(完整版)人教版小学阶段英语单词默写表
- 格式:doc
- 大小:131.50 KB
- 文档页数:10
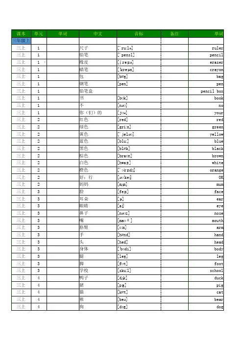
课本单元单词中文音标备注单词三年级上ruler ['ru?l?尺子1 三上 ]pencil1铅三['pensl]eraser1三橡]'rcrayon1n]三蜡krbag[b?g三1pen钢三1[pen]pencil box三铅笔1book1[k]三no[三?1]你(们)your三?]1[红[red]三2red绿green2[grn]三黄yellow?]2三['je蓝[bl三]blue2黑black2三[bl?k棕brown2n][br三白[hwwhite三2t]橙三[?n2orange]好;??k2三]OK妈三mumm][2face三[fs]3耳ear三]3眼eye3]三[鼻nose3?三[z]3mouth[m三]胳3armm]三3三[h?ndhandhead[hed]3三身三di]body3三3[leg]leg3[三foott]学3三l][skschool鸭4[三k]duck[4g]三pig4[k?t三catbear[b]4三dogg][4三上三上 4 大象 ['el?f?nt] elephantmonkey 4 三上猴子 ['m??ki]bird d] [b4 ??三上 tiger老['t]4三panda三大熊4['p?n] zoo4三[z]动物funnyni]['4滑稽的;好笑三bread5面三[bred]juice5s][三果egg5[eg]三milklk][牛三5water['?三]5cakek]5蛋三[kfish[5三]rices]5三[r米one三[n]6two]三[t6three6三]rfour?[6]三fivev]6三[fsix三[6ks]seven6三['sevn]eight[t]6三nine[n6n]三ten[ten]6三brother]兄;三['b6plate盘三t][pl6三年级UK英?[j1k]三Canada]1加拿['k?三USA美三1China三]['1中she]1三student学1['stj三nt]pupil小学['pjpl]1三he]1[h三teacher['t1三教]boy?[]1三男and[?nd和;1三下三下 1 女孩 [g??l] girlnew [nju?1 三下 ] 新的friend 1 三下 [frend] 朋today1三['d今]father]2三父亲;爸['dad[d?d2爸爸(口语三man[m?n三男2womann]三['2女mother2]三母亲;妈['sister2姐;['三s] brother兄;2['b三]grandmother]['gr?n2(外)祖三grandma['gr?ndm2三(口语)祖] grandfather]三['gr?n2(外)祖grandpa['gr?ndp(口语)祖2三] family家;家三li]['f?2thin瘦三n]3fat[f?t肥3三talll][?3三高shortt]三?矮的;短3long长[三?]3small?l]小3三[sbig3[g]大三giraffe[3长颈三f]so3这么;那][?三儿童chil的['children3ld三n]数尾[t3三l]tail4在……上n]on三在……里三4n]in[三n4under]在……下[三4]椅chair[desk]书4三desk[k?p帽cap三4[4三?l]ball[4小汽三car][boat?4小三t][m?pmap4地三]?[玩toy4三下三下 4 盒;箱 [b?ks] boxpear [pe?5 三下 ] 梨apple 5 三下 ['?pl] 苹orange5[三?橙n] banana]5三香['watermelon5n]三西?mestrawberry草三st?ri]5grape[grp]5三葡buy][b三5fruit[fr三5t]水eleven十6三'levn]twelve[twelv]十6三thirteen[?三n]t十6fourteenn]?6三十[''tfifteen十n]6三f't['sixteenksti]6十三seventeen[sen]6十t三eighteenn]6十t三nineteenn]6十[nt三twenty6二三twenti]kite三[kt]6风beautifull]['bj三美丽6四年级classroom1教sm]['k四window窗1['n?]四blackboard1黑四?['bl?kd]lightt]四[l电1picturek四图]1['door?1四[]teacher's desk1讲四computer计算[1m'pj四]fan四1风[f?nwall四l]墙[?1floor?[f四1地]really1四['真li]near1四[距离]TV'vt1四电]clean1四打[kln]help[help]帮1四上四上 2 书包 ['sku?l?b?g] schoolbagmaths book 2 四上数学书English book 四上英语书 2Chinese book四2语文storybook故事2四candy2四k?ndi糖notebook2四?k]t笔记toy?]四玩2[key]钥2[k四wow[w四]哇;2lostst]四2[丢so much2非常四cutet]可爱四2[kjstrong[st四强壮?]3friendly友好3四['frendli]quiet安静3['kwt]四hair头]3四[hshoe四]3glassesz]四['g眼3his四他z][3or?3]四或rightt]3正确的;对[r四hat帽3四[h?ther[四?]她3bedroomm]四['bed卧4living room客厅;起居4四study书4['sdi]四kitchen厨['4n]四bathroom浴m]4r四bed[bed]4四phonen]?4[电四table桌四['t4bl]sofa4长沙t]四fridge冰4[f四]find找4nd]四[fthem[eem他(她、它)4四beef牛四[bf]5chicken四鸡5n]noodles面5四上四上 5 汤 [su?p] soupvegetable t 5 四上?蔬菜 bl] ['ved??chopstickspst 5 ?四上 t筷子???ks] bowl5l]四[?fork?k]5[餐四knife四[n5f]spoon[sp四5n]dinner5['四正]ready['redi]四5准备help yourself5四为(自己)取pass5s]给;四[try试;尝5[tr]四parentsnts]父6四['pzn]四cousin ['6同辈表亲(堂亲uncle[6四?kl]叔aunt6阿四nt]baby brother6婴儿小弟四doctor四k6医]cook四k]6厨[driver四['dr司6]farmer四6农[']nurses]四护6?[people['p人四6pl]but[但t]四6little小6['tl]四puppy6小pi]四['football player四足球运动6jobb]四工[6basketballl]?四篮t6['b?s四年级first floor1一四second floor二1四office四1教师办公teacher'slibrary['l四图书bri]1playground四操['plnd]gr1computer room四1计算机art room1四美术教music room1四音乐教next to]['nekst紧1四下四下 1 作业 ['h??mw??k] homeworkclass 1 四下班;班级ɑ?s] [klforty ti] 1 [四下?四十 f?way[w1]四方breakfast['brek早四st]2English class四2英语lunch午[2n四]music class音乐四2PE class体育四2dinner['正2]四get up['gep]四2起go to school四去上2go home回2四go to bed上床睡四2over[?四结]2now]2四现在;目[no'clock2?kk]四……点kid2d][小四thirty[2四?ti]三hurry up四快2come on四快;加2n]just a minute2四稍等一会coldld][3?四冷cool3[k凉l]四warm温暖3?m]四[hot[四热3t]sunnyni]四阳光充足['3windy多风的;风大3四['ndi]阴天的;多云['kl3四di]cloudy下雪3[s?snowy四i]['rni]3rainy多雨四['在户outside3t's四d]be careful四3小['we四weather天]3['nj四纽New Yorkld]3四how about3……怎么样[四度;度degreer]3[世四3?worldld]n]n['伦London3四下四下 3 莫斯科 [?m?sk??] MoscowSingapore p??] ?s??g 新加坡3 ??