高等数学作业下-5 (答案)
- 格式:doc
- 大小:851.50 KB
- 文档页数:14
高等数学(下)习题七1. 在空间直角坐标系中,定出下列各点的位置:A(1,2,3); B(-2,3,4); C(2,-3,-4);D(3,4,0); E(0,4,3); F(3,0,0).解:点A在第Ⅰ卦限;点B在第Ⅱ卦限;点C在第Ⅷ卦限;点D在xOy面上;点E在yOz面上;点F在x轴上.2. xOy坐标面上的点的坐标有什么特点?yOz面上的呢?zOx面上的呢?答: 在xOy面上的点,z=0;在yOz面上的点,x=0;在zOx面上的点,y=0.3. x轴上的点的坐标有什么特点?y轴上的点呢?z轴上的点呢?答:x轴上的点,y=z=0;y轴上的点,x=z=0;z轴上的点,x=y=0.4. 求下列各对点之间的距离:(1)(0,0,0),(2,3,4);(2)(0,0,0),(2,-3,-4);(3)(-2,3,-4),(1,0,3);(4)(4,-2,3),(-2,1,3).解:(1)s=(2) s==(3) s=(4) s==.5. 求点(4,-3,5)到坐标原点和各坐标轴间的距离.解:点(4,-3,5)到x轴,y轴,z轴的垂足分别为(4,0,0),(0,-3,0),(0,0,5).s==故s==xs==ys==.5z6. 在z轴上,求与两点A(-4,1,7)和B(3,5,-2)等距离的点.解:设此点为M(0,0,z),则222222-++-=++--(4)1(7)35(2)z z解得149z=即所求点为M(0,0,149).7. 试证:以三点A(4,1,9),B(10,-1,6),C(2,4,3)为顶点的三角形是等腰直角三角形.证明:因为|AB|=|AC|=7.且有|AC|2+|AB|2=49+49=98=|BC|2.故△ABC为等腰直角三角形.8. 验证:()()++=++a b c a b c.证明:利用三角形法则得证.见图7-1图7-19. 设2,3.u v=-+=-+-a b c a b c 试用a, b, c表示23.u v-解:232(2)3(3)2243935117u v-=-+--+-=-++-+=-+a b c a b ca b c a b ca b c10. 把△ABC的BC边分成五等份,设分点依次为D1,D2,D3,D4,再把各分点与A 连接,试以AB=c,BC=a表示向量1D A,2D A,3D A和4D A.解:1115D A BA BD=-=--c a2225D A BA BD=-=--c a3335D A BA BD=-=--c a444.5D A BA BD=-=--c a11. 设向量OM的模是4,它与投影轴的夹角是60°,求这向量在该轴上的投影.解:设M的投影为M',则1Pr j cos604 2.2uOM OM=︒=⨯=12. 一向量的终点为点B(2,-1,7),它在三坐标轴上的投影依次是4,-4和7,求这向量的起点A的坐标.解:设此向量的起点A的坐标A(x, y, z),则{4,4,7}{2,1,7}AB x y z =-=----解得x =-2, y =3, z =0故A 的坐标为A (-2, 3, 0).13. 一向量的起点是P 1(4,0,5),终点是P 2(7,1,3),试求:(1) 12PP 在各坐标轴上的投影; (2) 12PP 的模;(3) 12PP 的方向余弦; (4) 12PP 方向的单位向量.解:(1)12Pr j 3,x x a PP ==12Pr j 1,y y a PP == 12Pr j 2.z z a PP ==-(2) 12(7PP == (3) 12cos 14xa PP α== 12cos 14ya PP β==12cos 14za PP γ==(4) 12012{14PPPP ===-e j . 14. 三个力F 1=(1,2,3), F 2=(-2,3,-4), F 3=(3,-4,5)同时作用于一点. 求合力R 的大小和方向余弦.解:R =(1-2+3,2+3-4,3-4+5)=(2,1,4)||==Rcos coscos αβγ=== 15. 求出向量a = i +j +k , b =2i -3j +5k 和c =-2i -j +2k 的模,并分别用单位向量,,a b c e e e 来表达向量a , b , c .解:||==a||==b||3==c, , 3. a b c ==a b c e16. 设m =3i +5j +8k , n =2i -4j -7k , p =5i +j -4k ,求向量a =4m +3n -p 在x 轴上的投影及在y 轴上的分向量.解:a =4(3i +5j +8k )+3(2i -4j -7k )-(5i +j -4k )=13i +7j +15k在x 轴上的投影a x =13,在y 轴上分向量为7j .17. 向量r 与三坐标轴交成相等的锐角,求这向量的单位向量e r .解:因αβγ==,故23cos 1 α=,cos αα==则{cos ,cos ,cos })r αβγ===++e i j k . 18. 已知两点M 1(2,5,-3),M 2(3,-2,5),点M 在线段M 1M 2上,且123M M MM =,求向径OM 的坐标.解:设向径OM ={x , y , z }12{2,5,3}{3,2,5}M M x y z MM x y z =--+=----因为,123M M MM = 所以,11423(3)153(2) 433(5)3x x x y y y z z z ⎧=⎪-=-⎧⎪⎪⎪-=--⇒=-⎨⎨⎪⎪+=-⎩=⎪⎪⎩故OM ={111,,344-}. 19. 已知点P 到点A (0,0,12)的距离是7,OP 的方向余弦是236,,777,求点P 的坐标. 解:设P 的坐标为(x , y , z ),2222||(12)49PA x y z =++-=得2229524x y z z ++=-+126570cos 6, 749z z γ==⇒==又122190cos 2, 749x x α==⇒==123285cos 3, 749y y β==⇒== 故点P 的坐标为P (2,3,6)或P (190285570,,494949). 20. 已知a , b 的夹角2π3ϕ=,且3,4a b ==,计算: (1) a ·b ; (2) (3a -2b )·(a + 2b ). 解:(1)a ·b =2π1cos ||||cos3434632ϕ⋅⋅=⨯⨯=-⨯⨯=-a b (2) (32)(2)3624-⋅+=⋅+⋅-⋅-⋅a b a b a a a b b a b b2223||44||334(6)41661.=+⋅-=⨯+⨯--⨯=-a a b b21. 已知a =(4,-2, 4), b =(6,-3, 2),计算:(1)a ·b ; (2) (2a -3b )·(a + b ); (3)2||-a b解:(1)46(2)(3)4238⋅=⨯+-⨯-+⨯=a b(2) (23)()2233-⋅+=⋅+⋅-⋅-⋅a b a b a a a b a b b b 222222222||3||2[4(2)4]383[6(3)2]23638349113=-⋅-=⨯+-+--+-+=⨯--⨯=-a a b b(3) 222||()()2||2||-=-⋅-=⋅-⋅+⋅=-⋅+a b a b a b a a a b b b a a b b 36238499=-⨯+=22. 已知四点A (1,-2,3),B (4,-4,-3),C (2,4,3),D (8,6,6),求向量AB 在向量CD 上的投影.解:AB ={3,-2,-6},CD ={6,2,3}Pr j CD AB CD AB CD ⋅=4.7==- 23. 设重量为100kg 的物体从点M 1(3, 1, 8)沿直线移动到点M 2(1,4,2),计算重力所作的功(长度单位为m ).解:取重力方向为z 轴负方向,依题意有f ={0,0, -100×9.8}s = 12M M ={-2, 3,-6}故W = f ·s ={0,0,-980}·{-2,3,-6}=5880 (J)24. 若向量a +3b 垂直于向量7a -5b ,向量a -4b 垂直于向量7a -2b ,求a 和b 的夹角. 解: (a +3b )·(7a -5b )=227||1615||0+⋅-=a a b b ①(a -4b )·(7a -2b ) = 227||308||0-⋅+=a a b b ② 由①及②可得:222221()1||||2||||4⋅⋅⋅==⇒=a b a b a b a b a b 又21||02⋅=>a b b ,所以1cos ||||2θ⋅==a b a b , 故1πarccos 23θ==. 25. 一动点与M 0(1,1,1)连成的向量与向量n =(2,3,-4)垂直,求动点的轨迹方程. 解:设动点为M (x , y , z )0{1,1,1}M M x y z =---因0M M n ⊥,故00M M n ⋅=.即2(x -1)+3(y-1)-4(z-1)=0整理得:2x +3y-4z-1=0即为动点M 的轨迹方程.26. 设a =(-2,7,6),b =(4, -3, -8),证明:以a 与b 为邻边的平行四边形的两条对角线互相垂直.证明:以a ,b 为邻边的平行四边形的两条对角线分别为a +b ,a -b ,且a +b ={2,4, -2}a-b ={-6,10,14}又(a +b )·(a-b )= 2×(-6)+4×10+(-2)×14=0故(a +b )⊥(a-b ).27. 已知a =3i +2j -k , b =i -j +2k ,求:(1) a ×b ;(2) 2a ×7b ;(3) 7b ×2a ; (4) a ×a .解:(1) 211332375122111--⨯=++=----a b i j k i j k(2) 2714()429870⨯=⨯=--a b a b i j k(3) 7214()14()429870⨯=⨯=-⨯=-++b a b a a b i j k(4) 0⨯=a a .28. 已知向量a 和b 互相垂直,且||3, ||4==a b .计算:(1) |(a +b )×(a -b )|;(2) |(3a +b )×(a -2b )|.(1)|()()|||2()|+⨯-=⨯-⨯+⨯-⨯=-⨯a b a b a a a b b a b b a bπ2||||sin 242=⋅⋅=a b (2) |(3)(2)||362||7()|+⨯-=⨯-⨯+⨯-⨯=⨯a b a b a a a b b a b b b aπ734sin 842=⨯⨯⨯= 29. 求垂直于向量3i-4j-k 和2i-j +k 的单位向量,并求上述两向量夹角的正弦. 解:411334555111221----⨯=++=--+--a b i j k i j k与⨯a b平行的单位向量)||⨯==--+⨯a b e i j k a b||sin ||||θ⨯===⨯a b a b . 30. 一平行四边形以向量a =(2,1,-1)和b =(1,-2,1)为邻边,求其对角线夹角的正弦. 解:两对角线向量为13=+=-l a b i j ,232=-=+-l a b i j k因为12|||2610|⨯=++l l i j k12||||==l l 所以1212||sin 1||||θ⨯===l l l l . 即为所求对角线间夹角的正弦.31. 已知三点A (2,-1,5), B (0,3,-2), C (-2,3,1),点M ,N ,P 分别是AB ,BC ,CA 的中点,证明:1()4MN MP AC BC ⨯=⨯. 证明:中点M ,N ,P 的坐标分别为31(1,1,), (1,3,), (0,1,3)22M N P -- {2,2,2}MN =--3{1,0,}2MP =- {4,4,4}AC =--{2,0,3}BC =- 22222235233100122MN MP ----⨯=++=++--i j k i j k 44444412208033220AC BC ---⨯=++=++--i j k i j k 故 1()4MN MP AC BC ⨯=⨯. 32. 求同时垂直于向量a =(2,3,4)和横轴的单位向量.解:设横轴向量为b =(x ,0,0)则同时垂直于a ,b 的向量为3442230000x x ⨯=++a b i j k =4x j -3x k故同时垂直于a ,b 的单位向量为1(43)||5⨯=±=±-⨯a b e j k a b . 33. 四面体的顶点在(1,1,1),(1,2,3),(1,1,2)和(3,-1,2)求四面体的表面积. 解:设四顶点依次取为A , B , C , D .{0,1,2}, {2,2,1}AB AD ==-则由A ,B ,D 三点所确定三角形的面积为111|||542|222S AB AD =⨯=+-=i j k .同理可求其他三个三角形的面积依次为12故四面体的表面积122S =+. 34. 已知三点A (2,4,1), B (3,7,5), C (4,10,9),证:此三点共线.证明:{1,3,4}AB =,{2,6,8}AC =显然2AC AB =则22()0AB AC AB AB AB AB ⨯=⨯=⨯=故A ,B ,C 三点共线.35. 求过点(4,1,-2)且与平面3x -2y +6z =11平行的平面方程.解:所求平面与平面3x -2y +6z =11平行故n ={3,-2,6},又过点(4,1,-2)故所求平面方程为:3(x -4)-2(y -1)+6(z +2)=0即3x -2y +6z +2=0.36. 求过点M 0(1,7,-3),且与连接坐标原点到点M 0的线段OM 0垂直的平面方程. 解:所求平面的法向量可取为0{1,7,3}OM ==-n故平面方程为:x -1+7(y -7)-3(z +3)=0即x +7y -3z -59=037. 设平面过点(1,2,-1),而在x 轴和z 轴上的截距都等于在y 轴上的截距的两倍,求此平面方程.解:设平面在y 轴上的截距为b 则平面方程可定为122x y z b b b++= 又(1,2,-1)在平面上,则有121122b b b-++= 得b =2. 故所求平面方程为1424x y z ++= 38. 求过(1,1,-1),(-2,-2,2)和(1,-1,2)三点的平面方程.解:由平面的三点式方程知1112121213131310x x y y z z x x y y z z x x y y z z ------=--- 代入三已知点,有1112121*********x y z --+----+=---+ 化简得x -3y -2z =0即为所求平面方程.39. 指出下列各平面的特殊位置,并画出其图形:(1) y =0; (2) 3x -1=0;(3) 2x -3y -6=0; (4) x –y =0;(5) 2x -3y +4z =0.解:(1) y =0表示xOz 坐标面(如图7-2)(2) 3x -1=0表示垂直于x 轴的平面.(如图7-3)图7-2 图7-3(3) 2x-3y-6=0表示平行于z轴且在x轴及y轴上的截距分别为x=3和y =-2的平面.(如图7-4)(4) x–y=0表示过z轴的平面(如图7-5)(5) 2x-3y+4z=0表示过原点的平面(如图7-6).图7-4 图7-5 图7-6 40. 通过两点(1,1,1,)和(2,2,2)作垂直于平面x+y-z=0的平面. 解:设平面方程为Ax+By+Cz+D=0则其法向量为n={A,B,C}已知平面法向量为n1={1,1,-1}过已知两点的向量l={1,1,1}由题知n·n1=0, n·l=0即0,.A B CC A BA B C+-=⎧⇒==-⎨++=⎩所求平面方程变为Ax-Ay+D=0又点(1,1,1)在平面上,所以有D=0故平面方程为x-y=0.41. 决定参数k的值,使平面x+ky-2z=9适合下列条件:(1)经过点(5,-4,6);(2)与平面2x-3y+z=0成π4的角. 解:(1)因平面过点(5,-4,6)故有 5-4k-2×6=9得k=-4.(2)两平面的法向量分别为n1={1,k,-2} n2={2,-3,1}且122123π2cos cos||||42514kkθ⋅-====+⋅n nn n解得2k =±42. 确定下列方程中的l 和m :(1) 平面2x +ly +3z -5=0和平面mx -6y -z +2=0平行; (2) 平面3x -5y +lz -3=0和平面x +3y +2z +5=0垂直. 解:(1)n 1={2,l ,3}, n 2={m ,-6,-1}12232,18613l m l m ⇒==⇒=-=--n n (2) n 1={3, -5, l }, n 2={1,3,2}12315320 6.l l ⊥⇒⨯-⨯+⨯=⇒=n n43. 通过点(1,-1,1)作垂直于两平面x -y +z -1=0和2x +y +z +1=0的平面.解:设所求平面方程为Ax +By +Cz +D =0 其法向量n ={A ,B ,C }n 1={1,-1,1}, n 2={2,1,1}12203203A C A B C A B C CB ⎧=-⎪⊥⇒-+=⎪⇒⎨⊥⇒++=⎪=⎪⎩n n n n 又(1,-1,1)在所求平面上,故A -B +C +D =0,得D =0故所求平面方程为2033CCx y Cz -++= 即2x -y -3z =044. 求平行于平面3x -y +7z =5,且垂直于向量i -j +2k 的单位向量. 解:n 1={3,-1,7}, n 2={1,-1,2}.12,⊥⊥n n n n故1217733152122111--=⨯=++=+---n n n i j k i j k则2).n =+-e i j k 45. 求通过下列两已知点的直线方程: (1) (1,-2,1), (3,1,-1); (2) (3,-1,0),(1,0,-3). 解:(1)两点所确立的一个向量为s ={3-1,1+2,-1-1}={2,3,-2}故直线的标准方程为:121232x y z -+-==- 或 311232x y z --+==- (2)直线方向向量可取为s ={1-3,0+1,-3-0}={-2,1,-3}故直线的标准方程为:31213x y z -+==-- 或 13213x y z -+==-- 46. 求直线234035210x y z x y z +--=⎧⎨-++=⎩的标准式方程和参数方程.解:所给直线的方向向量为12311223719522335--=⨯=++=----s n n i j k i j k另取x 0=0代入直线一般方程可解得y 0=7,z 0=17于是直线过点(0,7,17),因此直线的标准方程为:7171719x y z --==-- 且直线的参数方程为:771719x t y t z t =⎧⎪=-⎨⎪=-⎩47. 求下列直线与平面的交点:(1)11126x y z-+==-, 2x +3y +z -1=0; (2) 213232x y z +--==, x +2y -2z +6=0. 解:(1)直线参数方程为1126x ty t z t =+⎧⎪=--⎨⎪=⎩代入平面方程得t =1 故交点为(2,-3,6).(2) 直线参数方程为221332x t y t z t =-+⎧⎪=+⎨⎪=+⎩代入平面方程解得t =0. 故交点为(-2,1,3). 48. 求下列直线的夹角:(1)533903210x y z x y z -+-=⎧⎨-+-=⎩ 和 2223038180x y z x y z +-+=⎧⎨++-=⎩;(2)2314123x y z ---==- 和 38121y z x --⎧=⎪--⎨⎪=⎩解:(1)两直线的方向向量分别为:s 1={5, -3,3}×{3, -2,1}=533321ij k--={3,4, -1}s 2={2,2, -1}×{3,8,1}=221381i j k-={10, -5,10}由s 1·s 2=3×10+4×(-5)+( -1) ×10=0知s 1⊥s 2 从而两直线垂直,夹角为π2. (2) 直线2314123x y z ---==-的方向向量为s 1={4, -12,3},直线38121y z x --⎧=⎪--⎨⎪=⎩的方程可变为22010y z x -+=⎧⎨-=⎩,可求得其方向向量s 2={0,2, -1}×{1,0,0}={0, -1, -2},于是1212cos 0.2064785θθ⋅==≈⋅'≈︒s s s s 49. 求满足下列各组条件的直线方程:(1)经过点(2,-3,4),且与平面3x -y +2z -4=0垂直; (2)过点(0,2,4),且与两平面x +2z =1和y -3z =2平行; (3)过点(-1,2,1),且与直线31213x y z --==-平行. 解:(1)可取直线的方向向量为s ={3,-1,2}故过点(2,-3,4)的直线方程为234312x y z -+-==- (2)所求直线平行两已知平面,且两平面的法向量n 1与n 2不平行,故所求直线平行于两平面的交线,于是直线方向向量12102{2,3,1}013=⨯==--i j ks n n故过点(0,2,4)的直线方程为24231x y z --==- (3)所求直线与已知直线平行,故其方向向量可取为 s ={2,-1,3}故过点(-1,2,1)的直线方程为121213x y z +--==-. 50. 试定出下列各题中直线与平面间的位置关系:(1)34273x y z++==--和4x -2y -2z =3; (2)327x y z ==-和3x -2y +7z =8;(3)223314x y z -+-==-和x +y +z =3. 解:平行而不包含. 因为直线的方向向量为s ={-2,-7,3}平面的法向量n ={4,-2,-2},所以(2)4(7)(2)3(2)0⋅=-⨯+-⨯-+⨯-=s n于是直线与平面平行.又因为直线上的点M 0(-3,-4,0)代入平面方程有4(3)2(4)2043⨯--⨯--⨯=-≠.故直线不在平面上.(2) 因直线方向向量s 等于平面的法向量,故直线垂直于平面.(3) 直线在平面上,因为3111(4)10⨯+⨯+-⨯=,而直线上的点(2,-2,3)在平面上. 51. 求过点(1,-2,1),且垂直于直线23030x y z x y z -+-=⎧⎨+-+=⎩ 的平面方程.解:直线的方向向量为12123111-=++-i j ki j k , 取平面法向量为{1,2,3},故所求平面方程为1(1)2(2)3(1)0x y z ⨯-+++-=即x +2y +3z =0.52. 