≤>=-0,00,001.0)(001.0t t e t f t 现在检查了100台这样的设备,求寿命最短的时间小于10h 的概率解:设min =M (10021,X X X ))()](1[100)(,)](1[1)(99100m f m F m f m F m F M M -=--=⎩⎨⎧>-==-∞-⎰othersm e dt t f m F mm001)()(001.0⎩⎨⎧>=-=∴-othersm e m f m F m f M 001.0)()](1[100)(1.099则1.01)10(e M P -=<8.设n X X X ,,,21 是来自正态总体),(2σμN 的简单随机样本,2n S 为样本方差,求满足下式的最小值n : 95.0)5.1(22≥≤σnS P .解:因为)1(~)1(222-χσ-n S n n95.0)5.1(22=≤σn S P 95.0))1(5.1)1((22=-≤σ-⇒n S n P n 27=⇒n9.设1021,,,X X X 为)3.0,0(2N 的一个样本,求∑>=1012}44.1{i i X P解:因为∑=χ10122)9(~3.0/i i X∑=>1012}44.1{i i X P ∑=>=101222}3.0/44.13.0/{i i X P1.0}163.0/{110122=≤-=∑=i i X P10.假定),(21X X 是取自正态总体),0(2σN 的一个样本,试求概率].4)/()[(221221<-+X X X X P解:),1.0(~221N X X σ+),1.0(~221N X X σ-)1(~2)(22221χσ+∴X X ,)1(~2)(22221χσ-∴X X )1,1(~)/()(221221F X X X X -+∴ .7.0]4)/()[(221221=<-+∴X X X X P11.已知321,,X X 是从正态总体),0(2σN 抽取的样本.证明:∑+∑-==-=-16122121612212)(/)(i i i i i i X X X X T )16,16(~F证明:),1.0(~2212N X X ii σ+-),1.0(~2212N X X ii σ--),16(~2)(216122212χσ+∑=-i i i X X ,),16(~2)(216122212χσ-∑=-i i i X X ∑∑=-=-+-=∴16122121612212)(/)(i i i i i i X X X X T)16,16(~2)(/2)(1612221216122212F X X X X i i i i i i ∑∑=-=-ο+ο-=12.选择题(1)、设12(,,,)n X X X 为来自总体X 的一个样本,则n X X X ,,,21 必然满足(C ) (A )独立不同分布 (B )不独立但同分布 (C )独立同分布 (D )无法确定(2)、设),,,(21n X X X 为来自总体),(~2σμN X 的一个样本,其中2,μσ未知,则下 面不是统计量的是(D ) (A )i X (B )11n i i X X n ==∑ (C )211()1n i i X X n =-∑- (D )211()n i i X n μ=-∑ (3)、设总体)16,3(~N X ,126,,,X X X 为来自总体X 的一个样本,X 为样本均值,则 (没正确答案)(A ))1,0(~3N - (B ))1,0(~)3(4N - (C ))1,0(~43N X - (D ))1,0(~23N X - (4)、设),,,(21n X X X (1)n >来自总体)1,0(~N X ,X 与S 分别为样本均值和样本标准差,则有(C ) (A )(0,1)XN (B )(0,1)nXN (C) 221()ni i X n χ=∑ (D )(1)Xt n S-(5)、设),,,(21n X X X 为来自总体)1,0(~N X 的一个样本,统计量Y =,则(B )(A )2(1)Yn χ- (B) (1)Yt n - (C) (1,1)Y F n - (D)(1,1)YF n -第七章练习题1. 对目标独立地进行射击,直到命中为止,假设n 轮(n >1)这样射击,各轮射击的次数相应地为n k k k ,,,21 ,试求命中率p 的极大似然估计和矩估计.解:2.设某计算机用来产生某彩票摇奖时所需的10个随机数0,1,2, …, 9.