2010年浙江级单位入围人员成绩
- 格式:xls
- 大小:86.50 KB
- 文档页数:9
2011年浙江省各级机关考试录用公务员各职位缴费人数统计表单位名称职位名称招考计划数缴费人数浙江省直机关工委团工委干事121浙江省法院软件开发1257浙江省法院宁波海事法院新闻专业职位19浙江省法院法官预备人选1112浙江省法院法官预备人选2220浙江省法院法官预备人选3355浙江省法院法官预备人选44117浙江省法院法官预备人选5173浙江省法院法官预备人选6256浙江省法院宁波海事法院法官预备人选1333浙江省法院宁波海事法院法官预备人选2283浙江省检察院信息安全112浙江省检察院应用软件128浙江省检察院通信工程15浙江省检察院文件检验16共青团浙江省委会机关科以下岗位129浙江省残联卫生行政管理126民建浙江省委会调研处127民建浙江省委会办公室146浙江省工商联法律维权132浙江省物价局价格举报172浙江省物价局计算机管理193浙江省经济和信息化委员会综合经济管理156浙江省经济和信息化委员会电力运行管理124浙江省经济和信息化委员会信息化管理168浙江省国土资源厅调控与监测处149浙江省国土资源厅土地利用规划管理129浙江省国土资源厅土地利用管理128浙江省国土资源厅矿产开发管理115浙江省国土资源厅地质勘查管理110浙江省商务厅金融学1163浙江省商务厅商贸管理1208浙江省商务厅公共财政124浙江省卫生厅卫生行政管理2258浙江省审计厅审计220浙江省地税局基层税务执法(财税)29浙江省统计局统计134浙江省海洋与渔业局渔业管理111浙江省海洋与渔业局行政管理158浙江省法制办法律154省政府驻京办文秘1162省政府驻京办组织人事1227省政府驻沪办人事管理劳动工资164省政府驻沪办公务接待155浙江省第一监狱(衢州衢江)服装23浙江省第一监狱(衢州衢江)金融财会13浙江省第一监狱(衢州衢江)建筑施工管理12浙江省第一监狱(衢州衢江)机械231浙江省第一监狱(衢州衢江)药物制剂111浙江省第一监狱(衢州衢江)外语165浙江省第一监狱(衢州衢江)经济管理113浙江省第一监狱(衢州衢江)专业不限239浙江省第一监狱(衢州衢江)专业不限24浙江省第二监狱(杭州余杭)金融财会212浙江省第二监狱(杭州余杭)网络安全管理112浙江省第二监狱(杭州余杭)信息通信116浙江省第二监狱(杭州余杭)基建工程概算110浙江省第二监狱(杭州余杭)服装设计与工程221浙江省第二监狱(杭州余杭)机械设计制造及其自动化121浙江省第二监狱(杭州余杭)狱医111浙江省第二监狱(杭州余杭)狱医19浙江省第二监狱(杭州余杭)狱医111浙江省第二监狱(杭州余杭)文秘116浙江省第二监狱(杭州余杭)教育学18浙江省第二监狱(杭州余杭)法律110浙江省第二监狱(杭州余杭)法律630浙江省第二监狱(杭州余杭)专业不限4194浙江省第二监狱(杭州余杭)外语185浙江省第二监狱(杭州余杭)专业不限48浙江省第三监狱(衢州常山)法学类39浙江省第三监狱(衢州常山)法学类117浙江省第三监狱(衢州常山)心理学26浙江省第三监狱(衢州常山)教育学26浙江省第三监狱(衢州常山)网络安全管理337浙江省第三监狱(衢州常山)中文(文秘)312浙江省第三监狱(衢州常山)中文(文秘)120浙江省第三监狱(衢州常山)金融财会13浙江省第三监狱(衢州常山)机械设计制造及其自动化230浙江省第三监狱(衢州常山)狱医16浙江省第三监狱(衢州常山)狱医111浙江省第三监狱(衢州常山)护理类126浙江省第三监狱(衢州常山)建筑工程16浙江省第三监狱(衢州常山)广播电视新闻122浙江省第三监狱(衢州常山)园艺类19浙江省第三监狱(衢州常山)艺术设计121浙江省第三监狱(衢州常山)艺术设计141浙江省第三监狱(衢州常山)文艺12浙江省第三监狱(衢州常山)文艺13浙江省第三监狱(衢州常山)专业不限588浙江省第三监狱(衢州常山)专业不限515浙江省第四监狱(杭州余杭)应用心理学13浙江省第四监狱(杭州余杭)教育学15浙江省第四监狱(杭州余杭)法学210浙江省第四监狱(杭州余杭)信息通信369浙江省第四监狱(杭州余杭)狱医313浙江省第四监狱(杭州余杭)社会学212浙江省第四监狱(杭州余杭)金融财会329浙江省第四监狱(杭州余杭)土木工程112浙江省第四监狱(杭州余杭)中文210浙江省第四监狱(杭州余杭)材料成型及控制工程117浙江省第四监狱(杭州余杭)机械设计制造及其自动化4108浙江省第四监狱(杭州余杭)信息通信161浙江省第四监狱(杭州余杭)城市规划19浙江省第四监狱(杭州余杭)专业不限47浙江省第五监狱(金华婺城)狱医312浙江省第五监狱(金华婺城)护理130浙江省第五监狱(金华婺城)药剂110浙江省第五监狱(金华婺城)教育学213浙江省第五监狱(金华婺城)中文26浙江省第五监狱(金华婺城)心理学38浙江省第五监狱(金华婺城)法学35浙江省第五监狱(金华婺城)电力工程与管理220浙江省第五监狱(金华婺城)金融财会316浙江省第五监狱(金华婺城)服装设计与工程518浙江省第五监狱(金华婺城)机械设计246浙江省第五监狱(金华婺城)信息通信230浙江省第五监狱(金华婺城)园林119浙江省第五监狱(金华婺城)土木工程112浙江省第五监狱(金华婺城)专业不限259浙江省第五监狱(金华婺城)专业不限626浙江省第六监狱(杭州下沙)管理类127浙江省第六监狱(杭州下沙)机电类270浙江省第六监狱(杭州下沙)汉语言文学121浙江省第六监狱(杭州下沙)艺术类195浙江省第六监狱(杭州下沙)艺术类140浙江省第六监狱(杭州下沙)土建类117浙江省第六监狱(杭州下沙)经贸类125浙江省第六监狱(杭州下沙)药剂学127浙江省第六监狱(杭州下沙)社会学类113浙江省第六监狱(杭州下沙)外语1104浙江省女子监狱(杭州西湖区)舞蹈编导121浙江省女子监狱(杭州西湖区)狱医2141浙江省女子监狱(杭州西湖区)狱医3144浙江省女子监狱(杭州西湖区)狱医4213浙江省女子监狱(杭州西湖区)外语172浙江省女子监狱(杭州西湖区)中文(文秘)124浙江省女子监狱(杭州西湖区)金融财会149浙江省女子监狱(杭州西湖区)市场营销138浙江省女子监狱(杭州西湖区)机械电子工程138浙江省女子监狱(杭州西湖区)法学113浙江省女子监狱(杭州西湖区)网络安全管理134浙江省女子监狱(杭州西湖区)网络安全管理121浙江省女子监狱(杭州西湖区)心理学183浙江省女子监狱(杭州西湖区)教育学178浙江省女子监狱(杭州西湖区)信息通信1124浙江省女子监狱(杭州西湖区)行政管理164浙江省女子监狱(杭州西湖区)社会工作110浙江省女子监狱(杭州西湖区)专业不限26浙江省十里丰监狱(衢州衢江)法学1055浙江省十里丰监狱(衢州衢江)信息通信10133浙江省十里丰监狱(衢州衢江)心理学1027浙江省十里丰监狱(衢州衢江)教育学1035浙江省十里丰监狱(衢州衢江)护理学320浙江省十里丰监狱(衢州衢江)护理学143浙江省十里丰监狱(衢州衢江)狱医2122浙江省十里丰监狱(衢州衢江)狱医3121浙江省十里丰监狱(衢州衢江)狱医415浙江省十里丰监狱(衢州衢江)狱医514浙江省十里丰监狱(衢州衢江)狱医61061浙江省十里丰监狱(衢州衢江)金融财会625浙江省十里丰监狱(衢州衢江)基础建设441浙江省十里丰监狱(衢州衢江)艺术设计118浙江省十里丰监狱(衢州衢江)艺术类138浙江省十里丰监狱(衢州衢江)文秘类947浙江省十里丰监狱(衢州衢江)文秘125浙江省十里丰监狱(衢州衢江)社会体育350浙江省十里丰监狱(衢州衢江)表演114浙江省十里丰监狱(衢州衢江)公共管理学329浙江省十里丰监狱(衢州衢江)网络安全管理1652浙江省十里丰监狱(衢州衢江)网络安全管理2224浙江省十里丰监狱(衢州衢江)网络安全管理3121浙江省十里丰监狱(衢州衢江)工商管理654浙江省十里丰监狱(衢州衢江)农学26浙江省十里丰监狱(衢州衢江)经济学550浙江省十里丰监狱(衢州衢江)经济学273浙江省十里丰监狱(衢州衢江)食品工程217浙江省十里丰监狱(衢州衢江)政治学210浙江省十里丰监狱(衢州衢江)专业不限6137浙江省十里丰监狱(衢州衢江)专业不限170浙江省十里丰监狱(衢州衢江)专业不限1026浙江省十里丰监狱(衢州衢江)专业不限214浙江省十里坪监狱(衢州龙游)心理学614浙江省十里坪监狱(衢州龙游)法学(法律)125浙江省十里坪监狱(衢州龙游)法学(法律)2622浙江省十里坪监狱(衢州龙游)教育学38浙江省十里坪监狱(衢州龙游)中文专业(汉语言文学、文秘)124浙江省十里坪监狱(衢州龙游)中文专业(汉语言文学、文秘)2719浙江省十里坪监狱(衢州龙游)中文专业(汉语言文学、文秘)3121浙江省十里坪监狱(衢州龙游)人力资源管理122浙江省十里坪监狱(衢州龙游)服装专业(服装设计、服装设计与工程414浙江省十里坪监狱(衢州龙游)经济贸易18浙江省十里坪监狱(衢州龙游)营销管理(企业管理)112浙江省十里坪监狱(衢州龙游)机械类237浙江省十里坪监狱(衢州龙游)材料类222浙江省十里坪监狱(衢州龙游)网络安全管理2776浙江省十里坪监狱(衢州龙游)信息通信119浙江省十里坪监狱(衢州龙游)测控技术与仪器128浙江省十里坪监狱(衢州龙游)狱医1315浙江省十里坪监狱(衢州龙游)护士26浙江省十里坪监狱(衢州龙游)狱医213浙江省十里坪监狱(衢州龙游)狱医314浙江省十里坪监狱(衢州龙游)生物工程113浙江省十里坪监狱(衢州龙游)金融财会1417浙江省十里坪监狱(衢州龙游)财政29浙江省