供配电技术习题答案第4章
- 格式:wps
- 大小:15.50 KB
- 文档页数:2
4-1如何确定工厂的供配电电压?供电电压等级有0.22 KV , 0.38 KV ,6 KV ,10 KV ,35 KV ,66 KV ,110 KV,220 KV配电电压等级有10KV ,6KV ,380V/220V供电电压是指供配电系统从电力系统所取得的电源电压.究竟采用哪一级供电电压,主要取决于以下3个方面的因素.电力部门所弄提供的电源电压.企业负荷大小及距离电源线远近.企业大型设备的额定电压决定了企业的供电电压.配电电压是指用户内部向用电设备配电的电压等级.有高压配电电压和低压配电电压.高压配电电压通常采用10KV或6KV,一般情况下,优先采用10KV高压配电电压.低压配电电压等级为380V/220V,但在石油.化工及矿山(井)场所可以采用660V的配电电压. 4—2 确定工厂变电所变压器容量和台数的原则是什么?答:(1)变压器容量的确定a 应满足用电负荷对可靠性的要求。
在一二级负荷的变电所中,选择两台主变压器,当在技术上,经济上比较合理时,主变器选择也可多于两台;b 对季节性负荷或昼夜负荷比较大的宜采用经济运行方式的变电所,技术经济合理时可采用两台主变压器c 三级负荷一般选择一台猪变压器,负荷较大时,也可选择两台主变压器。
(2)变压器容量的确定装单台变压器时,其额定容量SN应能满足全部用电设备的计算负荷Sc,考虑负荷发展应留有一定的容量裕度,并考虑变压器的经济运行,即SN>=(1.15~1.4)Sc装有两台主变压器时,其中任意一台主变压器容量)SN应同时满足下列两个条件:a 任一台主变压器运行时,应满足总计算负荷的60%~70%的要求,即SN=(0.6~0.7)Scb 任一台变压器单独运行时,应能满足全部一二级负荷Sc(I+II)的要求,即SN>=Sc(I+II)4-4 高压少油断路器和高压真空断路器各自的灭弧介质是什么?比较其灭弧性能,各适用于什么场合?高压少油断路器的灭弧介质是油。
供配电技术习题答案第4章1.供配电一次设备有哪些?答:一次设备按功能分为如下几类:(1)生产和变换设备:包括将机械能转换为电能的电动机,变换电压等级的变压器,将高电压,大电流转换为低电压或小电流以供二次设备测量的互感器等。
(2)开关设备:用来控制一次回路的接通和断开,包括高电压断路器·隔离开关·负荷开关·离合器·分断器磁力启动器等。
(3)保护设备:用来对一次回路过压或过电流进行保护的设备,包括限制短路电流的电抗器·高低压熔断器·避雷器等。
(4)载流导体:传输电流的软·硬导体,如各种类型的架空线路和电力线缆等。
(5)补偿设备:用来补偿无功功率,如并联电容器等。
(6)成套设备:将有关一次设备及二次设备安电路接线方案的要求,组合为一体的电气装置,如高低压开关柜,低压配电箱等。
2.供配电一次设备的选择有哪些原则?如何选择变压器容量和台数?答:电气设备不管用途和工作环境有何差异,他们的选择原则都遵循一下的三个原则:1按正常工作条件选择原则2按短路条件效验原则3开关设备断流能力效验原则1)变压器容量的确定a 应满足用电负荷对可靠性的要求。
在一二级负荷的变电所中,选择两台主变压器,当在技术上,经济上比较合理时,主变器选择也可多于两台;b 对季节性负荷或昼夜负荷比较大的宜采用经济运行方式的变电所,技术经济合理时可采用两台主变压器c 三级负荷一般选择一台猪变压器,负荷较大时,也可选择两台主变压器。
(2)变压器容量的确定装单台变压器时,其额定容量SN应能满足全部用电设备的计算负荷Sc,考虑负荷发展应留有一定的容量裕度,并考虑变压器的经济运行,即SN>=(1.15~1.4)Sc 装有两台主变压器时,其中任意一台主变压器容量)SN应同时满足下列两个条件:a 任一台主变压器运行时,应满足总计算负荷的60%~70%的要求,即SN=(0.6~0.7)Scb 任一台变压器单独运行时,应能满足全部一二级负荷Sc(I+II)的要求,即SN>=Sc(I+II)3.SF6高压断路器和真空断路器各自有哪些优点?适用于哪些场合?答:SF6高压断路器的主要优点是:开断速度快,适用于需频繁操作的场所;真空断路器的优点在于:灭弧室密封,电弧和金属热蒸汽不外泄,且不容易因潮湿,灰尘,有害气体等影响而降低他的性能;操作结构简单,整体体积小,重量轻;开断能力较强;灭弧时间短,触头消耗小,寿命长,适合于需要频繁开断的场合。
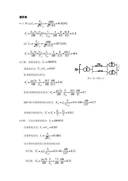
