4相对原子质量
- 格式:doc
- 大小:68.00 KB
- 文档页数:1
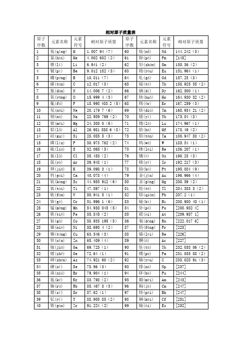
原子序数元素名称元素符号相对原子质量1 氢H 1.007 94(7)2 氦He 4.002 602(2)3 锂Li 6.941(2)4 铍Be 9.012 182(3)5 硼 B 10.811(7)6 碳 C 12.017(8)7 氮N 14.006 7(2)8 氧O 15.999 4(3)9 氟 F 18.998 403 2(5)10 氖Ne 20.179 7(6)11 钠Na 22.989 769 28(2)12 镁Mg 24.305 0(6)13 铝Al 26.981 538 6(8)14 硅Si 28.085 5(3)15 磷P 30.973 762(2)16 硫S 32.065(5)17 氯Cl 35.453(2)18 氩Ar 39.948(1)19 钾K 39.098 3(1)20 钙Ca 40.078(4)21 钪Sc 44.955 912(6)22 钛Ti 47.867(1)23 钒V 50.941 5(1)24 铬Cr 51.996 1(6)25 锰Mn 54.938 045(5)26 铁Fe 55.845(2)27 钴Co 58.933 195(5)28 镍Ni 58.693 4(2)29 铜Cu 63.546(3)30 锌Zn 65.409(4)31 镓Ga 69.723(1)32 锗Ge 72.64(1)33 砷As 74.921 60(2)34 硒Se 78.96(3)35 溴Br 79.904(1)36 氪Kr 83.798(2)37 铷Rb 85.467 8(3)38 锶Sr 87.62(1)39 钇Y 88.905 85(2)40 锆Zr 91.224(2)41 铌Nb 92.906 38(2)42 钼Mo 95.94(2)43 锝Tc [97.9072]44 钌Ru 101.07(2)45 铑Rh 102.905 50(2)46 钯Pd 106.42(1)47 银Ag 107.868 2(2)48 镉Cd 112.411(8)49 铟In 114.818(3)50 锡Sn 118.710(7)51 锑Sb 121.760(1)53 碘I 126.904 47(3)54 氙Xe 131.293(6)55 铯Cs 132.905 451 9(2)56 钡Ba 137.327(7)编辑本段——(57-71La-Lu 镧系)——原子序数元素名称元素符号相对原子质量57 镧La 138.905 47(7)58 铈Ce 140.116(1)59 镨Pr 140.907 65(2)60 钕Nd 144.242(3)61 钷Pm [145]62 钐Sm 150.36(2)63 铕Eu 151.964(1)64 钆Gd 157.25(3)65 铽Tb 158.925 35(2)66 镝Dy 162.500(1)67 钬Ho 164.930 32(2)68 铒Er 167.259(3)69 铥Tm 168.934 21(2)70 镱Yb 173.04(3)71 镥Lu 174.967(1)编辑本段——(72-88 Hf-Re)——原子序数元素名称元素符号相对原子质量72 铪Hf 178.49(2)73 钽Ta 180.947 88(2)74 钨W 183.84(1)76 锇Os 190.23(3)77 铱Ir 192.217(3)78 铂Pt 195.084(9)79 金Au 196.966 569(4)80 汞Hg 200.59(2)81 铊Tl 204.383 3(2)82 铅Pb 207.2(1)83 铋Bi 208.980 40(1)84 钋Po [208.982 4]85 砹At [209.987 1]86 氡Rn [222.017 6]87 钫Fr [223]88 镭Re [226]编辑本段——(89-103 Ac-Lr 锕系)——原子序数元素名称元素符号相对原子质量89 锕Ac [227]90 钍Th 232.038 06(2)91 镤Pa 231.035 88(2)92 铀U 238.028 91(3)93 镎Np [237]94 钚Pu [244]95 镅Am [243]96 锔Cm [247]97 锫Bk [247]98 锎Cf [251]99 锿Es [252]100 镄Fm [257]101 钔Md [258]102 锘No [259]103 铹Lr [262]编辑本段——(104-111 