十里坪监狱(衢州龙游)土木工程1431浙江省十里坪监狱(衢州龙游)土木工程113浙江省十里坪监狱(衢州龙游)城市规划26浙江省十里坪监狱(衢州龙游)工程管理19浙江省十里坪监狱(衢州龙游)传媒(节目主持)125浙江省十里坪监狱(衢州龙游)传媒(节目主持)2121浙江省十里坪监狱(衢州龙游)电视节目制作与编辑14浙江省十里坪监狱(衢州龙游)文艺(音乐、舞蹈)312浙江省十里坪监狱(衢州龙游)体育(篮球、乒乓球、田径)542浙江省十里坪监狱(衢州龙游)体育教育113浙江省十里坪监狱(衢州龙游)畜牧管理18浙江省十里坪监狱(衢州龙游)物流管理114浙江省十里坪监狱(衢州龙游)统计14浙江省十里坪监狱(衢州龙游)经济学110浙江省十里坪监狱(衢州龙游)安全生产22浙江省十里坪监狱(衢州龙游)专业不限18162浙江省十里坪监狱(衢州龙游)专业不限23210浙江省十里坪监狱(衢州龙游)土木工程220浙江省十里坪监狱(衢州龙游)信息通信236浙江省十里坪监狱(衢州龙游)文艺类120浙江省十里坪监狱(衢州龙游)专业不限1019浙江省金华监狱(金华婺城)思想政治教育24浙江省金华监狱(金华婺城)法学745浙江省金华监狱(金华婺城)刑事侦查23浙江省金华监狱(金华婺城)教育学735浙江省金华监狱(金华婺城)心理学618浙江省金华监狱(金华婺城)心理学113浙江省金华监狱(金华婺城)中文417浙江省金华监狱(金华婺城)外语157浙江省金华监狱(金华婺城)新闻传播316浙江省金华监狱(金华婺城)音乐表演111浙江省金华监狱(金华婺城)艺术设计265浙江省金华监狱(金华婺城)广播电视编导114浙江省金华监狱(金华婺城)艺术类25浙江省金华监狱(金华婺城)服装设计28浙江省金华监狱(金华婺城)信息通信427浙江省金华监狱(金华婺城)网络安全管理1114浙江省金华监狱(金华婺城)网络安全管理27135浙江省金华监狱(金华婺城)环境科学228浙江省金华监狱(金华婺城)体育216浙江省金华监狱(金华婺城)金融财会1418浙江省金华监狱(金华婺城)金融财会215浙江省金华监狱(金华婺城)狱医125浙江省金华监狱(金华婺城)狱医2529浙江省金华监狱(金华婺城)狱医3113浙江省金华监狱(金华婺城)狱医4320浙江省金华监狱(金华婺城)狱医529浙江省金华监狱(金华婺城)狱医7112浙江省金华监狱(金华婺城)护理246浙江省金华监狱(金华婺城)化学123浙江省金华监狱(金华婺城)药学129浙江省金华监狱(金华婺城)土木工程326浙江省金华监狱(金华婺城)市场营销137浙江省金华监狱(金华婺城)国际经济与贸易1223浙江省金华监狱(金华婺城)国际经济与贸易2146浙江省金华监狱(金华婺城)材料科学与工程220浙江省金华监狱(金华婺城)食品科学与工程226浙江省金华监狱(金华婺城)工业工程221浙江省金华监狱(金华婺城)管理类372浙江省金华监狱(金华婺城)生物工程111浙江省金华监狱(金华婺城)专业不限264浙江省金华监狱(金华婺城)教育学26浙江省金华监狱(金华婺城)心理学29浙江省金华监狱(金华婺城)法律类16浙江省金华监狱(金华婺城)金融财会116浙江省金华监狱(金华婺城)金融财会2128浙江省金华监狱(金华婺城)狱医14浙江省金华监狱(金华婺城)文秘29浙江省金华监狱(金华婺城)经济学218浙江省金华监狱(金华婺城)体育15浙江省金华监狱(金华婺城)专业不限11059浙江省金华监狱(金华婺城)专业不限217浙江省金华监狱(金华婺城)专业不限318浙江省南湖监狱(湖州安吉)教育学1634浙江省南湖监狱(湖州安吉)教育学2118浙江省南湖监狱(湖州安吉)法学类11051浙江省南湖监狱(湖州安吉)法学类2120浙江省南湖监狱(湖州安吉)心理学621浙江省南湖监狱(湖州安吉)信息通信17132浙江省南湖监狱(湖州安吉)信息通信2730浙江省南湖监狱(湖州安吉)管理科学与工程类843浙江省南湖监狱(湖州安吉)狱医1424浙江省南湖监狱(湖州安吉)狱医214浙江省南湖监狱(湖州安吉)狱医314浙江省南湖监狱(湖州安吉)护理学17浙江省南湖监狱(湖州安吉)狱医414浙江省南湖监狱(湖州安吉)金融财会1431浙江省南湖监狱(湖州安吉)金融财会2121浙江省南湖监狱(湖州安吉)经济学类551浙江省南湖监狱(湖州安吉)中国语言文学类1831浙江省南湖监狱(湖州安吉)中国语言文学类2222浙江省南湖监狱(湖州安吉)土建类1110浙江省南湖监狱(湖州安吉)土建类2112浙江省南湖监狱(湖州安吉)工商管理类1343浙江省南湖监狱(湖州安吉)工商管理类2253浙江省南湖监狱(湖州安吉)公共管理类757浙江省南湖监狱(湖州安吉)茶学29浙江省南湖监狱(湖州安吉)机械类227浙江省南湖监狱(湖州安吉)艺术类1210浙江省南湖监狱(湖州安吉)艺术类2227浙江省南湖监狱(湖州安吉)植物生产类210浙江省南湖监狱(湖州安吉)服装215浙江省南湖监狱(湖州安吉)专业不限110190浙江省南湖监狱(湖州安吉)专业不限21053浙江省长湖监狱(湖州经济技术开发区法律424文秘115浙江省长湖监狱(湖州经济技术开发区文秘2121浙江省长湖监狱(湖州经济技术开发区浙江省长湖监狱(湖州经济技术开发区网络安全管理112心理学26浙江省长湖监狱(湖州经济技术开发区狱医221浙江省长湖监狱(湖州经济技术开发区护理学17浙江省长湖监狱(湖州经济技术开发区社会工作19浙江省长湖监狱(湖州经济技术开发区公共管理217浙江省长湖监狱(湖州经济技术开发区浙江省长湖监狱(湖州经济技术开发区专业不限310浙江省乔司监狱(杭州下沙)网络安全管理110373浙江省乔司监狱(杭州下沙)网络安全管理219浙江省乔司监狱(杭州下沙)心理学1846浙江省乔司监狱(杭州下沙)心理学2127浙江省乔司监狱(杭州下沙)法学1079浙江省乔司监狱(杭州下沙)教育学1065浙江省乔司监狱(杭州下沙)狱医791浙江省乔司监狱(杭州下沙)护理学2120浙江省乔司监狱(杭州下沙)文秘556浙江省乔司监狱(杭州下沙)金融财会552浙江省乔司监狱(杭州下沙)艺术类1226浙江省乔司监狱(杭州下沙)艺术类2143浙江省乔司监狱(杭州下沙)艺术类327浙江省乔司监狱(杭州下沙)艺术类4218浙江省乔司监狱(杭州下沙)体育466浙江省乔司监狱(杭州下沙)建筑工程478浙江省乔司监狱(杭州下沙)服装345浙江省乔司监狱(杭州下沙)电力管理110浙江省乔司监狱(杭州下沙)人力资源管理117浙江省乔司监狱(杭州下沙)食品工程113浙江省乔司监狱(杭州下沙)外语1115浙江省乔司监狱(杭州下沙)外语2256浙江省乔司监狱(杭州下沙)外语31137浙江省乔司监狱(杭州下沙)金融财会114浙江省乔司监狱(杭州下沙)环境保护136浙江省乔司监狱(杭州下沙)动物防疫14浙江省乔司监狱(杭州下沙)专业不限1026浙江省未成年犯管教所(杭州下沙)狱医318浙江省未成年犯管教所(杭州下沙)教育学310浙江省未成年犯管教所(杭州下沙)心理学29浙江省未成年犯管教所(杭州下沙)网络安全管理112浙江省未成年犯管教所(杭州下沙)金融财会14浙江省未成年犯管教所(杭州下沙)汉语言文学215浙江省未成年犯管教所(杭州下沙)土木工程13浙江省未成年犯管教所(杭州下沙)专业不限26浙江省监狱中心医院(杭州江干区)狱医1223浙江省监狱中心医院(杭州江干区)狱医2237浙江省监狱中心医院(杭州江干区)狱医3372浙江省监狱中心医院(杭州江干区)狱医4126浙江省监狱中心医院(杭州江干区)狱医518浙江省监狱中心医院(杭州江干区)护理1110浙江省监狱中心医院(杭州江干区)护理2170浙江省监狱中心医院(杭州江干区)法律116浙江省监狱中心医院(杭州江干区)法律216浙江警官职业学院消防工程13浙江警官职业学院网络安全管理18省属监狱劳教单位监狱劳教人民警察12863省属监狱劳教单位监狱劳教人民警察23137省属监狱劳教单位监狱劳教人民警察33041省属监狱劳教单位监狱劳教人民警察42942省属监狱劳教单位监狱劳教人民警察53043省属监狱劳教单位监狱劳教人民警察62938省属监狱劳教单位监狱劳教人民警察72944浙江省十里坪劳教所教育类427浙江省十里坪劳教所教育类126浙江省十里坪劳教所管理学类469浙江省十里坪劳教所管理学类134浙江省十里坪劳教所法律类233浙江省十里坪劳教所法律类124浙江省十里坪劳教所工学类366浙江省十里坪劳教所狱医216浙江省十里坪劳教所护理类128浙江省十里坪劳教所体育学类219浙江省十里坪劳教所园艺18浙江省十里坪劳教所营养学120浙江省十里坪劳教所心理学13浙江省十里坪劳教所外语17浙江省十里坪劳教所外语132浙江省十里坪劳教所财会16浙江省十里坪劳教所信息通信15浙江省十里坪劳教所专业不限315浙江省莫干山劳教所狱医13浙江省莫干山劳教所护理类243浙江省莫干山劳教所艺术类116浙江省莫干山劳教所公共事业管理(教育管理)15浙江省莫干山劳教所营养学121浙江省莫干山劳教所信息通信121浙江省莫干山劳教所文秘15浙江省戒毒劳教所思想政治教育18浙江省戒毒劳教所狱医16浙江省戒毒劳教所金融116浙江省戒毒劳教所音乐表演142浙江省少年教养所社会学17浙江省少年教养所狱医14浙江省少年教养所护理类135浙江省少年教养所计算机112浙江省少年教养所中文18浙江省少年教养所心理学类16浙江省少年教养所艺术类14浙江省少年教养所工商企业管理112浙江省少年教养所政治学类113浙江省少年教养所专业不限13浙江警察学院刑事侦查教学117浙江警察学院经济侦查教学14浙江警察学院物证检验教学112浙江警