第四章4-1 解: (1)()91.6jZ S I kA ===*%4691.611.61001006.30.3j N LR LR jjN LRI U X XUI =∙∙=∙∙=(2) ()183.2jZ S I kA ===*%46183.246.41001003.150.3jz LN LR jjzLNI U X XUI =∙∙=∙∙=4-2 解: 基准容量为:100j S M VA =基准电压为: 6.3j av U U kV ==T 1基准阻抗标幺值为:*1%10.51000.3310010031.5j d N TS u XS ∆=⋅=⋅= T 2 T 3基准阻抗标幺值为:*2%10.51000.710010015j d N TS u X S ∆=⋅=⋅= LGJ-185的基准阻抗标幺值为:*32211000.41000.27121j jdav S XU χ==⨯⨯=系统最小阻抗值为:****3210.81522z X X X X =++=4-3解: ①设定基准容量为:100j S M VA =②基准电压为: 6.3j av U U kV ==③基准电流为:9.16j S I kA ==④计算供电系统各元件阻抗的标幺值 架空线:*10112211000.4400.12115j av S X l U χ==⨯⨯=变压器:*2%7.51000.2510010030j d N jS u X S ∆=⋅=⋅= 图4-31 习题4-2电抗器:*3%4 6.39.16 1.221001006.30.3j N LR jNI U X UI χ=⋅⋅=⨯⨯=电缆:*40222221000.080.50.16.3j av S X l U χ==⨯⨯=⑤求电源点至短路点的总阻抗(3)1k 点短路:1***120.37X X X ∑=+=(3)2k 点短路:21****34 1.69XXX X ∑∑=++=⑥求(3)1k 点短路电流的周期分量,冲击电流及有效值 1(3)1*9.1624.760.37j z I I kA X∑===(3)(3)112.5563.13sh z i I kA ==11(3)(3)1.5137.4c z I I kA == 1(3)1*100270.30.37j k S SM V A X∑===∙⑦求(3)2k 点短路电流的周期分量,冲击电流及有效值 2(3)2*9.16 5.421.69j z I I kA X∑===(3)(3)222.5513.82sh z i I kA == (3)(3)221.518.18c z I I kA ==2(3)2*10059.21.69j k S S M V A X∑===∙4-4图4-33题4-4解: ①由题知变压器高压侧断路器的遮断容量为S dn =50MV A ,所以设定基准容量为:50j S M V A =(当电源标幺值给出时,设容量基准值与电源相同,电源标幺值为1)②基准电压为: 6.3j av U U kV == ③相应基准电流为:(3)1k点:1 4.58j S I kA ==(3)2k点:272.17j I kA ==④计算供电系统各元件阻抗的标幺值: 1)电源标幺阻抗:1S X *=2) 线路标幺阻抗:r 0=0.54Ω/KM,00.08/KM x =Ω20.082506.36.3X *⨯=⨯=0.2023)变压器标幺阻抗:*3%450101001000.2j d N TS u X S ∆=⋅=⋅=4)低压线路标幺阻抗:00.0035X =Ω/KM 和变压器标幺阻抗相比可以忽略 ⑤短路电流:1)K-1点(3)14.58 3.811.202j K I I X -*∑===KA2) K-2点(3)272.176.4711.202j K I I K AX-*∑===4-5解: 由题知电源最大、最小短路容量已知,相应标幺阻抗未给出,可分别设max 250k S M VA =为基准和m in 198k S M VA =为基准容量。
供配电实用技术作业三答案(第3、4章)3-1试按发热条件选择220/380V 、TN -C 系统中的相线和PEN 线截面及穿线钢管直径。
己知线路的计算电流为120A ,安装地点的环境温度为25℃。
拟用BV 型铜芯塑料线穿PVC 管埋地敷设。
解:TN-C 系统中相线和PEN 线穿钢管是四根单芯BV 型铜芯塑料线,安装环境温度为25o C 时,需要线路电流大于计算电流120A ,查表得当管径为70mm ,导线截面为70mm 2时,线路电流30I=161A>I =120A 。
