考研会计学试题及答案(九)
- 格式:doc
- 大小:39.00 KB
- 文档页数:15
考研会计学考研真题考研会计学考试是许多会计学研究生所面临的挑战。
为了帮助考生更好地准备考试,下面将提供一些考研会计学真题以供参考。
第一部分:选择题1.财务会计的目的是什么?A. 决策B. 报告C. 控制D. 预测2.账务处理中的借方科目是指什么?A. 借方金额B. 收入科目C. 债务科目D. 资产科目3.利润表主要用于揭示以下哪项?A. 现金流量B. 资本结构C. 利润状况D. 偿债能力第二部分:填空题4. 资产负债表上的资产项目包括_______、________和__________。
5. 利润表上的收入项目包括_______、________和__________。
第三部分:解答题请用不超过100字回答以下问题:6. 资产负债表是什么?它提供了哪些重要信息?答:资产负债表是一种会计报表,记录了企业在某一特定日期的资产、负债和所有者权益的情况。
它提供了有关企业的财务状况、资产的价值以及债务的规模等重要信息。
7. 什么是财务分析?它在会计学中的作用是什么?答:财务分析是通过对企业财务报表的审查和解读,以评估企业的财务状况和能力。
在会计学中,财务分析可以用于判断企业的盈利能力、偿债能力、投资价值等,对企业的经营决策和投资决策具有重要意义。
第四部分:论述题请用不少于300字回答以下问题:8. 现代财务会计的特点是什么?这些特点在实践中有何意义?答:现代财务会计的特点包括信息披露的透明性、国际化的标准和技术的应用等。
首先,信息披露的透明性可以提高企业的信任度和透明度,增强了投资者的信心,促进了资本流动。
其次,国际化的标准使得各国企业的会计报表可以进行比较和分析,促进了国际贸易和跨国投资。
最后,技术的应用提高了财务信息的处理和传递效率,降低了会计工作的成本,提高了工作效率。
在实践中,这些特点对企业和会计从业者都具有重要意义。
企业可以通过提供准确、及时、透明的财务信息来吸引投资者、债权人和合作伙伴。
会计从业者则需要不断学习和掌握新的会计标准和技术,以适应不断变化的国际会计环境。
会计学原理试题及答案一、选择题1.会计学的基本任务是什么?– A. 经济决策 B. 资产管理 C. 资产评估 D. 数据分析–正确答案:A. 经济决策2.以下哪个不是会计核算的基本假设?– A. 主体独立性 B. 会计期间 C. 财务复杂性 D. 持续经营–正确答案:C. 财务复杂性3.账户的基本要素包括三个方面,分别是什么?– A. 借方、贷方、余额 B. 资产、负债、所有者权益 C. 现金、存货、应收账款 D. 支出、收入、利润–正确答案:B. 资产、负债、所有者权益4.以下哪个科目属于资产类科目?– A. 负债 B. 罚款支出 C. 应付账款 D. 现金–正确答案:D. 现金二、填空题1.会计等式是指资产等于_____________减进项减增项。
–正确答案:负债加所有者权益2.借方增加的项目称为___________,贷方增加的项目称为_____________。
–正确答案:借方为借,贷方为贷3.会计核算的时间周期是___________。
–正确答案:会计期间4.2019年1月1日,公司购买了一台机器,总成本为100,000元,使用寿命10年,剩余寿命8年,这个机器的净值为____________。
–正确答案:80,000元三、简答题1.解释会计的基本假设是什么?–答:会计的基本假设是对会计核算和财务报告的一些基本事实和条件进行假设和规定。
主要包括主体独立性、会计期间、持续经营等。
主体独立性是指企业应当被看作与所有者和外部世界相分开的独立个体,独立做出决策。
会计期间是指企业将经济活动划分为若干个时间段进行核算和报告。
持续经营是指企业将会计核算和财务报告基于企业连续经营的假设。
2.简述会计等式的基本原理。
–答:会计等式是会计核算的基础,其基本原理是资产等于负债加所有者权益。
按照这个原理,财务报表上的所有资产都同时对应着某个来源或责任。
资产表示企业所拥有的资源或对外的债权,负债表示企业对外的债务,所有者权益表示企业属于所有者的权益。
会计学试题及答案会计是以货币为主要计量单位,运用专门的方法,核算和监督一个单位经济活动的一种经济管理工作。
相关试题及答案,一起来看看!一、单项选择题1.以下各项目属于资产的有( )。
A.存货B.应付职工薪酬C.短期借款D.实收资本2.某企业期初资产总额100 000元,负债总额40 000元,所有者权益总额60 000元,本期取得收入30 000元,发生费用20 000元,负债总额不变,则期末资产总额为( )。
A.130,000B.110,000C.80,000D.70,0003.下列业务不属于会计核算范围的是( )。
A.用银行存款购买材料B.生产产品领用材料C.企业自制材料入库D.与外企业签定采购合同4.下列经济业务涉及资产和权益项目同时减少的是( )。
A.赊购原材料B.用现金发放工资C.用银行存款预付货款D.向银行借入1年期贷款5.下列经济业务的发生不会导致会计等式两边总额发生变化的是( )。