设某人用该机做了100天试验,每天都是第一次摇到数字1为止.此100天中各天的试验次数分布如下:假设每次试验相互独立且产生数字1的概率p 保持不变.(1)求p 的最大然估计值p ˆ;(2)如果所得1.0ˆ p,请做出所有可能的解释;(3)求p 的矩估计值p ˆ. 解:3.已知总体的概率密度函数为⎪⎩⎪⎨⎧≤≤+=其它010)1()(x x x f ββ 现抽取n =6的样本,样本观察值分别为0.2,0.3,0.9,0.7,0.8,0.7试用矩估计法和极大似然估计法求出β的估计量.解:4.设总体服从瑞利分布 00,0,)(22>⎪⎩⎪⎨⎧<≥=-θθθx x ex x f xh 为参数n X X X ,,,21 为简单随机样本求θ的极大似然估计量;(2)该估计量是否为无偏估计量?说明理由.解:5.设随机变量X 在区间],0(θ上服从均匀分布,由此总体抽出的一随机样本n X X X ,,,21 .试证明θ的有偏估计)()1(1ˆn n X n n +=θ及一个无偏估计)()2(1ˆn n X nn +=θ都是θ的一致估计.证明:8.设总体X 在区间],0[θ上服从均匀分布,其中0>θ是未知参数,求θ的最大似然估计量,并判断它是否为θ的无偏估计.解:9.某车间生产的螺杆直径服从正态分布,今随机抽取5只,测得直径(单位:mm )为: 22.5 21.5 22.0 21.8 21.4(1) 已知0.3σ=,求μ的0.95置信区间; (2) σ未知,求μ的0.95置信区间. 解:10.从总体X 中抽取样本321,X X X ,,证明下列三个统计量,632ˆ3211X X X ++=μ,442ˆ3212X X X ++=μ,333ˆ3213X XX ++=μ 都是总体均值μ=)(X E 的无偏估计量;并确定哪个估计量更有效.解:11.从正态总体中抽取容量为5的样本,其观测值为: 1.86 , 3.22 , 1.46 , 4.01 , 2.64 ,试求正态总体方差2σ及标准差σ的0.95置信区间.解:12.为了研究施肥和不施肥对某钟农作物产量的影响,选了十三个小区在其他条件相同的情况下进行对比实验,收获量如下表:均产量之差的置信水平为0.95的置信区间.解:13.从甲乙两个生产蓄电池的工厂的产品中,分别抽取一些样品,测得蓄电池的电容量(A.h)如下:甲厂:144 141 138 142 141 143 138 137;乙厂:142 143 139 140 138 141 140 138 142 136.设两个工厂生产的蓄电池的容量分别服从正态分布),(2x x N σμ及),(2y y N σμ,求:(1)电容量的方差比22yxσσ的置信水平为95%的置信区间;(2)电容量的均值差y x μμ-的置信水平为95%的置信区间(假定22yx σσ=). 解:14.从汽车轮胎厂生产的某种轮胎中抽取个10样品进行磨损试验,直至轮胎行驶到磨坏为止,测得它们的行驶路程(km)如下:41250 41010 42650 38970 40200 42500 43500 40400 41870 39800 设汽车行驶路程服从正态分布),(~2σμN X ,求:(1)μ的置信水平为95%的单侧置信下限;(2)σ的置信水平为95%的单侧置信上限.解:16.选择题 (1)、θ为总体X 的未知参数,θ的估计量为θ,则有 (A )θ是一个数,近似等于θ; (B )θ是一个随机变量;(C )θ是一个统计量,且()E θθ=; (D )当n 越大,θ的值可任意靠近θ. (2)、设12(,)X X 为来自任意总体X 的一个容量为2的样本,则在下列EX 的无偏线性估 计量中,最有效的估计量是(A )122133X X + (B )121344X X + (C )122355X X + (D )121()2X X +(3)、设θ是参数θ的无偏估计,且有()0D θ≠,则2θ必为2()θ的(A )无偏估计 (B )一致估计 (C )有效估计 (D )有偏估计 (4)、设总体2(,)XN μσ,其中2σ已知,若已知样本容量和置信度1α-均不变,则对于不同的样本观察值,总体均值μ的置信区间的长度(A)变长(B)变短(C) 不变(D)不能确定(5)、已知一批零件的长度X(单位:cm)服从正态总体(,1)Nμ,从中随机抽取16个零件,测得其长度的平均值为40cm,则μ的置信度为0.95的置信区间是(注:标准正态分布函数值(1.96)0.975,(1.645)0.95Φ=Φ=)(A)(31.95, 40.49) (B) (39.59, 40.41) (C) (-∞, 31.95) (D) (40.49, +∞)第八章练习题1.一个停车场,有12个位置排成一行,某人发现有8个位置停了车,而有4个相连的位置空着。