四下 [Sydney 悉尼dni] ['s四下?3 fly放(风筝等[fl四3]love3v][爱你四tomato['m4?西红四]potato]?4[马铃't四green beans豆4四carrott]4四胡萝['k?horse4?s][四cow四母牛;奶[k4]sheepp]四绵4hen母4[hen]四these这4四z][eyum四4味道很animall]动['?四4those那[?4四z]garden4四dn]花园;菜['farm四m]4农[goat四?t]4山eat四[4t]clothes衣[k四?ez5pants裤5[p?nts四hat[h?t5四帽dress四连衣[dres]5skirt女t]5四?[scoat5t]?外套;大四[sweater['swe5四毛]sock四[k]5短shorts四ts]短5?jacket四['?t]5夹克shirt四t]衬5?yoursz]四[你的;你们?5whose[hz]四5谁mine5[mn]四我pack收拾(行李5四[p?kwait等t]5四[wglove手v]6[g四scarff][s围6四下四下 6 雨伞 [?m'brel?] umbrellasunglasses6 四下?太阳镜ɑ?sz] ['s?nglpretty 6 美观的;精致的四下 ['pr? ti]expensiveks'pen6v]昂贵四cheapp][6便宜四nice[n好四s]6try on四试n]tr6sizez]尺码;6四[sof course6v//?s]四当too[t四6太;过]justst]四正好;恰[6how much6四多少eighty八6ti]四dollar]元(美元等6四sale大减6四[sl]more四]更多6[?uss]四我6老的;年纪大1?old五ld]年轻的;岁数不[1?五young]滑稽的;可笑五funny['1ni]体贴的;慈祥[k五nd]1kind严厉[st1五strictkt][1?l有礼貌polite五t]1五hard-working工作努力['help五helpfull]有帮助1['kle五]聪明clever1腼腆的;羞怯五]shy1][知道;了1五know?]1我们our五?['z]Ms1[女五l][五1will将mz]五mtsometimes ['1有时;间t]robot?1五机器m]him五 [1他(宾语或表语k][sp会说;会五speak1]完成;做['finish1五]星期nd['Monday2五zdi]['tj星期Tuesday2五上五上 2 星期三 ['wenzdi] WednesdayThursday ['θ??2 五上 zdi] 星期四Friday ?di] 星期五 2 ['fra五上Saturdaydi]星期['s?五2Sunday五['2ndi]星期weekend2k'end]五周['wwash[2?]五wash my clothes2五洗我的衣watch五][2watch TV看电五2do[d五2]做;do homework五2做作read[r2五d]看;read books2看五踢;玩;参加([plplay五2]动踢足五play football2cooking烹2五[?2n]五时常;常often[公2park五k]['ttired2疲倦d]五[s?体育运2五t]sport五play sports做体育运2应该;应五should2d]['evri]每一个;每every五2[d2一天;一day五]工作计划;日程2edj五l]schedule三明['s?nd五sandwich3]s?五蔬菜沙d]3salad['h?m?五]汉堡3hamburger五冰激ice cream3[t茶;茶五3tea]新鲜的;刚摘3五[frfresh]i]3healthy五健康['hes]3五delicious'[美味的;可口t]hot辣五[3t][sw五sweet甜3k][d喝;drink3五上五上 3 口渴的 ['θ??sti] thirstyfavourite五上 r?t] ['fe?v?特别喜爱的 3food 食物五上 d] 3 [fuDear3[五亲爱]onion3n]五洋[nsing4[唱五]song[4歌?]五sing English唱英文歌4五songplay the pipa4五弹琵kung fu功夫;武五4do kung fu五练功4dance跳五ns][4draw4五[d?]cartoonn]漫?五[t4draw cartoons画漫4五cook4五[k]烹swim五游4[sm]play basketball打篮五4play ping-pong4五打乒乓speak English4五说英we'll五l]我们[w4party五ti]聚会;派4['下一个的;紧接['nekst]五4next极好的;了不起 ['五n4wonderfull]学;学五[?4learnn]['eni]五any任何的;任一4m]problemb五问p4五no problem没问4nt][五要;想want4[send]send五4邮寄;发l]4五memail电子邮(后面接邮件五4at[?t址k]五时[kclock5nt]五plant植5[ptl]bottle瓶5五水water bottle5五上五上 5 自行车 [ba?k] bikephoto t??5 五上 ] 照片;相片 ['f??front nt] 正面 5 [fr五上 in front of 在 (5)between5五'twn][在……中above在……上v]5五'beside[在旁's5d]五behindnd]'h后在…5[五(表示存在或there[e]五5生grandparents五nt](外)祖父5ɡr?ndptheir]五他们[e5house[h房屋;房5五s]lott]5[大量;许五lots of五大量;许5flower?]花;花5五['flmove[m5v]搬五dirty肮脏?ti]5五['everywhere hw['ev五处处;到]5mouses]五老[m5live[5v]五居nature]5n五自然界;大自forestst]森林;林五6river河;]['五6lake湖;湖[l6五k]mountain['m6高山;山n]五nhill[6山丘;小l]五tree][tr6五树;树bridge五]6[bbuilding五['建筑物;房6l]village五村庄;村6[']house6五房屋;房[hs]boating划]6?['五go boating去划五6aren't五不nt]6rabbit兔五t]6['r?high高五]6[heat breakfast1吃早五have ... class上 (1)五下五下 1 进行体育运动 play sportsexercise ?sa?1 五下 z] 活动;运动 ['eksdo morning做早操 1 五下exerciseeat dinner吃晚1五clean my room1五打扫我的房go for a walk五散1go shopping五去买东西;购1学习;上(课[t1take五k]跳舞;舞五dancing1take a dancing五上舞蹈1class什么时候;何when1[hwen]五在(时间)之[f1after五]开[s1start五t]通常地;惯常['j?usually1?li]五n][sp西班五1Spaint]五[l晚;late1em]午前;上五?nm1a.m.em][p午后;下1p.m.五][hwwhy1五为什去买东西;购五shop1p] k]工五work[1?上一个的;刚过[五last1st]听起来好sound五[s1nd][?还;五l?1]also['忙五1busyzi][n五需needd]1[pl]五play戏剧;剧1['le五1]letter[五1livev]居['五islandnd]1[?五总是;一lwalways1z][k五v]cave山洞;洞1五1去游go swimming[五n]1获win[sp2五spring]春]['夏summer2五下五下 2 秋天 ['??t?m] autumnwinter 2 五下 nt冬天?] ['w?season zn] ['si2 ?五下季节picnic['k野2k]五go on a picnic五去野2pickk]2摘;采五[pick apples摘苹五2snowman??五雪2m?n['smake a snowman堆雪2五go swimming2去游五which2哪一五][hbest五2[best]snow]五[s?2good job做得五2because[因2'z]?五vacation)n][2?k五假all?2五全;完l]pink五粉色;粉色k][2lovelyvli]五2可爱的;美丽leaf[l2五叶f]fall2?l][落下;秋五paint[pnt]用颜料绘五2January五一?n['3eri]February?五['feb二ri]3March[五三]3Aprill]四五p['3May[m3五五]June3[五六n]July3七[五'l]August八五3st]'?September九3五[sep'tem] October十五]?3November?