网络提交:《线性代数与概率统计》模拟题二(2013.11,90分钟)
- 格式:docx
- 大小:49.05 KB
- 文档页数:8
一、单选( 每题参考分值2.5分)1、设随机变量的分布函数为,则()A.B.C.D.正确答案:【B】2、设总体为参数的动态分布,今测得的样本观测值为0.1,0.2,0.3,0.4,则参数的矩估计值为()A.0.2B.0.25C.1D.4正确答案:【B】3、A.B.C.D.正确答案:【B】4、设均为阶方阵,,且恒成立,当()时,A.秩秩B.C.D.且正确答案:【D】5、设是方程组的基础解系,则下列向量组中也可作为的基础解系的是()A.B.C.D.正确答案:【D】6、盒中放有红、白两种球各若干个,从中任取3个,设事件,,则事件()A.B.C.D.正确答案:【A】7、已知方阵相似于对角阵,则常数()A.B.C.D.正确答案:【A】8、掷一枚骰子,设,则下列说法正确的是()A.B.C.D.正确答案:【B】9、设为二维连续随机变量,则和不相关的充分必要条件是()A.和相互独立B.C.D.正确答案:【C】10、袋中有5个球(3新2旧),每次取1个,无放回的抽取2次,则第2次取到新球的概率为()A.B.C.D.正确答案:【A】11、A.B.C.D.正确答案:【D】12、设和是阶矩阵,则下列命题成立的是()A.和等价则和相似B.和相似则和等价C.和等价则和合同D.和相似则和合同正确答案:【B】13、二次型是()A.正定的B.半正定的C.负定的D.不定的正确答案:【A】14、矩阵与的关系是()A.合同但不相似B.合同且相似C.相似但不合同D.不合同也不相似正确答案:【B】15、随机变量X在下面区间上取值,使函数成为它的概率密度的是()A.B.C.D.正确答案:【A】16、A.全不非负B.不全为零C.全不为零D.全大于零正确答案:【C】17、随机变量的概率密度则常数()A.1B.2C.D.正确答案:【B】18、设二维随机变量的概率密度函数为,则()A.B.C.D.正确答案:【B】19、设随机变量的方差,利用切比雪夫不等式估计的值为()A.B.C.D.正确答案:【B】20、A.每一向量不B.每一向量C.存在一个向量D.仅有一个向量正确答案:【C】21、A.B.C.D.正确答案:【C】22、设,则()A.B.C.D.正确答案:【B】23、设随机变量的数学期望,方差,则由切比雪夫不等式有()A.B.C.D.正确答案:【B】24、以下结论中不正确的是()A.若存在可逆矩阵,使,则是正定矩阵B.二次型是正定二次型C.元实二次型正定的充分必要条件是的正惯性指数为D.阶实对称矩阵正定的充分必要条件是的特征值全为正数正确答案:【B】25、设总体服从两点分布:为其样本,则样本均值的期望()A.B.C.D.正确答案:【A】26、设是二阶矩阵的两个特征,那么它的特征方程是()A.B.C.D.正确答案:【D】27、已知,则()A.必有一特征值B.必有一特征值C.必有一特征值D.必有一特征值正确答案:【D】28、设是来自总体的样本,其中已知,但未知,则下面的随机变量中,不是统计量的是()A.B.C.D.正确答案:【D】29、矩阵的秩为,则()A.的任意一个阶子式都不等于零B.的任意一个阶子式都不等于零C.的任意个列向量必线性无关对于任一维列向量,矩阵的秩都为正确答案:【D】30、设向量组;向量组,则()A.相关相关B.无关无关C.无关无关D.无关相关正确答案:【B】31、A.交换2、3两行的变换B.交换1、2两行的变换C.交换2、3两列的变换D.交换1、2两列的变换正确答案:【A】32、设是矩阵,则下列()正确A.若,则中5阶子式均为0B.若中5阶子式均为0,则C.若,则中4阶子式均非0D.若中有非零的4阶子式,则正确答案:【A】33、分别是二维随机变量的分布函数和边缘分布函数,分别是的联合密度和边缘密度,则()A.B.C.和独立时,D.正确答案:【C】34、A.B.C.D.正确答案:【D】35、设随机变量的概率密度为,则()A.B.C.D.正确答案:【B】36、设是阶正定矩阵,则是()A.实对称矩阵B.正定矩阵C.可逆矩阵D.正交矩阵正确答案:【C】37、某学习小组有10名同学,其中7名男生,3名女生,从中任选3人参加社会活动,则3人全为男生的概率为()A.B.C.D.正确答案:【A】38、从0、1、2、…、9十个数字中随机地有放回的接连抽取四个数字,则“8”至少出现一次的概率为()A.0.1B.0.3439C.0.4D.0.6561正确答案:【B】39、A.B.C.正确答案:【D】40、设矩阵其中均为4维列向量,且已知行列式,则行列式()A.25B.40C.41D.50正确答案:【B】41、若都存在,则下面命题中正确答案的是()A.B.C.D.正确答案:【D】42、与矩阵相似的矩阵是()A.B.C.D.正确答案:【B】43、A.B.C.D.正确答案:【B】44、某种动物活20年的概率为0.8,活25年的概率为0.6,现有一只该动物已经活了20年,它能活到25年的概率是()A.0.48B.0.6C.0.8D.0.75正确答案:【D】45、设4维向量组中的线性相关,则()A.可由线性表出B.是的线性组合C.线性相关D.线性无关正确答案:【C】46、设为阶方阵,且(为正数),则()A.B.的特征值全部为零C.的特征值全部为零D.存在个线性无关的特征向量正确答案:【C】47、若连续型随机变量的分布函数,则常数的取值为()A.B.C.D.正确答案:【B】48、A.B.C.D.正确答案:【C】49、设,则~()A.B.C.D.正确答案:【B】50、设是未知参数的一个估计量,若,则是的()A.极大似然估计B.矩估计C.有效估计D.有偏估计正确答案:【D】一、单选(共计100分,每题2.5分)1、A.B.C.D.正确答案:【D】2、已知线性无关则()A.必线性无关B.若为奇数,则必有线性无关C.若为偶数,则线性无关D.以上都不对正确答案:【C】3、A.B.C.D.正确答案:【D】4、A.B.C.D.正确答案:【D】5、矩阵()是二次型的矩阵A.B.C.D.正确答案:【C】6、设为二维连续随机变量,则和不相关的充分必要条件是()A.和相互独立B.C.D.正确答案:【C】7、设是参数的两个相互独立的无偏估计量,且若也是的无偏估计量,则下面四个估计量中方差最小的是()A.B.C.D.正确答案:【A】8、设二维随机变量,则()A.B.3C.18D.36正确答案:【B】9、已知是非齐次方程组的两个不同解,是的基础解系,为任意常数,则的通解为()A.B.C.D.正确答案:【B】10、下列矩阵中,不是二次型矩阵的是()A.B.C.D.正确答案:【D】11、若总体为正态分布,方差未知,检验,对抽取样本,则拒绝域仅与()有关A.样本值,显著水平B.样本值,显著水平,样本容量C.样本值,样本容量D.显著水平,样本容量正确答案:【D】12、在假设检验中,设服从正态分布,未知,假设检验问题为,则在显著水平下,的拒绝域为()A.B.C.D.正确答案:【B】13、A.B.C.D.正确答案:【C】14、已知4阶行列式中第1行元依次是-4,0,1,3, 第3行元的余子式依次为-2,5,1,x ,则X=A.0B.3C. -3D.2正确答案:【B】15、设是阶正定矩阵,则是()A.实对称矩阵B.正定矩阵C.可逆矩阵D.正交矩阵正确答案:【C】16、设总体服从泊松分布:,其中为未知参数,为样本,记,则下面几种说法正确答案的是()A.是的无偏估计B.是的矩估计C.是的矩估计D.是的矩估计正确答案:【D】17、下列函数中可以作为某个二维随机变量的分布函数的是()A.B.C.D.正确答案:【D】18、A.B.C.D.正确答案:【A】19、若都存在,则下面命题正确答案的是()与独立时,B.与独立时,C.与独立时,D.正确答案:【C】20、设是从正态总体中抽取的一个样本,记则服从()分布A.B.C.D.正确答案:【C】21、设随机变量,则()A.B.C.D.正确答案:【A】22、已知向量,若可由线性表出那么()A.,B.,C.,D.,正确答案:【A】23、设,则()A.A和B不相容B.A和B相互独立C.或D.正确答案:【A】24、设总体,为样本均值,为样本方差,样本容量为,则以下各式服从标准正态分布的是()A.B.C.D.正确答案:【A】25、为三阶矩阵,为其特征值,当()时,A.B.C.D.正确答案:【C】26、某种商品进行有奖销售,每购买一件有的中奖概率。
《线性代数与概率论统计》一、填空题(每小题4分,共20分。
)1.若,A B 都是3阶方阵,且A =2,B = 3E ,则T A B = .2. 设3阶方阵11124133A -⎛⎫ ⎪=- ⎪ ⎪--⎝⎭x 相似于矩阵1101220003-⎛⎫⎪= ⎪ ⎪⎝⎭B .则常数=x .3.设A ,B 为互不相容的两个事件,()0.2P A =,()0.3P B =,则()P A B = .4. 甲、乙两人独立的对同一目标射击一次,其命中率分别为0.6和0.5,则目标被命中的概率为 .5.设~()X P λ,则()D X = . 二、选择题(每小题4分,共20分。
)1. 设, A B 为n 阶方阵,E 为n 阶单位矩阵,则下列等式成立的是( ).(A) ()()22A B A B A B -+=-; (B) ()()2A E A E A E -+=-; (C) AB BA =; (D) ()A B E A B E +=++. 2. 若方阵A 满足230A E -=,则A 必有一个特征值为( ). (A) 2; (B) 3; (C) 3/2; (D) 2/3.3. 设A ,B 为两个随机事件,且A B ⊂,则下列各式中正确的是( ).(A) ()()P A B P A =; (B) ()()P AB P B =; (C) (|)()P B A P B =; (D) ()()()P B A P B P A -=-. 4. 设随机变量Y X ,独立,且)1,1(~),1,0(~N Y N X ,则( ).(A) 21}0{=≤+Y X P ; (B) 21}1{=≤+Y X P ;(C) 21}0{=≤-Y X P ; (D) 21}1{=≤-Y X P ;5. 设12,,,n X X X 是来自正态总体X2(,)N μσ的一个样本,则下列各式中正确的是( ).(A) 2~X μσ⎛⎫- ⎪⎝⎭2(1)χ; (B) 2~X n ⎛⎫- ⎪⎝⎭μσ2(1)χ;(C) 2~X μσ⎛⎫- ⎪⎝⎭(1)t ; (D) 2~X n ⎛⎫- ⎪⎝⎭μσ(1)t .三、线代计算题(每小题10分,共30分。
福师《线性代数与概率统计》在线作业二福师《线性代数与概率统计》在线作业二-0003试卷总分:100 得分:0一、单选题 (共 50 道试题,共 100 分)1.在数字通信中由于存在随机干扰收报台收到的信号与发报台发出的信号可能不同。
设发报台只发射两个信号:0与1。
已知发报台发射0和1的概率为0.7和0.3又知当发射台发射0时,收报台收到0和1的概率为0.8和0.2,而当发射台发射1时,收报台收到1和0的概率为0.9和0.1某次收报台收到了信号0则此时发射台确实发出的信号是0的概率是()A.0.782B.0.949C.0.658D.0.9782.下列哪个符号是表示必然事件的A.θB.δC.ФD.Ω3.设一百件产品中有十件次品,每次随机地抽取一件,检验后放回去,连续抽三次,计算最多取到一件次品的概率()A.0.45B.0.78C.0.972D.0.254.在某医院,统计表明第一季度出生1000个婴儿中,有3个婴儿死亡,则我们认为这个医院的婴儿死亡率为()A.3‰B.3﹪C.3D.0.35.上题中如果求P{X<5},则其概率为()A.1B.0.9C.0.1D.06.将飞机分为甲、乙、丙三个不同的区域,当飞机遭到射击时,如果飞机中区域甲被击中一弹或乙被击中两弹或区域丙被击中三弹,则飞机都会被击落,已知各弹的击中与否是相互独立的,并且每弹命中各区域的概率与每个区域在飞机上所占有的面积成正比,高三个区域的面积比为1:2:7。