A.用银行存款偿还短期借款B.接受投资人投入的机器设备C.从银行提取现金D.销售商品货款尚未收到6.下列引起资产和负债同时增加的经济业务是( )。
A.以银行存款偿还银行借款B.收回应收账款存入银行C.购进材料一批货款未付D.以银行借款偿还应付账款7.所有者权益是企业投资者对企业净资产的所有权,在数量上等于 ( )A.全部资产减去全部所有者权益B.全部资产减去全部负债C.全部净资产减去全部所有者权益D.全部净资产减去全部负债8.下列事项中,一个会计主体不可能发生的有 ( )。
A.资产与负债以相等数额同时增加或同时减少B.两个资产项目以相等的数额一增一减C.负债与所有者权益以相等的数额同增同减D.负债与所有者权益以相等的数额一增一减9.预付账款属于会计要素中的( )。
A.资产B.负债C.费用D.所有者权益10.下列各项中属于流动资产的是( )。
A.库存现金B.运输设备C.专利权D.厂房二、多项选择题1.下列属于财务状况要素的有( )。
往年专业考研试题及答案试题:一、单项选择题(每题2分,共10分)1. 在经济学中,边际效用递减原理指的是随着消费者消费某一商品的数量增加,该商品的边际效用会逐渐:A. 增加B. 减少C. 保持不变D. 先增加后减少2. 下列哪项不是货币政策的三大工具?A. 利率调整B. 公开市场操作C. 准备金率调整D. 汇率干预3. 在会计学中,资产负债表的资产部分按照什么顺序排列?A. 按照流动性从低到高B. 按照流动性从高到低C. 按照购买价格从低到高D. 按照购买价格从高到低4. 下列哪项不是企业社会责任(CSR)的核心内容?A. 经济责任B. 法律责任C. 环境责任D. 文化责任5. 在市场营销中,SWOT分析中的“S”代表:A. Strengths(优势)B. Systems(系统)C. Synergy(协同)D. Solutions(解决方案)二、简答题(每题10分,共20分)6. 简述马斯洛的需求层次理论,并说明其在人力资源管理中的应用。
7. 什么是平衡计分卡?它包含哪些主要组成部分?三、计算题(每题15分,共30分)8. 假设某企业生产一种产品,其固定成本为10000元,变动成本为每件产品2元,产品售价为每件5元。
请计算该企业的盈亏平衡点是多少件产品?9. 某投资者购买了一份面值为1000元,年利率为5%的债券,期限为3年,每年年末支付利息,到期时一次性还本。
请计算该投资者三年内的总收益。
四、论述题(每题40分,共40分)10. 论述全球化对现代企业经营策略的影响,并提出企业应如何应对全球化挑战。
答案:一、单项选择题1. B. 减少2. D. 汇率干预3. B. 按照流动性从高到低4. D. 文化责任5. A. Strengths(优势)二、简答题6. 马斯洛的需求层次理论将人的需求分为五个层次,从低到高依次是生理需求、安全需求、社交需求、尊重需求和自我实现需求。
在人力资源管理中,该理论被用来理解员工的动机,并据此设计激励机制,以满足员工在不同层次上的需求,从而提高员工的工作满意度和生产效率。
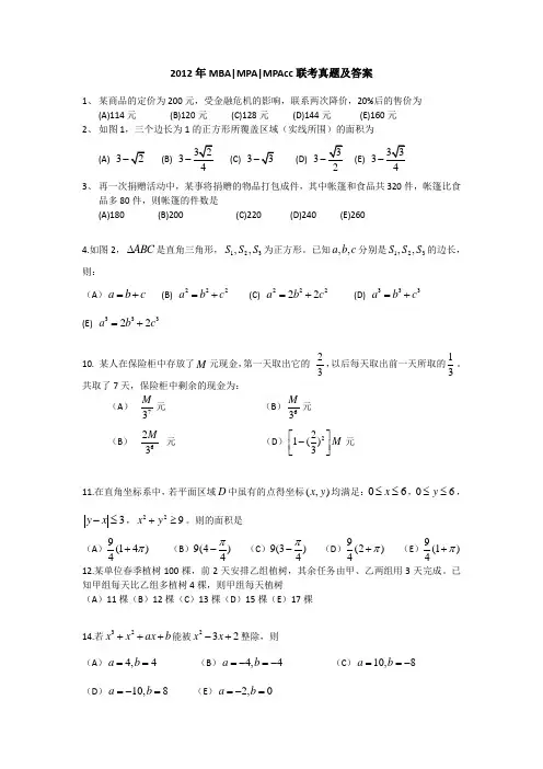
2012年考研会计硕士管理类综合数学真题及参考答案2012年全国MBA联考1月7日举行,考生人数再创新高。
学苑教育将在第一时间为考生送上2012年MBA、MPA、MPAcc管理类联考真题进行解析课,课上学苑名师将就2012年MBA、MPA、MPAcc管理类联考真题做详细解析,现在先向广大考生独家提供部分试题及答案,请考生们参照进行估分,了解自己和其他考生状态及2012年MBA联考的全部情况。
2012年MBA|MPA|MPAcc管理类联考真题数学答案1.C2.A3.C4.B5.B6.E7.E8.A9.C 10.D11.A 12.D 13.B 14.E 15.B16.D 17.E 18.A 19.B 20.D21.E 22.D 23.D 24.C 25.A一、问题求解,共计15题。
1、某商品的定价为200元,受金融危机的影响,连续两次降价20%后的售价为:(A) 114元 (B) 120元(C) 128元 (D) 144元(E) 160元参考答案:(C) 128元2、如图1,三角形ABC是直角三角形,S1,S2,S3为正方形,已知a,b,c分别是S1,S2,S3边长,则:(A) a=b+c (B) a2 =b2 +c 2(C)a2 =2b2 +2c 2 (D) a 3=b 3+c 3(E)a 3=2b 3+2c 3参考答案:(A) a=b+c3、如图2,一个储物罐的下半部分是底面直径与高均是20m的圆柱形,上半部分(顶部)是半球形,已知地面与顶部的造价是400元/m2,侧面的造价是300元/m2,该储物罐的造价是(π=3.14)(A) 56.52万元 (B) 62.8万元(C) 75.36万元 (D) 87.92万元(E) 100.48万元参考答案:(C) 75.36万元4、在一次商品促销活动中,主持人出示一个9位数,让顾客猜测商品的价格,商品的价格是该9位数中从左到右相邻的3个数字组成的3位数,若主持人出示的是513535319,则顾客一次猜中价格的概率是:(A) 