2014施工机械台班费用定额
- 格式:docx
- 大小:16.03 KB
- 文档页数:2
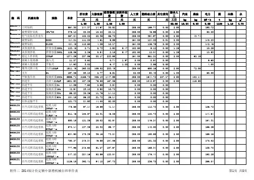
一、土石方及筑路机械费用组成编号机械名称机型规格型号汽油柴油煤电水木柴人工费人工9.908.60600.00 1.000 2.00 2.0053.00定额元元元元元元kg kg t kw·h m3kg元工日元1-1松土机大松土深度(m)0.513954.40189.5842.86122.14467.3254.34132.50 2.501-2松土机大松土深度(m)113987.14193.4150.37143.54467.3254.34132.50 2.501-3除荆机大清除宽度(m)413953.74182.3644.22127.34467.3254.34132.50 2.501-4除根机大清除宽度(m) 1.513944.63177.0743.23124.51467.3254.34132.50 2.501-5履带式推土机中功率(Kw)5011502.9145.5617.6145.80261.4430.40132.50 2.501-6履带式推土机中功率(Kw)5511552.3246.5919.4450.55303.2435.26132.50 2.501-7履带式推土机中功率(Kw)6011611.3048.5421.5756.09352.6041.00132.50 2.501-8履带式推土机大功率(Kw)7511867.29139.9036.2794.31464.3153.99132.50 2.501-9履带式推土机大功率(Kw)9011973.69179.9842.70111.02507.4959.01132.50 2.501-10履带式推土机大功率(Kw)105111001.58199.7044.73116.30508.3559.11132.50 2.501-11履带式推土机大功率(Kw)135111329.64353.7278.53204.17560.7265.20132.50 2.501-12履带式推土机大功率(Kw)165111553.60421.56107.35279.10613.0971.29132.50 2.501-13履带式推土机特功率(Kw)240112019.71606.73178.21358.20744.0786.52132.50 2.501-14履带式推土机特功率(Kw)313112266.22708.49228.50422.73774.0090.00132.50 2.501-15湿地推土机大功率(Kw)10511931.54211.8244.94110.56431.7250.20132.50 2.501-16湿地推土机大功率(Kw)135111290.87356.8478.72193.65529.1661.53132.50 2.501-17湿地推土机大功率(Kw)165111510.98422.95107.52264.50583.5167.85132.50 2.501-18轮胎式推土机大功率(Kw)150111524.74294.1952.33183.14862.58100.30132.50 2.501-19自行式铲运机单引擎中斗容量(m )312800.15189.5048.56130.14299.4534.82132.50 2.501-20自行式铲运机单引擎大斗容量(m )412900.55281.1150.95136.54299.4534.82132.50 2.501-21自行式铲运机单引擎大斗容量(m )6121010.11299.6353.84144.28379.8644.17132.50 2.50其中 台班基价折旧费定额33 3 31-22自行式铲运机单引擎大斗容量(m )8121144.08 324.04 58.46 156.68472.4054.93132.50 2.501养路费及车船 使用税其中折 旧 年 限大修 经常修 燃料动理费 理费 力费 安拆费 及场外 运输费一、土石方及筑路机械费用组成编号机械名称机型规格型号汽油柴油煤电水木柴人工费人工9.908.60600.00 1.000 2.00 2.0053.00定额元元元元元元kg kg t kw·h m3kg元工日元1-23自行式铲运机单引擎大斗容量(m )10121255.76332.4662.22166.74561.8465.33132.50 2.501-24自行式铲运机单引擎大斗容量(m )12121455.24438.5177.84208.60597.7969.51132.50 2.501-25自行式铲运机双引擎大斗容量(m )12122373.35531.93166.65446.631095.64127.40132.50 2.501-26自行式铲运机双引擎大斗容量(m )23123683.711474.59239.42641.631195.57139.02132.502.501-27拖式铲运机中斗容量(m )33593.8737.9028.3993.39301.6935.08132.50 2.501-28拖式铲运机大斗容量(m )881011.08130.4656.03184.35507.7459.04132.50 2.501-29拖式铲运机大斗容量(m )10101252.11151.50112.32262.82592.9768.95132.50 2.501-30拖式铲运机大斗容量(m )12121431.19178.85142.58333.64643.6274.84132.50 2.501-31平地机大功率(Kw)7511613.41155.7525.5788.20211.3924.58132.50 2.501-32平地机大功率(Kw)9011741.09170.9829.85102.98304.7835.44132.50 2.501-33平地机大功率(Kw)120111026.87256.1237.19128.32472.7454.97132.50 2.501-34平地机大功率(Kw)135111194.94287.2757.02196.73521.4260.63132.50 2.501-35平地机大功率(Kw)150111373.10322.5774.90258.42584.7167.99132.50 2.501-36平地机大功率(Kw)180111666.01380.72101.10348.81702.8881.73132.50 2.501-37平地机大功率(Kw)220112103.33503.93141.06486.65839.1997.58132.50 2.501-38轮胎式装载机中斗容量(m )112714.8591.6022.7080.82453.4852.7366.25 1.251-39轮胎式装载机大斗容量(m ) 1.512792.86107.6924.9388.74505.2558.7566.25 1.251-40轮胎式装载机大斗容量(m )212917.01151.4430.36108.07560.8965.2266.25 1.251-41轮胎式装载机大斗容量(m ) 2.5121043.72176.6933.95120.88645.9575.1166.25 1.251-42轮胎式装载机大斗容量(m )3121222.49193.5139.23139.67717.5883.44132.50 2.50其中 台班基价折旧费定额养路费及车船 使用税其中折 旧 年 限大修 经常修 燃料动 理费 理费 力费 安拆费 及场外 运输费33 3 3 3 3 3 333 3 3 3 31-43 轮胎式装载机 大 斗容量(m ) 4.5 12 1408.11 249.60 50.46 179.62 795.93 92.55 132.50 2.50 1-44履带式拖拉机中功率(Kw )5514 576.77 39.19 16.20 43.42345.4640.17132.50 2.502一、土石方及筑路机械费用组成编号机械名称机型规格型号汽油柴油煤电水木柴人工费人工9.908.60600.00 1.000 2.00 2.0053.00定额元元元元元元kg kg t kw·h m3kg元工日元1-45履带式拖拉机中功率(Kw)6014629.3745.8519.9753.51377.5443.90132.50 2.501-46履带式拖拉机大功率(Kw)7511829.87107.2933.3689.40467.3254.34132.50 2.501-47履带式拖拉机大功率(Kw)9011966.49180.6739.63106.20507.4959.01132.50 2.501-48履带式拖拉机大功率(Kw)105111102.16199.9841.36110.84617.4871.80132.50 2.501-49履带式拖拉机大功率(Kw)120111265.01239.1655.71149.30688.3480.04132.50 2.501-50履带式拖拉机大功率(Kw)135111418.56262.7072.67194.75755.9487.90132.50 2.501-51轮胎式拖拉机中功率(Kw)217270.3220.3810.6722.52150.5017.5066.25 1.251-52轮胎式拖拉机中功率(Kw)417468.8336.2123.2349.02294.1234.2066.25 1.251-53手扶式拖拉机小功率(Kw)97161.93 6.49 3.828.0677.318.9966.25 1.251-54履带式单斗挖掘机液压大斗容量(m )0.612750.31172.9647.90107.30289.6533.68132.50 2.501-55履带式单斗挖掘机液压大斗容量(m )0.812992.79254.0056.05118.26431.9850.23132.50 2.501-56履带式单斗挖掘机液压大斗容量(m )1121143.72281.2160.52127.69541.8063.00132.50 2.501-57履带式单斗挖掘机液压大斗容量(m ) 1.25121347.32309.6474.70157.62672.8678.24132.50 2.501-58履带式单斗挖掘机液压大斗容量(m ) 1.6121633.35357.4187.35184.31871.78101.37132.50 2.501-59履带式单斗挖掘机液压大斗容量(m ) 1.8121829.15373.44101.16213.441008.61117.28132.50 2.501-60履带式单斗挖掘机液压大斗容量(m )2121632.14386.74122.00257.41733.4985.29132.50 2.501-61履带式单斗挖掘机机械大斗容量(m )1121004.78287.2643.22120.14421.6649.03132.50 2.501-62履带式单斗挖掘机机械大斗容量(m ) 1.5121389.77308.4385.61238.01625.2272.70132.50 2.501-63轮胎式挖掘装载机中斗容量(m )0.212469.5470.3919.9253.00259.9830.2366.25 1.251-64轮胎式挖掘装载机大斗容量(m )0.412526.4481.6132.4086.20259.9830.2366.25 1.251-65轮胎式挖掘装载机大斗容量(m )0.612549.3794.7935.0793.28259.9830.2366.25 1.25其中 台班基价折旧费定额养路费及车船 使用税其中折 旧 年 限大修 经常修 燃料动理费 理费 力费 安拆费 及场外 运输费33 3 3 3 3 3 3 3 3 3 31-66拖式羊角碾单筒小不加载重量(t )31315.457.021.237.204.933一、土石方及筑路机械费用组成编号机械名称机型规格型号汽油柴油煤电水木柴人工费人工9.908.60600.00 1.000 2.00 2.0053.00定额元元元元元元kg kg t kw·h m3kg元工日元1-67拖式羊角碾双筒小不加载重量(t)61326.3612.45 2.0311.889.811-68光轮压路机(内燃)大不加载重量(t)611290.4565.7612.7140.81104.9212.2066.25 1.251-69光轮压路机(内燃)大不加载重量(t)811373.9872.6815.4149.45170.1919.7966.25 1.251-70光轮压路机(内燃)大不加载重量(t)1211508.1887.7718.5759.62275.9732.0966.25 1.251-71光轮压路机(内燃)大不加载重量(t)1511611.4793.8019.4962.56369.3742.9566.25 1.251-72光轮压路机(内燃)大不加载重量(t)18111019.50104.5220.9567.25694.2880.73132.50 2.501-73振动压路机大重量(t)811607.77122.6935.52109.40273.9131.8566.25 1.251-74振动压路机大重量(t)1211881.72145.9239.74122.41507.4059.0066.25 1.251-75振动压路机大重量(t)15111140.56159.7142.26130.16742.1886.3066.25 1.251-76手扶振动压实机小重量(t)18161.5923.45 4.6918.09 1.9949.11 5.7166.25 1.251-77轮胎压路机大不加载重量(t)911494.6460.5722.0187.81258.0030.0066.25 1.251-78夯实机电动小夯击能力(kg·m)20~62628.40 5.45 1.13 5.22 2.4916.6016.601-79夯实机内燃小夯足直径(mm)φ265634.50 4.98 2.1810.14 2.4917.20 2.001-80装岩机风力小斗容量(m )0.1212175.3224.36 6.0312.4310.90132.50 2.501-81装岩机电力中斗容量(m )0.212247.0829.718.3614.2110.9062.3062.30132.50 2.501-82装岩机电力大斗容量(m )0.612365.1145.4014.4024.4810.90148.33148.33132.50 2.501-83风动凿岩机小气腿式713.26 3.77 1.188.31 1.991-84风动凿岩机小手持式710.09 2.770.91 6.41 1.991-85凿岩钻车中轮胎式12279.8596.1717.8333.3510.90132.50 2.501-86凿岩钻车中履带式12362.56152.9928.3348.7410.90132.50 2.501-87汽车式沥青喷洒机大箱容量(L)400011654.89159.2144.7075.55309.1831.2366.25 1.25其中 台班基价折旧费定额养路费及车船 使用税其中折 旧 年 限大修 经常修 燃料动理费 理费 力费 安拆费 及场外 运输费33 31-88汽车式沥青喷洒机大箱容量(L )750011883.00 290.73 67.57 114.19344.2640.0366.251.254一、土石方及筑路机械费用组成编号机械名称机型规格型号汽油柴油煤电水木柴人工费人工9.908.60600.00 1.000 2.00 2.0053.00定额元元元元元元kg kg t kw·h m3kg元工日元1-89沥青混凝土摊铺机大载重量(t)412661.43113.1035.9170.74309.1831.23132.50 2.501-90沥青混凝土摊铺机大载重量(t)612689.63172.3041.4081.56261.8730.45132.50 2.501-91沥青混凝土摊铺机大载重量(t)812977.74237.6966.34130.70344.2640.03198.75 3.751-92沥青混凝土摊铺机大载重量(t)12121165.69251.8366.93131.84516.3460.04198.75 3.751-93沥青混凝土摊铺机(带自动找平)大载重量(t)8121613.19744.0088.54108.90473.0055.00198.75 3.751-94沥青混凝土摊铺机(带自动找平)大载重量(t)12122647.041247.65156.61192.63851.4099.00198.753.751-95内燃凿岩机小YN30A4265.30 5.67 2.0814.97 1.49110.0812.80132.50 2.501-96强夯机械大夯击能力(tm)12081050.91455.4755.44125.85281.6532.75132.50 2.501-97强夯机械大夯击能力(tm)20081724.03972.4676.86174.47367.7442.76132.50 2.501-98强夯机械大夯击能力(tm)30082006.941039.65109.93249.54475.3255.27132.502.501-99灰土拌合机大功率(Kw)9011803.8913.8142.40107.69507.4959.01132.50 2.501-100灰土拌合机大功率(Kw)10511960.21161.9844.46112.92508.3559.11132.50 2.501-101灰土拌合机大功率(Kw)135111277.86331.9278.80200.15534.4962.15132.50 2.501-102颚式破碎机小进料口(mm)250×4009192.4327.25 2.5935.1461.2061.2066.25 1.251-103颚式破碎机小进料口(mm)250×5009225.2938.93 3.3144.8072.0072.0066.25 1.251-104颚式破碎机中进料口(mm)400×6009300.2866.18 4.1155.74108.00108.0066.25 1.251-105颚式破碎机中进料口(mm)500×7509514.56154.25 6.6089.46198.00198.0066.25 1.251-106颚式破碎机中进料口(mm)600×9009701.70231.627.96107.87288.00288.0066.25 1.251-107颚式破碎机(机动)小进料口(mm)250×4409375.5159.36 5.4774.15170.2819.8066.25 1.25其中5台班基价折旧费定额养路费及车船 使用税其中折 旧 年 限大修 经常修 燃料动理费 理费 力费 安拆费 及场外 运输费二、打桩机械费用组成编号机械名称机型规格型号汽油柴油煤电水木柴人工费人工9.908.600600.0001.000 2.000 2.00053.00定额元元元元元元kg kg t kw·h m3kg元工日元2-1履带式柴油打桩机大锤重(t) 2.5121433.02436.1295.60387.22381.5844.37132.50 2.502-2履带式柴油打桩机大锤重(t) 3.5122178.27764.04166.06703.39412.2847.94132.50 2.502-3履带式柴油打桩机大锤重(t)5123457.721664.95285.06911.41463.8053.93132.502.50 2-4履带式柴油打桩机特锤重(t)7124175.491863.33400.221285.80493.6457.40132.50 2.502-5履带式柴油打桩机特锤重(t)8124465.221928.39440.471455.26508.6059.14132.50 2.502-6轨道式柴油打桩机中锤重(t)0.612483.2260.6647.42128.84113.809.0036.40132.50 2.502-7轨道式柴油打桩机大锤重(t) 1.212821.70171.3456.15145.43316.2828.8068.60132.50 2.502-8轨道式柴油打桩机大锤重(t) 1.812991.59206.3562.33205.17385.2433.4098.00132.50 2.502-9轨道式柴油打桩机大锤重(t) 2.5121459.08384.3669.40350.92521.9046.50122.00132.50 2.502-10轨道式柴油打桩机大锤重(t) 3.5122082.84533.62119.49636.89660.3456.90171.00132.50 2.502-11轨道式柴油打桩机大锤重(t)4122282.38578.53133.95713.36724.0461.70193.42132.50 2.502-12导杆式柴油打桩机中锤重(t) 1.512543.3089.5813.8672.08235.2822.3043.50132.50 2.502-13震动打拔桩机大激震力(t)309954.07461.4812.1666.74281.1917.43131.29132.50 2.502-14震动打拔桩机大激震力(t)4091231.86586.2417.1894.30401.6424.90187.50132.50 2.502-15震动打拔桩机大激震力(t)5091514.05741.9421.19116.32502.1031.13234.38132.50 2.502-16震动打拔桩机大激震力(t)6091779.28880.7625.20138.36602.4637.35281.25132.50 2.502-17静力压桩机(液压)大压力(t)90111473.68583.00142.69523.6891.8191.81132.50 2.502-18静力压桩机(液压)大压力(t)120111913.85815.28180.48662.34123.25123.25132.50 2.502-19静力压桩机(液压)大压力(t)160112457.54998.33233.53959.82133.36133.36132.50 2.502-20静力压桩机(液压)大压力(t)200113643.721427.51276.901138.07668.7477.76132.50 2.502-21静力压桩机(液压)大压力(t)300114602.161811.30376.751548.46733.1585.25132.50 2.50其中 2-22静力压桩机(液压)大压力(t )400115460.32 2168.95 456.19 1874.93827.7596.25132.50 2.506台班基价折旧费定额大修 经常修 燃料动 理费理费 力费 安拆费 及场外 运输费养路费及车船 使用税其中折 旧 年 限二、打桩机械费用组成编号机械名称机型规格型号汽油柴油煤电水木柴人工费人工9.908.600600.0001.000 2.000 2.00053.00定额元元元元元元kg kg t kw·h m3kg元工日元2-23汽车式钻孔机大孔径(mm)φ40011921.25149.1723.6665.06550.8647.4081.60132.50 2.502-24汽车式钻孔机大孔径(mm)φ100011927.04223.9341.42113.91415.2838.8081.60132.50 2.502-25汽车式钻孔机大孔径(mm)φ2000111328.85295.5844.15121.42735.2076.0081.60132.50 2.502-26潜水钻机大孔径(mm)φ80011457.1179.6116.9545.61182.44182.44132.50 2.502-27潜水钻机大孔径(mm)φ125011516.29107.2925.4968.57182.44182.44132.50 2.502-28潜水钻机大孔径(mm)φ150011622.37158.1730.5682.21218.93218.93132.50 2.502-29工程钻机中孔径(mm)φ5007510.56198.6118.1737.80123.48123.48132.50 2.502-30工程钻机大孔径(mm)φ8007647.51308.3620.9143.49142.25142.25132.50 2.502-31工程钻机大孔径(mm)φ15007707.18308.3624.5551.05190.72190.72132.50 2.502-32螺旋钻机中孔径(mm)φ4007545.70243.27 6.3940.06123.48123.48132.50 2.502-33螺旋钻机中孔径(mm)φ6007652.86285.817.3345.95181.27181.27132.50 2.502-34螺旋钻机中孔径(mm)φ8007878.55444.698.7654.95237.65237.65132.50 