全国海关代码
- 格式:doc
- 大小:43.00 KB
- 文档页数:19
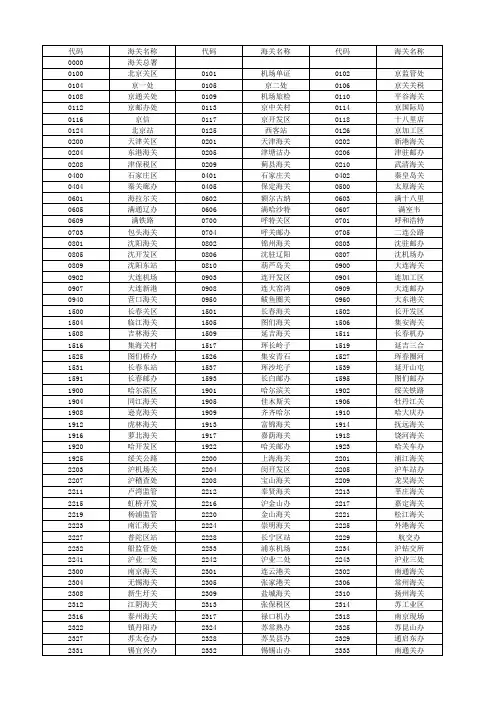
0101 机场单证0102 京监管处0103 京关展览0104 京一处0105 京二处0106 京关关税0107 机场库区0108 京通关处0109 机场旅检0110 平谷海关0111 京五里店0112 京邮办处0113 京中关村0114 京国际局0115 京东郊站0116 京信0117 京开发区0118 十八里店0119 机场物流0121 京调查局0123 机场调技0124 北京站0125 西客站0126 京加工区0127 京快件0128 京顺义办0200 天津关区0201 天津海关0202 新港海关0203 津开发区0204 东港海关0205 津塘沽办0206 津驻邮办0207 津机场办0208 津保税区0209 蓟县海关0210 武清海关0211 津加工区0212 天津保税物流园区0220 津关税处0400 石家庄区0401 石家庄关0402 秦皇岛关0403 唐山海关0404 廊坊海关0405 保定海关0406 石家庄海关驻邯郸0407 秦加工区0408 中华人民共和国沧0500 太原海关0501 并关监管0502 太原机场海关0503 大同海关0504 侯马海关0600 满洲里关0601 海拉尔关0602 额尔古纳0603 满十八里0604 满赤峰办0605 满通辽办0606 满哈沙特0607 满室韦0608 满互贸区0609 满铁路0610 满市区0700 呼特关区0701 呼和浩特0702 二连海关0703 包头海关0704 呼关邮办0705 二连公路0706 包头海关驻国际集0707 策克口岸0708 甘其毛道口岸0709 满都拉口岸0710 珠恩嘎达布其口岸0800 沈阳关区0801 沈阳海关0802 锦州海关0803 沈驻邮办0804 沈驻抚顺0805 沈开发区0806 沈驻辽阳0807 沈机场办0808 沈集装箱0809 沈阳东站0810 葫芦岛关0900 大连海关0901 大连港湾海关0902 大连机场0903 连开发区0904 连加工区0905 大连开发区海关驻0906 连保税区0907 大连保税物流园区0908 连大窑湾0909 大连邮办0930 丹东海关0931 丹东海关驻本溪办0932 太平湾海关0940 营口海关0941 营口海关驻盘锦办0950 鲅鱼圈关0960 大东港关0980 鞍山海关1500 长春关区1501 长春海关1502 长开发区1503 长白海关1504 临江海关1505 图们海关1506 集安海关1507 珲春海关1508 吉林海关1509 延吉海关1511 长春机办1515 图们车办1516 集海关村1517 珲长岭子1518 吉林海关驻车站办1519 延吉三合1521 一汽场站1525 图们桥办1526 集安青石1527 珲春圈河1529 延吉南坪1531 长春东站1537 珲沙坨子1539 延开山屯1547 珲加工区1549 延古城里1559 延吉邮办1591 长春邮办1593 长白邮办1595 图们邮办1596 集安邮办1900 哈尔滨区1901 哈尔滨关1902 绥关铁路1903 黑河海关1904 同江海关1905 佳木斯关1906 牡丹江关1907 东宁海关1908 逊克海关1909 齐齐哈尔1910 大庆海关1911 密山海关1912 虎林海关1913 富锦海关1914 抚远海关1915 漠河海关1916 萝北海关1917 嘉荫海关1918 饶河海关1919 哈内陆港1920 哈开发区1922 哈关邮办1923 哈关车办1924 哈关机办1925 绥关公路2200 上海海关2201 浦江海关2202 吴淞海关2203 沪机场关2204 闵开发区2205 沪车站办2206 沪邮局办2207 沪稽查处2208 宝山海关2209 龙吴海关2210 浦东海关2211 卢湾监管2212 奉贤海关2213 莘庄海关2214 漕河泾发2215 虹桥开发2216 沪金山办2217 嘉定海关2218 外高桥关2219 杨浦监管2220 金山海关2221 松江海关2222 青浦海关2223 南汇海关2224 崇明海关2225 外港海关2226 贸易网点2227 普陀区站2228 长宁区站2229 航交办2230 徐汇区站2231 洋山海关驻市内报2232 船监管处2233 浦东机场2234 沪钻交所2235 松江加工2236 洋山海关驻芦潮港2237 上海松江出口加工2238 上海青浦出口加工2239 上海闵行出口加工2240 上海漕河泾出口加2241 沪业一处2242 沪业二处2243 沪业三处2244 上海快件2245 沪金桥办2246 上海保税物流园区2247 上海海关驻化学工2248 洋山海关(港区)2249 洋山海关(保税)2300 南京海关2301 连云港关2302 南通海关2303 苏州海关2304 无锡海关2305 张家港关2306 常州海关2307 镇江海关2308 新生圩关2309 盐城海关2310 扬州海关2311 徐州海关2312 江阴海关2313 张保税区2314 苏工业区2315 淮安海关2316 泰州海关2317 禄口机办2318 南京现场2321 常溧阳办2322 镇丹阳办2324 苏常熟办2325 苏昆山办2326 苏吴江办2327 苏太仓办2328 苏吴县办2329 通启东办2330 扬泰兴办2331 锡宜兴办2332 锡锡山办2333 南通关办2335 昆山加工2336 苏园加工2337 连开发办2338 苏关邮办2339 南通海关驻出口加2340 无锡海关驻出口加2341 连云港海关驻连云2342 南京海关驻江苏南2343 南京海关驻江苏南2344 苏州海关驻苏州高2345 镇江海关驻镇江出2346 苏州工业园区海关2347 苏州工业园区海关2348 张家港保税物流园2349 南京海关驻邮局办2900 杭州关区2901 杭州海关2903 温州海关2904 舟山海关2905 台州海关2906 绍兴海关2907 湖州海关2908 嘉兴海关2909 杭经开关2910 杭州萧山机场海关2911 杭关邮办2912 杭关萧办2916 杭州海关驻机场办2918 杭关余办2919 杭富阳办2920 金华海关2921 金华海关驻义乌办2931 温关邮办2932 温经开关2933 温关机办2934 温关鳌办2935 温州海关驻瑞安办2936 温州海关驻乐清办2941 舟山海关驻嵊泗办2951 台州海关驻临海办2961 绍兴海关驻上虞办2962 绍兴海关驻诸暨办2981 嘉关乍办2982 嘉兴海关驻嘉善办2991 杭州经济技术开发3100 宁波关区3101 宁波海关3102 镇海海关3103 甬开发区3104 北仑海关3105 甬保税区3106 大榭海关3107 甬驻余办3108 甬驻慈办3109 甬机场办3110 象山海关3111 宁波保税区海关驻3112 宁波保税物流园区3300 合肥海关3301 芜湖海关3302 安庆海关3303 马鞍山关3304 黄山海关3305 蚌埠海关3306 铜陵海关3307 阜阳海关3310 合肥现场3312 芜湖海关驻出口加3500 福州关区3501 马尾海关3502 福清海关3503 宁德海关3504 三明海关3505 福保税区3506 莆田海关3507 福关机办3508 福榕通办3509 福关邮办3510 南平海关3511 武夷山关3513 福现业处3518 福关鳌办3519 福关马港3700 厦门关区3701 厦门海关3702 泉州海关3703 漳州海关3704 东山海关3705 石狮海关3706 龙岩海关3707 厦肖厝关3710 厦高崎办3711 厦门东渡海关3712 厦海沧办3713 厦驻邮办3714 象屿保税3715 高崎机场海关3716 厦同安办3719 厦门加工3722 厦门海关驻同安办3777 厦稽查处3788 厦侦查局4000 南昌关区4001 南昌海关4002 九江海关4003 赣州海关4004 景德镇关4005 吉安海关4006 昌北机办4007 南昌海关驻高新技4008 南昌海关驻龙南办4200 青岛海关4201 烟台海关4202 日照海关4203 龙口海关4204 威海海关4205 济南海关4206 潍坊海关4207 淄博海关4209 荣成海关4210 青保税区4211 济宁海关4212 泰安海关4213 临沂海关4214 青前湾港4215 青菏泽办4216 东营海关4217 青枣庄办4218 青开发区4219 蓬莱海关4220 青机场关4221 烟机场办4222 莱州海关4223 青邮局办4224 龙长岛办4225 威开发区4226 青聊城办4227 青岛大港4228 烟关快件4229 德州海关4230 青岛保税物流园区4231 烟开发区4232 日岚山办4233 济机场办4234 济南海关驻出口加4235 济邮局办4236 荣成海关驻龙眼港4237 济通关处4238 威海关驻威海邮局4239 潍诸城办4240 青保税处4241 烟加工区4242 威加工区4243 济宁海关驻曲阜办4244 青岛海关驻滨州办4245 烟台海关驻邮局办4246 青加工区4247 威海海关驻机场办4248 青岛海关驻莱芜办4249 潍坊海关驻出口加4600 郑州关区4601 郑州海关4602 洛阳海关4603 南阳海关4604 郑州机办4605 郑州邮办4606 郑铁东办4607 郑安阳办4608 郑州海关驻出口加4609 郑州海关驻商丘办4610 周口海关4700 武汉海关4701 宜昌海关4702 荆州海关4703 襄樊海关4704 黄石海关4705 武汉沌口4706 宜三峡办4707 鄂加工区4708 武关江办4710 武关货管4711 武关江岸4712 武关机场4713 武关邮办4716 十堰海关4900 长沙关区4901 衡阳海关4902 岳阳海关4903 衡关郴办4904 常德海关4905 长沙海关4906 株洲海关4907 韶山海关4908 湘关机办5000 广东分署5100 广州海关5101 广州新风5103 清远海关5104 清远英德5105 新风白云5106 小虎码头5107 肇庆封开5108 肇庆德庆5109 新风窖心5110 南海海关5111 南海官窑5112 南海九江5113 南海北村5114 南海平洲5116 南海业务5117 桂江货柜车场5118 平洲旅检5119 南海三山5120 广州内港5121 内港芳村5122 内港洲嘴5123 内港四仓5125 从化海关5126 内港赤航5130 广州萝岗5131 花都海关5132 花都码头5133 萝岗石牌5134 穗保税处5135 穗稽查处[广告] 专业办理食品,红酒(酒类),化妆品,旧机械进口报关报检(船长)中级会员UID 1114 698精华0积分1614 帖子122 福步币75块阅读权限40注册2009 -8-26来自青岛状态离线#2使用道具发表于2010-11-18 16:10 资料个人空间个人短信加为好友只看该作者全国各地海关代码二5136 穗统计处5137 穗价格处5138 穗调查局5139 穗监管处5140 穗关税处5141 广州机场5142 民航快件5143 广州车站5144 穗州头咀5145 广州邮办5146 穗交易会5147 穗邮办监5148 穗大郎站5149 大铲海关5150 顺德海关5151 顺德海关加工贸易5152 顺德食出5153 顺德车场5154 北窖车场5155 顺德旅检5158 顺德勒流5160 番禺海关5161 沙湾车场5162 番禺旅检5163 番禺货柜5164 番禺船舶5165 南沙旅检5166 广州番禺海关南沙5167 南沙货港5168 番禺海关加工贸易5169 番禺东发5170 肇庆海关5171 肇庆高要5172 肇庆车场5173 肇庆保税5174 肇庆旅检5175 肇庆码头5176 肇庆四会5177 肇庆三榕5178 云浮海关5179 罗定海关5180 佛山海关5181 高明海关5182 佛山澜石5183 三水码头5184 佛山窖口5185 佛山海关快件监管5186 佛山保税5187 佛山车场5188 佛山火车5189 佛山新港5190 韶关海关5191 韶关乐昌5192 三水海关5193 三水车场5194 三水港5195 审单中心5196 云浮六都5197 机场旅检5198 穗河源关5199 穗技术处5200 黄埔关区5201 埔老港办5202 埔新港办5203 新塘海关5204 东莞海关5205 太平海关5206 惠州海关5207 凤岗海关5208 埔开发区5210 埔红海办5211 河源海关5212 新沙海关5213 埔长安办5214 常平办事处5216 太平海关驻沙田办5300 深圳海关5301 皇岗海关5302 罗湖海关5303 沙头角关5304 蛇口海关5305 深关现场5306 笋岗海关5307 南头海关5308 沙湾海关5309 布吉海关5310 淡水办5311 深关车站5312 深监管处5313 深调查局5314 深关邮办5315 惠东海关5316 大鹏海关5317 深关机场5318 梅林海关5319 同乐海关5320 文锦渡关5321 福保税关5322 沙保税关5323 深审单处5324 深审价办5325 深关税处5326 深数统处5327 深法规处5328 深规范处5329 深保税处5330 盐保税关5331 三门岛办5332 深财务处5333 深侦查局5334 深稽查处5335 深技术处5336 深办公室5337 大亚湾核5338 惠州港关5339 深加工区5340 深关特办5341 深惠州关5342 深红海办5700 拱北关区5701 拱稽查处5710 拱关闸办5720 中山海关5721 中山港5724 中石岐办5725 坦洲货场5727 中小揽办5728 中山海关驻神湾港5730 拱香洲办5740 湾仔海关5741 湾仔船舶5750 九洲海关5760 拱白石办5770 斗门海关5771 斗井岸办5772 斗平沙办5780 高栏海关5790 拱监管处5792 拱保税区5793 万山海关5795 横琴海关5798 拱行监邮5799 拱行监处6000 汕头海关6001 汕关货一6002 汕关货二6003 汕关行邮6004 汕关机场6006 汕关保税6007 汕关业务6008 汕保税区6009 汕关邮包6011 榕城海关6012 汕关普宁6013 外砂海关6014 广澳海关6015 南澳海关6018 汕关惠来6019 汕关联成6020 汕关港口6021 潮州海关6022 饶平海关6028 潮阳海关6031 汕尾海关6032 汕关海城6033 汕关陆丰6041 梅州海关6042 梅州兴宁6400 海口关区6401 海口海关6402 三亚海关6403 八所海关6404 洋浦海关6405 海保税区6406 清澜海关6407 美兰机场6700 湛江关区6701 湛江海关6702 茂名海关6703 徐闻海关6704 湛江南油6705 湛江水东6706 湛江吴川6707 湛江廉江6708 湛江高州6709 湛江信宜6710 东海岛组6711 霞山海关6712 湛江霞海6713 湛江机场6800 江门关区6810 江门海关6811 江门高沙6812 江门外海6813 江门旅检6816 江门市进出境货运6817 江门保税6820 新会海关6821 新会港6827 新会稽查6830 台山海关6831 台公益港6837 台山稽查6840 三埠海关6841 三埠码头6847 三埠稽查6850 恩平海关6851 恩平港6857 恩平稽查6860 鹤山海关6861 鹤山码头6867 鹤山稽查6870 阳江海关6871 阳江港6872 阳江车场6877 阳江稽查7200 南宁关区7201 南宁海关7202 北海海关7203 梧州海关7204 桂林海关7205 柳州海关7206 防城海关7207 东兴海关7208 凭祥海关7209 贵港海关7210 水口海关7211 龙邦海关7212 钦州海关7213 桂林机办7214 北海海关驻出口加7900 成都关区7901 成都海关7902 成关机办7903 乐山海关7904 攀枝花关7905 绵阳海关7906 成关邮办7907 成都自贡7908 成都加工7909 成都公路国际物流7910 成都海关驻机场办7911 成都海关驻泸州办8000 重庆关区8001 重庆海关8002 南坪开发8003 重庆机办8004 重庆邮办8005 万州海关8006 重庆东站8007 九龙坡港8008 渝加工区8300 贵阳海关8301 贵阳总关8302 贵阳海关驻机场办8600 昆明关区8601 昆明海关8602 畹町海关8603 瑞丽海关8604 章凤海关8605 盈江海关8606 孟连海关8607 南伞海关8608 孟定海关8609 打洛海关8610 腾冲海关8611 沧源海关8612 勐腊海关8613 河口海关8614 金水河关8615 天保海关8616 田蓬海关8617 大理海关8618 芒市海关8619 保山监管8620 昆明机场8621 昆明邮办8622 西双版纳8623 昆丽江办8624 思茅海关8626 六库监管8800 拉萨海关8801 聂拉木关8802 日喀则关8803 狮泉河关8804 拉萨机办8805 拉萨现场9000 西安关区9001 西安海关9002 咸阳机场9003 宝鸡海关9004 西安海关邮局办事9005 西安海关驻出口加9400 乌关区9401 乌鲁木齐9402 霍尔果斯9403 吐尔尕特9404 阿拉山口9405 塔城海关9406 伊宁海关9407 吉木乃办9408 喀什海关9409 红其拉甫9410 乌鲁木齐海关隶属9411 塔克什肯9412 乌拉斯太9413 老爷庙9414 红山嘴9415 伊尔克什9416 库尔勒办9417 乌鲁木齐机场海关9418 乌鲁木齐海关驻出9500 兰州关区9501 兰州海关9505 兰州海关驻天水监9600 银川海关9601 银川海关业务现场9700 西宁关区9701 西宁海关现场9900 政法司。