1/7 (B) 1/6(C) 1/5 (D) 2/7(E) 1/3参考答案:(B) 1/65、某商店经营15种商品,每次在橱窗内陈列5种,若每两次陈列的商品不完全相同,则最多可陈列(A)3000次 (B) 3003次(C)4000次 (D) 4003次(E)4300次参考答案:(B) 3003次6、甲乙丙三个地区的公务员参加一次测评,其人数和考分情况如下表:分数(右上)地区(下)人数(右下)6789甲10101010乙15151020丙10101515三个地区按平均分由高到低的排名顺序为(A)乙、丙、甲 (B) 乙、甲、丙(C)甲、丙、乙 (D) 丙、甲、乙(E)丙、乙、甲参考答案:(E)丙、乙、甲7、经统计,某机场的一个安检口每天中午办理安检手续的乘客人数及相应的概率如下表:乘客人数0-56-1011-1516-2021-2525以上概率0.10.20.20.250.20.05该安检口2天中至少有1天中午办理安检手续的乘客人数超过15的概率是(A)0.2 (B) 0.25(C)0.4 (D) 0.5(E)0.75参考答案:(E)0.758、某人在保险柜中存放了M元现金,第一天取出他的2/3,以后每天取出前一天所取的1/3,共取了7天,保险柜中剩余的现金为(A) M/37 元 (B) M/36 元(C) 2M/36 元 (D)元(E) [1-7*(2/3)7 M元参考答案:(A) M/37元9. 在直角坐标系中,若平面区域D中所有点的坐标(x,y)均满足0≤x≤60≤y≤6,|y-x|≤3,x2+y2≥9,则D的面积是(A)9/4(1+4π)(B)9(4 –π/4)(C)9(3 -π/4 )(D) 9/4(2+π)(E) 9/4(1+π)参考答案:(C)9(3 -π/4 )10. 某单位春季植树100棵,前2天安排乙组植树,其余任务由甲、乙两组用3天完成。
会计学原理试题及答案一、选择题1.会计学的主要任务是: A. 记账 B. 报表分析 C. 统计分析 D. 资产评估答案:B2.会计的基本概念包括: A. 资产、负债、所有者权益B. 损益、现金流量、利润C. 收入、支出、费用 D. 借方、贷方、余额答案:A3.会计等式的表达形式是: A. 资产 = 负债+ 所有者权益 B. 负债 = 资产 + 所有者权益 C. 所有者权益 = 资产 - 负债 D. 资产 + 负债 = 所有者权益答案:A4.现金流量表主要反映的是一个企业的:A. 资产状况 B. 负债状况 C. 现金流量状况 D. 盈利能力状况答案:C5.会计信息质量的特征包括: A. 可靠性、可比性 B. 真实性、完整性 C. 易理解性、准时性 D. 公平性、可验证性答案:A二、填空题1.会计的核算单位是()。
答案:企业2.公司购买货物后,货物库存账户()。
答案:增加3.利润表反映的是一个企业一定时期内的()。
答案:经营成果4.折旧费用属于()。
答案:费用类科目5.现金流量表的编制要遵循()原则。
答案:现金等价物三、简答题1.什么是会计学原理?会计学原理是会计学的基础概念和规范的总称,它包括会计的基本假设、会计等式、会计分录和会计凭证等基本原理。
会计学原理为会计的核心理论和方法提供了基础,保证了会计信息的准确性和可比性。
2.什么是会计等式?如何体现会计等式的运算关系?会计等式是指资产等于负债加上所有者权益的基本等式。
即:资产 = 负债 + 所有者权益。
会计等式体现了企业资产来源和运用的基本关系,保证了会计核算的准确性。
在会计的核算过程中,每一笔会计分录必须遵循会计等式的运算关系。
3.请简要说明现金流量表的作用和意义。
现金流量表是企业财务报表中的一部分,主要反映了一个企业一定时期内的现金流入和现金流出的情况。
现金流量表能够直观地展示企业的经营活动、投资活动和筹资活动对现金流动的影响,帮助投资者和管理层了解企业的现金流量状况和现金管理能力,为决策提供重要依据。
2012年MBA|MPA|MPAcc 联考真题及答案1、 某商品的定价为200元,受金融危机的影响,联系两次降价,20%后的售价为(A)114元 (B)120元 (C)128元 (D)144元 (E)160元2、 如图1,三个边长为1的正方形所覆盖区域(实线所围)的面积为(A)3-(B) 34- (C)3 (D)32- (E)34- 3、 再一次捐赠活动中,某事将捐赠的物品打包成件,其中帐篷和食品共320件,帐篷比食品多80件,则帐篷的件数是(A)180 (B)200 (C)220 (D)240 (E)2604.如图2,ABC ∆是直角三角形,123,,S S S 为正方形。
已知,,a b c 分别是123,,S S S 的边长,则:(A )a b c =+ (B) 222a b c =+ (C) 22222a b c =+ (D) 333a b c =+ (E) 33322a b c =+10. 某人在保险柜中存放了M 元现金,第一天取出它的23,以后每天取出前一天所取的13。
共取了7天,保险柜中剩余的现金为:(A ) 73M 元 (B )63M 元 (B )623M 元 (D )221()3M ⎡⎤-⎢⎥⎣⎦元 11.在直角坐标系中,若平面区域D 中虽有的点得坐标(,)x y 均满足:06x ≤≤,06y ≤≤,3y x -≤,229x y +≥。