若飞机被击中二弹,则飞机被击落的概率是()A.0.81B.0.37C.0.64D.0.237.在十个整数0,1,2,3,4,5,6,7,8,9中任取四个不不同的数字,能够组成一个四位偶数的概率是()A.45/90B.41/720C.53/720D.41/908.设随机变量X在区间(a,b)的分布密度f(x)=c,在其他区间为f(x)=0,欲使变量X服从均匀分布则c的值为( )A.1/(b-a)B.b-aC.1-(b-a)D.09.市场供应的某种商品中,甲厂生产的产品占50%,乙厂生产的产品占30%,丙厂生产的产品占20%,甲、乙、丙产品的合格率分别为90%、85%、和95%,则顾客买到这种产品为合格品的概率是()A.0.24B.0.64C.0.895D.0.98510.由概率的公理化定义可推知两个对立事件的概率之和为()A.0B.0.5C.0.6D.111.正态分布的概率密度曲线的形状为()A.抛物线B.直线C.钟形曲线D.双曲线12.试验E为某人连续射击两次试验,考察射击的过程及结果,则E的基本事件总数为()A.4B.3C.2D.113.如果某医院这个季度的婴儿死亡率为3‰,则我们说某产妇到这家医院生产,其孩子正常出生的概率为()A.3%B.97%C.3D.0.97714.某人进行射击,设每次射击的命中率为0.02,独立射击150次,则最可能命中次数为()A.1B.3C.5D.815.甲乙两人投篮,命中率分别为0.7,0.6,每人投三次,则甲比乙进球数多的概率是A.0.569B.0.856C.0.436D.0.68316.若E表示:掷一颗骰子,观察出现的点数,则()是随机变量A.点数大于2的事件B.点数小于2 的事件C.出现的点数XD.点数不超过4的事件17.相继掷硬币两次,则样本空间为A.Ω={(正面,反面),(反面,正面),(正面,正面),(反面,反面)}B.Ω={(正面,反面),(反面,正面)}C.{(正面,反面),(反面,正面),(正面,正面)}D.{(反面,正面),(正面,正面)}18.设随机事件A,B及其和事件A∪B的概率分别是0.4,0.3和0.6,则B的对立事件与A的积的概率是A.0.2B.0.5C.0.6D.0.319.现抽样检验某车间生产的产品,抽取100件产品,发现有4件次品,60件一等品,36件二等品。
《线性代数与概率统计》模拟试题一.单项选择题(每小题5分,共8小题,总计40分)1.计算11221212x x x x ++=++?(A )A .12x x -B .12x x +C .21x x -D .212x x -2.已知111213212223313233a a a a a a m a a a =,则212223311132123213112112221323222323232a a a a a a a a a a a a a a a ---=+++?(A ) A .6mB .-6mC .12mD .-12m3.如果11330160213a b a b ⎛⎫⎛⎫⎛⎫ ⎪⎪ ⎪= ⎪⎪ ⎪ ⎪⎪ ⎪---⎝⎭⎝⎭⎝⎭,则,a b 分别为?( B )A .0,3B .0,-3C .1, 3D .1,-34.行列式yx x y x x y y x yyx+++=?( B )A .332()x y + B .332()x y -+ C .332()x y - D .332()x y --5.甲乙两人同时向目标射击,甲射中目标的概率为0.8,乙射中目标的概率是0.85,两人同时射中目标的概率为0.68,则目标被射中的概率为(C)A.0.8B.0.85C.0.97D.0.966.一批产品由8件正品和2件次品组成,从中任取3件,则这三件产品全是正品的概率为(B)A.2 5B.7 15C.815D.3 57.观察一次投篮,有两种可能结果:投中与未投中。
令1,;0,X⎧=⎨⎩投中未投中.(C)试求X的分布函数()F x。
A.0,01(),0121,1xF x xx<⎧⎪⎪=≤<⎨⎪>⎪⎩B.0,01(),0121,1xF x xx≤⎧⎪⎪=<<⎨⎪≥⎪⎩C.0,01(),0121,1<⎧⎪⎪=≤<⎨⎪≥⎪⎩xF x xxD.0,01(),0121,1xF x xx<⎧⎪⎪=≤≤⎨⎪>⎪⎩8.设有甲、乙两批种子,发芽率分别为0.9和0.8,在两批种子中各随机取一粒,则两粒都发芽的概率为()A.0.8B.0.72C.0.9D.0.27【答案:B】二.计算题(每小题8分,共6小题,总计48分)1.计算行列式133 353 664xxx---+---.解:原行列式可化为=533335 (1)3(3)646466x xxx x+----+ --+-----2(2)(4)x x =+-=31216x x --2.试问λ取何值时,齐次线性方程组1232312330 2020x x x x x x x x λ++=⎧⎪-=⎨⎪--=⎩有非零解?解:系数行列式为:311121120210460211120218λλλ-----=+=----+ 所以,当8-=λ时,该齐次线性方程组有非零解.3.解线性方程组 123412342532158543x x x x x x x x -++=⎧⎨-++=⎩.解:对增广矩阵施以初等行变换:A =2532158543-⎡⎤⎢⎥-⎣⎦→2532195101222-⎡⎤⎢⎥⎢⎥--⎣⎦→5311122295101222⎡⎤-⎢⎥⎢⎥⎢⎥--⎢⎥⎣⎦→ 5311122252101999⎡⎤-⎢⎥⎢⎥⎢⎥--⎢⎥⎣⎦→1471099952101999⎡⎤⎢⎥⎢⎥⎢⎥--⎢⎥⎣⎦与原方程组同解的方程组为:134234147999521999x x x x x x ⎧++=⎪⎪⎨⎪--=⎪⎩所以:方程组的一般解为134234147999521999x x x x x x ⎧=--+⎪⎪⎨⎪=++⎪⎩(34,x x 是自由未知量);4.一批产品有10件,其中4件为次品,现从中任取3件,求取出的3件产品中有次品的概率。
线性代数模拟考试题(4套)模拟试题⼀⼀、判断题:(正确:√,错误:×)(每⼩题2分,共10分)1、若B A ,为n 阶⽅阵,则 B A B A +=+. ……………………( )2、可逆⽅阵A 的转置矩阵T A 必可逆. ……………………………( )3、n 元⾮齐次线性⽅程组b Ax =有解的充分必要条件n A R =)(.…( )4、A 为正交矩阵的充分必要条件1-=A A T .…………………………( )5、设A 是n 阶⽅阵,且0=A ,则矩阵A 中必有⼀列向量是其余列向量的线性组合.…………………………………………………………( ) ⼆、填空题:(每空2分,共20分)1、,A B 为 3 阶⽅阵,如果 ||3,||2A B ==,那么 1|2|AB -= .2、⾏列式中元素ij a 的余⼦式和代数余⼦式,ij ij M A 的关系是 .3、在5阶⾏列式中,项5541243213a a a a a 所带的正负号是 .4、已知()??-==256,102B A 则=AB .5、若?--=1225A ,则=-1A . 6、设矩阵--2100013011080101是4元⾮齐次线性⽅程组b Ax =的增⼴矩阵,则b Ax =的通解为 .7、()B A R + ()()B R A R +.8、若*A 是A 的伴随矩阵,则=*AA .9、设=A-500210111t ,则当t 时,A 的⾏向量组线性⽆关.10、⽅阵A 的特征值为λ,⽅阵E A A B 342+-=,则B 的特征值为 . 三、计算:(每⼩题8分,共16分) 1、已知4阶⾏列式1611221212112401---=D ,求4131211132A A A A +-+.2、设矩阵A 和B 满⾜B A E AB +=+2,其中=101020101A ,求矩阵B .四、(10分) 求齐次线性⽅程组=++-=-++=--+-=++-0242205230204321432143214321x x x x x x x x x x x x x x x x 的基础解系和它的通解.五、(10分) 设三元⾮齐次线性⽅程组b Ax =的增⼴矩阵为+-+----22)1)(1()2)(1(00)1(11011λλλλλλλλλλ,讨论当λ取何值时,b Ax =⽆解,有唯⼀解和有⽆穷多解,并在⽆穷多解时求出通解.六、(10分) 判断向量组---=? --=? =? -=1622,4647,3221,1123:4321a a a a A 的线性相关性,如果线性相关,求⼀个最⼤⽆关组,并⽤它表⽰其余向量. 七、综合计算:(本题14分)已知⼆次型31232221321422),,(x x x x x x x x f --+= (1)求⼆次型所对应的矩阵A ,并写出⼆次型的矩阵表⽰;(2)求A 的特征值与全部特征向量;(3)求正交变换PY X =化⼆次型为标准形, 并写出标准形;(4)判断该⼆次型的正定性。
工程数学(线性代数与概率统计)习题二1、设⎪⎪⎪⎭⎫ ⎝⎛--=111111111A ,⎪⎪⎪⎭⎫ ⎝⎛--=150421321B ,有⎪⎪⎪⎭⎫ ⎝⎛----=⎪⎪⎪⎭⎫ ⎝⎛---⎪⎪⎪⎭⎫ ⎝⎛-=⎪⎪⎪⎭⎫ ⎝⎛---⎪⎪⎪⎭⎫ ⎝⎛--⎪⎪⎪⎭⎫ ⎝⎛--=-2294201722213222222222209265085031111111112150421321111111111323A AB⎪⎪⎪⎭⎫ ⎝⎛-=⎪⎪⎪⎭⎫ ⎝⎛--⎪⎪⎪⎭⎫ ⎝⎛--=092650850150421321111111111B A T2、求下列矩阵的乘积AB(1)()()7201321=⎪⎪⎪⎭⎫⎝⎛(2)⎪⎪⎪⎭⎫⎝⎛----=⎪⎪⎭⎫ ⎝⎛--⎪⎪⎪⎭⎫ ⎝⎛--121125147103121012132 (3)⎪⎪⎭⎫⎝⎛--=⎪⎪⎪⎪⎪⎭⎫⎝⎛-⎪⎪⎭⎫ ⎝⎛-119912943110231101420121301 (4)⎪⎪⎭⎫⎝⎛=⎪⎪⎭⎫ ⎝⎛⎪⎪⎭⎫⎝⎛--000021211111 (5)⎪⎪⎪⎭⎫ ⎝⎛=⎪⎪⎭⎫ ⎝⎛⎪⎪⎪⎭⎫ ⎝⎛---0000002412122412(6)⎪⎪⎪⎪⎪⎭⎫⎝⎛=⎪⎪⎪⎭⎫⎝⎛⎪⎪⎪⎪⎪⎭⎫⎝⎛n n n nnc b c b c b c b a c b a c b a 2020202000100002211222111 3、求下列矩阵的乘积(1)()⎪⎭⎫ ⎝⎛=⎪⎪⎪⎪⎪⎭⎫⎝⎛∑=ni i i n n b a b b b a a a 12121(2)()⎪⎪⎪⎪⎪⎭⎫⎝⎛=⎪⎪⎪⎪⎪⎭⎫⎝⎛n n n n n n n b a b a b a b a b a b a b a b a b a b b b a a a 22122212121112121(3)())222(322331132112233322222111321332313232212131211321x x a x x a x x a x a x a x a x x x a a a a a a a a a x x x +++++=⎪⎪⎪⎭⎫ ⎝⎛⎪⎪⎪⎭⎫ ⎝⎛6、设⎪⎪⎪⎭⎫ ⎝⎛=100110011A ,求与A 可交换的矩阵⎪⎪⎪⎭⎫⎝⎛=333231232221131211b b b b b b b b b B ;即BA AB = BA b b b b b b b b b b b b b b b b b bb b b b b b b b b b b b AB =⎪⎪⎪⎭⎫⎝⎛++++++=⎪⎪⎪⎭⎫⎝⎛++++++=333232313123222221211312121111333231332332223121231322122111 得 为任意数13121133223221312312221121,,00b b b b b b b b b b b b b ====== ⎪⎪⎪⎭⎫⎝⎛=111211131211000b b b b b b B 7、略8、计算矩阵幂(1)⎪⎪⎭⎫⎝⎛--=⎪⎪⎭⎫ ⎝⎛--⎪⎪⎭⎫ ⎝⎛--⎪⎪⎭⎫ ⎝⎛--=⎪⎪⎭⎫ ⎝⎛--2221141343214321432143213(2)⎪⎪⎪⎪⎭⎫ ⎝⎛-=⎪⎪⎪⎪⎪⎭⎪⎪⎪⎪⎪⎬⎫⎪⎪⎪⎪⎪⎩⎪⎪⎪⎪⎪⎨⎧+=⎪⎪⎭⎫⎝⎛-+=⎪⎪⎭⎫ ⎝⎛+=⎪⎪⎭⎫ ⎝⎛-+=⎪⎪⎭⎫⎝⎛--=⎪⎪⎭⎫⎝⎛-2cos2sin2sin2cos 1401104410013401102410010110ππππn n n n k n k n k n k n n(3)n⎪⎪⎭⎫ ⎝⎛--2312,2,1,0122312210012312231223121001100123122312=⎪⎪⎩⎪⎪⎨⎧+=⎪⎪⎭⎫ ⎝⎛--=⎪⎪⎭⎫ ⎝⎛⎪⎪⎭⎫ ⎝⎛--⇒⎪⎪⎪⎭⎪⎪⎪⎬⎫⎪⎪⎩⎪⎪⎨⎧⎪⎪⎭⎫ ⎝⎛--⎪⎪⎭⎫ ⎝⎛--⎪⎪⎭⎫ ⎝⎛⎪⎪⎭⎫ ⎝⎛=⎪⎪⎭⎫ ⎝⎛--⎪⎪⎭⎫ ⎝⎛--k k n kn n ==因(4)⎪⎪⎪⎪⎪⎭⎫⎝⎛=⎪⎪⎪⎪⎪⎭⎫⎝⎛k n k k kn λλλλλλ2121(5)⎪⎪⎪⎭⎫⎝⎛+=⎪⎪⎪⎭⎫ ⎝⎛⎪⎪⎪⎭⎫ ⎝⎛=⎪⎪⎪⎭⎫ ⎝⎛⎪⎪⎪⎭⎫ ⎝⎛=⎪⎪⎪⎭⎫ ⎝⎛⎪⎪⎪⎭⎫ ⎝⎛=⎪⎪⎪⎭⎫ ⎝⎛⎪⎪⎪⎭⎫ ⎝⎛=⎪⎪⎪⎭⎫ ⎝⎛⎪⎪⎪⎭⎫⎝⎛=⎪⎪⎪⎭⎫ ⎝⎛⎪⎪⎪⎭⎫ ⎝⎛+1000101011000101011000101011000101011000100110001010110001030110001010110001020110001010110001020110001010110001010113k k kk k(6)⎪⎪⎪⎪⎪⎭⎫⎝⎛-=⎪⎪⎪⎭⎫ ⎝⎛⎪⎪⎪⎭⎫ ⎝⎛=⎪⎪⎪⎭⎫ ⎝⎛⎪⎪⎪⎭⎫ ⎝⎛=⎪⎪⎪⎭⎫⎝⎛⎪⎪⎪⎭⎫⎝⎛=⎪⎪⎪⎭⎫ ⎝⎛⎪⎪⎪⎭⎫ ⎝⎛=⎪⎪⎪⎭⎫ ⎝⎛---kk kk k k kk k k k λλλλλλλλλλλλλλλλλλλλλλλλλλλλλλλλλλλλλλλλ0002)1(00100100303300100100201200100100201200100100100100100112132323222322229、设()4321=α,()4/13/12/11=β,()()⎪⎪⎪⎪⎪⎭⎫⎝⎛====⎪⎪⎪⎪⎪⎭⎫ ⎝⎛=⎪⎪⎪⎪⎪⎭⎫⎝⎛=⎪⎪⎪⎪⎪⎭⎫ ⎝⎛==--13/4244/312/332/13/2124/13/12/114)()()4(43214/13/12/1113/4244/312/332/13/2124/13/12/114/13/12/11432111n n T T n T n T T A A ββααβαβαβα10、分块计算(略),11、12、13、14(略)15、求逆矩阵(1)⎪⎪⎭⎫⎝⎛---=⎪⎪⎭⎫ ⎝⎛-a c b d bc ad d c b a 11(2)⎪⎪⎭⎫⎝⎛-=⎪⎪⎭⎫⎝⎛--θθθθθθθθcos sin sin cos cos sin sin cos 1(3)02145243121≠=---,32,13,4131211-=-=-=A A A ,2,1,0,14,6,2333231232221-=-=====A A A A A A⎪⎪⎪⎭⎫ ⎝⎛-----==*-2143216130242111A A A(4)⎪⎪⎪⎪⎪⎭⎫⎝⎛=----112111n a a a A16.解矩阵方程(1)⎪⎪⎭⎫ ⎝⎛--=⎪⎪⎭⎫ ⎝⎛⎪⎪⎭⎫ ⎝⎛-=⎪⎪⎭⎫ ⎝⎛⎪⎪⎭⎫ ⎝⎛=-321195532/12/312955343211X (2)⎪⎪⎭⎫ ⎝⎛-=⎪⎪⎭⎫ ⎝⎛--⎪⎪⎭⎫ ⎝⎛⎪⎪⎭⎫ ⎝⎛-=⎪⎪⎭⎫⎝⎛⎪⎪⎭⎫ ⎝⎛⎪⎪⎭⎫ ⎝⎛-=--861222215768211091614351211187651091614251311X (3)⎪⎪⎪⎭⎫⎝⎛=⎪⎪⎪⎭⎫ ⎝⎛---⎪⎪⎪⎭⎫ ⎝⎛---=-98765432112523113501520950381X (4)B A E X B X A E B AX X 1)()(--=⇒=-⇒+=⎪⎪⎪⎭⎫ ⎝⎛--=⎪⎪⎪⎭⎫ ⎝⎛--⎪⎪⎪⎭⎫ ⎝⎛--=⎪⎪⎪⎭⎫ ⎝⎛--⎪⎪⎪⎭⎫ ⎝⎛--=-1102133502113/13/103/13/213/13/203502112011010111X17、1111)(66)(6-----=⇒=-⇒+=E A B A BA E A BA A BA A⎪⎪⎪⎭⎫ ⎝⎛=⎪⎪⎪⎭⎫ ⎝⎛=-=⎪⎪⎪⎭⎫⎝⎛=-⎪⎪⎪⎭⎫ ⎝⎛=-⎪⎪⎪⎭⎫ ⎝⎛=------1236/13/12/16)(66/13/12/1)(,632,743111111E A B E A E A A18、⎪⎪⎪⎭⎫ ⎝⎛-----=⎪⎪⎪⎭⎫⎝⎛-⎪⎪⎪⎭⎫ ⎝⎛-----=⎪⎪⎪⎭⎫⎝⎛-⎪⎪⎪⎭⎫⎝⎛--=--=⇒=-⇒+=---9122692683321011324461351341321011324121011322)2()2()2(2111A E A A E A B A B E A B A AB19、A 为3阶方阵,a A =0≠m ,有a m mA 3-=-;20、A 为3阶方阵,2,2/11=⇒=-A A ;1-*⋅=A A A ,41311112222323===-=-----*-A A A A A A A21、略22、112)(212)(02---=⇒=-⇒=--E A AE E A A E A A A A E E A A E E A A 21)(2)(0212-=-⇒-=-⇒=---因020))(2(=+-⇒=+-E A E A E A E A 23、)2(51)4(05)2)(4(03212E A E A E E A E A E A A --=+⇒=+-+⇒=-+- 24、因0=mA 有1221)((----++++-=-==m m m m m m m A EA A E E A E A E EE所以121)(--++++=-m A A A E A E25、 C A C AC C B m mm11)(--==26、199991--=⇒=⇒=P PB A PBP A PB AP27、28、略29、⎪⎪⎭⎫⎝⎛=⇒⎪⎪⎭⎫ ⎝⎛=⎪⎪⎭⎫ ⎝⎛=22112121,B A O O B A AB B O O B B A OO A A ; 30、(1)设⎪⎪⎭⎫⎝⎛=⎪⎪⎭⎫⎝⎛⎪⎪⎭⎫⎝⎛214321E OO E A A A A O C B O有⎪⎪⎩⎪⎪⎨⎧====⇒⎪⎪⎭⎫ ⎝⎛=⎪⎪⎭⎫⎝⎛--1214132121430C A A A B A E OO E CA CA BA BA 即逆矩阵为⎪⎪⎭⎫⎝⎛--O B C O11 (2)设⎪⎪⎭⎫⎝⎛=⎪⎪⎭⎫ ⎝⎛++=⎪⎪⎭⎫⎝⎛⎪⎪⎭⎫⎝⎛214231214321E OO E CA AA CA AA BA BA A A A A C A O B 得逆阵为⎪⎪⎭⎫⎝⎛-----1111C AB C O B31、32、略33、求迭(1)200001140432122801140432121101542143211312=⇒⎪⎪⎪⎭⎫ ⎝⎛-→⎪⎪⎪⎭⎫ ⎝⎛---−−→−⎪⎪⎪⎭⎫ ⎝⎛---r r r r r (2)4211103000044000100112111011110022201001110011111100222021110=⇒⎪⎪⎪⎪⎪⎭⎫⎝⎛---→⎪⎪⎪⎪⎪⎭⎫ ⎝⎛----→⎪⎪⎪⎪⎪⎭⎫ ⎝⎛----r34、求逆阵(用软件算的与书后答案有些不同,请大家验证) (1)A =3 2 1 3 1 5 3 2 3det(A)= -6 >> inv(A) ans =1.1667 0.6667 -1.5000 -1.0000 -1.00002.0000 -0.5000 0 0.5000(2)B =2 3 11 2 0-1 2 -2det(B)=2>> inv(B)ans =-2.0000 4.0000 -1.00001.0000 -1.5000 0.50002.0000 -3.5000 0.5000(3)C =3 -2 0 -10 2 2 11 -2 -3 -20 1 2 1det(C)=1>> inv(C)ans =1.0000 1.0000 -2.0000 -4.00000 1.0000 0 -1.0000-1.0000 -1.0000 3.0000 6.00002.0000 1.0000 -6.0000 -10.0000(4)D =2 1 0 03 2 0 05 7 1 8-1 -3 -1 -1det(D)=7>> inv(D)ans =2.0000 -1.0000 0.0000 0-3.0000 2.0000 0 -0.00006.4286 -4.4286 -0.1429 -1.14290.5714 -0.5714 0.1429 0.1429。
线代与概率阶段测试题(二)一、填空题(请将正确答案直接填在题中的横线上):1. 向量()()12243221αβ==-,,则 2α -3β = 。
2. 一个含有零向量的向量组必线性 。
3.矩阵111221223132a a A a a a a ⎛⎫⎪= ⎪ ⎪⎝⎭的行向量组线性 。
4. 设矩阵12300103,1221005A ⎛⎫ ⎪-=⎪- ⎪⎝⎭则A 中四个列向量构成的向量组是线性 。
5.设 125,,,ααα 是5个三维向量,则R (125,,,ααα) 。
6. 设A 是一个n 阶方阵,则A 非奇异的充分必要条件是R (A )=__ __。
7. 设12303206A t ⎡⎤⎢⎥=-⎢⎥⎢⎥⎣⎦,当t = 时,R (A ) = 2。
8. 已知A 是m × n 矩阵,齐次线性方程组AX = 0的基础解系为12,,,s ηηη。
如R (A )= k ,则s = ;当k = __时方程只有零解。
9.若方程组⎪⎩⎪⎨⎧-=++-=-=++-13221232131321x x ax x x x ax x 有唯一解,则 。
10.设AX = O 是有6个方程,5个未知数的齐次线性方程组,其系数矩阵A 的秩为2,则方程组AX = O 有 组解。
二、单项选择题 ( 每小题的四个选项中只有一个是正确答案,请将正确答案的番号填在括号内):1. 设有4维向量组 α1 , …, α6,则( )。
① R (α1 , …, α6) = 4 ② R (α1 , …, α6) = 2③ α1 , α2 , α3 , α4必然线性无关④ α1 , …, α6中至少有2个向量能由其余向量线性表示2. 已知⎥⎥⎥⎥⎦⎤⎢⎢⎢⎢⎣⎡-------=4322351521215133A 则R (A )为( )。
① 1 ② 2 ③ 3 ④ 4 3. 设s ααα,,,21 为n 维向量组, 且秩12(,,,),s R r ααα= 则( )。
一 、判断题1、随机变量X 与Y 相互独立,则()E XY EX EY = . ( )2、若A ,B 相互独立,那么A 与B 也相互独立. ( )3、若11i i p ∞==∑,则(1,2,)i p i = 是某随机变量的概率分布列. ( )4、A ,B 均为n 阶方阵,则AB BA =. ( )5、向量组A :123,,a a a 的秩为2,则向量组A 线性无关. ( )二 、选择题1、设事件,A B 相互独立,已知()0.5P A = ,()0.8P A B = ,则()=P A B -( )A .0B .0.2C . 0.3D .12、随机变量X 与Y 相互独立同分布,(1)(2)0.5P X P X ====,则(max(,)1)P X Y ==( )A 、0.5B 、0.25C 、0.75D 、1 3、设事件A 与B 互不相容,则( )成立.A .()0P AB = B .()0P A B =C .()1P A B =D .()1P A B = 4、已知随机变量X 服从参数为3的泊松分布,则随机变量32Y X =-的数学期望为( )A .1B .11C .25D .75、设随机变量X 的密度函数为401()0cx x f x ⎧<<=⎨⎩其它,则c =( )A .1B .4C .5D .0.56、设A ,B 均为(2)n n ≥阶方阵,满足等式0AB =,则必有( )A. 0A =或0B =B. 0A =或0B =C.0A B +=D.0A B +=7、设行列式1112132122233132333a a a D a a a a a a ==,1111121312121222331313233737373a a a a D a a a a a a a a +=++,则1D =( ) A .-21 B .9 C .-9 D .278、设Ax b =是一非其次线性方程组,1ξ,2ξ是其任意2个解,则下列结论错误的是( ) A .12ξξ+是0Ax =的一个解 B .121233ξξ+是Ax b =的一个解 C .12ξξ-是0Ax =的一个解 D .1232ξξ-是Ax b =的一个解9、已知43⨯矩阵A 的列向量组线性无关,则秩()T A 等于( ) A .5 B .2 C .3 D .4 10、设n 阶方阵A 可逆,则必有( )A .方程组0AX =只有零解B .秩()A n <C . 0A =D .秩()1A n =-三 、填空题1、若5阶方阵A 的秩为3,则A = .2、1200010004-⎛⎫ ⎪= ⎪ ⎪⎝⎭.3、对于由同一个机器生产的4个零件,并且用i A 表示“第i 个零件合格”,i=1,2,3,4 试用i A 表示下列事件:“至少有一个零件合格”= ,“4个零件都不合格”= .4、设随机变量X 服从二项分布(5,0.5)B ,则 {3}P X == .四 、计算题(每题8分,共40分)1、 有一个口袋中盛有2个黄球,3个红球.不放回的取球,每次取一个,已知第二次取得的球是红球,问第一次取出的球是红球的概率是多少?2、设随机变量(X,Y)的联合密度函数为:3,01,01 (,)0,kx y x yf x y⎧<<<<=⎨⎩其他(1)求参数k.(2)求边际密度函数()Yf y.3、计算行列式1200210011311114A=.4、设⎪⎪⎪⎭⎫ ⎝⎛--=032211123A ,且X A AX 2+=,求X .5、求解非齐次线性方程组12341234123421422221x x x x x x x x x x x x +-+=⎧⎪+-+=⎨⎪+--=⎩.。