0101 机场单证0102 京监管处0103 京关展览0104 京一处0105 京二处0106 京关关税0107 机场库区0108 京通关处0109 机场旅检0110 平谷海关0111 京五里店0112 京邮办处0113 京中关村0114 京国际局0115 京东郊站0116 京信0117 京开发区0118 十八里店0119 机场物流0121 京调查局0123 机场调技0124 北京站0125 西客站0126 京加工区0127 京快件0128 京顺义办0200 天津关区0201 天津海关0202 新港海关0203 津开发区0204 东港海关0205 津塘沽办0206 津驻邮办0207 津机场办0208 津保税区0209 蓟县海关0210 武清海关0211 津加工区0212 天津保税物流园区0220 津关税处0400 石家庄区0401 石家庄关0402 秦皇岛关0403 唐山海关0404 廊坊海关0405 保定海关0406 石家庄海关驻邯郸0407 秦加工区0408 中华人民共和国沧0500 太原海关0501 并关监管0502 太原机场海关0503 大同海关0504 侯马海关0600 满洲里关0601 海拉尔关0602 额尔古纳0603 满十八里0604 满赤峰办0605 满通辽办0606 满哈沙特0607 满室韦0608 满互贸区0609 满铁路0610 满市区0700 呼特关区0701 呼和浩特0702 二连海关0703 包头海关0704 呼关邮办0705 二连公路0706 包头海关驻国际集0707 策克口岸0708 甘其毛道口岸0709 满都拉口岸0710 珠恩嘎达布其口岸0800 沈阳关区0801 沈阳海关0802 锦州海关0803 沈驻邮办0804 沈驻抚顺0805 沈开发区0806 沈驻辽阳0807 沈机场办0808 沈集装箱0809 沈阳东站0810 葫芦岛关0900 大连海关0901 大连港湾海关0902 大连机场0903 连开发区0904 连加工区0905 大连开发区海关驻0906 连保税区0907 大连保税物流园区0908 连大窑湾0909 大连邮办0930 丹东海关0931 丹东海关驻本溪办0932 太平湾海关0940 营口海关0941 营口海关驻盘锦办0950 鲅鱼圈关0960 大东港关0980 鞍山海关1500 长春关区1501 长春海关1502 长开发区1503 长白海关1504 临江海关1505 图们海关1506 集安海关1507 珲春海关1508 吉林海关1509 延吉海关1511 长春机办1515 图们车办1516 集海关村1517 珲长岭子1518 吉林海关驻车站办1519 延吉三合1521 一汽场站1525 图们桥办1526 集安青石1527 珲春圈河1529 延吉南坪1531 长春东站1537 珲沙坨子1539 延开山屯1547 珲加工区1549 延古城里1559 延吉邮办1591 长春邮办1593 长白邮办1595 图们邮办1596 集安邮办1900 哈尔滨区1901 哈尔滨关1902 绥关铁路1903 黑河海关1904 同江海关1905 佳木斯关1906 牡丹江关1907 东宁海关1908 逊克海关1909 齐齐哈尔1910 大庆海关1911 密山海关1912 虎林海关1913 富锦海关1914 抚远海关1915 漠河海关1916 萝北海关1917 嘉荫海关1918 饶河海关1919 哈内陆港1920 哈开发区1922 哈关邮办1923 哈关车办1924 哈关机办1925 绥关公路2200 上海海关2201 浦江海关2202 吴淞海关2203 沪机场关2204 闵开发区2205 沪车站办2206 沪邮局办2207 沪稽查处2208 宝山海关2209 龙吴海关2210 浦东海关2211 卢湾监管2212 奉贤海关2213 莘庄海关2214 漕河泾发2215 虹桥开发2216 沪金山办2217 嘉定海关2218 外高桥关2219 杨浦监管2220 金山海关2221 松江海关2222 青浦海关2223 南汇海关2224 崇明海关2225 外港海关2226 贸易网点2227 普陀区站2228 长宁区站2229 航交办2230 徐汇区站2231 洋山海关驻市内报2232 船监管处2233 浦东机场2234 沪钻交所2235 松江加工2236 洋山海关驻芦潮港2237 上海松江出口加工2238 上海青浦出口加工2239 上海闵行出口加工2240 上海漕河泾出口加2241 沪业一处2242 沪业二处2243 沪业三处2244 上海快件2245 沪金桥办2246 上海保税物流园区2247 上海海关驻化学工2248 洋山海关(港区)2249 洋山海关(保税)2300 南京海关2301 连云港关2302 南通海关2303 苏州海关2304 无锡海关2305 张家港关2306 常州海关2307 镇江海关2308 新生圩关2310 扬州海关2311 徐州海关2312 江阴海关2313 张保税区2314 苏工业区2315 淮安海关2316 泰州海关2317 禄口机办2318 南京现场2321 常溧阳办2322 镇丹阳办2324 苏常熟办2325 苏昆山办2326 苏吴江办2327 苏太仓办2328 苏吴县办2329 通启东办2330 扬泰兴办2331 锡宜兴办2332 锡锡山办2333 南通关办2335 昆山加工2336 苏园加工2337 连开发办2338 苏关邮办2339 南通海关驻出口加2340 无锡海关驻出口加2341 连云港海关驻连云2342 南京海关驻江苏南2343 南京海关驻江苏南2344 苏州海关驻苏州高2345 镇江海关驻镇江出2346 苏州工业园区海关2347 苏州工业园区海关2348 张家港保税物流园2349 南京海关驻邮局办2900 杭州关区2901 杭州海关2903 温州海关2904 舟山海关2905 台州海关2906 绍兴海关2907 湖州海关2909 杭经开关2910 杭州萧山机场海关2911 杭关邮办2912 杭关萧办2916 杭州海关驻机场办2918 杭关余办2919 杭富阳办2920 金华海关2921 金华海关驻义乌办2931 温关邮办2932 温经开关2933 温关机办2934 温关鳌办2935 温州海关驻瑞安办2936 温州海关驻乐清办2941 舟山海关驻嵊泗办2951 台州海关驻临海办2961 绍兴海关驻上虞办2962 绍兴海关驻诸暨办2981 嘉关乍办2982 嘉兴海关驻嘉善办2991 杭州经济技术开发3100 宁波关区3101 宁波海关3102 镇海海关3103 甬开发区3104 北仑海关3105 甬保税区3106 大榭海关3107 甬驻余办3108 甬驻慈办3109 甬机场办3110 象山海关3111 宁波保税区海关驻3112 宁波保税物流园区3300 合肥海关3301 芜湖海关3302 安庆海关3303 马鞍山关3304 黄山海关3305 蚌埠海关3306 铜陵海关3307 阜阳海关3310 合肥现场3312 芜湖海关驻出口加3500 福州关区3501 马尾海关3502 福清海关3503 宁德海关3504 三明海关3505 福保税区3506 莆田海关3507 福关机办3508 福榕通办3509 福关邮办3510 南平海关3511 武夷山关3513 福现业处3518 福关鳌办3519 福关马港3700 厦门关区3701 厦门海关3702 泉州海关3703 漳州海关3704 东山海关3705 石狮海关3706 龙岩海关3707 厦肖厝关3710 厦高崎办3711 厦门东渡海关3712 厦海沧办3713 厦驻邮办3714 象屿保税3715 高崎机场海关3716 厦同安办3719 厦门加工3722 厦门海关驻同安办3777 厦稽查处3788 厦侦查局4000 南昌关区4001 南昌海关4002 九江海关4003 赣州海关4004 景德镇关4005 吉安海关4006 昌北机办4007 南昌海关驻高新技4008 南昌海关驻龙南办4200 青岛海关4201 烟台海关4202 日照海关4203 龙口海关4204 威海海关4205 济南海关4206 潍坊海关4207 淄博海关4209 荣成海关4210 青保税区4211 济宁海关4212 泰安海关4213 临沂海关4214 青前湾港4215 青菏泽办4216 东营海关4217 青枣庄办4218 青开发区4219 蓬莱海关4220 青机场关4221 烟机场办4222 莱州海关4223 青邮局办4224 龙长岛办4225 威开发区4226 青聊城办4227 青岛大港4228 烟关快件4229 德州海关4230 青岛保税物流园区4231 烟开发区4232 日岚山办4233 济机场办4234 济南海关驻出口加4235 济邮局办4236 荣成海关驻龙眼港4237 济通关处4238 威海关驻威海邮局4239 潍诸城办4240 青保税处4241 烟加工区4242 威加工区4243 济宁海关驻曲阜办4244 青岛海关驻滨州办4245 烟台海关驻邮局办4246 青加工区4247 威海海关驻机场办4248 青岛海关驻莱芜办4249 潍坊海关驻出口加4600 郑州关区4601 郑州海关4602 洛阳海关4603 南阳海关4604 郑州机办4605 郑州邮办4606 郑铁东办4607 郑安阳办4608 郑州海关驻出口加4609 郑州海关驻商丘办4610 周口海关4700 武汉海关4701 宜昌海关4702 荆州海关4703 襄樊海关4704 黄石海关4705 武汉沌口4706 宜三峡办4707 鄂加工区4708 武关江办4710 武关货管4711 武关江岸4712 武关机场4713 武关邮办4716 十堰海关4900 长沙关区4901 衡阳海关4902 岳阳海关4903 衡关郴办4904 常德海关4905 长沙海关4906 株洲海关4907 韶山海关4908 湘关机办5000 广东分署5100 广州海关5101 广州新风5103 清远海关5104 清远英德5105 新风白云5106 小虎码头5107 肇庆封开5108 肇庆德庆5109 新风窖心5110 南海海关5111 南海官窑5112 南海九江5113 南海北村5114 南海平洲5116 南海业务5117 桂江货柜车场5118 平洲旅检5119 南海三山5120 广州内港5121 内港芳村5122 内港洲嘴5123 内港四仓5125 从化海关5126 内港赤航5130 广州萝岗5131 花都海关5132 花都码头5133 萝岗石牌5134 穗保税处5135 穗稽查处5136 穗统计处5137 穗价格处5138 穗调查局5139 穗监管处5140 穗关税处5141 广州机场5142 民航快件5143 广州车站5144 穗州头咀5145 广州邮办5146 穗交易会5147 穗邮办监5148 穗大郎站5149 大铲海关5150 顺德海关5151 顺德海关加工贸易5152 顺德食出5153 顺德车场5154 北窖车场5155 顺德旅检5158 顺德勒流5160 番禺海关5161 沙湾车场5162 番禺旅检5163 番禺货柜5164 番禺船舶5165 南沙旅检5166 广州番禺海关南沙5167 南沙货港5168 番禺海关加工贸易5169 番禺东发5170 肇庆海关5171 肇庆高要5172 肇庆车场5173 肇庆保税5174 肇庆旅检5175 肇庆码头5176 肇庆四会5177 肇庆三榕5178 云浮海关5179 罗定海关5180 佛山海关5181 高明海关5182 佛山澜石5183 三水码头5184 佛山窖口5185 佛山海关快件监管5186 佛山保税5187 佛山车场5188 佛山火车5189 佛山新港5190 韶关海关5191 韶关乐昌5192 三水海关5193 三水车场5194 三水港5195 审单中心5196 云浮六都5197 机场旅检5198 穗河源关5199 穗技术处5200 黄埔关区5201 埔老港办5202 埔新港办5203 新塘海关5204 东莞海关5205 太平海关5206 惠州海关5207 凤岗海关5208 埔开发区5210 埔红海办5211 河源海关5212 新沙海关5213 埔长安办5214 常平办事处5216 太平海关驻沙田办5300 深圳海关5301 皇岗海关5302 罗湖海关5303 沙头角关5304 蛇口海关5305 深关现场5306 笋岗海关5307 南头海关5308 沙湾海关5309 布吉海关5310 淡水办5311 深关车站5312 深监管处5313 深调查局5314 深关邮办5315 惠东海关5316 大鹏海关5317 深关机场5318 梅林海关5319 同乐海关5320 文锦渡关5321 福保税关5322 沙保税关5323 深审单处5324 深审价办5325 深关税处5326 深数统处5327 深法规处5328 深规范处5329 深保税处5330 盐保税关5331 三门岛办5332 深财务处5333 深侦查局5334 深稽查处5335 深技术处5336 深办公室5337 大亚湾核5338 惠州港关5339 深加工区5340 深关特办5341 深惠州关5342 深红海办5700 拱北关区5701 拱稽查处5710 拱关闸办5720 中山海关5721 中山港5724 中石岐办5725 坦洲货场5727 中小揽办5728 中山海关驻神湾港5730 拱香洲办5740 湾仔海关5741 湾仔船舶5750 九洲海关5760 拱白石办5770 斗门海关5771 斗井岸办5772 斗平沙办5780 高栏海关5790 拱监管处5792 拱保税区5793 万山海关5795 横琴海关5798 拱行监邮5799 拱行监处6000 汕头海关6001 汕关货一6002 汕关货二6003 汕关行邮6004 汕关机场6006 汕关保税6007 汕关业务6008 汕保税区6009 汕关邮包6011 榕城海关6012 汕关普宁6013 外砂海关6014 广澳海关6015 南澳海关6018 汕关惠来6019 汕关联成6020 汕关港口6021 潮州海关6022 饶平海关6028 潮阳海关6031 汕尾海关6032 汕关海城6033 汕关陆丰6041 梅州海关6042 梅州兴宁6400 海口关区6401 海口海关6402 三亚海关6403 八所海关6404 洋浦海关6405 海保税区6406 清澜海关6407 美兰机场6700 湛江关区6701 湛江海关6702 茂名海关6703 徐闻海关6704 湛江南油6705 湛江水东6706 湛江吴川6707 湛江廉江6708 湛江高州6709 湛江信宜6710 东海岛组6711 霞山海关6712 湛江霞海6713 湛江机场6800 江门关区6810 江门海关6811 江门高沙6812 江门外海6813 江门旅检6816 江门市进出境货运6817 江门保税6820 新会海关6821 新会港6827 新会稽查6830 台山海关6831 台公益港6837 台山稽查6840 三埠海关6841 三埠码头6847 三埠稽查6850 恩平海关6851 恩平港6857 恩平稽查6860 鹤山海关6861 鹤山码头6867 鹤山稽查6870 阳江海关6871 阳江港6872 阳江车场6877 阳江稽查7200 南宁关区7201 南宁海关7202 北海海关7203 梧州海关7204 桂林海关7205 柳州海关7206 防城海关7207 东兴海关7208 凭祥海关7209 贵港海关7210 水口海关7211 龙邦海关7212 钦州海关7213 桂林机办7214 北海海关驻出口加7900 成都关区7901 成都海关7902 成关机办7903 乐山海关7904 攀枝花关7905 绵阳海关7906 成关邮办7907 成都自贡7908 成都加工7909 成都公路国际物流7910 成都海关驻机场办7911 成都海关驻泸州办8000 重庆关区8001 重庆海关8002 南坪开发8003 重庆机办8004 重庆邮办8005 万州海关8006 重庆东站8007 九龙坡港8008 渝加工区8300 贵阳海关8301 贵阳总关8302 贵阳海关驻机场办8600 昆明关区8601 昆明海关8602 畹町海关8603 瑞丽海关8604 章凤海关8605 盈江海关8606 孟连海关8607 南伞海关8608 孟定海关8609 打洛海关8610 腾冲海关8611 沧源海关8612 勐腊海关8613 河口海关8614 金水河关8615 天保海关8616 田蓬海关8617 大理海关8618 芒市海关8619 保山监管8620 昆明机场8621 昆明邮办8622 西双版纳8623 昆丽江办8624 思茅海关8626 六库监管8800 拉萨海关8801 聂拉木关8802 日喀则关8803 狮泉河关8804 拉萨机办8805 拉萨现场9000 西安关区9001 西安海关9002 咸阳机场9003 宝鸡海关9004 西安海关邮局办事9005 西安海关驻出口加9400 乌关区9401 乌鲁木齐9402 霍尔果斯9403 吐尔尕特9404 阿拉山口9405 塔城海关9406 伊宁海关9407 吉木乃办9408 喀什海关9409 红其拉甫9410 乌鲁木齐海关隶属9411 塔克什肯9412 乌拉斯太9413 老爷庙9414 红山嘴9415 伊尔克什9416 库尔勒办9417 乌鲁木齐机场海关9418 乌鲁木齐海关驻出9500 兰州关区9501 兰州海关9505 兰州海关驻天水监9600 银川海关9601 银川海关业务现场9700 西宁关区9701 西宁海关现场9900 政法司。
中国海关关区代码表: 0101 机场单证 0102 京监管处 0103 京关展览 0104 京一处 0105 京二处 0106 京关关税 0107 机场库区 0108 京通关处 0109 机场旅检 0110 平谷海关 0111 京五里店 0112 京邮办处 0113 京中关村 0114 京国际局 0115 京东郊站 0116 京信 0117 京开发区 0118 十八里店 0119 机场物流 0121 京调查局 0123 机场调技 0124 北京站 0125 西客站 0126 京加工区 0127 京快件 0128 京顺义办 0200 天津关区 0201 天津海关 0202 新港海关 0203 津开发区 0204 东港海关 0205 津塘沽办 0206 津驻邮办 0207 津机场办 0208 津保税区 0209 蓟县海关 0210 武清海关 0211 津加工区 0212 天津保税物流园区 0220 津关税处 0400 石家庄区 0401 石家庄关 0402 秦皇岛关 0403 唐山海关 0404 廊坊海关 0405 保定海关 0406 石家庄海关驻邯郸 0407 秦加工区 0408 中华人民共和国沧 0500 太原海关 0501 并关监管 0502 太原机场海关 0503 大同海关 0504 侯马海关 0600 满洲里关 0601 海拉尔关 0602 额尔古纳 0603 满十八里 0604 满赤峰办 0605 满通辽办 0606 满哈沙特 0607 满室韦 0608 满互贸区 0609 满铁路 0610 满市区 0700 呼特关区 0701 呼和浩特 0702 二连海关 0703 包头海关 0704 呼关邮办 0705 二连公路 0706 包头海关驻国际集 0707 策克口岸 0708 甘其毛道口岸 0709 满都拉口岸 0710 珠恩嘎达布其口岸 0800 沈阳关区 0801 沈阳海关 0802 锦州海关 0803 沈驻邮办 0804 沈驻抚顺 0805 沈开发区 0806 沈驻辽阳 0807 沈机场办 0808 沈集装箱 0809 沈阳东站 0810 葫芦岛关 0900 大连海关 0901 大连港湾海关 0902 大连机场 0903 连开发区 0904 连加工区 0905 大连开发区海关驻 0906 连保税区 0907 大连保税物流园区 0908 连大窑湾 0909 大连邮办 0930 丹东海关 0931 丹东海关驻本溪办 0932 太平湾海关 0940 营口海关 0941 营口海关驻盘锦办 0950 鲅鱼圈关 0960 大东港关 0980 鞍山海关 1500 长春关区 1501 长春海关 1502 长开发区 1503 长白海关 1504 临江海关 1505 图们海关 1506 集安海关 1507 珲春海关 1508 吉林海关 1509 延吉海关 1511 长春机办 1515 图们车办 1516 集海关村 1517 珲长岭子 1518 吉林海关驻车站办 1519 延吉三合 1521 一汽场站 1525 图们桥办 1526 集安青石 1527 珲春圈河 1529 延吉南坪 1531 长春东站 1537 珲沙坨子 1539 延开山屯 1547 珲加工区 1549 延古城里 1559 延吉邮办 1591 长春邮办 1593 长白邮办 1595 图们邮办 1596 集安邮办 1900 哈尔滨区 1901 哈尔滨关 1902 绥关铁路 1903 黑河海关 1904 同江海关 1905 佳木斯关 1906 牡丹江关 1907 东宁海关 1908 逊克海关 1909 齐齐哈尔 1910 大庆海关 1911 密山海关 1912 虎林海关 1913 富锦海关 1914 抚远海关 1915 漠河海关 1916 萝北海关 1917 嘉荫海关 1918 饶河海关 1919 哈内陆港 1920 哈开发区 1922 哈关邮办 1923 哈关车办 1924 哈关机办 1925 绥关公路 2200 上海海关 2201 浦江海关 2202 吴淞海关 2203 沪机场关 2204 闵开发区 2205 沪车站办 2206 沪邮局办 2207 沪稽查处 2208 宝山海关 2209 龙吴海关 2210 浦东海关 2211 卢湾监管 2212 奉贤海关 2213 莘庄海关 2214 漕河泾发 2215 虹桥开发 2216 沪金山办 2217 嘉定海关 2218 外高桥关 2219 杨浦监管 2220 金山海关 2221 松江海关 2222 青浦海关 2223 南汇海关 2224 崇明海关 2225 外港海关 2227 普陀区站 2228 长宁区站 2229 航交办 2230 徐汇区站 2231 洋山海关驻市内报 2232 船监管处 2233 浦东机场 2234 沪钻交所 2235 松江加工 2236 洋山海关驻芦潮港 2237 上海松江出口加工 2238 上海青浦出口加工 2239 上海闵行出口加工 2240 上海漕河泾出口加 2241 沪业一处 2242 沪业二处 2243 沪业三处 2244 上海快件 2245 沪金桥办 2246 上海保税物流园区 2247 上海海关驻化学工 2248 洋山海关(港区) 2249 洋山海关(保税) 2300 南京海关 2301 连云港关 2302 南通海关 2303 苏州海关 2304 无锡海关 2305 张家港关 2306 常州海关 2307 镇江海关 2308 新生圩关 2309 盐城海关 2310 扬州海关 2311 徐州海关 2312 江阴海关 2313 张保税区 2314 苏工业区 2315 淮安海关 2316 泰州海关 2317 禄口机办 2318 南京现场 2321 常溧阳办 2322 镇丹阳办 2324 苏常熟办 2325 苏昆山办 2327 苏太仓办 2328 苏吴县办 2329 通启东办 2330 扬泰兴办 2331 锡宜兴办 2332 锡锡山办 2333 南通关办 2335 昆山加工 2336 苏园加工 2337 连开发办 2338 苏关邮办 2339 南通海关驻出口加 2340 无锡海关驻出口加 2341 连云港海关驻连云 2342 南京海关驻江苏南 2343 南京海关驻江苏南 2344 苏州海关驻苏州高 2345 镇江海关驻镇江出 2346 苏州工业园区海关 2347 苏州工业园区海关 2348 张家港保税物流园 2349 南京海关驻邮局办 2900 杭州关区 2901 杭州海关 2903 温州海关 2904 舟山海关 2905 台州海关 2906 绍兴海关 2907 湖州海关 2908 嘉兴海关 2909 杭经开关 2910 杭州萧山机场海关 2911 杭关邮办 2912 杭关萧办 2916 杭州海关驻机场办 2918 杭关余办 2919 杭富阳办 2920 