求过点(1,-2,3)和两平面2x -3y +z =3, x +3y +2z +1=0的交线的平面方程. 解:设过两平面的交线的平面束方程为233(321)0x y z x y z λ-+-++++= 其中λ为待定常数,又因为所求平面过点(1,-2,3) 故213(2)33(13(2)231)0λ⨯-⨯-+-++⨯-+⨯+= 解得λ=-4.故所求平面方程为2x +15y +7z +7=053. 求点(-1,2,0)在平面x +2y -z +1=0上的投影.解:过点(-1,2,0)作垂直于已知平面的直线,则该直线的方向向量即为已知平面的法向量,即s =n ={1,2,-1}所以垂线的参数方程为122x t y t z t =-+⎧⎪=+⎨⎪=-⎩将其代入平面方程可得(-1+t )+2(2+2t )-(-t )+1=0 得23t =-于是所求点(-1,2,0)到平面的投影就是此平面与垂线的交点522(,,)333- 54. 求点(1,2,1)到平面x +2y +2z -10=0距离.解:过点(1,2,1)作垂直于已知平面的直线,直线的方向向量为s =n ={1,2,2}所以垂线的参数方程为12212x t y t z t =+⎧⎪=+⎨⎪=+⎩将其代入平面方程得13t =. 故垂足为485(,,)333,且与点(1,2,1)的距离为1d == 即为点到平面的距离. 55. 求点(3,-1,2)到直线10240x y z x y z +-+=⎧⎨-+-=⎩的距离.解:过点(3,-1,2)作垂直于已知直线的平面,平面的法向量可取为直线的方向向量即11133211==-=---ij kn s j k 故过已知点的平面方程为y +z =1.联立方程组102401x y z x y z y z +-+=⎧⎪-+-=⎨⎪+=⎩解得131,,.22x y z ==-= 即13(1,,)22-为平面与直线的垂足于是点到直线的距离为2d ==56. 建立以点(1,3,-2)为中心,且通过坐标原点的球面方程. 解:球的半径为22213(2)14.R =++-=设(x ,y ,z )为球面上任一点,则(x -1)2+(y -3)2+(z +2)2=14即x 2+y 2+z 2-2x -6y +4z =0为所求球面方程.57. 一动点离点(2,0,-3)的距离与离点(4,-6,6)的距离之比为3,求此动点的轨迹方程.解:设该动点为M (x ,y ,z ),由题意知222222(2)(0)(3) 3.(4)(6)(6)x y z x y z -+-++=-+++-化简得:8x 2+8y 2+8z 2-68x +108y -114z +779=0 即为动点的轨迹方程.58. 指出下列方程所表示的是什么曲面,并画出其图形:(1)22()()22a a x y -+=; (2)22149x y -+=; (3)22194x z +=; (4)20y z -=; (5)220x y -=; (6)220x y +=. 解:(1)母线平行于z 轴的抛物柱面,如图7-7. (2)母线平行于z 轴的双曲柱面,如图7-8.图7-7 图7-8 (3)母线平行于y 轴的椭圆柱面,如图7-9. (4)母线平行于x 轴的抛物柱面,如图7-10.图7-9 图7-10(5)母线平行于z 轴的两平面,如图7-11. (6)z 轴,如图7-12.图7-11 图7-12 59. 指出下列方程表示怎样的曲面,并作出图形:(1)222149y z x ++=; (2)22369436x y z +-=; (3)222149y z x --=; (4)2221149y z x +-=; (5)22220x y z -+=; (6)22209z x y +-=. 解:(1)半轴分别为1,2,3的椭球面,如图7-13. (2) 顶点在(0,0,-9)的椭圆抛物面,如图7-14.图7-13 图7-14(3) 以x 轴为中心轴的双叶双曲面,如图7-15. (4) 单叶双曲面,如图7-16.图7-15 图7-16(5) 顶点在坐标原点的椭圆锥面,其中心轴是y 轴,如图7-17. (6) 顶点在坐标原点的圆锥面,其中心轴是z 轴,如图7-18.图7-17 图7-1860. 作出下列曲面所围成的立体的图形: (1) x 2+y 2+z 2=a 2与z =0,z =2a(a >0); (2) x +y +z =4,x =0,x =1,y =0,y =2及z =0; (3) z =4-x 2, x =0, y =0, z =0及2x +y =4; (4) z =6-(x 2+y 2),x =0, y =0, z =0及x +y =1. 解:(1)(2)(3)(4)分别如图7-19,7-20,7-21,7-22所示.图7-19 图7-20图7-21 图7-22 61. 求下列曲面和直线的交点:(1) 222181369x y z ++=与342364x y z --+==-; (2) 22211694x y z +-=与2434x y z +==-. 解:(1)直线的参数方程为334624x t y t z t =+⎧⎪=-⎨⎪=-+⎩代入曲面方程解得t =0,t =1. 得交点坐标为(3,4,-2),(6,-2,2). (2) 直线的参数方程为4324x t y tz t =⎧⎪=-⎨⎪=-+⎩代入曲面方程可解得t =1, 得交点坐标为(4,-3,2).62. 设有一圆,它的中心在z 轴上,半径为3,且位于距离xOy 平面5个单位的平面上,试建立这个圆的方程.解:设(x ,y ,z )为圆上任一点,依题意有2295x y z ⎧+=⎨=±⎩ 即为所求圆的方程.63. 建立曲线x 2+y 2=z , z =x +1在xOy 平面上的投影方程. 解:以曲线为准线,母线平行于z 轴的柱面方程为x 2+y 2=x +1即2215()24x y -+=. 故曲线在xOy 平面上的投影方程为2215()240x y z ⎧-+=⎪⎨⎪=⎩64. 求曲线x 2+y 2+z 2=a 2, x 2+y 2=z 2在xOy 面上的投影曲线.解:以曲线为准线,母线平行于z 轴的柱面方程为2222a x y +=故曲线在xOy 面上的投影曲线方程为22220a x y z ⎧+=⎪⎨⎪=⎩65. 试考察曲面22219254x y z -+=在下列各平面上的截痕的形状,并写出其方程. (1) 平面x =2; (2) 平面y =0; (3) 平面y =5; (4) 平面z =2.解:(1)截线方程为2212x ⎧=⎪⎪⎨⎪⎪=⎩ 其形状为x =2平面上的双曲线.(2)截线方程为221940x z y ⎧+=⎪⎨⎪=⎩为xOz 面上的一个椭圆.(3)截线方程为2215y ⎧==⎩为平面y =5上的一个椭圆.(4) 截线方程为2209252x y z ⎧-=⎪⎨⎪=⎩为平面z =2上的两条直线.66. 求单叶双曲面22211645x y z +-=与平面x -2z +3=0的交线在xOy 平面,yOz 平面及xOz 平面上的投影曲线. 解:以32x z +=代入曲面方程得 x 2+20y 2-24x -116=0.故交线在xOy 平面上的投影为2220241160x y x z ⎧+--=⎨=⎩ 以x =2z -3代入曲面方程,得 20y 2+4z 2-60z -35=0.故交线在yOz 平面上的投影为2220460350y z z x ⎧+--=⎨=⎩ 交线在xOz 平面上的投影为230,0.x z y -+=⎧⎨=⎩习题八1. 判断下列平面点集哪些是开集、闭集、区域、有界集、无界集?并分别指出它们的聚点集和边界:(1) {(x ,y )|x ≠0};(2) {(x ,y )|1≤x 2+y 2<4};(3) {(x ,y )|y <x 2};(4) {(x ,y )|(x -1)2+y 2≤1}∪{(x ,y )|(x +1)2+y 2≤1}.解:(1)开集、无界集,聚点集:R 2,边界:{(x ,y )|x =0}. (2)既非开集又非闭集,有界集,聚点集:{(x ,y )|1≤x 2+y 2≤4},边界:{(x ,y )|x 2+y 2=1}∪{(x ,y )| x 2+y 2=4}. (3)开集、区域、无界集,聚点集:{(x ,y )|y ≤x 2},边界:{(x ,y )| y =x 2}.(4)闭集、有界集,聚点集即是其本身,边界:{(x ,y )|(x -1)2+y 2=1}∪{(x ,y )|(x +1)2+y 2=1}. 2. 已知f (x ,y )=x 2+y 2-xy tanxy,试求(,)f tx ty . 解:222(,)()()tan(,).tx f tx ty tx ty tx ty t f x y ty=+-⋅= 3. 已知(,,)w u vf u v w u w+=+,试求(,,).f x y x y xy +-解:f (x +y , x -y , xy ) =(x +y )xy+(xy )x +y +x -y=(x +y )xy +(xy )2x.4. 求下列各函数的定义域:2(1)ln(21);z y x =-+(2)z=+(3)z =(4)u =+(5)z =(6)ln()z y x =-+(7)u =解:2(1){(,)|210}.D x y y x =-+>(2){(,)|0,0}.D x y x y x y =+>->22222(3){(,)|40,10,0}.D x y x y x y x y =-≥-->+≠(4){(,,)|0,0,0}.D x y z x y z =>>> 2(5){(,)|0,0,}.D x y x y x y =≥≥≥ 22(6){(,)|0,0,1}.D x y y x x x y =->≥+< 22222(7){(,,)|0,0}.D x y z x y x y z =+≠+-≥5. 求下列各极限:10y x y →→22001(2)lim;x y x y →→+00x y →→0x y →→00sin (5)lim ;x y xyx →→222222001cos()(6)lim .()e x y x y x y x y +→→-++ 解:(1)原式0ln 2.=(2)原式=+∞. (3)原式=001.4x y →→=-(4)原式=002.x y →→=(5)原式=00sin lim100.x y xyy xy →→⋅=⨯=(6)原式=22222222222()00001()2lim lim 0.()e 2ex y x y x x y y x y x y x y ++→→→→++==+6. 判断下列函数在原点O (0,0)处是否连续:33222222sin(),0,(1)0,0;x y x y z x y x y ⎧++≠⎪=+⎨⎪+=⎩33333333sin(),0,(2)0,0;x y x y z x y x y ⎧++≠⎪=+⎨⎪+=⎩(3) 222222222,0,(2)()0,0;x y x y z x y x y x y ⎧+≠⎪=+-⎨⎪+=⎩解:(1)由于3333333322223333sin()sin()sin()0()x y x y x y x y y x x y x y x y x y++++≤=≤+⋅++++ 又00lim()0x y y x →→+=,且3333000sin()sin lim lim 1x u y x y ux y u →→→+==+, 故0lim 0(0,0)x y z z →→==.故函数在O (0,0)处连续. (2)000sin lim lim1(0,0)0x u y uz z u→→→==≠=故O (0,0)是z 的间断点.(3)若P (x ,y ) 沿直线y =x 趋于(0,0)点,则2222000lim lim 10x x y x x x z x x →→=→⋅==⋅+, 若点P (x ,y ) 沿直线y =-x 趋于(0,0)点,则22222220000()lim lim lim 0()44x x x y x x x x z x x x x →→→=-→-===⋅-++ 故00lim x y z →→不存在.故函数z 在O (0,0)处不连续.7. 指出下列函数在向外间断:(1) f (x ,y )=233x y x y -+;(2) f (x ,y )=2222y xy x +-;(3) f (x ,y )=ln(1-x 2-y 2);(4)f (x ,y )=222e ,0,0,0.x y x y yy -⎧⎪≠⎨⎪=⎩解:(1)因为当y =-x 时,函数无定义,所以函数在直线y =-x 上的所有点处间断,而在其余点处均连续.(2)因为当y 2=2x 时,函数无定义,所以函数在抛物线y 2=2x 上的所有点处间断.而在其余各点处均连续.(3)因为当x 2+y 2=1时,函数无定义,所以函数在圆周x 2+y 2=1上所有点处间断.而在其余各点处均连续.(4)因为点P (x ,y )沿直线y =x 趋于O (0,0)时.1200lim (,)lime x x y x xf x y x-→→=→==∞. 故(0,0)是函数的间断点,而在其余各点处均连续. 8. 求下列函数的偏导数:(1)z =x 2y +2xy;(2)s =22u v uv+;(3)z =x(4)z =lntan x y; (5)z =(1+xy )y; (6)u =z xy;(7)u =arctan(x -y )z; (8)y zu x =.解:(1)223122,.z z x xy x x y y y∂∂=+=-∂∂ (2)u v s v u =+2211,.s v s u u v u v v u∂∂=-=-+∂∂(3)2222212ln(),2z x x x x y x x y ∂==++∂+222.z xy x y y x y ∂==∂+ (4)21122sec csc ,tan z x x x x y y y yy∂=⋅⋅=∂ 222122sec ()csc .tan z x x x x x y y y y yy∂=⋅⋅-=-∂ (5)两边取对数得ln ln(1)z y xy =+故[]221(1)(1)(1).ln(1)1y y y x z y xy xy y xy y xy x xy-∂'=+⋅=+⋅=++∂+[]ln(1)(1)(1)ln(1)1ln(1)(1).1y y y y x z xy yxy xy y xy xy y xy xy xy xy ∂⎡⎤'++=+⋅=++⎢⎥+∂⎣⎦⎡⎤++=+⎢⎥+⎣⎦(6)1ln ln xy xy xy u u uz z y z z x xy z x y z-∂∂∂=⋅⋅=⋅⋅=⋅∂∂∂ (7)11221()().1[()]1()z z z z u z x y z x y x x y x y --∂-=⋅-=∂+-+- 112222()(1)().1[()]1()()ln()()ln().1[()]1()z z z z z zz z u z x y z x y y x y x y u x y x y x y x y z x y x y --∂-⋅--==-∂+-+-∂----==∂+-+-(8)1.yzu y x x z-∂=∂ 2211ln ln .ln ln .y yzzyy z zu x x x x y z zu y y x x x x z z z ∂=⋅=∂∂⎛⎫=⋅=-- ⎪∂⎝⎭9.已知22x y u x y=+,求证:3u u x y u x y ∂∂+=∂∂. 证明: 222223222()2()()u xy x y x y x y xy x x y x y ∂+-+==∂++. 由对称性知 22322()u x y yx y x y ∂+=∂+. 于是 2223()3()u u x y x y x y u x y x y ∂∂++==∂∂+. 10.设11ex y z ⎛⎫+- ⎪⎝⎭=,求证:222z z xy z x y∂∂+=∂∂. 证明: 11112211e e x y x y z x xx ⎛⎫⎛⎫++-- ⎪ ⎪⎝⎭⎝⎭∂⎡⎤⎛⎫=-=- ⎪⎢⎥∂⎝⎭⎣⎦, 由z 关于x ,y 的对称性得1121ex y z y y⎛⎫+- ⎪⎝⎭∂=∂ 故 11111122222211e e 2e 2.x y x y x y z z x y x y z x y x y⎛⎫⎛⎫⎛⎫+++--- ⎪ ⎪ ⎪⎝⎭⎝⎭⎝⎭∂∂+⋅=⋅+⋅==∂∂11.设f (x ,y )=x +(yf x (x ,1) .解:1(,)1(x f x y y y =+- 则(,1)101x f x =+=.12.求曲线2244x y z y ⎧+=⎪⎨⎪=⎩在点(2,4,5)处的切线与正向x 轴所成的倾角.解:(2,4,5)1,1,2z z x x x ∂∂==∂∂ 设切线与正向x 轴的倾角为α, 则tan α=1. 故α=π4. 13.求下列函数的二阶偏导数: (1)z =x 4+ y 4-4x 2y 2; (2)z=arctan y x; (3)z =y x ;(4)z =2ex y+.解:(1)2322224812816z z z x xy x y xy x x x y∂∂∂=-=-=-∂∂∂∂ ,, 由x ,y 的对称性知22222128.16.z z y x xy y y x∂∂=-=-∂∂∂ (2)222211zy y xx y x y x ∂⎛⎫=⋅=-- ⎪∂+⎝⎭⎛⎫+ ⎪⎝⎭,2222222222222222222222222222222222222222()022,()()11,12,()()2,()()2.()()z x y y x xyx x y x y z x y x x y y x z xyy x y z x y y y y x x y x y x y z x y x x y x y x x y x y ∂+⋅-⋅=-=∂++∂=⋅=∂+⎛⎫+ ⎪⎝⎭∂=-∂+∂+-⋅-=-=∂∂++∂+-⋅-=-=∂∂++ (3)222ln ,ln ,xx z z y y y y x x∂∂==∂∂ 21222112111,(1),1ln (1ln ),ln (1ln ).x x x x x x x x z z xy x x y y y z y xy y y x y x y y zy x y y y x y y x-------∂∂==-∂∂∂=⋅+=+∂∂∂=+⋅⋅=+∂∂ (4)22e 2,e ,x y x y z zx x y++∂∂=⋅=∂∂ 222222222e 22e 22e (21),e ,2e ,2e .x y x y x y x y x y x y z x x x xz z z x x y x y y x++++++∂=⋅⋅+⋅=+∂∂∂∂===∂∂∂∂∂14.设f (x ,y ,z )=xy 2+yz 2+zx 2,求(0,0,1),(0,1,0),(2,0,1).xx yz zzx f f f -解:2(,,)2x f x y z y zx =+22(,,)2,(0,0,1)2,(,,)2(,,)2,(0,1,0)0,(,,)2(,,)2(,,)0,(2,0,1)0.xx xx y yz yz z zz zzx zzx f x y z z f f x y z xy z f x y z z f f x y z yz x f x y z yf x y z f ===+=-==+===15.设z =x ln(xy ),求32z x y ∂∂∂及32zx y ∂∂∂.解:ln()1ln(),z yx xy xy x xy∂=⋅+=+∂ 232223221,0,11,.z y zx xy x x y z x z x y xy y x y y∂∂===∂∂∂∂∂===-∂∂∂∂16.求下列函数的全微分: (1)22ex y z +=;(2)z =(3)zy u x =; (4)yzu x =.解:(1)∵2222e 2,e 2x y x y z zx y x y++∂∂=⋅=⋅∂∂ ∴222222d 2e d 2e d 2e (d d )x y xy xy z x x y y x x y y +++=+=+(2)∵22223/21()z xy y x y x x y ∂⎛⎫-=⋅=- ⎪+∂+⎝⎭2223/2()z x yx y ∂==∂+ ∴223/2d (d d ).()xz y x x y x y =--+(3)∵11,ln z z z y y z u u y x x x zy x y--∂∂==⋅⋅∂∂ 2ln ln y z ux x y y z∂=⋅⋅⋅∂ ∴211d d ln d ln ln d .z z zy y z y z u y x x x x zy y x x y y z --=+⋅+⋅⋅⋅(4)∵1yz u y x x z-∂=∂ 1ln yz u x x y z∂=⋅⋅∂ln yz u y x x z z 2∂⎛⎫=⋅⋅- ⎪∂⎝⎭∴121d d ln d ln d .y y yz z z y y u x x x x y x x z z z z -⎛⎫=+⋅⋅+⋅⋅- ⎪⎝⎭17. 求下列函数在给定点和自变量增量的条件下的全增量和全微分: (1)222,2,1,0.2,0.1;z x xy y x y x y =-+==-∆=∆=- (2)e ,1,1,0.15,0.1.xy z x y x y ===∆=∆=解:(1)22()()()2()9.688 1.68z x x x x y y y y z ∆=+∆-+∆+∆++∆-=-=d (2)(4) 1.6z x y x x y y =-∆+-+∆=(2)()()0.265ee e(e 1)0.30e.x x y y xy z +∆+∆∆=-=-=d e e e ()0.25e xy xy xy z y x x y y x x y =∆+∆=∆+∆=18.利用全微分代替全增量,近似计算: (1) (1.02)3·(0.97)2;(3)(1.97)1.05.解:(1)设f (x ,y )=x 3·y 2,则223(,)3,(,)2,x y f x y x y f x y x y ==故d f (x ,y )=3x 2y 2d x +2x 3y d y =xy (3xy d x +2x 2d y ) 取x =1,y =1,d x =0.02,d y =-0.03,则(1.02)3·(0.97)2=f (1.02,0.97)≈f (1,1)+d f (1,1)d 0.02d 0.03x y ==-=13×12+1×1[3×1×1×0.02+2×12×(-0.03)]=1.