《概率论与数理统计》习题及答案第 六 章1.某厂生产玻璃板,以每块玻璃上的泡疵点个数为数量指标,已知它服从均值为λ的泊松分布,从产品中抽一个容量为n 的样本12,,,n X X X L ,求样本的分布.解 样本12(,,,)n X X X L 的分量独立且均服从与总体相同的分布,故样本的分布为11221(,,,)()nn n ii i P X k X k X k P Xk ======∏L 1!ikni i e k λλ-==∏112!!!ni i n k n e k k k λλ=-∑=L 0,1,i k =L ,1,2,,,i n =L 2.加工某种零件时,每一件需要的时间服从均值为1/λ的指数分布,今以加工时间为零件的数量指标,任取n 件零件构成一个容量为n 的样本,求样本分布。
解 零件的加工时间为总体X ,则~()X E λ,其概率密度为,0,()0,0.x e x f x x λλ-⎧>=⎨≤⎩于是样本12(,,,)n X X X L 的密度为1121,0(,,,)0,.nii ix nnx i n i e x f x x x e λλλλ=--=⎧∑⎪>==⎨⎪⎩∏K 其它 1,2,,i n =L 3.一批产品中有成品L 个,次品M 个,总计N L M =+个。
今从中取容量为2的样本(非简单样本),求样本分布,并验证:当,/N M N p →∞→时样本分布为(6.1)式中2n =的情况。
解 总体~(01)X -,即(0),(1)L MP X P X N N==== 于是样本12(,)X X 的分布如下 121(0,0)1L L P X X N N -===⋅-,12(0,1)1L M P X X N N ===⋅-12(1,0)1M L P X X N N ===⋅-,121(1,1)1M M P X X N N -===⋅- 若N →∞时M p N →,则1Lp N→-,所以2002012(0,0)(1)(1)P X X p p p +-==→-=-012112(0,1)(1)(1)P X X p p p p +-==→-=-102112(1,0)(1)(1)P X X p p p p +-==→-=-2112212(1,1)(1)P X X p p p +-==→=-以上恰好是(6.1)式中2n =的情况.4.设总体X 的容量为100的样本观察值如下:15 20 15 20 25 25 30 15 30 25 15 30 25 35 30 35 20 35 30 25 20 30 20 25 35 30 25 20 30 25 35 25 15 25 35 25 25 30 35 25 35 20 30 30 15 30 40 30 40 15 25 40 20 25 20 15 20 25 25 40 25 25 40 35 25 30 20 35 20 15 35 25 25 30 25 30 25 30 43 25 43 22 20 23 20 25 15 25 20 25 30433545304530454535作总体X 的直方图解 样本值的最小值为15,最大值为45取14.5a =,45.5b =,为保证每个小区间内都包含若干个观察值,将区间[14.5,45.5]分成8个相等的区间。
第六章习题6-11、由一致估计的定义,对0ε∀>{}{}{}()1212max ,,,max ,,,n n P X X X P X X X θεεθεθ-<=-+<<+()()F F εθεθ=+--+()0, 0, 01, X x xF x x x θθθ<⎧⎪=≤≤⎨⎪>⎩及(){}()()()()1212max ,,,n n X X X X X X F x F x F x F x F x ==⋅⋅⋅()1F εθ∴+=(){}()12max ,,,1nn x F P X X X εθεθθ⎫⎛-+=<-+≈- ⎪⎝⎭{}()12max ,,,111()nn x P X X X n θεθ⎫⎛∴-<=--→→∞ ⎪⎝⎭2、证明:EX μ=()1111111ni i n n i