察学院物证检验教学218浙江警察学院物证检验教学315浙江警察学院物证检验教学413浙江警察学院治安学教学117浙江警察学院治安学教学214浙江警察学院治安管理教学(3)110浙江警察学院交通安全技术教学116浙江警察学院法学教学113浙江警察学院法学教学217浙江警察学院心理学教学227浙江警察学院逻辑学教学15浙江警察学院公安情报学教学113浙江警察学院公安情报学教学215浙江警察学院技战术教学13浙江省专用通信局计算机应用182浙江省金融办金融1140浙江省金融办金融1190浙江省机电设备招标局经济管理136浙江省机电设备招标局招标管理155浙江省能源监察总队能源监察118温州无线电监测站无线电监测145浙江省无线电监测站(含各市监测站)丽水无线电监测站无线电监测18浙江省无线电监测站(含各市监测站)浙江省省级机关会计核算中心统计131浙江省省级机关会计核算中心会计核算125浙江省省级机关会计核算中心文秘156浙江省财政票据管理中心信息管理184浙江省人事争议仲裁院法律164浙江省人事考试办公室考务管理1244浙江省就业管理服务局统计129浙江省就业管理服务局财会164浙江省就业管理服务局信息化管理161浙江省就业管理服务局就业管理11572浙江省就业管理服务局就业管理2130浙江省社会保险事业管理中心法律152浙江省社会保险事业管理中心文秘193浙江省社会保险事业管理中心信息化管理168浙江省社会保险事业管理中心统计148浙江省社会保险事业管理中心社保管理378浙江省省级医疗保险服务中心财会194浙江省地勘局财务管理143浙江省测绘与地理信息局测绘管理117浙江省国土资源执法监察总队综合管理133浙江省公路管理局公路工程237浙江省公路管理局宣传137浙江省公路管理局联网监控112浙江省公路管理局联网技术155浙江省公路管理局法律1121浙江省公路管理局审计156浙江省公路管理局党建17浙江省港航管理局法律197浙江省钱塘江管理局防汛及工程管理217浙江省钱塘江管理局水利规划115浙江省钱塘江管理局规划计划129浙江省钱塘江管理局政策法规138浙江省钱塘江管理局宣传158浙江省钱塘江管理局专项规划管理172浙江省钱塘江管理局工程稽查项目管理14浙江省钱塘江管理局防汛调度管理113浙江省钱塘江管理局工程管理155浙江省农村水利总站圩区整治111浙江省农业行政执法总队执法稽查141浙江省畜牧兽医局信息化管理128浙江省植物保护检疫局信息管理118浙江省植物保护检疫局农药械管理120浙江省散装水泥办公室综合管理126浙江省卫生监督所环境、医疗卫生监督215浙江省卫生监督所财会17浙江省食品药品稽查局生物科学112浙江省药品认证中心生物科学115浙江省纤维检验局纺织工程114浙江省统计局普查中心统计119浙江省渔业船舶检验局船舶检验111中共杭州市委老干部局文秘138杭州市法院系统西湖区法院司法警察0215杭州市法院系统萧山区法院执行员01227杭州市法院系统临安市法院书记员222杭州市法院系统淳安县法院工作人员01218杭州市法院系统淳安县法院工作人员02474杭州市法院系统桐庐县法院司法警察0119杭州市法院系统桐庐县法院司法警察02110杭州市法院系统杭州市中级法院法官预备人选01279杭州市法院系统杭州市中级法院法官预备人选024186杭州市法院系统杭州市中级法院法官预备人选03235杭州市法院系统杭州市中级法院法官预备人选04131杭州市法院系统上城区法院法官预备人选01118杭州市法院系统上城区法院法官预备人选02132。
2010年浙江省省级机关考试录用公务员成绩汇总表
2010年浙江省省级机关考试录用公务员成绩汇总表
2010年浙江省省级机关考试录用公务员成绩汇总表
2010年浙江省省级机关考试录用公务员成绩汇总表
2010年浙江省省级机关考试录用公务员成绩汇总表
2010年浙江省省级机关考试录用公务员成绩汇总表
2010年浙江省省级机关考试录用公务员成绩汇总表
2010年浙江省省级机关考试录用公务员成绩汇总表
2010年浙江省省级机关考试录用公务员成绩汇总表
2010年浙江省省级机关考试录用公务员成绩汇总表
2010年浙江省省级机关考试录用公务员成绩汇总表
2010年浙江省省级机关考试录用公务员成绩汇总表
2010年浙江省省级机关考试录用公务员成绩汇总表
2010年浙江省省级机关考试录用公务员成绩汇总表
2010年浙江省省级机关考试录用公务员成绩汇总表
2010年浙江省省级机关考试录用公务员成绩汇总表
2010年浙江省省级机关考试录用公务员成绩汇总表
2010年浙江省省级机关考试录用公务员成绩汇总表
2010年浙江省省级机关考试录用公务员成绩汇总表。
地区名称单位名称职位名称准考证号地区单位职位代码姓名盐城市市政协办办事员1040901640509000053201赵越盐城市市政协办办事员1040303301209000053201王新颜盐城市市政协办办事员1040901362209000053201黄鹤龙盐城市市法院法官助理1030902052509000053301吴延学盐城市市法院法官助理1030307261909000053301王新房盐城市市法院法官助理1030018342309000053301叶志刚盐城市市法院法官助理1030018380409000053301李兆勇盐城市市法院法官助理1030307260609000053301苗奇胜盐城市市法院法官助理1030018222809000053301郭华炜盐城市市法院法官助理1030307232109000053301谢衍明盐城市市法院法官助理1030307232209000053301杨亚辉盐城市市法院法官助理1030902050209000053301杨汉勇盐城市市法院法官助理1030902052209000053301穆凯盐城市市法院法官助理1030307212309000053301刘成飞盐城市市法院法官助理1030018352309000053301丰茂龙盐城市市法院法官助理1030902072309000053301刘加尧盐城市市法院法官助理1030307220409000053301周生卫盐城市市法院法官助理1030307282209000053301张朴田盐城市市法院法官助理1031006051009000053301李星星盐城市市法院法官助理1030902063009000053301卞建华盐城市市法院法官助理1030018301709000053301李毅盐城市市法院法官助理1030902072409000053302张振福盐城市市法院法官助理1030507072809000053302栾静盐城市市法院法官助理1030018351709000053302李呈蕴盐城市市法院法官助理1030807441909000053302朱倩盐城市市法院法官助理1030902070509000053302刘干盐城市市法院法官助理1030507081509000053302庞敏盐城市市法院法官助理1030902070209000053302周和盐城市市法院法官助理1030902072209000053302程平盐城市市法院法官助理1030507101109000053302周美华盐城市市法院法官助理1030902060109000053302李乐乐盐城市市法院法官助理1030902071409000053302吴娟娟盐城市市法院法官助理1030018230809000053302顾晶晶盐城市市法院司法警察2040903273009000053303王文荣盐城市市法院司法警察2040906391709000053303张常春盐城市市法院司法警察2040906380509000053303姜振山盐城市市法院司法警察2040903362409000053303林冬华盐城市市法院司法警察2040903522409000053303张卿盐城市市法院办事员1040901932609000053304沈玉洁盐城市市法院办事员1040002032109000053304严俊盐城市市法院办事员1040201290409000053304何亮盐城市市法院聘任制书记员2040903201609000053388王锟盐城市市法院聘任制书记员2040007050909000053388仓媛园盐城市市法院聘任制书记员2040513281809000053388姜舒盐城市市法院聘任制书记员2040906281309000053388高振华盐城市市法院聘任制书记员2040903241009000053388张君澜盐城市市法院聘任制书记员2040011171709000053388刘洋盐城市市检察院检察官助理1020902040909000053401顾俊峰盐城市市检察院检察官助理1021006022809000053401孙青盐城市市检察院检察官助理1020902040209000053401陈志清盐城市市检察院检察官助理1020902020909000053401周莹盈盐城市市检察院检察官助理1020902041209000053401王立洁盐城市市检察院检察官助理1020807380309000053401薛艳盐城市市检察院检察官助理1020902032309000053401蒋磊盐城市市检察院检察官助理1020902030409000053401王珺盐城市市检察院检察官助理1020018030609000053401胥保平盐城市市检察院检察官助理1020507052909000053402李燕盐城市市检察院检察官助理1020018181909000053402郭春枝盐城市市检察院检察官助理1