(2)设f (x ,y,则(,)(,)x y f x y f x y ===故d (,)d d )f x y x x y y =+取4,3,d 0.05,d 0.07x y x y ====-,则d0.05d0.07(4.05,2.93)(4,3)d(4,3)0.053(0.07)]15(0.01)54.998xyf f f==-=≈+=⨯+⨯-=+⨯-=(3)设f(x,y)=x y,则d f(x,y)=yx y-1d x+x y ln x d y,取x=2,y=1,d x=-0.03,d y=0.05,则1.05d0.03d0.05(1.97)(1.97,1.05)(2,1)d(2,1)20.0393 2.0393.xyf f f=-==≈+=+=19.矩型一边长a=10cm,另一边长b=24cm,当a边增加4mm,而b边缩小1mm时,求对角线长的变化.解:设矩形对角线长为l,则d d).l l x x y y==+当x=10,y=24,d x=0.4,d y=-0.1时,d0.4240.1)0.062l=⨯-⨯=(cm)故矩形的对角线长约增加0.062cm.20. 1mol理想气体在温度0℃和1个大气压的标准状态下,体积是22.4L,从这标准状态下将温度升高3℃,压强升高0.015个大气压,问体积大约改变多少?解:由PV=RT得V=RTP,且在标准状态下,R=8.20568×10-2,ΔV≈d v=-2d dRT Rp TP P+=d dV RP TP P-+222.48.20568100.01530.0911-⨯=-⨯+⨯≈-故体积改变量大约为0.09.21. 测得一物体的体积V=4.45cm3,其绝对误差限是0.01cm3,质量m=30.80g,其绝对误差限是0.01g,求由公式mvρ=算出密度ρ的绝对误差与相对误差.解:当V=4.45,m=30.80,d v=0.01,d m=0.01时,22130.801d d d0.010.014.45 4.450.01330.0133mv mv vρ==-+-⨯+⨯≈=-当v=4.45, m=30.80时30.806.92134.45ρ=≈d 0.00192160.19216%ρρ≈=.22. 求下列复合函数的偏导数或全导数:(1)22,cos ,sin ,z x y xy x u v y u v =-==求z u ∂∂,z v∂∂; (2) z =arc tanx y ,x =u +v ,y =u -v ,求z u ∂∂,z v∂∂; (3) ln(e e )xyu =+,y =x 3,求d d ux; (4) u =x 2+y 2+z 2,x =e cos tt ,y =e sin tt ,z =e t,求d d ut. 解:(1)222(2)cos (2)sin 3sin cos (cos sin )z z x z y xy y v x xy v u x u y u u v v v v ∂∂∂∂∂=⋅+⋅=-⋅+-∂∂∂∂∂=-223333(2)sin (2)cos 2sin cos (sin cos )(sin cos ).z z x z yxy y u v x xy u v v x v y v u v v v v u v v ∂∂∂∂∂=⋅+⋅=--⋅+-⋅∂∂∂∂∂=-+++ (2)222222211111x z z x z y y x v y u x u y uyx yu v x x y y ∂∂∂∂∂--⎛⎫-=⋅+⋅=⋅+⋅== ⎪∂∂∂∂∂++⎝⎭⎛⎫⎛⎫++ ⎪ ⎪⎝⎭⎝⎭2222222111(1)11.x z z x z y y v x v y vyx x y y y x ux y u v -∂∂∂∂∂⎛⎫=⋅+⋅=⋅+⋅⋅- ⎪∂∂∂∂∂⎝⎭⎛⎫⎛⎫++ ⎪ ⎪⎝⎭⎝⎭+==++ (3)33222d d d 11e 3e e 3e e e 3.d d d e e e e e e e ex y x x x y x y x y x yx x u u x u y x x x x x x y x ∂∂++=⋅+⋅=⋅+⋅⋅==∂∂++++ (4)d d d d d d d d u u x u y u z t x t y t z t∂∂∂=⋅+⋅+⋅∂∂∂ 22(e cos e sin )2(e sin e cos )2e 4e t t t t t t x t t y t t z =-+++⋅=.23. 设f 具有一阶连续偏导数,试求下列函数的一阶偏导数: (1)22(,e );xyu f x y =-(2),;x y u f y z ⎛⎫= ⎪⎝⎭(3)().,,u f x xy xyz = 解:(1)12122e 2e .xy xy uf x f y xf y f x∂''''=⋅+⋅⋅=+∂ 1212(2)e 2e .xy xy uf y f x yf x f y∂''''=⋅-+⋅⋅=-+∂ (2)1111u f f x y y∂''=⋅=∂ 121222222211..x u x f f f f y y z y z u y y f f z z z ∂⎛⎫''''-=⋅+⋅=-+ ⎪∂⎝⎭∂⎛⎫''=⋅=-- ⎪∂⎝⎭(3)1231231,uf f y f yz f yf yzf x∂''''''=⋅+⋅+⋅=++∂ 12323330,.uf f x f xz xf xzf yuf xy xyf z∂'''''=⋅+⋅+⋅=+∂∂''=⋅=∂24.设(),,()yz xy xF u u F u x=+=为可导函数,证明: .z z xy z xy x y∂∂+=+∂∂ 证明:2()()()()z y y y xF u F u F u y F u x x x ∂⎛⎫''=+⋅+=+-- ⎪∂⎝⎭1()().z x xF u x F u y x∂''=+⋅=+∂ 故[]()()()()()()().z z F u y xy x y x F u F u y x y x xF u xy yF u xy yF u xy xF u xyz xy '∂∂⎡⎤'+=+++-⎢⎥∂∂⎣⎦''=+-++=++=+ 25. 设22()yz f x y =-,其中f (u )为可导函数,验证:211z z zx x y y y∂∂+=∂∂. 证明:∵2222z yf x xyf x f f ''∂⋅=-=-∂, 222(2)2z f y f y f y f y f f ''∂-⋅⋅-+==∂, ∴22222112211z z yf f y f y zx x y y f yf yf f y y ''∂∂++=-+==⋅=∂∂⋅ 26. 22()z f x y =+,其中f 具有二阶导数,求22222,,.z z zx x y y ∂∂∂∂∂∂∂ 解:2,2,z zxf yf x y∂∂''==∂∂ 222222224,224,z f x xf f x f xzxf y xyf x y∂''''''=+⋅=+∂∂''''=⋅=∂∂由对称性知,22224.z f y f y∂'''=+∂27. 设f 是c 2类函数,求下列函数的二阶偏导数: (1),;x x z f y ⎛⎫= ⎪⎝⎭(2)()22;,z f xy x y =(3)().sin ,cos ,e x y z f x y += 解:(1)1212111,z f f f f x y y∂''''=⋅+⋅=+∂ 2212211121112222221222122222222222222222223211121,1111,,2z f f f f f f f y x y y y yx x z x f f f f f f y y y x y y y y yx z x f f y y y z x x f f y y y ∂⎛⎫''''''''''''''+⋅=+⋅+=+⋅+ ⎪∂⎝⎭∂⎛⎫⎛⎫⎛⎫''''''''''--+=⋅-+⋅=-- ⎪ ⎪ ⎪∂∂⎝⎭⎝⎭⎝⎭∂⎛⎫''-==- ⎪∂⎝⎭∂''=-∂22222342.x x x f f y yy ⎛⎫''''-⋅=+ ⎪⎝⎭,。
福州大学高等数学(下)试题及答案一、单项选择题1.设),(y x f 在点),(b a 处的偏导数存在,则xb x a f b x a f x ),(),(lim 0--+→= 。
A 、 0; B 、),2(b a f x ; C 、),(b a f x ; D 、),(2b a f x 。
2.设曲面),(y x f z =与平面0y y =的交线在点)),(,,(000y x f y x o 处的切线与x 轴正向所成的角为6π,则 。
A 、236cos ),(00==πy x f x ; B 、21)62cos(),(00=-=ππy x f y ; C 、336),(00==πtg y x f x ; D 、3)62(),(00=-=ππtg y x f y 。
3.0lim =∞→n n u是级数∑∞=0n n u 发散的 。
A 、 必要条件; B 、充分条件; C 、充要条件; D 、既非充分又非必要。
4.在区域D :220x R y -≤≤上的σd xy D ⎰⎰2值为 。
A 、2R π; B 、24R π; C 、332R π; D 、0。
5.下列函数中,哪个是微分方程02=-xdx dy 的解 。
A 、x y 2=;B 、2x y =;C 、x y 2-=;D 、2x y -=。
二、是非判断题(15分) 1.⎰+-L y x ydx xdy 22=0,其中L 为圆周122=+y x 按逆时针转一周( ) 2.如果x∂∂ϕ,y ∂∂ϕ均存在,则),(y x ϕϕ=沿任何方向的方向导数均存在( ) 3.以),(y x f 为面密度的平面薄片D 的质量可表为σd y x f D ⎰⎰),(。
( ) 4.)(x f 在],0(π上连续且符合狄利克雷条件,则它的余弦级数处处收敛,且],0[π上收敛于)(x f 。
( )1. 微分方程的通解包含了所有的解。
( )三、计算题(16分)1. 设),(22xye y xf -=μ,其中f 具有一阶连续偏导数,求x ∂∂μ,y x ∂∂∂μ2。
西工大2021年4月机考《高等数学(下)》作业试卷总分:100 得分:100答案网叫福到(这四个字的拼音)一、单选题(共50 道试题,共100 分)1.设为连续函数,二次积分交换积分次序后等于().A.<img >B.<img >C.<img ">D.<img s">正确答案:B2.().A.<img s>B.<img sr">C.<img s>D.<img sr"正确答案:3.级数当()时绝对收敛.A.<img s>B.<img s">C.<img s>D.<img 1">正确答案:4.设区域是由及围的,则二重积分=().A.<img s>B.<img s>C.<img s">D.<img s">正确答案:5.设,则().A.<img s">B.0C.1D.2正确答案:6.级数的部分和数列的极限存在是级数收敛的().A.充分条件B.必要条件C.充分必要条件D.无关条件正确答案:7.设为连续函数,二次积分交换积分次序后等于().A.<img s>B.<img s>C.<img s">D.<img s>正确答案:8.若级数收敛,则下列级数不收敛的是().A.<img s>B.<img s>C.<img s">D.<img s正确答案:9.方程表示的曲面为().A.球面B.圆锥面C.椭圆抛物面D.柱面正确答案:10.设函数,则().A.<img s>B.<img s>C.<img s>D.<img s>正确答案:11.设是半径为A. 圆心在原点的上半圆周, 方向为逆时针方向,则().A.<img s">B.<img s">C.<img s1">正确答案:12.设D.是由直线及围成的平面区域,则().A.<img s>B.<img s>C.<img s>D.<img s>正确答案:13.设函数f(x, y)=x+y, 则点(0,0)是f(x, y)的().A.极值点B.连续点C.间断点D.驻点正确答案:14.已知为函数的极值,则A.1,1,-13B.-1,-1,3C.-1,-1,-3D.1,1,-3正确答案:15.().A.1B.<img s>C.<img sr">D.2正确答案:16.微分方程满足初始条件的特解为().A.<img s>B.<img ">C.<img s>D.<img ">正确答案:17.微分方程的通解为().B.y =C.eC.y = eC.D.y = C.e正确答案:18.微分方程的阶是().A.4B.3C.2D.1正确答案:19.设曲线L为圆周,则曲线积分().A.<img s>B.<img s>C.<img sr>D.<img s>正确答案:20.设向量,且与垂直,则().A.4B.6C.8D.10正确答案:21.设区域D.由确定,则().A.<img s1">B.<img s">C.<img s5">D.<img s1">正确答案:22.设是平面上以,和为顶点的三角形区域,是在第二象限的部分,则().A.<img s">B.<img sr">C.<img s>D.<img ">正确答案:A.<img s>B.<img s">C.<img s">D.<img s>正确答案:24.曲线A.<img s>B.<img s>C.<img s>D.<img s">正确答案:25.幂级数的收敛区间为().A.<img s">B.<img s">C.<img s"27D.<img s">正确答案:26.设,则().A.<img ">B.<img s">C.<img s>D.<img s">正确答案:27.设平面过点且与平面平行,则平面的方程为().A.<img s">B.<img s">C.<img >D.<img >正确答案:28.().A.<img s>B.<img s>C.<img s1">D.<img ">29.设区域,则二重积分=().A.<img s>B.<img srC.<img sD.<img s"正确答案:30.().A.0B.<img sC.<img s">D.1正确答案:31.设区域D.由确定,则().A.<img "B.0C.5D.18正确答案:32.设函数,则偏导数().A.<img s">B.<img s>C.<img s>D.<img s>正确答案:33.().A.<img s">B.<img s>C.<img s">D.<img s">正确答案:34.设为连续函数,二次积分交换积分次序后等于().B.<img s">C.<img s">D.<img s">正确答案:35.级数当().时绝对收敛.A.<img >B.<img s>C.<img s1">D.<img s>正确答案:36.设方程确定了隐函数,则().A.3B.2C.0D.1正确答案:37.为().A.<img 1">B.<img s1">C.<img s31" height="21">D.<img s>正确答案:38.二元函数在点处().A.连续,偏导数存在B.连续,偏导数不存在C.不连续,偏导数存在D.不连续,偏导数不存在正确答案:39.设L为任意一条分段光滑的闭曲线,则().A.<img sr>B.0C.2D.3正确答案:40.设方程确定了隐函数,则=().A.<img s1">B.<img s1">C.<img s>D.<img s">正确答案:41. 曲线A.<img s1">B.<img s">C.<img s">D.<img sr正确答案:42.幂级数的收敛区间为().A.<img s>B.<img s">C.<img s>D.<img s">正确答案:43.二重积分().A.<img s">B.<img s>C.<img s">D.<img >正确答案:44.微分方程的通解为().A.y = eC.B.y =C.eC.y = eC.D.y = C.正确答案:45.().A.<img s">B.<img 1">C.<img s">D.<img s>正确答案:46.设,则().A.<img >B.0C.1D.2正确答案:47.级数的部分和数列的极限存在是级数收敛的().A.充分条件B.必要条件C.充分必要条件D.无关条件正确答案:48.().A.<img s>B.<img s">C.<img s>D.<img sr>正确答案:49.设函数f(x, y)=x+y, 则点(0,0)是f(x, y)的().A.极值点B.连续点C.间断点D.驻点正确答案:50.().A.<img s">B.<img s">C.<img sr">D.<img s">正确答案:二、多选题(共0 道试题,共0 分)以下内容仅供学习参考,可不予理会11.微分方程的阶是().A.6B.3C.2D.1正确答案:12.设区域D.由确定,则().A.4B.5C.7D.8正确答案:13.级数的部分和数列的极限存在是级数收敛的().A.充分条件B.必要条件C.充分必要条件D.无关条件正确答案:。
高等数学习题册(上册)目录习题1-1 函数 (1)习题1-2 常用的经济函数 (5)习题2-1 极限 (9)习题2-2 无穷小与无穷大,极限运算法则 (13)习题2-3 极限存在准则,两个重要极限及无穷小的比较 (17)习题2-4 函数的连续性 (21)习题2-5 闭区间上连续函数的性质 (25)第二章综合题 (29)第二章自测题 (36)习题3-1 导数概念 (40)习题3-2 求导法则与基本初等函数求导公式(一) (44)习题3-2 求导法则与基本初等函数求导公式(二) (48)习题3-3 高阶导数 (52)习题3-4 隐函数及由参数方程所确定的函数的导数 (56)习题3-5 函数的微分 (60)习题3-6 边际与弹性 (64)第三章综合题 (68)第三章自测题 (74)习题4-1 中值定理 (78)习题4-2 洛必达法则 (82)习题4-3 导数的应用(一) (86)习题4-3 导数的应用(二) (90)习题4-4 函数的最大值和最小值及其在经济中的应用 (94)习题4-5 泰勒公式 (98)第四章综合题 (100)第四章自测题 (104)习题5-1 不定积分的概念、性质 (108)习题5-2 换元积分法(一) (112)习题5-2 换元积分法(二) (116)习题5-3 分部积分法 (120)习题5-4 有理函数的积分 (122)第五章综合题 (124)第五章自测题 (128)微积分(上)模拟试卷一 (134)微积分(上)模拟试卷二 (138)参考答案 (142)习题1-1 函数1. 填空题:(1)()x y 32log log =的定义域 。
(2)523arcsin3xx y -+-=的定义域 。
(3)xxy +-=11的反函数 。
(4)已知31122++=⎪⎭⎫ ⎝⎛+xx x x f ,则=)(x f 。
2. 设⎪⎪⎩⎪⎪⎨⎧≥<=3x , 0 3 , sin )(ππϕx x x ,求()2,6-⎪⎭⎫⎝⎛ϕπϕ,并作出函数()x ϕη=的图形。
】设在有定义,则下列函数中必为奇函数的是().A.B.C.(是常数)D.答案:D】设,则().A.B.C.D.答案:B】函数在内().ABCD答案:B】下列各组函数中,表示相同函数的是().A.B.C.D.答案:B】设,,则().A.B.C.D.答案:A】下列各对函数中,表示相同函数的是().A.,B.,C.,D.,答案:C】设,若曲线与关于直线对称,则表达式为().A.B.C.D.答案:B】函数在定义域内是().A.偶函数B.奇函数C.有界函数D.周期函数答案:A】设,则().A.B.C.D.【98433】函数的图形与的图形关于直线对称,则_____.答案:】下列各项函数中,互为反函数的是().A.与B.与C.与D.与答案:D】函数在定义域内是().A.偶函数B.奇函数C.有界函数D.周期函数答案:A】下列各对函数中,表示相同函数的是().A.,B.,C.,D.,答案:C】函数的定义域为().A.B.C.D.答案:C】下列各组函数中表示相同函数的是().A.与B.与C.与D.与】下列各对函数中,表示相同函数的是().A.,B.,C.,D.,答案:C【102089】函数的单调减区间为_____.答案:】函数的反函数是().A.B.C.D.答案:A】设在有定义,则下列函数中为奇函数的是().A.B.C.D.答案:D】下列各组函数中,表示相同函数的是().A.B.C.D.答案:B】设在有定义,则下列函数中为奇函数的是().A.B.C.D.答案:D】设,则().A.B.C.D.答案:C】下列函数中,函数图形关于原点对称的是().A.B.C.D.答案:B】下列各组函数中表示相同函数的是().A.与B.与C.与D.与答案:B】下列各对函数中,表示相同函数的是().A.,B.,C.,D.,单项】函数在内().A.单调增加B.单调减少C.不增不减D.有增有减答案:B】下列各项函数中,互为反函数的是().A.与B.与C.与D.与答案:D】设在有定义,则下列函数中为奇函数的是().A.B.C.D.答案:D】函数的定义域是().A.B.C.D.答案:D】函数的定义域是().A.B.C.D.】函数在内().A.单调增加B.单调减少C.不增不减D.有增有减答案:B】下列各项函数中,互为反函数的是().A.与B.与C.与D.与答案:D】设在有定义,则下列函数中为奇函数的是().A.B.C.D.答案:D】函数的定义域是().A.B.C.D.答案:D】函数的定义域是().A.B.C.D .答案:D】函数的定义域是().A.B.C.D.答案:D】下列各组函数中表示相同函数的是().A.与B.与C.与D.与答案:B】设,则().A.B.C.D.答案:C】函数在定义域内是().A.单调函数B.周期函数C.无界函数D.有界函数答案:D】下列各项函数中,互为反函数的是().A.与B .与C.与D.与答案:D】函数在内是().A.单调有界函数B.单调无界函数C.有界奇函数D.有界偶函数答案:D】设,,则().A.B.C.D.答案:A】下列各组函数中,表示相同函数的是().A.B.C.D.答案:B】下列各项函数中,互为反函数的是().A.与B.与C.与D.与答案:D单项选择题【44006】设在有定义,则下列函数中为奇函数的是().A.B.C.D.答案:D】函数在内是().A.单调有界函数B.单调无界函数C.有界奇函数D.有界偶函数答案:D】设,,则().A.B.C.D.答案:A】下列各组函数中,表示相同函数的是().A.B.C.D.答案:B】下列各项函数中,互为反函数的是().A.与B.与C.与D.与答案: D】 设在有定义,则下列函数中为奇函数的是( ).A .B .C .D .单项选择题【102072】 下列函数中,函数图形关于原点对称的是( ).A .B .C .D .答案: B】函数的反函数是().A.B.C.D.答案:A】函数的定义域为().A.B.C.D.答案:C【102089】函数的单调减区间为_____.