2.502-35短螺旋履带钻孔机大孔径(mm)φ1200111553.72652.89114.36219.57434.4034.00142.00132.50 2.502-36冲击钻孔机中乌克斯11387.65149.8721.7643.5240.0040.00132.50 2.502-37锚杆钻孔机大DHR80A112633.371450.67197.63353.77498.8058.00132.502.50 2-38钻运立三用机大GH30-IC111876.051303.9149.3046.34344.0040.00132.502.50其中7台班基价 折旧费 定额大修 经常修 燃料动理费 理费 力费 安拆费 及场外 运输费养路费及车船 使用税其中折 旧 年 限三、起重机械费用组成编号机械名称机型规格型号汽油柴油煤电水木柴人工费人工9.908.60600.00 1.00 2.00 2.0053.00元元元元元元元kg kg t kw·h m3kg元工日元3-1履带式电动起重机中起重量(t)310119.5869.61 5.66 3.3141.0041.0066.25 1.253-2履带式电动起重机中起重量(t)510158.3472.247.7918.3160.0060.0066.25 1.253-3履带式电动起重机大起重量(t)40101276.07769.6928.6567.33410.40410.40132.50 2.503-4履带式电动起重机大起重量(t)50101353.45786.2728.6567.33471.20471.20132.50 2.503-5履带式起重机大起重量(t)1010519.27213.6518.6571.97215.0025.00132.50 2.503-6履带式起重机大起重量(t)1510708.99311.1924.7895.67277.3532.25132.50 2.503-7履带式起重机大起重量(t)2010752.96320.4840.1273.82318.5437.04132.50 2.503-8履带式起重机大起重量(t)2510847.45328.4453.2698.01367.7442.76132.50 2.503-9履带式起重机大起重量(t)30101097.47444.5670.13129.04453.7452.76132.50 2.503-10履带式起重机大起重量(t)40101686.31743.15139.69257.03546.4463.54132.50 2.503-11履带式起重机特起重量(t)50101952.46790.92142.18261.61757.7588.11132.50 2.503-12履带式起重机特起重量(t)60102653.32965.43163.46652.22872.21101.42132.50 2.503-13履带式起重机特起重量(t)70102924.461091.49173.13690.79969.05112.68132.502.503-14履带式起重机特起重量(t)90104377.332428.49193.77773.12981.95114.18132.502.503-15履带式起重机特起重量(t)100104959.242886.32216.87865.33990.72115.20132.502.503-16履带式起重机特起重量(t)140106718.944392.52263.541051.521011.36117.60132.50 2.503-17履带式起重机特起重量(t)150106885.334432.33275.001097.241080.76125.67132.50 2.503-18履带式起重机特起重量(t)200109128.596077.87347.821387.791315.11152.92132.50 2.503-19履带式起重机特起重量(t)3001013851.589948.86581.871803.811517.04176.40198.75 3.75其中 3-20 轮胎式起重机 大 起重量(t ) 10 12 536.30 156.40 25.83 78.78 275.29 32.01 132.50 2.50 3-21 轮胎式起重机 大 起重量(t ) 16 12666.78 236.45 29.30 89.37311.6636.24 132.50 2.50 3-22轮胎式起重机大起重量(t )2012 815.11 328.17 32.09 97.86 356.99 41.51132.50 2.508台班基价 折旧费 定额大修 经常修 燃料动 理费 理费 力费 安拆费 及场外 运输费养路费及车船 使用税其中折 旧 年 限三、起重机械费用组成编号机械名称机型规格型号汽油柴油煤电水木柴人工费人工9.908.60600.00 1.00 2.00 2.0053.00元元元元元元元kg kg t kw·h m3kg元工日元3-23轮胎式起重机大起重量(t)25121033.66381.7266.18101.92483.8456.26132.50 2.503-24轮胎式起重机大起重量(t)40121419.30494.91151.44233.21539.7462.76132.50 2.503-25轮胎式起重机大起重量(t)50121512.96557.73153.42236.27565.5465.76132.50 2.503-26轮胎式起重机大起重量(t)60121938.34853.56184.11283.53617.1471.76132.50 2.503-27汽车式起重机中起重量(t)511553.15108.9324.0778.96230.6723.3066.25 1.25 110.523-28汽车式起重机大起重量(t)811686.76148.8339.7182.20244.5028.43132.50 2.50 171.523-29汽车式起重机大起重量(t)10112138.02177.2147.4098.12256.0229.77132.50 2.50 1559.273-30汽车式起重机大起重量(t)1211874.00218.0556.32116.58262.7330.55132.50 2.50 220.323-31汽车式起重机大起重量(t)16111139.04301.1184.85175.65308.3135.85132.50 2.50 269.123-32汽车式起重机大起重量(t)20111437.80357.18144.78299.69330.3338.41132.50 2.50 305.823-33汽车式起重机大起重量(t)25111566.79379.34159.50330.17350.2840.73132.50 2.50 347.503-34汽车式起重机大起重量(t)30111686.05411.87168.30348.39378.4044.00132.50 2.50 379.093-35汽车式起重机大起重量(t)40112571.56631.30346.37716.98417.2748.52132.50 2.50 459.643-36汽车式起重机大起重量(t)50113524.931626.71472.87978.84446.5151.92132.502.503-37汽车式起重机特起重量(t)60114049.791979.74516.231068.61485.2156.42132.50 2.50其中 3-38 汽车式起重机 特 起重量(t ) 70 11 4790.01 2595.82 547.31 1132.94 513.94 59.76 132.50 2.50 3-39 汽车式起重机 特 起重量(t ) 75 115004.31 2696.19 576.78 1193.93537.4162.49 132.50 2.50 3-40 汽车式起重机 特 起重量(t ) 80 11 5303.64 2872.70 611.49 1265.78 553.67 64.38 132.50 2.503-41 汽车式起重机 特 起重量(t ) 90 11 5635.63 3000.76 669.29 1385.42 580.16 67.46 132.50 2.503-42 汽车式起重机 特 起重量(t ) 100 11 6133.92 3288.04 722.33 1495.23 628.32 73.06 132.50 2.50 3-43 汽车式起重机 特 起重量(t ) 110 11 7411.13 4326.36 793.40 1642.33 649.04 75.47 132.50 2.503-44汽车式起重机特起重量(t )120118574.06 5316.23 839.77 1738.32679.7479.04132.50 2.509台班基价 折旧费 定额 大修 经常修 燃料动 理费 理费 力费 安拆费 及场外 运输费养路费 及车船使用税其中折 旧 年 限三、起重机械费用组成编号机械名称机型规格型号汽油柴油煤电水木柴人工费人工9.908.60600.00 1.00 2.00 2.0053.00元元元元元元元kg kg t kw·h m3kg元工日元3-45汽车式起重机特起重量(t)125119113.485622.19909.201882.05700.0481.40132.50 2.503-46汽车式起重机特起重量(t)1361110223.976403.02983.812036.48800.6693.10132.50 2.503-47汽车式起重机特起重量(t)1501111162.076897.95 1106.032289.49868.60101.00132.50 2.503-48龙门式起重机中起重量(t)512139.2157.047.8821.4452.8552.85132.50 2.503-49龙门式起重机中起重量(t)1012263.90138.689.9327.0088.2988.29132.50 2.503-50龙门式起重机大起重量(t)2012557.15305.2818.8125.96207.10207.10132.50 2.503-51龙门式起重机大起重量(t)3012742.67434.5232.1244.33231.70231.70132.50 2.503-52龙门式起重机大起重量(t)4012943.92523.4144.1260.89315.50315.50132.50 2.503-53龙门式起重机大起重量(t)50121300.17833.3753.2873.52340.00340.00132.50 2.503-54门座吊大起重量(t)30121220.26934.4138.5836.27211.00211.00132.50 2.503-55门座吊特起重量(t)60121935.271302.2166.6362.63503.80503.80132.502.503-56叉式起重机中起重量(t)312386.7160.3014.4250.04261.9526.4666.25 1.253-57叉式起重机中起重量(t)512407.0593.5717.5360.83235.1227.3466.25 1.253-58叉式起重机中起重量(t)612447.19115.1118.8865.52247.6828.8066.25 1.253-59叉式起重机大起重量(t)1012615.38154.5831.41160.21269.1831.3066.25 1.253-60塔式起重机中起重量(t)214153.1676.94 6.8927.1342.2042.20132.50 2.503-61塔式起重机大起重量(t)614420.28247.3523.8894.1054.9554.95132.50 2.503-62塔式起重机大起重量(t)814472.11277.5025.2799.5669.7869.78132.50 2.503-63塔式起重机大起重量(t)1514779.29404.9454.44214.50105.41105.41132.50 2.503-64塔式起重机大起重量(t)25141445.22953.1163.05248.41180.65180.65132.50 2.50其中 3-65塔式起重机 大 起重量(t ) 40 14 1831.63 1062.41 97.40 383.77 288.05 288.05 132.50 2.503-66塔式起重机特 起重量(t ) 6014 2739.29 1733.78 116.01 457.09 432.41 432.41 132.502.5010台班基价 折旧费 定额大修 经常修 燃料动 理费 理费 力费 安拆费 及场外 运输费养路费及车船 使用税其中折 旧 年 限三、起重机械费用组成编号机械名称机型规格型号汽油柴油煤电水木柴人工费人工9.908.60600.00 1.00 2.00 2.0053.00元元元元元元元kg kg t kw·h m3kg元工日元3-67塔式起重机特起重量(t)80143056.221832.72131.07516.43576.00576.00132.502.503-68塔式起重机特起重量(t)125144741.572852.73200.17788.67900.00900.00132.502.503-69自升式塔式起重机大起重力矩(t∙m)10014688.58387.2742.3588.94170.02170.02132.50 2.503-70自升式塔式起重机大起重力矩(t∙m)12514747.42393.4054.27113.97185.78185.78132.50 2.503-71自升式塔式起重机大起重力矩(t∙m)14514870.75464.5467.08140.88198.25198.25132.50 2.503-72自升式塔式起重机大起重力矩(t∙m)200141030.31527.6785.86180.31236.47236.47132.50 2.503-73自升式塔式起重机特起重力矩(t∙m)300141370.55746.75105.87222.33295.60295.60132.50 2.503-74自升式塔式起重机特起重力矩(t∙m)450141680.051031.19109.44229.82309.60309.60198.753.753-75电动双梁起重机中起重量(t)510141.1767.3611.7125.4036.7036.7066.25 1.253-76电动双梁起重机中起重量(t)1010234.28124.6119.5242.3547.8047.8066.25 1.253-77桅杆式起重机中起重量(t)514179.3464.36 4.9120.6018.3771.1071.10132.50 2.503-78桅杆式起重机中起重量(t)1014236.4480.76 5.4823.0318.37108.80108.80132.50 2.503-79桅杆式起重机中起重量(t)1514347.68107.477.1229.9218.37184.80184.80132.50 2.503-80桅杆式起重机大起重量(t)4014512.87135.5910.3143.3257.05266.60266.60132.50 2.503-81平台吊小起重量(t)0.75938.4910.020.40 3.24 4.9319.9019.9066.25 1.253-82少先吊小起重量(t)1932.477.900.40 3.24 4.9316.0016.0066.25 1.25其中11台班基价折旧费定额大修 经常修 燃料动理费 理费 力费 安拆费 及场外 运输费养路费及车船 使用税其中折 旧 年 限四、水平运输机械费用组成其中编号机械名称机型规格型号汽油柴油煤电水木柴人工费人工9.908.600600.000 1.000 2.000 2.00053.00定额元元元元元元kg kg t kw·h m3kg元工日元4-1载重汽车中载重量(t) 2.58371.1238.82 5.8232.65201.5620.3666.25 1.2526.024-2载重汽车中载重量(t)48453.8944.867.8443.96252.2525.4866.25 1.2538.734-3载重汽车中载重量(t)58503.7751.338.7649.17276.8332.1966.25 1.2551.434-4载重汽车中载重量(t)68532.1961.689.9655.87276.8332.1966.25 1.2561.604-5载重汽车大载重量(t)88651.7399.2120.1179.02305.2135.4966.25 1.2581.934-6载重汽车大载重量(t)108855.70160.0423.6692.97344.2640.03132.50 2.50 102.274-7载重汽车大载重量(t)128973.99190.6627.30107.28397.9246.27132.50 2.50 118.334-8载重汽车大载重量(t)1581133.69225.1731.17122.51487.9656.74132.50 2.50 134.384-9自卸汽车中载重量(t)28344.8955.40 5.4724.29170.9717.2766.25 1.2522.514-10自卸汽车中载重量(t)48555.7876.9710.5346.74310.2731.3466.25 1.2545.024-11自卸汽车中载重量(t)68648.26116.6815.8670.43311.8436.2666.25 1.2567.204-12自卸汽车大载重量(t)88763.17142.1826.1287.24352.0040.9366.25 1.2589.384-13自卸汽车大载重量(t)108946.48201.0129.95100.02371.4343.19132.50 2.50 111.574-14自卸汽车大载重量(t)1281009.60211.3030.27101.11400.6746.59132.50 2.50 133.754-15自卸汽车大载重量(t)1581294.21367.7039.59132.20455.2052.93132.50 2.50 167.024-16自卸汽车大载重量(t)2081522.65443.2051.86173.20519.4460.40132.50 2.50 202.454-17平板拖车组大载重量(t)89709.94107.7221.0556.41297.5030.05132.50 2.5094.764-18平板拖车组 大 载重量(t ) 10 9 810.24 128.24 24.56 65.81 351.45 35.50 132.50 2.50 107.68 4-19 平板拖车组 大 载重量(t ) 15 9 1103.16 206.29 30.73 145.37441.44 44.59132.50 2.50146.83 4-20 平板拖车组 大 载重量(t ) 20 9 1247.24 334.53 36.98 174.91 390.35 45.39 132.50 2.50 177.97 4-21 平板拖车组 大 载重量(t ) 25 9 1398.04 390.28 44.86 212.20 422.52 49.13 132.50 2.50 195.68 4-22平板拖车组大 载重量(t ) 3091535.88 457.19 49.29 233.13450.3852.37132.50 2.50213.3912折旧费 定额 养路费及车船 使用税其中折 旧 台班基 年 价 限大修 经常修 燃料动 理费 理费 力费 安拆费 及场外 运输费四、水平运输机械费用组成其中编号机械名称机型规格型号汽油柴油煤电水木柴人工费人工9.908.600600.000 1.000 2.000 2.00053.00定额元元元元元元kg kg t kw·h m3kg元工日元4-23平板拖车组大载重量(t)4091870.50615.5360.18284.66493.3857.37132.50 2.50 284.254-24平板拖车组大载重量(t)5092037.22652.3362.97297.84536.4762.38132.50 2.50 355.114-25平板拖车组大载重量(t)6092231.76702.5164.87306.83599.0869.66132.50 2.50 425.974-26平板拖车组大载重量(t)8092540.061226.6179.25374.83726.8784.52132.50 2.504-27平板拖车组大载重量(t)10093029.071393.8780.54511.42910.74105.90132.50 2.504-28平板拖车组大载重量(t)15094299.811984.88105.62670.711406.10163.50132.502.504-29管子拖车大载重量(t)2482020.67475.5644.39179.331053.50122.50132.50 2.50 135.394-30管子拖车大载重量(t)2782272.85642.2557.89233.871053.50122.50132.50 2.50 152.844-31管子拖车大载重量(t)3582482.40754.0368.34276.101053.50122.50132.50 2.50 197.934-32长材运输车大载重量(t)88701.12166.0016.2693.82358.7941.7266.25 1.254-33长材运输车大载重量(t)128930.61274.2820.24116.76386.8344.98132.50 2.504-34长材运输车大载重量(t)1581254.55332.5421.78125.69443.4251.56132.50 2.50 198.624-35壁板运输车大载重量(t)86710.34164.2016.5984.96312.0936.29132.50 2.504-36壁板运输车大载重量(t)1561129.85424.7521.78111.53439.2951.08132.50 2.504-37自装自卸运输车大载重量(t)68755.92115.4318.2377.84478.1748.3066.25 1.254-38自装自卸运输车大载重量(t)88857.79160.5019.1881.91529.9553.5366.25 1.254-39 机动翻斗车 小 载重量(t ) 1 6 164.44 19.62 4.62 18.15 3.94 51.86 6.03 66.25 1.25 4-40 机动翻斗车 中 载重量(t ) 1.5 6 208.42 27.95 5.33 20.93 3.94 84.029.7766.25 1.25 4-41 油罐车 中 罐容量(L ) 5000 8 560.00 87.14 10.18 51.82303.34 30.6466.251.25 41.27 4-42 油罐车 大 罐容量(L ) 8000 8 662.84 116.47 17.65 89.86 290.68 33.80 66.25 1.25 81.934-43 洒水车 中 罐容量(L ) 4000 8 552.22 81.96 12.50 53.64 296.60 29.96 66.25 1.25 41.27 4-44洒水车大 罐容量(L )80008659.87 110.86 22.12 94.91 283.80 33.0066.251.25 81.9313折旧费 定额 养路费 及车船 使用税 其中折 旧 台班基 年 价 限大修 经常修 燃料动 理费理费 力费 安拆费 及场外 运输费四、水平运输机械费用组成其中编号机械名称机型规格型号汽油柴油煤电水木柴人工费人工9.908.600600.000 1.000 2.000 2.00053.00定额元元元元元元kg kg t kw·h m3kg元工日元4-45轨道拖车头中功率(kw)3011267.15114.249.0919.0958.48 6.8066.25 1.254-46轨道平车小载重量(t)5821.0513.68 2.38 4.994-47轨道平车中载重量(t)10870.4660.64 3.17 6.65折旧费定额养路费及车船使用税其中折旧台班基年价限大修经常修燃料动理费理费力费安拆费及场外运输费14五、垂直运输机械费用组成编号机械名称机型规格型号汽油柴油煤电水木柴人工费人工9.908.60600.00 1.00 2.00 2.0053.00定额元元元元元元kg kg t kw·h m3kg元工日元5-1电动卷扬机单筒快速小牵引力(t)0.51091.87 1.84 1.19 3.19 4.7014.7014.7066.25 1.255-2电动卷扬机单筒快速小牵引力(t)110115.81 4.39 2.06 5.51 4.7032.9032.9066.25 1.255-3电动卷扬机单筒快速小牵引力(t) 