[五'vem十一]3December五十二'sem[]3few五不多;很3][fja few一五3thing]3五事meet[m3集会;开五t]sports meet运动3五下五下 3 复活节 [?i?st?] Eastertrip 3 五下旅行 [tr?p]year ?] [j 3 ?五下 plant[p五种nt]3contestntest]五比赛;竞3the Great Wall3长五national国家n3n五)l]National Dayl]国庆n3五American五n]美国3'meThanksgivingks'3]θ感恩五Christmas圣诞s3五s]['kholidaydi]五假日;节3game五游m]3[groll[3?l]五滚look for3k寻r]['五chocolate巧克t]五3bunny兔五ni]3['RSVP五请赐3by在……之3]五[bfirst4第五[?st]second五['se4第nd]third?d]五第4fourthn]t五第4?fifth五第]4[sixth[k第五4] twelfth[twel4]五第十twentieth4五['twent第二?]twenty-first第二十st]4?'twen五twenty-third4五第二十special特殊的;特别五['sp4l]fool4五蠢人;傻l][fkitten4小五diary五4日['dri]l]五still [s仍然;依旧;还4noisez]五声音;噪4?[fur?4[五浓密的;软]open[4?五开着n]walkk]?[4五行minen][m我5五下五下 5 你(们)的 [j??z] yourshis [h5 五下?他的 z]hers ??她的 5 z] 五下 [theirs他(她、它)们[ez]5五ours五z]我们5['?climbing(正在)攀5五吃ea-in5eating五式(正在)玩五5playing五5(正在)jumping5(正在)drinking五(正在)睡sleeping五5[五]each每一;各5[五other其]5[五相//5each other]兴奋的;激动k's5d]excited五k]那5````like[l五doing moring6五做早exercise五having ... class上 (6)6五reading a book(正在)看listening to6五正在听音musicp]keep6五[k保持某种状五keepto靠6therightkeep your desk保持你的课桌干 6五clean小声讲talk quietly6五[6turn?n]五顺tk'take turns五按顺序?nz]6[b?m'b6五bamboo竹]ts]its五6 它的;他的;她]6show五给人看;指?]任何事五anything ['e6[els]五else6另外;其n]exhibition展6ek五][s6说;五sayhave a look看一6五6五sushi寿][tteach6五下五下 6 当然 [???] sureCanadian d6 五下?加拿大的?n] ?[k'ne?Spanish 6 五下?西班牙的 ] [?sp?nscience1['s六科ns]museumm]'1六博物[mjpost office邮六1bookstore]六书ks1?cinema]六电影1hospital六医tl]1scrossing?十字路六['k1]turn转六[?n]1left[left]1六straight笔直1六[strt]right[r六t]1ask1六sk]sir先?1[]六interestingn1[s六]有趣Italiann]1't?l六意大利restaurant1resnt]六餐pizza]['pt比萨六1street大街;街1[strt]六get到1[get]六全球(卫星)定GPS六1系提供;交(giv[g1v]六gave的过去)特feature[f六]1跟follow六1?][]六较远far1[tel]告1六tell步2六on foot[b六]2by[s]六2公共汽bus[pln]飞六2plane['t?ksi2出租汽taxi六2ship六p]['bwsubway地2六][tr火n]2六train]?[s慢slow2六上六上 2 减少;降低 [da?n] downslow down2 六上慢下来stop 停下 2 [st六上?p]Mrs2六['夫z]early2早到六?li][helmet头['hel2t]六mustst][六必2wear][w六2attention2注六)n]?tepay attention to2注六traffic交['tr?六2k]traffic lights交通信号六2Munich慕尼六(德国城市2Germany六德?ni]2['阿拉斯加州(美Alaska?l?s六2]州名雪六sled2[2六st]快fast2feri]轮六ferryPapa Westray六2帕帕韦斯特雷nd]Scotland六s苏格2tt]六['visit3拜lm]film六[3电see a film看电3六p]3trip[t旅六去旅take a trip六3t]超['sj3supermarket?六]晚上;傍3v六evening['t]3在今'n六[tonight]?3明[六'?tomorrow 下六3next weekneri]3六dictionary词['k]3六滑稽comic连环画comic book六3d]word?3单六[word book单词3六d]postcards明信3['六?['lesn]lesson3六s][sp太space3六上六上 3 旅行 ['tr?vl] travelhalf f] [hɑ3 六上?一半price [pra? s] 价格 3 六Mid-Autumn中秋3六Festivaltogether]'ge3六一[get together六聚3mooncake六k][mnk月3poem六3??m]moon月3n]六[mstudies学六4puzzle六z)l]4hiking远六n]4[hpen pal笔六4hobby4bi]业余爱六jasmine六4茉idea六[想法;主'4]堪培拉;澳大利4六Canberra首令人惊奇'm六amazing]4表示征求意4六?lshall[4射?goal六l][加4join?n]六[k俱乐club六4b]六分share4]['f?k六ri]factory工5['?六工worker]5['postman?六5邮递stn]['zbusinessman六商sm?n5police office六5警fisherman六n]渔5['s六n科学scientist5st]六p飞行5pilott][?教5]coach六['ntri]country六国5 [hed]六head teacher5校[s5六sea大][ststay5六]保ti]?'j大university5六上六上 5 体育馆 [d??m] gymif 5 六上 [如果?f]reporter] [r 5 ?六上?记者 p??tuse5[j六z]使type[t打5p]六quickly迅速kli]['k六5secretary六sek秘tri]5angry['六6生气gri]afraid'fr6六d]害sad6难过[s?d六worried担心的;发愁['6d]六happy高兴6六['h?pisee a doctor六看6wear[w6]六more?6更多六[]deep六p][d6深breath[br六]6呼take a deep6六深呼breathcount数6nt]六[kcount to ten6六数到chases]六[6追老鼠mous的[m6六s]mice数邪恶的;坏6[b?d六bad[六?t]hurt6受ill六6l]有病;不舒[有毛wrong六?6]should六d]应6[ffeel六l]觉得;感6[wel]健康;身体well6六[6六sitt][g6grass六s]草[6听hear六][?nt蚂6六ant['6worry六ri]担心;担陷住;无法移6stuck六d][6mud六l] [拉;pull6六上六上 6 每人 ['evr?w?n] everyoneyounger 更年轻的(young) [?j ??ɡ 1 ?] 六下更年长的(old) older 六下 1更高的taltaller六1更矮的;更短shorter1六更长的lon六longer1更瘦的thi六1thinner更重的heav1heavier六更大的bi1bigger六更小的smalsmaller六1更强壮stronger六stron1恐dinosaur['d六?1][?l]六hall大1['mmetre六]1[e?nthan1六[1两个both?六]1kilogram千克;公六ɡr?m['nt's乡六countrysided]1更低的lo六lower1?