金华海关 2921 金华海关驻义乌办 2931 温关邮办 2932 温经开关 2933 温关机办 2934 温关鳌办 2935 温州海关驻瑞安办 2936 温州海关驻乐清办 2941 舟山海关驻嵊泗办 2951 台州海关驻临海办 2961 绍兴海关驻上虞办 2962 绍兴海关驻诸暨办 2981 嘉关乍办 2982 嘉兴海关驻嘉善办 2991 杭州经济技术开发 3100 宁波关区 3101 宁波海关 3102 镇海海关 3103 甬开发区 3104 北仑海关 3105 甬保税区 3106 大榭海关 3107 甬驻余办 3108 甬驻慈办 3109 甬机场办 3110 象山海关 3111 宁波保税区海关驻 3112 宁波保税物流园区 3300 合肥海关 3301 芜湖海关 3302 安庆海关 3303 马鞍山关 3304 黄山海关 3305 蚌埠海关 3306 铜陵海关 3307 阜阳海关 3310 合肥现场 3312 芜湖海关驻出口加 3500 福州关区 3501 马尾海关 3502 福清海关 3503 宁德海关 3504 三明海关 3505 福保税区 3506 莆田海关 3507 福关机办 3508 福榕通办 3509 福关邮办 3510 南平海关 3511 武夷山关 3513 福现业处 3518 福关鳌办 3519 福关马港 3700 厦门关区 3701 厦门海关 3702 泉州海关 3703 漳州海关 3704 东山海关 3705 石狮海关 3706 龙岩海关 3707 厦肖厝关 3710 厦高崎办 3711 厦门东渡海关 3712 厦海沧办 3713 厦驻邮办 3714 象屿保税 3715 高崎机场海关 3716 厦同安办 3719 厦门加工 3722 厦门海关驻同安办 3777 厦稽查处 3788 厦侦查局 4000 南昌关区 4001 南昌海关 4002 九江海关 4003 赣州海关 4004 景德镇关 4005 吉安海关 4006 昌北机办 4007 南昌海关驻高新技 4008 南昌海关驻龙南办 4200 青岛海关 4201 烟台海关 4202 日照海关 4203 龙口海关 4204 威海海关 4205 济南海关 4206 潍坊海关 4207 淄博海关 4209 荣成海关 4210 青保税区 4211 济宁海关 4212 泰安海关 4213 临沂海关 4214 青前湾港 4215 青菏泽办 4216 东营海关 4217 青枣庄办 4218 青开发区 4219 蓬莱海关 4220 青机场关 4221 烟机场办 4222 莱州海关 4223 青邮局办 4224 龙长岛办 4225 威开发区 4226 青聊城办 4227 青岛大港 4228 烟关快件 4229 德州海关 4230 青岛保税物流园区 4231 烟开发区 4232 日岚山办 4233 济机场办 4234 济南海关驻出口加 4235 济邮局办 4236 荣成海关驻龙眼港 4237 济通关处 4238 威海关驻威海邮局 4239 潍诸城办 4240 青保税处 4241 烟加工区 4242 威加工区 4243 济宁海关驻曲阜办 4244 青岛海关驻滨州办 4245 烟台海关驻邮局办 4246 青加工区 4247 威海海关驻机场办 4248 青岛海关驻莱芜办 4249 潍坊海关驻出口加 4600 郑州关区 4601 郑州海关 4602 洛阳海关 4603 南阳海关 4604 郑州机办 4605 郑州邮办 4606 郑铁东办 4607 郑安阳办 4608 郑州海关驻出口加 4609 郑州海关驻商丘办 4610 周口海关 4700 武汉海关 4701 宜昌海关 4702 荆州海关 4703 襄樊海关 4704 黄石海关 4705 武汉沌口 4706 宜三峡办 4707 鄂加工区 4708 武关江办 4710 武关货管 4711 武关江岸 4712 武关机场 4713 武关邮办 4716 十堰海关 4900 长沙关区 4901 衡阳海关 4902 岳阳海关 4903 衡关郴办 4904 常德海关 4905 长沙海关 4906 株洲海关 4907 韶山海关 4908 湘关机办 5000 广东分署 5100 广州海关 5101 广州新风 5103 清远海关 5104 清远英德 5105 新风白云 5106 小虎码头 5107 肇庆封开 5108 肇庆德庆 5109 新风窖心 5110 南海海关 5111 南海官窑 5112 南海九江 5113 南海北村 5114 南海平洲 5116 南海业务 5117 桂江货柜车场 5118 平洲旅检 5119 南海三山 5120 广州内港 5121 内港芳村 5122 内港洲嘴 5123 内港四仓 5125 从化海关 5126 内港赤航 5130 广州萝岗 5131 花都海关 5132 花都码头 5133 萝岗石牌 5134 穗保税处 5135 穗稽查处 5136 穗统计处 5137 穗价格处 5138 穗调查局 5139 穗监管处 5140 穗关税处 5141 广州机场 5142 民航快件 5143 广州车站 5144 穗州头咀 5145 广州邮办 5146 穗交易会 5147 穗邮办监 5148 穗大郎站 5149 大铲海关 5150 顺德海关 5151 顺德海关加工贸易 5152 顺德食出 5153 顺德车场 5154 北窖车场 5155 顺德旅检 5158 顺德勒流 5160 番禺海关 5161 沙湾车场 5162 番禺旅检 5163 番禺货柜 5164 番禺船舶 5165 南沙旅检 5166 广州番禺海关南沙 5167 南沙货港 5168 番禺海关加工贸易 5169 番禺东发 5170 肇庆海关 5171 肇庆高要 5172 肇庆车场 5173 肇庆保税 5174 肇庆旅检 5175 肇庆码头 5176 肇庆四会 5177 肇庆三榕 5178 云浮海关 5179 罗定海关 5180 佛山海关 5181 高明海关 5182 佛山澜石 5183 三水码头 5184 佛山窖口 5185 佛山海关快件监管 5186 佛山保税 5187 佛山车场 5188 佛山火车 5189 佛山新港 5190 韶关海关 5191 韶关乐昌 5192 三水海关 5193 三水车场 5194 三水港 5195 审单中心 5196 云浮六都 5197 机场旅检 5198 穗河源关 5199 穗技术处 5200 黄埔关区 5201 埔老港办 5202 埔新港办 5203 新塘海关 5204 东莞海关 5205 太平海关 5206 惠州海关 5207 凤岗海关 5208 埔开发区 5210 埔红海办 5211 河源海关 5212 新沙海关 5213 埔长安办 5214 常平办事处 5216 太平海关驻沙田办 5300 深圳海关 5301 皇岗海关 5302 罗湖海关 5303 沙头角关 5304 蛇口海关 5305 深关现场 5306 笋岗海关 5307 南头海关 5308 沙湾海关 5309 布吉海关 5310 淡水办 5311 深关车站 5312 深监管处 5313 深调查局 5314 深关邮办 5315 惠东海关 5316 大鹏海关 5317 深关机场 5318 梅林海关 5319 同乐海关 5321 福保税关 5322 沙保税关 5323 深审单处 5324 深审价办 5325 深关税处 5326 深数统处 5327 深法规处 5328 深规范处 5329 深保税处 5330 盐保税关 5331 三门岛办 5332 深财务处 5333 深侦查局 5334 深稽查处 5335 深技术处 5336 深办公室 5337 大亚湾核 5338 惠州港关 5339 深加工区 5340 深关特办 5341 深惠州关 5342 深红海办 5700 拱北关区 5701 拱稽查处 5710 拱关闸办 5720 中山海关 5721 中山港 5724 中石岐办 5725 坦洲货场 5727 中小揽办 5728 中山海关驻神湾港 5730 拱香洲办 5740 湾仔海关 5741 湾仔船舶 5750 九洲海关 5760 拱白石办 5770 斗门海关 5771 斗井岸办 5772 斗平沙办 5780 高栏海关 5790 拱监管处 5792 拱保税区 5793 万山海关 5795 横琴海关 5798 拱行监邮 5799 拱行监处 6001 汕关货一 6002 汕关货二 6003 汕关行邮 6004 汕关机场 6006 汕关保税 6007 汕关业务 6008 汕保税区 6009 汕关邮包 6011 榕城海关 6012 汕关普宁 6013 外砂海关 6014 广澳海关 6015 南澳海关 6018 汕关惠来 6019 汕关联成 6020 汕关港口 6021 潮州海关 6022 饶平海关 6028 潮阳海关 6031 汕尾海关 6032 汕关海城 6033 汕关陆丰 6041 梅州海关 6042 梅州兴宁 6400 海口关区 6401 海口海关 6402 三亚海关 6403 八所海关 6404 洋浦海关 6405 海保税区 6406 清澜海关 6407 美兰机场 6700 湛江关区 6701 湛江海关 6702 茂名海关 6703 徐闻海关 6704 湛江南油 6705 湛江水东 6706 湛江吴川 6707 湛江廉江 6708 湛江高州 6709 湛江信宜 6710 东海岛组 6711 霞山海关 6712 湛江霞海 6713 湛江机场 6810 江门海关 6811 江门高沙 6812 江门外海 6813 江门旅检 6816 江门市进出境货运 6817 江门保税 6820 新会海关 6821 新会港 6827 新会稽查 6830 台山海关 6831 台公益港 6837 台山稽查 6840 三埠海关 6841 三埠码头 6847 三埠稽查 6850 恩平海关 6851 恩平港 6857 恩平稽查 6860 鹤山海关 6861 鹤山码头 6867 鹤山稽查 6870 阳江海关 6871 阳江港 6872 阳江车场 6877 阳江稽查 7200 南宁关区 7201 南宁海关 7202 北海海关 7203 梧州海关 7204 桂林海关 7205 柳州海关 7206 防城海关 7207 东兴海关 7208 凭祥海关 7209 贵港海关 7210 水口海关 7211 龙邦海关 7212 钦州海关 7213 桂林机办 7214 北海海关驻出口加 7900 成都关区 7901 成都海关 7902 成关机办 7903 乐山海关 7904 攀枝花关 7905 绵阳海关 7907 成都自贡 7908 成都加工 7909 成都公路国际物流 7910 成都海关驻机场办 7911 成都海关驻泸州办 8000 重庆关区 8001 重庆海关 8002 南坪开发 8003 重庆机办 8004 重庆邮办 8005 万州海关 8006 重庆东站 8007 九龙坡港 8008 渝加工区 8300 贵阳海关 8301 贵阳总关 8302 贵阳海关驻机场办 8600 昆明关区 8601 昆明海关 8602 畹町海关 8603 瑞丽海关 8604 章凤海关 8605 盈江海关 8606 孟连海关 8607 南伞海关 8608 孟定海关 8609 打洛海关 8610 腾冲海关 8611 沧源海关 8612 勐腊海关 8613 河口海关 8614 金水河关 8615 天保海关 8616 田蓬海关 8617 大理海关 8618 芒市海关 8619 保山监管 8620 昆明机场 8621 昆明邮办 8622 西双版纳 8623 昆丽江办 8624 思茅海关 8626 六库监管 8800 拉萨海关 8801 聂拉木关 8802 日喀则关 8803 狮泉河关 8804 拉萨机办 8805 拉萨现场 9000 西安关区 9001 西安海关 9002 咸阳机场 9003 宝鸡海关 9004 西安海关邮局办事 9005 西安海关驻出口加 9400 乌关区 9401 乌鲁木齐 9402 霍尔果斯 9403 吐尔尕特 9404 阿拉山口 9405 塔城海关 9406 伊宁海关 9407 吉木乃办 9408 喀什海关 9409 红其拉甫 9410 乌鲁木齐海关隶属 9411 塔克什肯 9412 乌拉斯太 9413 老爷庙 9414 红山嘴 9415 伊尔克什 9416 库尔勒办 9417 乌鲁木齐机场海关 9418 乌鲁木齐海关驻出 9500 兰州关区 9501 兰州海关 9505 兰州海关驻天水监 9600 银川海关 9601 银川海关业务现场 9700 西宁关区 9701 西宁海关现场 9900 政法司。
全国海关关区代码表全国海关关区代码表:0101机场单证0102京监管处0103京关展览0104京一处0105京二处0106京关关税0107机场库区0108京通关处0109机场旅检0110平谷海关0111京五里店0112京邮办处0113京中关村0114京国际局0115京东郊站0116京信0117京开发区0118十八里店0119机场物流0121京调查局0123机场调技0124北京站0125西客站0126京加工区0127京快件0128京顺义办0200天津关区0201天津海关0202新港海关0203津开发区0204东港海关0205津塘沽办0206津驻邮办0207津机场办0208津保税区0209蓟县海关0210武清海关0211津加工区0212天津保税物流园区0220津关税处0400石家庄区0401石家庄关0403唐山海关0404廊坊海关0405保定海关0406石家庄海关驻邯郸0407秦加工区0408中华人民共和国沧0500太原海关0501并关监管0502太原机场海关0503大同海关0504侯马海关0600满洲里关0601海拉尔关0602额尔古纳0603满十八里0604满赤峰办0605满通辽办0606满哈沙特0607满室韦0608满互贸区0609满铁路0610满市区0700呼特关区0701呼和浩特0702二连海关0703包头海关0704呼关邮办0705二连公路0706包头海关驻国际集0707策克口岸0708甘其毛道口岸0709满都拉口岸0710珠恩嘎达布其口岸0800沈阳关区0801沈阳海关0802锦州海关0803沈驻邮办0804沈驻抚顺0805沈开发区0806沈驻辽阳0807沈机场办0808沈集装箱0809沈阳东站0900大连海关0901大连港湾海关0902大连机场0903连开发区0904连加工区0905大连开发区海关驻0906连保税区0907大连保税物流园区0908连大窑湾0909大连邮办0930丹东海关0931丹东海关驻本溪办0932太平湾海关0940营口海关0941营口海关驻盘锦办0950鲅鱼圈关0960大东港关0980鞍山海关1500长春关区1501长春海关1502长开发区1503长白海关1504临江海关1505图们海关1506集安海关1507珲春海关1508吉林海关1509延吉海关1511长春机办1515图们车办1516集海关村1517珲长岭子1518吉林海关驻车站办1519延吉三合1521一汽场站1525图们桥办1526集安青石1527珲春圈河1529延吉南坪1531长春东站1537珲沙坨子1539延开山屯1547珲加工区1549延古城里1559延吉邮办1591长春邮办1593长白邮办1595图们邮办1596集安邮办1900哈尔滨区1901哈尔滨关1902绥关铁路1903黑河海关1904同江海关1905佳木斯关1906牡丹江关1907东宁海关1908逊克海关1909齐齐哈尔1910大庆海关1911密山海关1912虎林海关1913富锦海关1914抚远海关1915漠河海关1916萝北海关1917嘉荫海关1918饶河海关1919哈内陆港1920哈开发区1922哈关邮办1923哈关车办1924哈关机办1925绥关公路2200上海海关2201浦江海关2202吴淞海关2203沪机场关2204闵开发区2205沪车站办2206沪邮局办2207沪稽查处2208宝山海关2209龙吴海关2210浦东海关2211卢湾监管2212奉贤海关2214漕河泾发2215虹桥开发2216沪金山办2217嘉定海关2218外高桥关2219杨浦监管2220金山海关2221松江海关2222青浦海关2223南汇海关2224崇明海关2225外港海关2226贸易网点2227普陀区站2228长宁区站2229航交办2230徐汇区站2231洋山海关驻市内报2232船监管处2233浦东机场2234沪钻交所2235松江加工2236洋山海关驻芦潮港2237上海松江出口加工2238上海青浦出口加工2239上海闵行出口加工2240上海漕河泾出口加2241沪业一处2242沪业二处2243沪业三处2244上海快件2245沪金桥办2246上海保税物流园区2247上海海关驻化学工2248洋山海关(港区)2249洋山海关(保税)2300南京海关2301连云港关2302南通海关2303苏州海关2304无锡海关2305张家港关2306常州海关2308新生圩关2309盐城海关2310扬州海关2311徐州海关2312江阴海关2313张保税区2314苏工业区2315淮安海关2316泰州海关2317禄口机办2318南京现场2321常溧阳办2322镇丹阳办2324苏常熟办2325苏昆山办2326苏吴江办2327苏太仓办2328苏吴县办2329通启东办2330扬泰兴办2331锡宜兴办2332锡锡山办2333南通关办2335昆山加工2336苏园加工2337连开发办2338苏关邮办2339南通海关驻出口加2340无锡海关驻出口加2341连云港海关驻连云2342南京海关驻江苏南2343南京海关驻江苏南2344苏州海关驻苏州高2345镇江海关驻镇江出2346苏州工业园区海关2347苏州工业园区海关2348张家港保税物流园2349南京海关驻邮局办2900杭州关区2901杭州海关2903温州海关2904舟山海关2905台州海关2907湖州海关2908嘉兴海关2909杭经开关2910杭州萧山机场海关2911杭关邮办2912杭关萧办2916杭州海关驻机场办2918杭关余办2919杭富阳办2920金华海关2921金华海关驻义乌办2931温关邮办2932温经开关2933温关机办2934温关鳌办2935温州海关驻瑞安办2936温州海关驻乐清办2941舟山海关驻嵊泗办2951台州海关驻临海办2961绍兴海关驻上虞办2962绍兴海关驻诸暨办2981嘉关乍办2982嘉兴海关驻嘉善办2991杭州经济技术开发3100宁波关区3101宁波海关3102镇海海关3103甬开发区3104北仑海关3105甬保税区3106大榭海关3107甬驻余办3108甬驻慈办3109甬机场办3110象山海关3111宁波保税区海关驻3112宁波保税物流园区3300合肥海关3301芜湖海关3302安庆海关3303马鞍山关3304黄山海关3305蚌埠海关3307阜阳海关3310合肥现场3312芜湖海关驻出口加3500福州关区3501马尾海关3502福清海关3503宁德海关3504三明海关3505福保税区3506莆田海关3507福关机办3508福榕通办3509福关邮办3510南平海关3511武夷山关3513福现业处3518福关鳌办3519福关马港3700厦门关区3701厦门海关3702泉州海关3703漳州海关3704东山海关3705石狮海关3706龙岩海关3707厦肖厝关3710厦高崎办3711厦门东渡海关3712厦海沧办3713厦驻邮办3714象屿保税3715高崎机场海关3716厦同安办3719厦门加工3722厦门海关驻同安办3777厦稽查处3788厦侦查局4000南昌关区4001南昌海关4002九江海关4003赣州海关4004景德镇关4005吉安海关4006昌北机办4007南昌海关驻高新技4008南昌海关驻龙南办4200青岛海关4201烟台海关4202日照海关4203龙口海关4204威海海关4205济南海关4206潍坊海关4207淄博海关4209荣成海关4210青保税区4211济宁海关4212泰安海关4213临沂海关4214青前湾港4215青菏泽办4216东营海关4217青枣庄办4218青开发区4219蓬莱海关4220青机场关4221烟机场办4222莱州海关4223青邮局办4224龙长岛办4225威开发区4226青聊城办4227青岛大港4228烟关快件4229德州海关4230青岛保税物流园区4231烟开发区4232日岚山办4233济机场办4234济南海关驻出口加4235济邮局办4236荣成海关驻龙眼港4237济通关处4238威海关驻威海邮局4239潍诸城办4240青保税处4241烟加工区4242威加工区4243济宁海关驻曲阜办4244青岛海关驻滨州办4245烟台海关驻邮局办4246青加工区4247威海海关驻机场办4248青岛海关驻莱芜办4249潍坊海关驻出口加4600郑州关区4601郑州海关4602洛阳海关4603南阳海关4604郑州机办4605郑州邮办4606郑铁东办4607郑安阳办4608郑州海关驻出口加4609郑州海关驻商丘办4610周口海关4700武汉海关4701宜昌海关4702荆州海关4703襄樊海关4704黄石海关4705武汉沌口4706宜三峡办4707鄂加工区4708武关江办4710武关货管4711武关江岸4712武关机场4713武关邮办4716十堰海关4900长沙关区4901