020902021709000053402赵珺盐城市市检察院检察官助理1020018011509000053402刘海融盐城市市检察院检察官助理1020018011909000053402曾巧黎盐城市市检察院检察官助理1020307140709000053402李玉新盐城市市检察院检察官助理1020307121609000053402宋娇艳盐城市市检察院检察官助理1020902022809000053402徐晶盐城市市检察院检察官助理1020902041409000053402王秀科盐城市市检察院办事员1041006222609000053403赖珊盐城市市检察院办事员1040001202709000053403张晓云盐城市市检察院办事员1040901822009000053403吴月月盐城市市检察院市检察院派驻大中1020018180909000053404周将盐城市市检察院市检察院派驻大中1020902030509000053404于玲盐城市市检察院市检察院派驻大中1021006010209000053404张星星盐城市市检察院市检察院派驻大中1020902032709000053404王剑盐城市市检察院市检察院派驻大中1020902040109000053404李颖盐城市市检察院市检察院派驻大中1020307111009000053404李彬彬盐城市市检察院市检察院派驻大中1020018111909000053404王杰盐城市市检察院市检察院派驻大中1020902011109000053404张亮亮盐城市市检察院市检察院派驻大中1020902032209000053404徐璐盐城市市检察院市检察院派驻大中1020307022209000053404刘坤盐城市市检察院市检察院派驻大中1020902010409000053404俞亚琴盐城市市检察院市检察院派驻大中1020902012009000053404李秋磁盐城市市检察院市检察院派驻大中1020902022509000053404孙德军盐城市市检察院市检察院派驻大中1020018160609000053404顾英君盐城市市检察院市检察院派驻大中1020902032909000053404林海建盐城市市总工会办事员1040901900409000055101梅丹嵘盐城市市总工会办事员1040901350809000055101曾颖盐城市市总工会办事员1040901630809000055101朱丽华盐城市市总工会办事员1040901852409000055102丁蓓蓓盐城市市总工会办事员1040901091009000055102夏开峰盐城市市总工会办事员1040701282609000055102张文亚盐城市市总工会办事员1040901101309000055103顾大成盐城市市总工会办事员1040901122809000055103耿有周盐城市市总工会办事员1040901672109000055103皋慧敏办事员1040901922709000058101钱士荣盐城市市委党校(参照盐城市市委党校(参照办事员1040901830209000058101龚洁办事员1040901811309000058101王敏捷盐城市市委党校(参照办事员1040901250509000058102徐林盐城市市委党校(参照办事员1040901672809000058102陈蓉盐城市市委党校(参照办事员1040901102909000058102秦红盐城市市委党校(参照盐城市市档案局(参办事员1040901121609000058301姚丽丽盐城市市档案局(参办事员1040303271909000058301郭娜盐城市市档案局(参办事员1040901261909000058301王静盐城市市档案局(参办事员1040004862009000058301余小金盐城市市档案局(参办事员1041101180309000058301施敏盐城市市档案局(参办事员1040901510609000058301沈文芳盐城市市公安局民警1040901860809000000702江河盐城市市公安局民警1040001050509000000702陆立松盐城市市公安局民警1040203111009000000702孙建蓉盐城市市公安局民警1040901912509000000702秦文杰盐城市市公安局民警1040901510709000000702戴维斯盐城市市公安局民警1040901150309000000704黄丽园盐城市市公安局民警1040901501909000000704吴琳盐城市市公安局民警1040901082709000000704李蕾盐城市市公安局民警1040901263009000000705朱明龙盐城市市国土资源局办事员1040004551609000001301滕桂钧盐城市市国土资源局办事员1040416400109000001301吴志国盐城市市国土资源局办事员1040901771909000001301葛臣盐城市市房管局办事员1040901100909000001401张栋盐城市市房管局办事员1040901840109000001401曹露盐城市市房管局办事员1040901382709000001401王亚娟盐城市市运输管理处车辆管理科办事员1040303200909000001501张帅盐城市市运输管理处车辆管理科办事员1040701030109000001501张兵盐城市市运输管理处车辆管理科办事员1041106101609000001501江强盐城市市运输管理处办公室秘书1040901842009000001502梁甫山盐城市市运输管理处办公室秘书1040901050509000001502成荣广盐城市市运输管理处办公室秘书1040901261609000001502申海峰盐城市市运输管理处客运管理科办事员1040901510309000001503董茂涛盐城市市运输管理处客运管理科办事员1040004451009000001503魏伟盐城市市运输管理处客运管理科办事员1040701211009000001503周令源盐城市市农业局科教处办事员1040901292009000001701殷建军盐城市市农业局科教处办事员1041003403009000001701赵冬生盐城市市农业局科教处办事员1040002132709000001701慈书峰盐城市市农业局科教处办事员1040901690509000001701张小锋盐城市市国土资源局办事员1040201280909000002301沈伟晔盐城市市国土资源局办事员1040003820809000002301郭星池盐城市市国土资源局办事员1040901232409000002301刘洋盐城市市地方海事局船舶检验2040903232709000002504姚军盐城市市地方海事局船舶检验2040903332709000002504李红霞盐城市市地方海事局船舶检验2040012262909000002504戴必晟盐城市市地方海事局船务管理2040509341209000002505宋玉良盐城市市地方海事局船务管理2040013022809000002505鄢和诚盐城市市地方海事局船务管理2040708403009000002505顾宗海盐城市市粮食局办事员1040901322709000003501李静盐城市市粮食局办事员1040901250909000003501张春阳盐城市市粮食局办事员1040901922209000003501李学军盐城市市级机关事务办事员1040701370109000003701赵嘉盐城市市安全生产监办事员1041003122609000003901陈军盐城市市安全生产监办事员1040901822309000003901邓君亭盐城市市安全生产监办事员1040901431609000003901宋杰盐城市市安全生产监办事员1040901521409000003902吴涛盐城市市安全生产监办事员1040006180409000003902潘浩盐城市市安全生产监办事员1040901661009000003902姜凡盐城市市安全生产监办事员1040901312409000003903万旻盐城市市安全生产监办事员1040901772209000003903黄诗杰盐城市市安全生产监办事员1040901122609000003903周国红盐城市市亭湖地方海海事管理2040007391109000004506牛文岩盐城市市亭湖地方海海事管理2041107052809000004506王先鹏盐城市市亭湖地方海海事管理2040510240109000004506陈志凯盐城市市亭湖地方海海事管理2040903462709000004507李可及盐城市市亭湖地方海海事管理2040408110209000004507陈昶盐城市市亭湖地方海海事管理2040009360209000004507陈炳威盐城市市亭湖地方海海事管理1040901630309000004508喻晶盐城市市亭湖地方海海事管理1040901922909000004508王蕙盐城市市亭湖地方海海事管理1040901452209000004508杨海丰盐城市市物价局办事员1040001202009000004801吴荣发盐城市市物价局办事员1040901292709000004801李龙蓉盐城市市物价局办事员1041106371309000004801蔡晨明盐城市市规划管理监办事员1040901712609000011301王微盐城市市规划管理监办事员1040303042009000011301陆