Rf-Rg)——原子序数元素名称元素符号相对原子质量104 钅卢Rf [261]105 钅杜Db [262]106 钅喜Sg [266]107 钅波Bh [264]108 钅黑Hs [277]109 钅麦Mt [268]110 钅达Ds [271]111 錀Rg [272]编辑本段——不确定——原子序数元素名称元素符号相对原子质量112 暂无Uub [285]113 暂无Uut [284]114 暂无Uuq [289]115 暂无Uup [288]116 暂无Uuh [292]117 暂无Uus [291]118 暂无Uuo [293]可以在简单计算题中直接带数使用答案补充很简单的四舍五入么。
原子序数元素名称元素符号相对原子质量1 氢 H 1.007 94(7)2 氦 He 4.002 602(2)3 锂 Li 6.941(2)4 铍 Be 9.012 182(3)5 硼 B 10.811(7)6 碳 C 12.017(8)7 氮 N 14.006 7(2)8 氧 O 15.999 4(3)9 氟 F 18.998 403 2(5)10 氖 Ne 20.179 7(6)11 钠 Na 22.989 769 28(2)12 镁 Mg 24.305 0(6)13 铝 Al 26.981 538 6(8)14 硅 Si 28.085 5(3)15 磷 P 30.973 762(2)16 硫 S 32.065(5)17 氯 Cl 35.453(2)18 氩 Ar 39.948(1)19 钾 K 39.098 3(1)20 钙 Ca 40.078(4)21 钪 Sc 44.955 912(6)22 钛 Ti 47.867(1)23 钒 V 50.941 5(1)24 铬 Cr 51.996 1(6)25 锰 Mn 54.938 045(5)26 铁 Fe 55.845(2)27 钴 Co 58.933 195(5)28 镍 Ni 58.693 4(2)29 铜 Cu 63.546(3)30 锌 Zn 65.409(4)31 镓 Ga 69.723(1)32 锗 Ge 72.64(1)33 砷 As 74.921 60(2)34 硒 Se 78.96(3)35 溴 Br 79.904(1)36 氪 Kr 83.798(2)37 铷 Rb 85.467 8(3)38 锶 Sr 87.62(1)39 钇 Y 88.905 85(2)40 锆 Zr 91.224(2)41 铌 Nb 92.906 38(2)42 钼 Mo 95.94(2)43 锝 Tc [97.9072]44 钌 Ru 101.07(2)45 铑 Rh 102.905 50(2)46 钯 Pd 106.42(1)47 银 Ag 107.868 2(2)48 镉 Cd 112.411(8)49 铟 In 114.818(3)50 锡 Sn 118.710(7)51 锑 Sb 121.760(1)52 碲 Te 127.60(3)53 碘 I 126.904 47(3)54 氙 Xe 131.293(6)55 铯 Cs 132.905 451 9(2)56 钡 Ba 137.327(7)编辑本段——(57-71La-Lu 镧系)——原子序数元素名称元素符号相对原子质量57 镧 La 138.905 47(7)58 铈 Ce 140.116(1)59 镨 Pr 140.907 65(2)60 钕 Nd 144.242(3)61 钷 Pm [145]62 钐 Sm 150.36(2)63 铕 Eu 151.964(1)64 钆 Gd 157.25(3)65 铽 Tb 158.925 35(2)66 镝 Dy 162.500(1)67 钬 Ho 164.930 32(2)68 铒 Er 167.259(3)69 铥 Tm 168.934 21(2)70 镱 Yb 173.04(3)71 镥 Lu 174.967(1)编辑本段——(72-88 Hf-Re)——原子序数元素名称元素符号相对原子质量72 铪 Hf 178.49(2)73 钽 Ta 180.947 88(2)74 钨 W 183.84(1)75 铼 Re 186.207(1)76 锇 Os 190.23(3)77 铱 Ir 192.217(3)78 铂 Pt 195.084(9)79 金 Au 196.966 569(4)80 汞 Hg 200.59(2)81 铊 Tl 204.383 3(2)82 铅 Pb 207.2(1)83 铋 Bi 208.980 40(1)84 钋 Po [208.982 4]85 砹 At [209.987 1]86 氡 Rn [222.017 6]87 钫 Fr [223]88 镭 Re [226]编辑本段——(89-103 Ac-Lr 锕系)——原子序数元素名称元素符号相对原子质量89 锕 Ac [227]90 钍 Th 232.038 06(2)91 镤 Pa 231.035 88(2)92 铀 U 238.028 91(3)93 镎 Np [237]94 钚 Pu [244]95 镅 Am [243]96 锔 Cm [247]97 锫 Bk [247]98 锎 Cf [251]99 锿 Es [252]100 镄 Fm [257]101 钔 Md [258]102 锘 No [259]103 铹 Lr [262]编辑本段——(104-111 Rf-Rg)——原子序数元素名称元素符号相对原子质量104 钅卢 Rf [261]105 钅杜 Db [262]106 钅喜 Sg [266]107 钅波 Bh [264]108 钅黑 Hs [277]109 钅麦 Mt [268]110 钅达 Ds [271]111 錀 Rg [272]编辑本段——不确定——原子序数元素名称元素符号相对原子质量112 暂无 Uub [285]113 暂无 Uut [284]114 暂无 Uuq [289]115 暂无 Uup [288]116 暂无 Uuh [292]117 暂无 Uus [291]118 暂无 Uuo [293]可以在简单计算题中直接带数使用答案补充很简单的四舍五入么。
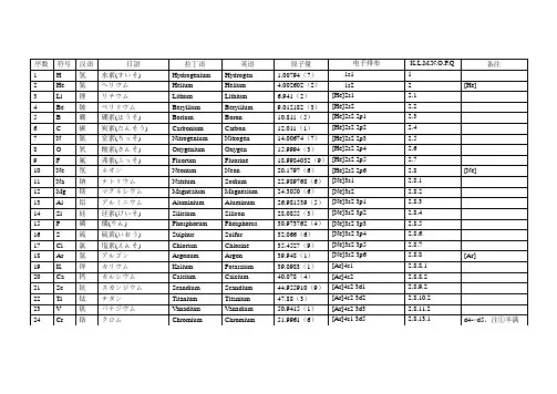
急求所有元素的相对原子质量原子序数原子序数 元素名称元素名称 元素符号元素符号 相对原子质量相对原子质量 1 氢 H 1.007 94(7)2 氦 He 4.002 602(2)3 锂 Li 6.941(2)4 铍 Be 9.012 182(3)5 硼 B 10.811(7)6 碳 C 12.017(8)7 氮 N 14.006 7(2)8 氧 O 15.999 4(3)9 氟 F 18.998 403 2(5)10 氖 Ne 20.179 7(6)11 钠 Na 22.989 769 28(2)12 镁 Mg 24.305 0(6)13 铝 Al 26.981 538 6(8)14 硅 Si 28.085 5(3)15 磷 P 30.973 762(2)16 硫 S 32.065(5)17 氯 Cl 35.453(2)18 氩 Ar 39.948(1)19 钾 K 39.098 3(1)20 钙 Ca 40.078(4)21 钪 Sc 44.955 912(6)22 钛 Ti 47.867(1)23 钒 V 50.941 5(1)24 铬 Cr 51.996 1(6)25 锰 Mn 54.938 045(5)26 铁 Fe 55.845(2)27 钴 Co 58.933 195(5)28 镍 Ni 58.693 4(2)29 铜 Cu 63.546(3)30 锌 Zn 65.409(4)31 镓 Ga 69.723(1)32 锗 Ge 72.64(1)33 砷 As 74.921 60(2)34 硒 Se 78.96(3)35 溴 Br 79.904(1)36 氪 Kr 83.798(2)37 铷 Rb 85.467 8(3)38 锶 Sr 87.62(1)39 钇 Y 88.905 85(2)40 锆 Zr 91.224(2) 42 钼 Mo 95.94(2)43 锝 T c [97.9072] 44 钌 Ru 101.07(2)45 铑 Rh 102.905 50(2)46 钯 Pd 106.42(1)47 银 Ag 107.868 2(2)48 镉 Cd 112.411(8)49 铟 In 114.818(3)50 锡 Sn 118.710(7)51 锑 Sb 121.760(1)52 碲 T e 127.60(3)53 碘 I 126.904 47(3)54 氙 Xe 131.293(6)55 铯 Cs 132.905 451 9(2) 56 钡 Ba 137.327(7)——(57-71La-Lu 镧系)——原子序数原子序数 元素名称元素名称 元素符号元素符号 相对原子质量相对原子质量 57 镧 La 138.905 47(7)58 铈 Ce 140.116(1)59 镨 Pr 140.907 65(2)60 钕 Nd 144.242(3)61 钷 Pm [145] 62 钐 