则的面积是(A )9(14)4π+ (B )9(4)4π- (C )9(3)4π- (D )9(2)4π+(E )9(1)4π+ 12.某单位春季植树100棵,前2天安排乙组植树,其余任务由甲、乙两组用3天完成。
已知甲组每天比乙组多植树4棵,则甲组每天植树(A )11棵(B )12棵(C )13棵(D )15棵(E )17棵14.若32x x ax b +++能被232x x -+整除,则 (A )4,4a b == (B )4,4a b =-=- (C )10,8a b ==-(D )10,8a b =-= (E )2,0a b =-=18、已知,m n 是正整数,则m 是偶数。
会计考试试题及答案一、选择题(每题2分,共20分)1. 会计的基本职能包括:A. 核算与监督B. 预测与决策C. 计划与控制D. 分析与评价答案:A2. 会计要素中的资产是指:A. 企业拥有或控制的资源B. 企业未来经济利益的总流入C. 企业过去交易或事项形成的D. 以上都是答案:A3. 以下哪项不属于会计信息质量要求?A. 可靠性B. 相关性C. 可理解性D. 可比性答案:D4. 会计分期假设的目的是:A. 便于会计信息的比较B. 便于会计信息的汇总C. 便于会计信息的分析D. 便于会计信息的预测答案:B5. 会计等式“资产=负债+所有者权益”体现了:A. 会计的基本职能B. 会计的基本假设C. 会计的基本要素D. 会计的基本目标答案:C...(此处省略其他选择题)二、判断题(每题1分,共10分)1. 会计准则规定,企业应当以权责发生制为基础进行会计核算。
()答案:√2. 会计政策变更必须经过股东大会批准。
()答案:×3. 会计估计变更属于会计政策变更。
()答案:×...(此处省略其他判断题)三、简答题(每题5分,共20分)1. 简述会计信息的使用者及其需求。
答案:会计信息的使用者包括投资者、债权人、政府及其相关部门、企业管理当局等。
投资者需要会计信息来评估企业的盈利能力、风险水平和投资价值;债权人需要会计信息来评估企业的偿债能力和信用状况;政府及其相关部门需要会计信息来进行税收征管、经济调控和市场监管;企业管理当局需要会计信息来进行经营决策和内部控制。
2. 什么是会计政策?请举例说明。
答案:会计政策是指企业在会计核算中所采用的具体原则、基础和方法。
例如,企业选择的折旧方法(直线法或双倍余额递减法)、存货计价方法(先进先出法或加权平均法)等都属于会计政策。
...(此处省略其他简答题)四、计算题(每题10分,共20分)1. 某企业2023年12月31日的资产负债表显示,流动资产总额为200万元,流动负债总额为100万元,非流动资产总额为300万元,非流动负债总额为150万元。
会计学研究生试题及答案一、选择题(每题2分,共20分)1. 会计的基本职能是()。
A. 记录、核算、监督B. 预测、决策、评价C. 计划、组织、领导D. 控制、协调、指挥答案:A2. 会计要素中,属于资产的是()。
A. 应收账款B. 应付账款C. 所有者权益D. 利润答案:A3. 会计等式“资产=负债+所有者权益”反映了()。
A. 财务状况B. 经营成果C. 现金流量D. 收益分配答案:A4. 会计政策变更,应采用()进行会计处理。
A. 追溯调整法B. 直接调整法C. 未来适用法D. 比例调整法答案:A5. 会计估计变更,应采用()进行会计处理。
A. 追溯调整法B. 直接调整法C. 未来适用法D. 比例调整法答案:C二、判断题(每题1分,共10分)1. 会计信息的质量要求包括可靠性、相关性、可理解性等。
()答案:√2. 会计分期假设是将企业的经营活动划分为等长的时间段。
()答案:√3. 会计政策是指企业在会计核算中所采用的具体会计处理方法。
()答案:√4. 会计估计是指对某些不确定事项的预测和判断。
()答案:√5. 会计信息的使用者只包括企业内部管理层。
()答案:×三、简答题(每题10分,共20分)1. 简述会计信息的使用者及其需求。
答案:会计信息的使用者主要包括投资者、债权人、政府及其相关部门、企业管理者等。
投资者和债权人需要会计信息来评估企业的财务状况和盈利能力,以做出投资或贷款决策。
政府及其相关部门利用会计信息进行税收征管和经济监管。
企业管理者则通过会计信息进行日常经营决策和业绩评价。
2. 简述会计核算的基本原则。
答案:会计核算的基本原则包括客观性原则、相关性原则、可比性原则、一致性原则、及时性原则、明晰性原则等。
客观性原则要求会计信息应真实反映企业的经济活动。
相关性原则要求会计信息应有助于信息使用者做出决策。
可比性原则要求不同企业的会计信息应具有可比性。
一致性原则要求企业在不同会计期间应使用相同的会计政策和方法。
会计学考试试题及答案解析一、单项选择题(每题1分,共10分)1. 会计的基本职能是()A. 记录和报告B. 监督和评价C. 预测和决策D. 管理与控制答案:A解析:会计的基本职能是记录和报告,即通过会计信息系统收集、处理和传递财务信息,以供各方利益相关者使用。