衡阳海关4902岳阳海关4903衡关郴办4904常德海关4905长沙海关4906株洲海关4907韶山海关4908湘关机办5000广东分署5100广州海关5101广州新风5103清远海关5104清远英德5105新风白云5106小虎码头5107肇庆封开5108肇庆德庆5109新风窖心5110南海海关5111南海官窑5112南海九江5113南海北村5114南海平洲5116南海业务5117桂江货柜车场5118平洲旅检5119南海三山5120广州内港5121内港芳村5122内港洲嘴5123内港四仓5125从化海关5126内港赤航5130广州萝岗5131花都海关5132花都码头5133萝岗石牌5134穗保税处5135穗稽查处5136穗统计处5137穗价格处5138穗调查局5139穗监管处5140穗关税处5141广州机场5142民航快件5143广州车站5144穗州头咀5145广州邮办5146穗交易会5147穗邮办监5148穗大郎站5149大铲海关5150顺德海关5151顺德海关加工贸易5152顺德食出5153顺德车场5154北窖车场5155顺德旅检5158顺德勒流5160番禺海关5161沙湾车场5162番禺旅检5163番禺货柜5164番禺船舶5165南沙旅检5166广州番禺海关南沙5167南沙货港5168番禺海关加工贸易5169番禺东发5170肇庆海关5171肇庆高要5172肇庆车场5173肇庆保税5174肇庆旅检5175肇庆码头5176肇庆四会5177肇庆三榕5178云浮海关5179罗定海关5180佛山海关5181高明海关5182佛山澜石5183三水码头5184佛山窖口5185佛山海关快件监管5186佛山保税5187佛山车场5188佛山火车5189佛山新港5190韶关海关5191韶关乐昌5192三水海关5193三水车场5194三水港5195审单中心5196云浮六都5197机场旅检5198穗河源关5199穗技术处5200黄埔关区5201埔老港办5202埔新港办5203新塘海关5204东莞海关5205太平海关5206惠州海关5207凤岗海关5208埔开发区5210埔红海办5211河源海关5212新沙海关5213埔长安办5214常平办事处5216太平海关驻沙田办5300深圳海关5301皇岗海关5302罗湖海关5303沙头角关5304蛇口海关5305深关现场5306笋岗海关5307南头海关5308沙湾海关5309布吉海关5310淡水办5311深关车站5312深监管处5313深调查局5314深关邮办5315惠东海关5316大鹏海关5317深关机场5318梅林海关5319同乐海关5320文锦渡关5321福保税关5322沙保税关5323深审单处5324深审价办5325深关税处5326深数统处5327深法规处5328深规范处5329深保税处5330盐保税关5331三门岛办5332深财务处5333深侦查局5334深稽查处5335深技术处5336深办公室5337大亚湾核5338惠州港关5339深加工区5340深关特办5341深惠州关5342深红海办5700拱北关区5701拱稽查处5710拱关闸办5720中山海关5721中山港5724中石岐办5725坦洲货场5727中小揽办5728中山海关驻神湾港5730拱香洲办5740湾仔海关5741湾仔船舶5750九洲海关5760拱白石办5770斗门海关5771斗井岸办5772斗平沙办5780高栏海关5790拱监管处5792拱保税区5793万山海关5795横琴海关5798拱行监邮5799拱行监处6000汕头海关6001汕关货一6002汕关货二6003汕关行邮6004汕关机场6006汕关保税6007汕关业务6008汕保税区6009汕关邮包6011榕城海关6012汕关普宁6013外砂海关6014广澳海关6015南澳海关6018汕关惠来6019汕关联成6020汕关港口6021潮州海关6022饶平海关6028潮阳海关6031汕尾海关6032汕关海城6033汕关陆丰6041梅州海关6042梅州兴宁6400海口关区6401海口海关6402三亚海关6403八所海关6404洋浦海关6405海保税区6406清澜海关6407美兰机场6700湛江关区6701湛江海关6702茂名海关6703徐闻海关6704湛江南油6705湛江水东6706湛江吴川6707湛江廉江6708湛江高州6709湛江信宜6710东海岛组6711霞山海关6712湛江霞海6713湛江机场6800江门关区6810江门海关6811江门高沙6812江门外海6813江门旅检6816江门市进出境货运6817江门保税6820新会海关6821新会港6827新会稽查6830台山海关6831台公益港6837台山稽查6840三埠海关6841三埠码头6847三埠稽查6850恩平海关6851恩平港6857恩平稽查6860鹤山海关6861鹤山码头6867鹤山稽查6870阳江海关6871阳江港6872阳江车场6877阳江稽查7200南宁关区7201南宁海关7202北海海关7203梧州海关7204桂林海关7205柳州海关7206防城海关7207东兴海关7208凭祥海关7209贵港海关7210水口海关7211龙邦海关7212钦州海关7213桂林机办7214北海海关驻出口加7900成都关区7901成都海关7902成关机办7903乐山海关7905绵阳海关7906成关邮办7907成都自贡7908成都加工7909成都公路国际物流7910成都海关驻机场办7911成都海关驻泸州办8000重庆关区8001重庆海关8002南坪开发8003重庆机办8004重庆邮办8005万州海关8006重庆东站8007九龙坡港8008渝加工区8300贵阳海关8301贵阳总关8302贵阳海关驻机场办8600昆明关区8601昆明海关8602畹町海关8603瑞丽海关8604章凤海关8605盈江海关8606孟连海关8607南伞海关8608孟定海关8609打洛海关8610腾冲海关8611沧源海关8612勐腊海关8613河口海关8614金水河关8615天保海关8616田蓬海关8617大理海关8618芒市海关8619保山监管8620昆明机场8621昆明邮办8622西双版纳8623昆丽江办8626六库监管8800拉萨海关8801聂拉木关8802日喀则关8803狮泉河关8804拉萨机办8805拉萨现场9000西安关区9001西安海关9002咸阳机场9003宝鸡海关9004西安海关邮局办事9005西安海关驻出口加9400乌关区9401乌鲁木齐9402霍尔果斯9403吐尔尕特9404阿拉山口9405塔城海关9406伊宁海关9407吉木乃办9408喀什海关9409红其拉甫9410乌鲁木齐海关隶属9411塔克什肯9412乌拉斯太9413老爷庙9414红山嘴9415伊尔克什9416库尔勒办9417乌鲁木齐机场海关9418乌鲁木齐海关驻出9500兰州关区9501兰州海关9505兰州海关驻天水监9600银川海关9601银川海关业务现场9700西宁关区9701西宁海关现场9900政法司。
口岸代码查询---FOR核销单备案进口口岸代码查询关区代码直属关区隶属海关0100 北京关区0100.北京关区.0101.机场货管.0102.京监管处.0103.京关展览.0104.京关保税.0105.京涉外处.0106.京关关税.0107.机场库区.0109.机场旅检.0110.平谷海关.0111.京五里店.0112.京邮办处.0113.京中关村.0114.京国际局.0115.京东郊站.0116.机场货二.0117.京开发区.0118.十八里店.0119.旅检征税.0200 天津关区0200.天津关区.0201.天津海关.0202.新港海关.0203.津开发区.0204.东港海关.0205.津塘沽办.0206.津驻邮办.0207.津机场办.0208.津保税区.0209.蓟县海关.0210.武清海关.0400 石家庄区0400.石家庄区.0401.石家庄关0402.秦皇岛关.0403.唐山海关.0404.秦关廊办0500 太原海关0500.太原海关0600 满洲里关0600.满洲里关.0601.海拉尔关.0602.额尔古纳.0603.满十八里.0604.满赤峰办.0605.满通辽办.0606.满哈沙特.0607.满室韦.0608.满互贸区.0609.满铁路0700 呼特关区0700.呼特关区.0701.呼和浩特.0702.二连海关.0703.包头海关0800 沈阳关区0800.沈阳关区.0801.沈阳海关0802.锦州海关.0803.沈驻邮办.0804.沈驻抚顺.0805.沈开发区.0806.沈驻辽阳.0807.沈机场办.0808.沈集装箱.0809.沈阳东站0900 大连海关0900.大连海关.0901.大连码头.0902.大连机场.0903.连开发区.0904.连香炉礁.0906.连保税区.0907.大连新港.0908.连大窑湾.0930.丹东海关.0940.营口海关.0950.鲅鱼圈关.0960.大东港关.0980.鞍山海关.1500 长春关区1500.长春关区.1501.长春海关.1502.长开发区.1503.长白海关.1504.临江海关.1505.图们海关.1506.集安海关.1507.珲春海关.1508.吉林海关.1509.延吉海关.1900 哈尔滨区1900.哈尔滨区.1901.哈尔滨关.1902.绥关铁路.1903.黑河海关.1904.同江海关.1905.佳木斯关.1906.牡丹江关.1907.东宁海关.1908.逊克海关.1909.齐齐哈尔.1910.哈大庆办.1911.密山海关.1912.虎林海关.1913.富锦海关.1914.抚远海关.1915.漠河海关.1916.萝北海关.1917.嘉荫海关.1918.饶河海关.1919.哈内陆港.1922.哈关邮办.1923.哈关车办.1925.绥关公路.2200 上海海关2200.上海海关.2201.浦江海关.2202.吴淞海关.2203.沪机场关.2204.闵开发区.2205.沪车站办.2206.沪邮局办.2207.沪稽查处.2208.宝山海关.2209.龙吴海关.2210.浦东海关.2211.卢湾监管.2212.奉贤海关.2213.莘庄海关.2214.漕河泾发.2215.虹桥开发.2216.沪金山办.2217.嘉定海关.2218.外高桥关.2219.杨浦监管.2220.金山海关.2221.松江海关.2222.青浦海关.2223.南汇海关.2224.崇明海关.2225.外港海关.2226.贸易网点.2227.普陀区站.2228.长宁区站.2229.航交办.2230.徐汇区站.2232.船监管处2300 南京海关2300.南京海关.2301.连云港关.2302.南通海关.2303.苏州海关.2304.无锡海关.2305.张家港关.2306.常州海关.2307.镇江海关.2308.新生圩关.2309.盐城海关.2310.扬州海关.2311.徐州海关.2312.江阴海关.2313.张保税区.2314.苏工业区.2315.淮阴海关.2321.常溧阳办.2322.镇丹阳办.2324.苏常熟办.2325.苏昆山办.2326.苏吴江办.2327.苏太仓办.2328.苏吴县办.2329.通启东办.2330.扬泰兴办.2331.锡宜兴办.2332.锡锡山办2900 杭州关区2900.杭州关区.2901.杭州海关.2903.温州海关.2904.舟山海关.2905.海门海关.2906.绍兴海关.2907.湖州海关.2908.嘉兴海关.2909.杭经开关.2910.杭关机办.2911.杭关邮办.2912.杭关萧办.2920.金华海关.2931.温关邮办.2932.温经开关.2933.温关机办.2934.温关鳌办.2981.嘉关乍办3100 宁波关区3100.宁波关区.3101.宁波海关.3102.镇海海关.3103.甬开发区.3104.北仑海关.3105.甬保税区.3106.大榭海关.3107.甬驻余办.3108.甬驻慈办.3109.甬机场办3300 合肥海关3300.合肥海关.3301.芜湖海关.3302.安庆海关.3303.马鞍山关.3304.黄山海关.3305.蚌埠海关.3306.铜陵海关.3307.阜阳海关3500 福州海关3500.福州关区.3501.马尾海关.3502.福清海关.3503.宁德海关.3504.三明海关.3505.福保税区.3506.莆田海关.3507.福关机办.3508.福榕通办.3509.福关邮办.3510.南平海关.3511.武夷山关.3513.福保税处.3518.福监管处.3519.福关马港3700 厦门关区3700.厦门关区.3701.厦门海关.3702.泉州海关.3703.漳州海关.3704.东山海关.3705.石狮海关.3706.龙岩海关.3710.厦特区处.3711.厦东渡办.3712.厦杏林办.3713.厦行邮处.3714.象屿保税.3715.厦机场办.3716.厦同安办.3720.泉州货征.3721.泉紫帽山.3730.漳州货征.3731.漳州角美.3732.漳州石码.3740.东山货征.3741.漳浦办.3742.诏安监管.3750.石狮货征.3760.龙岩业务4000 南昌关区4000.南昌关区.4001.南昌海关.4002.九江海关.4003.赣州海关.4004.景德镇关.4005.吉安海关4200 青岛海关4200.青岛海关.4201.烟台海关.4202.日照海关.4203.龙口海关.4204.威海海关.4205.济南海关.4206.维坊海关.4207.淄博海关.4208.青开发区.4209.石岛海关.4210.青保税区.4211.济宁海关.4212.泰安海关.4213.临沂海关.4214.青前湾港.4215.青菏泽办.4216.东营海关.4217.青枣庄办.4218.青岛大港.4219.蓬莱海关.4220.青机场关.4221.烟机场办.4222.莱州海关.4223.青邮局办.4224.龙长岛办.4225.威开发区.4231.烟开发区.4232.日岚山办.4233.济机场办.4234.济洛口办.4235.济邮局办.4240.青保税处.4600 郑州关区4600.郑州关区.4601.郑州海关.4602.洛阳海关.4603.南阳海关.4604.郑州机办.4605.郑州邮办4700 武汉海关4700.武汉海关.4701.宜昌海关.4702.荆州海关.4703.襄樊海关.4704.黄石海关.4705.武汉沌口.4706.宜三峡办.4710.武关货管.4711.武关江岸.4712.武关机场.4713.武关邮办4900 长沙关口4900.长沙关区.4901.衡阳海关.4902.岳阳海关.4903.衡关郴办.4904.常德海关.4905.长沙海关5100 广州海关5100.广州海关.5101.广州新风.5102.新风罗冲.5103.清远海关.5104.清远英德.5105.新风白云.5107.肇庆封开.5108.肇庆德庆.5109.新风窖心.5110.南海海关.5111.南海官窑.5112.南海九江.5113.南海北村.5114.南海平洲.5115.南海盐步.5116.南海业务.5117.南海车场.5118.平洲旅检.5119.南海三山.5120.广州内港.5121.内港芳村.5122.内港洲嘴.5123.内港四仓.5124.内石榴岗.5125.从化海关.5126.内港赤航.5127.内大干围.5130.广州石牌.5131.花都海关.5132.花都码头.5134.穗保税处.5135.穗稽查处.5136.穗统计处.5137.穗价格处.5138.穗调查局.5139.穗监管处.5140.穗关税处.5141.广州机场.5142.民航快件.5143.广州车站.5144.穗州头咀.5145.广州邮办.5146.穗交易会.5147.穗邮办监.5148.穗大郎站.5149.大铲海关.5150.顺德海关.5151.顺德码头.5152.顺德食出.5153.顺德车场.5154.北窖车场.5155.顺德旅检.5156.顺德乐从.5157.顺德陈村.5158.顺德勒流.5159.北窖码头.5160.番禺海关.5161.沙湾车场.5162.番禺旅检.5163.番禺货柜.5164.番禺船舶.5165.南沙旅检.5166.南沙货柜.5167.南沙货港.5170.肇庆海关.5171.肇庆高要.5172.肇庆车场.5173.肇庆保税.5174.肇庆旅检.5175.肇庆码头.5176.肇庆四会.5177.肇庆三榕.5178.云浮海关.5179.罗定海关.5180.佛山海关.5181.高明海关.5182.佛山澜石.5183.三水码头.5184.佛山窖口.5185.佛山石湾.5186.佛山保税.5187.佛山车场.5188.佛山火车.5189.佛山新港.5190.韶关海关.5191.韶关乐昌.5192.三水海关.5193.三水车场.5195.审单中心.5199.穗技术处5200 黄埔关区5200.黄埔关区.5201.埔老港办.5202.埔新港办.5203.新塘海关.5204.东莞海关.5205.太平海关.5206.惠州海关.5207.凤岗海关.5208.埔开发区.5209.埔保税区.5210.埔红海办.5211.河源海关.5212.新沙海关.5213.埔长安办.5214.常平办事处5300 深圳海关5300.深圳海关.5301.皇岗海关.5302.罗湖海关.5303.沙头角关.5304.蛇口海关.5305.上步业务.5306.笋岗海关.5307.南头海关.5308.沙湾海关.5309.布吉海关.5310.惠州港关.5311.深关车站.5312.深监管处.5313.深调查局.5314.深关邮办.5315.惠东办.5316.大鹏海关.5317.深关机场.5318.梅林海关.5319.同乐海关.5320.文锦渡关.5321.福保税关.5322.沙保税关.5323.深审单处.5324.深审价办.5325.深综合处.5326.深数统处.5327.深监控处.5328.深规范处.5329.深保税处.5330.盐保税关.5331.三门岛办5700 拱北关区5700.拱北关区.5710.拱关闸办.5720.中山海关.5721.中山港.5724.中石岐办.5725.坦洲货场.5727.中小揽办.5730.拱香洲办.5740.湾仔海关.5750.九洲海关.5760.拱白石办.5770.斗门海关.5771.斗井岸办.5772.斗平沙办.5780.高栏海关.5790.拱监管处.5792.拱保税区.5793.万山海关6000 汕关海关6000.汕头海关.6001.汕关货一.6002.汕关货二.6003.汕关行邮.6004.汕关机场.6005.汕关征统.6006.汕关保税.6007.汕关业务.6008.汕保税区.6009.汕关邮包.6011.榕城海关.6012.汕关普宁.6013.外砂海关.6014.广澳海关.6015.南澳海关.6021.潮州海关.6022.饶平海关.6028.潮阳海关.6031.汕尾海关.6032.汕关海城.6033.汕关陆丰.6041.梅州海关.6042.梅州兴宁6400海口关区6400.海口关区.6401.海口海关.6402.三亚海关.6403.八所海关.6404.洋浦海关.6405.海保税区.6406.清澜海关6700 湛江关区6700.湛江关区.6701.湛江海关.6702.茂名海关.6703.徐闻海关.6704.湛江南油.6705.湛江水东.6706.湛江吴川.6707.湛江廉江.6708.湛江高州.6709.湛江信宜.6710.东海岛组6800 江门关区6800.江门关区.6810.江门海关.6811.江门高沙.6812.江门外海.6813.江门旅检.6817.江门保税.6820.新会海关.6821.新今古洲.6822.新西河口.6823.新会车场.6824.新会旅检.6827.新会稽查.6830.台山海关.6831.台公益港.6832.台烽火角.6833.台山旅检.6837.台山稽查.6840.三埠海关.6841.三埠码头.6842.三埠水口.6843.三埠旅检.6847.三埠稽查.6850.恩平海关.6851.恩平车场.6852.恩平港.6857.恩平稽查.6860.鹤山海关.6861.鹤山车场.6862.鹤山码头.6863.鹤山旅检.6867.鹤山稽查.6870.阳江海关.6871.阳江码头.6872.阳江车场.6873.阳江港.6874.阳江东平.6875.阳江闸坡.6876.阳江溪头.6877.阳江稽查.6878.阳江沙扒7200 南宁海关7200.南宁关区.7201.南宁海关.7202.北海海关.7203.梧州海关.7204.桂林海关.7205.柳州海关.7206.防城海关.7207.东兴海关.7208.凭祥海关.7209.贵港海关.7210.水口海关.7211.南靖西办.7212.钦州海关.7213.桂林机办7900 成都关区7900.成都关区.7901.成都海关.7902.成关机办.7903.乐山海关.7904.攀枝花关.7905.绵阳海关.7906.成关邮办.7907.成都自贡8000 重庆关区8000.重庆海关.8010.重庆东站.8020.重庆机办.8030.重庆邮办.8050.南坪开发.8060.万县海关8300 贵阳海关 8300.贵阳海关.8301.贵阳总关.8600 昆明关区8600.昆明关区.8601.昆明海关.8602.畹町海关.8603.瑞丽海关.8604.章凤海关.8605.盈江海关.8606.孟连海关.8607.南伞海关.8608.孟定海关.8609.打洛海关.8610.腾冲海关.8611.沧源海关.8612.勐腊海关.8613.河口海关.8614.金水河关.8615.天保海关.8616.田蓬海关.8617.大理海关.8618.芒市监管.8619.保山监管.8620.昆明机场.8621.昆明邮办8800 拉萨海关8800.拉萨海关.8801.聂拉木关.8802.日喀则关.8803.狮泉河关9000 西安关区 9000.西安关区.9001.西安海关.9002.咸阳机场.9003.宝鸡海关9400 乌关区9400.乌关区.9401.乌鲁木齐.9402.霍尔果斯.9403.吐尔朵特.9404.阿拉山口.9405.塔城海关.9406.伊宁海关.9407.吉木乃办.9408.喀什海关.9409.红其拉甫.9411.塔克什肯.9412.乌拉斯太.9413.老爷庙.9414.红山嘴9500 兰州关区9500.兰州关区.9501.兰州海关.9502.青监管组.9600.银川海关.9700.西宁关区。