阴影;影六shadow?]1更聪明的smar六smarter1m]['六变become1打clea的过六2cleaned式停留;呆sta六2stayed过去式was六washed的过去式2看watc的过六2watched式患病;得(hav[h?d六2had的过去)感had a cold六2睡slee的过slept六2式2rea六的过去式read[rd]看见se的过[2?六saw]式最近的;上一个六 [lastst]2昨六['jes2yesterdaydi]]?'[在……之before2六下六下 2 喝(drink) [dr??k] drankshow 六下 [演出 2 ???]magazine 2 六下?n] [杂志?m?g?'zwel更好的better六2['be] goofaster更快的fas六2[2hotel?'tel]六旅fixed修理2fi六['b六?broken2n]破损[l?mp六lamp台2大声的;喧闹loud2六[ld]]2enjoy喜六n'去3g的过去式went六[went]3六camp野[k?mp六went camping野3]fish钓六[3went fishing3去钓六?3六[rode受伤hur的过[hurt3六?t]式吃六ateea的过去式3[t]拍照tak的过[t3六tookk]式照3took pictures六买bu的过去式六bought[3?t]ft]gift六礼3摔倒fal的过[fel]fell3六式落六off3f]l六劳动3Labour Day]骡mule3六Turpan六3吐鲁能could3ca六的过去式[d]l]3六直till[]3[b六沙beacht]3六s['basket篮;t]六[角part3六liclicked的过去式3笑laug的过六3laughed式).六下 4 饭厅 dining hallgrass s] 草坪 [grɑ? 4 六下gym [d?体育馆? 4 六下 m]ago]4六'?以cyclingsk4六]骑自行车运go cycling去骑自行4六ice-skate滑4六badmintonb?d羽毛球运六n4n]star六][s4easy4zi]六容易['look upp]['查六4Internet六?n4net]互联[differentnt]六['4不同active4积极的;活跃六['?kv]race六s][r4赛nothing六['没有什]4想thin的过4thought?六t]感觉fee的过[felt]六4felt式猎4['六cheetah][t4trip六绊p]k]?woke[的过去式4wak六m]六[drdream4。
钢笔铅笔铅笔盒尺子橡皮蜡笔书书包卷笔刀学校头脸鼻子嘴眼睛耳朵胳膊手指腿脚身体红色的黄色的绿色的蓝色的紫色的白色的黑色的橙色的棕色的粉色的猫狗猴子熊猫兔子鸭子猪鸟熊大象老鼠松鼠蛋糕面包热狗汉堡包鸡肉牛奶水茶咖啡一二三四五六七八九十玩具娃娃小船球风筝气球小汽车飞机男孩女孩教师学生这个我的朋友我是好的;愉快的早上好下午好遇见;碰见再见也;太爸爸爸爸(口语)母亲;妈妈妈妈(口语)男人女人(外)祖母(外)祖母(口语)(外)祖父(外)祖父(口语)姐妹兄弟让我们十一十二十三十四十五十六十七十八十九二十多少能够;可以看;瞧桃梨橙子西瓜苹果香蕉草莓葡萄喜欢一些;某些多谢公共汽车自行车出租车吉普车课桌椅子随身听台灯你的;你们的动物园小的大的长的短的;矮的高的长颈鹿鹿窗户(我们)有写字板新的灯,灯管去画,图画地板讲台教室墙许多的扇子,电扇我们的打扫,清洁同学好主意看一看好吧,好的座位干的好耳朵你什么看在…里面我这个,这里看……我们语文书铅笔英语书二十一数学书三十一书包四十一故事书五十笔记本太多了颜色胖的重的;沉重的可以what’s 当然可以对不起给你长头发短头发瘦的健壮的安静的他的照片名字他教师学生音乐科学体育运动电脑游戏绘画她的you’re 她对的;正确的男孩女孩朋友书房卫生间卧室客厅厨房it’s嘿鱼isn’t这里家房间学校教室电话床沙发书架冰箱桌子他们aren’t they’re 钥匙打开看请在…上面不;不是窗户床米饭鱼面条(复数)牛肉蔬菜汤吃晚餐;正餐等I’d like 面包牛奶蛋水饥饿的为;给谢谢你刀筷子(复数)勺子盘子叉子帮助;帮忙传递准备好了尝试随便吃展示好吃的食物使用鸡肉家庭父母叔叔;舅舅姑姑;婶;姨婴儿人成员只有;仅仅小狗来谁姐妹兄弟父亲;爸爸棒球运动员护士看;瞧年轻的计算机写字板风扇灯这;这个是我的那;那个你的讲台图画;照片墙壁地板是;是的它这是我的电脑。
这是你的电脑。
这是讲台桌吗?是的,这是。
课程一二三四五六七八九十什么时间数学语文英语体育音乐为;给7点钟现在几点了?两点了。
人教版PEP英语3-6年级全部单词默写表格以及背诵版本Unit 1:1.尺子、铅笔、橡皮、蜡笔、包、钢笔、铅笔盒、书、不、你(们)的Rewrite: The words to be memorized are: ruler。
pencil。
eraser。
crayon。
bag。
pen。
pencil case。
book。
no。
your (plural).Unit 2:2.红色、绿色、黄色、蓝色、黑色、棕色、白色、橙色、好;行、妈妈Rewrite: The words to be memorized are: red。
green。
yellow。
blue。
black。
brown。
white。
orange。
good。
mom.Unit 3:3.脸、耳朵、眼睛、鼻子、嘴、胳臂、手、头、身体、腿、脚、学校Rewrite: The words to be memorized are: face。
ear。
eye。
nose。
mouth。
arm。
hand。
head。
body。
leg。
foot。
school.Unit 4:4.鸭子、猪、猫、熊、狗、大象、猴子、鸟、老虎、大熊猫、动物园、滑稽的;好笑的Delete: The paragraph is missing and the last phrase is not a word to be memorized.Unit 5:5.面包、果汁、蛋、牛奶、水、蛋糕、鱼、米饭XXX: The words to be memorized are: bread。
juice。
egg。
milk。
water。
cake。
fish。
rice.Unit 6:6.一、二、三、1、四、五、六、七、八、九、十、兄;弟、姐;妹、盘子Rewrite: The words to be memorized are: one。
two。
three。
1.four。
five。
six。
seven。
eight。
nine。
人教版小学英语PEP三年级上册单词默写1.根据中文意思写出对应的英文单词Unit1 Hello!尺子铅笔橡皮蜡笔包钢笔铅笔盒书Unit2 Colours红色绿色黄色蓝色黑色棕色白色橙色Unit3 Look at me脸耳朵眼睛鼻子嘴胳臂手头身体腿脚学校Unit4 We love animals鸭子猪猫熊狗大象猴子鸟老虎大熊猫动物园滑稽的;好笑的Unit5 Let’s eat!面包果汁蛋牛奶水蛋糕鱼米饭Unit6 Happy birthday!一二三四五六七八九十兄;弟姐;妹盘子2.根据英文单词写出对应的中文意思Unit1 Hello!ruler pencil eraser crayon bag pen pencil box bookno your Unit2 Coloursred green yellow blue black brown white orange OK mum Unit3 Look at meface ear eye nose mouth arm hand head body leg foot school Unit4 We love animalsduck pigcat beardog elephant monkey bird tiger panda zoo funny Unit5 Let’s eat!bread juice egg milk water cake fish riceUnit6 Happy birthday!one two three fourfive sixseven eightnine tenbrother sisterplate人教版小学英语PEP三年级下册单词默写1.根据中文意思写出对应的英文单词Unit1 Welcome back to school英国加拿大美国中国她学生小学生他教师男孩和;与女孩新的朋友今天Unit2 My family父亲;爸爸爸爸(口语)男人女人母亲;妈妈姐;妹兄;弟(外)祖母(口语)祖母(外)祖父(口语)祖父家;家庭Unit3 At the zoo瘦的肥的高的矮的;短的长的小的大的长颈鹿这么;那么儿童(child的复数)尾巴Unit4 Where is my car?在••••••上面在••••••里面在``````下面椅子书桌帽子球小汽车小船地图玩具盒;箱Unit5 Do you like pears?