2. 下列哪项不属于会计要素?()A. 资产B. 负债C. 所有者权益D. 利润答案:D解析:会计要素包括资产、负债、所有者权益、收入和费用。
利润是会计要素的结果,不是要素本身。
3. 会计等式“资产=负债+所有者权益”反映了()A. 资产的来源B. 资产的去向C. 负债的来源D. 所有者权益的去向答案:A解析:会计等式“资产=负债+所有者权益”体现了资产的来源,即资产是通过负债和所有者投入形成的。
4. 会计分录的基本原则是()A. 借贷平衡B. 金额准确C. 内容完整D. 时间正确答案:A解析:会计分录的基本原则是借贷平衡,即每一笔分录的借方金额必须等于贷方金额。
5. 下列哪项不属于会计政策?()A. 存货计价方法B. 固定资产折旧方法C. 收入确认时点D. 会计年度的确定答案:D解析:会计政策包括存货计价方法、固定资产折旧方法和收入确认时点等,而会计年度的确定属于会计估计。
6. 会计估计变更属于()A. 会计政策变更B. 会计估计错误C. 会计估计变更D. 前期差错更正答案:C解析:会计估计变更是指由于资产和负债的当前状况及预期未来经济利益或服务潜力发生变化,根据新的估计基础对会计估计进行的调整。
7. 会计信息的质量要求中,要求企业应提供真实、完整的信息,这体现了()A. 可靠性B. 相关性C. 可理解性D. 及时性答案:A解析:可靠性要求企业在会计核算过程中,应当提供真实、完整的信息,以确保会计信息的真实性。
8. 会计报表中,利润表属于()A. 静态报表B. 动态报表C. 附注D. 现金流量表答案:B解析:利润表是动态报表,它反映企业在一定会计期间内的经营成果。
第九章 所有者权益一、名词解释1.留存收益[燕山大学2007研]答:留存收益是企业历年剩余的净收益累积而成的资本。
主要包括法定盈余公积、任意盈余公积和未分配利润:①法定盈余公积是指企业按规定从净利润中提出的积累资金;②任意盈余公积是公司出于实际需要或采取审慎经营策略,从税后利润中提取的一部分留存利润;③未分配利润是企业留待以后年度进行分配的结存利润,也是企业股东权益的组成部分。
法定盈余公积和任意盈余公积,属于已拨定的留存收益,而未分配利润属于未拨定的留存收益。
2.未分配利润答:未分配利润是企业留待以后年度进行分配的结存利润,也是企业股东权益的组成部分。
相对于股东权益的其他部分来说,企业对于未分配利润的使用分配有较大的自主权。
从数量上来说,未分配利润是期初未分配利润,加上本期实现的税后利润,减去提取的各种盈余公积和分出利润后的余额。
二、判断题1.在计算盈余公积的时候,计算的基数不应包括年初的未分配利润的贷方余额。
( )【答案】正确【解析】如果以前年度未分配利润有盈余,在计算提取法定盈余公积的基数时,不应包括企业年初未分配利润。
2.企业溢价发行股票发生的手续费、佣金应从溢价中抵扣,溢价金额不足抵扣的调整留存收益。
( )【答案】正确【解析】股份有限公司发行股票相关的手续费、佣金等交易费用,如果是溢价发行股票的,应从溢价中抵扣,冲减资本公积(股本溢价);无溢价发行股票或溢价金额不足以抵扣的,应将不足抵扣的部分冲减盈余公积和未分配利润。
3.企业在一定期间内发生亏损,那么企业在这一会计期间的所有者权益总额一定减少。
( )【答案】错误【解析】由于所有者权益的内容中除了包含与盈亏有关的未分配利润之外,还包含与盈亏无关的项目,如实收资本和资本公积,如果在企业亏损减少未分配利润的同时,实收资本或资本公积增加了,且增加的量大于亏损的量,那么这一期间的所有者权益总额反而增加了。
因此应该说企业在一定期间发生亏损,所有者权益可能减少,而非一定减少。
会计学专硕考研试题及答案一、单项选择题(每题1分,共10分)1. 会计的基本职能是()。
A. 记账、算账、报账B. 反映和监督C. 审计和评价D. 分析和预测2. 会计要素中,资产的确认条件包括()。
A. 过去发生的B. 现在或将来能够带来经济利益C. 企业拥有或控制D. 以上都是3. 下列哪项不是会计信息质量要求?()A. 可靠性B. 相关性C. 及时性D. 完整性4. 会计政策变更的会计处理方法包括()。
A. 追溯调整法B. 直接调整法C. 未来适用法D. 以上都是5. 企业对外投资时,下列哪项不是投资的分类?()A. 长期股权投资B. 短期投资C. 固定资产投资D. 无形资产投资6. 企业在编制财务报表时,下列哪项不是财务报表的组成部分?()A. 资产负债表B. 利润表C. 现金流量表D. 预算表7. 会计估计变更属于会计政策变更的范畴吗?()A. 是B. 否8. 会计准则规定,企业应当按照()确定存货的计量基础。
A. 先进先出法B. 后进先出法C. 个别计价法D. 成本与可变现净值孰低法9. 企业发生的销售折让,应当在销售收入中直接扣除。
这种说法正确吗?()A. 正确B. 错误10. 企业在编制合并财务报表时,下列哪项不是合并范围的确定依据?()A. 控股比例B. 经营活动C. 投资关系D. 管理关系答案:1. B2. D3. D4. C5. C6. D7. B8. D9. B10. B二、多项选择题(每题2分,共10分)11. 会计核算的基本原则包括()。