中华人民共和国海关关区代码表关区代码关区名称关区代码关区名称关区代码关区名称100北京关区101机场单证102京监管处103京关展览104京一处105京二处106京关关税107机场库区108京通关处109机场旅检110平谷海关111京五里店112京邮办处113京中关村114京国际局115京东郊站116京信117京开发区118十八里店119机场物流121京调查局123机场调技124北京站125西客站126京加工区127京快件128京顺义办200天津关区201天津海关202新港海关203津开发区204东港海关205津塘沽办206津驻邮办207津机场办208津保税区209蓟县海关210武清海关211津加工区212津物流园213天津东疆220津关税处400石家庄区401石家庄关402秦皇岛关403唐山海关404廊坊海关405保定海关406石关邯办407秦加工区408沧州海关500太原海关501并关监管502并机场关503大同海关504侯马海关600满洲里关601海拉尔关602额尔古纳603满十八里604满赤峰办605满通辽办606满哈沙特607满室韦608满互贸区609满铁路610满市区700呼特关区701呼和浩特702二连海关703包头海关704呼关邮办705二连公路706包头箱站707策克口岸708毛道口岸709满达口岸710珠恩口岸712呼加工区800沈阳关区801沈阳海关802锦州海关803沈驻邮办804沈驻抚顺805沈开发区806沈驻辽阳807沈机场办808沈集装箱809沈阳东站810葫芦岛关811辽沈加区812沈张出加900大连海关901大连港湾902大连机场903连开发区904连加工区905开北良办906连保税区907连物流园908连大窑湾909大连邮办910连保税港930丹东海关931丹本溪办932丹太平湾940营口海关941营盘锦办950鲅鱼圈关960大东港关980鞍山海关1500长春关区1501长春海关1502长开发区1503长白海关1504临江海关1505图们海关1506集安海关1507珲春海关1508吉林海关1509延吉海关1511长春机办1515图们车办1516集海关村1517珲长岭子1518吉关车办1519延吉三合1521一汽场站1525图们桥办1526集安青石1527珲春圈河1529延吉南坪1531长春东站1537珲沙坨子1539延开山屯1547珲加工区1549延古城里1557珲春车办1559延吉邮办1569延吉机办1591长春邮办1593长白邮办1595图们邮办1596集安邮办1900哈尔滨区1901哈尔滨关1902绥关铁路1903黑河海关1904同江海关1905佳木斯关1906牡丹江关1907东宁海关1908逊克海关1909齐齐哈尔1910大庆海关1911密山海关1912虎林海关1913富锦海关1914抚远海关1915漠河海关1916萝北海关1917嘉荫海关1918饶河海关1919哈内陆港1920哈开发区1922哈关邮办1923哈关车办1924哈关机办1925绥关公路2200上海海关2201浦江海关2202吴淞海关2203沪机场关2204闵开发区2205沪车站办2206沪邮局办2207沪稽查处2208宝山海关2209龙吴海关2210浦东海关2211卢湾监管2212奉贤海关2213莘庄海关2214漕河泾发2215虹桥开发2216沪金山办2217嘉定海关2218外高桥关2219杨浦监管2220金山海关2221松江海关2222青浦海关2223南汇海关2224崇明海关2225外港海关2226贸易网点2227普陀区站2228长宁区站2229航交办2230徐汇区站2231洋山市内2232船监管处2233浦东机场2234沪钻交所2235松江加工2236洋山芦潮2237松江 B 区2238青浦加工2239闵行加工2240漕河泾加2241沪业一处2242沪业二处2243沪业三处2244上海快件2245沪金桥办2246保税物流2247沪化工区2248洋山港区2249洋山保税2300南京海关2301连云港关2302南通海关2303苏州海关2304无锡海关2305张家港关2306常州海关2307镇江海关2308新生圩关2309盐城海关2310扬州海关2311徐州海关2312江阴海关2313张保税区2314苏工业区2315淮安海关2316泰州海关2317禄口机办2318南京现场2321常溧阳办2322镇丹阳办2324常熟海关2325昆山海关2326吴江海关2327太仓海关2328苏吴县办2329通启东办2330泰泰兴办2331锡宜兴办2332锡锡山办2333南通关办2335昆山加工2336苏园加工2337连开发办2338苏关邮办2339南通加工2340无锡加工2341连关加工2342南京加工2343宁南加工2344苏高加工2345镇江加工2346苏园物流2347苏园B区2348张物流园2349宁关邮办2350苏高物流2351江宁办2352龙潭物流2353常关出加2354扬关出加2355常熟出加2356吴江出加2357常关武办2358苏园保税2359吴中出加2360盐关港办2900杭州关区2901杭州海关2903温州海关2904舟山海关2905台州海关2906绍兴海关2907湖州海关2908嘉兴海关2909杭经开关2910杭州机场2911杭关邮办2912杭关萧办2915丽水海关2916杭州快件2917衢州海关2918杭关余办2919杭富阳办2920金华海关2921金关义办2922金关永办2931温关邮办2932温经开关2933温关机办2934温关鳌办2935温关瑞办2936温关乐办2941舟关嵊办2951台关临办2952台关温办2961绍关虞办2962绍关诸办2981嘉关乍办2982嘉关善办2983嘉兴加工2984嘉关宁办2991杭加工区3100宁波关区3101宁波海关3102镇海海关3103甬开发区3104北仑海关3105甬保税区3106大榭海关3107甬驻余办3108甬驻慈办3109甬机场办3110象山海关3111甬加工区3112甬物流区3113慈加工区3300合肥海关3301芜湖海关3302安庆海关3303马鞍山关3304黄山海关3305蚌埠海关3306铜陵海关3307阜阳海关3310合肥现场3312芜关加办3500福州关区3501马尾海关3502福清海关3503宁德海关3504三明海关3505福保税区3506莆田海关3507福关机办3508福榕通办3509福关邮办3510南平海关3511武夷山关3513福现业处3518福关鳌办3519福关马港3520福州加工3521福清加工3700厦门关区3701厦门海关3702泉州海关3703漳州海关3704东山海关3705石狮海关3706龙岩海关3707厦肖厝关3710厦高崎办3711东渡海关3712厦海沧办3713厦驻邮办3714象屿保税3715机场海关3716厦同安办3717厦物流园3718泉州加工3719厦门加工3722大嶝监管3777厦稽查处3788厦侦查局4000南昌关区4001南昌海关4002九江海关4003赣州海关4004景德镇关4005吉安海关4006昌北机办4007洪关高新4008洪关龙南4009新余海关4010浔关区办4011洪关区办4200青岛海关4201烟台海关4202日照海关4203龙口海关4204威海海关4205济南海关4206潍坊海关4207淄博海关4208烟加B区4209荣成海关4210青保税区4211济宁海关4212泰安海关4213临沂海关4214青前湾港4215青菏泽办4216东营海关4217青枣庄办4218青开发区4219蓬莱海关4220青机场关4221烟机场办4222莱州海关4223青邮局办4224龙长岛办4225威开发区4226青聊城办4227青岛大港4228烟关快件4229德州海关4230青物流园4231烟开发区4232日岚山办4233济机场办4234济加工区4235济邮局办4236荣龙眼办4237济通关处4238威海快件4239潍诸城办4240青关快件4241烟加工区4242威加工区4243济曲阜办4244青滨州办4245烟台邮办4246青加工区4247威机场办4248青莱芜办4249潍加工区4250青西加区4600郑州关区4601郑州海关4602洛阳海关4603南阳海关4604郑州机办4605郑州邮办4606郑铁东办4607郑安阳办4608郑加工区4609郑关商办4610周口海关4700武汉海关4701宜昌海关4702荆州海关4703襄樊海关4704黄石海关4705武汉沌口4706宜三峡办4707鄂加工区4708武关江办4710武关货管4711武关江岸4712武关机场4713武关邮办4716十堰海关4718东湖海关4900长沙关区4901衡阳海关4902岳阳海关4903衡关郴办4904常德海关4905长沙海关4906株洲海关4907韶山海关4908湘关机办4909株关醴办4910郴加工区5000广东分署5100广州海关5101广州新风5103清远海关5104清远英德5105新风白云5106小虎码头5107肇庆封开5108肇庆德庆5109新风窖心5110南海海关5111南海官窑5112南海九江5113南海北村5114南海平洲5116南海业务5117桂江车场5118平洲旅检5119南海三山5120广州内港5121内港芳村5122内港洲嘴5123内港四仓5125从化海关5126内港赤航5130广州萝岗5131花都海关5132花都码头5133萝岗石牌5134穗保税处5135穗稽查处5136穗统计处5137穗价格处5138穗调查局5139穗监管处5140穗关税处5141广州机场5142民航快件5143广州车站5144穗州头咀5145广州邮办5146穗交易会5147穗邮办监5148穗大郎站5149大铲海关5150顺德海关5151顺德保税5152顺德食出5153顺德车场5154北窖车场5155顺德旅检5157陈村车场5158顺德勒流5160番禺海关5161沙湾车场5162番禺旅检5163番禺货柜5164番禺船舶5165南沙旅检5166南沙新港5167南沙货港5168番禺保税5169番禺东发5170肇庆海关5171肇庆高要5172肇庆车场5173肇庆保税5174肇庆旅检5175肇庆码头5176肇庆四会5177肇庆三榕5178云浮海关5179罗定海关5180佛山海关5181高明海关5182佛山澜石5183三水码头5184佛山窖口5185佛山快件5186佛山保税5187佛山车场5188佛山火车5189佛山新港5190韶关海关5191韶关乐昌5192三水海关5193三水车场5194三水港5195审单中心5196云浮六都5197机场旅检5198穗河源关5199穗技术处5200黄埔关区5201埔老港办5202埔新港办5203新塘海关5204东莞海关5205太平海关5206惠州海关5207凤岗海关5208埔开发区5210埔红海办5211河源海关5212新沙海关5213埔长安办5214常平办事处5216沙田办5217寮步车场5218江龙车场5300深圳海关5301皇岗海关5302罗湖海关5303沙头角关5304蛇口海关5305深关现场5306笋岗海关5307南头海关5308沙湾海关5309布吉海关5310淡水办5311深关车站5312深监管处5313深调查局5314深关邮办5315惠东海关5316大鹏海关5317深关机场5318梅林海关5319同乐海关5320文锦渡关5321福保税关5322沙保税关5323深审单处5324深审价办5325深关税处5326深数统处5327深法规处5328深规范处5329深保税处5330盐保税关5331三门岛办5332深财务处5333深侦查局5334深稽查处5335深技术处5336深办公室5337大亚湾核5338惠州港关5339深加工区5340深关特办5341深惠州关5342深红海办5343深盐物流5344惠石化办5345深圳湾关5346深机快件5700拱北关区5701拱稽查处5710拱关闸办5720中山海关5721中山港5724中石岐办5725坦洲货场5727中小揽办5728神湾办5730拱香洲办5740湾仔海关5741湾仔船舶5750九洲海关5760拱白石办5770斗门海关5771斗井岸办5772斗平沙办5780高栏海关5790拱监管处5791拱跨工区5792拱保税区5793万山海关5795横琴海关5798拱行监邮5799拱行监处6000汕头海关6001汕关货一6002汕关货二6003汕关行邮6004汕关机场6006汕关保税6007汕关业务6008汕保税区6009汕关邮包6011揭阳海关6012汕关普宁6013澄海海关6014广澳海关6015南澳海关6018汕关惠来6019汕关联成6020汕关港口6021潮州海关6022饶平海关6028潮阳海关6031汕尾海关6032汕关海城6033汕关陆丰6038汕关快件6041梅州海关6042梅州兴宁6400海口关区6401海口海关6402三亚海关6403八所海关6404洋浦海关6405海保税区6406清澜海关6407美兰机场6700湛江关区6701湛江海关6702茂名海关6703徐闻海关6704湛江南油6705湛江水东6706湛江吴川6707湛江廉江6708湛江高州6709湛江信宜6710东海岛组6711霞山海关6712湛江霞海6713湛江机场6714湛江博贺6800江门关区6810江门海关6811江门高沙6812江门外海6813江门旅检6816江门车场6817江门保税6820新会海关6821新会港6827新会稽查6830台山海关6831台公益港6837台山稽查6840开平海关6841开平码头6847开平稽查6850恩平海关6851恩平港6857恩平稽查6860鹤山海关6861鹤山码头6867鹤山稽查6870阳江海关6871阳江港6872阳江车场6877阳江稽查7200南宁关区7201南宁海关7202北海海关7203梧州海关7204桂林海关7205柳州海关7206防城海关7207东兴海关7208凭祥海关7209贵港海关7210水口海关7211龙邦海关7212钦州海关7213桂林机办7214北海加工7900成都关区7901成都海关7902成关机办7903乐山海关7904攀枝花关7905绵阳海关7906成关邮办7907成都自贡7908成都加工7909公路场站7910非邮快件7911泸州办7912宜宾办7913南充办8000重庆关区8001重庆海关8002南坪开发8003重庆机办8004重庆邮办8005万州海关8006重庆东站8007九龙坡港8008渝加工区8300贵阳海关8301贵阳总关8302贵关机办8600昆明关区8601昆明海关8602畹町海关8603瑞丽海关8604章凤海关8605盈江海关8606孟连海关8607南伞海关8608孟定海关8609打洛海关8610腾冲海关8611沧源海关8612勐腊海关8613河口海关8614金水河关8615天保海关8616田蓬海关8617大理海关8618芒市海关8619保山监管8620昆明机场8621昆明邮办8622西双版纳8623昆丽江办8624思茅海关8626六库监管8800拉萨海关8801聂拉木关8802日喀则关8803狮泉河关8804拉萨机办8805拉萨现场8808吉隆海关9000西安关区9001西安海关9002咸阳机场9003宝鸡海关9004西关邮办9005陕加工A9006陕加工B9400乌关区9401乌鲁木齐9402霍尔果斯9403吐尔尕特9404阿拉山口9405塔城海关9406伊宁海关9407吉木乃办9408喀什海关9409红其拉甫9410阿勒泰关9411塔克什肯9412乌拉斯太9413老爷庙9414红山嘴9415伊尔克什9416库尔勒办9417乌机场关9418乌加工区9419都拉塔关9500兰州关区9501兰州海关9502酒泉海关9505天水监管9600银川海关9601银川现场9602银机办9700西宁关区9701西宁海关9900政法司。
关区代码表海关区代码是海关为便于统计、监管、管理等目的,对口岸所在地区所编定的编码。
海关区代码表是海关对全国各个地区编制的代码表,该代码表有助于海关对商品的监管、追溯和统计,对贸易和物流企业也具有指导和规范的作用。
下面是国内各海关区代码表,供大家参考:1. 北京海关0100 北京机场0101 北京港保税区0102 大兴保税区0103 北京口岸2. 天津海关0300 天津机场区0301 天津港保税区0302 天津机场保税区0303 汉沽保税区0304 天津口岸3. 沈阳海关2100 沈阳机场2101 沈阳港保税区2102 沈阳市大东保税区2103 沈阳口岸4. 大连海关2100 大连机场2101 大连保税区2102 大连口岸5. 上海海关3100 上海机场3101 上海浦东机场保税区3102 上海浦东外高桥保税区3103 上海嘉定保税区3104 上海漕河泾保税区3105 上海杨浦保税区3106 上海闵行保税区3107 上海口岸6. 南京海关3200 南京机场3201 南京浦口保税区3202 南京江宁保税区3203 南京口岸7. 杭州海关3300 杭州萧山机场3301 浙江保税港区3302 浙江国际物流园区3303 杭州口岸8. 宁波海关3300 宁波舟山机场3301 宁波保税区3302 宁波国家高新区保税区3303 宁波口岸9. 温州海关3300 温州永强保税区3301 温州海滨保税区3302 温州口岸10. 福州海关3500 福州长乐机场3501 福州保税区3502 福建自贸试验区福州片区3503 福州口岸11. 厦门海关3500 厦门高崎机场3501 厦门湖里保税区3502 厦门自贸区3503 厦门口岸12. 广州海关4400 广州白云机场4401 广州黄埔保税区4402 广州南沙保税区4403 广州海珠保税区4404 广州萝岗保税区4405 广州口岸13. 深圳海关4400 深圳宝安机场4401 深圳保税区4402 深圳湾口岸14. 珠海海关4400 珠海金湾机场4401 珠海保税区4402 珠海口岸15. 香港海关9999 香港特别行政区16. 澳门海关9998 澳门特别行政区17. 境外海关1000 境外以上是国内各海关区代码表,其中“XXXX”代表海关保税区或机场区的具体名称。