梨苹果橙子香蕉西瓜草莓葡萄买水果Unit6 How many?十一十二十三十四十五十六十七十八十九二十风筝美丽的2.根据英文单词写出对应的中文意思Unit1 Welcome back to schoolUK Canada USA China she student pupil he teacher boyand girl new friend todayUnit2 My familyfather dadman woman mother sister brother grandmother grandma grandfather grandpa familyUnit3 At the zoothin fattall shortlong smallbig giraffeso childrentailUnit4 Where is my car?on inunder chairdesk capball carboat maptoy boxUnit5 Do you like pears?pear apple orange banana watermelon strawberry grape buyfruitUnit6 How many?eleven twelve thirteen fourteen fifteen sixteenseventeen eighteen nineteen twentykite beautiful人教版小学英语PEP四年级上册单词默写1.根据中文意思写出对应的英文单词Unit1 My classroom教室窗户黑板电灯图画门讲台计算机风扇墙壁地板真的距离近电视打扫帮助Unit2 My schoolbag书包数学书英语书语文书故事书糖果笔记本玩具钥匙哇;呀丢失(lose的过去式) 非常地可爱的Unit3 My friends强壮的友好的安静的头发鞋眼镜他的或者正确的;对的帽子她的Unit4 My home卧室客厅;起居室书房厨房浴室床电话桌子长沙发冰箱找到他(她、它)们Unit5 Dinner’s ready牛肉鸡肉面条汤蔬菜筷子碗餐叉刀勺正餐准备好为(自己)取用给;递试;尝试Unit6 Meet my family父母同辈表亲(堂亲)叔叔阿姨婴儿小弟弟医生厨师司机农民护士人们但是小的小狗足球运动员工作篮球2.根据英文单词写出对应的中文意思Unit1 My classroomclassroom window blackboard lightpicture doorteacher's desk computerfan wallfloor reallynear TVclean helpUnit2 My schoolbagschoolbag maths book English book Chinese book storybook candy notebook toykey wowlost so muchcuteUnit3 My friendsstrong friendlyquiet hairshoe glasseshis orright hatherUnit4 My homebedroom living room study kitchen bathroom bed phone tablesofa fridgefind themUnit5 Dinner’s readybeef chicken noodles soupvegetable chopsticks bowl fork knife spoon dinner ready help yourself passtryUnit6 Meet my familyparents cousin uncle auntbaby brother doctor cook driver farmer nurse people butlittle puppy football player jobbasketball人教版小学英语PEP四年级下册单词默写1.根据中文意思写出对应的英文单词Unit1 My school一楼二楼教师办公室图书馆操场计算机房美术教室音乐教室紧邻作业班;班级四十方向Unit2 What time is it?早餐英语课午餐音乐课体育课正餐起床去上学回家上床睡觉结束现在;目前……点钟小孩三十快点快;加油稍等一会儿Unit3 Weather冷的凉的温暖的热的阳光充足的多风的阴天的下雪的多雨的在户外小心天气纽约……怎么样?度世界伦敦莫斯科新加坡悉尼放(风筝等)爱Unit4 At the farm西红柿马铃薯豆角胡萝卜马母牛;奶牛绵羊母鸡这些味道很好动物那些________________________ 花园;菜园农场山羊吃Unit5 My clothes衣服裤子帽子连衣裙女裙外套;大衣毛衣短袜短裤夹克衫衬衫你的;你们的谁的我的收拾(行李)等待Unit6 Shopping手套围巾雨伞太阳镜美观的;精致的昂贵的便宜的好的试穿尺码;号当然太;过于正好;恰好多少钱元(美元等)大减价更多的我们Unit1 My schoolfirst floor second floor teachers'office library playground computer room art room music room next to homework classfortywayUnit2 What time is it?Breakfast English class Lunch music class PE class Dinnerget upgo to school go homego to bed overnow o'clockkidthirtyhurry up come onjust a minuteUnit3 Weathercold cool warm hot sunny windy cloudy snowy rainy outsidebe careful weather New York how about degree worldLondon Moscow Singapore Sydney fly loveUnit4 At the farmtomato potato green beans carrot horsecowsheephen these yum animal those garden farm goat eatUnit5 My clothesclothes pants hat dress skirt coat sweater sock shorts jacket shirt yours whose mine pack waitUnit6 Shoppingglove scarf umbrella sunglasses pretty expensive cheap nicetry on sizeof course toojusthow much dollarsale more us人教版小学英语PEP五年级上册单词默写1.根据中文意思写出对应的英文单词Unit1 What's he like?老的;年纪大的年轻的;岁数不大的滑稽的;可笑的体贴的;慈祥的严厉的有礼貌的工作努力的有帮助的聪明的腼腆的;羞怯的知道;了解我们的女士将要有时;间或机器人他(宾语或表语)会说;会讲完成;做好Unit2 My week星期一星期二星期三星期四星期五星期六星期日周末洗洗我的衣服看看电视做;干做作业看;读看书踢;玩;参加(运动)踢足球烹饪时常;常常公园疲倦的体育运动做体育运动应该;应当每一个;每个一天;一日工作计划;日程安排Unit3 What would you like?三明治蔬菜沙拉汉堡包冰激凌茶;茶水新鲜的;刚摘的健康的美味的;可口的辣的甜的喝;饮口渴的特别喜爱的食物亲爱的洋葱Unit4 What can you do?唱歌歌曲唱英文歌曲弹琵琶功夫;武术练功夫跳舞画漫画画漫画烹饪游泳打篮球打乒乓球说英语聚会;派对下一个的;紧接着的极好的;了不起的学;学习任何的;任一的问题没问题要;想要邮寄;发送电子邮件(后面接邮件地址)Unit5 There is a big bed时钟植物瓶子水瓶自行车照片;相片正面在……前面在……中间在……上面在旁边在……后面(表示存在或发生) (外)祖父母他们的房屋;房子大量;许多大量;许多花;花朵搬家肮脏的处处;到处老鼠居住自然界;大自然Unit6 In a nature park森林;林区河;江湖;湖泊高山;山岳山丘;小山树;树木桥建筑物;房子村庄;村镇房屋;房子划船去划船兔子高的2.