i i i nn n i i i i i i i i a X E a E X a a a a μμ======⎫⎛⎪ ⎪ ==⋅=⎪ ⎪⎝⎭∑∑∑∑∑∑ 11niii nii a Xa==∴∑∑是μ的无偏估计量3、证明: ()() ()()22D E E θθθ=-()() ()()()2222E D E D θθθθθθ∴=+=+> 2θ∴不是2θ的无偏估计量4、证明:()~X P λEX λ∴=,()()222E X DX EX λλ=+=+()22E X EX λ∴-=,即()22E X X λ-=用样本矩2211n i i A X n ==∑,1A X =代替相应的总体矩()2E X 、EX所以得2λ的无偏估计量: 22111n i i A A X X n λ==-=-∑ 5、()~,X B n p ,EX np ∴=()()()()22222111E X np p n p np n n p EX n n p =-+=+-=+-()()()()222111E X EX E X X p n n n n -⎫⎛∴=-=⎪ --⎝⎭所以用样本矩2211n i i A X n ==∑,1A X =分别代替总体矩()2E X 、EX得2p 的无偏估计量: ()()()222121111ni i i A A p X X n n n n =-==---∑6、()~,1X N m ,()i E X m ∴=,()1i D X =,(1,2)i =()()()11212212121333333E m E X X E X E X m m m ⎫⎛∴=+=+=+= ⎪⎝⎭()()()1121221414153399999D m D X X D X D X ⎫⎛=+=+=+= ⎪⎝⎭同理可得: ()2E m m =, ()258D m =, ()3E m m =, ()212D m =123,,m m m ∴都是m 的无偏估计量,且在 123,,m m m 中, 3m 的方差最小习题6-21、(1)()11cccEX x c xdx cx dx θθθθθθθθ+∞+∞-+-=⋅==-⎰⎰EXEX cθ∴=-,令X EX =X X c θ∴=-为矩估计量,θ的矩估计值为 x x cθ=-,其中11n i i x x n ==∑似然函数为:()()11211,,,;nnn n n ii i i L x x x c xcx θθθθθθθ-+-====∏∏ ,i x c > 对数似然函数:()()()1ln ln ln 1ln nii L n n c x θθθθ==+-+∑求导,并令其为0,得:1ln ln ln 0ni i d L nn c x d θθ==+-=∑ 1ln ln Lnii nx n cθ=∴=-∑,即θ的最大似然估计量为 1ln ln Lnii nXn cθ==-∑(2)21111EX EX x x dx EX θθθθθ-⎫⎛=⋅=⇒= ⎪--⎝⎭⎰ 以X EX =,得: 21X X θ⎫⎛=⎪ -⎝⎭为θ的矩估计量θ的矩估计值为: 21x x θ⎫⎛=⎪ -⎝⎭,其中11ni i x x n ==∑ 而()1121211,,,;n nnn i i i i L x x x x x θθθθθ--==⎫⎛==⎪⎝⎭∏∏ ,01i x ≤≤()()1ln ln 1ln 2nii nL x θθθ=∴=+-∑令1ln 11ln 022ni i d L n x d θθθ==+⋅⋅=∑, 21ln L ni i n x θ=⎫⎛⎪ ⎪ ∴=⎪⎪⎝⎭∑ 所以θ的最大似然估计量 21ln L ni i n x θ=⎫⎛⎪ ⎪ =⎪ ⎪⎝⎭∑ (3)()~,X B m p ,EXEX mp p m∴=⇒=p ∴的矩估计量: 111n i i X p X X m mn m====∑p ∴的矩估计值为: 11n i i p x mn ==∑ 而()()()111211,,,;11nniii i ii i i nnx m x m x x x x n mm i i L x x x p Cpp C pp ==--==∑∑=-=⋅⋅-∏∏ ,0,1,,ix m = ()()()111ln ln ln ln 1i nnn x mi i i i i L p C x p m x p ====+⋅+-⋅-∑∑∑令() 111ln 111101n n n i i L ii i i d L x m x p