A. 客观性原则B. 可比性原则C. 谨慎性原则D. 重要性原则12. 会计要素中,负债的确认条件包括()。
A. 过去发生的B. 现在或将来能够导致经济利益流出C. 企业承担的现时义务D. 企业拥有或控制13. 会计政策变更的会计处理方法中,追溯调整法和未来适用法的区别在于()。
A. 追溯调整法需要调整前期比较财务报表B. 未来适用法不需要调整前期比较财务报表C. 追溯调整法需要重新计算前期损益D. 未来适用法不需要重新计算前期损益14. 企业在编制财务报表时,需要遵循的会计信息质量要求包括()。
考研会计学试题及答案(九)会计硕士(Master of Professional Accounting,简称MPAcc,)是我国目前升温最快的考研专业,一则得益于随着国家对专业硕士的日渐重视,MPAcc的社会认可度逐渐与学术硕士平起平坐,二则MPAcc属于应用型硕士教育,注重理论结合实践,采用双导师制度,由校内导师和实务界导师共同指导学习、实习和毕业论文的写作,与实务结合更紧密,侧重实际能力的培养,其毕业生具有很强的解决实际问题的能力,且学制较短,就业前景乐观。
一、单项选择题1.企业计提短期借款利息时,应贷记的账户是( )。
A.“银行存款”B.“应付利息”C.“库存现金”D.“财务费用”2.预付给供应单位材料货款,应将其视为一种( )。
A.负债B.所有者权益C.收入D.资产3.购入材料支付的运杂费,一般应计入( )。
A.材料采购成本B.产品生产成本C.制造费用D.管理费用4.“生产成本”账户的期末借方余额表示( )。
A.完工产品成本B.在产品成本C.本月生产费用D.库存产品成本5.期末,企业计提固定资产折旧时,应贷记( )账户。
A.“固定资产”B.“累计折旧”C.“制造费用”D.“管理费用”6.企业生产的产品完工入库后,应将其生产成本转为( )。
A.主营业务成本B.本年利润C.库存商品D.营业外支出7.企业期末结转已销产品的生产成本时,应( )。
A.借记“库存商品”账户B.借记“本年利润”账户C. 借记“主营业务成本”账户D.借记“生产成本”账户8.企业预收销售产品的货款时,应贷记( )账户。
A.“主营业务收入”B.“预收账款”C.“预付账款”D.“应收账款”9.企业销售产品取得了收入,应( )。
A.借记“主营业务收入”账户B.贷记“主营业务收入”账户C.贷记“本年利润”账户D.贷记“营业外收入”账户10.下列各项中,不属于销售费用的是( )。
A.销售产品的包装费B.广告宣传费C.采购材料的运杂费D.销售产品的运杂费11.年末结转后,“利润分配”账户的借方余额表示( )。
会计学考研政治试题及答案### 会计学考研政治试题及答案一、单项选择题1. 马克思主义政治经济学认为,商品的价值量是由什么决定的? - A. 商品的使用价值- B. 社会必要劳动时间- C. 个别劳动时间- D. 商品的稀缺性答案:B2. 社会主义市场经济的基本特征是什么?- A. 公有制为主体- B. 计划经济- C. 完全自由竞争- D. 无政府状态答案:A3. 在我国,实现共同富裕的根本途径是:- A. 扩大内需- B. 坚持改革开放- C. 坚持按劳分配为主体- D. 坚持科学发展观答案:B二、多项选择题1. 社会主义核心价值观包括以下哪些方面?- A. 富强、民主、文明、和谐- B. 自由、平等、公正、法治- C. 爱国、敬业、诚信、友善- D. 创新、协调、绿色、开放、共享答案:ABC2. 社会主义初级阶段的基本经济制度是:- A. 公有制为主体- B. 多种所有制经济共同发展- C. 国有经济控制国民经济命脉- D. 非公有制经济是社会主义经济的重要组成部分答案:ABD三、简答题1. 简述社会主义市场经济体制的基本内容。
答案:社会主义市场经济体制的基本内容包括:- 坚持公有制为主体,多种所有制经济共同发展的基本经济制度;- 以市场为资源配置的基础性手段,同时加强和改善国家的宏观调控;- 建立和完善社会主义市场经济的法律体系,保障市场秩序;- 促进社会公平正义,实现全体人民共同富裕。
2. 阐述科学发展观的内涵。
答案:科学发展观的内涵包括:- 发展是第一要义,即发展是解决我国所有问题的关键;- 以人为本,即发展要满足人民群众日益增长的物质文化需要;- 全面协调可持续,即发展要全面推进经济、政治、文化、社会、生态文明等各方面建设;- 坚持统筹兼顾,即在发展中要处理好改革、发展、稳定的关系。
四、论述题1. 论述我国社会主义市场经济与资本主义市场经济的区别。
答案:我国社会主义市场经济与资本主义市场经济的区别主要表现在:- 所有制基础不同。
考研会计学试题及答案(九)会计硕士(Master of Professional Accounting,简称MPAcc,)是我国目前升温最快的考研专业,一则得益于随着国家对专业硕士的日渐重视,MPAcc的社会认可度逐渐与学术硕士平起平坐,二则MPAcc属于应用型硕士教育,注重理论结合实践,采用双导师制度,由校内导师和实务界导师共同指导学习、实习和毕业论文的写作,与实务结合更紧密,侧重实际能力的培养,其毕业生具有很强的解决实际问题的能力,且学制较短,就业前景乐观。