3-2 380V 的三相架空线路,配电给2台40kW (cos ϕ=0.8,η=0.85)的电动机,该线路长70m ,线间几何均距为0.6m ,允许电压损耗为5%,该地区月最高平均气温为35℃。
试选择该线路的相线和PE 线的LJ 型铝绞线截面。
解:2n =,40P kW =,cos 0.8ϕ=,0.85η=,tan 0.75ϕ=tan 35.3var PQ k ϕη==158.83cos PS kVA ηϕ==176.92I A ==①按发热条件选择导线截面查表2-1得当LJ 型导线250s mm =时,在环境温度35o C 时的允许载流189Ial A =大于实际电流178.92I A =② 查表得LJ-50铝绞线,当间几何间距为0.6m 时000.64/0.323/r kmx km =Ω⎧⎨=Ω⎩ 则线路电压损失为:002%('')10Nu r l p x l q U δ=⨯⨯+⨯⨯332%240240(0.6470100.3237010tan )100.380.850.85ϕ--⨯⨯=⨯⨯⨯+⨯⨯⨯⨯ 4.03%5%=≤ 所选导线满足电压损失要求kw,kvar kw,kvar800+j600图3-32习题3-33-3某工厂的几个车间由10kV 架空线路供电,导线采用LJ 型铝绞线,成三角形布置,线间几何均距为1m ,允许电压损失百分数U ∆%=5,各干线的截面相同,各车间的负荷及各段线路长度如图3-32所示。
习题解答(四)学习单元一1. 电缆的类型有哪些?分别适用什么线路中?电缆的种类很多,根据电压、用途、绝缘材料、线芯数和结构等特点分有以下类型。
1)按电压可分为高压电缆和低压电缆。
2)按线芯数可分为单芯、双芯、三芯、四芯和五芯等。
单芯电缆一般用于工作电流较大的电路、水下敷设的电路和直流电路;双芯电缆用于低压TN-C、TT、IT系统的单相电路;三芯电缆用于高压三相电路、低压IT系统的三相电路和TN-C系统的两相三线电路、TN-S系统的单相电路;四芯电缆用于低压TN-C系统和TT 系统的三相四线电路;五芯电缆用于低压TN-S系统的电路。
3)按线芯材料可分为铜芯和铝芯两类。
其中控制电缆应采用铜芯,需要耐高温、耐火、有易燃、易爆危险和剧烈震动的场合等也须选择铜芯电缆。
其他情况下,一般可选用铝芯电缆。
4)按绝缘材料可分为油浸纸绝缘电缆、塑料绝缘电缆和橡胶绝缘电缆等,还有正在发展的低温电缆和超导电缆。
油浸纸绝缘电缆耐压强度高,耐热性能好,使用寿命长,且易于安装和维护。
但因为其内部的浸渍油会流动,因此不宜用在高度差较大的场所。
塑料绝缘电缆结构简单,成本低,制造加工方便,且不受敷设高度差的限制及抗腐蚀性好,因此其应用日益广泛。
但塑料受热易老化变形。
橡胶绝缘电缆弹性好,性能稳定,防水防潮,一般用做低压电缆。
2. 导线和电缆截面的选择应考虑哪些条件?在选择导线的材质时,要考虑电网电压等级与敷设的环境等因素。
对于敷设在城市繁华街区、高层建筑群区及旅游区和绿化区的10kV及以下的架空线路,以及架空线路与建筑物间的距离不能满足安全要求的地段及建筑施工现场,宜采用绝缘导线。
对于10kV及以下的架空线路,一般采用铝绞线。
35kV及以上的架空线路及35kV以下线路在档距较大、电杆较高时,则宜采用钢芯铝绞线。
沿海地区及有腐蚀性介质的场所,宜采用制绞线或绝缘导线。
电缆线路,在一般环境和场所,可采用铝芯电缆。
在重要场所及有剧烈振动、强烈腐蚀和有爆炸危险场所,宜采用铜芯电缆。
供配电技术复习题及答案第一章1、平均额定电压的应用场合为A.受供电设备B.线路C.变压器D.以上全部2、电能的质量标准是A.电压、频率、波形B.电压、电流、频率C.电压、电流、波形D.电压、电流、功率因数3、国家标准GB12325-90《电能质量?供电电压允许偏差》规定:10kV及以下三相供电电压允许偏差为A.?10%B.?7%C.?5% ,7%,,10%4、人们俗称的“地线”实际上是A.中性线B.保护线C.保护中性线D.相线5、如果系统中的N线与PE线全部分开,则此系统称为( )系统。
A.TN-CB.TN-SC.TN-C-SD.TT6、中性点不接地的电力系统当发生单相接地时,正常相对地电压A.升高为原来的3倍B.降低为原来的3倍C.降低为原来的倍D.升高为原来的倍7、我国110kV及以上的超高压系统的电源中性点,通常采用运行方式为A.不接地B.直接接地C.经消弧线圈接地D.随便8、我们通常以( )为界线来划分高压和低压。
A.1000VB.220VC.380VD.1000KV9、从供电的角度来说,凡总供电容量不超过( )的工厂,可视为小型工厂。