勇盐城市市规划管理监办事员1040901191809000011301费新文盐城市市规划管理监办事员1040901520509000011301吴丹盐城市市规划管理监办事员1040901792709000011301张春龙盐城市市规划管理监办事员1040901271309000011301赵华盐城市市规划管理监办事员1040901152309000011301胡飞盐城市市规划管理监办事员1040901860209000011301周作凤盐城市市规划管理监办事员1040901772809000011301沈鑫盐城市市住房公积金东台管理部办事员1040901101109000011501施伟鸿盐城市市住房公积金东台管理部办事员1040901310909000011501韩劲松盐城市市住房公积金东台管理部办事员1040901593009000011501徐鹏盐城市市住房公积金大丰管理部办事员1041106062709000011502刘牡喜盐城市市住房公积金大丰管理部办事员1040901621509000011502王泯桦盐城市市住房公积金大丰管理部办事员1040901051409000011502周泽盐城市市住房公积金射阳管理部办事员1040901382209000011503高娴婧盐城市市住房公积金射阳管理部办事员1040415232409000011503李蕾盐城市市住房公积金射阳管理部办事员1040312262609000011503宋威盐城市市住房公积金滨海管理部办事员1040006320509000011504雷音盐城市市住房公积金滨海管理部办事员1040901020709000011504潘成杰盐城市市住房公积金滨海管理部办事员1040901761509000011504朱才智盐城市市人民防空行办事员1040001092609000013801李先锋盐城市市人民防空行办事员1040901401309000013801祁勇盐城市市人民防空行办事员1040901030409000013801蔡成忠盐城市盐城监狱监狱事务管理科员2040906122009000022301仇勇盐城市盐城监狱监狱事务管理科员2040906111109000022301陈赟盐城市盐城监狱监狱事务管理科员2041104280809000022301孙锦涛盐城市盐城监狱监狱事务管理科员2040906232709000022301王荣盐城市盐城监狱监狱事务管理科员2040903101309000022301郑永山盐城市盐城监狱监狱事务管理科员2040903511309000022301陈杰盐城市方强劳教所医疗科员2041007570609000023402刘凯强盐城市方强劳教所医疗科员2040906400509000023402马力盐城市方强劳教所医疗科员2040906150109000023402单凯亭湖区区委宣传部办事员1040004300109020050401刘柳亭湖区区委宣传部办事员1040901592209020050401丁峰亭湖区区委宣传部办事员1040901943009020050401卢敏亭湖区区法院工作人员1030018301209020053301张艳亭湖区区法院工作人员1030018241209020053301夏玉婷亭湖区区法院工作人员1030902062309020053301张佳亭湖区区法院工作人员1030707100709020053301夏凡亭湖区区法院工作人员1030018273009020053301王丽娟亭湖区区法院工作人员1030018330609020053301董文军亭湖区区法院工作人员1030902060609020053301邵长艳亭湖区区法院工作人员1030018321509020053301卢作龙亭湖区区法院工作人员1030902062709020053301李明亮亭湖区区检察院工作人员1020902011909020053401顾敏芳亭湖区区检察院工作人员1020807381609020053401戴舒曼亭湖区区检察院工作人员1020902040609020053401刘通亭湖区区检察院工作人员1020902031909020053401蔡玉谷亭湖区区检察院工作人员1020902011209020053401辛波亭湖区区检察院工作人员1020018031409020053401江彩飞亭湖区区检察院工作人员1020902010909020053401史益新亭湖区区检察院工作人员1020507060609020053401黄慧亭湖区区检察院工作人员1021006021109020053401吴婧楠亭湖区区检察院工作人员1020018010509020053401马仙亭湖区区检察院工作人员1020902031509020053401郭彦珍亭湖区区检察院工作人员1020902010509020053401顾金剑亭湖区区检察院工作人员1020018072909020053401吴春亭湖区区检察院工作人员1020902021109020053401杨阳亭湖区区检察院工作人员1020902012509020053401薛琼亭湖区区委党校(参办事员1041201020109020058101谢浩亭湖区区委党校(参办事员1040901510209020058101聂立慧亭湖区区委党校(参办事员1040004851009020058101陈玉亭湖区区劳动监察大办事员2040903120509020011201潘璐璐亭湖区区劳动监察大办事员2040903151409020011201祁海云亭湖区区劳动监察大办事员2040903442109020011201颜风亭湖区区城市管理执办事员2040903171509020011401陈洪霞亭湖区区城市管理执办事员2040013332609020011401成曦亭湖区区城市管理执办事员2040316750409020011401陈诚亭湖区区城市管理执办事员2040903251509020011401周婷婷亭湖区区城市管理执办事员2040906312409020011401马颖亭湖区区城市管理执办事员2040013311909020011401彭荣伟亭湖区区文化音像市办事员2040509020109020011901赵健亭湖区区文化音像市办事员2040903071509020011901魏伟亭湖区区文化音像市办事员2040906121409020011901蔡爱仲亭湖区区卫生监督所办事员2040906290709020012001徐荣洁亭湖区区卫生监督所办事员2040903370409020012001伍晓月亭湖区区卫生监督所办事员2040903342109020012001周亚君亭湖区乡镇机关办事员3010905161909020080101蒋少波亭湖区乡镇机关办事员3010905181409020080101陈诚亭湖区乡镇机关办事员3010905721009020080101王蕾亭湖区乡镇机关办事员3010904622609020080102蔡卫根亭湖区乡镇机关办事员3010904630209020080102戴薇亭湖区乡镇机关办事员3010904600109020080102王隽亭湖区乡镇机关办事员3010905222309020080103刘一亭湖区乡镇机关办事员3010905612909020080103陈建成亭湖区乡镇机关办事员3010904621509020080103徐文连亭湖区乡镇机关办事员3010905510309020080190高丹凤亭湖区乡镇机关办事员3010904020109020080190徐爱国亭湖区乡镇机关办事员3010905140709020080190刘志建亭湖区乡镇机关办事员3010904212709020080196宋海君亭湖区乡镇机关办事员3010512490209020080196赵寅亭湖区乡镇机关办事员3010904201709020080196张琴亭湖区乡镇司法所办事员3010904191609020080201徐铭亭湖区乡镇司法所办事员3010904350909020080201倪庆峰亭湖区乡镇司法所办事员3010905502409020080201侯德志亭湖区乡镇司法所办事员3010905012209020080201尹雪峰亭湖区乡镇司法所办事员3010905060709020080201邵国健亭湖区乡镇司法所办事员3010905391409020080201徐军亭湖区乡镇司法所办事员3010905140409020080202刘春梅亭湖区乡镇司法所办事员3010904532009020080202耿杰亭湖区乡镇司法所办事员3010019232809020080202祁晶晶响水县县法院法官助理1030902050509210053302杨帆响水县县法院司法警察2040508182509210053303顾新业响水县县法院司法警察2040008040909210053303张朕齐响水县县法院司法警察2040011091409210053303唐开林响水县县法院聘任制书记员2040906101609210053388刘宏轩响水县县法院聘任制书记员2040508052509210053388王媛响水县县法院聘任制书记员2040906022209210053388蔡敬爱响水县县法院聘任制书记员2040903372309210053388高红艳响水县县法院聘任制书记员2040903011309210053388王凯响水县县检察院办事员1040901962009210053401谢永青响水县县检察院办事员1040313340309210053401王德芬响