一.问答题(共4题,每题5分,共计20分)1.什么叫随机试验?什么叫基本事件?什么叫样本空间?什么叫事件?2.试写出随机变量X的定义.3.试写出贝叶斯公式.4.试写出连续型随机变量的数学期望和方差的定义.二.填空题(共6题,每题5分,共计30分)1.设有N件产品,其中有M件次品,若从N件产品中任意抽取n件,则抽到的n件中检有m(m≤M)件次品的概率为2.设P(B)=0.8,P(A|B)=0.75,则由概率的乘法公式知,P(AB)= 0.6.3.(泊松分布定义)若随变量X的分布列为,k=0,1,2…,其中λ为正常数,则称X服从参数为λ的泊松分布,记作X~P( λ )。
4.(正态分布定义)若连续型随机变量X的密度函数为,(-∞<x<+∞),其中μ,σ为常数,且σ>0,则称X服从参数为μ,σ的正态分布(或高斯分布),记作。
5.设(X1,X2,…X n)为总体X的一个容量为n的样本,则称统计量(1)为样本均值;(2)为样本方差;(3)为修正样本方差.6.设P(B)=0.8,P(AB)=0.6,则由条件概率知,P(A|B)=().三.计算题(共6题,每题6分,共计36分)1.一批产品有10件,其中4件为次品,现从中任取3件,求取出的3件产品中有次品的概率。
解:样本点总数. 设A={取出的3件产品中有次品}..2、设A,B为随机事件,P(A)=0.2,P(B)=0.45,P(AB)=0.15,求:P(A|B);P(B|A);。
解:3、一袋中有m个白球,n个黑球,无放回地抽取两次,每次取一球,求:(1)在第一次取到白球的条件下,第二次取到白球的条件概率;(2)在第一次取到黑球的条件下,第二次取到白球的条件概率。
解:用A表示“第一次取到白球”,B表示“第二次取到白球”。
(1)袋中原有m+n个球,其中m个白球。
第一次取到白球后,袋中还有m+n-1球,其中m-1个为白球。
故;(2)袋中原有m+n个球,其中m个白球,第一次取到黑球后,袋中还有m+n-1个球,其中m个为白球。
19春福师《线性代数与概率统计》在线作业二2试卷满分:100 试卷得分:100一、单选题(共50题,100分)1、设A、B为随机事件,已知P(A)=0.4,P(B)=0.8, ,则A3/8B0.1C0.25D0.3[仔细阅读上述试题,并作出正确选择]正确答案是:B2、已知全集为{1,3,5,7},集合A={1,3,},则A的对立事件为A{1,3}B{1,3,5}C{5,7}D{7}[仔细阅读上述试题,并作出正确选择]正确答案是:C3、将一枚匀称的硬币连续掷两次,则正面只出现一次的概率为()A1/3B0.5C0.6D0.1[仔细阅读上述试题,并作出正确选择]正确答案是:B4、掷四颗骰子,X表示的是出现的点数,则X是()A确定性变量B非随机变量C离散型随机变量D连续型随机变量[仔细阅读上述试题,并作出正确选择]正确答案是:C5、现有一批种子,其中良种占1/6,今任取6000粒种子,则以0.99的概率推断,在这6000粒种子中良种所占的比例与1/6的差是()A0.0124B0.0458C0.0769D0.0971[仔细阅读上述试题,并作出正确选择]正确答案是:A6、设试验E为在一批灯泡中,任取一个,测试它的寿命。
则E的基本事件空间是( )A{t|t>0}B{t|t<0}C{t|t=100}D{t|t≧0}[仔细阅读上述试题,并作出正确选择]正确答案是:D7、投掷n枚骰子,则出现的点数之和的数学期望是A5n/2B3n/2C2nD7n/2[仔细阅读上述试题,并作出正确选择]正确答案是:D。
04184线性代数模拟测试题(二)一、单项选择题:(每小题4分,本题共32分)1.A*是A的伴随矩阵,且,刚A的逆矩阵才=( )。
A.AA*B.A*C.D.A′A*2.设2阶行列式=-1,则=Α.-2B.-1C.1D.23.如果两个同维的向量组等价,则这两个向量组().A.相等;B.所含向量的个数相等;C.不相等;D.秩相等.4.设线性方程组有非零解,则k的值为()A.-2B.-1C.1D.25.设向量组α=(1,0,0)T,=(0,1,0)T,下列向量中可以表为α,线性组合的是()A.(2,1,0)TB.(2,1,1)TC.(2,0,1)TD.(0,1,1)T6.设A=,且A的特征值为1,2,3,则x=()A.-2B.2C.3D.47.设矩阵Α=,则二次型x TΑx的规范形为()A.B.C.D.8.对于两个相似矩阵,下面的结论不正确的是().A.两矩阵的特征值相同;B.两矩阵的秩相等;C.两矩阵的特征向量相同;D.两矩阵都是方阵。
二、填空题:(每小题4分,本题共20分)1.若行列式:=0 ,则x=_______。
2.已知矩阵A=(1,2,-1),B=(2,-1,1),且C=ΑT B,则C=___________.3.设=(1 1 0),=(0 3 0),=(1 2 0),则=_______。
4.设线性方程组有解,则数a,b,c应满足__________.5.二次型f(x1,x2,x3)=x1x2+x2x3的矩阵为__________.三、计算题:(每小题8分,本题共40分)1.设A=,其中αi≠0(i=1,2,3,4),求Α-1.2.设矩阵A=,求A2-3A+E.3.计算行列式:4.设线性方程组确定α,b为何值时方程组有无穷多解并求出其通解(要求用其一个特解和导出组的基础解系表示).5.求向量组α1=(1,2,1,4)T,α2=(0,3,-1,-3)T,α3=(1,-2,8,8)T,α4=(2,3,8,9)T的一个极大无关组,并把其余向量用该极大无关组线性表出.四、证明题(本题共8分)1.设A,B为r阶矩阵,且证明:成立的充要条件是。
线性代数模拟试卷(一)一、 填空题(每小题3分,共6小题,总分18分)1、四阶行列式44434241343332312423222114131211a a a a a a a a a a a a a a a a 展开式中,含有因子3214a a 且带正号的项为___________2、设A 为n 阶可逆方阵,将A 的第i 行和第j 行对换后得到的矩阵记为B ,则AB -1=_________3、已知向量组)2- 5, 4,- ,0( , )0 t,0, ,2( , )1 1,- 2, ,1(321'='='=ααα线性相关,则t =_________4、设三阶方阵) , ,(B ), , ,(2121γγβγγα==A ,其中 , ,,21γγβα都是三维列向量且2B 1, ==A ,则=- 2B A _________5、A 为n 阶正交矩阵, , ,,21n ααα 为A 的列向量组,当i ≠j 时,)21 ,31(j i αα=_________ 6、三阶方阵A 的特征值为1,-2,-3,则 A =_______; E+A -1的特征值为______ 二、 单项选择题(每小题2分,共6小题,总分12分) 1、 设齐次线性方程组AX=0有非零解,其中A=()nn ija ⨯,A ij 为a ij (i,j=1,2,…n) 的代数余子式,则( ) (A)0111=∑=ni i i A a(B)0111≠∑=ni i i A a(C)n A ani i i =∑=111(D)n A ani i i ≠∑=1112、若A -1+ E, E+A, A 均为可逆矩阵,E 为单位矩阵,则(A -1+ E)-1=( ) (A) A+E (B) (A+E)-1 (C) A -1+ E (D) A(A+E)-13、设A, B 为n 阶方阵 ,A*,B*分别为A, B 对应的伴随矩阵,分块矩阵⎪⎪⎭⎫ ⎝⎛=B 00 A C ,则C 的伴随矩阵C* =( )(A) ⎪⎪⎭⎫⎝⎛*A B 0 0 *B A (B) ⎪⎪⎭⎫⎝⎛*B A 0 0 *A B(C) ⎪⎪⎭⎫⎝⎛*B B 0 0 *A A (D) ⎪⎪⎭⎫⎝⎛*A A 0 0 *B B 4、若向量组 , ,,21m ααα 的秩为r ,则( )(A) 必有 r<m (B)向量组中任意小于 r 个向量的部分组线性无关 (C) 向量组中任意 r 个向量线性无关(D) 向量组中任意 r+1个向量必线性相关5、已知 ,,321ααα是四元非齐次线性方程组AX=B 的三个解,且r(A)=3, 已知)3 2, 1, ,0( , )4 3, 2, ,1(321'=+'=ααα,C 为任意常数,则AX=B 通解X=( )(A) ⎪⎪⎪⎪⎪⎭⎫⎝⎛+⎪⎪⎪⎪⎪⎭⎫ ⎝⎛11114321C (B)⎪⎪⎪⎪⎪⎭⎫⎝⎛+⎪⎪⎪⎪⎪⎭⎫ ⎝⎛32104321C(C) ⎪⎪⎪⎪⎪⎭⎫⎝⎛+⎪⎪⎪⎪⎪⎭⎫ ⎝⎛54324321C (D) ⎪⎪⎪⎪⎪⎭⎫⎝⎛+⎪⎪⎪⎪⎪⎭⎫ ⎝⎛65434321C6、设A 为三阶方阵,有特征值λ1=1,λ2= -1, λ3=2,其对应的特征向量分别为 ,,321ααα,记P=(132 ,ααα),则P -1AP=( )(A) ⎪⎪⎪⎭⎫⎝⎛1 2 1- (B)⎪⎪⎪⎭⎫⎝⎛1- 1 2(C) ⎪⎪⎪⎭⎫⎝⎛2 1- 1 (D) ⎪⎪⎪⎭⎫⎝⎛2 1 1-三、计算下列行列式 (12分)1、 D=1- 3 3- 131 1 41- 3 0 5-21- 1 3 2、D n = n1 1 1 1.....................1 1 3 1 111 12 111 1 1 1四、已知A 、B 同为3阶方阵,且满足AB=4A+2B (12分) (1)证明:矩阵A-2E 可逆(2)若B=⎪⎪⎪⎭⎫⎝⎛2 0 00 2 10 2- 1 ,求A五、求向量组 )1 1, 1,- ,1( , )3 2, 1, ,1(21'='=αα, , )6 5, 2,- ,4( , )1 3, 3, ,1( 43'='=αα)7- 4,- 1,- ,3(5'-=α的一个极大无关组,并将其余向量用该极大无关组线性表示(10分)六、已知线性方程组⎪⎪⎩⎪⎪⎨⎧=---=+++-=+-=+-+bx x x x x ax x x x x x x x x x 432143214314321 6 - 17231 4 032 ,讨论参数a 、b 为何值方程组有解,在有解时,求出通解 (12分)七、用正交变换化二次型323121232221321222333),,(x x x x x x x x x x x x f ---++=为标准形,并写出相应的正交变换 (16分)八、已知 ,,,4321αααα是AX = 0的一个基础解系,若322211,ααβααβt t +=+=,144433,ααβααβt t +=+=,讨论t 为何值, ,,,4321ββββ是AX = 0的一个基础解系 (8分)线性代数模拟试卷(二)三、 填空题(每小题3分,共5小题,总分15分)1、j i a a a a a 53544231是五阶行列式展开式中带正号的一项,则i=_____, j=_____2、设n 阶方阵A 满足A 2 =A ,则A+E 可逆且(A+E )-1=_______________(E 为n 阶单位阵)3、已知向量组)0 6, 1,- ,1( , )2k - k,- ,3 ,1( , )2- 2, 1, ,1(321'='='=ααα 若该向量组的秩为2,则k =_________4、已知四阶方阵A 相似于B ,A 的特征值为2,3,4,5,E 是单位阵,则=- E B _________5、 向量α=(4,0,5)′在基)1 ,1- ,1(,)0 ,1 ,1( ,)1 ,2 ,1(321'='='=ηηη下的坐标为_________四、 单项选择题(每小题2分,共5小题,总分10分)1、 设 A 是三阶方阵A 的行列式,A 的三个列向量以γβα ,,表示,则 A =( ) (A)αβγ (B) γβα---(C)αγγββα+++ (D) γβαβαα+++2、设A, B ,C 为n 阶方阵, 若 AB = BA, AC = CA, 则ABC=( ) (A) BCA (B) ACB (C) CBA (D) CAB3、 A, B 均为n 阶方阵, A*为A 的伴随矩阵, 3B 2, -==A ,则21-*B A = ( )(A) 32 12--n (B) 32 1--n (C) 23 12--n (D) 23 1--n4、已知向量组 , ,,4321αααα线性无关,则向量组( ) (A)14433221 , , ,αααααααα++++线性无关(B)14433221 , , ,αααααααα----线性无关(C)14433221 , , ,αααααααα-+++线性无关 (D)14433221 , , ,αααααααα--++线性无关5、若A ~ B ,则 有 ( )(A) A 、B 有相同的特征矩阵 (B) B =A(C) 对于相同的特征值λ,矩阵A 与B 有相同的特征向量 (D) A 、B 均与同一个对角矩阵相似三、计算下列行列式 (13分)2、 D=2- 3 0 112 1 - 121 0 331- 2 1 4、D n = 11 1 111 x 1 1 (1)1 1 1 x 1 1 1 1 x x ++++a)设B= ⎪⎪⎪⎪⎪⎭⎫ ⎝⎛1 0 0 01- 1 0 00 1- 1 00 0 1- 1 ,C=⎪⎪⎪⎪⎪⎭⎫ ⎝⎛2 0 0 01 2 0 03 12 043 12 ,且矩阵A 满足 E C B C E A =''--)(1, 试将关系式化简并求A (12分)b)求向量组, )4 1,- 2, ,1(1'=α )2 3, 1, ,0( 2'=α, , )14 0, 7, 3,(3'=α , )10 1, 5, 2,( 4'=α)0 2,- 2, ,1(5'=α的一个极大无关组,并将其余向量用该极大无关组线性表示 (13分)六、k 为何值时,线性方程组⎪⎪⎩⎪⎪⎨⎧=+-=++---=+++=+++kx x x x x k x x x x x x x x x x x 9 10 5 - 3)5(2 31 6 3 13 2 4321432143214321 有无穷多个解并求出通解 (14分)七、用正交变换化二次型31232221321422),,(x x x x x x x x f +-+=为标准形,并写出相应的正交变换 (16分)八、若矩阵A=⎪⎪⎪⎭⎫ ⎝⎛0y 10 1- 01 x0 有三个线性无关的特征向量,证明:x – y = 0线性代数模拟试卷(三)一、填空题(每小题3分,共18分)1、A 是三阶方阵,且|A|=6,则 |(3A)-1|= 。
福师1203考试批次《线性代数与概率统计》复习题及参考答案福师1203考试批次《线性代数与概率统计》复习题及参考答案说明:本课程复习题所提供的答案仅供学员在复习过程中参考之用,有问题请到课程论坛提问。
福师1203考试批次《线性代数与概率统计》复习题及参考答案一一、选择题:(每小题3分,共30分)1、设B A ,为n 阶方阵,O A ≠,且O AB =,则 [ B ]。
(A )O B = (B )0=B 或0=A (C )O BA = (D )()222B A B A +=- 2、设矩阵A,B 满足AB BA =,则A 与B 必为[ D ]。
(A )同阶矩阵(B )A 可逆(C )B 可逆(D )''''A B B A =3、设A ,B ,C 均为n 阶矩阵,下列等式成立的是[ C ]。
(A )(A+B)C=CA+CB (B )(AB)C=(AC)B(C )C(A+B)=CA+CB (D )若AC=BC ,则A = B4、设A 为n 阶方阵,且()R A r n =<,则A 中[ A ]。
(A )必有r 个行向量线性无关(B )任意r 个行向量线性无关(C )任意r 个行向量构成一个极大无关组(D )任意一个行向量都能被其他r 个行向量线性表示5、与可逆矩阵A 必有相同特征值的矩阵是 [ C ]。
(A )1-A (B )2A (C )T A (D )*A6、两个互不相容事件A 与B 之和的概率为 [ A ](A ) P(A)+P(B) (B ) P(A)+P(B)-P(AB)(C ) P(A)-P(B) (D ) P(A)+P(B)+P(AB)7、设随机变量的数学期望E (ξ)=μ,均方差为σ,则由切比雪夫不等式,有{P (|ξ-μ|≥3σ)}≤[ A ](A ) 1/9 (B ) 1/8 (C ) 8/9 (D ) 7/88、设随机事件A ,B 及其和事件A ∪B 的概率分别是0.4,0.3和0.6,则B 的对立事件与A 的积的概率是 [ D ](A )0.2 (B )0.5 (C )0.6 (D )0.39、设随机变量X 和Y 独立,如果D (X )=4,D (Y )=5,则离散型随机变量Z=2X+3Y 的方差是[ A ](A) 61 (B)43 (C)33 (D)5110、把一枚硬币连接三次,以X 表示在三次中出现正面的次数,Y 表示在三次中出现正面的次数与出现反面的次数的差的绝对值,则{X =3,Y =3}的概率为[ B ](A)2/5 (B)1/8 (C)4/9 (D)3/7二、计算下列行列式:(每题5分,共10分)12(1)38 123(2)21210181参考答案:(1) 2 (2)61三、设12112312211111,256,1131002117322100A BC ?????? ? ? ?=== ? ? ? ? ? ???????,求BC A +2,,,T T T A B C 。
2010线性代数试题及答案第一部分选择题(共28分)一、单项选择题(本大题共14小题,每小题2分,共28分)在每小题列出的四个选项中只有一个是符合题目要求的,请将其代码填在题后的括号内。
错选或未选均无分。
1.设行列式a aa a11122122=m,a aa a13112321=n,则行列式a a aa a a111213212223++等于()A. m+nB. -(m+n)C. n-mD. m-n2.设矩阵A=100020003⎛⎝⎫⎭⎪⎪⎪,则A-1等于()A.130012001⎛⎝⎫⎭⎪⎪⎪⎪⎪⎪B.100120013⎛⎝⎫⎭⎪⎪⎪⎪⎪⎪C.13000100012⎛⎝⎫⎭⎪⎪⎪⎪⎪D.120013001⎛⎝⎫⎭⎪⎪⎪⎪⎪⎪3.设矩阵A=312101214---⎛⎝⎫⎭⎪⎪⎪,A*是A的伴随矩阵,则A *中位于(1,2)的元素是()A. –6B. 6C. 2D. –24.设A是方阵,如有矩阵关系式AB=AC,则必有()A. A =0B. B≠C时A=0C. A≠0时B=CD. |A|≠0时B=C5.已知3×4矩阵A的行向量组线性无关,则秩(A T)等于()A. 1B. 2C. 3D. 46.设两个向量组α1,α2,…,αs和β1,β2,…,βs均线性相关,则()A.有不全为0的数λ1,λ2,…,λs使λ1α1+λ2α2+…+λsαs=0和λ1β1+λ2β2+…λsβs=0B.有不全为0的数λ1,λ2,…,λs使λ1(α1+β1)+λ2(α2+β2)+…+λs(αs+βs)=0C.有不全为0的数λ1,λ2,…,λs使λ1(α1-β1)+λ2(α2-β2)+…+λs(αs-βs)=0D.有不全为0的数λ1,λ2,…,λs和不全为0的数μ1,μ2,…,μs使λ1α1+λ2α2+…+λsαs=0和μ1β1+μ2β2+…+μsβs=07.设矩阵A的秩为r,则A中()A.所有r-1阶子式都不为0B.所有r-1阶子式全为0C.至少有一个r阶子式不等于0D.所有r阶子式都不为08.设Ax=b是一非齐次线性方程组,η1,η2是其任意2个解,则下列结论错误的是()A.η1+η2是Ax=0的一个解B.12η1+12η2是Ax=b的一个解C.η1-η2是Ax=0的一个解D.2η1-η2是Ax=b的一个解9.设n阶方阵A不可逆,则必有()A.秩(A)<nB.秩(A)=n-1C.A=0D.方程组Ax=0只有零解10.设A是一个n(≥3)阶方阵,下列陈述中正确的是()A.如存在数λ和向量α使Aα=λα,则α是A的属于特征值λ的特征向量B.如存在数λ和非零向量α,使(λE-A)α=0,则λ是A的特征值C.A的2个不同的特征值可以有同一个特征向量D.如λ1,λ2,λ3是A的3个互不相同的特征值,α1,α2,α3依次是A的属于λ1,λ2,λ3的特征向量,则α1,α2,α3有可能线性相关11.设λ0是矩阵A的特征方程的3重根,A的属于λ0的线性无关的特征向量的个数为k,则必有()A. k≤3B. k<3C. k=3D. k>312.设A是正交矩阵,则下列结论错误的是()A.|A|2必为1B.|A|必为1C.A-1=A TD.A的行(列)向量组是正交单位向量组13.设A是实对称矩阵,C是实可逆矩阵,B=C T AC.则()A.A与B相似B. A与B不等价C. A与B有相同的特征值D. A与B合同14.下列矩阵中是正定矩阵的为()A.2334⎛⎝⎫⎭⎪ B.3426⎛⎝⎫⎭⎪C.100023035--⎛⎝⎫⎭⎪⎪⎪D.111120102⎛⎝⎫⎭⎪⎪⎪第二部分非选择题(共72分)二、填空题(本大题共10小题,每小题2分,共20分)不写解答过程,将正确的答案写在每小题的空格内。
一.问答题1.叙述n 阶行列式的余子式和代数余子式的定义,并写出二者之间的关系。
答:定义:在n 阶行列式D 中划去a ij 所在的第i 行和第j 列的元素后,剩下的元素按原来相对位置所组成的(n-1)阶行列式,称为a ij 的余子式,记为M ij ,即nn j n j n n ni j i j i i n i j i j i i n j j ij a a a a a a a a a a a a a a a a M ,1,1,1,,11,11,11,1,11,11,11,111,11,11,1+-+++-++-+----+-=()ij j i M ⨯-+1称为a ij 的代数余子式,记为A ij ,即()ij j i ij M A ⨯-=+12.叙述矩阵的秩的定义。
答:定义:设A 为n m ⨯矩阵。
如果A 中不为零的子式最高阶为r ,即存在r 阶子式不为零,而任何r+1阶子式皆为零,则称r 为矩阵A 的秩,记作(秩)=r 或R(A)=r 。
3.齐次线性方程组的基础解系是什么?答:定义:设T 是⎪⎪⎩⎪⎪⎨⎧=+++=+++=+++0...............................................0...0...221122221211212111n nn n n nn n n x a x a x a x a x a x a x a x a x a 的所有解的集合,若T 中存在一组非零解s v v v ,...,,21,满足(1)s v v v ,...,,21线性无关;(2)任意T v ∈,都可用s v v v ,...,,21,线性表出则称s v v v ,...,,21,是此方程组的一个基础解系4.试写出条件概率的定义。
答:条件概率的定义:在事件B 发生的条件下事件A 发生的概率定义为())0)(()()(>=B P B P AB P B A p5.试写出全概率公式和贝叶斯公式这两个定理。
《线性代数、概率论》期末考试试卷答案一、选择题(每小题后均有代号分别为A, B, C, D的被选项, 其中只有一项是正确的, 将正确一项的代号填在横线上,每小题2分,共40分):1.行列式G的某一行中所有元素都乘以同一个数k得行列式H,则------------C-------------;(A) G=H ;(B) G= 0 ;(C) H=kG ;(D) G=kH 。