x x dp p p mn m ====⋅--⋅=⇒==-∑∑∑ p ∴的最大似然估计量为: 1L p X m=2、(1)()01;2EX xf x dx xdx θθθθ+∞-∞===⎰⎰令11n i i EX X X n ===∑,22X X θθ∴=⇒=2X θ∴= (2)由观测的样本值得:6111(0.30.80.270.350.620.55)0.481766i i x x ===+++++≈∑20.9634x θ∴== 3、由1111122EX X θθθθθ+=⨯+⨯++⨯== 21X θ∴=-为θ的矩估计量 4、设p :抽得废品的概率;1p -:抽得正品的概率 引入{1, i i X i =第次抽到废品0,第次抽到正品,1,2,,60i =()1i P X p ∴==,()01i P X p ==-,且i EX p =所以对样本1260,,,X X X 的一个观测值1260,,,x x x由矩估计法得,p 的估计值为: 601141606015ii p x ====∑,即这批产品的废品率为1155、()()2212213132EX θθθθθ=⨯+⨯-+⨯-=-,()1412133x =⨯++=EX x = , 3526x θ-∴==为矩估计值 ()()()()()()()34511223312121i i i L P X x P X x P X x P X x θθθθθθ========⋅⋅-=-∏()()ln ln25ln ln 1L θθθ=++-令() ln 1155016Ld L d θθθθθ=⨯-=⇒=- 6、(1)λ的最大似然估计 LX λ=, ()0LX P X e e λ--∴=== (2)设X :一个扳道员在五年内引起的严重事故的次数()~X P λ∴,122n =得样本均值:5011(044142221394452) 1.123122122r r x r s ==⨯⋅=⨯⨯+⨯+⨯+⨯+⨯+⨯=∑()1.12300.3253x P X e e --∴====习题6-33、从总体中抽取容量为n 的样本12,,,n X X X 由中心极限定理:()~0,1,/X U N n nμσ-=→∞(1)当2σ已知时,近似得到μ的置信度为1α-的置信区间为:22,X u X u n n αασσ⎫⎛-⋅+⋅⎪ ⎝⎭ (2)当2σ未知时,用2σ的无偏点估计2s 代替2σ:~(0,1),/X N n s nμ-→∞于是得到μ的置信度为1α-的置信区间为:22,s s X u X u n n αα⎫⎛-⋅+⋅⎪ ⎝⎭一般要求30n ≥才能使用上述公式,称为大样本区间估计 4、40n = 属于大样本,2,X N n σμ⎫⎛∴⎪ ⎝⎭ 近似μ∴的95%的置信区间近似为:2x u n ασ⎫⎛±⋅⎪ ⎝⎭其中642x =,3σ=,40 6.32n =≈,21.96u α=()23642 1.966420.9340x u n ασ⎫⎛⎫⎛∴±⋅=±⨯≈±⎪ ⎪⎝⎭⎝⎭故μ的95%的置信区间上限为642.93,下限为641.075、100n =属于大样本,2~,X N n σμ⎛⎫∴ ⎪⎝⎭近似μ∴的99%的置信区间近似为:2x u n ασ⎫⎛±⋅⎪ ⎝⎭其中10x =,3σ=,100n =,22.58u α=()()2310 2.58100.7749.226,10.774100x u n ασ⎛⎫⎛⎫∴±⋅=±⨯=±= ⎪ ⎪⎝⎭⎝⎭由此可知最少要准备10.77410000107740()kg ⨯=这种商品,才能以0.99的概率满足要求。
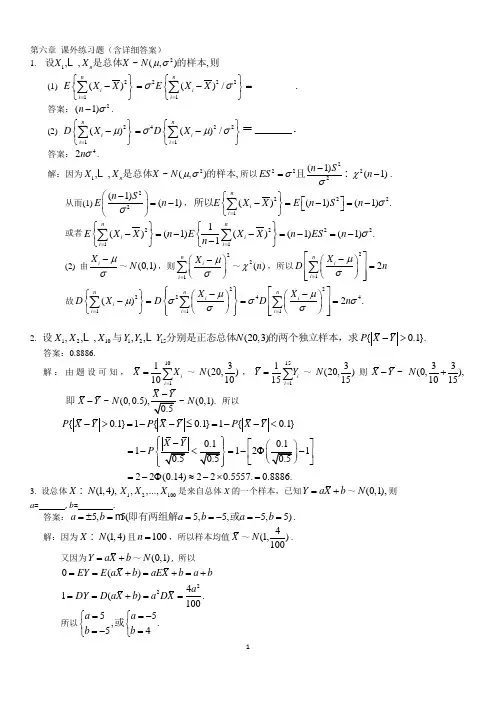
第六章 课外练习题(含详细答案)1. 21,,~(,),n X X X N μσ 设是总体的样本则 (1) 21()n i i E X X =⎧⎫-⎨⎬⎩⎭∑2221()/n i i E X X σσ=⎧⎫=-⎨⎬⎩⎭∑________.= 答案:2(1)n σ-.(2) 21()n i i D X μ=⎧⎫-⎨⎬⎩⎭∑4221()/n i i D X σμσ=⎧⎫=-⎨⎬⎩⎭∑_____.= 答案:42n σ.解:因为21,,~(,),n X X X N μσ 是总体的样本所以22222(1)(1)n S ES n σχσ-=- 且.