最新中国海关代码代码关区代码关区代码关区代码关区0100北京关区2235松江加工4241烟加工区5721中山港0101机场单证2236洋山芦潮4242威加工区5724中石岐办0102京监管处2237松江B区4243济曲阜办5725坦洲货场0103京关展览2238青浦加工4244青滨州办5727中小揽办0104京一处2239闵行加工4245烟台邮办5728神湾办0105京二处2240漕河泾加4246青加工区5730拱香洲办0106京关关税2241沪业一处4247威机场办5740湾仔海关0107机场库区2242沪业二处4248青莱芜办5741湾仔船舶0108京通关处2243沪业三处4249潍加工区5750九洲海关0109机场旅检2244上海快件4600郑州关区5760拱白石办0110平谷海关2245沪金桥办4601郑州海关5770斗门海关0111京五里店2246保税物流4602洛阳海关5771斗井岸办0112京邮办处2247沪化工区4603南阳海关5772斗平沙办0113京中关村2248洋山港区4604郑州机办5780高栏海关0114京国际局2249洋山保税4605郑州邮办5790拱监管处0115京东郊站2300南京海关4606郑铁东办5792拱保税区0116京信2301连云港关4607郑安阳办5793万山海关0117京开发区2302南通海关4608郑加工区5795横琴海关0118十八里店2303苏州海关4609郑关商办5798拱行监邮0119机场物流2304无锡海关4610周口海关5799拱行监处0121京调查局2305张家港关4700武汉海关6000汕头海关0123机场调技2306常州海关4701宜昌海关6001汕关货一0124北京站2307镇江海关4702荆州海关6002汕关货二0125西客站2308新生圩关4703襄樊海关6003汕关行邮0126京加工区2309盐城海关4704黄石海关6004汕关机场0127京快件2310扬州海关4705武汉沌口6006汕关保税0128京顺义办2311徐州海关4706宜三峡办6007汕关业务0200天津关区2312江阴海关4707鄂加工区6008汕保税区0201天津海关2313张保税区4708武关江办6009汕关邮包0202新港海关2314苏工业区4710武关货管6011榕城海关0203津开发区2315淮安海关4711武关江岸6012汕关普宁0204东港海关2316泰州海关4712武关机场6013外砂海关0205津塘沽办2317禄口机办4713武关邮办6014广澳海关0206津驻邮办2318南京现场4716十堰海关6015南澳海关0207津机场办2321常溧阳办4900长沙关区6018汕关惠来0208津保税区2322镇丹阳办4901衡阳海关6019汕关联成0209蓟县海关2324苏常熟办4902岳阳海关6020汕关港口0210武清海关2325苏昆山办4903衡关郴办6021潮州海关0211津加工区2326苏吴江办4904常德海关6022饶平海关0212津物流园2327苏太仓办4905长沙海关6028潮阳海关0220津关税处2328苏吴县办4906株洲海关6031汕尾海关0400石家庄区2329通启东办4907韶山海关6032汕关海城0401石家庄关2330扬泰兴办4908湘关机办6033汕关陆丰0402秦皇岛关2331锡宜兴办5000广东分署6041梅州海关0403唐山海关2332锡锡山办5100广州海关6042梅州兴宁0404廊坊海关2333南通关办5101广州新风6400海口关区0405保定海关2335昆山加工5103清远海关6401海口海关0406石关邯办2336苏园加工5104清远英德6402三亚海关0407秦加工区2337连开发办5105新风白云6403八所海关0408沧州海关2338苏关邮办5106小虎码头6404洋浦海关0500太原海关2339南通加工5107肇庆封开6405海保税区0501并关监管2340无锡加工5108肇庆德庆6406清澜海关0502并机场关2341连关加工5109新风窖心6407美兰机场0503大同海关2342南京加工5110南海海关6700湛江关区0504侯马海关2343宁南加工5111南海官窑6701湛江海关0600满洲里关2344苏高加工5112南海九江6702茂名海关0601海拉尔关2345镇江加工5113南海北村6703徐闻海关0602额尔古纳2346苏园物流5114南海平洲6704湛江南油0603满十八里2347苏园B区5116南海业务6705湛江水东0604满赤峰办2348张物流园5117桂江车场6706湛江吴川0605满通辽办2349宁关邮办5118平洲旅检6707湛江廉江0606满哈沙特2900杭州关区5119南海三山6708湛江高州0607满室韦2901杭州海关5120广州内港6709湛江信宜0608满互贸区2903温州海关5121内港芳村6710东海岛组0609满铁路2904舟山海关5122内港洲嘴6711霞山海关0610满市区2905台州海关5123内港四仓6712湛江霞海0700呼特关区2906绍兴海关5125从化海关6713湛江机场0701呼和浩特2907湖州海关5126内港赤航6800江门关区0702二连海关2908嘉兴海关5130广州萝岗6810江门海关0703包头海关2909杭经开关5131花都海关6811江门高沙0704呼关邮办2910杭州机场5132花都码头6812江门外海0705二连公路2911杭关邮办5133萝岗石牌6813江门旅检0706包头箱站2912杭关萧办5134穗保税处6816江门车场0707策克口岸2916杭州快件5135穗稽查处6817江门保税0708毛道口岸2918杭关余办5136穗统计处6820新会海关0709满拉口岸2919杭富阳办5137穗价格处6821新会港0710珠恩口岸2920金华海关5138穗调查局6827新会稽查0800沈阳关区2921金关义办5139穗监管处6830台山海关0801沈阳海关2931温关邮办5140穗关税处6831台公益港0802锦州海关2932温经开关5141广州机场6837台山稽查0803沈驻邮办2933温关机办5142民航快件6840三埠海关0804沈驻抚顺2934温关鳌办5143广州车站6841三埠码头0805沈开发区2935温关瑞办5144穗州头咀6847三埠稽查0806沈驻辽阳2936温关乐办5145广州邮办6850恩平海关0807沈机场办2941舟关嵊办5146穗交易会6851恩平港0808沈集装箱2951台关临办5147穗邮办监6857恩平稽查0809沈阳东站2961绍关虞办5148穗大郎站6860鹤山海关0810葫芦岛关2962绍关诸办5149大铲海关6861鹤山码头0900大连海关2981嘉关乍办5150顺德海关6867鹤山稽查0901大连港湾2982嘉关善办5151顺德保税6870阳江海关0902大连机场2991杭加工区5152顺德食出6871阳江港0903连开发区3100宁波关区5153顺德车场6872阳江车场0904连加工区3101宁波海关5154北窖车场6877阳江稽查0905开北良办3102镇海海关5155顺德旅检7200南宁关区0906连保税区3103甬开发区5158顺德勒流7201南宁海关0907连物流园3104北仑海关5160番禺海关7202北海海关0908连大窑湾3105甬保税区5161沙湾车场7203梧州海关0909大连邮办3106大榭海关5162番禺旅检7204桂林海关0930丹东海关3107甬驻余办5163番禺货柜7205柳州海关0931丹本溪办3108甬驻慈办5164番禺船舶7206防城海关0932丹太平湾3109甬机场办5165南沙旅检7207东兴海关0940营口海关3110象山海关5166南沙新港7208凭祥海关0941营盘锦办3111甬加工区5167南沙货港7209贵港海关0950鲅鱼圈关3112甬物流区5168番禺保税7210水口海关0960大东港关3300合肥海关5169番禺东发7211龙邦海关0980鞍山海关3301芜湖海关5170肇庆海关7212钦州海关1500长春关区3302安庆海关5171肇庆高要7213桂林机办1501长春海关3303马鞍山关5172肇庆车场7214北海加工1502长开发区3304黄山海关5173肇庆保税7900成都关区1503长白海关3305蚌埠海关5174肇庆旅检7901成都海关1504临江海关3306铜陵海关5175肇庆码头7902成关机办1505图们海关3307阜阳海关5176肇庆四会7903乐山海关1506集安海关3310合肥现场5177肇庆三榕7904攀枝花关1507珲春海关3312芜关加办5178云浮海关7905绵阳海关1508吉林海关3500福州关区5179罗定海关7906成关邮办1509延吉海关3501马尾海关5180佛山海关7907成都自贡1511长春机办3502福清海关5181高明海关7908成都加工1515图们车办3503宁德海关5182佛山澜石7909公路场站1516集海关村3504三明海关5183三水码头7910非邮快件1517珲长岭子3505福保税区5184佛山窖口7911泸州办1518吉关车办3506莆田海关5185佛山快件8000重庆关区1519延吉三合3507福关机办5186佛山保税8001重庆海关1521一汽场站3508福榕通办5187佛山车场8002南坪开发1525图们桥办3509福关邮办5188佛山火车8003重庆机办1526集安青石3510南平海关5189佛山新港8004重庆邮办1527珲春圈河3511武夷山关5190韶关海关8005万州海关1529延吉南坪3513福现业处5191韶关乐昌8006重庆东站1531长春东站3518福关鳌办5192三水海关8007九龙坡港1537珲沙坨子3519福关马港5193三水车场8008渝加工区1539延开山屯3700厦门关区5194三水港8300贵阳海关1547珲加工区3701厦门海关5195审单中心8301贵阳总关1549延古城里3702泉州海关5196云浮六都8302贵机场办1559延吉邮办3703漳州海关5197机场旅检8600昆明关区1591长春邮办3704东山海关5198穗河源关8601昆明海关1593长白邮办3705石狮海关5199穗技术处8602畹町海关1595图们邮办3706龙岩海关5200黄埔关区8603瑞丽海关1596集安邮办3707厦肖厝关5201埔老港办8604章凤海关1900哈尔滨区3710厦高崎办5202埔新港办8605盈江海关1901哈尔滨关3711东渡海关5203新塘海关8606孟连海关1902绥关铁路3712厦海沧办5204东莞海关8607南伞海关1903黑河海关3713厦驻邮办5205太平海关8608孟定海关1904同江海关3714象屿保税5206惠州海关8609打洛海关1905佳木斯关3715机场海关5207凤岗海关8610腾冲海关1906牡丹江关3716厦同安办5208埔开发区8611沧源海关1907东宁海关3719厦门加工5210埔红海办8612勐腊海关1908逊克海关3722大嶝监管5211河源海关8613河口海关1909齐齐哈尔3777厦稽查处5212新沙海关8614金水河关1910大庆海关3788厦侦查局5213埔长安办8615天保海关1911密山海关4000南昌关区5214常平办事处8616田蓬海关1912虎林海关4001南昌海关5216沙田办8617大理海关1913富锦海关4002九江海关5300深圳海关8618芒市海关1914抚远海关4003赣州海关5301皇岗海关8619保山监管1915漠河海关4004景德镇关5302罗湖海关8620昆明机场1916萝北海关4005吉安海关5303沙头角关8621昆明邮办1917嘉荫海关4006昌北机办5304蛇口海关8622西双版纳1918饶河海关4007洪关高新5305深关现场8623昆丽江办1919哈内陆港4008洪关龙南5306笋岗海关8624思茅海关1920哈开发区4200青岛海关5307南头海关8626六库监管1922哈关邮办4201烟台海关5308沙湾海关8800拉萨海关1923哈关车办4202日照海关5309布吉海关8801聂拉木关1924哈关机办4203龙口海关5310淡水办8802日喀则关1925绥关公路4204威海海关5311深关车站8803狮泉河关2200上海海关4205济南海关5312深监管处8804拉萨机办2201浦江海关4206潍坊海关5313深调查局8805拉萨现场2202吴淞海关4207淄博海关5314深关邮办9000西安关区2203沪机场关4209荣成海关5315惠东海关9001西安海关2204闵开发区4210青保税区5316大鹏海关9002咸阳机场2205沪车站办4211济宁海关5317深关机场9003宝鸡海关2206沪邮局办4212泰安海关5318梅林海关9004西关邮办2207沪稽查处4213临沂海关5319同乐海关9005西安加工2208宝山海关4214青前湾港5320文锦渡关9400乌关区2209龙吴海关4215青菏泽办5321福保税关9401乌鲁木齐2210浦东海关4216东营海关5322沙保税关9402霍尔果斯2211卢湾监管4217青枣庄办5323深审单处9403吐尔尕特2212奉贤海关4218青开发区5324深审价办9404阿拉山口2213莘庄海关4219蓬莱海关5325深关税处9405塔城海关2214漕河泾发4220青机场关5326深数统处9406伊宁海关2215虹桥开发4221烟机场办5327深法规处9407吉木乃办2216沪金山办4222莱州海关5328深规范处9408喀什海关2217嘉定海关4223青邮局办5329深保税处9409红其拉甫2218外高桥关4224龙长岛办5330盐保税关9410阿泰勒关2219杨浦监管4225威开发区5331三门岛办9411塔克什肯2220金山海关4226青聊城办5332深财务处9412乌拉斯太2221松江海关4227青岛大港5333深侦查局9413老爷庙2222青浦海关4228烟关快件5334深稽查处9414红山嘴2223南汇海关4229德州海关5335深技术处9415伊尔克什2224崇明海关4230青物流园5336深办公室9416库尔勒办2225外港海关4231烟开发区5337大亚湾核9417乌机场关2226贸易网点4232日岚山办5338惠州港关9418乌加工区2227普陀区站4233济机场办5339深加工区9500兰州关区2228长宁区站4234济加工区5340深关特办9501兰州海关2229航交办4235济邮局办5341深惠州关9505天水监管2230徐汇区站4236荣龙眼办5342深红海办9600银川海关2231洋山市内4237济通关处5700拱北关区9601银川现场2232船监管处4238威海快件5701拱稽查处9700西宁关区2233浦东机场4239潍诸城办5710拱关闸办9701西宁海关2234沪钻交所4240青保税处5720中山海关9900政法司。
目录国际国家代码与区号查询 (1)中国海关全国关区代码表 (5)进口口岸代码查询 (37)海关国别(地区)代码表 (41)国际国家代码与区号查询中国海关全国关区代码表海关国别(地区)代码表国别代码中文名称英文名称101 阿富汗Afghanistan102 巴林 Bahrian103 孟加拉国Bangladesh104 不丹 Bhutan105 文莱 Brunei106 缅甸 Myanmar107 柬埔寨Cambodia108 塞浦路斯Cyprus109 朝鲜 Korea,DPR110 中国香港Hong Kong111 印度 India112 印度尼西亚Indonesia113 伊朗 Iran114 伊拉克Iraq115 以色列Israel116 日本 Japan117 约旦 Jordan118 科威特Kuwait119 老挝 Laos,PDR120 黎巴嫩Lebanon121 中国澳门Macau122 马来西亚Malaysia123 马尔代夫Maldives124 蒙古 Mongolia125 尼泊尔Nepal126 阿曼 Oman127 巴基斯坦Pakistan128 巴勒斯坦Palestine129 菲律宾Philippines130 卡塔尔Qatar131 沙特阿拉伯Saudi Arabia132 新加坡Singapore133 韩国 Korea Rep.134 斯里兰卡Sri Lanka135 叙利亚Syrian136 泰国 Thailand137 土耳其Turkey138 阿联酋United Arab Emirates139 也门共和国Republic of Yemen141 越南 Vietnam142 中国 China143 台澎金马关税区Taiwan prov.144 东帝汶East Timor145 哈萨克斯坦Kazakhstan146 吉尔吉斯斯坦Kirghizia148 土库曼斯坦Turkmenistan149 乌兹别克斯坦Uzbekstan199 亚洲其他国家(地区) Oth. Asia nes 201 阿尔及利亚Algeria202 安哥拉Angora203 贝宁 Benin204 博茨瓦那Botswana205 布隆迪Burundi206 喀麦隆Cameroon207 加那利群岛Canary Is208 佛得角Cape Vrde209 中非共和国Central African Rep.210 塞卜泰Ceuta211 乍得 Chad212 科摩罗Comoros213 刚果 Congo214 吉布提Djibouti215 埃及 Egypt216 赤道几内亚Eq.Guinea217 埃塞俄比亚Ethiopia218 加蓬 Gabon219 冈比亚Gambia220 加纳 Ghana221 几内亚Guinea222 几内亚(比绍) Guinea Bissau223 科特迪瓦Cote d’lvoir224 肯尼亚Kenya225 利比里亚Liberia226 利比亚Libyan Arab Jm227 马达加斯加Madagascar228 马拉维Malawi229 马里 Mali230 毛里塔尼亚Mauritania231 毛里求斯Mauritius232 摩洛哥Morocco233 莫桑比克Mozambique234 纳米比亚Namibia235 尼日尔Niger236 尼日利亚Nigeria237 留尼汪Reunion238 卢旺达Rwanda239 圣多美和普林西比Sao Tome & Principe 240 塞内加尔Senegal241 塞舌尔Seychelles242 塞拉利昂Sierra Leone243 索马里Somalia244 南非 S.Africa245 西撒哈拉Western Sahara246 苏丹 Sudan247 坦桑尼亚Tanzania248 多哥 Togo249 突尼斯Tunisia250 乌干达Uganda251 布基纳法索Burkina Faso252 民主刚果Congo,DR253 赞比亚Zambia254 津巴布韦Zimbabwe255 莱索托Lesotho257 斯威士兰Swaziland258 厄立特里亚Eritrea259 马约特岛Mayotte299 非洲其他国家(地区) Oth. Afr. Nes301 比利时Belgium302 丹麦 Denmark303 英国 United Kingdom304 德国 Germany305 法国 France306 爱尔兰Ireland307 意大利Italy308 卢森堡Luxembourg309 荷兰 Netherlands310 希腊 Greece311 葡萄牙Portugal312 西班牙Spain313 阿尔巴尼亚Albania314 安道尔Andorra315 奥地利Austria316 保加利亚Bulgaria318 芬兰 Finland320 直布罗陀Gibraltar 321 匈牙利Hungary322 冰岛 Iceland323 列支敦士登Liechtenstein324 马耳他Malta325 摩纳哥Monaco326 挪威 Norway327 波兰 Poland328 罗马尼亚Romania329 圣马力诺San Marino330 瑞典 Sweden331 瑞士 Switzerland334 爱沙尼亚Estonia335 拉脱维亚Latvia336 立陶宛Lithuania337 格鲁吉亚Georgia338 亚美尼亚Armenia339 阿塞拜疆Azerbaijan340 白俄罗斯Byelorussia343 摩尔多瓦Moldavia344 俄罗斯联邦Russia347 乌克兰Ukraine349 塞尔维亚和黑山Serbia and Montenegro350 斯洛文尼亚Slovenia Rep351 克罗地亚Croatia Rep352 捷克共和国Czech Rep353 斯洛伐克Slovak Rep354 马其顿Macedonia Rep355 波斯尼亚-黑塞哥维那共和Bosnia&Hercegovina 356 梵蒂冈城国Vatican City State357 法罗群岛the Faroe Islands399 欧洲其他国家(地区) Oth. Eur. Nes401 安提瓜和巴布达Antigua & Barbuda402 阿根廷Argentina403 阿鲁巴岛Aruba404 巴哈马Bahamas405 巴巴多斯Barbados406 伯利兹Belize409 博内尔Bonaire410 巴西 Brazil411 开曼群岛Cayman Is412 智利 Chile413 哥伦比亚Colombia414 多米尼亚共和国Dominica415 哥斯达黎加Costa Rica416 古巴 Cuba417 库腊索岛Curacao418 多米尼加共和国Dominican Rep.419 厄瓜多尔Ecuador420 法属圭亚那French Guyana421 格林纳达Grenada422 瓜德罗普Guadeloupe423 危地马拉Guatemala424 圭亚那Guyana425 海地 Haiti426 洪都拉斯Honduras427 牙买加Jamaica428 马提尼克Martinique429 墨西哥Mexico430 蒙特塞拉特Montserrat431 尼加拉瓜Nicaragua432 巴拿马Panama433 巴拉圭Paraguay434 秘鲁 Peru435 波多黎各Puerto Rico436 萨巴 Saba437 圣卢西亚Saint Lucia438 圣马丁岛Saint Martin Is439 圣文森特和格林纳丁斯Saint Vincent & Grenadines 440 萨尔瓦多El Salvador441 苏里南Suriname442 特立尼达和多巴哥Trinidad & Tobago443 特克斯和凯科斯群岛Turks & Caicos Is444 乌拉圭Uruguay445 委内瑞拉Venezuela446 英属维尔京群岛Br. Virgin Is447 圣其茨-尼维斯St. Kitts-Nevis448 圣皮埃尔和密克隆St.Pierre and Miquelon449 荷属安地列斯群岛the Netherlands Antilles499 拉丁美洲其他国家(地区) Oth. L.Amer. Nes501 加拿大Canada502 美国 United States503 格陵兰Greenland504 百慕大Bermuda599 北美洲其他国家(地区) Oth. N.Amer. Nes601 澳大利亚Australia602 库克群岛Cook Is603 斐济 Fiji604 盖比群岛Gambier Is605 马克萨斯群岛Marquesas Is606 瑙鲁 Nauru607 新喀里多尼亚New Caledonia608 瓦努阿图Vanuatu609 新西兰New Zealand610 诺福克岛Norfolk Is611 巴布亚新几内亚Papua New Guinea613 所罗门群岛Solomon Is614 汤加 Tonga615 土阿莫土群岛Tuamotu Is616 土布艾群岛Tubai Is617 萨摩亚Samoa618 基里巴斯Kiribati619 图瓦卢Tuvalu620 密克罗尼西亚联邦Micronesia Fs621 马绍尔群岛Marshall Is Rep622 帕劳共和国Palau623 法属波利尼西亚French Polynesia625 瓦利斯和浮图纳Wallis and Futuna699 大洋洲其他国家(地区) Oth. Ocean. Nes701 国(地)别不详的Countries(reg.) unknown702 联合国及机构和国际组织UN and other interational 999 中性包装原产国别Conutries of Neutral Package...。