Sm 150.36(2)63 铕 Eu 151.964(1)64 钆 Gd 157.25(3)65 铽 Tb 158.925 35(2)66 镝 Dy 162.500(1)67 钬 Ho 164.930 32(2)68 铒 Er 167.259(3)69 铥 Tm 168.934 21(2)70 镱 Yb 173.04(3)71 镥 Lu Lu 174.967174.967(1) (72-88 Hf-Re )——原子序数原子序数 元素名称元素名称 元素符号元素符号 相对原子质量相对原子质量72 铪 Hf 178.49(2)73 钽 T a 180.947 88(2)74 钨 W 183.84(1)75 铼 Re 186.207(1)76 锇 Os 190.23(3)77 铱 Ir 192.217(3)78 铂 Pt 195.084(9)80 汞 Hg 200.59(2)81 铊 Tl 204.383 3(2)82 铅 Pb 207.2(1)83 铋 Bi 208.980 40(1)84 钋 Po [208.982 4] 85 砹 At [209.987 1] 86 氡 Rn [222.017 6] 87 钫 Fr [223] 88 镭 Re [226] ——(89-103 Ac-Lr 锕系)—— 原子序数原子序数 元素名称元素名称 元素符号元素符号 相对原子质量相对原子质量 89 锕 Ac [227] 90 钍 Th 232.038 06(2)91 镤 Pa 231.035 88(2)92 铀 U 238.028 91(3)93 镎 Np [237] 94 钚 Pu [244] 95 镅 Am [243] 96 锔 Cm [247] 97 锫 Bk [247] 98 锎 Cf [251] 99 锿 Es [252] 100 镄 Fm [257] 101 钔 Md [258] 102 锘 No [259] 103 铹 Lr [262] -----原子序数原子序数 元素名称元素名称 元素符号元素符号 相对原子质量相对原子质量 104 钅卢钅卢 Rf [261] 105 钅杜钅杜 Db [262] 106 钅喜钅喜 Sg [266] 107 钅波钅波 Bh [264] 108 钅黑钅黑 Hs [277] 109 钅麦钅麦 Mt [268] 110 钅达钅达 Ds [271] 111 錀 Rg [272]。
1 氢 H 1.007 94(7)52 碲 Te 127.60(3)103 铹 Lr [262]2 氦 He 4.002 602(2)53 碘 I 126.904 47(3)104 钅卢 Rf [261]3 锂 Li 6.941(2)54 氙 Xe 131.293(6)105 钅杜 Db [262]4 铍 Be 9.012 182(3)55 铯 Cs 132.905 451 9(2)106 钅喜 Sg [266]5 硼 B 10.811(7)56 钡 Ba 137.327(7)107 钅波 Bh [264]6 碳 C 12.017(8)57 镧 La 138.905 47(7)108 钅黑 Hs [277]7 氮 N 14.006 7(2)58 铈 Ce 140.116(1)109 钅麦 Mt [268]8 氧 O 15.999 4(3)59 镨 Pr 140.907 65(2)110 钅达 Ds [271]9 氟 F 18.998 403 2(5)60 钕 Nd 144.242(3)111 錀 Rg [272]10 氖 Ne 20.179 7(6)61 钷 Pm [145] 112 Uub [285]11 钠 Na 22.989 769 28(2)62 钐 Sm 150.36(2)113 Uut [284]12 镁 Mg 24.305 0(6)63 铕 Eu 151.964(1)114 Uuq [289]13 铝 Al 26.981 538 6(8)64 钆 Gd 157.25(3)115 Uup [288]14 硅 Si 28.085 5(3)65 铽 Tb 158.925 35(2)116 Uuh [292]15 磷 P 30.973 762(2)66 镝 Dy 162.500(1)117 Uus [291]16 硫 S 32.065(5)67 钬 Ho 164.930 32(2)118 Uuo [293]17 氯 Cl 35.453(2)68 铒 Er 167.259(3)18 氩 Ar 39.948(1)69 铥 Tm 168.934 21(2)19 钾 K 39.098 3(1)70 