A.500kVAB.100kVAC.5000kVD.1000kV第二章测试题:1、如果中断供电将在政治、经济上造成较大损失的称为A.一级负荷B.二级负荷C.三级负荷D.保安负荷2、南方某厂的夏日负荷曲线上P占的时间为10h,冬日负荷曲线上P占的时间11为2h,则年负荷曲线上P占的时间为 1A.12hB.2330hC.2050hD.4380h3、某厂的年最大负荷为1752kW,T为4000h则年平均负荷为 maxA.800kWB.19200kWC.1752kWD.159.87kW4、某电焊变压器铭牌额定容量S=42KVA暂载率ε%=60功率因数N NCOSφ=0.62,η=0.85,给该电焊变压器供电的支线负荷P为 N CA.20.2kWB.40.34kWC.23.76kWD.47.46kW5、某工厂全年用电量为:有功电度600万度,无功电度7480万度,则该厂的平均功率因数为A.0.78B.0.62C.0.56D.0.4446、某厂全年用电量为800×10kW.h,原功率因数为0.67,现欲补偿到0.9,则装设BW--10.5--14--1型电容器个数为A.41个B.35.6个C.36个D.42个7、变压器的有功功率损耗由___两部分组成A.有功损耗和无功损耗B.铁损和铜损C.电阻损耗和电抗损耗D.以上都不对8、满负荷的负荷指的是。
第一章1-5什么叫电压偏移,电压波动和闪变?如何计算电压偏移和电压波动?答:电压偏差是电压偏离额定电压的幅度。
电压波动是指电压的急剧变化。
周期性电压急剧变化引起光源光通量急剧波动而造成人眼视觉不舒适的现象,成为闪变。
电压偏差一般以百分数表示,即△U%=(U-UN)/UN ×100电压波动程度以电压最大值与最小值之差或其百分数来表示,即&U=Umax-Umin&U%=(Umax-Umin)/UN ×100式中,&U为电压波动;&U%为电压波动百分数;Umax ,Umin为电压波动的最大值和最小值(KV);UN为额定电压(KV)。
1—6 电力系统的中性点运行方式有哪几种?中性点不接地电力系统和中性点直接接地系统发生单相接地时各有什么特点?电力系统的中性点运行方式有三种:中性点不接地系统、中性点经消弧线圈接地系统和中性点直接接地系统。
中性点不接地电力系统发生单相接地时,接地相对地电压为零,电容电流为零,非接地相对地电压升高为线电压,电容电流增大倍,但各相间电压(线电压)仍然对称平衡。
中性点直接接地系统发生单相接地时,通过中性点形成单相短路,产生很大的短路电流,中性点对地电压仍为零,非接地相对地电压也不发生变化。
第二章2-2年最大负荷Pmax——指全年中负荷最大的工作班内(为防偶然性,这样的工作班至少要在负荷最大的月份出现2~3次)30分钟平均功率的最大值,因此年最大负荷有时也称为30分钟最大负荷P30。
年最大负荷利用小时Tmax———指负荷以年最大负荷Pmax持续运行一段时间后,消耗的电能恰好等于该电力负荷全年实际消耗的电能,这段时间就是年最大负荷利用小时。
平均负荷Pav————平均负荷就是指电力负荷在一定时间内消耗的功节率的平均值。
负荷系数KL————负荷系数是指平均负荷与最大负荷的比值。
2-3.什么叫计算负荷?为什么计算负荷通常采用30min最大负荷?正确确定计算负荷有何意义?答:计算负荷是指导体中通过一个等效负荷时,导体的最高温升正好和通过实际的变动负荷时产生的最高温升相等,该等效负荷就称为计算负荷.导体通过电流达到稳定温升的时间大约为(3~4)t,t为发热时间常数.对中小截面的导体.其t约为10min左右,故截流倒替约经30min后达到稳定温升值.但是,由于较大截面的导体发热时间常数往往大于10min,30min还不能达到稳定温升.由此可见,计算负荷Pc实际上与30min最大负荷基本是相当的。
模块测试卷一答案一、填空题(30%)1. 把由各种类型发电厂中的发电机、升降压变压器、输电线路和电力用户连接起来的一个发电、输电、变电、配电和用电的统一的整体称为电力系统2. 水力发电厂主要分为堤坝式水力发电厂、引水式水力发电厂和混合式水力发电厂。
3. 根据变电所在电力系统中所处的地位和作用,可分为枢纽变电所、中间变电所、地区变电所、工厂企业变电所和终端变电所。
4. 配电网电压等级为110kV及以下,其中电压等级为3kV~110kV的,称为高压配电网;配电变压器低压侧引出的0.4kV配电网,称为低压配电网。
5. 通常电压在1kV以下的称为低压,1 kV到10 kV的称中压,高于10 kV低于330 kV 的称高压。