答案:单项选择题【102060】设,则( ).A .B .C .D .答案: B单项选择题【99268】若,则当时,是( ).A .B . 振荡变量C . 无穷大量D . 无穷小量答案:D【98471】_____.答案:【98443】_____.答案:】当时,若有极限,无极限,则当时,().A.无极限B.有极限C.可能有,也可能没有极限D.若有极限,极限必为零答案:C【98468】_____.答案:】当时,与等价的无穷小量是().A.B.C.D.答案:C】().A.B.C.D.答案:D】当时,是().A.无穷大量B.无穷小量C.无界变量D.无法判定答案:B】若,则值为().A.B.C.D.答案:B【44014】存在是存在的().A.充分条件B.必要条件C.充分必要条件D.无关条件答案:D【98453】_____.答案:【98443】_____.答案:】若在时,与都是无穷小量,且,则在时,下列各式不一定是无穷小量的是().A.B.C.D.答案:D【98469】若函数在处连续,则_____.答案:【98442】若,则_____.答案:单项选择题若时,为无穷小量,则应满足的条件是().A.B.C.D.答案:C【102120】求极限.答案:解:=】().A.0B.1C.D.答案:C】当时下列变量中不是无穷小量的是().A.B.C.D.答案:D【102092】若,则_____.答案:单项选择题【44018】若时,为无穷小量,则应满足的条件是().A.B.C.D.答案:C【102120】求极限.答案:解:=】().A.0B.1C.D.答案:C】当时下列变量中不是无穷小量的是().A.B.C.D.答案:D【102092】若,则_____.答案:】下列变量中,当时,不是无穷小量的是().A.B.C.D.答案:C】若时,为无穷小量,则应满足的条件是().A.B.C.D.答案:C】当时,下列变量不是无穷小量的是().A.B.C.D.答案:C】设在连续,下列为偶函数的是().A.B.C.D.答案:B】当时,是().A.无穷大量B.无穷小量C.常量D.无界变量】下列变量中,当时,不是无穷小量的是().A.B.C.D.】若时,为无穷小量,则应满足的条件是().A.B.C.D.答案:C】当时,下列变量不是无穷小量的是().A.B.C.D.答案:C】设在连续,下列为偶函数的是().A.B.C.D.答案:B】当时,是().A.无穷大量B.无穷小量C.常量D.无界变量】当时,下列变量中是无穷小量的是().A.B.C.D.】当时,与等价的无穷小量是().A.B.C.D.答案:C【102090】_____.答案:【81962】设,求值,使在连续.答案:解:==依题意应满足,所以】下列命题中正确的是().A.函数在点无定义,则在点无极限B.函数在点不连续,则在点不可导C.函数在点不可导,则在点不连续D.函数在点不可导,则在点不取极值【102120】求极限.答案:解:=】当时,下列变量不是无穷小量的是().A.B.C.D.答案:C【98471】_____.答案:】若时,为无穷小量,则应满足的条件是().A.B.C.D.答案:C】当时,若有极限,无极限,则当时,().A.无极限B.有极限C.可能有,也可能没有极限D.若有极限,极限必为零答案:C单项选择题【65100】当时,下列变量中是无穷小量的是().A.B.C.D.答案:C单项选择题【65064】下列命题中正确的是().A.函数在点无定义,则在点无极限B.函数在点不连续,则在点不可导C.函数在点不可导,则在点不连续D.函数在点不可导,则在点不取极值答案:B【102090】_____.答案:【81962】设,求值,使在连续.答案:解:==依题意应满足,所以】当时,与等价的无穷小量是().A.B.C.D.】设可导,则必有().A.B.C.D.答案:D【102123】求曲线上处的切线方程.答案:将代入方程,得,故所求为:,即】设在可导,且,则().A.B.C.D.不存在答案:A】设,则().A.B.C.D.答案:C【102102】求曲线的平行于轴的切线方程.答案:解:,由题设,应有又当故所求为:,即】设可导,则必有().A.B.C.D.答案:D【102123】求曲线上处的切线方程.答案:将代入方程,得,故所求为:,即】设在可导,且,则().A.B.C.D.不存在答案:A】设,则().A.B.C.D.答案:C【102102】求曲线的平行于轴的切线方程.答案:解:,由题设,应有又当故所求为:,即单】设在处可导,且,则等于().A.B.C.D.答案:A】().A.B.C.D.答案:C】设可导,则必有().A.B.C.D.答案:D【98458】设,则_____.答案:【65143】设,求.答案:解:【65143】设,求.答案:解:】设,则().A.B.C.D.答案:D】设在点处可导,则().A.与都有关B.仅与有关与无关C.仅与有关与无关D.与都无关答案:C【81965】设曲线上任意一点处的切线斜率为该点纵坐标与横坐标之差,且曲线过坐标原点,求此曲线方程.答案:解:依题意,有,即,且===通解为=将代入通解,得故所求为】().A.B.C.D.【102093】设,则_____.答案:】设在可导,且,则().A.B.C.D.不存在答案:A【81965】设曲线上任意一点处的切线斜率为该点纵坐标与横坐标之差,且曲线过坐标原点,求此曲线方程.答案:解:依题意,有,即,且。
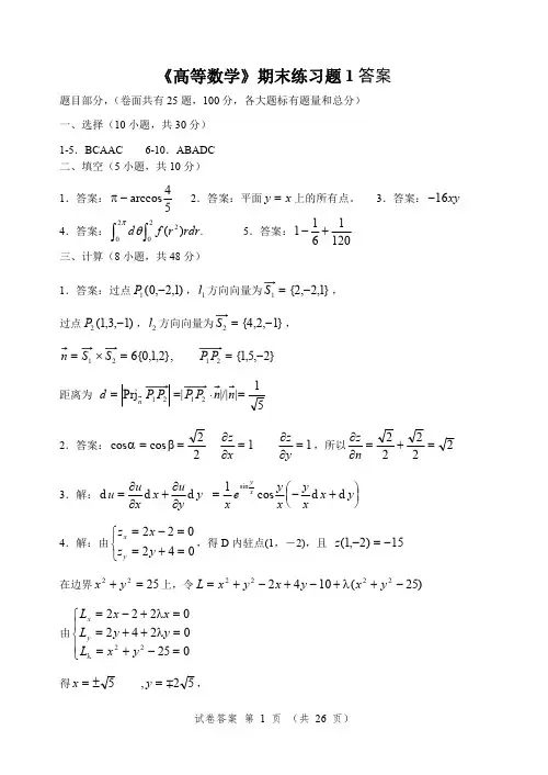
《高等数学》期末练习题1答案题目部分,(卷面共有25题,100分,各大题标有题量和总分)一、选择(10小题,共30分)1-5.BCAAC 6-10.ABADC 二、填空(5小题,共10分)1.答案:π-arccos 452.答案:平面y x =上的所有点。
3.答案:-16xy4.答案:2220().d f r rdr πθ⎰⎰5.答案:1201611+-三、计算(8小题,共48分)1.答案:过点P 1021(,,)-,l 1方向向量为S 1221=-{,,},过点P 2131(,,)-,l 2方向向量为S 2421=-{,,},n S S P P =⨯==-12126012152{,,},{,,}距离为d P P n n n==⋅=Prj ||/||12152.答案:cos cos αβ==22∂∂∂∂z xzy==11,所以∂∂z n =+=222223.解:d d d u u x x u y y =+∂∂∂∂=-+⎛⎝ ⎫⎭⎪1x e y x y xx y yx sin cos d d 4.解:由z x z y x y =-==+=⎧⎨⎩220240,得D 内驻点(1,-2),且z (,)1215-=-在边界x y 2225+=上,令L x y x y x y =+-+-++-2222241025λ()由L x x L y y L x y x y =-+==++==+-=⎧⎨⎪⎩⎪2220242025022λλλ得x y =±=525, ,(()zz 5251510552515105-=--=+比较后可知,函数z 在点(,)12-处取最小值z (,)1215-=-在点(-525,处取最大值()5101552,5+=-z 。
5.解:原式1212001==⋅=⎰⎰⎰⎰dx xydy xdx ydy 6.解:212321xxI dx dy x y zdz=⎰⎰⎰2221027112168516xdx xy dy x dx ===⎰⎰⎰7.解:消z 后,可得L 的参数方程:⎪⎪⎪⎩⎪⎪⎪⎨⎧===t z t y t x sin 21sin 21cos 0t2πt t t t t s d d cos 21cos 21sin d 222=++=,故⎰Lsxyz d 61sin 21sin 21cos 2=⋅⋅=⎰πtdt t t 8.答案:()41122lim lim1=++=∞→+∞→n n a a n nn n ∴级数的收敛半径41=R 四、判断(2小题,共12分)1.解:设f x x x()=+⎛⎝ ⎫⎭⎪1221,于是()ln ()ln f x x x=-+22取极限lim ln ()lim ln()lim x x x f x x x xx →∞→∞→=-+=-+202222=0故lim ()x f x →∞=1,从而有lim n nn →∞+⎛⎝⎫⎭=12121,故而12211n nn +⎛⎝ ⎫⎭⎪=∞∑发散。
《高等数学》试卷1(下)一。
选择题(3分10)1。
点到点的距离()。
A。
3 B。
4 C.5 D。
62。
向量,则有( ).A。
∥ B.⊥C。
D.3。
函数的定义域是()。
A。
B。
C. D4.两个向量与垂直的充要条件是()。
A. B。
C. D.5.函数的极小值是( ).A。
2 B。
C.1 D.6.设,则=().A. B. C。
D。
7。
若级数收敛,则()。
A。
B。
C。
D.8。
幂级数的收敛域为()。
A。
B C. D.9.幂级数在收敛域内的和函数是( )。
A。
B。
C。
D。
10.微分方程的通解为()。
A. B。
C. D.二。
填空题(4分5)1.一平面过点且垂直于直线,其中点,则此平面方程为______________________。
2。
函数的全微分是______________________________.3。
设,则_____________________________.4。
的麦克劳林级数是___________________________。
三。
计算题(5分6)1。
设,而,求2。
已知隐函数由方程确定,求3。
计算,其中.4.求两个半径相等的直交圆柱面所围成的立体的体积(为半径)。
四。
应用题(10分2)1。
要用铁板做一个体积为2的有盖长方体水箱,问长、宽、高各取怎样的尺寸时,才能使用料最省?。
试卷1参考答案一.选择题CBCAD ACCBD二.填空题1。
2. 。
3. .4。
5。
三。
计算题1。
,。
2。
.3。
.4。
5。
四。
应用题1。
长、宽、高均为时,用料最省.2.《高数》试卷2(下)一。
选择题(3分10)1.点,的距离().A. B。
C. D.2。
设两平面方程分别为和,则两平面的夹角为()。
A。
B. C。
D。
3。
函数的定义域为()。
A。
B。
C. D。
4。
点到平面的距离为( )。
A.3 B。
4 C。
5 D.65。
函数的极大值为().A。
0 B。
1 C。
D。
6。
设,则().A。
6 B。
7 C。
《高等数学》(下)习题参考答案第七章 空间解析几何与矢量代数习题一、 1.(,,),(,,),(,,)x y z x y z x y z ------; 2.k j i 573--;3.2y z +=或210x y z +-=; 4.圆, 圆柱面; 5.2340x y z --+=. 二、 1. 2. 3. 4. 5.B C B A C三、1.u =11232.cos cos cos 22343πππαβγαβγ=-=====;3.4-;4.32550x y z +-+=;5.3πθ=; 6.P r j βα=;7.2OABS ∆= 2228.9x y z ++=; 222289.0x x y z ⎧-+=⎨=⎩; 10.⎪⎭⎫ ⎝⎛--8343,8356,83273; 11.0x y z -+=. 第八章 多元函数微分学习题一 一、 1、yyx +-112; 2、},0,0|),{(2y x y x y x ≥≥≥; 3、1,2; 4、⎪⎪⎭⎫ ⎝⎛++++xy xy xy xy x 1)1ln()1(,12)1(-+x xy x ; 5、22812y x -,22812x y -,xy 16-. 二、1. 2. 3. 4. 5.D D B B A三、 111ln ln ln z z z z y y z y z uuuy x x y z x x y x y xyz--∂∂∂===∂∂∂、 2、)ln (1z x y z y x x u x z y +=∂∂-,)ln (1z x y z y x yux z y +=∂∂-,)ln (1y z x z y x z u x z y +=∂∂-2222222222222222223z xy z xy x x y y x y z y x x y x y ∂∂==-∂+∂+∂-=∂∂+、()()()4、xdz yx xdy zx dx yzx du yz yz yz ln ln 1++=-5、dy dx 3231+习题二 一、1、)()(y x f xy y x yf +'++,)()()()(y x f xy y x f y x y x f +''++'+++;2、2242232f y x f y x ''+'; 3、dy f f dx f f ⎪⎪⎭⎫ ⎝⎛+''-''-12121; 4、y x y x -+; 5、x y z z z -ln ln ,yyz xy z ln 2-二、1、C ;2、A ;3、C ;4、B ;5、C 三、 1、321f yz f y f x u '+'+'=∂∂,32f xz f x yu '+'=∂∂,3f xy z u '=∂∂ 3、212f x f y x z '+'=∂∂,22122211124)(2f xy f y x f xy f yx z''-''-+''+'=∂∂∂ 6、)()(1)](1)[(v g u f v g u f x z ''+'+'=∂∂,)()(1)](1)[(v g u f v g u f y z ''+'+'-=∂∂ 7、2222111133332sin cos 2cos x y x y x y zf x f x e f x f e e f x+++∂''''''''=-⋅+⋅+⋅+⋅+∂; 332232313122sin cos sin cos f e f y e f e f x e y x f y x zy x y x y x y x ''+''⋅-'+''⋅+''-=∂∂∂++++ 8、2222222222222222222221213394133u u u u u u u x x u u u u u u u y y u u u u x y ζηζζηηζηζζηηζζηη∂∂∂∂∂∂∂=+=++∂∂∂∂∂∂∂∂∂∂∂∂∂∂∂=--=++∂∂∂∂∂∂∂∂∂∂∂∂=---∂∂∂∂∂∂ 习题三 一、12121281610148x y z x y z ---==-+-=-2、042=-+y x ,2112zy x =-=-3.1+4.326i j k --5.(3,2)大 36二、1. 2. 3. 4. 5.B D A C C 三、(1,2)2zl∂=∂、13(,1)2-、极小值2e-2433p p 、22222222221212121251122022020x y zx y z x y z z x y x y z F x y z x y z z x y x y z F x x F y y F z x λλλλλλλλ=++=+++==+++--+++-=-+=⎧⎪=-+=⎨⎪=++=⎩2、设椭圆上点为(x,y,z),则原点到椭圆上这点的距离平方为d ,其中,,满足和令(,,)()()==11求解方程,最长距离为d d 6、在点)1,1(-处有极小值:-2;极大值:6.第九章 重积分 习题一一、1.()2aba b + 2、⎰⎰e ey dx y x f dy ),(10;3、)1(214--e ;4、1210cos sin (cos ,sin )d f d πθθθρθρθρρ+⎰⎰;5、⎰⎰-+--2211111),(x x dy y x f dx二、1. 2. 3. 4. 5.C A B D C三、1.[36,100]ππ; 62.55; 3.49; 4.e e 2183-; 5.2643π;6.38; 7.π6; 8.)0(32f 'π. 习题二 一、1、⎰⎰⎰+----111112222),,(y x x xdz z y x f dy dx ; 2、π32; 3、θϕϕd drd r dv sin 2=;4、⎰⎰⎰adr r f r d d 0224020)(sin ππϕϕθ; 5、dxdy y z x z dS 221⎪⎪⎭⎫⎝⎛∂∂+⎪⎭⎫ ⎝⎛∂∂+= 二、1. B ;2.B ;3.D ;4.C ;5.B三、1.)852(ln 21-; 2.481; 3.467a π; 4.6π; 5.)22(162-π; 3232001()6.()2[()],lim (0)33t t F t F t r h h f r dr h hf t πππ+→=+=+⎰; 27.2()a a π-.第十章 习题一 一、填空题 1、23202(2sin 2cos 2)sin 2ta t t t t dt π--+⎰; 2、2; 3、34/3;4、⎰; 5、π2二、选择题1、(B);2、(A);3、(C );4、(A );5、(A );6、(C )三、计算题1、242-⎪⎭⎫ ⎝⎛+a e a π; 2、9四(略)五1、π2-;2、1/2 六、⎰++Lds xxQP 2412七、⎰Γ++++ds yx yRxQ P 2294132习题二一、选择题 1、(B ); 2、(D ); 3、(B ); 4、(D ); 5、(C ) 二、8 三、1、42R π-;2、241π;3、281a m π四、3cos 42cos 9+ 五、y x y x u 2),(=六、283a π七、八(略) 习题三一、填空题1、π8;2、321; 3、π8-; 4、dS R Q P ⎰⎰∑++53223; 5、22a π 二、选择题1、(D );2、(B );3、(C );4、(C ) 三、计算题 1、427-; 2、π221+ 四、 1、π23; 2、81五、552a π六、π32第十一章 习题一 一、判断题1、√;2、×;3、√;4、×;5、√;6、× 二、填空题1、0;2、1>p 且.const p =;3、1>p ,10≤<p ,0≤p ;4、 ,2,1,1=≥+n u u n n 且0lim =∞→n n u三、选择题 1、(C ); 2、(A ); 3、(C ); 4、(A ); 5、(C ) 四(略) 五、1、发散;2、收敛 六、1、发散;2、收敛 七、1、发散;2、收敛八、当b a >时,收敛;当b a <时,发散;当b a =时,可能收敛,也可能发散. 九、1、收敛;2、收敛 十(略) 习题二一、判断题1、×;2、√;3、√;4、×;5、√ 二、填空题1、⎪⎭⎫⎢⎣⎡-21,21; 2、)5,1[-; 3、)1,1[-,)1ln(x --; 4、22,2)1(1)1(2ln 011≤<-⋅+-+∑∞=++x x n n n n n; 5、26,)4(3121011-<<-+⎪⎭⎫ ⎝⎛-∑∞=++x x n nn n三、选择题1、(D );2、(B );3、(B );4、(C );5、(C ) 四、1、)3,3[-;2、)3,1[;3、]1,1[- 五、 1、)1,1(,)1(1)(2-∈-=x x x s ;2、)1,1(,arctan 21)]1ln()1[ln(41)(-∈+--+=x x x x x s六、2(1)(),(1,1](1)n nn f x x x x n n ∞=-=+∈--∑七、)1,1(,)1(2131)(01-∈⎪⎭⎫⎝⎛-+=∑∞=+x x x f nn n n八、)1,1(,)1ln(arctan 21222-∈+-++x x x x xx 第十二章 习题一 一、判断题1、×;2、√;3、√;4、×;5、× 二、填空题1、2)(ln 21)(x x f =;2、x cxe y -=;3、x y 2=;4、x x x y 91ln 31-=;5、yP x Q ∂∂=∂∂ 三、1、C y x =⋅tan tan ;2、C e e y x =-⋅+)1()1( 四、22sec )1(=⋅+y e x 五、s cm /3.269 六、1、Cx y x =-332;2、223x y y -= 七、)ln 41(x x y -= 八、 1、)(sin C x ey x+=-; 2、322Cy y x +=; 3、)cos 1(1x y --=ππ 九、⎪⎪⎭⎫ ⎝⎛-+=-t m ke k m k t k k v 2122121 十、xx x f 3132)(+=十一、)1,1[,)1ln()(1-∈--=∑∞=x x e x f x n n习题二一、选择题 1、(C ); 2、(B ); 3、(D ); 4、(C ); 5、(B ); 6、(A ); 7、(D ) 二、填空题1、3221)3(C x C x C e x y x +++-=;2、22121C x x e C y x +--=; 3、)1ln(1+-=ax ay三、1、x x e C e C y 221-+=;2、x C x C y sin cos 21+=;3、x C x C e C e C y x x sin cos 4321+++=-;4、4x x y e e -=- 四、⎪⎭⎫ ⎝⎛-+=+-++-tk k tk k k eek k v x 1221222424122014五、)sin (cos 21)(x e x x x ++=ϕ 六、u u f ln )(= 七、1)(21)(++=-x xe e x s。