镱 Yb 173.04(3)20 钙 Ca 40.078(4)71 镥 Lu 174.967(1)21 钪 Sc 44.955 912(6)72 铪 Hf 178.49(2)22 钛 Ti 47.867(1)73 钽 Ta 180.947 88(2)23 钒 V 50.941 5(1)74 钨 W 183.84(1)24 铬 Cr 51.996 1(6)75 铼 Re 186.207(1)25 锰 Mn 54.938 045(5)76 锇 Os 190.23(3)26 铁 Fe 55.845(2)77 铱 Ir 192.217(3)27 钴 Co 58.933 195(5)78 铂 Pt 195.084(9)28 镍 Ni 58.693 4(2)79 金 Au 196.966 569(4)29 铜 Cu 63.546(3)80 汞 Hg 200.59(2)30 锌 Zn 65.409(4)81 铊 Tl 204.383 3(2)31 镓 Ga 69.723(1)82 铅 Pb 207.2(1)32 锗 Ge 72.64(1)83 铋 Bi 208.980 40(1)33 砷 As 74.921 60(2)84 钋 Po [208.982 4]34 硒 Se 78.96(3)85 砹 At [209.987 1]35 溴 Br 79.904(1)86 氡 Rn [222.017 6]36 氪 Kr 83.798(2)87 钫 Fr [223]37 铷 Rb 85.467 8(3)88 镭 Re [226]38 锶 Sr 87.62(1)89 锕 Ac [227]39 钇 Y 88.905 85(2)90 钍 Th 232.038 06(2)40 锆 Zr 91.224(2) 91 镤 Pa 231.035 88(2)41 铌 Nb 92.906 38(2)92 铀 U 238.028 91(3)42 钼 Mo 95.94(2)93 镎 Np [237]43 锝 Tc [97.9072] 94 钚 Pu [244]44 钌 Ru 101.07(2)95 镅 Am [243]45 铑 Rh 102.905 50(2)96 锔 Cm [247]46 钯 Pd 106.42(1)97 锫 Bk [247]47 银 Ag 107.868 2(2)98 锎 Cf [251]48 镉 Cd 112.411(8)99 锿 Es [252]49 铟 In 114.818(3)100 镄 Fm [257]50 锡 Sn 118.710(7)101 钔 Md [258]51 锑 Sb 121.760(1)102 锘 No [259]103 铹 Lr [262] 104 钅卢 Rf [261] 105 钅杜 Db [262] 106 钅喜 Sg [266] 107 钅波 Bh [264] 108 钅黑 Hs [277] 109 钅麦 Mt [268] 110 钅达 Ds [271] 111 錀 Rg [272] 112 Uub [285] 113 Uut [284] 114 Uuq [289] 115 Uup [288] 116 Uuh [292] 117 Uus [291] 118 Uuo [293]。
专题4 相对原子质量相对分子质量一、中考复习要求12、熟练掌握有关化学式的计算(相对分子质量的计算、计算纯净物中各元素的质量二、基础知识回顾1、相对原子质量:以一个碳-12(质子数和中子数均为6的碳原子)原子质量的作为标准,某原子的质量跟它相所得的数值,即是该种原子的相对原子质量,计算某原子的相对原子质量的公式,相对原子质量是一个比值,它的国际单位制单位为符号为(书写时一般省略不写)。
2、相对分子质量:表示物质的化学式里所有原子的总和。
相对分子质量也是以一个碳-12原子的质量的1/12作为标准进行比较而得到的相对质量,它也是一个比值,国际单位制单位为“-”符号为“1”三、重点疑点讨论1、怎样理解相对分子质量也是以一个碳-12原子的质量的1/12作为标准进行比较而2、硫酸(H2SO4)的相对分子质量是98克,对吗?3、为什么质子数和中子数的和近似等于相对原子质量?4、如何计算胆矾(CuSO4·5H2O) 相对分子质量?5、能否根据物质中某元素的质量分数来判断该物质是否为纯净物?如碳元素质量分数为12%的石灰石是纯净物吗?判断某物质是否纯净物的标准是什么?四、解题方法指导例题1、已知一个碳-12原子的质量为1.993×10-26千克,镁的相对原子质量为24,例题2、铁的某种氧化物中铁元素与氧元素的质量比为21:8,则该氧化物的相对分子质量为( )A、 72B、 160C、 232D、 256思考:先由铁元素与氧元素的质量比推断铁的某种氧化物的化学式,然后计算相对分子质量。