6. 对大中型工厂来说,通常来说采用35~110 kV作为供电电压,而对于中小型工厂来说,通常来说采用6 kV、10 kV作为供电电压。
7. 电压偏差是指电气设备的实际端电压与其额定电压之差,通常用它对额定电压的百分比来表示。
8. 根据用户的重要程度及对供电可靠性的要求,可将电力负荷分为三级。
9. 供配电系统一般由工厂降压变电所(或称为工厂总降压变电所)、高压配电线路、车间变电所、低压配电线路和用电设备组成。
二、判断题(20%)1. 电力系统就是电网。
(×)2. 核能发电厂的发电过程是核裂变能→热能→电能。
(×)3. 变电所的作用是接受电能和分配电能。
(×)4. 把将交流电变换为直流电,或把直流电变换为交流电的场所,称为变流所。
(√ )5. 工厂总降压变电所是把35kV~110kV电压降压为1kV电压向车间变电所供电。
(×)6. 电力网按电压高低和供电范围的大小可分为地方电网、区域电网、超高压电网。
(√ )7. 二级负荷对供电无特殊要求。
(×)8. 中性点直接接地或经低电阻接地系统称为大接地电流系统。
(√ )9. 低压配电系统,按保护接地的型式,分为TN系统、TS系统和IT系统。
第1章习题参考答案1-1 解释下列名词概念(1)电力系统:将一些发电厂、变电站(所)和电力用户由各级电压的电力线路联系起来组成发电、输电、变电、配电和用电的整体,即为电力系统(2)电力网:电力系统中各级电压的电力线路及其联系的变电所,称为电力网或简称电网(3)电压偏差:电气设备的端电压与其额定电压之差,通常以其对额定电压的百分值来表示(4)电力系统中性点运行方式:电力系统中作为供电电源的发电机和变压器的中性点接地方式1-2 填空题(1)区域电网电压一般在220kV及以上;地方电网最高电压一般不超过110kV;(2)通常电力网电压高低的划分:低压1000V及以下、中压1kV~10kV或35kV、高压35kV~110kV 或220kV、超高压220kV或330kV及以上、特高压1000kV及以上。
(3)中性点不接地的电力系统发生单相金属性接地故障时,中性点对地电压为相电压,非故障相对地电压升高为线电压;(4)用户高压配电电压,从经济技术指标看,最好采用10 kV,发展趋势是20 kV;(5)我国中、小电力系统运行时,规定允许频率偏差±0.5Hz ;(6)升压变压器高压侧的主分接头电压为121kV,若选择-2.5%的分接头,则该分接头电压为117.975kV。
1-3 单项选择题(1)电能生产、输送、分配及使用全过程(B)A.不同时间实现B.同一瞬间实现C.按生产—输送—分配—使用顺序实现 D.以上都不对(2)中性点不接地系统发行单相接地短路时,流过接地点的电流性质(A)A.电容电流B.电感电流C.电阻电流D.由系统阻抗性质决定(3)一级负荷的供电电源(C)由两个电源供电。
A.宜B.可C.应D.不应(4)对于一级负荷中特别重要的负荷(D)A.可由两路电源供电B.可不由两路电源供电C.必须由两路电源供电D.除由两个电源供电外,尚应增设应急电源(5)一类高层建筑的消防控制室、消防水泵、消防电梯、防烟排烟设施、火灾自动报警、自动灭火系统、应急照明、疏散指示标志等消防用电,应按(A)要求供电。
第一章测试1.我国低压配电系统常用的中性点连接方式是()。
A:TT系统 B:IT系统C:TN系统答案:C2.工厂低压三相配电压一般选择()。
A:660V B:220V C:380V 答案:C3.车变电所的电压变换等级一般为()。
A:把610kV降为220380 B:把35110kV降为610kV C:把220550kV降为35110kV 答案:A4.单台变压器容量一般不超过()。
A:500kVA B:1000kVA C:2000KVA 答案:C5.6~10V系统中,如果发生单相接地事,可()。
A:不停电,只能运行2个小时 B:马上停电 C:不停电,直接运行答案:B6.中性线的正确的表示符号是()。
A:PEN B:PE C:N 答案:C7.发电机可能的电压等级是()。
A:220KV B:10KV C:10.5KV D:380V E:11KV答案:C8.电力系统就是电力网。
() A:错 B:对答案:A9.发电厂与变电所距离较远,一个是电源,一个是负荷中心,所以频率不同。
()A:对 B:错答案:B10.火力发电是将燃料的热能转变为电能的能量转换方式。
() A:对 B:错答案:B11.中性点不接地的电力系统在发生单相接地故障时,可允许继续运行2小时()A:错 B:对答案:B12.三级负荷对供电无特殊要求。