从而(1)22((1))1S n n E σ⎛⎫=- ⎪⎝⎭-,2122()(1)(1).n i i E X X E n S n σ=⎧⎫⎡⎤-=-=-⎨⎬⎣⎦⎩⎭∑所以 或者222211()(1)()(1)(111).n n i i i i E X X n E X X n n ES n σ==⎧⎫⎧⎫-=--=--=-⎨⎬⎨⎬⎩⎭⎩⎭∑∑ (2) 由i X σμ-~(0,1)N ,则21ni i X σμ=-⎛⎫ ⎪⎝⎭∑~2()n χ,所以212n i i X D n σμ=⎡⎤-⎛⎫=⎢⎥ ⎪⎝⎭⎢⎥⎣⎦∑ 故221112244()2.n n n i i i i i i X X D X D D n σσσσσμμμ===⎧⎫⎡⎤--⎧⎫⎪⎪⎛⎫⎛⎫-===⎢⎥⎨⎬⎨⎬ ⎪ ⎪⎝⎭⎝⎭⎩⎭⎢⎥⎪⎪⎩⎭⎣⎦∑∑∑ 2. 12101215,,,,,(20,3){0.1}.X X X Y Y Y N P X Y -> 设与分别是正态总体的两个独立样本,求 答案:0.8886.解:由题设可知,110110i i X X ==∑~(20,)310N ,151115i i Y Y ==∑~(20,)315N 则~X Y -33(0,),1015N +~~(0,.1)X Y X Y N N -即 所以 {0.1}1{0.1}1{0.1}P X Y P X Y P X Y ->=--≤=--<1(0.14)220.5557.0.8881122 6.2P Φ-Φ≈-⎫⎡⎤=-<=-⎢⎥⎣⎦⨯==- 3. 设总体(1,4),X N 12100,...,,X X X 是来自总体X 的一个样本,已知Y b aX =+~(0,1),N 则 a = , b = .答案:5,5(5,5,5,5)a b a b a b =±===-=-= 即有两组解或.解:因为(1,4)X N 且100n =,所以样本均值X ~4(1,)100N . 又因为Y b aX =+~(0,1)N , 所以 220(4).(101)0X b X b a EY E a ba DY D aX a Db a X E ++=+==+===== 所以55,.54a a b b ==-⎧⎧⎨⎨=-=⎩⎩或4. 在总体X ~2()n χ, 12,.,,..n X X X 是来自总体X 的一个样本,则2______,______,_____.X DX E E S === 答案:2,22.,X n DX ES E n ===解:特别要注意区分样本容量和2χ分布的自由度,两者在本题中都是字母n .因为X ~2()n χ,所以,2EX n DX n ==(注意这里的n 是2χ分布中的自由度n ), 从而对11i ni X X n ==∑(注意这里的分母n 是指的样本容量的n )有: (),22,n n X EX n DX n DX n E n =====(样本容量这个是自由度)(这个是样本容量)对样本方差2S ,有22.ES DX n ==(这个n 是自由度)5. 在总体X ~2()n χ, 1210,.,..,X X X 是来自总体X 的一个样本,则2______,______,_____.X DX E E S === 答案:注意本题中自由度为n ,而样本容量是10.22,n DX 2n 10;105n .X n n n DX n E E S =====, 这个为自由度;,分子的2是总体方差,分母的为样本容量样本容量这个为自由度6. 设总体(0,1),X N 1216,.,..,X X X 是来自总体X 的样本,已知{}0.01,X P λ=≥ 则______.λ= 答案:0.58.解:因为(0,1),X N 样本容量n=16,所以1161i i X X n ==∑~(0,)116N , 即0414X X -=(0,1),N 于是{}0.01{}1{}1441(4)P X P X P X λλλλ=≥=-<=-<=-Φ,从而(4)0.99λΦ=,查表得到4 2.33,λ=故0.58.λ=。
第6章 参数估计1,设总体0),,0(~>B b U X未知,921,,,X X X 是来自X的样本。
求b 的矩估计量。
今测得一个样本值0.5,0.86,0.1,1.3,0.9,1.6,0.7,0.9,1.0,求b 的矩估计值。
解:因为总体),0(~b U X,所以总体矩2/)(b X E =。
根据容量为9的样本得到的样本矩∑==9191i iX X。
令总体矩等于相应的样本矩:X X E =)(,得到b 的矩估计量为X b2ˆ=。
把样本值代入得到b 的矩估计值为69.1ˆ=b。