根据英文单词写出对应的中文意思Unit1 What's he like?oldyoungfunnykindstrictpolitehard-working helpful clevershy knowourMswill sometimes robothim speak finishUnit2 My weekMonday Tuesday Wednesday ThursdayFriday Saturday Sunday weekendwashwash my clothes watchwatch TVdodo homework readread books playplay football cooking oftenparktiredsportplay sports should everyday scheduleUnit3 What would you like?sandwich salad hamburger ice cream teafresh healthy delicious hot sweet drink thirsty favourite food Dear onionUnit4 What can you do?singsongsing English song play the pipa kung fudo kung fu dancedrawcartoondraw cartoons cookswimplay basketball play ping-pong speak English we'll = we will partynextwonderful learn any problemno problem wantsendemailatUnit5 There is a big bedclockplantbottle water bottle bikephoto frontin front of between above beside behindthere garandparent theirhouselotlots offlower movedirty everywhere mouselivenatureUnit6 In a nature parkforest riverlake mountain hilltree bridge building village house boatinggo boating rabbit high人教版小学英语PEP五年级下册单词默写1.根据中文意思写出对应的英文单词Unit1 My day吃早饭上……课进行体育运动活动;运动做早操吃晚饭打扫我的房间散步去买东西;购物学习;上(课)跳舞;舞蹈上舞蹈课什么时候;何时在(时间)之后开始通常地;惯常的西班牙晚;迟午前;上午午后;下午为什么去买东西;购物工作上一个的;刚过去的听起来好像还;也忙的需要戏剧;剧本信居住岛总是;一直山洞;洞穴去游泳获胜Unit2 My favourite season春天夏天秋天冬天季节野餐去野餐摘;采集摘苹果雪人堆雪人去游泳哪一个最雪做得好因为假期全;完全粉色;粉色的可爱的;美丽的叶子落下;秋天用颜料绘画Unit3 My school calendar一月二月三月四月五月六月七月八月九月十月十一月十二月不多;很少一些事情集会;开会运动会复活节旅行年种植比赛;竞赛长城国家的国庆日美国的感恩节圣诞节假日;节日游戏滚动寻找巧克力兔子请赐复在……之前Unit4 When is Easter第一第二第三第四第五第六第十二第二十第二十一第二十三第三十特殊的;特别的蠢人;傻瓜小猫日记仍然;依旧;还是声音;噪音浓密的;软毛开着的行走Unit5 Whose dog is it?我的你(们)的他的她的他(她、它)们的我们的(正在)攀爬(正在)吃(正在)玩耍(正在)跳(正在)喝(正在)睡觉每一;各个其他相互兴奋的;激动的像……那样Unit6 Work quitely!做早操上……课(正在)看书正在听音乐保持某种状态靠右保持你的课桌干净小声讲话顺序按顺序来竹子它的;他的;她的给人看;指引任何事物另外;其他展览说;讲看一看寿司教当然加拿大的西班牙的2.根据英文单词写出对应的中文意思Unit1 My dayeat breakfast have……classplay sports exercisedo morning exercise eat dinnerclean my roomgo for a walkgo shoppingtakedancingtake a dancing class whenafterstart usually Spain late a.m. p.m. why shop work last sound also busy need play letterlive island always cavego swimming winUnit2 My favourite seasonspringsummerautumn/fall winterseasonpicnicgo on a picnic pickpick apples snowmanmake a snowman go swimming whichbestsnowgood job because vacationallpinklovelyleaffall paint Unit3 My school calendarJanuary February March AprilMayJuneJuly August September October November December few a fewthingmeetsports meet Eastertripyearplantcontestthe Great Wall national National Day AmericanThanksgiving Christmas holiday gameroll look for chocolate bunny RSVPbyUnit4 When is Easterfirst second thirdfourthfifthsixth twelfth twentieth twenty-first twenty-third thirtieth specialfoolkittendiarystillnoisefuropen walk Unit5 Whose dog is it?mine yours hishers theirs ours climbing eating playing jumping drinking sleeping each other each other excited likeUnit6 Work quitely!doing moring exercise having…class reading a book listening to music keepkeep to the right keep yourdesk cleantalk quietlyturntake turns bambooitsshowanything else exhibition sayhave a look sushi teachsure Canadian Spanish人教版小学英语PEP六年级上册单词默写1.根据中文意思写出对应的英文单词Unit1 How can I get there?科学博物馆邮局书店电影院医院十字路口转弯左笔直的右问先生有趣的意大利的餐馆比萨饼大街;街道到达全球(卫星)定位系统提供;交给(过去时)特点跟着较远的告诉Unit2 Ways to go to school步行乘公共汽车飞机出租汽车船地铁火车慢的减少;降低慢下来停下夫人早到的头盔必须戴注意注意交通交通信号灯慕尼黑(德国城市)德国阿拉斯加州(美国州名)雪橇快的轮渡帕帕韦斯特雷岛Unit3 My weekend plan拜访电影看电影旅行去旅行超市。
人教版小学三年级英语单词表
三年级上册词汇
人教版小学英语三年级上册单词表(三会)
Unit 1
钢笔铅笔铅笔盒尺子橡皮蜡笔学校
书书包卷笔刀
Unit 2
头脸鼻子嘴
眼睛耳朵胳膊手指
腿脚身体
Unit 3
红色的黄色的绿色的蓝色的紫色的白色的黑色的橙色的粉色的棕色的
Unit 4
猫狗猴子
熊猫兔子鸭子
猪鸟熊大象
老鼠松鼠
Unit 5
蛋糕面包热狗汉堡包鸡肉榨薯条可乐果汁牛奶水茶咖啡
Unit 6
一二三四
五六七八九十玩具娃娃小船球风筝气球小汽车飞机
三年级下册词汇
人教版小学英语三年级下册单词表(三会)
Unit 1
男孩女孩教师学生这个我的朋友我是好的愉快的早上好
下午好遇见;碰见
再见也;太
Unit 2
爸爸爸爸口语母亲;妈妈妈妈口语男人女人外祖母(口语)(外)祖母
(外)祖父(口语)(外)祖父姐妹兄妹让我们太好了真地;确切地和;并且
Unit 3
十一十二十三十四十五十六十七十八十九二十多少能够;可以看;瞧
Unit 4
桃梨橙子西瓜苹果香蕉草莓葡萄喜欢一些;某些多
谢
Unit 5
公共汽车自行车出租车吉普车课桌椅子随身听台灯你的;你们的动物园
Unit 6
小的大的长的短的;矮的高的长颈鹿鹿。