() A:对 B:错答案:A13.我国采用的中性点工作方式有:中性点直接接地、中性点经消弧线圈接地和中性点不接地。
() A:对 B:错答案:B14.我国110kV及其以上电网多采用中性点不接地的运行方式。
() A:错 B:对答案:A15.我国低压配电系统常采用TT的中性点连接方式。
() A:对 B:错答案:B16.原子能发电厂的发电过程是核裂变能一机械能一电能。
() A:对 B:错答案:B17.车间变电必须要设置2台变压器。
() A:对 B:错答案:B18.车间内电气照明线路和动力线路可以合并使用。
供配电技术复习题及答案第一章1、平均额定电压的应用场合为A.受供电设备B.线路C.变压器D.以上全部2、电能的质量标准是A.电压、频率、波形B.电压、电流、频率C.电压、电流、波形D.电压、电流、功率因数3、国家标准GB12325-90《电能质量?供电电压允许偏差》规定:10kV及以下三相供电电压允许偏差为A.?10%B.?7%C.?5% ,7%,,10%4、人们俗称的“地线”实际上是A.中性线B.保护线C.保护中性线D.相线5、如果系统中的N线与PE线全部分开,则此系统称为( )系统。
A.TN-CB.TN-SC.TN-C-SD.TT6、中性点不接地的电力系统当发生单相接地时,正常相对地电压A.升高为原来的3倍B.降低为原来的3倍C.降低为原来的倍D.升高为原来的倍7、我国110kV及以上的超高压系统的电源中性点,通常采用运行方式为A.不接地B.直接接地C.经消弧线圈接地D.随便8、我们通常以( )为界线来划分高压和低压。
A.1000VB.220VC.380VD.1000KV9、从供电的角度来说,凡总供电容量不超过( )的工厂,可视为小型工厂。
A.500kVAB.100kVAC.5000kVD.1000kV第二章测试题:1、如果中断供电将在政治、经济上造成较大损失的称为A.一级负荷B.二级负荷C.三级负荷D.保安负荷2、南方某厂的夏日负荷曲线上P占的时间为10h,冬日负荷曲线上P占的时间11为2h,则年负荷曲线上P占的时间为 1A.12hB.2330hC.2050hD.4380h3、某厂的年最大负荷为1752kW,T为4000h则年平均负荷为 maxA.800kWB.19200kWC.1752kWD.159.87kW4、某电焊变压器铭牌额定容量S=42KVA暂载率ε%=60功率因数N NCOSφ=0.62,η=0.85,给该电焊变压器供电的支线负荷P为 N CA.20.2kWB.40.34kWC.23.76kWD.47.46kW5、某工厂全年用电量为:有功电度600万度,无功电度7480万度,则该厂的平均功率因数为A.0.78B.0.62C.0.56D.0.4446、某厂全年用电量为800×10kW.h,原功率因数为0.67,现欲补偿到0.9,则装设BW--10.5--14--1型电容器个数为A.41个B.35.6个C.36个D.42个7、变压器的有功功率损耗由___两部分组成A.有功损耗和无功损耗B.铁损和铜损C.电阻损耗和电抗损耗D.以上都不对8、满负荷的负荷指的是。
第4章变配电所及一次系统检测题解析一、填空题:1. 高压变电所的主要高压电气设备有高压断路器、高压隔离开关、高压熔断器、高压负荷开关、互感器、避雷器和高压开关柜等。
2. 变压器是变电所中关键的一次设备,其主要功能是升压和降低电压。
变压器的台数选择取决于电力负荷。
3. 车间变电所变压器的台数选择,对于一、二级负荷较大的车间,采用双回路独立进线,两台变压器;对于二、三级负荷,变电所设置一台变压器,其容量根据后面的计算负荷决定。
4. 电力变压器的容量是按最大负荷选择的,变压器都具有一定的过负荷能力,规定:室外变压器过负荷不得超过30 %,室内变压器过负荷不得超过20 %,干式变压器一般不考虑正常过负荷。
5. 专用于断开或接通高压电路的开关设备是高压断路器;按其采用的灭弧介质可划分为高压真空断路器、高压六氟化硫断路器和少油断路器等。
6. 用来隔离高压电源,以保证设备和检修人员安全的设备是高压隔离开关,按安装地点的不同划分为户内式和户外式两大类。
7有简单的灭弧装置和明显的断开点,可通断负荷电流和过负荷电流,但不能断开短路电流的设备是高压负荷开关,按安装地点的不同划分为户内式和户外式两大类。
8. 高压熔断器是一种保护设备,其功能主要是对电路及其设备进行短路保护和过载保护。
9. 工程中电流互感器称作CT ,它可把大电流变换为5A或1A 的小电流;电压互感器在工程中简称为PT ,它可把高电压变换为标准值100A 的低电压。