专升本高等数学(二)-5(总分150, 做题时间90分钟)一、选择题在每小题给出的四个选项中,只有一项是符合题目要求的.1.下列极限正确的是( )SSS_SINGLE_SELABCD该题您未回答:х该问题分值: 4答案:D[分析] A项:,无穷小与有界变量sinx的乘积仍是无穷小.B项:.C项:,无穷小x与有界变量乘积仍是无穷小.D项:,根据重要极限Ⅰ可得.2.袋中有5个乒乓球,其中4个白球,1个红球,从中任取2个球的不可能事件是( )SSS_SINGLE_SELA {2个球都是白球}B {2个球都是红球)C {2个球中至少有1个白球)D {2个球中至少有1个红球}该题您未回答:х该问题分值: 4答案:B[分析] 袋中只有1个红球,从中任取2个球都是红球是不可能发生的.3.设z=e x cosy,则等于( )SSS_SINGLE_SELAe x cosyB-e x cosye x sinyD-e x siny该题您未回答:х该问题分值: 4答案:D[分析] 因为,所以4.若f'(x0)=0,f"(x)<0,则( ) SSS_SINGLE_SELAf(x)是f(x)的极小值Bf(x)是f(x)的极大值Cf(x)不是f(x)的极值D不能判定f(x)是否为f(x)的极值该题您未回答:х该问题分值: 4答案:B[分析] 根据判定极值的第二充分条件可知选B.5.函数f(x)的导函数f'(x)的图象如图所示,则在(-∞,+∞)内f(x)的单调递增区间是( )SSS_SINGLE_SELA (-∞,-1)B (-∞,0)C (0,1)D (-1,+∞)该题您未回答:х该问题分值: 4答案:D[分析] 本题考查的知识是根据一阶导数f'(x)的图象来确定函数曲线的单间.因为在x轴上方f'(x)>0,而f'(x)>0的区间为f(x)的单调递增区间,所以可判断f(x)的单调递增区间为(-1,+∞).6.设,则等于( )SSS_SINGLE_SELB 0C 1D 2该题您未回答:х该问题分值: 4答案:C[分析] 先求,再代入.因为所以.7.同时抛掷两颗正六面体的骰子,则出现点数和等于6的概率为( )SSS_SINGLE_SELABCD该题您未回答:х该问题分值: 4答案:C[分析] 设事件A表示两骰子点数之和等于6,因为同时抛掷两颗骰子所含基本事件共有:6×6=36种,事件A所含基本事件共有5种,所以.8.函数f(x)=|2x-1|在点处的导数是( )SSS_SINGLE_SELA 0BC 2D 不存在该题您未回答:х该问题分值: 4答案:D[分析] 绝对值求导的关键是去绝对符号,然后根据分段函数求导数.因为所以因为,所以在处的导数不存在.9.已知函数,则等于( )SSS_SINGLE_SELA 1B 0C 2D 不存在该题您未回答:х该问题分值: 4答案:D[分析]故不存在10.已知f(x)=3x+e x,则f'(0)等于( )SSS_SINGLE_SELA 1B 2C 3D 4该题您未回答:х该问题分值: 4答案:D[分析] ∵f(x)=x3+e x∴f'(x)=3+e x,∴f'(0)=3+e0=3+1=4.二、填空题11.=______.SSS_FILL该题您未回答:х该问题分值: 4答案:e-1[分析] ∵.12.=______.SSS_FILL该题您未回答:х该问题分值: 4答案:e-1[分析]13.函数,的连续区间为______.SSS_FILL该题您未回答:х该问题分值: 4答案:[0,1)∪(1,3][分析] ∵在x=1处,,∴x=1处f(x)不连续.在x=2处,∵,f(2)=1,∴在x=2处f(x)连续,所以连续区间为[0,1)∪(1,3].14.设,则y'=______.SSS_FILL该题您未回答:х该问题分值: 4答案:[分析] ∵15.设y=f(x)是由方程x3+y3=sin3x+6y=0所确定的隐函数,则=______.SSS_FILL该题您未回答:х该问题分值: 4答案:[分析] 两边对x求导:3x2+3y2·y'-3cos3x+6y'=0.当x=0时,y=0.∴.16.已知是的极值点,则a=______.SSS_FILL该题您未回答:х该问题分值: 4答案:2[分析] ∵,将代入,即,∴a=2.17.设f(x)的n-1阶导数为,则f(n)(x)=______.SSS_FILL该题您未回答:х该问题分值: 4答案:[分析] [f(n-1)(x)]'=f(n)(x),即18.设,则常数a=______.SSS_FILL该题您未回答:х该问题分值: 4答案:-ln2[分析] ∵19.设f(x)的一个原函数是e-sinx,则=______.SSS_FILL该题您未回答:х该问题分值: 4答案:-(xcosx+1)e-sinx+C[分析] 本题考查的知识点是原函数的概念和分部积分法.根据原函数的概念,有f(x)=(e-sinx)'或(C为任意常数),1则有)=(e-sinx)'-e-sinx+C (C=-C1=-(xcosx+1)e-sinx+C20.设事件A,B相互独立,且P(A)=P()=a-1,P(A+B)=,则常数a=______.SSS_FILL该题您未回答:х该问题分值: 4答案:[分析] 由加法公式P(A+B)=P(A)+P(B)-P(AB)则有=a-1+2-a-(a-1)(2-a),解得.三、解答题解答应写出推理、演算步骤.21.若,求k的值.SSS_TEXT_QUSTI该题您未回答:х该问题分值: 8由题设知e3k=8,故k=ln2.[分析] 由于是“”型,先消去高阶无穷因子,再利用重要极限Ⅱ对分子分母分别进行变形,并求极限.22.若f(x)存在二阶导数,求函数y=f(lnx)的二阶导数.SSS_TEXT_QUSTI该题您未回答:х该问题分值: 8[分析] 这是抽象函数的求导问题,而f(lnx)又是复合函数,所以应用复合函数的求导公式来计算.23.计算.SSS_TEXT_QUSTI该题您未回答:х该问题分值: 8[分析] 虽有字母a,b,但只有x才是积分变量,将a,b看作常数,采用凑微分法即可.24.求函数的导数.SSS_TEXT_QUSTI该题您未回答:х该问题分值: 8等式两边同时取对数得方程两边同时对z求导有故(将y代入)[分析] 对多个函数的连乘除求导数,用对数求导法将大大简化计算.在所给函数式两边分别取对数,再用隐函数求导方法求y'.注意在y'表达式中不可保留y,而应用x的函数式代替.25.计算.SSS_TEXT_QUSTI该题您未回答:х该问题分值: 8设x=sint,则dx=costdt,当x=0时,t=0;x=1时,,所以[分析] 因为式中有形如的无理式,则应设x=asint;若有时,则应设x=atant;同理有时,应设x=asect.这是在解答此类题时必须掌握的.26.设,其中f为可微函数.证明.SSS_TEXT_QUSTI该题您未回答:х该问题分值: 10因为所以.[分析] 这是抽象的求偏导数的问题,只需注意:对x求偏导时,y当作常数,对y求偏导时,x当作常数,再用一元函数的求导公式即可.27.求函数z=x2+y2-xy在条件x+2y=7下的极值.SSS_TEXT_QUSTI该题您未回答:х该问题分值: 10设F(x,y,λ)=x2+y2-xy+λ(x+2y-7),则由①与②解得5x=4y,代入③得x=2,,所以为极值.[分析] 本题主要考查二元函数的条件极值.通常先构造拉格朗日函数,再求解28.某工厂要制造一个无盖的圆柱形发酵池,其容积是,池底的材料30元/m2,池壁的材料20元/m2,问如何设计,才能使成本最低,最低成本是多少元?SSS_TEXT_QUSTI该题您未回答:х该问题分值: 10设池底半径为r,池高为h(如图所示),则,得.又设制造成本为S,则S=30·πr2+20·27πrh令S'=0,得驻点r=1.因为所以r=1为唯一的极小值,即为最小值点.所以,池底半径为1m,高为时,可使成本最低,最低成本为90π元.[分析] 本题考查的知识点是应用导数求实际问题的极值.所谓“成本最低”,即求制造成本函数在已知条件下的最小值.因此,本题的关键是正确写出制造成本函数的表达式,再利用已知条件将其化为一元函数,并求其极值.1。
1.求极限lim_{n->无穷} n^2/(2n^2+1) = ( )A.0B.1C.1/2D.3【参考答案】: C2.下列集合中为空集的是( )A.{x|e^x=1}B.{0}C.{(x, y)|x^2y^2=0}D.{x| x^21=0,x∈R}【参考答案】: D3.设f(x)=e^(2+x),则当△x→0时,f(x+△x)-f(x)→( )A.△xB.e2△xC.e2D.0【参考答案】: D4.函数y=|x-1|+2的极小值点是( )A.0B.1C.2D.3【参考答案】: B5.f(x)是给定的连续函数,t>0,则t∫f(tx)dx , 积分区间(0->s/t)的值()A.依赖于s,不依赖于t和xB.依赖于s和t,不依赖于xC.依赖于x和t,不依赖于s D.依赖于s和x,不依赖于t【参考答案】: A6.函数y=2008x+cosx-sinx的2008阶导数等于()A.2008B.cosx-sinxC.sinx-cosxD.sinxcosx【参考答案】: B7.y=x+arctanx的单调增区间为A.(0,∞)B.(-∞,∞)C.(-∞,0)D.(0,1)【参考答案】: B8.设f(x)的一个原函数是xlnx,则∫xf(x)dx等于( )A.x^2(1/2lnx/4)CB.x^2(1/4lnx/2)CC.x^2(1/4-lnx/2)CD.x^2(1/ 2-lnx/4)C【参考答案】: B9.由曲线y=cosx (0=<x<=3π/2) 与坐标轴所围成的图形面积=()A.4B.3C.4D.3【参考答案】: B10.已知f(x)的一个原函数是e^(-x),则∫xf'(x)dx等于()A.xe^(-x)e^(-x)CB.xe^(-x)-e^(-x)CC.-xe^(-x)-e^(-x)CD.-xe^ (-x)e^(-x)C【参考答案】: C11.曲线y=f(x)关于直线y=x对称的必要条件是( )A.f(x)=xB.f(x)=1/xC.f(x)=-xD.f[f(x)]=x【参考答案】: D12.∫{(e^x-1)/(e^x+1)}dx 等于( )A.(e^x-1)/(e^x1)CB.(e^x-x)ln(e^x1)CC.x-2ln(e^x1)CD.2ln(e^ x1)-xC【参考答案】: D13.设函数f(x)是在[-m,m]上的连续偶函数,且f(x)≠0,F(x)=∫f(t)dt,{积分区间是a->x}则F(x)()A.必是奇函数B.必是偶函数C.不可能是奇函数D.不可能是偶函数【参考答案】: D14.设f(x)是可导函数,则()A.∫f(x)dx=f'(x)CB.∫[f'(x)C]dx=f(x)C.[∫f(x)dx]'=f(x)D.[∫f(x)dx]'=f(x)C【参考答案】: C15.函数y=|sinx|在x=0处( )A.无定义B.有定义,但不连续C.连续D.无定义,但连续【参考答案】: C16.微分的几何意义就是当横坐标改变时,切线纵坐标的改变量。
高等数学(下)答案1、如果平面a和平面β有公共点A,则这两个平面就相交()[单选题] *A、经过点A的一个平面B、经过点A的一个平面(正确答案)C、点AD、无法确定2、设函数在闭区间[0,1]上连续,在开区间(0,1)上可导,且(x)>0 则()[单选题] *A、f(0)<0B、f(0)<1C、f(1)>f(0)D、f(1)<f(0)(正确答案)3、9.已知关于x,y的二元一次方程组的解满足x+y=8,则k的值为( ) [单选题] *A.4B.5C.-6D.-8(正确答案)4、5. 下列对一元二次方程x2+x﹣3=0根的情况的判断,正确的是()[单选题] *A.有两个不相等实数根(正确答案)B.有且只有一个实数根C.有两个相等实数根D.没有实数根5、21.已知集合A={x|-2m},B={x|m+1≤x≤2m-1}≠?,若A∩B=B,则实数m的取值范围为___. [单选题] *A 2≤x≤3(正确答案)B 2<x≤3C 2≤x<3D 2<x<36、下列说法有几种是正确的()(1)空间三点确定一个平面(2)一条直线和直线外一点确定一个平面(3)两条直线确定一个平面(4)两条平行直线确定一个平面[单选题] *A、1B、2(正确答案)C、3D、47、f(x)=-2x+5在x=1处的函数值为()[单选题] *A、-3B、-4C、5D、3(正确答案)8、23.将x-y-6=0改写成用含x的式子表示y的形式为()[单选题] *A. x=y+6B. y=x-6(正确答案)C. x=6-yD. y=6=x9、-120°用弧度制表示为()[单选题] *-2π/3(正确答案)2π/3-π/3-2π/510、300°是第()象限角?[单选题] *第一象限第二象限第三象限第四象限(正确答案)11、15.已知命题p:“?x∈R,ex-x-1≤0”,则?p为()[单选题] * A.?x∈R,ex-x-1≥0B.?x∈R,ex-x-1>0C.?x∈R,ex-x-1>0(正确答案)D.?x∈R,ex-x-1≥012、下面哪个式子的计算结果是9﹣x2() [单选题] *A. (3﹣x)(3+x)(正确答案)B. (x﹣3)(x+3)C. (3﹣x)2D. (3+x)213、要使多项式不含的一次项,则与的关系是()[单选题] *A. 相等(正确答案)B. 互为相反数C. 互为倒数D. 乘积为114、25.从五边形的一个顶点出发,可以画出m条对角线,它们将五边形分成n个三角形.则m、n的值分别为()[单选题] *A.1,2B.2,3(正确答案)C.3,4D.4,415、45.下列运算正确的是()[单选题] *A.(5﹣m)(5+m)=m2﹣25B.(1﹣3m)(1+3m)=1﹣3m2C.(﹣4﹣3n)(﹣4+3n)=﹣9n2+16(正确答案)D.(2ab﹣n)(2ab+n)=4ab2﹣n216、24、在▲ABC中中, ∠A=∠C=55°, 形内一点使∠PAC=∠PCA, 则∠ABP为()[单选题] *A. 30°B. 35°(正确答案)C. 40°D. 45°17、4.小亮用天平称得牛奶和玻璃杯的总质量为0.3546㎏,用四舍五入法将0.3546精确到0.01的近似值为()[单选题] *A.0.35(正确答案)B.0.36C.0.354D.0.35518、21.在﹣5,﹣2,0,这四个数中最小的数是()[单选题] * A.﹣5(正确答案)B.﹣2C.0D.19、若m·23=2?,则m等于[单选题] *A. 2B. 4C. 6D. 8(正确答案)20、19.下列函数在(0,+?? )上为增函数的是(). [单选题] *A.?(x)=-xB.?(x)=-1/X(正确答案)C.?(x)=-x2D.?(x)=1/X21、k·360°-30°(k是整数)所表示的角是第()象限角。
一.选择题(3分⨯10)1.点1M ()1,3,2到点()4,7,22M 的距离=21M M ( ).A.3B.4C.5D.62.向量j i b k j i a+=++-=2,2.则有( ).A.a ∥bB.a ⊥bC.3,π=b aD.4,π=b a3.函数1122222-++--=y x y x y 的定义域是( ).A.(){}21,22≤+≤y x y x B.(){}21,22<+<y x y xC.(){}21,22≤+<y xy x D (){}21,22<+≤y x y x4.两个向量a 与b垂直的充要条件是( ).A.0=⋅b aB.0 =⨯b aC.0 =-b aD.0 =+b a5.函数xy y x z 333-+=的极小值是( ). A.2 B.2- C.1 D.1- 6.设y x z sin =.则⎪⎭⎫ ⎝⎛∂∂4,1πyz =( ).A.22 B.22- C.2 D.2- 7.若p 级数∑∞=11n pn收敛.则( ). A.p 1< B.1≤p C.1>p D.1≥p8.幂级数∑∞=1n nn x 的收敛域为( ).A.[]1,1- B ()1,1- C.[)1,1- D.(]1,1-9.幂级数nn x ∑∞=⎪⎭⎫⎝⎛02在收敛域内的和函数是( ).A.x -11 B.x -22 C.x -12 D.x-2110.微分方程0ln =-'y y y x 的通解为( ).A.xce y = B.xe y = C.xcxe y = D.cxe y =二.填空题(4分⨯5)1.一平面过点()3,0,0A 且垂直于直线AB .其中点()1,1,2-B .则此平面方程为______________________.2.函数()xy z sin =的全微分是______________________________.3.设13323+--=xy xy y x z .则=∂∂∂yx z2_____________________________. 4.x+21的麦克劳林级数是___________________________. 5.微分方程044=+'+''y y y 的通解为_________________________________. 三.计算题(5分⨯6)1.设v e z usin =.而y x v xy u +==,.求.,yz x z ∂∂∂∂ 2.已知隐函数()y x z z ,=由方程05242222=-+-+-z x z y x 确定.求.,yz x z ∂∂∂∂ 3.计算σd y x D⎰⎰+22sin .其中22224:ππ≤+≤y x D . 4.如图.求两个半径相等的直交圆柱面所围成的立体的体积(R 为半径).5.求微分方程xey y 23=-'在00==x y条件下的特解.四.应用题(10分⨯2)1.要用铁板做一个体积为23m 的有盖长方体水箱.问长、宽、高各取怎样的尺寸时.才能使用料最省?2..曲线()x f y =上任何一点的切线斜率等于自原点到该切点的连线斜率的2倍.且曲线过点⎪⎭⎫ ⎝⎛31,1.求此曲线方程试卷1参考答案一.选择题 CBCAD ACCBD 二.填空题1.0622=+--z y x .2.()()xdy ydx xy +cos .3.19622--y y x .4.()n n n n x ∑∞=+-0121.5.()xe x C C y 221-+= .三.计算题 1.()()[]y x y x y e xzxy +++=∂∂cos sin .()()[]y x y x x e y z xy +++=∂∂cos sin . 2.12,12+=∂∂+-=∂∂z yy z z x x z . 3.⎰⎰=⋅πππρρρϕ202sin d d 26π-.4.3316R . 5.x xe ey 23-=.四.应用题1.长、宽、高均为m 32时.用料最省.2..312x y =《高数》试卷2(下)一.选择题(3分⨯10)1.点()1,3,41M .()2,1,72M 的距离=21M M ( ). A.12 B.13 C.14 D.152.设两平面方程分别为0122=++-z y x 和05=++-y x .则两平面的夹角为( ). A.6π B.4π C.3π D.2π 3.函数()22arcsin yx z +=的定义域为( ).A.(){}10,22≤+≤y x y x B.(){}10,22<+<y x y x C.()⎭⎬⎫⎩⎨⎧≤+≤20,22πy x y x D.()⎭⎬⎫⎩⎨⎧<+<20,22πy x y x 4.点()1,2,1--P 到平面0522=--+z y x 的距离为( ). A.3 B.4 C.5 D.6 5.函数22232y x xy z --=的极大值为( ). A.0 B.1 C.1- D.21 6.设223y xy x z ++=.则()=∂∂2,1xz ( ).A.6B.7C.8D.9 7.若几何级数∑∞=0n nar是收敛的.则( ).A.1≤rB. 1≥rC.1<rD.1≤r8.幂级数()nn xn ∑∞=+01的收敛域为( ).A.[]1,1-B.[)1,1-C.(]1,1-D. ()1,1-9.级数∑∞=14sin n n na是( ). A.条件收敛 B.绝对收敛 C.发散 D.不能确定二.填空题(4分⨯5)1.直线l 过点()1,2,2-A 且与直线⎪⎩⎪⎨⎧-==+=t z t y t x 213平行.则直线l 的方程为__________________________.2.函数xye z =的全微分为___________________________.3.曲面2242y x z -=在点()4,1,2处的切平面方程为_____________________________________.4.211x+的麦克劳林级数是______________________. 三.计算题(5分⨯6)1.设k j b k j i a32,2+=-+=.求.b a ⨯2.设22uv v u z -=.而y x v y x u sin ,cos ==.求.,y z x z ∂∂∂∂ 3.已知隐函数()y x z z ,=由233=+xyz x 确定.求.,yz x z ∂∂∂∂ 4.如图.求球面22224a z y x =++与圆柱面ax y x 222=+(0>a )所围的几何体的体积.四.应用题(10分⨯2) 1.试用二重积分计算由x y x y 2,==和4=x 所围图形的面积.试卷2参考答案一.选择题 CBABA CCDBA. 二.填空题 1.211212+=-=-z y x . 2.()xdy ydx exy+.3.488=--z y x .4.()∑∞=-021n n nx .5.3x y =. 三.计算题1.k j i238+-.2.()()()y y x y y y y x yz y y y y x x z 3333223cos sin cos sin cos sin ,sin cos cos sin +++-=∂∂-=∂∂ . 3.22,z xy xz y z z xy yz x z +-=∂∂+-=∂∂. 4.⎪⎭⎫ ⎝⎛-3223323πa . 四.应用题 1.316.《高等数学》试卷3(下)一、选择题(本题共10小题.每题3分.共30分) 1、二阶行列式 2 -3 的值为( )4 5A 、10B 、20C 、24D 、222、设a=i+2j-k,b=2j+3k.则a 与b 的向量积为( ) A 、i-j+2k B 、8i-j+2k C 、8i-3j+2k D 、8i-3i+k3、点P (-1、-2、1)到平面x+2y-2z-5=0的距离为( ) A 、2 B 、3 C 、4 D 、54、函数z=xsiny 在点(1.4π)处的两个偏导数分别为( )A 、,22 ,22 B 、,2222- C 、22- 22- D 、22- ,22 5、设x 2+y 2+z 2=2Rx.则yzx z ∂∂∂∂,分别为( ) A 、z y z R x --, B 、z y z R x ---, C 、zyz R x ,-- D 、zyz R x ,- 6、设圆心在原点.半径为R.面密度为22y x +=μ的薄板的质量为( )(面积A=2R π)A 、R 2AB 、2R 2AC 、3R 2A D 、A R 221 7、级数∑∞=-1)1(n nnn x 的收敛半径为( )A 、2B 、21C 、1D 、3 8、cosx 的麦克劳林级数为( )A 、∑∞=-0)1(n n)!2(2n x n B 、∑∞=-1)1(n n )!2(2n x n C 、∑∞=-0)1(n n )!2(2n x n D 、∑∞=-0)1(n n)!12(12--n x n9、微分方程(y``)4+(y`)5+y`+2=0的阶数是( ) A 、一阶 B 、二阶 C 、三阶 D 、四阶 10、微分方程y``+3y`+2y=0的特征根为( ) A 、-2.-1 B 、2.1 C 、-2.1 D 、1.-2 二、填空题(本题共5小题.每题4分.共20分) 1、直线L 1:x=y=z 与直线L 2:的夹角为z y x =-+=-1321___________。