1.510137.06 6.02 2.947.85 4.7049.3049.3066.25 1.255-4电动卷扬机单筒快速小牵引力(t)210159.488.21 3.609.62 4.7067.1067.1066.25 1.255-5电动卷扬机双筒快速小牵引力(t)110176.7112.18 2.20 5.88 4.7085.5085.5066.25 1.255-6电动卷扬机双筒快速小牵引力(t)310210.7825.00 4.3111.52 4.7099.0099.0066.25 1.255-7电动卷扬机双筒快速小牵引力(t)510245.8930.80 4.9413.20 4.70126.00126.0066.25 1.255-8电动卷扬机单筒慢速小牵引力(t)310128.518.57 4.2211.27 4.7033.5033.5066.25 1.255-9电动卷扬机单筒慢速小牵引力(t)510133.2110.76 4.8813.02 4.7033.6033.6066.25 1.255-10电动卷扬机单筒慢速小牵引力(t)810198.5831.30 6.0827.25 4.7063.0063.0066.25 1.255-11电动卷扬机单筒慢速中牵引力(t)1010275.60103.38 6.9831.29 4.7063.0063.0066.25 1.255-12电动卷扬机单筒慢速中牵引力(t)2010509.26164.2810.7264.0217.49186.50186.5066.25 1.255-13电动卷扬机单筒慢速中牵引力(t)3010782.70227.3011.6369.4317.49390.60390.6066.25 1.255-14电动卷扬机双筒慢速小牵引力(t)310147.5524.43 4.4812.49 4.7035.2035.2066.25 1.255-15电动卷扬机双筒慢速小牵引力(t)510171.2129.39 5.1914.48 4.7051.2051.2066.25 1.255-16电动卷扬机双筒慢速小牵引力(t)810231.2738.38 6.1145.43 4.7070.4070.4066.25 1.255-17电动卷扬机双筒慢速中牵引力(t)1010300.0099.497.0152.15 4.7070.4070.4066.25 1.255-18卷扬机带塔(H=40m)中牵引力(t)3~510177.0831.517.4520.7817.4933.6033.6066.25 1.255-19皮带运输机小水平运输距离(m)1010136.6817.74 4.6816.4313.0818.5018.5066.25 1.255-20皮带运输机小水平运输距离(m)1510144.5120.92 5.2518.4313.0820.5820.5866.25 1.255-21皮带运输机小水平运输距离(m)2010157.8125.58 5.8520.5213.0826.5326.5366.25 1.25其中 5-22皮带运输机小水平运输距离(m ) 3010172.68 27.86 7.00 24.58 13.08 33.9133.9166.25 1.2515台班基价 折旧费定额养路费及车船 使用税其中大修经常修 燃料动 理费 理费 力费 安拆费 及场外 运输费折 旧 年 限五、垂直运输机械费用组成编号机械名称机型规格型号汽油柴油煤电水木柴人工费人工9.908.60600.00 1.00 2.00 2.0053.00定额元元元元元元kg kg t kw·h m3kg元工日元5-23单笼施工电梯中提升高度(m)7512300.29129.3419.6839.3645.6645.6666.25 1.255-24单笼施工电梯中提升高度(m)10012322.68142.0022.9245.8545.6645.6666.25 1.255-25单笼施工电梯中提升高度(m)13012358.11158.5229.5944.3959.3659.3666.25 1.255-26双笼施工电梯中提升高度(m)10012431.13177.2335.2670.5381.8681.8666.25 1.255-27双笼施工电梯大提升高度(m)20012544.08195.7648.8573.28159.94159.9466.25 1.255-28电动葫芦单速小起重量(t)2840.4011.90 2.237.3718.9018.905-29电动葫芦单速小起重量(t)3848.7618.37 2.678.8218.9018.905-30电动葫芦单速小起重量(t)5868.3823.10 3.8812.8028.6028.605-31电动葫芦双速小起重量(t)108124.0540.078.6022.5352.8552.855-32电动葫芦双速小起重量(t)208195.7358.629.7825.63101.70101.705-33电动葫芦双速小起重量(t)308262.5479.7910.5527.63144.57144.57其中16台班基价 折旧费 定额养路费及车船 使用税其中大修 经常修 燃料动理费 理费 力费 安拆费 及场外 运输费折 旧 年 限六、混凝土及砂浆机械费用组成编号机械名称机型规格型号汽油柴油煤电水木柴人工费人工9.908.600600.000 1.000 2.000 2.00053.00定额元元元元元元kg kg t kw·h m3kg元工日元6-1滚筒式混凝土搅拌机电动小出料容量(L)25010121.7918.54 3.037.58 5.4820.9120.9166.25 1.256-2滚筒式混凝土搅拌机电动中出料容量(L)40010140.5833.29 3.797.39 5.4824.3824.3866.25 1.256-3滚筒式混凝土搅拌机电动中出料容量(L)50010156.1141.97 4.428.63 5.4829.3629.3666.25 1.256-4滚筒式混凝土搅拌机内燃小出料容量(L)25010153.479.19 3.759.37 5.4859.43 6.9166.25 1.256-5滚筒式混凝土搅拌机内燃中出料容量(L)50010250.5743.08 5.7311.18 5.48118.8513.8266.25 1.256-6涡浆式混凝土搅拌机小出料容量(L)25010143.2524.10 3.949.38 5.4834.1034.1066.25 1.256-7涡浆式混凝土搅拌机小出料容量(L)35010205.1034.64 6.4915.44 5.4876.8076.8066.25 1.256-8涡浆式混凝土搅拌机中出料容量(L)50010273.0360.269.8623.47 5.48107.71107.7166.25 1.256-9涡浆式混凝土搅拌机中出料容量(L)100010427.97122.2112.4729.6820.41176.95176.9566.25 1.256-10双锥反转出料混凝土搅拌机小出料容量(L)20010118.1812.47 2.937.75 5.4823.3023.3066.25 1.256-11双锥反转出料混凝土搅拌机小出料容量(L)35010147.6119.81 3.459.10 5.4843.5243.5266.25 1.256-12双锥反转出料混凝土搅拌机中出料容量(L)50010176.9935.48 5.569.18 5.4855.0455.0466.25 1.256-13双锥反转出料混凝土搅拌机中出料容量(L)75010241.0252.258.1013.3720.4180.6480.6466.25 1.256-14单卧轴式混凝土搅拌机小出料容量(L)15010134.2813.65 3.0512.31 5.4833.5433.5466.25 1.256-15单卧轴式混凝土搅拌机小出料容量(L)25010160.7424.02 3.5514.34 5.4847.1047.1066.25 1.256-16单卧轴式混凝土搅拌机小出料容量(L)35010195.8734.98 4.8919.76 5.4864.5164.5166.25 1.256-17双卧轴式混凝土搅拌机小出料容量(L)35010235.9634.13 5.1524.39 5.48100.56100.5666.25 1.256-18双卧轴式混凝土搅拌机中出料容量(L)40010248.1541.72 5.4825.95 5.48103.27103.2766.25 1.256-19双卧轴式混凝土搅拌机中出料容量(L)50010270.4851.83 5.9428.14 5.48112.84112.8466.25 1.256-20双卧轴式混凝土搅拌机中出料容量(L)80010353.9989.3411.0131.5020.41135.48135.4866.25 1.25其中 6-21 双卧轴式混凝土搅拌机 中 出料容量(L ) 1000 10 416.92 126.42 13.55 38.74 20.41 151.55 151.55 66.25 1.25 6-22双卧轴式混凝土搅拌机中出料容量(L )150010 491.86 161.82 14.90 42.62 20.41 185.86 185.86 66.251.2517台班基价(含机上 折旧费 人工) 定额养路费及车船 使用税其中大修 经常修 燃料动理费 理费 力费 安拆费 及场外 运输费 折 旧 年 限。
总说明第一章土、石方工程第二章地基处理及边坡支护工程第三章桩基工程第四章砌筑工程第五章钢筋工程第六章混凝土工程第七章金属结构工程第八章构件运输及安装工程第九章木结构工程第十章屋面及防水工程第十一章保温、隔热、防腐工程第十二章厂区道路及排水工程第十三章楼地面工程第十四章墙柱面工程第十五章天棚工程第十六章门窗工程第十七章油漆、涂料、裱糊工程第十八章其它零星工程第十九章建筑物超高增加费用第二十章脚手架第二十一章模板工程第二十二章施工排水、降水第二十三章建筑工程垂直运输第二十四章场内二次搬运附录说明附录一混凝土及钢筋混凝土构件模板、钢筋含表附录二机械台班预算单价取定表(1)单项机械台班预算单价取定表附录二机械台班预算单价取定表(2)综合机械台班预算单价取定表附录三混凝土、特种混凝土配合比表(一)普通混凝土附录三混凝土、特种混凝土配合比表(二)防水凝土附录三混凝土、特种混凝土配合比表(三)现场集中搅拌混凝土附录三混凝土、特种混凝土配合比表(四)特种凝土附录四砌筑砂浆、抹灰砂浆、其它砂浆配合比表附录五防腐耐酸砂浆配合比表附录六主要建筑材料预算价格取定表附录七抹灰分层厚度及砂浆种类表附录八主要材料、半成品损耗率取定表附录九常用钢材理论重量及形体公式计算表(一型钢理论重量附录九常用钢材理论重量及形体公式计算表(二)砖砌大方脚折加高度表附录九常用钢材理论重量及形体公式计算表(三形体计算公式总说明一、为了贯彻执行住房和城乡建设部《建设工程工程量清单计价规范》(GB 50500—2013)以及《房屋建筑与装饰工程工程量计算规范》(GB 50854—2013),适应江苏省建设工程市场计价的需要,为工程建设各方提供计价依据,省住房和城乡建设厅组织有关人员对《江苏省建筑与装饰工程计价表》进行了修订,形成了《江苏省建筑与装饰工程计价定额》(2014年)(以下简称本定额)。
本定额共分上下两册。
二、本定额适用于江苏省行政区域范围内一般工业与民用建筑的新建、扩建、改建工程及其单独装饰工程。
说明一、《湖南省施工机械台班费用组成》是根据《全国统一施工机械台班费用编制规则》和参照有关部、省颁发的机械台班费用定额,结合湖南省的现行规定而编制的。
二、施工机械台班费用组成包括下列内容。
1.折旧费:指施工机械在规定的使用期限内陆续回收其原值的费用。
计算折旧费时,考虑了机械设备购置手续费、一次运杂费和购置时应缴纳的各种税费,扣除了机械设备的残值,同时考虑了购置机械设备资金的时间价值系数。
2.大修理费:指机械设备在规定的耐用总台班中应进行的大修理,以恢复其正常功能所需的费用。
3.经常修理费:指机械设备的各级保养及临时故障排除所需的费用;为保障机械正常运转所需替换设备,随机使用工具附具摊销和维护费用;机械运转与日常保养所需的润滑油脂、擦拭材料(布及棉纱头等)和机械停滞期间的维护保养费用等。
4.安拆费及场外运费:指机械设备在施工现场进行安装、拆卸所需的人工、材料、机械费、试运转及安装所需要的辅助设备的费用;机械整体或分件自施工企业停放场地运至施工现场或甲工地运至乙工地,运距在25km以内一次进出场运杂费(包括装卸、运输及辅助材料费)。
5.机械管理费:指施工机械规定的年工作台班以外的管理费用。
6.其他费用:指施工机械按国家有关规定应缴纳的车船使用税、车检费、牌照工本费等。
7.人工:指机上司机、司炉及其他操作人员的工日。
8.燃料动力:指机械在施工作业时运转所耗用的电力、燃料(柴油、汽油、煤、木柴)和水等。
三、每台班按8小时工作制计算。
四、盾构掘进机械台班费用组成中未包括安拆费、场外运费、人工、燃料动力的消耗。
顶管设备台班费用组成中未包括人工的消耗。
五、单独计算的项目的有关说明。
1.轨道安装拆卸项目中以直线型为准。
其中枕木和轨道的消耗量为摊销量。
2.固定式基础按建筑工程消耗量标准(基价表)相应项目执行。
3.机械场外运输为25km以内的机械进出场费用,包括机械的回程费用。
4.机械场外运输未列汽车式钻孔机、轮胎式装栽机、自行式铲运机和汽车式起重机等能自行的特、大型的机械,其进出场费用按本机台班0.5台班计算。
总说明第一章土、石方工程第二章地基处理及边坡支护工程第三章桩基工程第四章砌筑工程第五章钢筋工程第六章混凝土工程第七章金属结构工程第八章构件运输及安装工程第九章木结构工程第十章屋面及防水工程第十一章保温、隔热、防腐工程第十二章厂区道路及排水工程第十三章楼地面工程第十四章墙柱面工程第十五章天棚工程第十六章门窗工程第十七章油漆、涂料、裱糊工程第十八章其它零星工程第十九章建筑物超高增加费用第二十章脚手架第二十一章模板工程第二十二章施工排水、降水第二十三章建筑工程垂直运输第二十四章场内二次搬运附录说明附录一混凝土及钢筋混凝土构件模板、钢筋含表附录二机械台班预算单价取定表(1)单项机械台班预算单价取定表附录二机械台班预算单价取定表(2)综合机械台班预算单价取定表附录三混凝土、特种混凝土配合比表(一)普通混凝土附录三混凝土、特种混凝土配合比表(二)防水凝土附录三混凝土、特种混凝土配合比表(三)现场集中搅拌混凝土附录三混凝土、特种混凝土配合比表(四)特种凝土附录四砌筑砂浆、抹灰砂浆、其它砂浆配合比表附录五防腐耐酸砂浆配合比表附录六主要建筑材料预算价格取定表附录七抹灰分层厚度及砂浆种类表附录八主要材料、半成品损耗率取定表附录九常用钢材理论重量及形体公式计算表(一型钢理论重量附录九常用钢材理论重量及形体公式计算表(二)砖砌大方脚折加高度表附录九常用钢材理论重量及形体公式计算表(三形体计算公式总说明一、为了贯彻执行住房和城乡建设部《建设工程工程量清单计价规范》(GB 50500—2013)以及《房屋建筑与装饰工程工程量计算规范》(GB 50854—2013),适应江苏省建设工程市场计价的需要,为工程建设各方提供计价依据,省住房和城乡建设厅组织有关人员对《江苏省建筑与装饰工程计价表》进行了修订,形成了《江苏省建筑与装饰工程计价定额》(2014年)(以下简称本定额)。
本定额共分上下两册。
二、本定额适用于江苏省行政区域范围内一般工业与民用建筑的新建、扩建、改建工程及其单独装饰工程。
一、编制说明1.根据住房城乡建设部、财政部《建筑安装工程费用项目组成》(建标[2013]44号)、国家标准《建设工程工程量清单计价规范》(GB50500-2013)、《建筑业企业资质管理规定》(建设部令第159号)、《建筑业企业资质等级标准》(建建[2001]82号)和《施工总承包企业特级资质标准》(建市[2007]72号)的规定,结合我省实际,制定了《吉林省建设工程费用定额》(以下简称“本费用定额”)。
2.本费用定额是编制建设工程投资估算、设计概算、施工图预算、竣工结算的依据;是工程计价、编制招标控制价的依据;是调解处理工程造价纠纷、鉴定工程造价的依据;是编制投资估算指标、概算指标(定额)的基础;是投标报价和衡量投标报价合理性的基础。
3.本费用定额与《吉林省建筑工程计价定额》(JLJD-JZ-2014)、《吉林省装饰工程计价定额》(JLJD-ZS-2014) 、《吉林省安装工程计价定额》(JLJD-AZ-2014)及《吉林省市政工程计价定额》(JLJD-SZ-2014)配套使用。
4.本费用定额适用于建筑、装饰、安装、市政等工程。
各类工程定义、承包范围见《建筑业企业资质等级标准》(建建[2001]82号)。
二、建筑安装工程费用项目组成根据建设部、财政部《建筑安装工程费用项目组成》建标[2013]44号)规定,结合我省实际,建筑安装工程费用由人工费、材料(包含工程设备,下同)费、施工机具使用费、企业管理费、利润、规费和税金组成。
(一)人工费:是指按工资总额构成规定,支付给从事建筑安装工程施工的生产工人和附属生产单位工人的各项费用。
内容包括:1.计时工资或计件工资:是指按计时工资标准和工作时间或对已做工作按计件单价支付给个人的劳动报酬。
2.奖金:是指对超额劳动和增收节支支付给个人的劳动报酬。
如节约奖、劳动竞赛奖等。
3.津贴补贴:是指为了补偿职工特殊或额外的劳动消耗和其他特殊原因支付给个人的津贴,以及为了保证职工工资水平不受物价影响支付给个人的物价补贴。
一、编制说明1.根据住房城乡建设部、财政部“关于印发《建筑安装工程费用项目组成》(建建标[2013]44号)、国家标准《建设工程工程量清单计价规范》(GB50500-2013)、《建筑业企业资质管理规定》建设部令第159号)、《建筑业企业资质等级标准》(建建[2001]82号)和《施工总承包企业特级资质标准》(建市[2007]72号)的规定,结合我省实际,制定了《吉林省建设工程费用定额》(以下简称“本费用定额”)。
2.本费用定额是编制建设工程投资估算、设计概算、施工图预算、竣工结算的依据;是工程计价、编制招投标控制价的依据;是调解处理工程造价纠纷、鉴定工程造价的依据;是编制投资估算指标、概算指标(定额)的基础;是投标报价和衡量投标报价合理性的基础。
3.本费用定额与《吉林省建筑工程计价定额》(JLJD-JZ-2014)、《吉林省装饰工程计价定额》(JLJD-ZS-2014) 、《吉林省安装工程计价定额》(JLJD-AZ-2014)及《吉林省市政工程计价定额》(JLJD-SZ-2014)配套使用。
4.本费用定额适用于建筑、装饰、安装、市政等工程。
各类工程定义、承包范围见《建筑业企业资质等级标准》(建建[2001]82号)二、建筑安装工程费用项目组成根据建设部、财政部《建筑安装工程费用项目组成》(建标[2013]4号)规定,结合我省实际,建筑安装工程费用由人工费、材料(包含工程设备,下同)费、施工机具使用费、企业管理费、利润、规费和税金组成。
(一)、人工费:是指按工资总额构成规定,支付给从事建筑安装工程施工的生产工人和附属生产单位工人的各项费用。
内容包括:1.计时工资或计件工资:是指按计时工资标准和工作时间或对已做工作按计件单价支付给个人的劳动报酬。
2.奖金:是指对超额劳动和增收节支支付给个人的劳动报酬。
如节约奖、劳动竞赛奖等。
3.津贴补贴:是指为了补贴职工特殊或额外的劳动消耗和其他特殊原因支付给个人的津贴,以及为了·保证职工工资水平不受物价影响支付给个人的物价津贴。
江苏省建设工程费用定额(2014年)江苏省住房和城乡建设厅江苏省住房和城乡建设厅文件苏建价〔2014〕299号省住房城乡建设厅关于颁发《江苏省建设工程费用定额》的通知各省辖市建设局(委)、省有关厅、局:根据住房和城乡建设部《建设工程工程量清单计价规范》(GB50500-2013)及其9本计算规范、《建筑安装工程费用项目组成》(建标〔2013〕44号),我厅组织编制了《江苏省建设工程费用定额》(2014年),现予颁发。
本定额自2014年7月1日起在全省范围内施行,原建设工程各专业费用定额同时停止执行。
由江苏省建设工程造价管理总站负责解释和管理。
江苏省住房和城乡建设厅2014年6月18日抄送:住房和城乡建设部、省人民政府。
目录一、 总则二、 建设工程费用的组成三、 工程类别的划分(一) 建筑工程类别划分及说明(二) 单独装饰工程类别划分及说明(三) 安装工程类别划分及说明(四) 市政工程类别划分及说明(五) 仿古建筑及园林绿化工程类别划分及说明(六) 房屋修缮工程类别划分及说明(七) 城市轨道交通工程类别划分及说明(八) 各专业工程交叉时的类别划分及说明四、 工程费用取费标准及有关规定(一) 企业管理费、利润取费标准及规定(二) 措施项目取费标准及规定(三) 其他项目取费标准及规定(四) 规费取费标准及有关规定(五) 税金计算标准及有关规定五、 工程造价计算程序一、总 则(一)为了规范建设工程计价行为,合理确定和有效控制工程造价,根据《建设工程工程量清单计价规范》(GB50500-2013)及其9本计算规范和《建筑安装工程费用项目组成》(建标〔2013〕44号)等有关规定,结合江苏省实际情况,江苏省住房和城乡建设厅组织编制了《江苏省建设工程费用定额》(以下简称本定额)。
(二)本定额是建设工程编制设计概算、施工图预(结)算、最高投标限价(招标控制价)、标底以及调解处理工程造价纠纷的依据;是确定投标价、工程结算审核的指导;也可作为企业内部核算和制订企业定额的参考。