水县县检察院办事员1040701092809210053401于跃响水县县检察院办事员1020902030109210053402施军响水县县检察院办事员1040505312509210053403嵇德龙响水县县检察院办事员1040004211409210053403王慧响水县县检察院办事员1040504081609210053403马一纳响水县县检察院办事员1040901912409210053403杨柳响水县县红十字会办事员1040901790109210056601张安敏响水县县红十字会办事员1040901121809210056601漆莉娴响水县县红十字会办事员1040901292909210056601蒯静静响水县县党史办办事员1040701322709210058201马万金响水县县党史办办事员1040901951309210058201彭悦响水县县党史办办事员1040901802609210058201滕仕惠响水县县公安局办事员1040901302109210000701许洪峰响水县县公安局办事员1040707331209210000701蒋学响水县县公安局办事员1040216180109210000702吕政达响水县县公安局办事员1040003861509210000702魏昕东响水县县公安局办事员1040901501109210000702李静静响水县县公安局办事员1040003191609210000702倪伉响水县县公安局办事员1040901822409210000702成振华响水县县公安局办事员1040314201809210000702尹杰响水县县公安局办事员1040504211709210000702纪玉坤响水县县公安局办事员1040901751109210000702刘德志响水县县公安局办事员1040507361009210000702张焱响水县县公安局办事员1040415301309210000703许聪响水县县公安局办事员1040217100209210000703孙伟伟响水县县公安局办事员1040901531309210000703程辉响水县县公安局办事员1040901920109210000703田浪响水县县公安局办事员1041003261509210000703王磊响水县县公安局办事员1040901402009210000703顾以理响水县县公安局办事员1040216171209210000704杨海丽响水县县公安局办事员1040901350209210000704周雷响水县县公安局办事员1040006392009210000704周磊响水县县公安局办事员1040901540209210000704于晶晶响水县县公安局办事员1040901041509210000704潘冰冰响水县响水县地税局税收征管办事员2040903481309210002601王玮响水县响水县地税局税收征管办事员2040606331209210002601徐园园响水县盐城市响水工基层工商分局(所2040903041409210003001许晶晶响水县盐城市响水工基层工商分局(所2040906092109210003001汤梅寒响水县盐城市响水工基层工商分局(所2040606351509210003001张丽莲响水县盐城市响水工基层工商分局(所2040007292109210003001蔡传霞响水县盐城市响水工基层工商分局(所2040903450909210003001李文慧响水县盐城市响水工基层工商分局(所2040903160309210003001王婷响水县盐城市响水工基层工商分局(所2040508092109210003002张津津响水县盐城市响水工基层工商分局(所2040903361509210003002潘成群响水县盐城市响水工基层工商分局(所2040906402709210003002潘振宁响水县盐城市响水工基层工商分局(所2040903270309210003003高婧响水县盐城市响水工基层工商分局(所2040903551309210003003吴宁响水县盐城市响水工基层工商分局(所2040013142009210003003张玉响水县盐城市响水质特种设备安全监察2040903041709210003201周纪亮响水县盐城市响水质特种设备安全监察2040903252609210003201程洁敏响水县盐城市响水质特种设备安全监察2041107210509210003201陈益龙响水县盐城市响水质食品生产监管股办2040708262009210003202徐建权响水县盐城市响水质食品生产监管股办2040903213009210003202郭萍萍响水县盐城市响水质食品生产监管股办2040903353009210003202殷荣华响水县盐城市响水质办公室(法制股)2040906291509210003203朱志刚响水县县国土资源监办事员1040901390309210011301薛松岩响水县县国土资源监办事员1040901202109210011301胡井龙响水县县国土资源监办事员1040901510409210011301杨帆响水县县乡镇国土所办事员2040903121209210011401嵇慧梅响水县县乡镇国土所办事员2040906192509210011401徐冬霞响水县县乡镇国土所办事员2040906171109210011401杨利平响水县县林业工作站办事员2040219022509210014901胡竞响水县县林业工作站办事员2040903391009210014901陈蕾响水县县林业工作站办事员2040009221209210014901张姜璇子响水县乡镇机关办事员3010905490409210089901朱静静响水县乡镇机关办事员3010904480309210089901宋阳响水县乡镇机关办事员3010904231609210089901周媛媛响水县乡镇机关办事员3010904612309210089901蒋树金响水县乡镇机关办事员3010404161009210089901高浏涛响水县乡镇机关办事员3010905102409210089901王家成响水县乡镇机关办事员3010905600809210089901周密响水县乡镇机关办事员3010404060309210089902陈建明响水县乡镇机关办事员3010305210909210089902乔奇响水县乡镇机关办事员3010512170809210089902陈永高响水县乡镇机关办事员3010905592509210089902张顺雨响水县乡镇机关办事员3010706492309210089902于长江响水县乡镇机关办事员3010019071809210089902张迪响水县乡镇机关办事员3010019550409210089903李贻宽响水县乡镇机关办事员3010904580809210089903王剑平响水县乡镇机关办事员3010904452309210089903陈洁玲响水县乡镇机关办事员3010904311309210089904郭小文响水县乡镇机关办事员3010905341709210089904褚阳阳响水县乡镇机关办事员3010904490509210089904董淑斌响水县乡镇机关办事员3010905560209210089904孟文杰响水县乡镇机关办事员3010905092809210089904周文昊响水县乡镇机关办事员3010020040309210089904白磊响水县乡镇机关办事员3010904092809210089904姚志刚响水县乡镇机关办事员3010019240709210089904王玺尧响水县乡镇机关办事员3010706640609210089905姚亚飞响水县乡镇机关办事员3010905322909210089905李守亚响水县乡镇机关办事员3010905431809210089905单大一响水县乡镇机关办事员3010904581009210089906潘崇飞响水县乡镇机关办事员3010904402909210089906颜晓爱响水县乡镇机关办事员3010514111809210089906李松响水县乡镇机关办事员3010019512909210089906汪瑶瑶响水县乡镇机关办事员3010514471609210089906顾海兵响水县乡镇机关办事员3010905742709210089906吴开耀响水县乡镇机关办事员3010904421509210089906岳惠琴响水县乡镇机关办事员3010904450609210089906张云响水县乡镇机关办事员3010305341309210089906李瀚林响水县乡镇机关办事员3010904302709210089906孙洁雯响水县乡镇机关办事员3010905761909210089906胡明响水县乡镇机关办事员3010904382409210089906姜瑾响水县乡镇机关办事员3010905182909210089907何伟蕾响水县乡镇机关办事员3010016251609210089907赵敏响水县乡镇机关办事员3010905462309210089990谢如彬响水县乡镇机关办事员3010905350509210089990薛峰响水县乡镇机关办事员3010905080409210089990李德根响水县乡镇机关办事员3010904402009210089990廖竹云响水县乡镇机关办事员3010905222609210089990李艳响水县乡镇机关办事员3010904020409210089990孙兆华响水县乡镇机关办事员3010904631109210089990王刚响