一、单项选择题1.企业计提短期借款利息时,应贷记的账户是( )。
A.“银行存款”B.“应付利息”C.“库存现金”D.“财务费用”2.预付给供应单位材料货款,应将其视为一种( )。
A.负债B.所有者权益C.收入D.资产3.购入材料支付的运杂费,一般应计入( )。
A.材料采购成本B.产品生产成本C.制造费用D.管理费用4.“生产成本”账户的期末借方余额表示( )。
A.完工产品成本B.在产品成本C.本月生产费用D.库存产品成本5.期末,企业计提固定资产折旧时,应贷记( )账户。
A.“固定资产”B.“累计折旧”C.“制造费用”D.“管理费用”6.企业生产的产品完工入库后,应将其生产成本转为( )。
A.主营业务成本B.本年利润C.库存商品D.营业外支出7.企业期末结转已销产品的生产成本时,应( )。
A.借记“库存商品”账户B.借记“本年利润”账户C. 借记“主营业务成本”账户D.借记“生产成本”账户8.企业预收销售产品的货款时,应贷记( )账户。
A.“主营业务收入”B.“预收账款”C.“预付账款”D.“应收账款”9.企业销售产品取得了收入,应( )。
A.借记“主营业务收入”账户B.贷记“主营业务收入”账户C.贷记“本年利润”账户D.贷记“营业外收入”账户10.下列各项中,不属于销售费用的是( )。
A.销售产品的包装费B.广告宣传费C.采购材料的运杂费D.销售产品的运杂费11.年末结转后,“利润分配”账户的借方余额表示( )。
A.利润分配总额B.未弥补亏损C.未分配利润D.实现的净利润12.下列项目中,不属于营业利润构成要素的有( )。
A.投资收益B.营业外支出C.营业税金及附加D.营业成本13.下列各项中,不属于企业利润分配的是( )。
A.交纳企业所得税B.向投资者分配股利C.提取盈余公积D.未分配利润14.年度终了,应将所有损益类账户的余额转入( )账户。
A.“利润分配”B.“本年利润”C.“未分配利润”D.“资本公积”15.年度终了,应将“利润分配”所属其他明细账的余额,转入( )明细账。
A.“未分配利润”B.“提取法定盈余公积”C.“应付现金股利或利润”D.“提取任意盈余公积”二、多项选择题1.股份有限公司发行面值为1元的股票筹集股本,发行价为每股10元。
对于此项业务,公司应贷记( )账户。
A.“股本”B.“资本公积”C.“实收资本”D.“银行存款”E.“盈余公积”2.下列各项中,应计入材料采购成本的是( )。
A.材料货款B.购买材料的采购费用C.材料入库后的保管费用D.材料入库后在储存过程中发生的损耗E. 运输途中合理损耗3.企业预付材料款时,应( )。
A.借记“预付账款”账户B.借记“银行存款”账户C.贷记“预付账款”账户D.贷记“银行存款”账户E. 借记“原材料”4.期末,“应付职工薪酬”账户( )。
A.有可能无余额B.有可能是借方余额C.有可能是贷方余额D.一定无余额E. 一定有余额5.下列各项中,属于制造费用的是( )。
A.车间管理人员工资B.车间用固定资产折旧C.生产工人工资D.厂部管理人员工资E.车间机物料消耗6.企业计提固定资产折旧时,可能借记的账户有( )。
A.“制造费用”B.“管理费用”C.“累计折旧”D.“销售费用”E.“财务费用”7.确认工资费用时,可能借记的账户有( )。
A.“生产成本”B.“制造费用”C.“管理费用”D.“销售费用”E.“在建工程”8.期末计算出应交销售税金时,应( )。
A.借记“营业税金及附加”账户B.贷记“营业税金及附加”账户C.借记“应交税费”账户D.贷记“应交税费”账户E. 贷记“银行存款”9.企业销售产品时,与“主营业务收入”账户可能发生对应关系的账户有( )。
A.“银行存款”B.“应收账款”C.“预付账款”D.“预收账款”E. “应收票据”10.企业结转已销产品成本时,应( )。
A.借记“主营业务成本”账户B.贷记“库存商品”账户C.借记“本年利润”账户D.贷记“主营业务成本”账户E. 贷记“生产成本”11.下列各项中,属于销售费用的有( )。
A.广告费B.专设销售机构经费C.产品展销费D.行政管理人员工资E. 运杂费12.下列项目中,应计入营业利润的有( )。
A.营业收入B.营业成本C.营业外收入D.营业外支出E. 所得税费用13.下列项目中,可以计入营业外收入的是( )。
A.非流动资产处置利得B.盘盈利得C.捐赠利得D.销售材料收入E.债务重组利得14.下列项目中,可以计入营业外支出的是( )。
A.非流动资产处置损失B.盘亏损失C.罚款支出D.非常损失E. 债务重组损失15.“所得税费用”账户属于( )。
A.资产类账户B.损益类账户C.费用类账户D.所有者权益类账户E.负债类账户三、判断题1.“短期借款”账户的贷方余额,表示企业尚未偿还的短期借款本金。
( )2.“原材料”账户的借方用于登记企业已验收入库材料的成本,贷方用于登记领用或发出材料的成本,余额在借方,表示企业库存材料的成本。
( )3.“应付账款”账户的期末余额,一定在贷方。