其中台班基价 折旧费 定额 3 3 3 3 一、土石方及筑路机械费用组成编号机械名称机型规格型号汽油 柴油 煤 电 水 木柴 人工费 人工9.90 8.60 600.00 1.000 2.002.00 53.00定额元 元 元 元 元 元 kgkg tkw·hm3kg元 工日 元1-1 松土机 大 松土深度(m ) 0.5 13 954.40 189.58 42.86 122.14 467.32 54.34 132.50 2.50 1-2 松土机 大 松土深度(m ) 1 13 987.14 193.41 50.37 143.54 467.32 54.34 132.50 2.50 1-3 除荆机 大 清除宽度(m ) 4 13 953.74 182.36 44.22 127.34 467.32 54.34 132.50 2.50 1-4 除根机 大 清除宽度(m ) 1.5 13 944.63 177.07 43.23 124.51 467.32 54.34 132.50 2.50 1-5 履带式推土机 中 功率(Kw ) 50 11 502.91 45.56 17.61 45.80 261.44 30.40 132.50 2.50 1-6 履带式推土机 中 功率(Kw ) 55 11 552.32 46.59 19.44 50.55 303.24 35.26 132.50 2.50 1-7 履带式推土机 中 功率(Kw ) 60 11 611.30 48.54 21.57 56.09 352.60 41.00 132.50 2.50 1-8 履带式推土机 大 功率(Kw ) 75 11 867.29 139.90 36.2794.31464.31 53.99 132.50 2.50 1-9 履带式推土机 大 功率(Kw ) 90 11 973.69 179.98 42.70 111.02 507.49 59.01 132.50 2.50 1-10 履带式推土机 大 功率(Kw ) 105 11 1001.58 199.70 44.73 116.30 508.35 59.11 132.50 2.50 1-11 履带式推土机 大 功率(Kw ) 135 11 1329.64 353.7278.53 204.17560.72 65.20 132.50 2.50 1-12 履带式推土机 大 功率(Kw ) 165 11 1553.60 421.56 107.35 279.10 613.09 71.29 132.50 2.50 1-13 履带式推土机 特 功率(Kw ) 240 11 2019.71 606.73 178.21 358.20 744.07 86.52 132.50 2.50 1-14 履带式推土机 特 功率(Kw ) 313 11 2266.22 708.49 228.50 422.73774.00 90.00 132.50 2.50 1-15 湿地推土机 大 功率(Kw ) 105 11 931.54 211.82 44.94 110.56 431.72 50.20 132.50 2.50 1-16 湿地推土机 大 功率(Kw ) 135 11 1290.87 356.84 78.72 193.65529.16 61.53 132.50 2.50 1-17 湿地推土机 大 功率(Kw ) 165 11 1510.98 422.95 107.52264.50 583.51 67.85 132.50 2.50 1-18 轮胎式推土机 大功率(Kw )150 11 1524.74 294.19 52.33 183.14 862.58 100.30 132.50 2.50 1-19 自行式铲运机 单引擎 中 斗容量(m ) 3 12 800.15 189.50 48.56 130.14 299.45 34.82 132.50 2.50 1-20 自行式铲运机 单引擎 大 斗容量(m ) 4 12 900.55 281.11 50.95 136.54 299.45 34.82 132.50 2.50 1-21 自行式铲运机 单引擎 大 斗容量(m ) 6 12 1010.11 299.63 53.84 144.28 379.86 44.17 132.50 2.50 1-22自行式铲运机单引擎大斗容量(m )8121144.08324.0458.46 156.68472.4054.93132.502.50养路费及车船使用税其中折 旧 年限 大修 经常修 燃料动理费 理费 力费 安拆费 及场外运输费其中台班基价 折旧费 定额 养路费及车船使用税其中折 旧 年限 大修 经常修 燃料动理费 理费 力费 安拆费 及场外运输费3 3 3 3 3 3 3 3 3 3 3 3 3 3 一、土石方及筑路机械费用组成编号机械名称机型规格型号汽油 柴油 煤 电 水 木柴 人工费 人工9.90 8.60 600.00 1.000 2.002.00 53.00定额元 元 元 元 元 元 kgkg tkw·hm3kg元 工日 元1-23 自行式铲运机 单引擎 大 斗容量(m ) 10 12 1255.76 332.46 62.22 166.74 561.84 65.33 132.50 2.50 1-24 自行式铲运机 单引擎 大 斗容量(m ) 12 12 1455.24 438.5177.84 208.60597.79 69.51 132.50 2.50 1-25 自行式铲运机 双引擎 大 斗容量(m ) 12 12 2373.35 531.93 166.65 446.63 1095.64 127.40 132.50 2.50 1-26 自行式铲运机 双引擎大 斗容量(m ) 23 12 3683.71 1474.59 239.42641.63 1195.57 139.02 132.50 2.50 1-27 拖式铲运机 中 斗容量(m ) 3 3 593.87 37.90 28.3993.39 301.69 35.08 132.50 2.50 1-28 拖式铲运机 大 斗容量(m ) 8 8 1011.08 130.4656.03 184.35507.74 59.04 132.50 2.50 1-29 拖式铲运机 大 斗容量(m ) 10 10 1252.11 151.50 112.32 262.82 592.97 68.95 132.50 2.50 1-30 拖式铲运机 大 斗容量(m )12 12 1431.19 178.85 142.58 333.64 643.62 74.84 132.50 2.50 1-31 平地机 大 功率(Kw ) 75 11 613.41 155.75 25.5788.20211.39 24.58 132.50 2.50 1-32 平地机 大 功率(Kw ) 90 11 741.09 170.98 29.85 102.98 304.78 35.44 132.50 2.50 1-33 平地机 大 功率(Kw ) 120 11 1026.87 256.12 37.19 128.32 472.74 54.97 132.50 2.50 1-34 平地机 大 功率(Kw ) 135 11 1194.94 287.27 57.02 196.73 521.42 60.63 132.50 2.50 1-35 平地机 大 功率(Kw ) 150 11 1373.10 322.5774.90 258.42584.71 67.99 132.50 2.50 1-36 平地机 大 功率(Kw ) 180 11 1666.01 380.72 101.10 348.81 702.88 81.73 132.50 2.50 1-37 平地机 大 功率(Kw )220 11 2103.33 503.93 141.06 486.65 839.19 97.58 132.50 2.50 1-38 轮胎式装载机 中 斗容量(m ) 1 12 714.85 91.60 22.70 80.82 453.48 52.73 66.25 1.25 1-39 轮胎式装载机 大 斗容量(m ) 1.5 12 792.86 107.69 24.9388.74505.25 58.75 66.25 1.25 1-40 轮胎式装载机 大 斗容量(m ) 2 12 917.01 151.44 30.36 108.07 560.89 65.22 66.25 1.25 1-41 轮胎式装载机 大 斗容量(m ) 2.5 12 1043.72 176.69 33.95 120.88 645.95 75.11 66.25 1.25 1-42 轮胎式装载机 大 斗容量(m ) 3 12 1222.49 193.51 39.23 139.67 717.58 83.44 132.50 2.50 1-43 轮胎式装载机 大 斗容量(m )4.5 12 1408.11 249.60 50.46 179.62 795.93 92.55 132.50 2.50 1-44履带式拖拉机中功率(Kw )5514576.7739.1916.2043.42345.4640.17132.502.50其中台班基价 折旧费 定额 养路费及车船使用税其中折 旧 年限 大修 经常修 燃料动理费 理费 力费 安拆费 及场外运输费3 3 3 3 3 3 3 3 3 3 3 3 一、土石方及筑路机械费用组成编号机械名称机型规格型号汽油 柴油 煤 电 水 木柴 人工费 人工9.90 8.60 600.00 1.000 2.002.00 53.00定额元 元 元 元 元 元 kgkg tkw·hm3kg元 工日 元1-45 履带式拖拉机 中 功率(Kw ) 60 14 629.37 45.85 19.97 53.51 377.54 43.90 132.50 2.50 1-46 履带式拖拉机 大 功率(Kw ) 75 11 829.87 107.29 33.3689.40467.32 54.34 132.50 2.50 1-47 履带式拖拉机 大 功率(Kw ) 90 11 966.49 180.67 39.63 106.20 507.49 59.01 132.50 2.50 1-48 履带式拖拉机 大 功率(Kw ) 105 11 1102.16 199.98 41.36 110.84 617.48 71.80 132.50 2.50 1-49 履带式拖拉机 大 功率(Kw ) 120 11 1265.01 239.16 55.71 149.30 688.34 80.04 132.50 2.50 1-50 履带式拖拉机 大 功率(Kw ) 135 11 1418.56 262.70 72.67 194.75 755.94 87.90 132.50 2.50 1-51 轮胎式拖拉机 中 功率(Kw ) 21 7 270.32 20.38 10.67 22.52 150.50 17.50 66.25 1.25 1-52 轮胎式拖拉机 中 功率(Kw ) 41 7 468.83 36.21 23.23 49.02 294.12 34.20 66.25 1.25 1-53 手扶式拖拉机 小 功率(Kw )9 7 161.93 6.49 3.828.0677.31 8.99 66.25 1.25 1-54 履带式单斗挖掘机 液压 大 斗容量(m ) 0.6 12 750.31 172.96 47.90 107.30 289.65 33.68 132.50 2.50 1-55 履带式单斗挖掘机 液压 大 斗容量(m ) 0.8 12 992.79 254.00 56.05 118.26 431.98 50.23 132.50 2.50 1-56 履带式单斗挖掘机 液压 大 斗容量(m ) 1 12 1143.72 281.21 60.52 127.69 541.80 63.00 132.50 2.50 1-57 履带式单斗挖掘机 液压 大 斗容量(m ) 1.25 12 1347.32 309.64 74.70 157.62 672.86 78.24 132.50 2.50 1-58 履带式单斗挖掘机 液压 大 斗容量(m ) 1.6 12 1633.35 357.4187.35 184.31871.78 101.37 132.50 2.50 1-59 履带式单斗挖掘机 液压 大 斗容量(m ) 1.8 12 1829.15 373.44 101.16 213.44 1008.61 117.28 132.50 2.50 1-60 履带式单斗挖掘机 液压 大 斗容量(m ) 2 12 1632.14 386.74 122.00 257.41733.49 85.29 132.50 2.50 1-61 履带式单斗挖掘机 机械 大 斗容量(m ) 1 12 1004.78 287.26 43.22 120.14 421.66 49.03 132.50 2.50 1-62 履带式单斗挖掘机 机械 大 斗容量(m ) 1.5 12 1389.77 308.43 85.61 238.01 625.22 72.70 132.50 2.50 1-63 轮胎式挖掘装载机 中 斗容量(m ) 0.2 12 469.54 70.39 19.92 53.00 259.98 30.23 66.25 1.25 1-64 轮胎式挖掘装载机 大 斗容量(m ) 0.4 12 526.44 81.61 32.40 86.20 259.98 30.23 66.25 1.25 1-65 轮胎式挖掘装载机 大 斗容量(m )0.6 12 549.37 94.79 35.07 93.28 259.9830.2366.251.251-66拖式羊角碾单筒小不加载重量(t )31315.457.021.237.204.93其中台班基价 折旧费 定额 养路费及车船使用税其中折 旧 年限 大修 经常修 燃料动理费 理费 力费 安拆费 及场外运输费3 3 3 一、土石方及筑路机械费用组成编号机械名称机型规格型号汽油 柴油 煤 电 水 木柴 人工费 人工9.90 8.60 600.00 1.000 2.002.00 53.00定额元 元 元 元 元 元 kgkg tkw·hm3kg元 工日 元1-67 拖式羊角碾双筒小 不加载重量(t ) 6 13 26.36 12.45 2.03 11.88 9.811-68 光轮压路机(内燃) 大 不加载重量(t ) 6 11 290.45 65.76 12.71 40.81 104.92 12.20 66.25 1.25 1-69 光轮压路机(内燃) 大 不加载重量(t ) 8 11 373.98 72.68 15.41 49.45 170.19 19.79 66.25 1.25 1-70 光轮压路机(内燃) 大 不加载重量(t ) 12 11 508.18 87.77 18.57 59.62 275.97 32.09 66.25 1.25 1-71 光轮压路机(内燃) 大 不加载重量(t ) 15 11 611.47 93.80 19.49 62.56 369.37 42.95 66.25 1.25 1-72 光轮压路机(内燃) 大 不加载重量(t ) 18 11 1019.50 104.52 20.9567.25694.28 80.73 132.50 2.50 1-73 振动压路机 大 重量(t ) 8 11 607.77 122.69 35.52 109.40 273.91 31.85 66.25 1.25 1-74 振动压路机 大 重量(t ) 12 11 881.72 145.92 39.74 122.41 507.40 59.00 66.25 1.25 1-75 振动压路机 大 重量(t ) 15 11 1140.56 159.71 42.26 130.16 742.1886.30 66.25 1.25 1-76 手扶振动压实机 小 重量(t ) 1 8 161.59 23.45 4.69 18.09 1.9949.11 5.71 66.25 1.25 1-77 轮胎压路机 大不加载重量(t ) 911 494.64 60.57 22.01 87.81 258.00 30.0066.251.251-78 夯实机 电动 小 夯击能力(kg·m )20~62 6 28.40 5.45 1.13 5.22 2.49 16.60 16.601-79 夯实机 内燃 小 夯足直径(mm ) φ2656 34.50 4.98 2.18 10.14 2.49 17.20 2.001-80 装岩机 风力 小 斗容量(m ) 0.12 12 175.32 24.36 6.03 12.43 10.90 132.502.50 1-81 装岩机 电力 中 斗容量(m ) 0.2 12 247.08 29.71 8.36 14.21 10.90 62.3062.30 132.50 2.50 1-82 装岩机 电力大 斗容量(m )0.612 365.11 45.40 14.40 24.48 10.90 148.33148.33132.502.501-83 风动凿岩机 小 气腿式 7 13.26 3.77 1.18 8.31 1.99 1-84 风动凿岩机 小 手持式 7 10.09 2.77 0.91 6.41 1.99 1-85 凿岩钻车 中 轮胎式 12 279.85 96.17 17.83 33.35 10.90 132.50 2.50 1-86 凿岩钻车 中 履带式 12362.56 152.99 28.33 48.74 10.90 132.502.50 1-87 汽车式沥青喷洒机 大 箱容量(L ) 4000 11 654.89 159.21 44.7075.55309.18 31.2366.25 1.25 1-88汽车式沥青喷洒机大箱容量(L )750011883.00290.7367.57 114.19344.2640.0366.251.25其中一、土石方及筑路机械费用组成编号机械名称机型规格型号汽油 柴油 煤 电 水 木柴 人工费 人工 9.90 8.60 600.00 1.000 2.002.00 53.00定额元 元 元 元 元元 kg kgtkw·hm3kg元 工日 元1-89 沥青混凝土摊铺机 大 载重量(t ) 4 12 661.43 113.10 35.91 70.74 309.18 31.23132.50 2.50 1-90 沥青混凝土摊铺机 大 载重量(t ) 6 12 689.63 172.30 41.4081.56261.87 30.45 132.50 2.50 1-91 沥青混凝土摊铺机 大 载重量(t ) 8 12 977.74 237.69 66.34 130.70 344.26 40.03 198.75 3.75 1-92 沥青混凝土摊铺机大载重量(t ) 12 12 1165.69 251.83 66.93 131.84 516.34 60.04 198.75 3.75 1-93 沥青混凝土摊铺机(带自动找平) 大 载重量(t ) 8 12 1613.19 744.00 88.54 108.90473.00 55.00 198.75 3.75 1-94 沥青混凝土摊铺机(带自动找平) 大 载重量(t )1212 2647.04 1247.65 156.61192.63 851.40 99.00 198.75 3.75 1-95 内燃凿岩机 小 YN30A 4 265.30 5.67 2.0814.97 1.49 110.0812.80 132.50 2.50 1-96 强夯机械 大 夯击能力(tm ) 120 8 1050.91 455.47 55.44 125.85 281.65 32.75 132.50 2.50 1-97 强夯机械 大 夯击能力(tm ) 200 8 1724.03 972.46 76.86 174.47367.74 42.76 132.50 2.50 1-98 强夯机械 大 夯击能力(tm ) 300 8 2006.94 1039.65 109.93249.54 475.32 55.27 132.50 2.50 1-99灰土拌合机大 功率(Kw ) 90 11 803.89 13.81 42.40 107.69 507.49 59.01 132.50 2.50 1-100 灰土拌合机 大 功率(Kw ) 105 11 960.21 161.98 44.46 112.92 508.35 59.11 132.50 2.50 1-101 灰土拌合机 大 功率(Kw ) 135 11 1277.86 331.92 78.80 200.15 534.49 62.15132.50 2.50 1-102 颚式破碎机 小 进料口(mm ) 250×400 9 192.43 27.25 2.59 35.14 61.20 61.20 66.25 1.25 1-103 颚式破碎机 小 进料口(mm ) 250×500 9 225.29 38.93 3.31 44.80 72.00 72.00 66.25 1.25 1-104 颚式破碎机 中 进料口(mm ) 400×600 9 300.28 66.18 4.11 55.74 108.00 108.00 66.25 1.25 1-105 颚式破碎机 中 进料口(mm ) 500×750 9 514.56 154.25 6.60 89.46 198.00 198.00 66.25 1.25 1-106 颚式破碎机 中 进料口(mm ) 600×900 9 701.70 231.62 7.96 107.87288.00 288.0066.25 1.25 1-107 颚式破碎机(机动)小进料口(mm )250×440 9375.5159.365.4774.15170.2819.80 66.251.25台班基价 折旧费 定额 养路费及车船使用税其中折 旧 年限 大修 经常修 燃料动理费 理费 力费 安拆费 及场外运输费其中二、打桩机械费用组成编号机械名称机型规格型号汽油 柴油 煤 电 水 木柴 人工费 人工 9.90 8.600 600.000 1.000 2.000 2.00053.00定额元 元 元元 元元 kgkg tkw·hm3kg元 工日 元2-1 履带式柴油打桩机 大 锤重(t ) 2.5 12 1433.02 436.1295.60 387.22381.58 44.37 132.50 2.50 2-2 履带式柴油打桩机 大 锤重(t ) 3.5 12 2178.27764.04 166.06703.39 412.28 47.94 132.50 2.50 2-3 履带式柴油打桩机 大 锤重(t ) 5 12 3457.72 1664.95 285.06911.41463.80 53.93 132.50 2.50 2-4 履带式柴油打桩机 特 锤重(t ) 7 12 4175.49 1863.33 400.22 1285.80 493.64 57.40 132.50 2.50 2-5 履带式柴油打桩机 特 锤重(t ) 8 12 4465.22 1928.39 440.47 1455.26 508.60 59.14 132.50 2.50 2-6 轨道式柴油打桩机 中 锤重(t ) 0.6 12 483.22 60.66 47.42 128.84 113.80 9.00 36.40 132.50 2.50 2-7 轨道式柴油打桩机 大 锤重(t ) 1.2 12 821.70 171.34 56.15 145.43 316.28 28.80 68.60 132.50 2.50 2-8 轨道式柴油打桩机 大 锤重(t ) 1.8 12 991.59 206.35 62.33 205.17 385.24 33.40 98.00 132.50 2.50 2-9 轨道式柴油打桩机 大 锤重(t ) 2.5 12 1459.08 384.3669.40 350.92521.90 46.50 122.00 132.50 2.50 2-10 轨道式柴油打桩机 大 锤重(t ) 3.5 12 2082.84 533.62 119.49 636.89 660.34 56.90 171.00 132.50 2.50 2-11 轨道式柴油打桩机 大 锤重(t ) 4 12 2282.38 578.53 133.95 713.36 724.04 61.70 193.42 132.50 2.50 2-12 导杆式柴油打桩机 中 锤重(t ) 1.5 12 543.30 89.58 13.86 72.08 235.28 22.30 43.50 132.50 2.50 2-13 震动打拔桩机 大 激震力(t ) 30 9 954.07 461.48 12.16 66.74 281.19 17.43 131.29 132.50 2.50 2-14 震动打拔桩机 大 激震力(t ) 40 9 1231.86 586.24 17.1894.30401.64 24.90 187.50 132.50 2.50 2-15 震动打拔桩机 大 激震力(t ) 50 9 1514.05 741.94 21.19 116.32 502.10 31.13 234.38 132.50 2.50 2-16 震动打拔桩机 大 激震力(t ) 60 9 1779.28 880.7625.20 138.36602.46 37.35281.25 132.50 2.50 2-17 静力压桩机(液压) 大 压力(t ) 90 11 1473.68 583.00 142.69 523.68 91.81 91.81 132.50 2.50 2-18 静力压桩机(液压) 大 压力(t ) 120 11 1913.85 815.28 180.48 662.34 123.25 123.25 132.50 2.50 2-19 静力压桩机(液压) 大 压力(t ) 160 11 2457.54998.33 233.53959.82133.36 133.36 132.50 2.50 2-20 静力压桩机(液压) 大 压力(t ) 200 11 3643.72 1427.51 276.90 1138.07 668.74 77.76 132.50 2.50 2-21 静力压桩机(液压) 大 压力(t ) 300 11 4602.16 1811.30 376.75 1548.46 733.15 85.25 132.50 2.50 2-22静力压桩机(液压)大压力(t )400115460.32 2168.95 456.19 1874.93827.7596.25 132.502.50台班基价 折旧费 定额 大修 经常修 燃料动理费 理费 力费 安拆费 及场外运输费养路费及车船使用税 其中折 旧 年限其中二、打桩机械费用组成编号机械名称机型规格型号汽油 柴油 煤 电 水 木柴 人工费 人工 9.90 8.600 600.000 1.000 2.000 2.00053.00定额元 元 元 元 元元 kg kgtkw·h m3kg元 工日 元2-23 汽车式钻孔机 大 孔径(mm ) φ400 11 921.25 149.17 23.6665.06550.86 47.4081.60 132.50 2.50 2-24 汽车式钻孔机 大 孔径(mm ) φ1000 11 927.04 223.93 41.42 113.91 415.28 38.80 81.60 132.50 2.50 2-25 汽车式钻孔机 大 孔径(mm ) φ2000 11 1328.85 295.58 44.15 121.42 735.20 76.00 81.60 132.50 2.50 2-26 潜水钻机 大 孔径(mm ) φ800 11 457.11 79.61 16.95 45.61 182.44 182.44 132.50 2.50 2-27 潜水钻机 大 孔径(mm ) φ1250 11 516.29 107.29 25.49 68.57 182.44 182.44 132.50 2.50 2-28 潜水钻机 大 孔径(mm ) φ1500 11 622.37 158.17 30.56 82.21 218.93 218.93 132.50 2.50 2-29 工程钻机 中 孔径(mm ) φ500 7 510.56 198.61 18.17 37.80 123.48 123.48 132.50 2.50 2-30 工程钻机 大 孔径(mm ) φ800 7 647.51 308.36 20.91 43.49 142.25 142.25 132.50 2.50 2-31 工程钻机 大 孔径(mm ) φ1500 7 707.18 308.36 24.55 51.05 190.72 190.72 132.50 2.50 2-32 螺旋钻机 中 孔径(mm ) φ400 7 545.70 