水县乡镇机关办事员3010904242809210089990邵晓明响水县乡镇机关办事员3010904381909210089990刘露响水县乡镇机关办事员3010904491409210089996杨璐响水县乡镇机关办事员3010905071709210089996张晨诚响水县乡镇机关办事员3010905052309210089998刘功明滨海县县委统战部办事员1040901522309220050501刘照耀滨海县县委统战部办事员1040901022609220050501肖斌滨海县县委统战部办事员1040901791609220050501王左滨海县县委老干部局办事员1040901241209220051201杨智媛滨海县县法院法官助理1030902052409220053302李任滨海县县法院办事员1040901812509220053303顾月痕滨海县县法院办事员1041002521109220053303倪燕滨海县县法院办事员1040217042309220053303罗卫卫滨海县县法院办事员1040005051809220053304杨红滨海县县法院办事员1040901110309220053304陈雷滨海县县法院办事员1040901220609220053304顾亚平滨海县县法院工作人员1040901700809220053305蒋晓明滨海县县法院工作人员1040901761609220053305钱蓉蓉滨海县县法院工作人员1041006150809220053305郭星滨海县县法院司法警察2040906380409220053306宋广峰滨海县县检察院工作人员1021006012009220053401沈古郁滨海县县检察院工作人员1020307022709220053401吴卓霖滨海县县检察院工作人员1020902031709220053401吴海峰滨海县县检察院工作人员1020902012309220053401徐德干滨海县县检察院办事员1040901902209220053402吕雄伟滨海县县检察院办事员1040901721809220053402祖森华滨海县县检察院办事员1040901802909220053402南正国滨海县县检察院办事员1040802221409220053403辛春明滨海县县检察院办事员1040901721109220053403李文浩滨海县县检察院办事员1040901851909220053403刘颖滨海县县档案局办事员1040901072309220058301薄红芹滨海县县档案局办事员1040901342409220058301陈晓飞滨海县县档案局办事员1040901920709220058301吴非颖滨海县县人民政府办办事员1040901371409220000101朱建芳滨海县县人民政府办办事员1040901642809220000101李东升滨海县县人民政府办办事员1040315192509220000101李岩滨海县县公安局办事员1040901620809220000701郭舒洁滨海县县公安局办事员1040901422609220000704吴昊滨海县县公安局办事员1040901181209220000706朱驰滨海县县公安局办事员1040901292509220000706朱苏辉滨海县县公安局办事员1040901961409220000706李威威滨海县县公安局办事员1040901132109220000706张丽娜滨海县县公安局办事员1040901862009220000706鲁艺滨海县县公安局办事员1040901502709220000706徐美洲滨海县县公安局办事员1040901381709220000706张殿镝滨海县县公安局办事员1040416011109220000706王芳滨海县县公安局办事员1040901201009220000706张海波滨海县县公安局办事员1040901180609220000706郑捷滨海县县公安局办事员1040901051909220000706张瀚文滨海县县公安局办事员1040901042209220000706李远滨海县县公安局办事员1040806401809220000706邹至信滨海县县公安局办事员1040901262309220000706胡琦滨海县县公安局办事员1040901310309220000706杨倩滨海县县公安局办事员1040901730909220000706黄龙滨海县县公安局办事员1040901552909220000707冯义贵滨海县县公安局办事员1040901090209220000707周娴滨海县县公安局办事员1040901061409220000707戈思澍滨海县县公安局办事员1040901670409220000707顾文娟滨海县县公安局办事员1040901190809220000707朱霏霏滨海县县公安局办事员1040901940609220000707武俸伊滨海县县公安局办事员1040004582909220000707庞嘉萱滨海县县公安局办事员1041307460509220000707高晓宇滨海县县公安局办事员1040901361409220000707姜明滨海县县公安局办事员1040901490709220000707朱礼旺滨海县县公安局办事员1041003320109220000707路皓滨海县县公安局办事员1040003710709220000707潘玉雯滨海县县公安局办事员1040901362409220000707宋海民滨海县县公安局办事员1040901581509220000707朱媛媛滨海县县劳动和社会办事员1040004270709220001201何志成滨海县县劳动和社会办事员1040901300409220001201刘明月滨海县县劳动和社会办事员1040501431509220001201方威滨海县县建设局办事员1040002482209220001401杨春滨海县县建设局办事员1040005190409220001401李庆姝滨海县县建设局办事员1040901042409220001401李建辉滨海县县建设局办事员1040006201209220001402刘安琪滨海县县建设局办事员1040901931909220001402邱金龙滨海县县建设局办事员1040901760809220001402倪彩霞滨海县县建设局办事员1040511021809220001403卞庆滨海县县建设局办事员1040901560209220001403赵威凯滨海县县建设局办事员1040004681109220001403曹球滨海县盐城市滨海工基层工商分局(所2040903212209220003001蔡天翼滨海县盐城市滨海工基层工商分局(所2040903063009220003001俞萍萍滨海县盐城市滨海工基层工商分局(所2040906060809220003001施浩滨海县盐城市滨海工基层工商分局(所2040013310109220003002王金刚滨海县盐城市滨海工基层工商分局(所2040212140109220003002张兴余滨海县盐城市滨海工基层工商分局(所2040013092209220003002韩玉汾滨海县盐城市滨海工基层工商分局(所2040903382309220003003张艳敏滨海县盐城市滨海工基层工商分局(所2040219262709220003003邵鸣滨海县盐城市滨海工基层工商分局(所2040007340609220003003唐双喜滨海县盐城市滨海工基层工商分局(所2040805301309220003004倪润之滨海县盐城市滨海工基层工商分局(所2040805240109220003004张伟滨海县盐城市滨海工基层工商分局(所2040903211809220003004陈艳滨海县盐城市滨海质办公室(法制股)2040906221509220003201龚浩滨海县盐城市滨海质办公室(法制股)2040009290809220003201朱庭胜滨海县盐城市滨海质办公室(法制股)2040906360409220003201王黎滨海县盐城市滨海质办公室(法制股)1040901591209220003202沈利民滨海县盐城市滨海质办公室(法制股)1040303322809220003202吴伟滨海县盐城市滨海质办公室(法制股)1040312161209220003202张立达滨海县江苏滨海经济工业园办事员1040004661009220030201李郁梅滨海县江苏滨海经济工业园办事员1040003713009220030201徐为伟滨海县江苏滨海经济工业园办事员1040004682909220030201任翛滨海县江苏滨海经济工业园办事员1040901722509220030202庞园园滨海县江苏滨海经济工业园办事员1040313372309220030202尹小雨滨海县江苏滨海经济工业园办事员1040901940809220030202刘婕滨海县江苏滨海经济工业园办事员1040901452609220030203刘畅滨海县江苏滨海经济工业园办事员1040901941309220030203钱海峰滨海县江苏滨海经济工业园办事员1040901420409220030204高其荣滨海县江苏滨海经济工业园办事员1041003092409220030204潘蔚哲滨海县江苏滨海经济工业园办事员1040313021609220030204姜贺贺滨海县江苏滨海经济沿海工业园办事员1040901751909220030205李政滨海县江苏滨海经济沿海工业园办事员1040901460309220030205祁琦滨海县江苏滨海经济沿海工业园办事员1040901703009220030205王艳滨海县江苏滨海经济沿海工业园办事员1040901041709220030206戴园园滨海县江苏滨海经济沿海工业园办事员1040901482509220030206郭婷婷滨海县江苏滨海经济沿海工业园办事员1040205210809220030206孟慧滨海县江苏滨海经济沿海工业园办事员1040507301509220030207马良滨海县江苏滨海经济沿海工业园办事员1040901472409220030207张卉滨海县江苏滨海经济滨海港管委会办事1040005241809220030208姚军滨海县江苏滨海经济滨海港管委会办事1040314210909220030208陈响滨海县江苏滨海经济滨海港管委会办事1040203162709220030208蒋得军滨海县江苏滨海经济滨海港管委会办事1040901171209220030210李炳辉滨海县乡镇机关办事员3010905710409220080101季豪滨海县乡镇机关办事员3010905093009220080101张警芳滨海县乡镇机关办事员3010512452809220080101王敏滨海县乡镇机关办事员3010905710709220080101李晓权。