( )4.“预付账款”账户用来反映企业因购买材料等而预付给供应单位的款项及其结算情况。
该账户属于资产类账户,因此,该账户的期末余额一定在借方。
( )5.企业为生产一定种类和数量的产品而发生的生产费用的总和,称为产品的生产成本。
( )6.管理费用、制造费用和财务费用,均属于期间费用。
( )7.“制造费用”账户的借方登记生产车间发生的制造费用,贷方登记分配转出的制造费用,该账户期末一般无余额。
( )8.“财务费用”账户是用来反映企业为筹集生产经营所需资金等而发生的筹资费用的。
( )9.“应付职工薪酬”账户的贷方登记企业应支付给职工的薪酬,借方登记企业实际支付给职工的薪酬,余额一定在贷方。
( )10.“管理费用”账户的借方发生额在期末时采用一定的方法分配计入产品成本。
( )11.销售费用包括企业销售产品、提供劳务过程中发生的保险费、包装费、广告费、运输费、装卸费等,但不包括企业专设销售机构的经费。
( )12.企业的经营成果也可能表现为亏损。
( )13.所得税是企业的一种费用。
( )14.“应交税费——应交所得税”账户的贷方登记企业应交纳的所得税,借方登记企业实际交纳的所得税。
该账户的余额可能在贷方,也可能在借方。
( )15.“利润分配”账户属于所有者权益类账户。
该账户的借方登记分配出去的利润,贷方登记转入的净利润。
该账户的余额可能在贷方,也可能在借方。
( )四、业务题(一)练习资金筹集业务的核算已知资料如下:1.企业收到所有者的投资2 000 000元,款已存入银行。
2.企业收到所有者的投资6 000 000元,款已存入银行。
该出资人按其在企业注册资本中的份额计算确认的资本额为5 000 000元。
3.南方股份有限公司发行普通股10 000 000股筹集股本,每股面值1元,发行价为每股3元,发行收入款已存入银行。
4.企业从银行借入期限为半年的短期借款500 000元,款已存入银行。
5.期末,企业应付上述短期借款利息10 000元,应予计提。
6.企业用银行存款60 000元,支付短期借款利息(已计提50 000元)。
7.前述短期借款到期,企业用银行存款偿还其本金500 000元。
8.企业从银行借入期限为3年的分期付息、到期一次还本长期借款800 000元,款已存入银行。
9.年末,企业应付上述长期借款利息15 000元,应予计提。
10.上述长期借款到期,企业用银行存款偿还其本金800 000元。
要求:编制上述业务的会计分录。
(二)练习材料采购业务的核算某制造业企业2×11年10月发生如下有关材料采购业务:1.向东华工厂购进A材料100吨,单价200元。
货款20 000元,增值税进项税额3 400元,全部款项均已通过银行支付。
材料尚未验收入库2.以银行存款2 000元支付购买上述A材料的运杂费。
材料验收入库。
3.向西京工厂购进B材料500千克,单价10元。
货款5 000元和增值税进项税额850均未支付。
材料已验收入库,4.用银行存款向光明工厂预付购买A材料的货款80 000元。
5.向光明工厂购进已预付货款的A材料500吨,单价200元。
材料已验收入库,货款100 000元,增值税进项税额17 000元,其中80 000元冲销原预付的货款,不足部分以银行存款支付。
6.以银行存款偿还前欠西京工厂的5 850元购料款。
要求:根据以上业务,编制会计分录。
(三)练习材料采购成本的计算和材料采购会计分录的编制华夏公司从A企业购买甲材料10 000千克,单价60元,价款合计600 000元;乙材料800千克,单价500元,价款合计400 000元;增值税专用发票上注明的增值税进项税额为170 000元,全部款项均以银行存款支付,材料已验收入库。
为购买甲、乙两种材料,华夏公司还用银行存款支付了10 000元的运杂费。
要求:1.将运杂费在甲、乙两种材料之间进行分配,假定运杂费的分配标准为材料价款。
2.计算甲、乙两种材料的采购成本。
3.编制材料采购的会计分录。
(四)练习产品生产业务的核算某制造业企业2×11年10月份,有关经济业务的资料如下:1.车间、厂部从仓库领用的各种材料汇总列表如下(金额单位:元):A材料B材料合计数量(吨)金额数量(吨)金额生产甲产品领用10020 0002002 00022 000生产乙产品领用5010 0001001 00011 000车间管理部门领用——50 500 500厂部管理部门领用——50 500 500合计15030 0004 0002.计算本月应付职工工资如下:甲产品生产工人工资 12 000元乙产品生产工人工资 6 000元车间管理人员工资 1 400元厂部管理人员工资 2 000元合计 21 400元3.用银行存款发放职工工资21 400元。
4.以银行存款支付本月电费2 600元。
其中:生产甲产品用电 1 000元生产乙产品用电 600元车间照明用电 600厂部照明用电 400元5.以库存现金支付厂部办公费700元,车间办公费500元。
6.计提本月固定资产折旧费8 000元,其中生产车间固定资产折旧费为6 000元,厂部固定资产折旧费为2 000元。