243.27 6.39 40.06 123.48 123.48 132.50 2.50 2-33 螺旋钻机 中 孔径(mm ) φ600 7 652.86 285.81 7.33 45.95 181.27 181.27 132.50 2.50 2-34 螺旋钻机 中 孔径(mm ) φ800 7 878.55 444.69 8.76 54.95 237.65 237.65 132.50 2.50 2-35 短螺旋履带钻孔机 大 孔径(mm )φ120011 1553.72 652.89 114.36219.57 434.40 34.00 142.00 132.50 2.50 2-36 冲击钻孔机 中 乌克斯 11 387.65149.8721.76 43.52 40.00 40.00132.50 2.50 2-37 锚杆钻孔机 大 DHR80A 11 2633.37 1450.67 197.63 353.77 498.80 58.00 132.50 2.50 2-38钻运立三用机大GH30-IC111876.05 1303.9149.3046.34344.0040.00 132.502.50台班基价 折旧费 定额 大修 经常修 燃料动理费 理费 力费 安拆费 及场外运输费养路费及车船使用税 其中折 旧 年限其中三、起重机械费用组成编号机械名称机型规格型号汽油 柴油 煤 电 水 木柴 人工费 人工 9.90 8.60 600.00 1.00 2.00 2.00 53.00元元 元 元 元 元元 kgkgtkw·h m3kg元 工日 元3-1 履带式电动起重机 中 起重量(t ) 3 10 119.58 69.61 5.66 3.31 41.00 41.00 66.25 1.25 3-2 履带式电动起重机 中 起重量(t ) 5 10 158.34 72.24 7.79 18.31 60.00 60.0066.25 1.25 3-3 履带式电动起重机 大 起重量(t ) 40 10 1276.07 769.69 28.65 67.33 410.40 410.40 132.50 2.50 3-4 履带式电动起重机 大 起重量(t ) 50 10 1353.45 786.27 28.65 67.33 471.20 471.20132.50 2.50 3-5 履带式起重机 大 起重量(t ) 10 10 519.27 213.65 18.65 71.97 215.00 25.00 132.50 2.50 3-6 履带式起重机 大 起重量(t ) 15 10 708.99 311.19 24.78 95.67 277.35 32.25 132.50 2.50 3-7 履带式起重机 大 起重量(t ) 20 10 752.96 320.48 40.12 73.82 318.54 37.04 132.50 2.50 3-8 履带式起重机 大 起重量(t ) 25 10 847.45 328.44 53.2698.01 367.74 42.76 132.50 2.50 3-9 履带式起重机 大 起重量(t ) 30 10 1097.47 444.5670.13 129.04453.74 52.76 132.50 2.50 3-10 履带式起重机 大 起重量(t ) 40 10 1686.31 743.15 139.69 257.03 546.44 63.54 132.50 2.50 3-11 履带式起重机 特 起重量(t ) 50 10 1952.46 790.92 142.18 261.61 757.75 88.11 132.50 2.50 3-12 履带式起重机 特 起重量(t ) 60 10 2653.32965.43 163.46652.22 872.21 101.42 132.50 2.50 3-13 履带式起重机 特 起重量(t ) 70 10 2924.46 1091.49 173.13 690.79 969.05 112.68 132.50 2.50 3-14 履带式起重机 特 起重量(t ) 90 10 4377.33 2428.49 193.77 773.12 981.95 114.18 132.50 2.50 3-15 履带式起重机 特 起重量(t ) 100 10 4959.24 2886.32 216.87865.33990.72 115.20 132.50 2.50 3-16 履带式起重机 特 起重量(t ) 140 10 6718.94 4392.52 263.54 1051.52 1011.36 117.60 132.50 2.50 3-17 履带式起重机 特 起重量(t ) 150 10 6885.33 4432.33 275.00 1097.24 1080.76 125.67 132.50 2.50 3-18 履带式起重机 特 起重量(t ) 200 10 9128.59 6077.87 347.82 1387.79 1315.11 152.92 132.50 2.50 3-19 履带式起重机 特 起重量(t ) 300 10 13851.58 9948.86 581.87 1803.81 1517.04 176.40 198.75 3.75 3-20 轮胎式起重机 大 起重量(t ) 10 12 536.30 156.40 25.83 78.78 275.29 32.01 132.50 2.50 3-21 轮胎式起重机 大 起重量(t ) 16 12 666.78 236.45 29.30 89.37 311.66 36.24 132.50 2.50 3-22轮胎式起重机大起重量(t )2012815.11328.1732.0997.86356.9941.51 132.502.50台班基价 折旧费 定额 大修 经常修 燃料动理费 理费 力费 安拆费 及场外运输费养路费及车船使用税其中折 旧 年限其中三、起重机械费用组成编号机械名称机型规格型号汽油 柴油 煤 电 水 木柴 人工费 人工 9.90 8.60 600.00 1.00 2.00 2.00 53.00元元 元 元元 元元 kgkg tkw·hm3kg元 工日 元3-23 轮胎式起重机 大 起重量(t ) 25 12 1033.66 381.7266.18 101.92483.84 56.26 132.50 2.50 3-24 轮胎式起重机 大 起重量(t ) 40 12 1419.30 494.91 151.44 233.21 539.74 62.76 132.50 2.50 3-25 轮胎式起重机 大 起重量(t ) 50 12 1512.96 557.73 153.42 236.27 565.54 65.76 132.50 2.50 3-26 轮胎式起重机 大 起重量(t ) 60 12 1938.34 853.56 184.11 283.53 617.14 71.76132.50 2.50 3-27 汽车式起重机 中 起重量(t ) 5 11 553.15 108.93 24.07 78.96 230.67 23.3066.25 1.25 110.52 3-28 汽车式起重机 大 起重量(t ) 8 11 686.76 148.83 39.71 82.20 244.50 28.43 132.50 2.50 171.52 3-29 汽车式起重机 大 起重量(t ) 10 11 2138.02 177.21 47.4098.12256.02 29.77 132.50 2.50 1559.27 3-30 汽车式起重机 大 起重量(t ) 12 11 874.00 218.05 56.32 116.58 262.73 30.55 132.50 2.50 220.32 3-31 汽车式起重机 大 起重量(t ) 16 11 1139.04 301.1184.85 175.65308.31 35.85 132.50 2.50 269.12 3-32 汽车式起重机 大 起重量(t ) 20 11 1437.80 357.18 144.78 299.69 330.33 38.41 132.50 2.50 305.82 3-33 汽车式起重机 大 起重量(t ) 25 11 1566.79 379.34 159.50 330.17 350.28 40.73 132.50 2.50 347.50 3-34 汽车式起重机 大 起重量(t ) 30 11 1686.05 411.87 168.30 348.39 378.40 44.00 132.50 2.50 379.09 3-35 汽车式起重机 大 起重量(t ) 40 11 2571.56631.30 346.37716.98 417.27 48.52 132.50 2.50 459.64 3-36 汽车式起重机 大 起重量(t ) 50 11 3524.93 1626.71 472.87978.84446.51 51.92 132.50 2.50 3-37 汽车式起重机 特 起重量(t ) 60 11 4049.79 1979.74 516.23 1068.61 485.21 56.42 132.50 2.50 3-38 汽车式起重机 特 起重量(t ) 70 11 4790.01 2595.82 547.31 1132.94 513.94 59.76 132.50 2.50 3-39 汽车式起重机 特 起重量(t ) 75 11 5004.31 2696.19 576.78 1193.93 537.41 62.49 132.50 2.50 3-40 汽车式起重机 特 起重量(t ) 80 11 5303.64 2872.70 611.49 1265.78 553.67 64.38 132.50 2.50 3-41 汽车式起重机 特 起重量(t ) 90 11 5635.63 3000.76 669.29 1385.42 580.16 67.46 132.50 2.50 3-42 汽车式起重机 特 起重量(t ) 100 11 6133.92 3288.04 722.33 1495.23 628.32 73.06 132.50 2.50 3-43 汽车式起重机 特 起重量(t ) 110 11 7411.13 4326.36 793.40 1642.33 649.04 75.47 132.50 2.50 3-44汽车式起重机特起重量(t )120118574.06 5316.23 839.77 1738.32679.7479.04 132.502.50台班基价 折旧费 定额 大修 经常修 燃料动理费 理费 力费 安拆费 及场外运输费养路费及车船使用税其中折 旧 年限其中三、起重机械费用组成编号机械名称机型规格型号汽油 柴油 煤 电 水 木柴 人工费 人工 9.90 8.60 600.00 1.00 2.00 2.00 53.00元元元元元元元 kgkg tkw·hm3kg元 工日 元3-45 汽车式起重机 特 起重量(t ) 125 11 9113.48 5622.19 909.20 1882.05 700.04 81.40 132.50 2.50 3-46 汽车式起重机 特 起重量(t ) 136 11 10223.97 6403.02 983.81 2036.48 800.66 93.10 132.50 2.50 3-47 汽车式起重机 特 起重量(t ) 150 11 11162.07 6897.95 1106.03 2289.49 868.60 101.00132.50 2.50 3-48 龙门式起重机 中 起重量(t ) 5 12 139.21 57.04 7.88 21.44 52.85 52.85 132.50 2.50 3-49 龙门式起重机 中 起重量(t ) 10 12 263.90 138.68 9.93 27.00 88.29 88.29 132.50 2.50 3-50 龙门式起重机 大 起重量(t ) 20 12 557.15 305.28 18.81 25.96 207.10 207.10 132.50 2.50 3-51 龙门式起重机 大 起重量(t ) 30 12 742.67 434.52 32.12 44.33 231.70 231.70 132.50 2.50 3-52 龙门式起重机 大 起重量(t ) 40 12 943.92 523.41 44.12 60.89 315.50 315.50 132.50 2.50 3-53 龙门式起重机 大 起重量(t ) 50 12 1300.17 833.37 53.28 73.52 340.00 340.00 132.50 2.50 3-54 门座吊 大 起重量(t ) 30 12 1220.26 934.41 38.58 36.27 211.00 211.00 132.50 2.50 3-55 门座吊 特 起重量(t ) 60 12 1935.27 1302.2166.63 62.63 503.80 503.80 132.50 2.50 3-56 叉式起重机 中 起重量(t ) 3 12 386.71 60.30 14.42 50.04 261.95 26.4666.25 1.25 3-57 叉式起重机 中 起重量(t ) 5 12 407.05 93.57 17.53 60.83 235.12 27.34 66.25 1.25 3-58 叉式起重机 中 起重量(t ) 6 12 447.19 115.11 18.88 65.52 247.68 28.80 66.25 1.25 3-59 叉式起重机 大 起重量(t ) 10 12 615.38 154.58 31.41 160.21269.18 31.3066.25 1.25 3-60 塔式起重机 中 起重量(t ) 2 14 153.16 76.94 6.89 27.13 42.20 42.20 132.50 2.50 3-61 塔式起重机 大 起重量(t ) 6 14 420.28 247.35 23.88 94.10 54.95 54.95 132.50 2.50 3-62 塔式起重机 大 起重量(t ) 8 14 472.11 277.50 25.2799.5669.78 69.78 132.50 2.50 3-63 塔式起重机 大 起重量(t ) 15 14 779.29 404.94 54.44 214.50 105.41 105.41 132.50 2.50 3-64 塔式起重机 大 起重量(t ) 25 14 1445.22953.1163.05 248.41 180.65 180.65 132.50 2.50 3-65 塔式起重机 大 起重量(t ) 40 14 1831.63 1062.4197.40 383.77288.05 288.05 132.50 2.50 3-66塔式起重机特起重量(t )60142739.29 1733.78 116.01457.09432.41432.41132.502.50台班基价 折旧费 定额 大修 经常修 燃料动理费 理费 力费 安拆费 及场外运输费养路费及车船使用税其中折 旧 年限其中三、起重机械费用组成编号机械名称机型规格型号汽油 柴油 煤 电 水 木柴 人工费 人工 9.90 8.60 600.00 1.00 2.00 2.00 53.00元元元元元 元元 kgkgtkw·hm3kg元 工日 元3-67 塔式起重机 特 起重量(t ) 80 14 3056.22 1832.72 131.07 516.43 576.00 576.00 132.50 2.50 3-68 塔式起重机 特 起重量(t ) 125 14 4741.57 2852.73 200.17 788.67 900.00 900.00 132.50 2.50 3-69 自升式塔式起重机 大 起重力矩(t∙m ) 100 14 688.58 387.27 42.3588.94170.02 170.02 132.50 2.50 3-70 自升式塔式起重机 大 起重力矩(t∙m ) 125 14 747.42 393.40 54.27 113.97 185.78 185.78 132.50 2.50 3-71 自升式塔式起重机 大 起重力矩(t∙m ) 145 14 870.75 464.54 67.08 140.88 198.25 198.25 132.50 2.50 3-72 自升式塔式起重机 大 起重力矩(t∙m ) 200 14 1030.31 527.6785.86 180.31236.47 236.47 132.50 2.50 3-73 自升式塔式起重机 特 起重力矩(t∙m ) 300 14 1370.55 746.75 105.87 222.33 295.60 295.60 132.50 2.50 3-74 自升式塔式起重机 特 起重力矩(t∙m ) 450 14 1680.05 1031.19 109.44229.82 309.60 309.60 198.75 3.75 3-75 电动双梁起重机 中 起重量(t ) 5 10 141.17 67.36 11.71 25.40 36.70 36.70 66.25 1.25 3-76 电动双梁起重机 中 起重量(t ) 10 10 234.28 124.61 19.52 42.35 47.80 47.80 66.25 1.25 3-77 桅杆式起重机 中 起重量(t ) 5 14 179.34 64.36 4.91 20.60 18.3771.10 71.10 132.50 2.50 3-78 桅杆式起重机 中 起重量(t ) 10 14 236.44 80.76 5.48 23.03 18.37 108.80 108.80 132.50 2.50 3-79 桅杆式起重机 中 起重量(t ) 15 14 347.68 107.47 7.12 29.92 18.37 184.80 184.80 132.50 2.50 3-80 桅杆式起重机 大 起重量(t ) 40 14 512.87 135.59 10.31 43.32 57.05 266.60 266.60 132.50 2.50 3-81 平台吊 小 起重量(t ) 0.75 9 38.49 10.02 0.40 3.24 4.93 19.90 19.90 66.25 1.25 3-82少先吊小起重量(t )1932.477.900.403.244.9316.0016.0066.251.25台班基价 折旧费 定额 大修 经常修 燃料动理费 理费 力费 安拆费 及场外运输费养路费及车船使用税其中折 旧 年限四、水平运输机械费用组成其中编号机械名称机型规格型号汽油 柴油 煤 电 水 木柴 人工费 人工9.90 8.600 600.000 1.0002.000 2.00053.00定额 元 元 元 元 元元 kg kgtkw·hm3 kg元 工日 元 4-1 载重汽车 中 载重量(t ) 2.5 8 371.12 38.82 5.82 32.65 201.56 20.36 66.25 1.25 26.02 4-2 载重汽车 中 载重量(t ) 4 8 453.89 44.86 7.84 43.96 252.25 25.4866.25 1.25 38.73 4-3 载重汽车 中 载重量(t ) 5 8 503.77 51.33 8.76 49.17 276.83 32.19 66.25 1.25 51.43 4-4 载重汽车 中 载重量(t ) 6 8 532.19 61.68 9.96 55.87 276.83 32.19 66.25 1.25 61.60 4-5 载重汽车 大 载重量(t ) 8 8 651.73 99.21 20.11 79.02 305.21 35.49 66.25 1.2581.934-6 载重汽车 大 载重量(t ) 10 8 855.70 160.04 23.6692.97344.26 40.03 132.50 2.50 102.27 4-7 载重汽车 大 载重量(t ) 12 8 973.99 190.66 27.30 107.28 397.92 46.27 132.50 2.50 118.33 4-8 载重汽车 大 载重量(t ) 15 8 1133.69 225.17 31.17 122.51 487.96 56.74132.50 2.50 134.38 4-9 自卸汽车 中 载重量(t ) 2 8 344.89 55.40 5.47 24.29 170.97 17.27 66.25 1.25 22.51 4-10 自卸汽车 中 载重量(t ) 4 8 555.78 76.97 10.53 46.74 310.27 31.3466.25 1.25 45.02 4-11 自卸汽车 中 载重量(t ) 6 8 648.26 116.68 15.86 70.43 311.84 36.26 66.25 1.25 67.20 4-12 自卸汽车 大 载重量(t ) 8 8 763.17 142.18 26.1287.24352.00 40.93 66.25 1.2589.384-13 自卸汽车 大 载重量(t ) 10 8 946.48 201.01 29.95 100.02 371.43 43.19 132.50 2.50 111.57 4-14 自卸汽车 大 载重量(t ) 12 8 1009.60 211.30 30.27 101.11 400.67 46.59 132.50 2.50 133.75 4-15 自卸汽车 大 载重量(t ) 15 8 1294.21 367.70 39.59 132.20 455.20 52.93 132.50 2.50 167.02 4-16 自卸汽车 大 载重量(t ) 20 8 1522.65 443.20 51.86 173.20 519.44 60.40 132.50 2.50 202.45 4-17 平板拖车组 大 载重量(t ) 8 9 709.94 107.72 21.05 56.41 297.50 30.05 132.50 2.5094.76 4-18 平板拖车组 大 载重量(t ) 10 9 810.24 128.24 24.5665.81351.45 35.50 132.50 2.50 107.68 4-19 平板拖车组 大 载重量(t ) 15 9 1103.16 206.29 30.73 145.37 441.44 44.59132.50 2.50 146.83 4-20 平板拖车组 大 载重量(t ) 20 9 1247.24 334.53 36.98 174.91 390.35 45.39 132.50 2.50 177.97 4-21 平板拖车组 大 载重量(t ) 25 9 1398.04 390.28 44.86 212.20 422.52 49.13 132.50 2.50 195.68 4-22平板拖车组大 载重量(t )3091535.88457.1949.29 233.13450.3852.37 132.502.50 213.39折旧费 定额 养路费 及车船使用税 其中折 旧 台班基 年价限 大修 经常修 燃料动理费 理费 力费 安拆费 及场外运输费四、水平运输机械费用组成其中编号机械名称机型规格型号汽油 柴油 煤 电 水 木柴 人工费 人工9.90 8.600 600.000 1.0002.000 2.00053.00定额 元 元 元元元元 kgkg tkw·hm3 kg元 工日元4-23 平板拖车组 大 载重量(t ) 40 9 1870.50 615.53 60.18 284.66 493.38 57.37 132.50 2.50 284.25 4-24 平板拖车组 大 载重量(t ) 50 9 2037.22 652.33 62.97 297.84 536.47 62.38 132.50 2.50 355.11 4-25 平板拖车组 大 载重量(t ) 60 9 2231.76702.5164.87 306.83 599.08 69.66 132.50 2.50 425.97 4-26 平板拖车组 大 载重量(t ) 80 9 2540.06 1226.61 79.25 374.83 726.87 84.52 132.50 2.50 4-27 平板拖车组 大 载重量(t ) 100 9 3029.07 1393.87 80.54 511.42910.74 105.90 132.50 2.50 4-28 平板拖车组 大 载重量(t ) 150 9 4299.81 1984.88 105.62670.71 1406.10 163.50 132.50 2.50 4-29 管子拖车 大 载重量(t ) 24 8 2020.67 475.56 44.39 179.33 1053.50 122.50 132.50 2.50 135.39 4-30 管子拖车 大 载重量(t ) 27 8 2272.85 642.25 57.89 233.87 1053.50 122.50 132.50 2.50 152.84 4-31 管子拖车 大 载重量(t ) 35 8 2482.40 754.03 68.34 276.10 