本题求化学式的方法有两种,请同学们自己推出。
例题3 一种含氧化铁的铁矿石,经测定含铁49%。
求矿石中氧化铁的质量分数。
思考:求矿石中氧化铁的质量分数,就是求不纯的含Fe2O3的矿石中纯的Fe2O3质量分数。
矿石中含铁元素的质量等于矿石中Fe2O3含有的铁元素质量。
矿石的质量×矿石中含铁的质量分数 = Fe2O3的质量× Fe2O3中含铁的质量分数五、知识能力训练巩固知识1、已知一个碳-12原子的质量为 1.993×10-26Kg,一个铁原子的质量为9.288×10-26Kg,则铁的相对原子质量为;氧原子的相对原子质量是16,则1个氧原子的质量是 Kg;银的相对原子质量是碳的相对原子质量的9倍,则银的相对原子质量是。
国际相对原子质量表U IPAC2001以12C=12为基准,末位数准确度加注在其后括号内1 氢 H 1.00794(7)2 氦 He 4.002602(2) 3 锂 Li 6.941(2)4 铍 Be 9.012182(3) 5 硼 B 10.811(7)6 碳 C 12.0107(8)7 氮 N 14.00674(2) 8 氧 O 15.9994(3)9 氟 F 18.9984032(5) 10 氖 Ne 20.1797(6) 11 钠 Na 22.989770(2) 12 镁 M g 24.3050(6) 13 铝 Al 26.981538(2) 14 硅 Si 28.0855(3) 15 磷 P 30.973761(2) 16 硫 S 32.06(5)17 氯 Cl 35.453(2)18 氩 Ar 39.948(1)19 钾 K 39.0983(1) 20 钙 Ca 40.078(4)21 钪 Sc 44.955910(8) 22 钛 Ti 47.867(1)23 钒 V 50.941524 铬 Cr 51.9961(6) 25 锰 M n 54.938049(9) 26 铁 Fe 55.845(2)27 钴 Co 58.933200(9) 28 镍 Ni 58.6934(2) 29 铜 Cu 63.546(3)30 锌 Zn 65.409(4)31 镓 Ga 69.723(1)32 锗 Ge 72.64(1)33 砷 As 74.92160(2)34 硒 Se 78.96(3)35 溴 Br 79.904(1)36 氪 Kr 83.798(2)37 铷 Rb 85.4678(3)38 锶 Sr 87.62(1)39 钇 Y 88.90585(2)40 锆 Zr 91.224(2)41 铌 Nb 92.90638(2)42 钼 Mo 95.94(2)43 锝 Tc 97.907*44 钌 Ru 101.07(2)45 铑 Rh 102.90550(2)46 钯 Pd 106.42(1)47 银 Ag 107.8682(2)48 镉 Cd 112.411(8)49 铟 In 114.818(3)50 锡 Sn 118.710(7)51 锑 Sb 121.760(1)52 碲 Te 127.60(3)53 碘 I 126.90447(3)54 氙 Xe 131.293(6)55 铯 Cs 132.90545(2)56 钡 Ba 137.327(7)57 镧 La 138.9055(2)58 铈 Ce 140.116(1)59 镨 Pr 140.90765(2)60 钕 Nd 144.24(3)61 钷 Pm 144.91*62 钐 Sm 150.36(3)63 铕 Eu 151.964(1)64 钆 Gd 157.25(3)65 铽 Tb 158.92534(2)66 镝 Dy 162.500(1)67 钬 Ho 164.93032(2)68 铒 Er 167.259(3)69 铥 Tm 168.93421(2)70 镱 Yb 173.04(3)71 镥 Lu 174.967(1)72 铪 Hf 178.49(2)73 钽 Ta 180.9479(1)74 钨 W 183.84(1)75 铼 Re 186.207(1)76 锇 Os 190.23(3)77 铱 Ir 192.217(3)78 铂 Pt 195.078(2)79 金 Au 196.96655(2)80 汞 Hg 200.59(2)81 铊 Tl 204.3833(2)82 铅 Pb 207.2(1)83 铋 Bi 208.98038(2)84 钋 Po 208.98*85 砹 At 209.99*86 氡 Rn 222.02*87 钫 Fr 223.02*88 镭 Ra 226.03*(以下略)注:(1)加*为半衰期最长元素相对原子质量。