本质上电流互感器是一个升压变压器,电压互感器是一个降压变压器。
10.变电所常用的主接线基本形式有线路-变压器组接线、单母线接线和桥式接线3种。
二、判断说法的对错题:1.确定变电所主接线应满足的基本要求是安全、简单、灵活、经济。
(F)2.变电所常用的主接线有线路-变压器接线、单母线接线和桥式接线。
(T )3.高压断路器、高压隔离开关和高压负荷开关都是设置有灭弧装置的高压开关设备。
(F)4.采用一、二次侧单母线分段的接线方式,适合于有一、二级负荷的企业。
第1章 For personal use only in study and research;not for commercial use第2章第3章 电力系统概论1-1 什么叫电力系统?为什么要建立电力系统?电力系统是由发电厂、变电所、电力线路和电能用户组成的一个整体。
为了充分利用动力资源,降低发电成本,发电厂往往远离城市和电能用户,因此,这就需要输送和分配电能,将发电厂发出的电能经过升压、输送、降压和分配,送到用户。
1-2 供配电系统由那些部分组成?在什么情况下应设总降压变电所或高压配电所? 供配电系统由总降变电所、高压配电所、配电线路、车间变电所和用电设备组成。
总降压变电所是企业电能供应的枢纽。
它将35kV ~110kV 的外部供电电源电压降为6~ 10kV 高压配电电压,供给高压配电所、车间变电所和高压用电设备。
高压配电所集中接受 6~10kV 电压,再分配到附近各车间变电所和高压用电设备。
一般负荷分散、厂区大的大型企业设置高压配电所。
1-3 发电机的额定电压、用电设备的额定电压和变压器额定电压是如何规定的?为什么? 用电设备的额定电压等于电力线路的额定电压;发电机的额定电压较电力线路的额定电压要高5%;变压器的一次绕组的额定电压等于发电机的额定电压(升压变压器)或电力线路的额定电压(降压变压器);二次绕组的额定电压较电力线路的额定电压要高10%或5%(视线路的电压等级或线路长度而定)。
额定电压是能使电气设备长期运行在经济效果最好的电压,它是国家根据经济发展的需要及电力的水平和发展的趋势经过全面技术经济分析后确定的。
1-4 电能的质量指标包括哪些?电能的质量指标是指电压质量、频率质量、供电可靠性。
1-5 什么叫电压偏移,电压波动和闪变?如何计算电压偏移和电压波动?电压偏差是电压偏离额定电压的幅度。
电压波动是指电压的急剧变化。
周期性电压急剧变化引起光源光通量急剧波动而造成人眼视觉不舒适的现象,成为闪变。
供配电技术习题集及答案-第四章4-1如何确定⼯⼚的供配电电压?供电电压等级有0.22 KV , 0.38 KV ,6 KV ,10 KV ,35 KV ,66 KV ,110 KV,220 KV配电电压等级有10KV ,6KV ,380V/220V供电电压是指供配电系统从电⼒系统所取得的电源电压.究竟采⽤哪⼀级供电电压,主要取决于以下3个⽅⾯的因素.电⼒部门所弄提供的电源电压.企业负荷⼤⼩及距离电源线远近.企业⼤型设备的额定电压决定了企业的供电电压.配电电压是指⽤户内部向⽤电设备配电的电压等级.有⾼压配电电压和低压配电电压.⾼压配电电压通常采⽤10KV或6KV,⼀般情况下,优先采⽤10KV⾼压配电电压.低压配电电压等级为380V/220V,但在⽯油.化⼯及矿⼭(井)场所可以采⽤660V的配电电压. 4—2 确定⼯⼚变电所变压器容量和台数的原则是什么?答:(1)变压器容量的确定a 应满⾜⽤电负荷对可靠性的要求。
在⼀⼆级负荷的变电所中,选择两台主变压器,当在技术上,经济上⽐较合理时,主变器选择也可多于两台;b 对季节性负荷或昼夜负荷⽐较⼤的宜采⽤经济运⾏⽅式的变电所,技术经济合理时可采⽤两台主变压器c 三级负荷⼀般选择⼀台猪变压器,负荷较⼤时,也可选择两台主变压器。
(2)变压器容量的确定装单台变压器时,其额定容量SN应能满⾜全部⽤电设备的计算负荷Sc,考虑负荷发展应留有⼀定的容量裕度,并考虑变压器的经济运⾏,即SN>=(1.15~1.4)Sc装有两台主变压器时,其中任意⼀台主变压器容量)SN应同时满⾜下列两个条件:a 任⼀台主变压器运⾏时,应满⾜总计算负荷的60%~70%的要求,即SN=(0.6~0.7)Scb 任⼀台变压器单独运⾏时,应能满⾜全部⼀⼆级负荷Sc(I+II)的要求,即SN>=Sc(I+II)4-4 ⾼压少油断路器和⾼压真空断路器各⾃的灭弧介质是什么?⽐较其灭弧性能,各适⽤于什么场合?⾼压少油断路器的灭弧介质是油。
1.供配电一次设备有哪些?