1053.50 122.50 132.50 2.50 197.93 4-32 长材运输车 大 载重量(t ) 8 8 701.12 166.00 16.2693.82 358.79 41.72 66.25 1.25 4-33 长材运输车 大 载重量(t ) 12 8 930.61 274.28 20.24 116.76 386.83 44.98 132.50 2.50 4-34 长材运输车 大 载重量(t ) 15 8 1254.55 332.54 21.78 125.69 443.42 51.56 132.50 2.50 198.62 4-35 壁板运输车 大 载重量(t ) 8 6 710.34 164.20 16.59 84.96 312.09 36.29 132.50 2.50 4-36 壁板运输车 大 载重量(t ) 15 6 1129.85 424.75 21.78 111.53439.29 51.08132.50 2.50 4-37 自装自卸运输车 大 载重量(t ) 6 8 755.92 115.43 18.23 77.84 478.17 48.30 66.25 1.25 4-38 自装自卸运输车 大 载重量(t ) 8 8 857.79 160.50 19.18 81.91 529.95 53.5366.25 1.25 4-39 机动翻斗车 小 载重量(t ) 1 6 164.44 19.62 4.62 18.15 3.94 51.86 6.03 66.25 1.25 4-40 机动翻斗车 中 载重量(t ) 1.5 6 208.42 27.95 5.33 20.93 3.9484.02 9.77 66.25 1.25 4-41 油罐车 中 罐容量(L ) 5000 8 560.00 87.14 10.18 51.82 303.34 30.6466.25 1.25 41.27 4-42 油罐车 大 罐容量(L ) 8000 8 662.84 116.47 17.65 89.86 290.68 33.80 66.25 1.25 81.93 4-43 洒水车 中 罐容量(L ) 4000 8 552.22 81.96 12.50 53.64 296.60 29.9666.25 1.25 41.27 4-44洒水车大 罐容量(L )80008659.87110.8622.1294.91 283.8033.00 66.251.2581.93折旧费 定额 养路费 及车船使用税 其中折 旧 台班基 年价限 大修 经常修 燃料动理费 理费 力费 安拆费 及场外运输费四、水平运输机械费用组成其中编号机械名称机型规格型号汽油 柴油 煤 电 水 木柴 人工费 人工9.90 8.600 600.000 1.0002.000 2.00053.00定额 元 元 元 元 元元 kgkg tkw·hm3 kg元 工日 元4-45 轨道拖车头 中 功率(kw ) 30 11 267.15 114.24 9.09 19.09 58.486.8066.251.254-46 轨道平车 小 载重量(t ) 5 8 21.05 13.68 2.38 4.99 4-47轨道平车中 载重量(t )10870.4660.643.176.65折旧费 定额 养路费 及车船使用税 其中折 旧 台班基 年价限 大修 经常修 燃料动理费 理费 力费 安拆费 及场外运输费其中五、垂直运输机械费用组成编号机械名称机型规格型号汽油 柴油 煤 电 水 木柴 人工费 人工 9.90 8.60 600.00 1.00 2.00 2.00 53.00定额元 元 元 元 元 元 kgkgtkw·h m3kg元 工日 元5-1 电动卷扬机 单筒快速 小 牵引力(t ) 0.5 10 91.87 1.84 1.19 3.19 4.70 14.70 14.70 66.25 1.25 5-2 电动卷扬机 单筒快速 小 牵引力(t ) 1 10 115.81 4.39 2.06 5.51 4.70 32.90 32.90 66.25 1.25 5-3 电动卷扬机 单筒快速 小 牵引力(t ) 1.5 10 137.06 6.02 2.94 7.85 4.70 49.30 49.30 66.25 1.25 5-4 电动卷扬机 单筒快速 小 牵引力(t ) 2 10 159.48 8.21 3.60 9.62 4.70 67.10 67.10 66.25 1.25 5-5 电动卷扬机 双筒快速 小 牵引力(t ) 1 10 176.71 12.18 2.20 5.88 4.70 85.50 85.50 66.25 1.25 5-6 电动卷扬机 双筒快速 小 牵引力(t ) 3 10 210.78 25.00 4.31 11.52 4.70 99.00 99.0066.25 1.25 5-7 电动卷扬机 双筒快速 小 牵引力(t ) 5 10 245.89 30.80 4.94 13.20 4.70 126.00 126.00 66.25 1.25 5-8 电动卷扬机 单筒慢速 小 牵引力(t ) 3 10 128.51 8.57 4.22 11.27 4.70 33.50 33.50 66.25 1.25 5-9 电动卷扬机 单筒慢速 小 牵引力(t ) 5 10 133.21 10.76 4.88 13.02 4.70 33.60 33.60 66.25 1.25 5-10 电动卷扬机 单筒慢速 小 牵引力(t ) 8 10 198.58 31.30 6.08 27.25 4.70 63.00 63.00 66.25 1.25 5-11 电动卷扬机 单筒慢速 中 牵引力(t ) 10 10 275.60 103.38 6.98 31.29 4.7063.0063.00 66.25 1.25 5-12 电动卷扬机 单筒慢速 中 牵引力(t ) 20 10 509.26 164.28 10.72 64.02 17.49 186.50 186.50 66.25 1.25 5-13 电动卷扬机 单筒慢速 中 牵引力(t ) 30 10 782.70 227.30 11.63 69.43 17.49 390.60 390.60 66.25 1.25 5-14 电动卷扬机 双筒慢速 小 牵引力(t ) 3 10 147.55 24.43 4.48 12.49 4.70 35.20 35.20 66.25 1.25 5-15 电动卷扬机 双筒慢速 小 牵引力(t ) 5 10 171.21 29.39 5.19 14.48 4.70 51.20 51.20 66.25 1.25 5-16 电动卷扬机 双筒慢速 小 牵引力(t ) 8 10 231.27 38.38 6.11 45.43 4.70 70.40 70.40 66.25 1.25 5-17 电动卷扬机 双筒慢速中 牵引力(t ) 10 10 300.00 99.49 7.01 52.15 4.70 70.40 70.40 66.25 1.25 5-18 卷扬机带塔 (H=40m )中 牵引力(t ) 3~5 10 177.08 31.51 7.45 20.78 17.49 33.60 33.60 66.25 1.25 5-19 皮带运输机 小 水平运输距离(m ) 10 10 136.68 17.74 4.68 16.43 13.08 18.50 18.50 66.25 1.25 5-20 皮带运输机 小 水平运输距离(m ) 15 10 144.51 20.92 5.25 18.43 13.08 20.58 20.58 66.25 1.25 5-21 皮带运输机 小 水平运输距离(m ) 20 10 157.81 25.58 5.85 20.52 13.08 26.53 26.53 66.25 1.25 5-22皮带运输机小水平运输距离(m )3010172.6827.867.0024.5813.0833.9133.9166.251.25台班基价 折旧费 定额 养路费及车船使用税其中大修 经常修 燃料动理费 理费 力费 安拆费 及场外运输费折 旧 年限。
一、编制说明1.根据住房城乡建设部、财政部“关于印发《建筑安装工程费用项目组成》(建建标[2013]44号)、国家标准《建设工程工程量清单计价规范》(GB50500-2013)、《建筑业企业资质管理规定》建设部令第159号)、《建筑业企业资质等级标准》(建建[2001]82号)和《施工总承包企业特级资质标准》(建市[2007]72号)的规定,结合我省实际,制定了《吉林省建设工程费用定额》(以下简称“本费用定额”)。
2.本费用定额是编制建设工程投资估算、设计概算、施工图预算、竣工结算的依据;是工程计价、编制招投标控制价的依据;是调解处理工程造价纠纷、鉴定工程造价的依据;是编制投资估算指标、概算指标(定额)的基础;是投标报价和衡量投标报价合理性的基础。
3.本费用定额与《吉林省建筑工程计价定额》(JLJD-JZ-2014)、《吉林省装饰工程计价定额》(JLJD-ZS-2014) 、《吉林省安装工程计价定额》(JLJD-AZ-2014)及《吉林省市政工程计价定额》(JLJD-SZ-2014)配套使用。
4.本费用定额适用于建筑、装饰、安装、市政等工程。
各类工程定义、承包范围见《建筑业企业资质等级标准》(建建[2001]82号)二、建筑安装工程费用项目组成根据建设部、财政部《建筑安装工程费用项目组成》(建标[2013]4号)规定,结合我省实际,建筑安装工程费用由人工费、材料(包含工程设备,下同)费、施工机具使用费、企业管理费、利润、规费和税金组成。
(一)、人工费:是指按工资总额构成规定,支付给从事建筑安装工程施工的生产工人和附属生产单位工人的各项费用。
内容包括:1.计时工资或计件工资:是指按计时工资标准和工作时间或对已做工作按计件单价支付给个人的劳动报酬。
2.奖金:是指对超额劳动和增收节支支付给个人的劳动报酬。
如节约奖、劳动竞赛奖等。
3.津贴补贴:是指为了补贴职工特殊或额外的劳动消耗和其他特殊原因支付给个人的津贴,以及为了·保证职工工资水平不受物价影响支付给个人的物价津贴。
说明一、《吉林省施工机械台班计价定额》(JLJD-JX-2014)(以下简称本台班定额)根据建设部颁发的《全国统一施工机械台班费用编制规则》(2001)、《全国统一施工机械保养修理技术经济定额》的规定编制。
二、本台班定额包括:土石方及筑路机械、桩工机械、起重机械、水平运输机械、垂直运输机械、混凝土及砂浆机械、加工机械、泵类机械、焊接机械、动力机械、地下工程机械、其他机械共13类以及单独计算的费用。
三、本台班定额每台班是按8小时工作制计算的。
四、本台班定额由折旧费、大修理费、经常修理费、安拆费及场外运费(特大型机械除外)、燃料动力费、人工费、其他费七部分费用组成。
五、本台班定额基础数据:1.机械原值主要是通过近五年来施工企业提供的机械购入帐面实际价格确定的。
2.折旧年限按照财政部、中国人民建设银行的有关规定确定。
3.年折现率按照5.58 %计算。
4.一次大修理费中的工时费、配件费、辅料费、油燃料费及送修运杂费按《吉林省建设工程材料预算价格》(JLJD-CJ-2014)确定。
.1.5.计入台班的安拆费及场外运费是根据不同机械型号、重量、体积进行分类,并按测定的人工、材料、机械的消耗量计算。
六、本台班定额人工单价按105元/工日计算。
七、本台班定额的燃料动力费按《吉林省建设工程材料预算价格》(JLJD-CJ-2014)确定。
八、本台班定额的盾构掘进机械台班费中未包括安装、拆卸费及场外运费、燃料动力费和人工费。
九、本台班定额的顶管设备和泵类机械台班单价中未包括人工费。
十、油料损耗包括加油及油料过滤损耗、电力损失包括由变电所或配电车间至机械之间线路的电力损失。
十一、单独计算的费用说明:1.塔式起重机基础及轨道铺拆费中轨道铺拆以直线型为准,如铺设弧线型时,乘以系数1.15计算。
2.固定式基础不包括拆除和打桩的费用,发生另计。
如实际配备基础与本定额不符允许调整。
3.轨道和枕木之间增加其他型钢或钢板的轨道、自升式塔式起重机行走轨道、不带配重的自升塔式起重机固定式基础、施工电梯和混凝土搅拌站的基础未包括在本台班定额内。
江苏省市政工程计价定额 2014 版总说明1.《江苏省市政工程造价定额》共八册,包括:第一册通用项目第二册道路工程第三册桥涵工程第四册隧道工程第五册给水工程第六册排水工程第七册燃气与集中供热工程第八册路灯工程2.《江苏省市政工程造价定额》(以下简称本定额),是完成规定计量单位分项工程所需的人工、材料、施工机械台班的消耗量标准,是编制市政工程概算、招标工程控制价、工程预算及竣工结算的依据。
本定额计价单位为元,默认尺寸单位为毫米(mm)。
3.本定额适用于城镇管辖范围内的新建、扩建及大中修市政工程,不适用于市政工程的小修保养。
4.本定额是按照正常的施工条件,目前多数企业的施工机械装备程度,合理的施工工期、施工工艺、劳动组织编制的,反映了社会平均消耗水平。
5.本定额是依据国家有关现行产品标准、设计规范和施工验收规范、质量评定标准、安全技术操作规程编制的,并适当参考了行业、地方标准,以及有代表性的工程设计、施工资料和其它资料。
6.关于人工工日消耗量:本定额人工不分工种、技术等级,均以综合工日表示,内容包括基本用工、超运距用工、人工幅度差和辅助用工。
7.关于材料消耗量:(1)本定额中的材料消耗包括主要材料、辅助材料,凡能计量的材料、成品、半成品均按品种、规格逐一列出用量并计入了相应的损耗,其损耗的内容和范围包括:从工地仓库、现场集中堆放地点或现场加工地点至操作或安装地点的现场运输损耗、施工操作损耗、施工现场堆放损耗。
(2)混凝土、沥青混凝土、砌筑砂浆、抹灰砂浆及各种胶泥等均按半成品消耗量以体积(m3)表示。
定额中混凝土的养护,除另有说明者外,均按自然养护考虑。
混凝土消耗量按现场拌合考虑,采用预拌(商品)混凝土的按下列办法计算:对厂站工程:泵送混凝土的,定额人工数量扣 30%,定额混凝土搅拌机械数量全扣,定额水平运输机械数量扣 50%,垂直运输机械全扣;非泵送混凝土的,定额人工数量扣 15%,混凝土搅拌机械全扣。
一、土石方及筑路机械费用组成编号机械名称机型规格型号汽油柴油煤电水木柴人工费人工9.908.60600.00 1.000 2.00 2.0053.00定额元元元元元元kg kg t kw·h m3kg元工日元1-1松土机大松土深度(m)0.513954.40189.5842.86122.14467.3254.34132.50 2.501-2松土机大松土深度(m)113987.14193.4150.37143.54467.3254.34132.50 2.501-3除荆机大清除宽度(m)413953.74182.3644.22127.34467.3254.34132.50 2.501-4除根机大清除宽度(m) 1.513944.63177.0743.23124.51467.3254.34132.50 2.501-5履带式推土机中功率(Kw)5011502.9145.5617.6145.80261.4430.40132.50 2.501-6履带式推土机中功率(Kw)5511552.3246.5919.4450.55303.2435.26132.50 2.501-7履带式推土机中功率(Kw)6011611.3048.5421.5756.09352.6041.00132.50 2.501-8履带式推土机大功率(Kw)7511867.29139.9036.2794.31464.3153.99132.50 2.501-9履带式推土机大功率(Kw)9011973.69179.9842.70111.02507.4959.01132.50 2.501-10履带式推土机大功率(Kw)105111001.58199.7044.73116.30508.3559.11132.50 2.50页脚内容1页脚内容2其中 台班基价 折旧费 定额33 3 31-11 履带式推土机 大 功率(Kw ) 135 11 1329.64 353.72 78.53 204.17 560.72 65.20 132.50 2.50 1-12 履带式推土机 大 功率(Kw ) 165 11 1553.60 421.56 107.35 279.10613.0971.29132.502.501-13 履带式推土机 特 功率(Kw ) 240 112019.71 606.73 178.21 358.20 744.07 86.52 132.50 2.501-14 履带式推土机 特 功率(Kw ) 313 11 2266.22 708.49 228.50 422.73 774.00 90.00 132.50 2.50 1-15 湿地推土机 大 功率(Kw ) 105 11 931.54 211.82 44.94 110.56 431.72 50.20 132.50 2.50 1-16 湿地推土机 大 功率(Kw ) 135 11 1290.87 356.84 78.72 193.65 529.16 61.53 132.50 2.50 1-17 湿地推土机 大 功率(Kw ) 165 11 1510.98 422.95 107.52 264.50 583.51 67.85 132.50 2.50 1-18 轮胎式推土机 大 功率(Kw ) 150 11 1524.74 294.19 52.33 183.14 862.58 100.30 132.50 2.50 1-19 自行式铲运机 单引擎 中 斗容量(m ) 3 12 800.15 189.50 48.56 130.14 299.45 34.82 132.50 2.50 1-20 自行式铲运机 单引擎 大 斗容量(m ) 4 12 900.55 281.11 50.95 136.54 299.45 34.82 132.50 2.50 1-21 自行式铲运机 单引擎 大 斗容量(m ) 6 12 1010.11 299.63 53.84 144.28 379.86 44.17 132.50 2.50 1-22自行式铲运机单引擎大斗容量(m )8121144.08 324.04 58.46 156.68472.4054.93132.502.501养路费及车船使其中折旧年限 大修 经常修 燃料动理费 理费 力费 安拆费 及场外运一、土石方及筑路机械费用组成编号机械名称机型规格型号汽油柴油煤电水木柴人工费人工9.908.60600.00 1.000 2.00 2.0053.00定额元元元元元元kg kg t kw·h m3kg元工日元1-23自行式铲运机单引擎大斗容量(m )10121255.76332.4662.22166.74561.8465.33132.50 2.501-24自行式铲运机单引擎大斗容量(m )12121455.24438.5177.84208.60597.7969.51132.50 2.501-25自行式铲运机双引擎大斗容量(m )12122373.35531.93166.65446.631095.64127.40132.50 2.501-26自行式铲运机双引擎大斗容量(m )23123683.711474.59239.42641.631195.57139.02132.50 2.501-27拖式铲运机中斗容量(m )33593.8737.9028.3993.39301.6935.08132.50 2.501-28拖式铲运机大斗容量(m )881011.08130.4656.03184.35507.7459.04132.50 2.501-29拖式铲运机大斗容量(m )10101252.11151.50112.32262.82592.9768.95132.50 2.501-30拖式铲运机大斗容量(m )12121431.19178.85142.58333.64643.6274.84132.50 2.501-31平地机大功率(Kw)7511613.41155.7525.5788.20211.3924.58132.50 2.501-32平地机大功率(Kw)9011741.09170.9829.85102.98304.7835.44132.50 2.501-33平地机大功率(Kw)120111026.87256.1237.19128.32472.7454.97132.50 2.50页脚内容3页脚内容4其中 台班基价 折旧费 定额养路费及车船使其中折旧年限 大修 经常修 燃料动理费 理费 力费 安拆费 及场外运3 3333 3 3333 3 3 3 31-34 平地机 大 功率(Kw ) 135 11 1194.94 287.27 57.02 196.73 521.42 60.63 132.50 2.50 1-35 平地机 大 功率(Kw ) 150 111373.10 322.57 74.90 258.42584.7167.99132.502.501-36 平地机 大 功率(Kw ) 180 111666.01 380.72 101.10 348.81 702.88 81.73 132.50 2.501-37 平地机 大 功率(Kw )220 11 2103.33 503.93 141.06 486.65 839.19 97.58 132.50 2.50 1-38 轮胎式装载机 中 斗容量(m )1 12 714.8591.60 22.7080.82 453.48 52.73 66.25 1.25 1-39 轮胎式装载机 大 斗容量(m ) 1.5 12 792.86 107.69 24.9388.74505.25 58.75 66.25 1.25 1-40 轮胎式装载机 大 斗容量(m )2 12 917.01 151.44 30.36 108.07 560.89 65.22 66.25 1.25 1-41 轮胎式装载机 大 斗容量(m ) 2.5 12 1043.72 176.69 33.95 120.88 645.95 75.11 66.25 1.25 1-42 轮胎式装载机 大 斗容量(m )3 12 1222.49 193.51 39.23 139.67 717.58 83.44 132.50 2.50 1-43 轮胎式装载机 大 斗容量(m ) 4.5 12 1408.11 249.60 50.46 179.62 795.93 92.55 132.50 2.50 1-44履带式拖拉机中功率(Kw )5514576.7739.19 16.2043.42345.4640.17132.502.502一、土石方及筑路机械费用组成编号机械名称机型规格型号汽油柴油煤电水木柴人工费人工9.908.60600.00 1.000 2.00 2.0053.00定额元元元元元元kg kg t kw·h m3kg元工日元1-45履带式拖拉机中功率(Kw)6014629.3745.8519.9753.51377.5443.90132.50 2.501-46履带式拖拉机大功率(Kw)7511829.87107.2933.3689.40467.3254.34132.50 2.501-47履带式拖拉机大功率(Kw)9011966.49180.6739.63106.20507.4959.01132.50 2.501-48履带式拖拉机大功率(Kw)105111102.16199.9841.36110.84617.4871.80132.50 2.501-49履带式拖拉机大功率(Kw)120111265.01239.1655.71149.30688.3480.04132.50 2.501-50履带式拖拉机大功率(Kw)135111418.56262.7072.67194.75755.9487.90132.50 2.501-51轮胎式拖拉机中功率(Kw)217270.3220.3810.6722.52150.5017.5066.25 1.251-52轮胎式拖拉机中功率(Kw)417468.8336.2123.2349.02294.1234.2066.25 1.251-53手扶式拖拉机小功率(Kw)97161.93 6.49 3.828.0677.318.9966.25 1.251-54履带式单斗挖掘机液压大斗容量(m )0.612750.31172.9647.90107.30289.6533.68132.50 2.501-55履带式单斗挖掘机液压大斗容量(m )0.812992.79254.0056.05118.26431.9850.23132.50 2.50页脚内容5页脚内容6其中 台班基价 折旧费 定额养路费及车船使其中折旧年限 大修 经常修 燃料动理费 理费 力费 安拆费 及场外运33 3 3 3 3 3 3 3 3 3 31-56 履带式单斗挖掘机 液压 大 斗容量(m ) 1 12 1143.72 281.21 60.52 127.69 541.80 63.00 132.50 2.50 1-57 履带式单斗挖掘机 液压 大 斗容量(m ) 1.25 12 1347.32 309.64 74.70 157.62672.8678.24132.502.501-58 履带式单斗挖掘机 液压 大 斗容量(m ) 1.6 121633.35 357.41 87.35 184.31 