原子的构成复习学案
复习目标:1 记住原子的实际质量和相对质量的意义.理解相对原子质量的概念
2 学会计算原子的相对原子质量3会写常见的符号以及数字的意义
知识梳理:
1 关于相对原子质量,下列说法不正确的是( )
A由于原子质量数值太小,使用不方便,所以采用相对原子质量B相对原子质量是原子质量的简称C碳原子的相对原子质量是12 D两种原子的质量之比等于他们的相对原子质量之比2镁的相对原子质量为24的意义是( )
A一个镁原子质量为24g B一个镁原子质量是一个碳原子质量的24倍
C一个镁原子有24个质子D一个镁原子质量是一个碳原子质量的1/12的24倍
3 钠原子失去一个电子后,发生变化的是( )
A 核外电子数B中子数C质子数D相对原子质量
4 居里夫人在1898年从几吨铀盐废料中提炼出0.3g镭.镭具有放射性,镭原子会分裂,变成一个质子数为86,中子数为136的氡原子和一个具有2个中子和2个电子的氦原子,并能放出能量.试推测镭原子的核电荷数与相对原子质量分别是( )A 88,138 B 86,14 C88,226 D 84,168
典型例题
例1手机中使用的锂电池是新型的高能电池。
锂是自然界密度最小的金属元素,银白色,很柔软,
可溶于液氨。
它的原子结构示意图为,是一种活动性比铁强的金属。
(1)锂元素的原子序数为,元素符号为。
(2)写出锂离子的符号;锂的氧化物的化学式;
(3)金属锂的物质性质有(写出两点即可)
(4)下列对原子构成的理解错误
..的是(填字母)。
A.原子整体不显电性B.原子核比原子小得多
C.原子核是不可分割的实心球体D.原子质量主要集中在原子核上
例2下列化学用语书写均有错误,请你加以改正。
①2个氮分子:2N ②1个钙离子:Ca+2
③氯化铝:AlCl ④硫酸钡中钡元素的化合价:BaSO4
练习
1原子序数为94的钚(Pu)是一种核原料,该元素一种原子的质子数和中子数之和为239,下列关
于该原子的说法不正确
...的是【】
A.中子数为145 B.核外电子数为94 C.质子数为94 D.核电荷数为239
2同种元素的原子和离子一定具有相同的()
A 电子层数B电子数C化学性质D质子数
3我国著名科学家,中国科学院院士张青莲教授主持测定了铟,铱,锗.铕等元素相对原子质量的新值.其中,测定核电荷数为63的铕元素的相对原子质量为152.该元素原子的中子数为( )
A 89
B 26
C 126
D 63 当堂检测:
1图中“”和“”表示两种不同元素的原子,下列方框中表示混合物的是
2(1)2个氢原子:(2)3个铝离子:(3)1个钠离子;(4)两个氢分子
3构成物质的微粒有:A.原子;B.分子;C.离子。
试判断构成下列物质的微粒,并用相应的序号
..填空。
①氧气:②铁:③氯化钠:
4下列有关分子、原子和离子的说法正确的是()
A.分子是保持物质性质一种粒子B.物体热胀冷缩现象,主要是因为物体中的粒子大小随温度的改变而改变C. 分子、原子、离子都可以直接构成物质D. 在化学反应中,任何离子都不能再分5从C、H、O、N、S、P、Na、Fe、Ba等9种元素中选择恰当的元素,用离子符号、化学式或化学方程式按下列要求填空:
(1)硫酸钠中的阴离子;氯化亚铁中的阳离子;能使木材、纸张变黑的酸;溶于水后显碱性的气体_______;用于造纸、洗涤剂的盐________ 。
(2)一种暗红色的固体燃烧生成大量的白烟______________。
(3)高炉炼铁(以赤铁矿为例)过程中还原成铁的主要反应原理______________。
(4)有沉淀生成的中和反应__________________________。
(5)在人体组织里,葡萄糖在酶的作用下发生缓慢氧化。
知识梳理
BDAC
典型例题:
1 (1)3 Li(2)Li+ Li2O (3) 密度最小的金属元素,银白色,很柔软,可溶于液氨(4)C 2略练习:DDA
当堂检测:C 2、2H 3Al3+ Na+ 2H2 3、BAC 4C
5(1)SO2-
4
;Fe2+;H2SO4;NH3;Na2CO3
(2)4P+5O22P2O5 (3)3CO+Fe2O3 2Fe+3CO2
(4)H2SO4+Ba(OH)2BaSO4↓+2H2O (5)C6H12O6 + 6O2 ==酶=== 6CO2+6H2O
2+。