三年级上册Unit 1 _____________尺子_____________铅笔_____________橡皮_____________蜡笔_____________书包_____________钢笔_____________铅笔盒_____________书三年级上册Unit 2 _____________红色的_____________黄色的_____________绿色的_____________蓝色的_____________白色的_____________黑色的_____________橙色的_____________棕色的三年级上册Unit 3 _____________头_____________脸_____________鼻子_____________嘴_____________眼睛_____________耳朵_____________胳膊_____________手指_____________腿_____________脚_____________身体三年级上册Unit 4 _____________猫_____________狗_____________猴子_____________熊猫_____________鸭子_____________猪_____________鸟_____________熊_____________大象_____________老虎_____________动物园三年级上册Unit 5 _____________蛋糕_____________面包_____________鱼_____________米饭_____________果汁_____________蛋_____________牛奶_____________水三年级上册Unit 6 _____________一_____________二_____________三_____________四_____________五_____________六_____________七_____________八_____________九_____________十三年级下册Unit 1_____________英国_____________加拿大_____________美国_____________中国_____________她_____________学生_____________小学生_____________他_____________教师三年级下册Unit 2_____________父亲,爸爸_____________爸爸口语_____________母亲;妈妈_____________姐姐,妹妹_____________男人_____________女人_____________外祖母_____________(口语)外)祖母_____________(外)祖父_____________(外)祖父_____________兄弟三年级下册Unit 3_____________瘦的_____________胖的_____________高的_____________矮的_____________长的_____________小的_____________大的 .三年级下册Unit 4_____________在...上_____________在...里_____________在...下面_____________椅子_____________书桌_____________帽子_____________球_____________小汽车_____________小船_____________地图三年级下册Unit 5_____________梨_____________苹果_____________橙子_____________香蕉_____________西瓜_____________草莓_____________葡萄三年级下册Unit 6_____________十一_____________十二_____________十三_____________十四_____________十五_____________十六_____________十七_____________十八_____________十九_____________二十四年级上册Unit 1_____________窗户_____________教室_____________黑板_____________电灯_____________画,图画_____________门_____________讲台_____________计算机_____________风扇_____________墙壁_____________地板四年级上册Unit 2 _____________书包_____________数学书_____________英语书_____________语文书_____________故事书_____________糖果_____________笔记本_____________玩具_____________钥匙四年级上册Unit 3 _____________强壮的_____________友好的_____________安静的_____________头发_____________鞋_____________眼镜四年级上册Unit 4 _____________卧室_____________客厅_____________书房_____________厨房_____________浴室_____________床_____________电话_____________桌子_____________沙发_____________冰箱四年级上册Unit 5_____________牛肉_____________鸡肉_____________面条_____________汤_____________蔬菜_____________筷子_____________碗_____________餐叉_____________刀_____________勺四年级上册Unit 6_____________父母_____________同辈表亲_____________姑父_____________姑母_____________婴儿小弟弟_____________厨师_____________医生_____________司机_____________农民_____________护士四年级下册Unit 1_____________一楼_____________二楼_____________教师办公室_____________图书馆_____________操场_____________计算机房_____________美术教室_____________音乐教室四年级下册Unit 2_____________早饭_____________英语课_____________午饭_____________音乐课_____________体育课_____________晚饭_____________起床_____________去上学_____________回家_____________上床睡觉四年级下册Unit 3_____________冷的_____________凉的_____________温暖的_____________热的_____________阳光充足的_____________多风的_____________阴天的_____________下雪的_____________多雨的四年级下册Unit 4_____________西红柿_____________土豆_____________豆角_____________胡萝卜_____________马_____________奶牛_____________绵羊_____________母鸡四年级下册Unit 5 _____________衣服_____________裤子_____________帽子_____________连衣裙_____________女裙_____________大衣_____________毛衣_____________短袜_____________短裤_____________夹克衫_____________衬衫四年级下册Unit 6 _____________手套_____________围巾_____________雨伞_____________太阳镜_____________美观的_____________昂贵的_____________便宜的_____________好的五年级上册Unit 1_____________老的_____________年轻的_____________可笑的_____________慈祥的_____________严厉的_____________有礼貌的_____________工作努力的_____________愿意帮忙的_____________聪明的_____________害羞的五年级上册Unit 2_____________星期一_____________星期二_____________星期三_____________星期四_____________星期五_____________星期六_____________星期日_____________周末_____________洗_____________洗我的衣服_____________看_____________看电视_____________做_____________做作业_____________看;读_____________读书_____________玩;踢_____________踢足球五年级上册Unit 