871.78 101.37 132.50 2.501-59 履带式单斗挖掘机 液压 大 斗容量(m ) 1.8 12 1829.15 373.44 101.16 213.44 1008.61 117.28 132.50 2.50 1-60 履带式单斗挖掘机 液压 大 斗容量(m ) 2 12 1632.14 386.74 122.00 257.41 733.49 85.29 132.50 2.50 1-61 履带式单斗挖掘机 机械 大 斗容量(m ) 1 12 1004.78 287.26 43.22 120.14 421.66 49.03 132.50 2.50 1-62 履带式单斗挖掘机 机械 大 斗容量(m ) 1.5 12 1389.77 308.43 85.61 238.01 625.22 72.70 132.50 2.50 1-63 轮胎式挖掘装载机 中 斗容量(m ) 0.2 12 469.54 70.39 19.92 53.00 259.98 30.23 66.25 1.25 1-64 轮胎式挖掘装载机 大 斗容量(m ) 0.4 12 526.44 81.61 32.40 86.20 259.98 30.23 66.25 1.25 1-65 轮胎式挖掘装载机 大 斗容量(m )0.6 12 549.37 94.79 35.07 93.28 259.9830.2366.251.251-66拖式羊角碾单筒小不加载重量(t )31315.457.021.237.204.933一、土石方及筑路机械费用组成编号机械名称机型规格型号汽油柴油煤电水木柴人工费人工9.908.60600.00 1.000 2.00 2.0053.00定额元元元元元元kg kg t kw·h m3kg元工日元1-67拖式羊角碾双筒小不加载重量(t)61326.3612.45 2.0311.889.811-68光轮压路机(内燃)大不加载重量(t)611290.4565.7612.7140.81104.9212.2066.25 1.251-69光轮压路机(内燃)大不加载重量(t)811373.9872.6815.4149.45170.1919.7966.25 1.251-70光轮压路机(内燃)大不加载重量(t)1211508.1887.7718.5759.62275.9732.0966.25 1.251-71光轮压路机(内燃)大不加载重量(t)1511611.4793.8019.4962.56369.3742.9566.25 1.251-72光轮压路机(内燃)大不加载重量(t)18111019.50104.5220.9567.25694.2880.73132.50 2.501-73振动压路机大重量(t)811607.77122.6935.52109.40273.9131.8566.25 1.251-74振动压路机大重量(t)1211881.72145.9239.74122.41507.4059.0066.25 1.251-75振动压路机大重量(t)15111140.56159.7142.26130.16742.1886.3066.25 1.251-76手扶振动压实机小重量(t)18161.5923.45 4.6918.09 1.9949.11 5.7166.25 1.251-77轮胎压路机大不加载重量(t)911494.6460.5722.0187.81258.0030.0066.25 1.25页脚内容7页脚内容8其中 台班基价 折旧费 定额养路费及车船使其中折旧年限 大修 经常修 燃料动理费 理费 力费 安拆费 及场外运33 31-78 夯实机 电动 小 夯击能力(kg·m )20~62 628.40 5.45 1.13 5.22 2.49 16.60 16.601-79 夯实机 内燃 小 夯足直径(mm ) φ265 634.504.982.1810.142.4917.202.001-80 装岩机 风力 小 斗容量(m ) 0.12 12175.32 24.36 6.03 12.43 10.90 132.50 2.501-81 装岩机 电力 中 斗容量(m ) 0.2 12 247.08 29.71 8.36 14.21 10.90 62.3062.30 132.50 2.50 1-82 装岩机 电力大 斗容量(m ) 0.612 365.11 45.40 14.40 24.48 10.90 148.33 148.33132.502.501-83 风动凿岩机 小 气腿式 7 13.26 3.77 1.18 8.31 1.99 1-84 风动凿岩机 小 手持式 7 10.09 2.770.916.41 1.99 1-85 凿岩钻车 中 轮胎式 12 279.8596.17 17.83 33.35 10.90 132.50 2.50 1-86 凿岩钻车 中 履带式 12 362.56 152.99 28.33 48.74 10.90132.50 2.50 1-87 汽车式沥青喷洒机 大 箱容量(L ) 4000 11 654.89 159.21 44.7075.55309.18 31.23 66.25 1.25 1-88汽车式沥青喷洒机大箱容量(L )7500 11883.00 290.73 67.57 114.19344.2640.0366.251.254一、土石方及筑路机械费用组成编号机械名称机型规格型号汽油柴油煤电水木柴人工费人工9.908.60600.00 1.000 2.00 2.0053.00定额元元元元元元kg kg t kw·h m3kg元工日元1-89沥青混凝土摊铺机大载重量(t)412661.43113.1035.9170.74309.1831.23132.50 2.501-90沥青混凝土摊铺机大载重量(t)612689.63172.3041.4081.56261.8730.45132.50 2.501-91沥青混凝土摊铺机大载重量(t)812977.74237.6966.34130.70344.2640.03198.75 3.751-92沥青混凝土摊铺机大载重量(t)12121165.69251.8366.93131.84516.3460.04198.75 3.751-93沥青混凝土摊铺机(带自动找平)大载重量(t)8121613.19744.0088.54108.90473.0055.00198.75 3.751-94沥青混凝土摊铺机(带自动找平)大载重量(t)12122647.041247.65156.61192.63851.4099.00198.75 3.751-95内燃凿岩机小YN30A4265.30 5.67 2.0814.97 1.49110.0812.80132.50 2.501-96强夯机械大夯击能力(tm)12081050.91455.4755.44125.85281.6532.75132.50 2.501-97强夯机械大夯击能力(tm)20081724.03972.4676.86174.47367.7442.76132.50 2.501-98强夯机械大夯击能力(tm)30082006.941039.65109.93249.54475.3255.27132.50 2.501-99灰土拌合机大功率(Kw)9011803.8913.8142.40107.69507.4959.01132.50 2.50页脚内容9页脚内容10其中 1-100 灰土拌合机 大 功率(Kw ) 105 11 960.21 161.98 44.46 112.92 508.35 59.11 132.50 2.50 1-101 灰土拌合机 大 功率(Kw )13511 1277.86 331.92 78.80 200.15534.4962.15132.502.501-102 颚式破碎机 小 进料口(mm ) 250×400 9 192.43 27.25 2.59 35.14 61.20 61.2066.25 1.251-103 颚式破碎机 小 进料口(mm ) 250×500 9 225.29 38.93 3.31 44.80 72.00 72.00 66.25 1.25 1-104 颚式破碎机 中 进料口(mm ) 400×600 9 300.2866.184.11 55.74 108.00 108.00 66.25 1.25 1-105 颚式破碎机 中 进料口(mm ) 500×750 9 514.56 154.25 6.6089.46198.00 198.00 66.25 1.25 1-106 颚式破碎机 中 进料口(mm ) 600×900 9 701.70 231.62 7.96 107.87 288.00 288.0066.25 1.25 1-107 颚式破碎机(机动)小进料口(mm ) 250×4409375.5159.365.4774.15170.2819.8066.251.255台班基价 折旧费 定额养路费及车船使其中折旧年限 大修 经常修 燃料动理费 理费 力费 安拆费 及场外运二、打桩机械费用组成编号机械名称机型规格型号汽油柴油煤电水木柴人工费人工9.908.600600.000 1.000 2.000 2.00053.00定额元元元元元元kg kg t kw·h m3kg元工日元2-1履带式柴油打桩机大锤重(t) 2.5121433.02436.1295.60387.22381.5844.37132.50 2.502-2履带式柴油打桩机大锤重(t) 3.5122178.27764.04166.06703.39412.2847.94132.50 2.502-3履带式柴油打桩机大锤重(t)5123457.721664.95285.06911.41463.8053.93132.50 2.502-4履带式柴油打桩机特锤重(t)7124175.491863.33400.221285.80493.6457.40132.50 2.502-5履带式柴油打桩机特锤重(t)8124465.221928.39440.471455.26508.6059.14132.50 2.502-6轨道式柴油打桩机中锤重(t)0.612483.2260.6647.42128.84113.809.0036.40132.50 2.502-7轨道式柴油打桩机大锤重(t) 1.212821.70171.3456.15145.43316.2828.8068.60132.50 2.502-8轨道式柴油打桩机大锤重(t) 1.812991.59206.3562.33205.17385.2433.4098.00132.50 2.502-9轨道式柴油打桩机大锤重(t) 2.5121459.08384.3669.40350.92521.9046.50122.00132.50 2.502-10轨道式柴油打桩机大锤重(t) 3.5122082.84533.62119.49636.89660.3456.90171.00132.50 2.502-11轨道式柴油打桩机大锤重(t)4122282.38578.53133.95713.36724.0461.70193.42132.50 2.50页脚内容11页脚内容12其中 2-12 导杆式柴油打桩机 中 锤重(t ) 1.5 12 543.30 89.58 13.86 72.08 235.28 22.30 43.50 132.50 2.50 2-13 震动打拔桩机 大 激震力(t ) 30 9 954.07 461.48 12.1666.74281.1917.43 131.29 132.502.502-14 震动打拔桩机 大 激震力(t ) 40 9 1231.86 586.24 17.18 94.30 401.64 24.90 187.50132.50 2.502-15 震动打拔桩机 大 激震力(t ) 50 9 1514.05 741.94 21.19 116.32 502.10 31.13 234.38 132.50 2.50 2-16 震动打拔桩机 大 激震力(t ) 60 9 1779.28 880.76 25.20 138.36 602.46 37.35281.25 132.50 2.50 2-17 静力压桩机(液压) 大 压力(t ) 90 11 1473.68 583.00 142.69 523.68 91.81 91.81 132.50 2.50 2-18 静力压桩机(液压) 大 压力(t ) 120 11 1913.85 815.28 180.48 662.34 123.25 123.25 132.50 2.50 2-19 静力压桩机(液压) 大 压力(t ) 160 11 2457.54 998.33 233.53 959.82 133.36 133.36132.50 2.50 2-20 静力压桩机(液压) 大 压力(t ) 200 11 3643.72 1427.51 276.90 1138.07 668.74 77.76 132.50 2.50 2-21 静力压桩机(液压) 大 压力(t ) 300 11 4602.16 1811.30 376.75 1548.46 733.15 85.25 132.50 2.50 2-22静力压桩机(液压)大压力(t )400115460.32 2168.95 456.19 1874.93827.7596.25132.502.506台班基价 折旧费 定额大修 经常修 燃料动理费 理费 力费 安拆费 及场外运养路费及车船使其中折旧年限二、打桩机械费用组成编号机械名称机型规格型号汽油柴油煤电水木柴人工费人工9.908.600600.000 1.000 2.000 2.00053.00定额元元元元元元kg kg t kw·h m3kg元工日元2-23汽车式钻孔机大孔径(mm)φ40011921.25149.1723.6665.06550.8647.4081.60132.50 2.502-24汽车式钻孔机大孔径(mm)φ100011927.04223.9341.42113.91415.2838.8081.60132.50 2.502-25汽车式钻孔机大孔径(mm)φ2000111328.85295.5844.15121.42735.2076.0081.60132.50 2.502-26潜水钻机大孔径(mm)φ80011457.1179.6116.9545.61182.44182.44132.50 2.502-27潜水钻机大孔径(mm)φ125011516.29107.2925.4968.57182.44182.44132.50 2.502-28潜水钻机大孔径(mm)φ150011622.37158.1730.5682.21218.93218.93132.50 2.502-29工程钻机中孔径(mm)φ5007510.56198.6118.1737.80123.48123.48132.50 2.502-30工程钻机大孔径(mm)φ8007647.51308.3620.9143.49142.25142.25132.50 2.502-31工程钻机大孔径(mm)φ15007707.18308.3624.5551.05190.72190.72132.50 2.502-32螺旋钻机中孔径(mm)φ4007545.70243.27 6.3940.06123.48123.48132.50 2.502-33螺旋钻机中孔径(mm)φ6007652.86285.817.3345.95181.27181.27132.50 2.50页脚内容13页脚内容14其中 2-34 螺旋钻机 中 孔径(mm ) φ800 7 878.55 444.69 8.76 54.95 237.65 237.65 132.50 2.50 2-35 短螺旋履带钻孔机 大 孔径(mm )φ120011 1553.72 652.89 114.36 219.57434.4034.00142.00 132.502.502-36 冲击钻孔机 中 乌克斯 11387.65 149.87 21.76 43.52 40.00 40.00132.50 2.502-37 锚杆钻孔机 大 DHR80A 11 2633.37 1450.67 197.63 353.77 498.80 58.00 132.50 2.50 2-38钻运立三用机大GH30-IC111876.05 1303.91 49.3046.34344.0040.00132.502.507台班基价 折旧费 定额大修 经常修 燃料动理费 理费 力费 安拆费 及场外运养路费及车船使其中折旧年限三、起重机械费用组成编号机械名称机型规格型号汽油柴油煤电水木柴人工费人工9.908.60600.00 1.00 2.00 2.0053.00元元元元元元元kg kg t kw·h m3kg元工日元3-1履带式电动起重机中起重量(t)310119.5869.61 5.66 3.3141.0041.0066.25 1.253-2履带式电动起重机中起重量(t)510158.3472.247.7918.3160.0060.0066.25 1.253-3履带式电动起重机大起重量(t)40101276.07769.6928.6567.33410.40410.40132.50 2.503-4履带式电动起重机大起重量(t)50101353.45786.2728.6567.33471.20471.20132.50 2.503-5履带式起重机大起重量(t)1010519.27213.6518.6571.97215.0025.00132.50 2.503-6履带式起重机大起重量(t)1510708.99311.1924.7895.67277.3532.25132.50 2.503-7履带式起重机大起重量(t)2010752.96320.4840.1273.82318.5437.04132.50 2.503-8履带式起重机大起重量(t)2510847.45328.4453.2698.01367.7442.76132.50 2.503-9履带式起重机大起重量(t)30101097.47444.5670.13129.04453.7452.76132.50 2.503-10履带式起重机大起重量(t)40101686.31743.15139.69257.03546.4463.54132.50 2.503-11履带式起重机特起重量(t)50101952.46790.92142.18261.61757.7588.11132.50 2.50页脚内容15页脚内容16其中 3-12 履带式起重机 特 起重量(t ) 60 10 2653.32 965.43 163.46 652.22 872.21 101.42 132.50 2.50 3-13 履带式起重机 特 起重量(t ) 70 10 2924.46 1091.49 173.13 690.79969.05112.68132.502.503-14 履带式起重机 特 起重量(t ) 90 104377.33 2428.49 193.77 773.12 981.95 114.18 132.50 2.503-15 履带式起重机 特 起重量(t ) 100 10 4959.24 2886.32 216.87 865.33 990.72115.20 132.50 2.50 3-16 履带式起重机 特 起重量(t ) 140 10 6718.94 4392.52 263.54 1051.52 1011.36 117.60 132.50 2.50 3-17 履带式起重机 特 起重量(t ) 150 10 6885.33 4432.33 275.00 1097.24 1080.76 125.67 132.50 2.50 3-18 履带式起重机 特 起重量(t ) 200 10 9128.59 6077.87 347.82 1387.79 1315.11 152.92 132.50 2.50 3-19 履带式起重机 特 起重量(t ) 300 10 13851.58 9948.86 581.87 1803.81 1517.04 176.40 198.75 3.75 3-20 轮胎式起重机 大 起重量(t ) 10 12 536.30 156.40 25.83 78.78 275.29 32.01 132.50 2.50 3-21 轮胎式起重机 大 起重量(t ) 16 12 666.78 236.45 29.30 89.37 311.66 36.24 132.50 2.50 3-22轮胎式起重机大起重量(t )2012815.11 328.17 32.0997.86356.9941.51132.502.508台班基价 折旧费 定额大修 经常修 燃料动理费 理费 力费 安拆费 及场外运养路费及车船使其中折旧年限三、起重机械费用组成编号机械名称机型规格型号汽油柴油煤电水木柴人工费人工9.908.60600.00 1.00 2.00 2.0053.00元元元元元元元kg kg t kw·h m3kg元工日元3-23轮胎式起重机大起重量(t)25121033.66381.7266.18101.92483.8456.26132.50 2.503-24轮胎式起重机大起重量(t)40121419.30494.91151.44233.21539.7462.76132.50 2.503-25轮胎式起重机大起重量(t)50121512.96557.73153.42236.27565.5465.76132.50 2.503-26轮胎式起重机大起重量(t)60121938.34853.56184.11283.53617.1471.76132.50 2.503-27汽车式起重机中起重量(t)511553.15108.9324.0778.96230.6723.3066.25 1.25110.52 3-28汽车式起重机大起重量(t)811686.76148.8339.7182.20244.5028.43132.50 2.50171.52 3-29汽车式起重机大起重量(t)10112138.02177.2147.4098.12256.0229.77132.50 2.501559.27 3-30汽车式起重机大起重量(t)1211874.00218.0556.32116.58262.7330.55132.50 2.50220.32 3-31汽车式起重机大起重量(t)16111139.04301.1184.85175.65308.3135.85132.50 2.50269.12 3-32汽车式起重机大起重量(t)20111437.80357.18144.78299.69330.3338.41132.50 2.50305.82 3-33汽车式起重机大起重量(t)25111566.79379.34159.50330.17350.2840.73132.50 2.50347.50页脚内容17页脚内容18其中 3-34 汽车式起重机 大 起重量(t ) 30 11 1686.05 411.87 168.30 348.39 378.40 44.00 132.50 2.50 379.09 3-35 汽车式起重机 大 起重量(t ) 40 11 2571.56 631.30 346.37 716.98417.2748.52132.502.50 459.643-36 汽车式起重机 大 起重量(t ) 50 113524.93 1626.71 472.87 978.84 446.51 51.92 132.50 2.503-37 汽车式起重机 特 起重量(t ) 60 11 4049.79 1979.74 516.23 1068.61 485.2156.42 132.50 2.50 3-38 汽车式起重机 特 起重量(t ) 70 11 4790.01 2595.82 547.31 1132.94 513.94 59.76 132.50 2.50 3-39 汽车式起重机 特 起重量(t ) 75 11 5004.31 2696.19 576.78 1193.93 537.41 62.49 132.50 2.50 3-40 汽车式起重机 特 起重量(t ) 80 11 5303.64 2872.70 611.49 1265.78 553.67 64.38 132.50 2.50 3-41 汽车式起重机 特 起重量(t ) 90 11 5635.63 3000.76 669.29 1385.42 580.16 67.46 132.50 2.50 3-42 汽车式起重机 特 起重量(t ) 100 11 6133.92 3288.04 722.33 1495.23 628.32 73.06 132.50 2.50 3-43 汽车式起重机 特 起重量(t ) 110 11 7411.13 4326.36 793.40 1642.33 649.04 75.47 132.50 2.50 3-44汽车式起重机特起重量(t )120118574.06 5316.23 839.77 1738.32679.7479.04132.502.509台班基价 折旧费 定额大修 经常修 燃料动理费 理费 力费 安拆费 及场外运养路费及车船使其中折旧年限三、起重机械费用组成编号机械名称机型规格型号汽油柴油煤电水木柴人工费人工9.908.60600.00 1.00 2.00 