0101 机场单证0102 京监管处0103 京关展览0104 京一处0105 京二处0106 京关关税0107 机场库区0108 京通关处0109 机场旅检0110 平谷海关0111 京五里店0112 京邮办处0113 京中关村0114 京国际局0115 京东郊站0116 京信0117 京开发区0118 十八里店0119 机场物流0121 京调查局0123 机场调技0124 北京站0125 西客站0126 京加工区0127 京快件0128 京顺义办0200 天津关区0201 天津海关0202 新港海关0203 津开发区0204 东港海关0205 津塘沽办0206 津驻邮办0207 津机场办0208 津保税区0209 蓟县海关0210 武清海关0211 津加工区0212 天津保税物流园区0220 津关税处0400 石家庄区0401 石家庄关0402 秦皇岛关0403 唐山海关0404 廊坊海关0405 保定海关0406 石家庄海关驻邯郸0407 秦加工区0408 中华人民共与国沧0500 太原海关0501 并关监管0502 太原机场海关0503 大同海关0504 侯马海关0600 满洲里关0601 海拉尔关0602 额尔古纳0603 满十八里0604 满赤峰办0605 满通辽办0606 满哈沙特0607 满室韦0608 满互贸区0609 满铁路0610 满市区0700 呼特关区0701 呼与浩特0702 二连海关0703 包头海关0704 呼关邮办0705 二连公路0706 包头海关驻国际集0707 策克口岸0708 甘其毛道口岸0709 满都拉口岸0710 珠恩嘎达布其口岸0800 沈阳关区0801 沈阳海关0802 锦州海关0803 沈驻邮办0804 沈驻抚顺0805 沈开发区0806 沈驻辽阳0807 沈机场办0808 沈集装箱0809 沈阳东站0810 葫芦岛关0900 大连海关0901 大连港湾海关0902 大连机场0903 连开发区0904 连加工区0905 大连开发区海关驻0906 连保税区0907 大连保税物流园区0908 连大窑湾0909 大连邮办0930 丹东海关0931 丹东海关驻本溪办0932 太平湾海关0940 营口海关0941 营口海关驻盘锦办0950 鲅鱼圈关0960 大东港关0980 鞍山海关1500 长春关区1501 长春海关1502 长开发区1503 长白海关1504 临江海关1505 图们海关1506 集安海关1507 珲春海关1508 吉林海关1509 延吉海关1511 长春机办1515 图们车办1516 集海关村1517 珲长岭子1518 吉林海关驻车站办1519 延吉三合1521 一汽场站1525 图们桥办1526 集安青石1527 珲春圈河1529 延吉南坪1531 长春东站1537 珲沙坨子1539 延开山屯1547 珲加工区1549 延古城里1559 延吉邮办1591 长春邮办1593 长白邮办1595 图们邮办1596 集安邮办1900 哈尔滨区1901 哈尔滨关1902 绥关铁路1903 黑河海关1904 同江海关1905 佳木斯关1906 牡丹江关1907 东宁海关1908 逊克海关1909 齐齐哈尔1910 大庆海关1911 密山海关1912 虎林海关1913 富锦海关1914 抚远海关1915 漠河海关1916 萝北海关1917 嘉荫海关1918 饶河海关1919 哈内陆港1920 哈开发区1922 哈关邮办1923 哈关车办1924 哈关机办1925 绥关公路2200 上海海关2201 浦江海关2202 吴淞海关2203 沪机场关2204 闵开发区2205 沪车站办2206 沪邮局办2207 沪稽查处2208 宝山海关2209 龙吴海关2210 浦东海关2211 卢湾监管2212 奉贤海关2213 莘庄海关2214 漕河泾发2215 虹桥开发2216 沪金山办2217 嘉定海关2218 外高桥关2219 杨浦监管2220 金山海关2221 松江海关2222 青浦海关2223 南汇海关2224 崇明海关2225 外港海关2226 贸易网点2227 普陀区站2228 长宁区站2229 航交办2230 徐汇区站2231 洋山海关驻市内报2232 船监管处2233 浦东机场2234 沪钻交所2235 松江加工2236 洋山海关驻芦潮港2237 上海松江出口加工2238 上海青浦出口加工2239 上海闵行出口加工2240 上海漕河泾出口加2241 沪业一处2242 沪业二处2243 沪业三处2244 上海快件2245 沪金桥办2246 上海保税物流园区2247 上海海关驻化学工2248 洋山海关(港区) 2249 洋山海关(保税) 2300 南京海关2301 连云港关2302 南通海关2303 苏州海关2304 无锡海关2305 张家港关2306 常州海关2307 镇江海关2308 新生圩关2310 扬州海关2311 徐州海关2312 江阴海关2313 张保税区2314 苏工业区2315 淮安海关2316 泰州海关2317 禄口机办2318 南京现场2321 常溧阳办2322 镇丹阳办2324 苏常熟办2325 苏昆山办2326 苏吴江办2327 苏太仓办2328 苏吴县办2329 通启东办2330 扬泰兴办2331 锡宜兴办2332 锡锡山办2333 南通关办2335 昆山加工2336 苏园加工2337 连开发办2338 苏关邮办2339 南通海关驻出口加2340 无锡海关驻出口加2341 连云港海关驻连云2342 南京海关驻江苏南2343 南京海关驻江苏南2344 苏州海关驻苏州高2345 镇江海关驻镇江出2346 苏州工业园区海关2347 苏州工业园区海关2348 张家港保税物流园2349 南京海关驻邮局办2900 杭州关区2901 杭州海关2903 温州海关2904 舟山海关2905 台州海关2906 绍兴海关2907 湖州海关2909 杭经开关2910 杭州萧山机场海关2911 杭关邮办2912 杭关萧办2916 杭州海关驻机场办2918 杭关余办2919 杭富阳办2920 金华海关2921 金华海关驻义乌办2931 温关邮办2932 温经开关2933 温关机办2934 温关鳌办2935 温州海关驻瑞安办2936 温州海关驻乐清办2941 舟山海关驻嵊泗办2951 台州海关驻临海办2961 绍兴海关驻上虞办2962 绍兴海关驻诸暨办2981 嘉关乍办2982 嘉兴海关驻嘉善办2991 杭州经济技术开发3100 宁波关区3101 宁波海关3102 镇海海关3103 甬开发区3104 北仑海关3105 甬保税区3106 大榭海关3107 甬驻余办3108 甬驻慈办3109 甬机场办3110 象山海关3111 宁波保税区海关驻3112 宁波保税物流园区3300 合肥海关3301 芜湖海关3302 安庆海关3303 马鞍山关3304 黄山海关3305 蚌埠海关3306 铜陵海关3307 阜阳海关3310 合肥现场3312 芜湖海关驻出口加3500 福州关区3501 马尾海关3502 福清海关3503 宁德海关3504 三明海关3505 福保税区3506 莆田海关3507 福关机办3508 福榕通办3509 福关邮办3510 南平海关3511 武夷山关3513 福现业处3518 福关鳌办3519 福关马港3700 厦门关区3701 厦门海关3702 泉州海关3703 漳州海关3704 东山海关3705 石狮海关3706 龙岩海关3707 厦肖厝关3710 厦高崎办3711 厦门东渡海关3712 厦海沧办3713 厦驻邮办3714 象屿保税3715 高崎机场海关3716 厦同安办3719 厦门加工3722 厦门海关驻同安办3777 厦稽查处3788 厦侦查局4000 南昌关区4001 南昌海关4002 九江海关4003 赣州海关4004 景德镇关4005 吉安海关4006 昌北机办4007 南昌海关驻高新技4200 青岛海关4201 烟台海关4202 日照海关4203 龙口海关4204 威海海关4205 济南海关4206 潍坊海关4207 淄博海关4209 荣成海关4210 青保税区4211 济宁海关4212 泰安海关4213 临沂海关4214 青前湾港4215 青菏泽办4216 东营海关4217 青枣庄办4218 青开发区4219 蓬莱海关4220 青机场关4221 烟机场办4222 莱州海关4223 青邮局办4224 龙长岛办4225 威开发区4226 青聊城办4227 青岛大港4228 烟关快件4229 德州海关4230 青岛保税物流园区4231 烟开发区4232 日岚山办4233 济机场办4234 济南海关驻出口加4235 济邮局办4236 荣成海关驻龙眼港4237 济通关处4238 威海关驻威海邮局4239 潍诸城办4240 青保税处4241 烟加工区4242 威加工区4243 济宁海关驻曲阜办4245 烟台海关驻邮局办4246 青加工区4247 威海海关驻机场办4248 青岛海关驻莱芜办4249 潍坊海关驻出口加4600 郑州关区4601 郑州海关4602 洛阳海关4603 南阳海关4604 郑州机办4605 郑州邮办4606 郑铁东办4607 郑安阳办4608 郑州海关驻出口加4609 郑州海关驻商丘办4610 周口海关4700 武汉海关4701 宜昌海关4702 荆州海关4703 襄樊海关4704 黄石海关4705 武汉沌口4706 宜三峡办4707 鄂加工区4708 武关江办4710 武关货管4711 武关江岸4712 武关机场4713 武关邮办4716 十堰海关4900 长沙关区4901 衡阳海关4902 岳阳海关4903 衡关郴办4904 常德海关4905 长沙海关4906 株洲海关4907 韶山海关4908 湘关机办5000 广东分署5100 广州海关5101 广州新风5103 清远海关5104 清远英德5105 新风白云5106 小虎码头5107 肇庆封开5108 肇庆德庆5109 新风窖心5110 南海海关5111 南海官窑5112 南海九江5113 南海北村5114 南海平洲5116 南海业务5117 桂江货柜车场5118 平洲旅检5119 南海三山5120 广州内港5121 内港芳村5122 内港洲嘴5123 内港四仓5125 从化海关5126 内港赤航5130 广州萝岗5131 花都海关5132 花都码头5133 萝岗石牌5134 穗保税处5135 穗稽查处[广告] 专业办理食品,红酒(酒类),化妆品,旧机械进口报关报检kuangjingq(船长)中级会员UID 1114698精华0积分1614帖子122福步币75 块阅读权限40注册2009-8-26来自青岛状态离线#2使用道具发表于2010-11-18 16:10 资料个人空间个人短信加为好友只瞧该作者全国各地海关代码二5136 穗统计处5137 穗价格处5138 穗调查局5139 穗监管处5140 穗关税处5141 广州机场5142 民航快件5143 广州车站5144 穗州头咀5145 广州邮办5146 穗交易会5147 穗邮办监5148 穗大郎站5149 大铲海关5150 顺德海关5151 顺德海关加工贸易5152 顺德食出5153 顺德车场5154 北窖车场5155 顺德旅检5158 顺德勒流5160 番禺海关5161 沙湾车场5162 番禺旅检5163 番禺货柜5164 番禺船舶5165 南沙旅检5166 广州番禺海关南沙5167 南沙货港5168 番禺海关加工贸易5169 番禺东发5170 肇庆海关5171 肇庆高要5172 肇庆车场5173 肇庆保税5174 肇庆旅检5175 肇庆码头5176 肇庆四会5177 肇庆三榕5178 云浮海关5179 罗定海关5180 佛山海关5181 高明海关5182 佛山澜石5183 三水码头5184 佛山窖口5185 佛山海关快件监管5186 佛山保税5187 佛山车场5188 佛山火车5189 佛山新港5190 韶关海关5191 韶关乐昌5192 三水海关5193 三水车场5194 三水港5195 审单中心5196 云浮六都5197 机场旅检5198 穗河源关5199 穗技术处5200 黄埔关区5201 埔老港办5202 埔新港办5203 新塘海关5204 东莞海关5205 太平海关5206 惠州海关5207 凤岗海关5208 埔开发区5210 埔红海办5211 河源海关5212 新沙海关5213 埔长安办5214 常平办事处5216 太平海关驻沙田办5300 深圳海关5301 皇岗海关5302 罗湖海关5303 沙头角关5304 蛇口海关5305 深关现场5306 笋岗海关5307 南头海关5308 沙湾海关5309 布吉海关5310 淡水办5311 深关车站5312 深监管处5313 深调查局5314 深关邮办5315 惠东海关5316 大鹏海关5317 深关机场5318 梅林海关5319 同乐海关5320 文锦渡关5321 福保税关5322 沙保税关5323 深审单处5324 深审价办5325 深关税处5326 深数统处5327 深法规处5328 深规范处5329 深保税处5330 盐保税关5331 三门岛办5332 深财务处5333 深侦查局5334 深稽查处5335 深技术处5336 深办公室5337 大亚湾核5338 惠州港关5339 深加工区5340 深关特办5341 深惠州关5342 深红海办5700 拱北关区5701 拱稽查处5710 拱关闸办5720 中山海关5721 中山港5724 中石岐办5725 坦洲货场5727 中小揽办5728 中山海关驻神湾港5730 拱香洲办5740 湾仔海关5741 湾仔船舶5750 九洲海关5760 拱白石办5770 斗门海关5771 斗井岸办5772 斗平沙办5780 高栏海关5790 拱监管处5792 拱保税区5793 万山海关5795 横琴海关5798 拱行监邮5799 拱行监处6000 汕头海关6001 汕关货一6002 汕关货二6003 汕关行邮6004 汕关机场6006 汕关保税6007 汕关业务6008 汕保税区6009 汕关邮包6011 榕城海关6012 汕关普宁6013 外砂海关6014 广澳海关6015 南澳海关6018 汕关惠来6019 汕关联成6020 汕关港口6021 潮州海关6022 饶平海关6028 潮阳海关6031 汕尾海关6032 汕关海城6033 汕关陆丰6041 梅州海关6042 梅州兴宁6400 海口关区6401 海口海关6402 三亚海关6403 八所海关6404 洋浦海关6405 海保税区6406 清澜海关6407 美兰机场6700 湛江关区6701 湛江海关6702 茂名海关6703 徐闻海关6704 湛江南油6705 湛江水东6706 湛江吴川6707 湛江廉江6708 湛江高州6709 湛江信宜6710 东海岛组6711 霞山海关6712 湛江霞海6713 湛江机场6800 江门关区6810 江门海关6811 江门高沙6812 江门外海6813 江门旅检6816 江门市进出境货运6817 江门保税6820 新会海关6821 新会港6827 新会稽查6830 台山海关6831 台公益港6837 台山稽查6840 三埠海关6841 三埠码头6847 三埠稽查6850 恩平海关6851 恩平港6857 恩平稽查6860 鹤山海关6861 鹤山码头6867 鹤山稽查6870 阳江海关6871 阳江港6872 阳江车场6877 阳江稽查7200 南宁关区7201 南宁海关7202 北海海关7203 梧州海关7204 桂林海关7205 柳州海关7206 防城海关7207 东兴海关7208 凭祥海关7209 贵港海关7210 水口海关7211 龙邦海关7212 钦州海关7213 桂林机办7214 北海海关驻出口加7900 成都关区7901 成都海关7902 成关机办7903 乐山海关7904 攀枝花关7905 绵阳海关7906 成关邮办7907 成都自贡7908 成都加工7909 成都公路国际物流7910 成都海关驻机场办7911 成都海关驻泸州办8000 重庆关区8001 重庆海关8002 南坪开发8003 重庆机办8004 重庆邮办8005 万州海关8006 重庆东站8007 九龙坡港8008 渝加工区8300 贵阳海关8301 贵阳总关8302 贵阳海关驻机场办8600 昆明关区8601 昆明海关8602 畹町海关8603 瑞丽海关8604 章凤海关8605 盈江海关8606 孟连海关8607 南伞海关8608 孟定海关8609 打洛海关8610 腾冲海关8611 沧源海关8612 勐腊海关8613 河口海关8614 金水河关8615 天保海关8616 田蓬海关8617 大理海关8618 芒市海关8619 保山监管8620 昆明机场8621 昆明邮办8622 西双版纳8623 昆丽江办8624 思茅海关8626 六库监管8800 拉萨海关8801 聂拉木关8802 日喀则关8803 狮泉河关8804 拉萨机办8805 拉萨现场9000 西安关区9001 西安海关9002 咸阳机场9003 宝鸡海关9004 西安海关邮局办事9005 西安海关驻出口加9400 乌关区9401 乌鲁木齐9402 霍尔果斯9403 吐尔尕特9404 阿拉山口9405 塔城海关9406 伊宁海关9407 吉木乃办9408 喀什海关9409 红其拉甫9410 乌鲁木齐海关隶属9411 塔克什肯9412 乌拉斯太9413 老爷庙9414 红山嘴9415 伊尔克什9416 库尔勒办9417 乌鲁木齐机场海关9418 乌鲁木齐海关驻出9500 兰州关区9501 兰州海关9505 兰州海关驻天水监9600 银川海关9601 银川海关业务现场9700 西宁关区9701 西宁海关现场9900 政法司。
中国海关全国关区代码表(最新最全) 中国海关全国关区代码表(最新最全)1. 概述中国海关全国关区代码表是中国海关根据行政区划划分而编制的代码表,用于标识和识别中国各个关区。
海关关区代码的编制依据国家相关法律法规和海关实际需求,保证海关业务运行的顺畅和统一。
本文档将提供中国海关全国关区代码表的最新和最全的信息,方便用户在海关相关业务中正确使用和查询关区代码。