3_____________三明治_____________蔬菜沙拉_____________汉堡包_____________茶_____________冰淇淋_____________新鲜的_____________健康的_____________美味的_____________辣的_____________甜的五年级上册Unit 4_____________唱_____________歌曲_____________唱英文歌曲_____________弹琵琶_____________功夫_____________练功夫_____________跳舞_____________漫画_____________画_____________画漫画_____________烹饪_____________游泳_____________打篮球_____________乒乓球_____________打乒乓球_____________说英语五年级上册Unit 5_____________时钟_____________植物_____________瓶子_____________水瓶_____________自行车_____________照片_____________在...前面_____________在...中间_____________在...上面_____________在...旁边_____________在...后面五年级上册Unit 6_____________森林_____________河_____________湖_____________高山_____________小山_____________树_____________桥_____________建筑物_____________村庄_____________房子五年级下册Unit 1_____________吃早饭_____________上...课_____________做体育运动_____________活动;运动_____________做早操_____________吃晚饭_____________打扫我的房间_____________散步_____________去购物_____________上舞蹈课五年级下册Unit 2_____________春天_____________夏天_____________秋天_____________冬天_____________去野餐_____________季节_____________摘_____________摘苹果_____________雪人_____________堆雪人_____________去游泳五年级下册(三会)Unit 3 _____________一月_____________二月_____________三月_____________四月_____________五月_____________六月_____________七月_____________八月_____________九月_____________十月_____________十一月_____________十二月五年级下册Unit 4_____________第一_____________第二_____________第三_____________第四_____________第五_____________第十二_____________第二十_____________第二十一_____________第二十三_____________第三十五年级下册Unit 5_____________我的_____________你的_____________他的_____________她的_____________他们的_____________我们的_____________(正在)攀登_____________(正在)吃_____________(正在)喝_____________(正在)睡觉_____________(正在)玩_____________(正在)跳五年级下册Unit 6_____________(正在)做早操_____________(正在)上...课_____________(正在)吃午饭_____________(正在)看书_____________(正在)听音乐_____________保持某种状态_____________靠右_____________保持你的课桌干净_____________小声讲话_____________按顺序来六年级上册Unit 1_____________科学_____________博物馆_____________邮局_____________书店_____________电影院_____________医院_____________十字路口_____________转弯_____________左_____________笔直的_____________右六年级上册Unit 2_____________步行_____________乘_____________公共汽车_____________飞机_____________出租车_____________船_____________地铁_____________火车_____________慢的_____________降低;减少_____________慢下来_____________停下六年级上册Unit 3_____________拜访_____________电影_____________看电影_____________旅行_____________去旅行_____________超市_____________傍晚_____________今晚_____________明天_____________下周_____________词典_____________儿童连环画_____________单词_____________单词书_____________明信片六年级上册Unit 4_____________学习(三单形式)_____________谜_____________远足六年级上册(三会)Unit 5_____________工厂_____________工人_____________邮递员_____________商人_____________警察_____________渔民_____________科学家_____________飞行员_____________教练六年级上册Unit 6_____________生气的_____________害怕的_____________难过的_____________担心的_____________高兴的_____________看病_____________穿_____________更多的_____________深的_____________呼吸_____________深吸一口气_____________数数_____________数到十六年级下册Unit 1_____________更年轻的_____________更年长的_____________更高的_____________更矮的_____________更长的_____________更瘦的_____________更重的_____________更大的_____________更小的_____________更强壮的六年级下册Unit 2_____________打扫(过去式)_____________停留;待(过去式)_____________洗(过去式)_____________看(过去式)_____________患病;得病(过去式)_____________感冒_____________睡觉(过去式)_____________读(过去式)_____________看见(过去式)_____________最近的;上一个的_____________昨天_____________在...之前六年级下册Unit 3_____________去(过去式)_____________野营_____________去野营_____________去钓鱼_____________骑(过去式)_____________受伤(过去式)_____________吃(过去式)_____________拍照(过去式)_____________照相_____________买(过去式)_____________礼物六年级下册Unit 4_____________饭厅_____________草坪_____________体育馆_____________以前_____________去骑自行车_____________滑冰_____________羽毛球。