2.0053.00元元元元元元元kg kg t kw·h m3kg元工日元3-45汽车式起重机特起重量(t)125119113.485622.19909.201882.05700.0481.40132.50 2.503-46汽车式起重机特起重量(t)1361110223.976403.02983.812036.48800.6693.10132.50 2.503-47汽车式起重机特起重量(t)1501111162.076897.95 1106.032289.49868.60101.00132.50 2.503-48龙门式起重机中起重量(t)512139.2157.047.8821.4452.8552.85132.50 2.503-49龙门式起重机中起重量(t)1012263.90138.689.9327.0088.2988.29132.50 2.503-50龙门式起重机大起重量(t)2012557.15305.2818.8125.96207.10207.10132.50 2.503-51龙门式起重机大起重量(t)3012742.67434.5232.1244.33231.70231.70132.50 2.503-52龙门式起重机大起重量(t)4012943.92523.4144.1260.89315.50315.50132.50 2.503-53龙门式起重机大起重量(t)50121300.17833.3753.2873.52340.00340.00132.50 2.503-54门座吊大起重量(t)30121220.26934.4138.5836.27211.00211.00132.50 2.503-55门座吊特起重量(t)60121935.271302.2166.6362.63503.80503.80132.50 2.50页脚内容19页脚内容20其中 3-56 叉式起重机 中 起重量(t ) 3 12 386.71 60.30 14.42 50.04 261.95 26.46 66.25 1.25 3-57 叉式起重机 中 起重量(t ) 5 12 407.0593.57 17.5360.83235.1227.3466.251.253-58 叉式起重机 中 起重量(t ) 6 12447.19 115.11 18.88 65.52 247.68 28.80 66.25 1.253-59 叉式起重机 大 起重量(t ) 10 12 615.38 154.58 31.41 160.21 269.1831.3066.25 1.25 3-60 塔式起重机 中 起重量(t ) 2 14 153.1676.946.8927.13 42.20 42.20 132.50 2.50 3-61 塔式起重机 大 起重量(t ) 6 14 420.28 247.35 23.88 94.10 54.95 54.95 132.50 2.50 3-62 塔式起重机 大 起重量(t ) 8 14 472.11 277.50 25.2799.5669.78 69.78 132.50 2.50 3-63 塔式起重机 大 起重量(t ) 15 14 779.29 404.94 54.44 214.50 105.41 105.41 132.50 2.50 3-64 塔式起重机 大 起重量(t ) 25 14 1445.22 953.11 63.05 248.41 180.65 180.65 132.50 2.50 3-65 塔式起重机 大 起重量(t ) 40 14 1831.63 1062.41 97.40 383.77 288.05 288.05 132.50 2.50 3-66塔式起重机特起重量(t )60142739.29 1733.78 116.01 457.09432.41432.41132.502.5010台班基价 折旧费 定额大修 经常修 燃料动理费 理费 力费 安拆费 及场外运养路费及车船使其中折旧年限三、起重机械费用组成编号机械名称机型规格型号汽油柴油煤电水木柴人工费人工9.908.60600.00 1.00 2.00 2.0053.00元元元元元元元kg kg t kw·h m3kg元工日元3-67塔式起重机特起重量(t)80143056.221832.72131.07516.43576.00576.00132.50 2.503-68塔式起重机特起重量(t)125144741.572852.73200.17788.67900.00900.00132.50 2.503-69自升式塔式起重机大起重力矩(t∙m)10014688.58387.2742.3588.94170.02170.02132.50 2.503-70自升式塔式起重机大起重力矩(t∙m)12514747.42393.4054.27113.97185.78185.78132.50 2.503-71自升式塔式起重机大起重力矩(t∙m)14514870.75464.5467.08140.88198.25198.25132.50 2.503-72自升式塔式起重机大起重力矩(t∙m)200141030.31527.6785.86180.31236.47236.47132.50 2.503-73自升式塔式起重机特起重力矩(t∙m)300141370.55746.75105.87222.33295.60295.60132.50 2.503-74自升式塔式起重机特起重力矩(t∙m)450141680.051031.19109.44229.82309.60309.60198.75 3.753-75电动双梁起重机中起重量(t)510141.1767.3611.7125.4036.7036.7066.25 1.253-76电动双梁起重机中起重量(t)1010234.28124.6119.5242.3547.8047.8066.25 1.253-77桅杆式起重机中起重量(t)514179.3464.36 4.9120.6018.3771.1071.10132.50 2.50页脚内容21页脚内容22其中 3-78 桅杆式起重机 中 起重量(t ) 10 14 236.44 80.76 5.48 23.03 18.37 108.80 108.80 132.50 2.50 3-79 桅杆式起重机 中 起重量(t ) 15 14 347.68 107.477.1229.9218.37 184.80184.80 132.502.503-80 桅杆式起重机 大 起重量(t ) 40 14512.87 135.59 10.31 43.32 57.05 266.60 266.60132.50 2.503-81 平台吊 小 起重量(t ) 0.75 9 38.49 10.02 0.40 3.24 4.93 19.9019.90 66.25 1.25 3-82少先吊小起重量(t )1932.477.900.403.244.9316.0016.0066.251.2511台班基价 折旧费 定额大修 经常修 燃料动理费 理费 力费 安拆费 及场外运养路费及车船使其中折旧年限四、水平运输机械费用组成其中编号机械名称机型规格型号汽油柴油煤电水木柴人工费人工9.908.600600.000 1.000 2.000 2.00053.00定额元元元元元元kg kg t kw·h m3kg元工日元4-1载重汽车中载重量(t) 2.58371.1238.82 5.8232.65201.5620.3666.25 1.2526.02 4-2载重汽车中载重量(t)48453.8944.867.8443.96252.2525.4866.25 1.2538.73 4-3载重汽车中载重量(t)58503.7751.338.7649.17276.8332.1966.25 1.2551.43 4-4载重汽车中载重量(t)68532.1961.689.9655.87276.8332.1966.25 1.2561.60 4-5载重汽车大载重量(t)88651.7399.2120.1179.02305.2135.4966.25 1.2581.93 4-6载重汽车大载重量(t)108855.70160.0423.6692.97344.2640.03132.50 2.50102.27 4-7载重汽车大载重量(t)128973.99190.6627.30107.28397.9246.27132.50 2.50118.33 4-8载重汽车大载重量(t)1581133.69225.1731.17122.51487.9656.74132.50 2.50134.38 4-9自卸汽车中载重量(t)28344.8955.40 5.4724.29170.9717.2766.25 1.2522.51 4-10自卸汽车中载重量(t)48555.7876.9710.5346.74310.2731.3466.25 1.2545.02页脚内容23页脚内容244-11 自卸汽车 中 载重量(t ) 6 8 648.26 116.68 15.86 70.43 311.84 36.26 66.25 1.25 67.20 4-12 自卸汽车 大 载重量(t ) 8 8 763.17 142.18 26.1287.24352.0040.9366.25 1.2589.384-13 自卸汽车 大 载重量(t ) 10 8 946.48 201.01 29.95 100.02 371.43 43.19 132.50 2.50 111.57 4-14 自卸汽车 大 载重量(t ) 12 8 1009.60 211.30 30.27 101.11 400.6746.59 132.50 2.50 133.75 4-15 自卸汽车 大 载重量(t ) 15 8 1294.21 367.70 39.59 132.20 455.20 52.93 132.50 2.50 167.02 4-16 自卸汽车 大 载重量(t ) 20 8 1522.65 443.20 51.86 173.20 519.44 60.40132.50 2.50 202.45 4-17 平板拖车组 大 载重量(t ) 8 9 709.94 107.72 21.05 56.41 297.50 30.05 132.50 2.5094.764-18 平板拖车组 大 载重量(t ) 10 9 810.24 128.24 24.5665.81351.45 35.50 132.50 2.50 107.68 4-19 平板拖车组 大 载重量(t ) 15 9 1103.16 206.29 30.73 145.37 441.44 44.59 132.502.50 146.83 4-20 平板拖车组 大 载重量(t ) 20 9 1247.24 334.53 36.98 174.91 390.35 45.39 132.50 2.50 177.97 4-21 平板拖车组 大 载重量(t ) 25 9 1398.04 390.28 44.86 212.20 422.52 49.13 132.50 2.50 195.68 4-22平板拖车组大 载重量(t )3091535.88 457.19 49.29 233.13450.3852.37132.502.50 213.3912折旧费定额养路费及车船使其中折 旧 台班基 年 价限 大修 经常修 燃料动理费 理费 力费 安拆费 及场外运四、水平运输机械费用组成其中编号机械名称机型规格型号汽油柴油煤电水木柴人工费人工9.908.600600.000 1.000 2.000 2.00053.00定额元元元元元元kg kg t kw·h m3kg元工日元4-23平板拖车组大载重量(t)4091870.50615.5360.18284.66493.3857.37132.50 2.50284.25 4-24平板拖车组大载重量(t)5092037.22652.3362.97297.84536.4762.38132.50 2.50355.11 4-25平板拖车组大载重量(t)6092231.76702.5164.87306.83599.0869.66132.50 2.50425.97 4-26平板拖车组大载重量(t)8092540.061226.6179.25374.83726.8784.52132.50 2.504-27平板拖车组大载重量(t)10093029.071393.8780.54511.42910.74105.90132.50 2.504-28平板拖车组大载重量(t)15094299.811984.88105.62670.711406.10163.50132.50 2.504-29管子拖车大载重量(t)2482020.67475.5644.39179.331053.50122.50132.50 2.50135.39 4-30管子拖车大载重量(t)2782272.85642.2557.89233.871053.50122.50132.50 2.50152.84 4-31管子拖车大载重量(t)3582482.40754.0368.34276.101053.50122.50132.50 2.50197.93 4-32长材运输车大载重量(t)88701.12166.0016.2693.82358.7941.7266.25 1.25页脚内容25页脚内容264-33 长材运输车 大 载重量(t ) 12 8 930.61 274.28 20.24 116.76 386.83 44.98 132.50 2.50 4-34 长材运输车 大 载重量(t ) 15 8 1254.55 332.54 21.78 125.69443.4251.56132.50 2.50 198.62 4-35 壁板运输车 大 载重量(t ) 8 6 710.34 164.20 16.59 84.96 312.09 36.29 132.50 2.50 4-36 壁板运输车 大 载重量(t ) 15 6 1129.85 424.75 21.78 111.53 439.2951.08132.50 2.50 4-37 自装自卸运输车 大 载重量(t ) 6 8 755.92 115.43 18.23 77.84 478.17 48.30 66.25 1.25 4-38 自装自卸运输车 大 载重量(t ) 8 8 857.79 160.50 19.18 81.91 529.95 53.53 66.251.25 4-39 机动翻斗车 小 载重量(t ) 1 6 164.44 19.62 4.62 18.15 3.94 51.86 6.03 66.25 1.25 4-40 机动翻斗车 中 载重量(t ) 1.5 6 208.42 27.955.3320.93 3.9484.02 9.7766.25 1.25 4-41 油罐车 中 罐容量(L ) 5000 8 560.0087.14 10.1851.82 303.34 30.64 66.251.25 41.27 4-42 油罐车 大 罐容量(L ) 8000 8 662.84 116.47 17.65 89.86 290.68 33.80 66.25 1.25 81.93 4-43 洒水车 中 罐容量(L ) 4000 8 552.2281.96 12.5053.64 296.60 29.96 66.251.25 41.27 4-44洒水车大 罐容量(L )80008659.87 110.86 22.12 94.91283.8033.00 66.251.2581.9313折旧费定额养路费 及车船使其中折 旧 台班基 年 价限 大修 经常修 燃料动理费 理费 力费 安拆费 及场外运四、水平运输机械费用组成其中编号机械名称机型规格型号汽油柴油煤电水木柴人工费人工9.908.600600.000 1.000 2.000 2.00053.00定额元元元元元元kg kg t kw·h m3kg元工日元4-45轨道拖车头中功率(kw)3011267.15114.249.0919.0958.48 6.8066.25 1.254-46轨道平车小载重量(t)5821.0513.68 2.38 4.994-47轨道平车中载重量(t)10870.4660.64 3.17 6.65页脚内容27页脚内容2814折旧费 定额养路费 及车船使其中折 旧 台班基 年价限大修 经常修 燃料动理费 理费 力费安拆费 及场外运五、垂直运输机械费用组成编号机械名称机型规格型号汽油柴油煤电水木柴人工费人工9.908.60600.00 1.00 2.00 2.0053.00定额元元元元元元kg kg t kw·h m3kg元工日元5-1电动卷扬机单筒快速小牵引力(t)0.51091.87 1.84 1.19 3.19 4.7014.7014.7066.25 1.255-2电动卷扬机单筒快速小牵引力(t)110115.81 4.39 2.06 5.51 4.7032.9032.9066.25 1.255-3电动卷扬机单筒快速小牵引力(t) 1.510137.06 6.02 2.947.85 4.7049.3049.3066.25 1.255-4电动卷扬机单筒快速小牵引力(t)210159.488.21 3.609.62 4.7067.1067.1066.25 1.255-5电动卷扬机双筒快速小牵引力(t)110176.7112.18 2.20 5.88 4.7085.5085.5066.25 1.255-6电动卷扬机双筒快速小牵引力(t)310210.7825.00 4.3111.52 4.7099.0099.0066.25 1.255-7电动卷扬机双筒快速小牵引力(t)510245.8930.80 4.9413.20 4.70126.00126.0066.25 1.255-8电动卷扬机单筒慢速小牵引力(t)310128.518.57 4.2211.27 4.7033.5033.5066.25 1.255-9电动卷扬机单筒慢速小牵引力(t)510133.2110.76 4.8813.02 4.7033.6033.6066.25 1.255-10电动卷扬机单筒慢速小牵引力(t)810198.5831.30 6.0827.25 4.7063.0063.0066.25 1.255-11电动卷扬机单筒慢速中牵引力(t)1010275.60103.38 6.9831.29 4.7063.0063.0066.25 1.25页脚内容29页脚内容30其中 5-12 电动卷扬机 单筒慢速 中 牵引力(t ) 20 10 509.26 164.28 10.72 64.02 17.49 186.50 186.50 66.25 1.25 5-13 电动卷扬机 单筒慢速 中 牵引力(t ) 30 10 782.70 227.30 11.6369.4317.49 390.60390.60 66.251.255-14 电动卷扬机 双筒慢速 小 牵引力(t ) 3 10147.55 24.43 4.48 12.49 4.70 35.20 35.2066.25 1.255-15 电动卷扬机 双筒慢速 小 牵引力(t ) 5 10 171.21 29.39 5.19 14.48 4.70 51.2051.20 66.25 1.25 5-16 电动卷扬机 双筒慢速 小 牵引力(t ) 8 10 231.27 38.38 6.11 45.43 4.70 70.40 70.40 66.25 1.25 5-17 电动卷扬机双筒慢速中 牵引力(t ) 10 10 300.00 99.49 7.01 52.15 4.70 70.40 70.40 66.25 1.25 5-18 卷扬机带塔 (H=40m ) 中 牵引力(t ) 3~5 10 177.08 31.51 7.45 20.78 17.49 33.60 33.60 66.25 1.25 5-19 皮带运输机 小 水平运输距离(m ) 10 10 136.68 17.74 4.68 16.43 13.08 18.50 18.50 66.25 1.25 5-20 皮带运输机 小 水平运输距离(m ) 15 10 144.51 20.92 5.25 18.43 13.08 20.58 20.58 66.25 1.25 5-21 皮带运输机 小 水平运输距离(m ) 20 10 157.81 25.58 5.85 20.52 13.08 26.53 26.53 66.25 1.25 5-22皮带运输机小水平运输距离(m )3010172.6827.867.0024.5813.0833.9133.9166.251.2515台班基价 折旧费 定额养路费及车船使其中大修 经常修 燃料动理费 理费 力费 安拆费 及场外运折旧年限五、垂直运输机械费用组成编号机械名称机型规格型号汽油柴油煤电水木柴人工费人工9.908.60600.00 1.00 2.00 2.0053.00定额元元元元元元kg kg t kw·h m3kg元工日元5-23单笼施工电梯中提升高度(m)7512300.29129.3419.6839.3645.6645.6666.25 1.255-24单笼施工电梯中提升高度(m)10012322.68142.0022.9245.8545.6645.6666.25 1.255-25单笼施工电梯中提升高度(m)13012358.11158.5229.5944.3959.3659.3666.25 1.255-26双笼施工电梯中提升高度(m)10012431.13177.2335.2670.5381.8681.8666.25 1.255-27双笼施工电梯大提升高度(m)20012544.08195.7648.8573.28159.94159.9466.25 1.255-28电动葫芦单速小起重量(t)2840.4011.90 2.237.3718.9018.905-29电动葫芦单速小起重量(t)3848.7618.37 2.678.8218.9018.905-30电动葫芦单速小起重量(t)5868.3823.10 3.8812.8028.6028.605-31电动葫芦双速小起重量(t)108124.0540.078.6022.5352.8552.855-32电动葫芦双速小起重量(t)208195.7358.629.7825.63101.70101.705-33电动葫芦双速小起重量(t)308262.5479.7910.5527.63144.57144.57页脚内容31页脚内容32其中16台班基价 折旧费 定额养路费 及车船使其中 大修 经常修 燃料动理费 理费 力费安拆费 及场外运折 旧年限。
说明
一、《湖南省施工机械台班费用组成》是根据《全国统一施工机械台班费用编制规则》和参照有关部、省颁发的机械台班费用定额,结合湖南省的现行规定而编制的。
二、施工机械台班费用组成包括下列内容。
1.折旧费:指施工机械在规定的使用期限内陆续回收其原值的费用。
计算折旧费时,考虑了机械设备购置手续费、一次运杂费和购置时应缴纳的各种税费,扣除了机械设备的残值,同时考虑了购置机械设备资金的时间价值系数。
2.大修理费:指机械设备在规定的耐用总台班中应进行的大修理,以恢复其正常功能所需的费用。
3.经常修理费:指机械设备的各级保养及临时故障排除所需的费用;为保障机械正常运转所需替换设备,随机使用工具附具摊销和维护费用;机械运转与日常保养所需的润滑油脂、擦拭材料(布及棉纱头等)和机械停滞期间的维护保养费用等。
4.安拆费及场外运费:指机械设备在施工现场进行安装、拆卸所需的人工、材料、机械费、试运转及安装所需要的辅助设备的费用;机械整体或分件自施工企业停放场地运至施工现场或甲工地运至乙工地,运距在25km以内一次进出场运杂费(包括装卸、运输及辅助材料费)。
5.机械管理费:指施工机械规定的年工作台班以外的管理费用。
6.其他费用:指施工机械按国家有关规定应缴纳的车船使用税、车检费、牌照工本费等。
7.人工:指机上司机、司炉及其他操作人员的工日。
8.燃料动力:指机械在施工作业时运转所耗用的电力、燃料(柴油、汽油、煤、木柴)和水等。
三、每台班按8小时工作制计算。
四、盾构掘进机械台班费用组成中未包括安拆费、场外运费、人工、燃料动力的消耗。
顶管设备台班费用组成中未包括人工的消耗。
五、单独计算的项目的有关说明。
1.轨道安装拆卸项目中以直线型为准。
其中枕木和轨道的消耗量为摊销量。
2.固定式基础按建筑工程消耗量标准(基价表)相应项目执行。
3.机械场外运输为25km以内的机械进出场费用,包括机械的回程费用。
4.机械场外运输未列汽车式钻孔机、轮胎式装栽机、自行式铲运机和汽车式起重机等能自行的特、大型的机械,其进出场费用按本机台班0.5台班计算。
5自升式塔式起重机安装拆卸和场外运输项目是按塔高50m以内制定的,塔高为50m以上时,可按塔高50m以内的消耗量乘以下列系数:
6.未列项目的部分特大型机械的一次进出场、安装拆卸项目可按实际发生的消耗量计算。
六、机械台班拆旧费、大修理费、经常修理费是依据国家施工机械台班费用编制规则统一规定的拆旧年限、年工作台班等计算。
施工单位自备施工机械,其机械停滞费按台班拆旧费加台班其他费用计算,机械停滞台班及机械操作人工数量按双方签证计算。
施工单位租凭施工机械,其机械停滞台班单价及机械操作人工费凭租合同与按市场租凭费用以及工期延误、机械停滞数量,经发包方确认后予以增加。