答:一次设备按功能分为如下几类:
(1)生产和变换设备:包括将机械能转换为电能的电动机,变换电压等级的变压器,将高电压,大电流转换为低电压或小电流以供二次设备测量的互感器等。
(2)开关设备:用来控制一次回路的接通和断开,包括高电压断路器·隔离开关·负荷开关·离合器·分断器磁力启动器等。
(3)保护设备:用来对一次回路过压或过电流进行保护的设备,包括限制短路电流的电抗器·高低压熔断器·避雷器等。
(4)载流导体:传输电流的软·硬导体,如各种类型的架空线路和电力线缆等。
(5)补偿设备:用来补偿无功功率,如并联电容器等。
(6)成套设备:将有关一次设备及二次设备安电路接线方案的要求,组合为一体的电气装置,如高低压开关柜,低压配电箱等。
2.供配电一次设备的选择有哪些原则?如何选择变压器容量和台数?
答:电气设备不管用途和工作环境有何差异,他们的选择原则都遵循一下的三个原则:
1按正常工作条件选择原则
2按短路条件效验原则
3开关设备断流能力效验原则
1)变压器容量的确定
a 应满足用电负荷对可靠性的要求。
在一二级负荷的变电所中,选择两台主变压器,当在技术上,经济上比较合理时,主变器选择也可多于两台;
b 对季节性负荷或昼夜负荷比较大的宜采用经济运行方式的变电所,技术经济合理时可采用两台主变压器
c 三级负荷一般选择一台猪变压器,负荷较大时,也可选择两台主变压器。
(2)变压器容量的确定
装单台变压器时,其额定容量SN应能满足全部用电设备的计算负荷Sc,考虑负荷发展应留有
一定的容量裕度,并考虑变压器的经济运行,即SN>=(1.15~1.4)Sc
装有两台主变压器时,其中任意一台主变压器容量)SN应同时满足下列两个条件:
a 任一台主变压器运行时,应满足总计算负荷的60%~70%的要求,即SN=(0.6~0.7)Sc
b 任一台变压器单独运行时,应能满足全部一二级负荷Sc(I+II)的要求,即SN>=Sc(I+II)
3.SF6高压断路器和真空断路器各自有哪些优点?适用于哪些场合?
答:SF6高压断路器的主要优点是:开断速度快,适用于需频繁操作的场所;
真空断路器的优点在于:灭弧室密封,电弧和金属热蒸汽不外泄,且不容易因潮湿,灰尘,有害气体等影响而降低他的性能;操作结构简单,整体体积小,重量轻;开断能力较强;灭弧时间短,触头消耗小,寿命长,适合于需要频繁开断的场合。
4-11.氧化锌避雷器比传统的避雷器有哪些优点?其主要技术参数有那些阿?
答:与由SiC阀片和串联间隙构成的传统避雷器相比,氧化锌无间隙避雷器具有下述优点:①结构简单,适合大规模自动化生产,尺寸小,重量轻,造价低廉。
②保护性能优越。
由于ZnO阀片具有优异的伏安特性,残压更低;在整个过电压作用期间均能释放能量,没有火花,所以不存在放电时延,具有很好的陡波响应特性,特别适用于GIS气体绝缘变电站、直流系统的保护。
③耐重复动作能力强,只吸收过电压能量,不需吸收续流能量。
④通流容
量大。
ZnO阀片单位面积的通流能力为SiC阀片的4~5倍。
可作为内部过电压的后备保护。
⑤耐污性能好。
由于没有串联间隙,因而可避免因瓷套表面不均匀污染使串联火花间隙放电电压不稳定的问题,易于制造防污型和带电清洗型避雷器。
(不受表面污染影响)
氧化锌避雷器主要技术参数有:
(1)标称放电电流:给保护器施加波形为8/20μs的标准雷电波冲击10次时,保护器所耐受的最大冲击电流峰值。
(2)额定电压
(3)持续运行电压
(4)冲击电流残压
4-14.高压开关柜的“五防”原则指的是什么?
答:(1.防止带负荷拉(合)隔离开关。
(2).防止误分(合)断路器。
(3).防止带电挂地线。
(4).防止带地线(合)隔离开关。
(5).防止带电误入带电间隔。
4-19电气主接线设计的基本要求是什么?
答:对电气">电气主接线设计的要求有:
(1)具有供电的可靠性。
(2)具有运行上的安全性和灵活性。
(3)简单、操作方便。
(4)具有建设及运行的经济性。
(5)应考虑将来扩建的可能性。