2.在行列式G中,A ij是元素a ij的代数余子式,则a1j A1k+ a2j A2k+…+a nj A nk--------D------;(A) ≠G (j=k=1,2,…,n时) ;(B) =G(j, k=1,2,…,n; j≠k时) ;(C) =0 (j=k=1,2,…,n时) ;(D) =0(j, k=1,2,…,n ;j≠k时) 。
3.若G,H都是n⨯ n可逆矩阵,则----------B------------;(A) (G+H)-1=H-1+G-1;(B) (GH)-1=H-1G-1;(C) (G+H)-1=G-1+H-1;(D) (GH)-1=G-1H-1。
4.若A是n⨯ n可逆矩阵,A*是A的伴随矩阵, 则--------A----------;(A) |A*|=|A|n-1;(B) |A*|=|A|n ;(C) |A*|=|A|n+1;(D) |A*|=|A|。
5.设向量组α1, α2,…,αr (r>2)线性相关, 向量β与α1维数相同,则------------C----------- (A) α1, α2,…,αr-1 线性相关;(B) α1, α2,…,αr-1 线性无关;(C) α1, α2,…,αr ,β线性相关;(D) α1, α2,…,αr ,β线性无关。
6.设η1, η2, η3是5元齐次线性方程组AX=0的一组基础解系, 则在下列中错误的是D-------------------(A) η1, η2, η3线性无关;(B) X=η1+η2+ η3是AX=0的解向量;(C) A的秩R(A)=2;(D) η1, η2, η3是正交向量组。
福师《线性代数与概率统计》在线作业二Fushi z/linear algebra and probability statistics^ is twoTest paper 13 spring total score: 100 test time: 一Single topic selection(50 tests, 100 points・)1. Assume that a manufacturer produces a automatic production line of the probability of each instrument to 0.8 can leave factory, with further debugging 0.2 probability, after debugging, 0.75 inprobability can be factory, 0.25 in probability as the nonconforming to the factory. The factory has produced ten new instruments (assuming the production process of each instrument is independent of each other), and the expected value of the machine in ten instruments is ()・A.9. 56 B.7 C.8 D.Full marks: 2Which of the following symbols is an inevitable eventA.theta.B.the deltaC.①D.QFull marks: 23. Set up 10 things only 4 pieces of the unqualified products, to take two, known from the two there is a nonconforming product, another thing is the probability of nonconforming product isA.1/5B. a quarterC. a thirdD.1/2Full marks: 2A ball with k in the bag (k = 1, 2,..・ n), and the math of the number is expected to be ()2n plus 1 over 3B. 2 n / 3C.n / 3(n + 1) / 3E.Full marks: 2 5. A random variable X in the interval (a, b) the distribution density of f (X)二c, on the other band to f (X)二0, for the variable X obey uniform distribution c has a value of ()A. 1 / (b - A)B. B -1 minus b minus a.D.0Full marks: 2In the interval (2, 8) the mathematical expectation of the random variable that follows uniform distribution is ()5 A.6 B.7 C.8 D.Full marks: 27. Set up a system of 100 independent work parts, each part of damage probability is 0. 1, must have more than 85 parts work to make the system work, the probability of the entire system is ()A.0. 95211B.0. 87765C.0. 68447D.0. 36651Full marks: 2The shooter has a shooting rate of 0. 02 per shot, shot 400 times independently, set the random variable X to be the number of hits, and the expectation of X is ()・8 A.10 B.20 C.6 D.Full marks: 29. Machine packaging monosodium glutamate, MSG net weight for each bag as random variables, expectations for 100 grams, the standard deviation of 10 g, a and 200 bags of monosodium glutamate, theprobability of a case of monosodium glutamate net weight greater than 20500 g is ()A.0. 0457B.0. 009C.0. 0002D.0. 1Full marks: 2Event A 二{A, b, c}, event b 二{A, b}, event A + bA.{A}B.⑹A,b, C}D. {a, b}Full marks: 2For any two events A and B, we have P (A + B)P (A) + P (B)P (A) + P (B) - P (AB)P (A) - P (B)P (A) + P (B) + P (AB)Full marks: 2If the random variable X obeys the standard normal distribution, then Y 二-x is obeyed ()・The standard normal distributionB.Normal distributionBinomial distributionThe D.Full marks: 2In the method of parametric estimation, the method of moments is estimated to be the () methodA.point estimationnonparametricC. A and B are extremely likely to be estimatedD: none of the aboveFull marks: 2Event A is incompatible with B, and P (A + B)二A.02 B.C.0. 51 D.Full marks: 215. The environmental protection regulations, in the discharge of industrial wastewater, some harmful substance content must not exceed 0. 5 %o now take 5 samples, determination of the content of harmful substances, the following data: 0. 53 %o, 0.542 per 1, 000, 0. 510 per 1, 000, 0. 495 per 1, 000, 0. 515 per 1, 000 were found to have exceeded the rulesA. A canB.noNot necessarilyD. DFull marks: 216.Connect a coin three times to appear in three times the number of positive X said, Y said in three times the number of positive and a negative number, of the absolute value of the difference is {X = 1, Y 二1} the probability for the ()A.1/8B. a thirdC.3/8D.5/8Full marks: 2Which collection in the following collection is A subset of A 二(1, 3, 5}A.{1, 3}{1} (1, 3, 8}C.{1, 8}D.{12}Full marks: 2Let,s say that P (A)二A, P (B)二B, P (A + B)二C, and the probability of B's complement with A isA. A - bB. c - BC. a (1 - b)D. a (1 - c)Full marks: 2Event A 二{A, b, c), event b 二{A,b}, event ABA.{A}B.⑹C.{C}D.{a, b}Full marks: 2Let,s say that the random variable X obeys the normal distribution, its math is expected to be 10, and the probability that X is in the interval (10, 20) is equal to 0. 3. The probability of X in the interval (0, 10) is ()・A.0. 3B.0.4C.0. 5D.0.6Full marks: 2Let's say that A, B is two events, and P (AB)二0A.and B mutexB.AB is impossibleC.AB is not necessarily impossibleD.P (A) = 0 or P (B)二0Full marks: 2A batch of 10 components contain three pieces of waste, which are extracted from the two components, and the mathematical expectation of X in the two components is ()・A.3/5B.4/5C.2/5D.1/5E.Full marks: 2The probability that the three will decipher a password, which they can interpret separately, is one in five, and the probability that they will be translatedA.2/5B.3/4C.1/5D.3/5Full marks: 224. The three machines are independent of each other, set up the first, second, third machine not the probability of failureof 0. 