习题1−11. 设A =(−∞, −5)∪(5, +∞), B =[−10, 3), 写出A ∪B , A ∩B , A \B 及A \(A \B )的表达式. 解 A ∪B =(−∞, 3)∪(5, +∞),A ∩B =[−10, −5),A \B =(−∞, −10)∪(5, +∞),A \(A \B )=[−10, −5).2. 设A 、B 是任意两个集合, 证明对偶律: (A ∩B )C =A C ∪B C .证明 因为x ∈(A ∩B )C ⇔x ∉A ∩B ⇔ x ∉A 或x ∉B ⇔ x ∈A C 或x ∈B C ⇔ x ∈A C ∪B C ,所以 (A ∩B )C =A C ∪B C .3. 设映射f : X →Y , A ⊂X , B ⊂X . 证明(1)f (A ∪B )=f (A )∪f (B );(2)f (A ∩B )⊂f (A )∩f (B ).证明 因为y ∈f (A ∪B )⇔∃x ∈A ∪B , 使f (x )=y⇔(因为x ∈A 或x ∈B ) y ∈f (A )或y ∈f (B )⇔ y ∈ f (A )∪f (B ),所以 f (A ∪B )=f (A )∪f (B ).(2)因为y ∈f (A ∩B )⇒ ∃x ∈A ∩B , 使f (x )=y ⇔(因为x ∈A 且x ∈B ) y ∈f (A )且y ∈f (B )⇒ y ∈ f (A )∩f (B ), 所以 f (A ∩B )⊂f (A )∩f (B ).4. 设映射f : X →Y , 若存在一个映射g : Y →X , 使, , 其中I X I f g =D Y I g f =D X 、I Y 分别是X 、Y 上的恒等映射, 即对于每一个x ∈X , 有I X x =x ; 对于每一个y ∈Y , 有I Y y =y . 证明: f 是双射, 且g 是f 的逆映射: g =f −1.证明 因为对于任意的y ∈Y , 有x =g (y )∈X , 且f (x )=f [g (y )]=I y y =y , 即Y 中任意元素都是X 中某元素的像, 所以f 为X 到Y 的满射.又因为对于任意的x 1≠x 2, 必有f (x 1)≠f (x 2), 否则若f (x 1)=f (x 2) ⇒g [ f (x 1)]=g [f (x 2)] ⇒ x 1=x 2. 因此f 既是单射, 又是满射, 即f 是双射.对于映射g : Y →X , 因为对每个y ∈Y , 有g (y )=x ∈X , 且满足f (x )=f [g (y )]=I y y =y , 按逆映射的定义, g 是f 的逆映射.5. 设映射f : X →Y , A ⊂X . 证明:(1)f −1(f (A ))⊃A ;(2)当f 是单射时, 有f −1(f (A ))=A .证明 (1)因为x ∈A ⇒ f (x )=y ∈f (A ) ⇒ f −1(y )=x ∈f −1(f (A )),所以 f −1(f (A ))⊃A .(2)由(1)知f −1(f (A ))⊃A .另一方面, 对于任意的x ∈f −1(f (A ))⇒存在y ∈f (A ), 使f −1(y )=x ⇒f (x )=y . 因为y ∈f (A )且f 是单射, 所以x ∈A . 这就证明了f −1(f (A ))⊂A . 因此f −1(f (A ))=A .6. 求下列函数的自然定义域:(1)23+=x y ;解 由3x +2≥0得32−>x . 函数的定义域为) ,32[∞+−. (2)211xy −=; 解 由1−x 2≠0得x ≠±1. 函数的定义域为(−∞, −1)∪(−1, 1)∪(1, +∞).(3)211x xy −−=; 解 由x ≠0且1−x 2≥0得函数的定义域D =[−1, 0)∪(0, 1].(4)241x y −=; 解 由4−x 2>0得 |x |<2. 函数的定义域为(−2, 2).(5)x y sin =;解 由x ≥0得函数的定义D =[0, +∞).(6) y =tan(x +1);解 由21π≠+x (k =0, ±1, ±2, ⋅ ⋅ ⋅)得函数的定义域为 12−+≠ππk x (k =0, ±1, ±2, ⋅ ⋅ ⋅). (7) y =arcsin(x −3);解 由|x −3|≤1得函数的定义域D =[2, 4].(8)xx y 1arctan 3+−=; 解 由3−x ≥0且x ≠0得函数的定义域D =(−∞, 0)∪(0, 3).(9) y =ln(x +1);解 由x +1>0得函数的定义域D =(−1, +∞).(10)x e y 1=.解 由x ≠0得函数的定义域D =(−∞, 0)∪(0, +∞).7. 下列各题中, 函数f (x )和g (x )是否相同?为什么?(1)f (x )=lg x 2, g (x )=2lg x ;(2) f (x )=x , g (x )=2x ;(3)334)(x x x f −=,31)(−=x x x g .(4)f (x )=1, g (x )=sec 2x −tan 2x .解 (1)不同. 因为定义域不同.(2)不同. 因为对应法则不同, x <0时, g (x )=−x .(3)相同. 因为定义域、对应法则均相相同.(4)不同. 因为定义域不同.8. 设⎪⎩⎪⎨⎧≥<=3|| 03|| |sin |)(ππϕx x x x , 求)6(πϕ, )4(πϕ, )4(πϕ−, ϕ(−2), 并作出函数y =ϕ(x )的图形. 解 21|6sin |)6(==ππϕ, 22|4sin |)4(==ππϕ, 22|)4sin(|)4(=−=−ππϕ, 0)2(=−ϕ. 9. 试证下列函数在指定区间内的单调性:(1)xx y −=1, (−∞, 1); (2)y =x +ln x , (0, +∞).证明 (1)对于任意的x 1, x 2∈(−∞, 1), 有1−x 1>0, 1−x 2>0. 因为当x 1<x 2时,0)1)(1(112121221121<−−−=−−−=−x x x x x x x x y y , 所以函数xx y −=1在区间(−∞, 1)内是单调增加的. (2)对于任意的x 1, x 2∈(0, +∞), 当x 1<x 2时, 有 0ln)()ln ()ln (2121221121<+−=+−+=−x x x x x x x x y y , 所以函数y =x +ln x 在区间(0, +∞)内是单调增加的.10. 设 f (x )为定义在(−l , l )内的奇函数, 若f (x )在(0, l )内单调增加, 证明f (x )在(−l , 0)内也单调增加.证明 对于∀x 1, x 2∈(−l , 0)且x 1<x 2, 有−x 1, −x 2∈(0, l )且−x 1>−x 2.因为f (x )在(0, l )内单调增加且为奇函数, 所以f (−x 2)<f (−x 1), − f (x 2)<−f (x 1), f (x 2)>f (x 1),这就证明了对于∀x 1, x 2∈(−l , 0), 有f (x 1)< f (x 2), 所以f (x )在(−l , 0)内也单调增加.11. 设下面所考虑的函数都是定义在对称区间(−l , l )上的, 证明:(1)两个偶函数的和是偶函数, 两个奇函数的和是奇函数;(2)两个偶函数的乘积是偶函数, 两个奇函数的乘积是偶函数, 偶函数与奇函数的乘积是奇函数.证明 (1)设F (x )=f (x )+g (x ). 如果f (x )和g (x )都是偶函数, 则F (−x )=f (−x )+g (−x )=f (x )+g (x )=F (x ),所以F (x )为偶函数, 即两个偶函数的和是偶函数.如果f (x )和g (x )都是奇函数, 则F (−x )=f (−x )+g (−x )=−f (x )−g (x )=−F (x ),所以F (x )为奇函数, 即两个奇函数的和是奇函数.(2)设F (x )=f (x )⋅g (x ). 如果f (x )和g (x )都是偶函数, 则F (−x )=f (−x )⋅g (−x )=f (x )⋅g (x )=F (x ),所以F (x )为偶函数, 即两个偶函数的积是偶函数.如果f (x )和g (x )都是奇函数, 则F (−x )=f (−x )⋅g (−x )=[−f (x )][−g (x )]=f (x )⋅g (x )=F (x ),所以F (x )为偶函数, 即两个奇函数的积是偶函数.如果f (x )是偶函数, 而g (x )是奇函数, 则F (−x )=f (−x )⋅g (−x )=f (x )[−g (x )]=−f (x )⋅g (x )=−F (x ),所以F (x )为奇函数, 即偶函数与奇函数的积是奇函数.12. 下列函数中哪些是偶函数, 哪些是奇函数, 哪些既非奇函数又非偶函数?(1)y =x 2(1−x 2);(2)y =3x 2−x 3;(3)2211x xy +−=; (4)y =x (x −1)(x +1);(5)y =sin x −cos x +1;(6)2x x a a y −+=. 解 (1)因为f (−x )=(−x )2[1−(−x )2]=x 2(1−x 2)=f (x ), 所以f (x )是偶函数.(2)由f (−x )=3(−x )2−(−x )3=3x 2+x 3可见f (x )既非奇函数又非偶函数.(3)因为())(111)(1)(2222x f x x x x x f =+−=−+−−=−, 所以f (x )是偶函数. (4)因为f (−x )=(−x )(−x −1)(−x +1)=−x (x +1)(x −1)=−f (x ), 所以f (x )是奇函数.(5)由f (−x )=sin(−x )−cos(−x )+1=−sin x −cos x +1可见f (x )既非奇函数又非偶函数.(6)因为)(22)()()(x f a a a a x f x x x x =+=+=−−−−−, 所以f (x )是偶函数.13. 下列各函数中哪些是周期函数?对于周期函数, 指出其周期:(1)y =cos(x −2);(2)y =cos 4x ;(3)y =1+sin πx ;(4)y =x cos x ;(5)y =sin 2 x .解 (1)是周期函数, 周期为l =2π.(2)是周期函数, 周期为2π=l . (3)是周期函数, 周期为l =2.(4)不是周期函数.(5)是周期函数, 周期为l =π.14. 求下列函数的反函数:(1)31+=x y ;(2)xx y +−=11; (3)dcx b ax y ++=(ad −bc ≠0); (4) y =2sin3x ;(5) y =1+ln(x +2);(6)122+=x xy . 解 (1)由31+=x y 得x =y 3−1, 所以31+=x y 的反函数为y =x 3−1.(2)由x x y +−=11得yy x +−=11, 所以x x y +−=11的反函数为x x y +−=11. (3)由d cx b ax y ++=得a cy b dy x −+−=, 所以d cx b ax y ++=的反函数为acx b dx y −+−=. (4)由y =2sin 3x 得2arcsin 31y x =, 所以y =2sin 3x 的反函数为2arcsin 31x y =. (5)由y =1+ln(x +2)得x =e y −1−2, 所以y =1+ln(x +2)的反函数为y =e x −1−2.(6)由122+=x x y 得y y x −=1log 2, 所以122+=x x y 的反函数为xx y −=1log 2. 15. 设函数f (x )在数集X 上有定义, 试证: 函数f (x )在X 上有界的充分必要条件是它在X 上既有上界又有下界.证明 先证必要性. 设函数f (x )在X 上有界, 则存在正数M , 使|f (x )|≤M , 即−M ≤f (x )≤M . 这这就证明了f (x )在X 上有下界−M 和上界M .再证充分性. 设函数f (x )在X 上有下界K 1和上界K 2, 即K 1≤f (x )≤ K 2 . 取M =max{|K 1|, |K 2|}, 则 −M ≤ K 1≤f (x )≤ K 2≤M ,即 |f (x )|≤M .这就证明了f (x )在X 上有界.16. 在下列各题中, 求由所给函数复合而成的函数, 并求这函数分别对应于给定自变量值x 1和x 2的函数值:(1) y =u 2, u =sin x , 61π=x , 32π=x ; (2) y =sin u , u =2x , ,81π=x ,42π=x ; (3)u y =, u =1+x 2, x 1=1, x 2= 2;(4) y =e u , u =x 2, x 1 =0, x 2=1;(5) y =u 2 , u =e x , x 1=1, x 2=−1.解 (1)y =sin 2x , 41)21(6sin 221===πy ,3)3(sin 222===πy . (2)y =sin2x , 224sin )82sin(1==⋅=ππy ,12sin )42sin(2==⋅=ππy . (3)21x y +=, 21121=+=y , 52122=+=y .(4), , .2x e y =1201==e y e e y ==212 (5)y =e 2x , y 1=e 2⋅1=e 2, y 2=e 2⋅(−1)=e −2.17. 设f (x )的定义域D =[0, 1], 求下列各函数的定义域:(1) f (x 2);(2) f (sin x );(3) f (x +a )(a >0);(4)f (x +a )+f (x −a )(a >0).解 (1)由0≤x 2≤1得|x |≤1, 所以函数f (x 2)的定义域为[−1, 1].(2)由0≤sin x ≤1得2n π≤x ≤(2n +1)π (n =0, ±1, ±2⋅ ⋅ ⋅), 所以函数f (sin x )的定义域为[2n π, (2n +1)π] (n =0, ±1, ±2⋅ ⋅ ⋅) .(3)由0≤x +a ≤1得−a ≤x ≤1−a , 所以函数f (x +a )的定义域为[−a , 1−a ].(4)由0≤x +a ≤1且0≤x −a ≤1得: 当210≤<a 时, a ≤x ≤1−a ; 当21>a 时, 无解. 因此当210≤<a 时函数的定义域为[a , 1−a ], 当21>a 时函数无意义.18. 设⎪⎩⎪⎨⎧>−=<=1|| 11|| 01|| 1)(x x x x f , g (x )=e x , 求f [g (x )]和g [f (x )], 并作出这两个函数的图形.解 ⎪⎩⎪⎨⎧>−=<=1|| 11|| 01|| 1)]([x x x e e e x g f , 即⎪⎩⎪⎨⎧>−=<=010 00 1)]([x x x x g f ., 即()⎪⎩⎪⎨⎧>=<==−1|| 1|| e 1|| ][101)(x e x x e e x f g x f ()⎪⎩⎪⎨⎧>=<=−1|| 1|| 11|| ][1x e x x e x f g .19. 已知水渠的横断面为等腰梯形, 斜角ϕ=40°(图1−37). 当过水断面ABCD 的面积为定值S 0时, 求湿周L (L =AC +CD +DB)与水深h 之间的函数关系式, 并说明定义域. 图1−37解 D 40sin hDC Ab ==, 又从0)]40cot 2([21S h BC BC h =⋅++D 得h hS BC ⋅−=D 40cot 0, 所以 h hS L D D 40sin 40cos 20−+=. 自变量h 的取值范围应由不等式组h >0,040cot 0>⋅−h hS D 确定, 定义域为D 40cot 00S h <<. 20. 收敛音机每台售价为90元, 成本为60元. 厂方为鼓励销售商大量采购, 决定凡是订购量超过100台以上的, 每多订购1台, 售价就降低1分, 但最低价为每台75元.(1)将每台的实际售价p 表示为订购量x 的函数;(2)将厂方所获的利润P 表示成订购量x 的函数;(3)某一商行订购了1000台, 厂方可获利润多少?解 (1)当0≤x ≤100时, p =90.令0. 01(x 0−100)=90−75, 得x 0=1600. 因此当x ≥1600时, p =75.当100<x <1600时,p =90−(x −100)×0. 01=91−0. 01x .综合上述结果得到.⎪⎩⎪⎨⎧≥<<−≤≤=1600 751600100 01.0911000 90x x x x p(2).⎪⎩⎪⎨⎧≥<<−≤≤=−=1600 151600100 01.0311000 30)60(2x x x x x x x x p P (3) P =31×1000−0. 01×10002=21000(元).习题1−21. 观察一般项x n 如下的数列{x n }的变化趋势, 写出它们的极限:(1)n n x 21=; (2)nx n n 1)1(−=; (3)212nx n +=; (4)11+−=n n x n ; (5) x n =n (−1)n .解 (1)当n →∞时, n n x 21=→0, 021lim =∞→n n .(2)当n →∞时, n x nn 1)1(−=→0, 01)1(lim =−∞→nn n . (3)当n →∞时, 212n x n +=→2,2)12(lim 2=+∞→nn . (4)当n →∞时, 12111+−=+−=n n n x n →0,111lim =+−∞→n n n . (5)当n →∞时, x n =n (−1)n 没有极限. 2. 设数列{x n }的一般项nn x n 2cos π=. 问=? 求出N , 使当n >N 时, x n n x ∞→lim n 与其极限之差的绝对值小于正数ε , 当ε =0.001时, 求出数N .解 . 0lim =∞→n n x n n n x n 1|2cos ||0|≤=−π. ∀ε >0, 要使|x n −0|<ε , 只要ε<n 1, 也就是ε1>n . 取]1[ε=N , 则∀n >N , 有|x n −0|<ε .当ε =0.001时, ]1[ε=N =1000. 3. 根据数列极限的定义证明:(1)01lim 2=∞→nn ; (2)231213lim =++∞→n n n ;(3)1lim 22=+∞→na n n (4). 19 999.0lim =⋅⋅⋅∞→ 个n n (1)分析 要使ε<=−221|01|n n , 只须ε12>n , 即ε1>n . 证明 因为∀ε>0, ∃]1[ε=N , 当n >N 时, 有ε<−|01|2n, 所以01lim 2=∞→n n . (2)分析 要使ε<<+=−++n n n n 41)12(21|231213|, 只须ε<n41, 即ε41>n . 证明 因为∀ε>0, ∃41[ε=N , 当n >N 时, 有ε<−++231213|n n , 所以231213lim =++∞→n n n . (3)分析 要使ε<<++=−+=−+n a n a n n a n n a n n a n 22222222)(|1|, 只须ε2a n >. 证明 因为∀ε>0, ∃][2εa N =, 当∀n >N 时, 有ε<−+|1|22n a n , 所以1lim 22=+∞→n a n n . (4)分析 要使|0.99 ⋅ ⋅ ⋅ 9−1|ε<=−1101n , 只须1101−n <ε , 即ε1lg 1+>n . 证明 因为∀ε>0, ∃]1lg 1[ε+=N , 当∀n >N 时, 有|0.99 ⋅ ⋅ ⋅ 9−1|<ε , 所以. 19 999.0lim =⋅⋅⋅∞→ n 个n 4. , 证明. 并举例说明: 如果数列{|x a u n n =∞→lim ||||lim a u n n =∞→n |}有极限, 但数列{x n }未必有极限.证明 因为, 所以∀ε>0, ∃N ∈N , 当n >N 时, 有, 从而 a u n n =∞→lim ε<−||a u n ||u n |−|a ||≤|u n −a |<ε .这就证明了|. |||lim a u n n =∞→ 数列{|x n |}有极限, 但数列{x n }未必有极限. 例如, 但不存在. 1|)1(|lim =−∞→n n n n )1(lim −∞→ 5. 设数列{x n }有界, 又, 证明: . 0lim =∞→n n y 0lim =∞→n n n y x 证明 因为数列{x n }有界, 所以存在M , 使∀n ∈Z , 有|x n |≤M .又, 所以∀ε>0, ∃N ∈N , 当n >N 时, 有0lim =∞→n n y M y n ε<||. 从而当n >N 时, 有εε=⋅<≤=−MM y M y x y x n n n n n |||||0|,所以.0lim =∞→n n n y x 6. 对于数列{x n }若x 2k →a (k →∞), x 2k +1→a (k →∞), 证明: x n →a (n →∞). 证明 因为x 2k →a (k →∞), x 2k +1→a (k →∞), 所以∀ε>0, ∃K 1, 当2k >2K 1时, 有| x 2k −a |<ε ;∃K 2,当2k +1>2K 2+1时, 有| x 2k +1−a |<ε..取N =max{2K 1, 2K 2+1}, 只要n >N , 就有|x n −a |<ε . 因此x n →a (n →∞).习题1−31. 根据函数极限的定义证明: (1);8)13(lim 3=−→x x (2);12)25(lim 2=+→x x (3)424lim22−=+−−→x x x ; (4)21241lim321=+−−→x x x . 证明 (1)分析 |(3x −1)−8|=|3x −9|=3|x −3|, 要使|(3x −1)−8|<ε , 只须ε31|3|<−x .证明 因为∀ε >0, ∃εδ31=, 当0<|x −3|<δ时, 有|(3x −1)−8|<ε , 所以.8)13(lim 3=−→x x (2)分析 |(5x +2)−12|=|5x −10|=5|x −2|, 要使|(5x +2)−12|<ε , 只须ε51|2|<−x .证明 因为∀ε >0, ∃εδ51=, 当0<|x −2|<δ时, 有|(5x +2)−12|<ε , 所以.12)25(lim 2=+→x x (3)分析 |)2(||2|244)4(2422−−=+=+++=−−+−x x x x x x x , 要使ε<−−+−)4(242x x , 只须ε<−−|)2(|x .