2,设总体X 具有概率密度⎪⎩⎪⎨⎧<<-=他其θθθx x x f X00)(2)(2,参数θ未知,n X X X ,,,21 是来自X的样本,求θ的矩估计量。
解:总体X 的数学期望为3)(2)(02θθθθ=-=⎰dx x xX E ,令XX E =)(可得θ的矩估计量为X 3ˆ=θ。
3,设总体),,(~p m B X参数)10(,<<p p m 未知,n X X X ,,,21 是来自X的样本,求p m ,的矩估计量(对于具体样本值,若求得的mˆ不是整数,则取与m ˆ最接近的整数作为m 的估计值)。
解:总体X 的数学期望为 mp X E =)(,)1()(p mp X D -=,二阶原点矩为[])1()()()(22+-=+=p mp mp X E X D X E 。
令总体矩等于相应的样本矩:XX E =)(,∑===ni iX nA XE 12221)( 得到XA X p21ˆ-+=,()()222ˆA X X X m-+=。
4,(1)设总体0),(~>λλπX未知,n X X X ,,,21 是来自X的样本,n x x x ,,,21 是相应的样本值。
求λ的矩估计量,求λ的最大似然估计值。
(2)元素碳-14在半分钟内放射出到达计数器的粒子数)(~λπX ,下面是X 的一个样本:6 4 9 6 10 11 6 37 10求λ的最大似然估计值。
第六章 数理统计的基本概念一.填空题1.若n ξξξ,,,21 是取自正态总体),(2σμN 的样本,则∑==ni i n 11ξξ服从分布 )n,(N 2σμ .2.样本),,,(n X X X 21来自总体),(~2σμN X 则~)(221n S n σ- )(1χ2-n ; ~)(nS n X μ- _)(1-n t __。
其中X 为样本均值,∑=--=n i n X X n S 12211)(。
3.设4321X X X X ,,,是来自正态总体).(220N 的简单随机样本,+-=221)2(X X a X 243)43(X X b -,则当=a 201=a 时,=b 1001=b时,统计量X 服从2X 分布,其自由度为 2 .4. 设随机变量ξ与η相互独立, 且都服从正态分布(0,9)N , 而129(,,,)x x x 和129(,,,)y y y 是分别来自总体ξ和η的简单随机样本, 则统计量~U = (9)t .5. 设~(0,16),~(0,9),,X N Y N X Y 相互独立, 129,,,X X X 与1216,,,Y Y Y 分别为X 与Y 的一个简单随机样本,则2221292221216X X X Y Y Y ++++++服从的分布为 (9,16).F 6. 设随机变量~(0,1)X N , 随机变量2~()Y n χ, 且随机变量X 与Y 相互独立,令T =, 则2~T F (1,n ) 分布.解:由T =, 得22X T Y n =. 因为随机变量~(0,1)X N , 所以22~(1).X χ再由随机变量X 与Y 相互独立, 根据F 分布的构造, 得22~(1,).X T F n Y n= 7. 设12,,,n X X X 是总体(0,1)N 的样本, 则统计量222111n k k X n X =-∑服从的分布为 (1,1)F n - (需写出分布的自由度).解:由~(0,1),1,2,,i X N i n =知222212~(1),~(1)nk k X X n χχ=-∑, 于是8. 总体21234~(1,2),,,,X N X X X X 为总体X 的一个样本, 设212234()()X X Z X X -=-服 从 F (1,1) 分布(说明自由度)解:由212~(0,2)X X N σ+,有22~(1)χ, 又 234~(0,2)X X N σ-,故22~(1),χ因为2与2独立,所以21234~(1,1).X X F X X ⎛⎫+ ⎪-⎝⎭9.判断下列命题的正确性:( 在圆括号内填上“ 错” 或“ 对”)(1) 若 总 体 的 平 均 值 μ与 总 体 方 差 σ2 都 存 在 , 则 样 本 平 均 值 x 是 μ 的 一 致 估 计。
第六章 样本及抽样分布1.[一] 在总体N (52,6.32)中随机抽一容量为36的样本,求样本均值X 落在50.8到53.8之间的概率。