9, 0. 8, 0. 7, is this three machines at least is theprobability that a failure occursA.0. 496B.0. 963C.0. 258D.0. 357Full marks: 2The parameter estimation is divided into () and intervalestimatesMethod of moment estimationLikelihood estimationC.point estimationOverall estimateFull marks: 2Event A and B are independent of each otherA. A + B 二QB.P (AB)二P ⑻ P (A)C.AB 二①D.P (A + B)二P (A) + P (B)Full marks: 2If you take two points in a line segment of a and divide them into three segments, the probability that they can form a triangle isA. A quarterB.1/2C. a thirdD.two-thirdsFull marks: 2Let's say that A, B is for any two events, and A is contained in B (not B), P (B), >, 0, and the following choices are bound to be trueA.P (A) < P (A given B)P (A) is less than or equal to P of A given BC.P of A, P of A given B・P (A) is greater than P (A given B)Full marks: 2The probability density curve of normal distribution is ()・A.the parabolaB. a straight lineBell curveD.hyperbolicFull marks: 2The national state-owned industrial enterprises constitute a()populationA.co., LTD.B.the infiniteC.the generalD.consistentFull marks: 2A bag contains 20 balls・ Red, yellow, black and white are 3,5, 6 and 6 respectively. The probability of getting a red ball is the probability of getting a red ballA.3/20B.5/20C.6/20D.9/20Full marks: 2The probability of an impossible event should be1 A.B.0. 52 C.D.0Full marks: 233. Ammeter is apart, with the scale of 0. 1 readings to selectthe most close to the scale, the margin of error of 0. 02 A, is beyond the permissible error probability ()A.0.6B.0. 2C.0.8D.0.4Full marks: 2A random variable, X, is expected to be 10, the variance is 5, and the mathematical expectation is the interval of the center of symmetry (),The probability of variable X is 0.9973(minus 5, 25)(-10, 35)(minus 1, 10)(-2, 15)Full marks: 2In the bag, there are 4 white and 5 black and 9 balls, and now I take two of them, but the probability of a black ball is one lessA.1/6B.5/6C.4/9D.5/9Full marks: 2Take four out of five pairs of shoes and find at least two ofthese four shoesA.2/21B.3/21C.10/21D.13/21Full marks: 2A meter with a scale of 0. 2, which is the nearest that is nearest to the reading, is less than 0. 04 chance of actual measurements and readings・A.0.4B.0. 5C.0.6D.0. 7Full marks: 2The shooter has a shooting percentage of 0. 02 and has been shot400 times independently, setting the random variable X to bethe number of hits, and the variance of X is ()・ 8 A.10 B.20 C.6 D.Full marks: 239. A mathematical expectation of a random variable E = mu (factor),mean square error for sigma, by chebyshev inequality, {P (| factor - mu | 3 sigma or higher)} () or lessA.1/9B.1/8C.8/9D.7/8Full marks: 2The exponential distribution is () a continuous distribution of memoryA.the onlyB.don,tC.mayD: none of the aboveFull marks: 241.The random variable X is normal distribution, its mathematical expectation is 25, X falls within the interval (15, 20) of the probability is 0.2, the X falls within the interval (30, 38) probability of ()A.0. 1B.0.2C.0. 3D.0.4Full marks: 242.The value of A discrete random variable X is in two independent test events happened A number, and the probability of event A occurs in each test is the same and known, and set the EX 二1. 2. The variance of random variable X is ()A.0. 48B.0. 62C.0. 84D.0. 96Full marks: 2Point estimate () gives the error size and range of the parameter valuesCan A.B.can,tC.do not necessarilyD: none of the aboveFull marks: 2Let's say that the random variable X and Y are in dependent, if D of X is equal to 4, and D of Y is equal to 5, then the variance of the discrete random variable Z is equal to 2X plus 3Y is ()61 A.B.4333 C.D.51Full marks: 2There are five white balls in the bag, three black balls, one for two, and the different colors of the two ballsA.15/28B.3/28C.5/28D.8/28Full marks: 2For two events A and B, if P (A) > 0, there isA. (AB) (B) (A given B)B. (AB) (B)C. (AB) (B) (A) + P (A)D. (AB) (B) (A) + P (B).Full marks: 247. Connect a coin three times, expressed as a X appear in three times the number of positive, Y said in three times the number of positive and a negative number, of the absolute value of the difference is {X = 3, Y 二3} the probability for the ()A. 1/8B.2/5C.3/7D.4/9Full marks: 2Which of the following symbols is an impossible eventA.theta・B.the deltaC.①D.QFull marks: 2A device consists of 10 independent work folding components, each of which has a chance of failure at time T of 0.05. The number of elements that don't fail is the random variable X, and the probability of the difference between X and its mathematical expectations is less than 2, depending on chebyshev,s inequality・A. 0. 43B. 0. 64C.0. 88D.0. 1Full marks: 2To set A, B, and C to be independent, A, B, and C are sufficient to be independentA. A and BC independentB.AB is independent of A union CC.AB and ACA unionB is independent of A union CFull marks: 2。