证明 因为∀ε >0, ∃εδ=, 当0<|x −(−2)|<δ时, 有ε<−−+−)4(242x x , 所以424lim 22−=+−−→x x x .(4)分析|)21(|2|221|212413−−=−−=−+−x x x x , 要使ε<−+−212413x x , 只须ε21|)21(|<−−x . 证明 因为∀ε >0, ∃εδ21=, 当δ<−−<|)21(|0x 时, 有ε<−+−212413x x , 所以21241lim321=+−−→x x x . 2. 根据函数极限的定义证明: (1)2121lim33=+∞→x x x ; (2)0sin lim=+∞→xxx .证明 (1)分析333333||21212121x x x x x x =−+=−+, 要使ε<−+212133x x , 只须ε<3||21x , 即321||ε>x .证明 因为∀ε >0, ∃321ε=X , 当|x |>X 时, 有ε<−+212133x x , 所以2121lim 33=+∞→x x x .(2)分析 xxx xx 1|sin |0sin ≤=−, 要使ε<−0sin x x, 只须ε<x1, 即21ε>x .证明 因为∀ε>0, ∃21ε=X , 当x >X 时, 有ε<−0sin xx, 所以0sin lim=+∞→x xx .3. 当x →2时, y =x 2→4. 问δ等于多少, 使当|x −2|<δ时, |y −4|<0. 001?解 由于x →2, |x −2|→0, 不妨设|x −2|<1, 即1<x <3. 要使|x 2−4|=|x +2||x −2|<5|x −2|<0. 001, 只要0002.05001.0|2|=<−x , 取δ=0. 0002, 则当0<|x −2|<δ时, 就有|x 2−4|<0. 001. 4. 当x →∞时, 13122→+−=x x y , 问X 等于多少, 使当|x |>X 时, |y −1|<0.01?解 要使01.034131222<+=−+−x x x , 只397301.04||=−>x , 397=X . 5. 证明函数f (x )=|x | 当x →0时极限为零.6. 求,)(xxx f = x x x ||)(=ϕ当x →0时的左﹑右极限, 并说明它们在x →0时的极限是否存在.证明 因为11lim lim )(lim 000===−−−→→→x x x x xx f ,11lim lim )(lim 000===+++→→→x x x x xx f ,,)(lim )(lim 0x f x f x x +→→=−所以极限存在.)(lim 0x f x → 因为1lim ||lim )(lim 00−=−==−−−→→→x xx x x x x x ϕ, 1lim ||lim )(lim 00===+++→→→xx x x x x x x ϕ, ,)(lim )(lim 0x x x x ϕϕ+→→≠−所以极限不存在.)(lim 0x x ϕ→ 7. 证明: 若x →+∞及x →−∞时, 函数f (x )的极限都存在且都等于A , 则.A x f x =∞→)(lim证明 因为, , 所以∀ε>0,A x f x =−∞→)(lim A x f x =+∞→)(lim ∃X 1>0, 使当x <−X 1时, 有|f (x )−A |<ε ; ∃X 2>0, 使当x >X 2时, 有|f (x )−A |<ε .取X =max{X 1, X 2}, 则当|x |>X 时, 有|f (x )−A |<ε , 即.A x f x =∞→)(lim 8. 根据极限的定义证明: 函数f (x )当x →x 0 时极限存在的充分必要条件是左极限、右极限各自存在并且相等.证明 先证明必要性. 设f (x )→A (x →x 0), 则∀ε>0, ∃δ>0, 使当0<|x −x 0|<δ 时, 有|f (x )−A |<ε .因此当x 0−δ<x <x 0和x 0<x <x 0+δ 时都有|f (x )−A |<ε .这说明f (x )当x →x 0时左右极限都存在并且都等于A . 再证明充分性. 设f (x 0−0)=f (x 0+0)=A , 则∀ε>0, ∃δ1>0, 使当x 0−δ1<x <x 0时, 有| f (x )−A <ε ; ∃δ2>0, 使当x 0<x <x 0+δ2时, 有| f (x )−A |<ε .取δ=min{δ1, δ2}, 则当0<|x −x 0|<δ 时, 有x 0−δ1<x <x 0及x 0<x <x 0+δ2 , 从而有| f (x )−A |<ε ,即f (x )→A (x →x 0).9. 试给出x →∞时函数极限的局部有界性的定理, 并加以证明.解 x →∞时函数极限的局部有界性的定理: 如果f (x )当x →∞时的极限存在, 则存在X >0及M >0, 使当|x |>X 时, |f (x )|<M .证明 设f (x )→A (x →∞), 则对于ε =1, ∃X >0, 当|x |>X 时, 有|f (x )−A |<ε =1. 所以 |f (x )|=|f (x )−A +A |≤|f (x )−A |+|A |<1+|A |.这就是说存在X >0及M >0, 使当|x |>X 时, |f (x )|<M , 其中M =1+|A |.习题1−41. 两个无穷小的商是否一定是无穷小?举例说明之. 解 不一定.例如, 当x →0时, α(x )=2x , β(x )=3x 都是无穷小, 但32)()(lim 0=→x x x βα, )()(x x βα不是无穷小.2. 根据定义证明:(1)392+−=x x y 当x →3时为无穷小;(2)xx y 1sin =当x →0时为无穷小.证明 (1)当x ≠3时|3|39||2−=+−=x x x y . 因为∀ε >0, ∃δ=ε , 当0<|x −3|<δ时, 有εδ=<−=+−=|3|39||2x x x y ,所以当x →3时392+−=x x y 为无穷小.(2)当x ≠0时|0|1sin |||||−≤=x xx y . 因为∀ε >0, ∃δ=ε , 当0<|x −0|<δ时, 有εδ=<−≤=|0||1sin |||||x xx y ,所以当x →0时xx y 1sin =为无穷小.3. 根据定义证明: 函数xxy 21+=为当x →0时的无穷大. 问x 应满足什么条件, 能使|y |>104证明 分析2||11221||−≥+=+=x x x x y , 要使|y |>M , 只须M x >−2||1, 即21||+<M x .证明 因为∀M >0, ∃21+=M δ, 使当0<|x −0|<δ时, 有M xx>+21, 所以当x →0时, 函数xxy 21+=是无穷大. 取M =104, 则21014+=δ. 当2101|0|04+<−<x 时, |y |>104.4. 求下列极限并说明理由: (1)xx n 12lim+∞→;(2)xx x −−→11lim 20.解 (1)因为x x x 1212+=+, 而当x →∞ 时x 1是无穷小, 所以212lim =+∞→xx n .(2)因为x xx +=−−1112(x ≠1), 而当x →0时x 为无穷小, 所以111lim 20=−−→x x x .5. 根据函数极限或无穷大定义, 填写下表:6. 函数y =x cos x 在(−∞, +∞)内是否有界?这个函数是否为当x →+∞ 时的无穷大?为什么?解 函数y =x cos x 在(−∞, +∞)内无界.这是因为∀M >0, 在(−∞, +∞)内总能找到这样的x , 使得|y (x )|>M . 例如y (2k π)=2k π cos2k π=2k π (k =0, 1, 2, ⋅ ⋅ ⋅),当k 充分大时, 就有| y (2k π)|>M .当x →+∞ 时, 函数y =x cos x 不是无穷大.这是因为∀M >0, 找不到这样一个时刻N , 使对一切大于N 的x , 都有|y (x )|>M . 例如022cos()22()22(=++=+ππππππk k k y (k =0, 1, 2, ⋅ ⋅ ⋅),对任何大的N , 当k 充分大时, 总有N k x >+=22ππ, 但|y (x )|=0<M .7. 证明: 函数x x y 1sin 1=在区间(0, 1]上无界, 但这函数不是当x →0+时的无穷大.证明 函数xx y 1sin 1=在区间(0, 1]上无界. 这是因为∀M >0, 在(0, 1]中总可以找到点x k , 使y (x k )>M . 例如当221ππ+=k x k (k =0, 1, 2, ⋅ ⋅ ⋅)时, 有22)(ππ+=k x y k ,当k 充分大时, y (x k )>M .当x →0+ 时, 函数xx y 1sin 1=不是无穷大. 这是因为∀M >0, 对所有的δ>0, 总可以找到这样的点x k , 使0<x k <δ, 但y (x k )<M . 例如可取πk x k 21=(k =0, 1, 2, ⋅ ⋅ ⋅), 当k 充分大时, x k <δ, 但y (x k )=2k πsin2k π=0<M .习题1−51. 计算下列极限: (1)35lim 22−+→x x x ;解 9325235lim 222−=−+=−+→x x x .(2)13lim 223+−→x x x ;解 01)3(3)3(13lim 22223=+−=+−→x x x . (3)112lim 221−+−→x x x x ;解 02011lim )1)(1()1(lim 112lim121221==+−=+−−=−+−→→→x x x x x x x x x x x .(4)xx xx x x 2324lim 2230++−→;解 2123124lim 2324lim 202230=++−=++−→→x x x x x x x x x x .(5)hx h x h 220)(lim−+→;解 x h x hx h hx x h x h x h h h 2)2(lim 2lim )(lim02220220=+=−++=−+→→→.(6))112(lim 2xx x +−∞→; 解 21lim 1lim 2)112(lim 22=+−=+−∞→∞→∞→x x x x x x x . (7)121lim22−−−∞→x x x x ; 解 2111211lim 121lim 2222=−−−=−−−∞→∞→x x x x x x x x .(8)13lim242−−+∞→x x x x x ; 解 013lim242=−−+∞→x x x x x (分子次数低于分母次数, 极限为零)或 012111lim13lim 4232242=−−+=−−+∞→∞→xx x x x x xx x x . (9)4586lim 224+−+−→x x x x x ;解 32142412lim )4)(1()4)(2(lim 4586lim 44224=−−=−−=−−−−=+−+−→→→x x x x x x x x x x x x x .(10))12)(11(lim 2xx x −+∞→; 解 221)12(lim )11(lim )12)(11(lim 22=×=−⋅+=−+∞→∞→∞→x x x x x x x . (11))21 41211(lim n n +⋅⋅⋅+++∞→; 解 2211)21(1lim )21 41211(lim 1=−−=+⋅⋅⋅++++∞→∞→n n n n .(12)2)1( 321limn n n −+⋅⋅⋅+++∞→;解 211lim 212)1(lim )1( 321lim 22=−=−=−+⋅⋅⋅+++∞→∞→∞→n n n n n n n n n n . (13)35)3)(2)(1(lim n n n n n +++∞→;解 515)3)(2)(1(lim3=+++∞→n n n n n (分子与分母的次数相同, 极限为最高次项系数之比).或 51)31)(21)(11(lim 515)3)(2)(1(lim3=+++=+++∞→∞→n n n n n n n n n . (14))1311(lim 31xx x −−−→; 解 112lim )1)(1()2)(1(lim )1)(1(31lim )1311(lim 212122131−=+++−=++−+−−=++−−++=−−−→→→→x x x x x x x x x x x x x x x x x x x .2. 计算下列极限: (1)2232)2(2lim −+→x x x x ; 解 因为01602)2(lim 2322==+−→x x x x , 所以∞=−+→2232)2(2lim x x x x .(2)12lim 2+∞→x x x ;解 ∞=+∞→12lim 2x x x (因为分子次数高于分母次数).(3).)12(lim 3+−∞→x x x 解 (因为分子次数高于分母次数).∞=+−∞→)12(lim 3x x x 3. 计算下列极限: (1)xx x 1sin lim 20→;解 01sin lim 20=→x x x (当x →0时, x 2是无穷小, 而x 1sin 是有界变量). (2)xx x arctan lim ∞→. 解 0arctan 1lim arctan lim =⋅=∞→∞→x x x x x x (当x →∞时, x 1是无穷小, 而arctan x 是有界变量). 4. 证明本节定理3中的(2).习题1−61. 计算下列极限: (1)xx x ωsin lim 0→;解 ωωωωω==→→x x x x x x sin lim sin lim 00. (2)xx x 3tan lim 0→; 解 33cos 133sin lim 33tan lim 00=⋅=→→x x x x x x x . (3)xx x 5sin 2sin lim 0→; 解 52525sin 522sin lim 5sin 2sin lim 00=⋅⋅=→→x x x x x x x x .(4);x x x cot lim 0→ 解 1cos lim sin lim cos sin lim cot lim 0000=⋅=⋅=→→→→x x x x x x x x x x x x . (5)xx x x sin 2cos 1lim 0−→; 解法一 ()2sin lim 2sin 2lim 2cos1lim sin 2cos 1lim 20220200===−=−→→→→xx x x x x x x x x x x x .解法二 2sin lim 2sin sin 2lim sin 2cos 1lim 0200===−→→→xx x x x x x x x x x .(6)nn n x2sin2lim ∞→(x 为不等于零的常数). 解 x x xxx nn n n n n =⋅=∞→∞→22sinlim2sin 2lim . 2. 计算下列极限:(1)xx x 1)1(lim −→;解{}11)(10)1)(11)](1[lim )](1[lim )1(lim −−−→−−→→=−+=−+=−e x x x x x x x x x .(2)x x x 1)21(lim +→;解[]22210221010)21(lim )21(lim )21(lim e x x x x x x x x x =+=+=+→→→.(3)x x xx 2)1(lim +∞→;解 []222)11(lim )1(lim e x x x xx x x =+=+∞→∞→.(4)kx x x)11(lim −∞→(k 为正整数). 解 k k x x kx x e xx −−−∞→∞→=−+=−))(()11(lim )11(lim . 3. 根据函数极限的定义, 证明极限存在的准则I ′. 解4. 利用极限存在准则证明:(1)111lim =+∞→nn ;证明 因为n n 11111+<+<,而 且11lim =∞→n 1)11(lim =+∞→nn ,由极限存在准则I, 111lim =+∞→n n .(2)()11211lim 222=++⋅⋅⋅++++∞→πππn n n n n n ; 证明 因为()πππππ+<++⋅⋅⋅++++<+22222221 211n n n n n n n n n n , 而 1lim22=+∞→πn n n n , 1lim 22=+∞→πn n n ,所以 ()11211lim 222=++⋅⋅⋅++++∞→πππn n n n n n . (3)数列2, 22+, 222++, ⋅ ⋅ ⋅ 的极限存在;证明 21=x , n n x x +=+21(n =1, 2, 3, ⋅ ⋅ ⋅).先证明数列{x n }有界. 当n =1时221<=x , 假定n =k 时x k <2, 当n =k +1时,22221=+<+=+k k x x ,所以x n <2(n =1, 2, 3, ⋅ ⋅ ⋅), 即数列{x n }有界.再证明数列单调增.nn n n n n nn n n n n x x x x x x x x x x x x +++−−=++−+=−+=−+2)1)(2(22221,而x n −2<0, x n +1>0, 所以x n +1−x n >0, 即数列{x n }单调增.因为数列{x n }单调增加有上界, 所以此数列是有极限的. (4)11lim 0=+→n x x ;证明 当|x |≤1时, 则有 1+x ≤1+|x |≤(1+|x |)n , 1+x ≥1−|x |≥(1−|x |)n , 从而有 ||11||1x x x n +≤+≤−. 因为 ,1|)|1(lim |)|1(lim 0=+=−→→x x x x 根据夹逼准则, 有 11lim 0=+→n x x .(5)[]11lim 0=+→xx x . 证明 因为[]xx x 1111≤<−, 所以[]111≤<−x x x .又因为, 根据夹逼准则, 有11lim )1(lim 0==−++→→x x x []11lim 0=+→xx x .习题 1−71. 当x →0时, 2x −x 2 与x 2−x 3相比, 哪一个是高阶无穷小? 解 因为02lim 2lim 202320=−−=−−→→xx x x x x x x x ,所以当x →0时, x 2−x 3是高阶无穷小, 即x 2−x 3=o (2x −x 2).2. 当x →1时, 无穷小1−x 和(1)1−x 3, (2))1(212x −是否同阶?是否等价? 解 (1)因为3)1(lim 1)1)(1(lim 11lim 212131=++=−++−=−−→→→x x xx x x x x x x x ,所以当x →1时, 1−x 和1−x 3是同阶的无穷小, 但不是等价无穷小.(2)因为1)1(lim 211)1(21lim 121=+=−−→→x x x x x , 所以当x →1时, 1−x 和)1(212x −是同阶的无穷小, 而且是等价无穷小.3. 证明: 当x →0时, 有: (1) arctan x ~x ; (2)2~1sec 2x x −.证明 (1)因为1tan lim arctan lim00==→→y y xxy x (提示: 令y =arctan x , 则当x →0时, y →0),所以当x →0时, arctan x ~x .(2)因为()122sin2lim 22sin 2limcos cos 1lim 2211sec lim20222020===−=−→→→→x xx x x x xx x x x x x ,所以当x →0时, 2~1sec 2x x −.4. 利用等价无穷小的性质, 求下列极限: (1)xxx 23tan lim0→;(2)mn x x x )(sin )sin(lim0→(n , m 为正整数);(3)xx x x 30sin sin tan lim −→;(4))1sin 1)(11(tan sin lim320−+−+−→x x x x x .解 (1)2323lim 23tan lim 00==→→x x x x x x .(2) ⎪⎩⎪⎨⎧<∞>===→→mn m n m n x x x x mn x m n x 0 1lim )(sin )sin(lim00. (3)21cos 21lim sin cos cos 1lim sin )1cos 1(sin lim sin sin tan lim 220203030==−=−=−→→→→x x x x x x xx x x x x x x x x . (4)因为32221)2(2~2sin tan 2)1(cos tan tan sin x x x x x x x x x −=⋅−−=−=−(x →0), 23232223231~11)1(11x x x x x ++++=−+(x →0),x x x x x ~sin ~1sin 1sin 1sin 1++=−+(x →0),所以 33121lim )1sin 1)(11(tan sin lim 230320−=⋅−=−+−+−→→xx x x x xx x x .5. 证明无穷小的等价关系具有下列性质: (1) α ~α (自反性);(2) 若α ~β, 则β~α(对称性); (3)若α ~β, β~γ, 则α~γ(传递性). 证明 (1)1lim=αα, 所以α ~α ; (2) 若α ~β, 则1lim =βα, 从而1lim =αβ. 因此β~α ;(3) 若α ~β, β~γ, 1lim lim lim =⋅=βαγβγα. 因此α~γ.习题1−81. 研究下列函数的连续性, 并画出函数的图形:(1);⎩⎨⎧≤<−≤≤=21 210 )(2x x x x x f (2).⎩⎨⎧>≤≤−=1|| 111 )(x x x x f 解 (1)已知多项式函数是连续函数, 所以函数f (x )在[0, 1)和(1, 2]内是连续的. 在x =1处, 因为f (1)=1, , 1lim )(lim 211==−−→→x x f x x 1)2(lim )(lim 11=−=++→→x x f x x 所以, 从而函数f (x )在x =1处是连续的.1)(lim 1=→x f x 综上所述,函数f (x )在[0, 2]上是连续函数. (2)只需考察函数在x =−1和x =1处的连续性.