2. 代码表结构中国海关全国关区代码表的结构如下:- 关区代码 - 关区名称 -- -- - -- -- 001 - 北京海关 -- 002 - 天津海关 -- 003 - 石家庄海关 -- - -3. 代码表内容以下是中国海关全国关区代码表的内容:- 关区代码 - 关区名称 -- -- - -- -- 001 - 北京海关 -- 002 - 天津海关 -- 003 - 石家庄海关 -- 004 - 太原海关 -- 005 - 呼和浩特海关 -- 006 - 沈阳海关 -- 007 - 大连海关 -- 008 - 哈尔滨海关 -- 009 - 上海海关 -- 010 - 南京海关 -- 011 - 杭州海关 -- 012 - 宁波海关 -- 013 - 合肥海关 -- 015 - 厦门海关 -- 016 - 南昌海关 -- 017 - 济南海关 -- 018 - 青岛海关 -- 019 - 郑州海关 -- 020 - 武汉海关 -- 021 - 长沙海关 -- 022 - 广州海关 -- 023 - 深圳海关 -- 024 - 南宁海关 -- 025 - 海口海关 -- 026 - 重庆海关 -- 027 - 成都海关 -- 028 - 贵阳海关 -- 029 - 昆明海关 -- 030 - 拉萨海关 -- 032 - 兰州海关 -- 033 - 西宁海关 -- 034 - 银川海关 -- 035 - 乌鲁木齐海关 -- 036 - 台北海关 -- 037 - 香港海关 -- 038 - 澳门海关 -- 039 - 信阳海关 -- 040 - 海关总署法规制度司 -- 041 - 海关总署参事审计司 -- 042 - 海关总署监察司 -- 043 - 海关总署货物业务司 -- 044 - 海关总署人事司 -- 045 - 海关总署税务司 -- 046 - 海关总署海关监管司 -- 047 - 海关总署关员管理司 -- 048 - 海关总署财务司 -- 049 - 海关总署法制司 -- 050 - 海关总署信息技术司 -- 051 - 海关总署技术标准与质量管理司 -- 052 - 海关总署外事司 -- 053 - 海关总署港口与船舶管理司 -- 054 - 海关总署监管缉私司 -- 055 - 海关总署出口退税管理司 -- 056 - 海关总署技术贸易司 -- 057 - 海关总署综合统计司 -- 058 - 外滩保税港区海关 -4. 使用方法用户在海关相关业务中需要识别关区代码时,可以按照以下方法使用中国海关全国关区代码表:1. 找到代码表中的关区名称,根据关区名称确定关区代码。
国别代码中文名称英文名称101 阿富汗 Afghanistan102 巴林 Bahrian103 孟加拉国 Bangladesh104 不丹 Bhutan105 文莱 Brunei106 缅甸 Myanmar107 柬埔寨 Cambodia108 塞浦路斯 Cyprus109 朝鲜 Korea,DPR110 中国香港 Hong Kong111 印度 India112 印度尼西亚 Indonesia113 伊朗 Iran114 伊拉克 Iraq115 以色列 Israel116 日本 Japan117 约旦 Jordan118 科威特 Kuwait119 老挝 Laos,PDR120 黎巴嫩 Lebanon121 中国澳门 Macau122 马来西亚 Malaysia123 马尔代夫 Maldives124 蒙古 Mongolia125 尼泊尔 Nepal126 阿曼 Oman127 巴基斯坦 Pakistan128 巴勒斯坦 Palestine129 菲律宾 Philippines130 卡塔尔 Qatar131 沙特阿拉伯 Saudi Arabia132 新加坡 Singapore133 韩国 Korea Rep.134 斯里兰卡 Sri Lanka135 叙利亚 Syrian136 泰国 Thailand137 土耳其 Turkey138 阿联酋 United Arab Emirates 139 也门共和国 Republic of Yemen 141 越南 Vietnam142 中国 China143 台澎金马关税区 Taiwan prov. 144 东帝汶 East Timor145 哈萨克斯坦 Kazakhstan146 吉尔吉斯斯坦 Kirghizia147 塔吉克斯坦 Tadzhikistan148 土库曼斯坦 Turkmenistan149 乌兹别克斯坦 Uzbekstan199 亚洲其他国家(地区) Oth. Asia nes 201 阿尔及利亚 Algeria202 安哥拉 Angora203 贝宁 Benin204 博茨瓦那 Botswana205 布隆迪 Burundi206 喀麦隆 Cameroon207 加那利群岛 Canary Is208 佛得角 Cape Vrde209 中非共和国 Central African Rep. 210 塞卜泰 Ceuta211 乍得 Chad212 科摩罗 Comoros213 刚果 Congo214 吉布提 Djibouti215 埃及 Egypt216 赤道几内亚 Eq.Guinea217 埃塞俄比亚 Ethiopia218 加蓬 Gabon219 冈比亚 Gambia220 加纳 Ghana221 几内亚 Guinea222 几内亚(比绍) Guinea Bissau223 科特迪瓦 Cote d’lvoir224 肯尼亚 Kenya225 利比里亚 Liberia226 利比亚 Libyan Arab Jm227 马达加斯加 Madagascar228 马拉维 Malawi229 马里 Mali230 毛里塔尼亚 Mauritania231 毛里求斯 Mauritius232 摩洛哥 Morocco233 莫桑比克 Mozambique234 纳米比亚 Namibia235 尼日尔 Niger236 尼日利亚 Nigeria237 留尼汪 Reunion238 卢旺达 Rwanda239 圣多美和普林西比 Sao Tome & Principe 240 塞内加尔 Senegal241 塞舌尔 Seychelles242 塞拉利昂 Sierra Leone243 索马里 Somalia244 南非 S.Africa245 西撒哈拉 Western Sahara246 苏丹 Sudan247 坦桑尼亚 Tanzania248 多哥 Togo249 突尼斯 Tunisia250 乌干达 Uganda251 布基纳法索 Burkina Faso252 民主刚果 Congo,DR253 赞比亚 Zambia254 津巴布韦 Zimbabwe255 莱索托 Lesotho256 梅利利亚 Melilla257 斯威士兰 Swaziland258 厄立特里亚 Eritrea259 马约特岛 Mayotte299 非洲其他国家(地区) Oth. Afr. Nes301 比利时 Belgium302 丹麦 Denmark303 英国 United Kingdom304 德国 Germany305 法国 France306 爱尔兰 Ireland307 意大利 Italy308 卢森堡 Luxembourg309 荷兰 Netherlands310 希腊 Greece311 葡萄牙 Portugal312 西班牙 Spain313 阿尔巴尼亚 Albania314 安道尔 Andorra315 奥地利 Austria316 保加利亚 Bulgaria318 芬兰 Finland320 直布罗陀 Gibraltar。
代码海关名称代码海关名称代码海关名称代码海关名称100北京关区101机场单证102京监管处103京关展览104京一处105京二处106京关关税107机场库区108京通关处109机场旅检110平谷海关111京五里店112京邮办处113京中关村114京国际局115京东郊站116京信117京开发区118十八里店119机场物流124北京站125西客站126京加工区127京快件128京顺义办200天津关区201天津海关202新港海关203津开发区204东港海关205津塘沽办206津驻邮办207津机场办208津保税区209蓟县海关210武清海关211津加工区220津关税处400石家庄区401石家庄关402秦皇岛关403唐山海关404秦关廊办405保定海关500太原海关600满洲里关601海拉尔关602额尔古纳603满十八里604满赤峰办605满通辽办606满哈沙特607满室韦608满互贸区609满铁路700呼特关区701呼和浩特702二连海关703包头海关704呼关邮办705二连公路800沈阳关区801沈阳海关802锦州海关803沈驻邮办804沈驻抚顺805沈开发区806沈驻辽阳807沈机场办808沈集装箱809沈阳东站810葫芦岛关900大连海关901大连码头902大连机场903连开发区904连加工区906连保税区907大连新港908连大窑湾909大连邮办930丹东海关940营口海关950鲅鱼圈关960大东港关980鞍山海关1500长春关区1501长春海关1502长开发区1503长白海关1504临江海关1505图们海关1506集安海关1507珲春海关1508吉林海关1509延吉海关1511长春机办1515图们车办1516集海关村1517珲长岭子1519延吉三合1521一汽场站1525图们桥办1526集安青石1527珲春圈河1529延吉南坪1531长春东站1537珲沙坨子1539延开山屯1547珲加工区1549延古城里1559延吉邮办1591长春邮办1593长白邮办1595图们邮办1596集安邮办1900哈尔滨区1901哈尔滨关1902绥关铁路1903黑河海关1904同江海关1905佳木斯关1906牡丹江关1907东宁海关1908逊克海关1909齐齐哈尔1910哈大庆办1911密山海关1912虎林海关1913富锦海关1914抚远海关1915漠河海关1916萝北海关1917嘉荫海关1918饶河海关1919哈内陆港1920哈开发区1922哈关邮办1923哈关车办1924哈关机办1925绥关公路2200上海海关2201浦江海关2202吴淞海关2203沪机场关2204闵开发区2205沪车站办2206沪邮局办2207沪稽查处2208宝山海关2209龙吴海关2210浦东海关2211卢湾监管2212奉贤海关2213莘庄海关2214漕河泾发2215虹桥开发2216沪金山办2217嘉定海关2218外高桥关2219杨浦监管2220金山海关2221松江海关2222青浦海关2223南汇海关2224崇明海关2225外港海关2226贸易网点2227普陀区站2228长宁区站2229航交办2230徐汇区站2232船监管处2233浦东机场2234沪钻交所2235松江加工2241沪业一处2242沪业二处2243沪业三处2244上海快件2300南京海关2301连云港关2302南通海关2303苏州海关2304无锡海关2305张家港关2306常州海关2307镇江海关2308新生圩关2309盐城海关2310扬州海关2311徐州海关2312江阴海关2313张保税区2314苏工业区2315淮安海关2316泰州海关2317禄口机办2318南京现场2321常溧阳办2322镇丹阳办2324苏常熟办2325苏昆山办2326苏吴江办2327苏太仓办2328苏吴县办2329通启东办2330扬泰兴办2331锡宜兴办2332锡锡山办2333南通关办2335昆山加工2336苏园加工2337连开发办2338苏关邮办2900杭州关区2901杭州海关2903温州海关2904舟山海关2905海门海关2906绍兴海关2907湖州海关2908嘉兴海关2909杭经开关2910杭关机办2911杭关邮办2912杭关萧办2918杭关余办2919杭富阳办2920金华海关2931温关邮办2932温经开关2933温关机办2934温关鳌办2981嘉关乍办3100宁波关区3101宁波海关3102镇海海关3103甬开发区3104北仑海关3105甬保税区3106大榭海关3107甬驻余办3108甬驻慈办3109甬机场办3300合肥海关3301芜湖海关3302安庆海关3303马鞍山关3304黄山海关3305蚌埠海关3306铜陵海关3307阜阳海关3310合肥现场3500福州关区3501马尾海关3502福清海关3503宁德海关3504三明海关3505福保税区3506莆田海关3507福关机办3508福榕通办3509福关邮办3510南平海关3511武夷山关3513福保税处3518福监管处3519福关马港3700厦门关区3701厦门海关3702泉州海关3703漳州海关3704东山海关3705石狮海关3706龙岩海关3710厦特区处3711厦东渡办3712厦海沧办3713厦行邮处3714象屿保税3715厦机场办3716厦同安办3717东办集司3718东办同益3720泉州货征3721泉紫帽山3730漳州货征3731漳州角美3732漳州石码3740东山货征3741漳浦办3742诏安监管3750石狮货征3760龙岩业务3777厦稽查处3788厦侦查局4000南昌关区4001南昌海关4002九江海关4003赣州海关4004景德镇关4005吉安海关4006昌北机办4200青岛海关4201烟台海关4202日照海关4203龙口海关4204威海海关4205济南海关4206潍坊海关4207淄博海关4208青开发区4209石岛海关4210青保税区4211济宁海关4212泰安海关4213临沂海关4214青前湾港4215青菏泽办4216东营海关4217青枣庄办4218青岛大港4219蓬莱海关4220青机场关4221烟机场办4222莱州海关4223青邮局办4224龙长岛办4225威开发区4226青聊城办4227青关查验4228烟关快件4229德州海关4231烟开发区4232日岚山办4233济机场办4235济邮局办4236石龙眼办4237济通关处4240青保税处4241烟加工区4242威加工区4600郑州关区4601郑州海关4602洛阳海关4603南阳海关4604郑州机办4605郑州邮办4606郑铁东办4607郑安阳办4700武汉海关4701宜昌海关4702荆州海关4703襄樊海关4704黄石海关4705武汉沌口4706宜三峡办4707鄂加工区4708武关江办4710武关货管4711武关江岸4712武关机场4713武关邮办4900长沙关区4901衡阳海关4902岳阳海关4903衡关郴办4904常德海关4905长沙海关4906湘株洲办4907韶山海关5100广州海关5101广州新风5102新风罗冲5103清远海关5104清远英德5105新风白云5106小虎码头5107肇庆封开5108肇庆德庆5109新风窖心5110南海海关5111南海官窑5112南海九江5113南海北村5114南海平洲5115南海盐步5116南海业务5117南海车场5118平洲旅检5119南海三山5120广州内港5121内港芳村5122内港洲嘴5123内港四仓5124内石榴岗5125从化海关5126内港赤航5127内大干围5130广州石牌5131花都海关5132花都码头5134穗保税处5135穗稽查处5136穗统计处5137穗价格处5138穗调查局5139穗监管处5140穗关税处5141广州机场5142民航快件5143广州车站5144穗州头咀5145广州邮办5146穗交易会5147穗邮办监5148穗大郎站5149大铲海关5150顺德海关5152顺德食出5153顺德车场5154北窖车场5155顺德旅检5158顺德勒流5160番禺海关5161沙湾车场5162番禺旅检5163番禺货柜5164番禺船舶5165南沙旅检5166南沙货柜5167南沙货港5168沙湾联运5169番禺东发5170肇庆海关5171肇庆高要5172肇庆车场5173肇庆保税5174肇庆旅检5175肇庆码头5176肇庆四会5177肇庆三榕5178云浮海关5179罗定海关5180佛山海关5181高明海关5182佛山澜石5183三水码头5184佛山窖口5185佛山石湾5186佛山保税5187佛山车场5188佛山火车5189佛山新港5190韶关海关5191韶关乐昌5192三水海关5193三水车场5194三水港5195审单中心5196云浮六都5197机场旅检5199穗技术处5200黄埔关区5201埔老港办5202埔新港办5203新塘海关5204东莞海关5205太平海关5206惠州海关5207凤岗海关5208埔开发区5209埔保税区5210埔红海办5211河源海关5212新沙海关5213埔长安办5214常平办事处5215黄埔加工5300深圳海关5301皇岗海关5302罗湖海关5303沙头角关5304蛇口海关5305上步业务5306笋岗海关5307南头海关5308沙湾海关5309布吉海关5310惠州港关5311深关车站5312深监管处5313深调查局5314深关邮办5315惠东办5316大鹏海关5317深关机场5318梅林海关5319同乐海关5320文锦渡关5321福保税关5322沙保税关5323深审单处5324深审价办5325深综合处5326深数统处5327深监控处5328深规范处5329深保税处5330盐保税关5331三门岛办5332深财务处5333深侦查局5334深稽查处5335深技术处5336深办公室5337大亚湾核5338淡水办5339深加工区5340深关现场5700拱北关区5701拱稽查处5710拱关闸办5720中山海关5721中山港5724中石岐办5725坦洲货场5727中小揽办5730拱香洲办5740湾仔海关5750九洲海关5760拱白石办5770斗门海关5771斗井岸办5772斗平沙办5780高栏海关5790拱监管处5792拱保税区5793万山海关5795横琴海关5799拱行监处6000汕头海关6001汕关货一6002汕关货二6003汕关行邮6004汕关机场6006汕关保税6007汕关业务6008汕保税区6009汕关邮包6011榕城海关6012汕关普宁6013外砂海关6014广澳海关6015南澳海关6018汕关惠来6019汕关联成6020汕关港口6021潮州海关6022饶平海关6028潮阳海关6031汕尾海关6032汕关海城6033汕关陆丰6041梅州海关6042梅州兴宁6400海口关区6401海口海关6402三亚海关6403八所海关6404洋浦海关6405海保税区6406清澜海关6407美兰机场6700湛江关区6701湛江海关6702茂名海关6703徐闻海关6704湛江南油6705湛江水东6706湛江吴川6707湛江廉江6708湛江高州6709湛江信宜6710东海岛组6711霞山海关6712湛江霞海6713湛江机场6800江门关区6810江门海关6811江门高沙6812江门外海6813江门旅检6817江门保税6820新会海关6821新今古洲6823新会车场6824新会旅检6825新会港6827新会稽查6830台山海关6831台公益港6832台烽火角6833台山旅检6837台山稽查6840三埠海关6841三埠码头6842三埠水口6843三埠旅检6847三埠稽查6850恩平海关6851恩平车场6852恩平港6857恩平稽查6860鹤山海关6861鹤山车场6862鹤山码头6863鹤山旅检6867鹤山稽查6870阳江海关6871阳江码头6872阳江车场6873阳江港6874阳江东平6875阳江闸坡6876阳江溪头6877阳江稽查6878阳江沙扒7200南宁关区7201南宁海关7202北海海关7203梧州海关7204桂林海关7205柳州海关7206防城海关7207东兴海关7208凭祥海关7209贵港海关7210水口海关7211南靖西办7212钦州海关7213桂林机办7900成都关区7901成都海关7902成关机办7903乐山海关7904攀枝花关7905绵阳海关7906成关邮办7907成都自贡7908成都加工8000重庆关区8001重庆海关8002南坪开发8003重庆机办8004重庆邮办8005万县海关8006重庆东站8007九龙坡港8300贵阳海关8301贵阳总关8600昆明关区8601昆明海关8602畹町海关8603瑞丽海关8604章凤海关8605盈江海关8606孟连海关8607南伞海关8608孟定海关8609打洛海关8610腾冲海关8611沧源海关8612勐腊海关8613河口海关8614金水河关8615天保海关8616田蓬海关8617大理海关8618芒市海关8619保山监管8620昆明机场8621昆明邮办8622西双版纳8623昆丽江办8624思茅海关8800拉萨海关8801聂拉木关8802日喀则关8803狮泉河关8804拉萨机办8805拉萨现场9000西安关区9001西安海关9002咸阳机场9003宝鸡海关9400乌关区9401乌鲁木齐9402霍尔果斯9403吐尔朵特9404阿拉山口9405塔城海关9406伊宁海关9407吉木乃办9408喀什海关9409红其拉甫9411塔克什肯9412乌拉斯太9413老爷庙9414红山嘴9415伊尔克什9500兰州关区9501兰州海关9502青监管组9600银川海关。
kuangjingq(船长)中级会员
UID 1114698
精华 0
积分 1614
帖子 122
福步币 75 块
阅读权限 40
注册 2009-8-26
来自
状态离线#2
使用道具发表于 2010-11-18 16:10 资料个人空间个人短信加为好友只看该作者全国各地海关代码二
5136 穗统计处
5137 穗价格处
5138 穗调查局
5139 穗监管处
5140 穗关税处
5141 机场
5142 民航快件
5143 车站
5144 穗州头咀
5145 邮办
5146 穗交易会
5147 穗邮办监
5148 穗大郎站
5149 大铲海关
5150 海关
5151 海关加工贸易
5152 食出
5153 车场
5154 北窖车场
5155 旅检
5158 勒流
5160 番禺海关
5161 沙湾车场
5162 番禺旅检
5163 番禺货柜
5164 番禺船舶
5165 南沙旅检
5166 番禺海关南沙
5167 南沙货港
5168 番禺海关加工贸易
5169 番禺东发
5170 海关
5171 高要
5172 车场
5173 保税
5174 旅检
5175 码头
5176 四会。