华南理工大学网络教育学院
《线性代数与概率统计》 模拟试题二
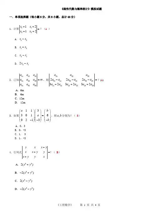
1. 2. •单项选择题(每小题 行列式D
A. 2.
-1
-1
5分, 共8小题,总计40 分)
).
B. C . D. 3. -2 -3 已知 ai2 a 13
a 21
a 22 a 23 a 22 a 23 =m ,则
2a
3^ -a
11
2a
32 — a
12
2a
32 — a
13
a
32 a
33
3a 11 +
2a 21
3^2 + 2a 22 3a 13 + 2a 23
a 11
=(A ).
a 21 B. -6m
C. 12m
D. -12m
‘1 0 1) (2 -1 0、 设/ A = 3丿 B = i 1 .2 -1 13 2 5丿 a 31 A. 6m 3. 2 )
3 A. ,求 2A — 3B =?( D ) D.
—
8 —8
-8
= X 2
-5X +3,矩阵 A =『2
,定义 f(A)=A
2
-5A +3E ,则 f(A)=?( B )
1-3 3
丿
0 1 0丿
D.
5.向指定的目标连续射击四枪,用
A 表示“第i 次射中目标”,试用A 表示四枪中至少有一枪
7.市场供应的热水瓶中,甲厂的产品占 50%,乙厂的产品占30%,丙厂的产品占20%,甲 厂产品的合格
率为 90%,乙厂产品的合格率为 85%,丙厂产品的合格率为 80%,从市场上任意
击中目标(C ): A. A 1A 2A 3 A 4 B . 1 -A 1A 2A 3A 4 C . A+A 2 + A3+A 4 D. 1 6. 一批产品由8件正品和 (B )
A.
3 5
B . 8
15 C .
7
15 D. 2
5
2件次品组成,从中任取 3件,这三件产品中恰有一件次品的概率为
4.设 f(x)
买一个热水瓶,则买到合格品的概率为( D )
A. 0.725 B . 0.5 C . 0.825 D. 0.865
8.观察一次投篮,有两种可能结果:投中与未投中。
令X 』投投中
[0,未投中.
试求X 的分布函数F (x )。
C
0, X c 0
A 1
A. F(x) =<2,0 兰X <1
.F(x)
Qx <0
1
=« ,0 < X <1
12
0,x c O 1
.F(x) =<
,0 <x c 1 I 2
F ,X > 1
.F(x)
Qx c O
1
< ,0<x<1 2
计算题(每小题8分, 共6小题,总计48 分)
1 .设矩阵A = 「
2
1 -1
-11 1 ,B
「
1 1
31
2,求 I AB . 1
解: AB = 1 1 1
1 1
2 = 2 4 6
[ 0 -1 1 - L 0 1 1-
1 -1 0 -1_
5 6 11
1
6 11
5 6
AB = 2 4 6
+(—1
=0
4 6 2 4
-1 0 -1
1
「
2 -1l
1 31 「5 11] 3
2 6
1
1
1
,P (AB)= P(BC)=0, p (AC)」,
4 8
是独立事件.但A.C
生)=1-(1-1/4-1/4-1/4+1/8)=5/8
5. 一袋中有m 个白球, (1) 在第一次取到白球的条件下,第二次取到白球的条件概率; (2) 在第一次取到黑球的条件下,第二次取到白球的条件概率。
解:用A 表示“第一次取到白球”,B 表示“第二次取到白球”。
2.求矩阵
「
2
5 1
L
-5 -8 -7 -1 3 5 4 1 2 4 2 2 广 3 0 3
的秩.
解
A=
-5 -8 -7 -1 3 5 4 1 2 4 2 2 1 3 0 3 「
1 2 4
4 3 1
5 2 2 2 4 0 1 3 3
「1 -7
4 2 0
0 9 -5
-2 1 0
27 -15 -6 3
L 0
27
-15 -6 3
-7 9 0 0 4 -5 0 0 2 -2
0 0 0
0 0
所以,矩阵的秩为
(化为三角阵的方法 P 44). 3.解线性方程组
捲 +X 2 -3X 3 =1
* 3x 1 — X 2 一 3x 3
= 1 .
「
1 1 -3 11 「1 1 -3 1 1 「1 1 -3 1
■ 3 -1 -3 1 T
0 -4 6 -2 T
0 -4 6 -2 L 1 5 -9 0 ■
[ 0 4 -6 -1」 [ 0 0 0 -3 ■
原方程组无解。
4.设 A ,B,C 为三个事件,P(A)=P(B)二P(C)二 求事件A ,B ,C 至少有一个发生的概率。
因为 P (A )= P (B )= P CA 1, P (AB )= P(BC )=0, P(AC )=丄,所以 A.B 和 B.C 之间
4 8
之间有相交.所以 P(A.B.C 至少一个发
n 个黑球,无放回地抽取两次,每次取一球,求:
「
1 0
L 0
增
广
矩
阵
施
初
等
对
以
A = 所以, (依据填空题低13题结论)
买一个热水瓶,则买到合格品的概率为(D)
(1)袋中原有m+n个球,其中m个白球。
第一次取到白球后,袋中还有m+n-1球,
其中m-1个为白球。
故 P (B|A )= m-1
; m + n —1
袋中原有m+n 个球,其中m 个白球,第一次取到黑球后,袋中还有 m+n-1球,其 中m 个为白球。
故P (B|A )=—m
一
m +n —1
6. 设 A , B 是两个事件,已知 P(A) =0.5 , P(B)=0.7, P(A + B) = 0.8,试求:
P(A -B)与 P(B - A)。
p(a+b)=p( a)+p(b)-p(ab)
0.8=0.5+0.7-p(ab)
p (ab)=0.4
p (a-b)=p(a)-p(ab)=0.5-0.4=0.1
p(b-a)=p(b)-p(ab)=0.7-0.4=0.3
三.应用题(每小题6分,共2小题,总计12分)
1.某工厂采用三种方法生产甲乙丙丁四种产品,各种方案生产每种产品的数量 如下
列矩阵所示:
甲乙丙丁
「5 9 7 A= 7 8 9 [4 6 5
若甲乙丙丁四种产品的单位成本分别为 分别为15、16、14、17(万元),试用矩阵运算计算用何种方法进行生产获利最大?
用第二种方法进行生产,工厂获利最大。
2.甲、乙两工人在一天的生产中,出现次品的数量分别为随机变量
X 1,X 2,且
解:设单位成本矩阵 C =
「10
「
12 8
L 15
.
,销售单价矩阵为 「忖
16 14
L 17.
,则单位利润矩阵为
「5
- 4
6 L
2・
「5
,从而获利矩阵为L = AB = 7
L 4
「5
- 4
6 「1111
133,于是可知,采
L 88
.
41
方法一
6 I 方法二
7j 方法三 10、12、& 15 (万元),销售单位价格
分布列分别为:
X1
若两人日产量相等,试问哪个工人的技术好?
E(X1)=0*0.4+1*0.3+2*0.2+3*0.1=1 E(X2)=0*0.3+1*0.5+2*0.2+3*0=0.9 因为E(X1)>E(X2)所以甲工人的技术较好.
若两人日产量相等,试问哪个工人的技术好?
解:仅从概率分布看,不好直接对哪位工人的生产技术更好一些作业评 论,但由数学期望的概念,我们可以通过比较 E ( X 1 ),E ( X 2)的大小 来对工人的生产技术作业评判,依题意可得
3
E(X1)=5: Xk Pk
k = 0
=0咒0.4 +1咒 0.3 + 2X.02 + 3咒.01 =1
3
E(X 2)=2: y k P k
k=0
=0咒0.3 + 1天0.5 + 2咒 0.2 + 3天 0 = 0.9
由于E(X 1):>E(X 2),故由此判定工人乙的技术更好一些。
显然,一天 中乙生产的次品数平均比甲少丄。
10
2 ? 9.甲、乙两工人在一天的生产中,出现次品的数量分别为随机变量。