在x =−1处, 因为f (−1)=−1, , , 所以函数在x =−1处间断, 但右连续.)1(11lim )(lim 11−≠==−−−→−→f x f x x )1(1lim )(lim 11−=−==++−→−→f x x f x x 在x =1处, 因为f (1)=1, =f (1), =f (1), 所以函数在x =1处连续.1lim )(lim 11==−−→→x x f x x 11lim )(lim 11==++→→x x x f 综合上述讨论, 函数在(−∞, −1)和(−1, +∞)内连续, 在x =−1处间断, 但右连续.2. 下列函数在指出的点处间断, 说明这些间断点属于哪一类, 如果是可去间断点, 则补充或改变函数的定义使它连续:(1)23122+−−=x x x y , x =1, x =2;(2)x xy tan =, x =k , 2ππ+=k x (k =0, ±1, ±2, ⋅ ⋅ ⋅); (3),1cos 2xy = x =0;(4), x =1.⎩⎨⎧>−≤−=1 311x x x x y 解 (1))1)(2()1)(1(23122−−−+=+−−=x x x x x x x y . 因为函数在x =2和x =1处无定义, 所以x =2和x =1是函数的间断点.因为∞=+−−=→→231lim lim 2222x x x y x x , 所以x =2是函数的第二类间断点;因为2)2()1(limlim 11−=−+=→→x x y x x , 所以x =1是函数的第一类间断点, 并且是可去间断点. 在x =1处,令y =−2, 则函数在x =1处成为连续的. (2)函数在点x =k π(k ∈Z)和2ππ+=k x (k ∈Z)处无定义, 因而这些点都是函数的间断点. 因∞=→x xk x tan limπ(k ≠0), 故x =k π(k ≠0)是第二类间断点;因为1tan lim 0=→xxx ,0tan lim2=+→x x k x ππ(k ∈Z), 所以x =0和2ππ+=k x (k ∈Z) 是第一类间断点且是可去间断点.令y |x =0=1, 则函数在x =0处成为连续的; 令2 ππ+=k x 时, y =0, 则函数在2ππ+=k x 处成为连续的. (3)因为函数x y 1cos 2=在x =0处无定义, 所以x =0是函数xy 1cos 2=的间断点. 又因为xx 1cos lim 2→不存在, 所以x =0是函数的第二类间断点. (4)因为, 所以x =1是函数的第一类不可去间断点.0)1(lim )(lim 11=−=−−→→x x f x x 2)3(lim )(lim 11=−=++→→x x f x x 3. 讨论函数x x x x f n n n 2211lim )(+−=∞→的连续性, 若有间断点, 判别其类型.解 ⎪⎩⎪⎨⎧<=>−=+−=∞→1|| 1|| 01|| 11lim )(22x x x x x x x x x f nnn . 在分段点x =−1处, 因为, , 所以x =−1为函数的第一类不可去间断点.1)(lim )(lim 11=−=−−−→−→x x f x x 1lim )(lim 11−==++−→−→x x f x x 在分段点x =1处, 因为, , 所以x =1为函数的第一类不可去间断点.1lim )(lim 11==−−→→x x f x x 1)(lim )(lim 11−=−=++→→x x f x x 4. 证明: 若函数f (x )在点x 0连续且f (x 0)≠0, 则存在x 0的某一邻域U (x 0), 当x ∈U (x 0)时, f (x )≠0.证明 不妨设f (x 0)>0. 因为f (x )在x 0连续, 所以, 由极限的局部保号性定理,存在x 0)()(lim 00>=→x f x f x x 0的某一去心邻域, 使当x ∈时f (x )>0, 从而当x ∈U (x )(0x U D )(0x U D0)时, f (x )>0. 这就是说, 则存在x 0的某一邻域U (x 0), 当x ∈U (x 0)时, f (x )≠0.5. 试分别举出具有以下性质的函数f (x )的例子:(1)x =0, ±1, ±2, 21±, ⋅ ⋅ ⋅, ±n , n1±, ⋅ ⋅ ⋅是f (x )的所有间断点, 且它们都是无穷间断点;(2)f (x )在R 上处处不连续, 但|f (x )|在R 上处处连续;(3)f (x )在R 上处处有定义, 但仅在一点连续. 解 函数x x x f ππcsc )csc()(+=在点x =0, ±1, ±2, 21±, ⋅ ⋅ ⋅, ±n , n1±, ⋅ ⋅ ⋅处是间断的, 且这些点是函数的无穷间断点.解(2)函数在R 上处处不连续, 但|f (x )|=1在R 上处处连续.⎩⎨⎧∉∈−=Q Qx x x f 1 1)( 解(3)函数在R 上处处有定义, 它只在x =0处连续.⎩⎨⎧∉−∈=Q Qx x x x x f )(习题1−91. 求函数633)(223−+−−+=x x x x x x f 的连续区间, 并求极限, 及.)(lim 0x f x →)(lim 3x f x −→)(lim 2x f x → 解 )2)(3()1)(1)(3(633)(223−++−+=−+−−+=x x x x x x x x x x x f , 函数在(−∞, +∞)内除点x =2和x =−3外是连续的, 所以函数f (x )的连续区间为(−∞, −3)、(−3, 2)、(2, +∞). 在函数的连续点x =0处, 21)0()(lim 0==→f x f x .在函数的间断点x =2和x =−3处,∞=−++−+=→→)2)(3()1)(1)(3(lim )(lim 22x x x x x x f x x , 582)1)(1(lim )(lim 33−=−+−=−→−→x x x x f x x .2. 设函数f (x )与g (x )在点x 0连续, 证明函数 ϕ(x )=max{f (x ), g (x )}, ψ(x )=min{f (x ), g (x )}在点x 0也连续.证明 已知, .)()(lim 00x f x f x x =→)()(lim 00x g x g x x =→ 可以验证] |)()(|)()([21)(x g x f x g x f x −++=ϕ,] |)()(|)()([21)(x g x f x g x f x −−+=ψ.因此 ] |)()(|)()([21)(00000x g x f x g x f x −++=ϕ,] |)()(|)()([21)(00000x g x f x g x f x −−+=ψ.因为] |)()(|)()(21lim )(lim 00x g x f x g x f x x x x x −++=→→ϕ] |)(lim )(lim |)(lim )(lim [210000x g x f x g x f x x x x x x x x →→→→−++=] |)()(|)()([210000x g x f x g x f −++==ϕ(x 0),所以ϕ(x )在点x 0也连续.同理可证明ψ(x )在点x 0也连续.3. 求下列极限: (1)52lim 20+−→x x x ;(2)34)2(sin lim x x π→;(3))2cos 2ln(lim 6x x π→(4)xx x 11lim 0−+→; (5)145lim1−−−→x xx x ;(6)ax ax a x −−→sin sin lim; (7))(lim 22x x x x x −−++∞→.解 (1)因为函数52)(2+−=x x x f 是初等函数, f (x )在点x =0有定义, 所以 55020)0(52lim 220=+⋅−==+−→f x x x .(2)因为函数f (x )=(sin 2x )3是初等函数, f (x )在点x =4π有定义, 所以142(sin )4()2(sin lim 334=⋅==→πππf x x .(3)因为函数f (x )=ln(2cos2x )是初等函数, f (x )在点x =6π有定义, 所以0)62cos 2ln()6()2cos 2ln(lim 6=⋅==→πππf x x . (4)211101111lim )11(lim )11()11)(11(lim 11lim0000=++=++=++=++++−+=−+→→→→x x x xx x x x x x x x x x . (5))45)(1(44lim )45)(1()45)(45(lim 145lim111x x x x x x x x x x x x x x x x x +−−−=+−−+−−−=−−−→→→ 214154454lim1=+−⋅=+−=→xx x .(6)ax ax a x ax ax a x a x −−+=−−→→2sin 2cos2limsin sin lima a a a x ax ax ax ax cos 12cos 22sinlim 2coslim =⋅+=−−⋅+=→→. (7))())((lim)(lim 22222222x x x x x x x x x x x x x x x x x x −++−++−−+=−−++∞→+∞→1)1111(2lim)(2lim22=−++=−++=+∞→+∞→xx x x x x xx x .4. 求下列极限: (1)x x e 1lim ∞→;(2)xxx sin lnlim 0→; (3)2)11(lim xx x+∞→;(4);x x x 2cot 20)tan 31(lim +→ (5)21)63(lim −∞→++x x xx ;(6)xx x x x x −++−+→20sin 1sin 1tan 1lim.解 (1) 1lim 01lim1===∞→∞→e ee xxx x .(2) 01ln sin lim ln(sin lnlim 00===→→x xxx x x .(3) []e e xx xx xx ==+=+∞→∞→21212)11(lim 11(lim .(4) []33tan312cot 222)tan 31(lim )tan 31(lim ex x xx xx =+=+→→.(5)21633621)631()63(−+−⋅−+−+−+=++x x x x xx x . 因为。
高等数学(下册)试卷(一)一、填空题(每小题3分,共计24分)1、 z =)0()(log 22>+a y x a 的定义域为D= 。
2、二重积分⎰⎰≤++1||||22)ln(y x dxdy y x 的符号为 。
3、由曲线x y ln =及直线1+=+e y x ,1=y 所围图形的面积用二重积分表示为 ,其值为 。
4、设曲线L 的参数方程表示为),()()(βαψϕ≤≤⎩⎨⎧==x t y t x 则弧长元素=ds 。
5、设曲面∑为922=+y x 介于0=z 及3=z 间的部分的外侧,则=++⎰⎰∑ds y x )122( 。
6、微分方程xyx y dx dy tan +=的通解为 。
7、方程04)4(=-y y的通解为 。
8、级数∑∞=+1)1(1n n n 的和为 。
二、选择题(每小题2分,共计16分)1、二元函数),(y x f z =在),(00y x 处可微的充分条件是( ) (A )),(y x f 在),(00y x 处连续;(B )),(y x f x ',),(y x f y '在),(00y x 的某邻域内存在;(C ) y y x f x y x f z y x ∆'-∆'-∆),(),(0000当0)()(22→∆+∆y x 时,是无穷小;(D )0)()(),(),(lim2200000=∆+∆∆'-∆'-∆→∆→∆y x yy x f x y x f z y x y x 。
2、设),()(x y xf y x yf u +=其中f 具有二阶连续导数,则2222yuy x u x ∂∂+∂∂等于( )(A )y x +; (B )x ; (C)y ; (D)0 。
3、设Ω:,0,1222≥≤++z z y x 则三重积分⎰⎰⎰Ω=zdV I 等于( )(A )4⎰⎰⎰202013cos sin ππϕϕϕθdr r d d ;(B )⎰⎰⎰2012sin ππϕϕθdr r d d ;(C )⎰⎰⎰ππϕϕϕθ202013cos sin dr r d d ;(D )⎰⎰⎰ππϕϕϕθ20013cos sin dr r d d 。
第十一章 习题答案1. 1常数项级数的概念及基本性质1.解:(1) +⋅+⋅+⋅+⋅+⋅651541431321211 (2) -+-+-514131211(3)+++++54325!54!43!32!21!1 (4)+⋅⋅⋅⋅⋅⋅⋅⋅+⋅⋅⋅⋅⋅⋅+⋅⋅⋅⋅+⋅⋅+10864297531864275316425314231212. 解:(1)121-=n u n (2)12+-=n n u n (3))2(6422n x u nn ⋅⋅=(4)12)1(11+-=++n au n n n3. 解:(1)0131limlim ≠==∞→∞→nn n n u ,∴级数发散(不满足级数收敛的必要条件)。
(2)原级数可写为)4131211(31 ++++。
∵括号内级数为调和级数发散,∴原级数发散。
(3)原级数为公比等于23的几何级数,∵123>,∴原级数发散。
(4)原级数为发散的调和级数 +++++514131211去掉前三项,∴原级数发散。
(5)原级数为公比等于98-的几何级数,198<-,∴原级数收敛。
(6)∵级数+++32212121收敛(公比121<的几何级数),级数 +++32313131收敛(公比131<的几何级数),∴原级数收敛(收敛级数可以逐项相加减)。
4. 解:(1)a a a a a a a a a a S n n n n -=-++-+-+-=+-+12121257353)()()()( ,a a a S n n n n -=-=+∞→∞→1)(lim lim 12,∴此级数收敛。
(2)])2)(1(1)1(1[21)2)(1(1++-+=++=n n n n n n n u n+⋅-⋅+⋅-⋅+⋅-⋅=∴)541431(21)431321(21)321211(21n S])2)(1(1)1(1[21++-++n n n n =])2)(1(121[21++-n n ,41])2)(1(121[21lim =++-=∞→n n S n n ,∴此级数收敛。
(3))121121(21)12)(12(1+--=+-=n n n n u n)1211(21)121121(21)7151(21)5131(21)311(21+-=+--++-+-+-=∴n n n S n , 21)1211(21limlim =+-=∞→∞→n S n n n ,∴此级数收敛。
1. 2正项级数及其判敛法1.解:(1)nn u n 21121>-=,而级数∑∑∞=∞==1112121n n nn发散,∴原级数发散。
(2)21)1(1nn n u n <+=,而级数∑∞=121n n收敛(12>=P 的P 级数),∴原级数收敛。
(3)nnn n nn u n +=+++>++=112111122,而级数 +++=+∑∞=413121111n n发散(调和级数去掉第一项),∴原级数发散。
(4))0(sin ≥≤ααα ,nnn u 22sinππ≤=∴,而级数∑∑∞=∞==11212n nn nππ收敛(公比为121<的几何级数),∴原级数收敛。
(5))1(211>≤=n nu nnn ,而级数∑∞=121n n收敛,∴原级数收敛。
(6)4145125122+=+++>+++=n n n n n n n u n ,而级数 +++=+∑∞=716151411n n 发散(调和级数去掉前四项),∴原级数发散。
(7)111tanlim22=∞→nn n ,而级数∑∞=121n n收敛,∴原级数收敛。
(8)1ln )11ln(lim 1)11ln(lim==+=+∞→∞→e nnnnn n ,而级数∑∞=11n n发散,∴原级数发散。
2.解:(1)121)2(23lim222)3(limlim,2211<=++=+⋅+=+=∞→+∞→+∞→n n n n u u n u n nn n nn n nn ,∴原级数收敛。
(2)1313)1(lim33)1(limlim,32221212<=+=⋅+==∞→+∞→+∞→nn nn u u n u n n n n nn n nn ,∴原级数收敛。
(3)enn n n nn n u u nn u n n nn nnn n n nn n nnn 2])11[(lim 2)1(2lim !2)1()!1(2limlim,!21111=+=+=⋅++==-∞→∞→++∞→+∞→1<,∴原级数收敛。
(4)12122lim22lim 2tan2tan )1(limlim,2tan 21121211<===+==++→∞++→∞++→∞+→∞+n n n n n n n n n nn n n n n n u u n u πππππ,∴原级数收敛。
(5))13(52)34(51)14)(34(51)23)(13(52limlim1-⋅-⋅⋅+-⋅+-⋅=∞→+∞→n n n n n n u u n nn n 1423lim ++=∞→n n n 143<=,∴原级数收敛。
(6)14)1()22)(12(lim)!2()!(])!1[()!22(limlim2221>=+++=⋅++=∞→∞→+∞→n n n n n n n u u n n nn n ,∴原级数发散。
3.解:(1)12112lim)12(limlim <=+=+=∞→∞→∞→n n n n u n nnn nn n ,∴原级数收敛。
(2)191)31()13(lim lim212<==-=-∞→∞→nn n nn n n nu ,∴原级数收敛。
4.解:(1)143)43()43)(1(lim lim11<=+=+∞→+∞→n n n nn n n n u u ,∴原级数收敛。
(2))(11b a n bna u n +≥+=,而∑∑∞=∞=+=+1111)(1n n nba b a n 发散,∴原级数发散。
(3)02112limlim ≠=--=∞→∞→n nn u n n n ,∴原级数发散。
(4)nnnnn nnn n nn nn nn nu 121211])11[()11()1(2+=+=+=+,1lim 1=∞→n n n ,1])11[(lim 0122==+∞→e nn nn ,01lim ≠=∴∞→n n u , ∴原级数发散。
(5)25235323232)2)(1(32nnnn n n n u n +=+<+++=,∑∑∞=∞=1251232,2n n nn收敛,∑∞=+∴1532n nn 收敛,∴原级数收敛。
(6)∞====∞→∞→∞→∞→nn n n n nnn n n nn n n u 2lim )2(lim 2sinlim lim ,∴原级数发散。
(7)2311)11ln(,1)11ln(n n n nnu nnn =<+=∴<+,而∑∞=1231n n收敛,∴原级数收敛。
(8)12122lim lim1)1(<===-----∞→∞→nn n nn n nu ,∴原级数收敛。
(9))]12)(12(531[!999)!1000(,)]12(531[!999)!999(1+-⋅⋅+=-⋅⋅+=+n n n u n n u n n121121000limlim1<=++=∞→+∞→n n u u n nn n ,∴原级数收敛。
1. 3任意项级数1. 证明:1)!12)(12(1)!12)(12(1+=++>--=n n u n n n n u ,0)!12)(12(1limlim =--=∞→∞→n n u n n n 。
据莱布尼兹定理,所给交错级数收敛,且若取!551!33113⋅+⋅-=≈S S ,则误差满足0001.0352801!7713<=⋅<r 。
2. 证明:设)1(1)(≥+=x x x x f ,则0)1(21)(2/<+-=x x x x f (当1>x 时),于是)(x f在1≥x 上单调减。
故)1()(+≥n f n f ,即1+≥n n u u ,又1limlim +=∞→∞→n n u n n n nnn 11lim1+=∞→0=,据莱布尼兹定理,所给交错级数收敛。
3. 解:(1)该级数为交错级数。
1111+=+>=n n u n nu ,又01limlim ==∞→∞→nu n n n,据莱布尼兹定理该级数收敛。
再考察正项级数∑∑∞=∞==121111n n nn发散,∴原级数为条件收敛。
(2)先考察正项级数 +-++++222)12(151311n 。
221)12(1nn u n ≤-=,而∑∞=121n n收敛,∴级数∑∞=-12)12(1n n 收敛。
∴原级数收敛且为绝对收敛。
(3)1)2ln(1)1ln(1+=+>+=n n u n n u ,且0)1l n (1lim=+∞→n n ,∴由莱布尼兹定理知原级数收敛。
又∑∑∞=∞=++=+-111)1ln(1)1ln()1(n n n n n ,且11)1l n(1+>+n n ,而级数∑∞=+111n n 发散,∴∑∞=++-11)1ln()1(n n n 发散,∴原级数为条件收敛。
(4)在∑∑∞=-∞=--=-1111133)1(n n n n n nn 中,13-=n n n u ,13133)1(limlim11<=⋅⋅+=-∞→+∞→nn u u nn n nn n ,∴∑∞=---1113)1(n n n n 收敛。
∴原级数收敛且为绝对收敛。
(5)先考察正项级数1sin111+∑∞=+n n n ππ。
1111sin1++≤+n n n πππ,而级数∑∞=+111n n π为收敛的几何级数,∴该正项级数收敛。
∴原级数收敛且为绝对收敛。
(6)该级数为交错级数。
nn u n ln 1-=,n n n n ln )1ln(1->+-+ ,)1ln(11ln 1+-+>-∴n n nn ,即1+>n n u u ,又0ln 11limln 1limlim =-=-=∞→∞→∞→nn nnn u n n n n ,∴由莱布尼兹定理知∑∞=--1ln )1(n nnn 收敛。
再考察正项级数∑∞=-1ln 1n nn ,nnn 1ln 1≥-,而∑∞=11n n发散,∴级数∑∞=-1ln 1n nn 发散。
∴原级数为条件收敛。
3.1函数项级数的一般概念1.解:(1)xnxn x u x u n n n n 11lim)()(lim1=+=∞→+∞→ ,故当11<x,即当1>x 时,级数绝对收敛;当1<x 时,级数发散;而当1=x 时,由于一般项不趋于零,故级数发散。