解: 8293.0)78()712(}63.68.163.65263.62.1{}8.538.50{),363.6,52(~2=-Φ-Φ=<-<-=<<X P X P N X2.[二] 在总体N (12,4)中随机抽一容量为5的样本X 1,X 2,X 3,X 4,X 5. (1)求样本均值与总体平均值之差的绝对值大于1的概率。
(2)求概率P {max (X 1,X 2,X 3,X 4,X 5)>15}. (3)求概率P {min (X 1,X 2,X 3,X 4,X 5)>10}.解:(1)⎪⎪⎭⎪⎪⎬⎫⎪⎪⎩⎪⎪⎨⎧>-=⎪⎪⎭⎪⎪⎬⎫⎪⎪⎩⎪⎪⎨⎧>-=>-25541225415412}112{|X P X P X P =2628.0)]25(1[2=Φ-(2)P {max (X 1,X 2,X 3,X 4,X 5)>15}=1-P {max (X 1,X 2,X 3,X 4,X 5)≤15}=.2923.0)]21215([1}15{1551=-Φ-=≤-∏=i i X P (3)P {min (X 1,X 2,X 3,X 4,X 5)<10}=1- P {min (X 1,X 2,X 3,X 4,X 5)≥10}=.5785.0)]1([1)]21210(1[1}10{15551=Φ-=-Φ--=≥-∏=i i X P 4.[四] 设X 1,X 2…,X 10为N (0,0.32)的一个样本,求}.44.1{1012>∑=i i X P解:)5(1.0}163.0{}44.1{),10(~3.0101221012221012查表=>=>∑∑∑===i ii ii iX P XP χX7.设X 1,X 2,…,X n 是来自泊松分布π (λ )的一个样本,X ,S 2分别为样本均值和样本方差,求E (X ), D (X ), E (S 2).解:由X ~π (λ )知E (X )= λ ,λ=)(X D∴E (X )=E (X )= λ, D (X )=.)()(,)(2λX D S E nλnX D ===[六] 设总体X~b (1,p),X 1,X 2,…,X n 是来自X 的样本。
第六章 样本及抽样分布1.[一] 在总体N (52,6.32)中随机抽一容量为36的样本,求样本均值X 落在50.8到53.8之间的概率。
解:8293.0)78()712(}63.68.163.65263.62.1{}8.538.50{),363.6,52(~2=-Φ-Φ=<-<-=<<X P X P N X2.[二] 在总体N (12,4)中随机抽一容量为5的样本X 1,X 2,X 3,X 4,X 5. (1)求样本均值与总体平均值之差的绝对值大于1的概率。
(2)求概率P {max (X 1,X 2,X 3,X 4,X 5)>15}. (3)求概率P {min (X 1,X 2,X 3,X 4,X 5)>10}.解:(1)⎪⎪⎭⎪⎪⎬⎫⎪⎪⎩⎪⎪⎨⎧>-=⎪⎪⎭⎪⎪⎬⎫⎪⎪⎩⎪⎪⎨⎧>-=>-25541225415412}112{|X P X P X P=2628.0)]25(1[2=Φ- (2)P {max (X 1,X 2,X 3,X 4,X 5)>15}=1-P {max (X 1,X 2,X 3,X 4,X 5)≤15} =.2923.0)]21215([1}15{1551=-Φ-=≤-∏=i i X P (3)P {min (X 1,X 2,X 3,X 4,X 5)<10}=1- P {min (X 1,X 2,X 3,X 4,X 5)≥10} =.5785.0)]1([1)]21210(1[1}10{15551=Φ-=-Φ--=≥-∏=i iXP 4.[四] 设X 1,X 2…,X 10为N (0,0.32)的一个样本,求}.44.1{1012>∑=i iXP解:)5(1.0}163.0{}44.1{),10(~3.0101221012221012查表=>=>∑∑∑===i i i i i i X P X P χX7.设X 1,X 2,…,X n 是来自泊松分布π (λ )的一个样本,X ,S 2分别为样本均值和样本方差,求E (X ), D (X ), E (S 2 ).解:由X ~π (λ )知E (X )= λ ,λ=)(X D∴E (X )=E (X )= λ, D (X )=.)()(,)(2λX D S E nλn X D === [六] 设总体X~b (1,p),X 1,X 2,…,X n 是来自X 的样本。