单位:亿元企业单位出口交流动资固定资数(个)货值产合计产合计#亏损企业总计59971 7688 41035.29 8499.58 39752.79 22037.56 13228.05 按注册登记类型分#国有304 103 2786.63 30.69 2563.06 647.83 1737.66 集体379 42 123.23 6.14 112.81 76.37 25.80 私营41969 4501 17804.88 3536.46 15485.38 9537.60 4170.84 港澳台商投资4264 882 4689.48 1419.81 4881.78 2988.66 1478.93 外商投资4840 1157 5657.46 2171.24 5505.65 3178.00 1876.43 在总计中:轻工业30118 4037 17196.43 4909.13 16471.69 9770.40 4889.59重工业29853 3651 23838.86 3590.45 23281.10 12267.16 8338.45 按工业行业分煤炭开采和洗选业1 6.58 9.83 3.96 4.48 黑色金属矿采选业6 2 9.48 31.11 25.04 3.29 有色金属矿采选业26 8 23.17 26.07 13.13 4.28 非金属矿采选业251 39 94.37 1.61 68.01 31.93 24.74 其他采矿业农副食品加工业1070 137 653.84 115.51 483.05 293.96 129.34 食品制造业449 72 345.68 49.27 282.96 159.50 88.25 饮料制造业366 46 402.90 32.76 425.04 230.54 139.84 烟草制品业4 235.83 1.19 236.98 182.93 28.14 纺织业8743 1126 4691.54 1282.16 4583.54 2707.86 1421.27 纺织服装、鞋、帽制造业3233 546 1392.76 620.77 1181.54 740.02 319.43皮革、毛皮、羽毛(绒)及其制品业2196 213 1071.38 475.47 795.95 527.98 186.10木材加工及木、竹、藤、棕、草制品业952 87 381.36 77.84 235.67 141.73 68.40家具制造业873 154 456.91 283.91 437.20 275.31 122.47 造纸及纸制品业1492 231 843.78 43.13 1005.90 539.65 354.42 印刷业和记录媒介的复制977 115 280.24 30.22 369.55 203.90 124.42 文教体育用品制造业1095 166 380.77 212.30 344.99 202.86 95.56 石油加工、炼焦及核燃料加工业69 10 965.24 2.99 470.11 134.98 331.80工业总产值资产总计7-6 按行业分的规模以上工业企业主要指标(2009年)行业化学原料及2272 295 2704.04 282.82 2554.42 1337.42 896.24 化学制品制造业医药制造业531 82 665.43 177.88 808.04 462.71 243.74化学纤维制461 57 1424.41 68.91 1181.59 658.19 406.45 造业橡胶制品业674 66 409.68 105.59 364.51 193.40 128.71 塑料制品业3551 375 1544.37 283.91 1324.99 793.98 387.34非金属矿物1802 270 1177.11 80.92 1601.90 788.85 575.21 制品业黑色金属冶842 171 1488.70 44.01 1276.56 686.97 459.23 炼及压延加工业有色金属冶882 146 1280.28 71.55 859.01 562.65 157.73 炼及压延加工业金属制品业3746 475 1732.98 429.94 1560.88 1022.74 374.86通用设备制6823 715 2835.68 641.83 2950.22 1830.74 770.07 造业专用设备制2348 272 994.07 187.66 1114.44 706.69 287.64 造业交通运输设3290 347 2880.90 776.72 2976.45 1813.33 801.76 备制造业电气机械及5476 624 3727.49 936.47 3477.92 2275.57 734.72 器材制造业通信设备、计算机及其1627 246 1496.57 743.24 1396.30 907.26 359.10 他电子设备制造业仪器仪表及文化、办公1104 101 556.83 132.33 605.06 395.34 138.09 用机械制造业工艺品及其1921 256 668.86 303.87 609.13 379.97 160.37 他制造业废弃资源和207 63 216.51 0.36 121.98 102.18 11.58 废旧材料回收加工业电力、热力361 102 2805.92 1.17 3328.72 534.23 2483.94 的生产和供应业燃气生产和54 94.89 116.17 26.90 71.87 供应业水的生产和196 73 94.76 1.25 536.98 143.13 333.15 供应业本表统计范围为规模以注:上工业企业。
浙教研室…2010‟2号浙江省教育厅教研室关于做好2010年三项教学评比的通知各市、县(市、区)教育局教研室:为全面推进素质教育,推广“轻负担高质量”教学模式,提高我省基础教育教学质量和中小学教师队伍的专业水平,总结与推广课程与教学改革研究成果,我们修订了《浙江省三项教学评比规范》(附件1),现就2010年三项教学评比的有关事项通知如下:一、“三项教学评比”指“教学论文评比”、“课堂教学评比”和“教研课题优秀成果评比”。
二、三项教学评比以教研室的名义举办,原则上每两年举办一次。
2010年省三项教学评比简况见附件3。
三、教学论文和课题报告要突出主题、言之有据、语言简洁、表述规范,倡导学术诚信,严禁抄袭造假,没有填写《浙江省三项教学评比承诺书》(附件2)的,不予评奖。
参评论文须向省教研室相关联络人报送电子文档。
教学案例和教育叙事纳入教学论文评比中,不单独设立评比项目。
四、2010年教学论文评比的主题为“规范教学和管理,减轻学生学业负担,全面提高教学质量”。
各学段论文研究重点分别为:义务教育各学科为实施《学科教学建议》的研究;高中各学科为教师执教能力研究、高中学科建设研究;综合类为实施《教学管理指南》的研究。
五、从2010年起,综合类论文取消“教学管理与教研管理”,增设“教学管理”与“教研创新”。
教学管理主要面向幼儿园、中小学的学校领导;“教研创新”指教研工作创新和教研活动策划方面的论文,主要面向各级教研员。
六、2010年进行课堂教学评比的学科有18门:小学品德、初中语文、初中数学、初中科学、初中思想品德、高中物理、高中生物、高中历史、高中地理、小学信息技术、小学音乐、初中美术、初中体育、高中综合实践活动、高中地方校本课程、初中地方校本课程、中小学写字、中小学劳动与技术。
七、2010年将组织省第四届教研课题优秀成果评比,11月份申报。
具体事项另行通知。
八、请把有关精神及时传达到相关教研员和学校,并协助省教研室做好各项评比工作。
检进入体检进入体检进入体检进入体检进入体检进入体检进入体检进入体检进入体检进入体检进入体检进入体检进入体检进入体检进入体检进入体检进入体检进入体检进入体检进入体检进入体检进入体检进入体检进入体检进入体检进入体检进入体检进入体检进入体检进入体检进入体检进入体检进入体检进入体检进入体检进入体检进入体检进入体检进入体检进入体检检进入体检进入体检进入体检进入体检进入体检进入体检进入体检进入体检进入体检进入体检进入体检进入体检进入体检进入体检进入体检进入体检进入体检进入体检检进入体检进入体检进入体检进入体检进入体检进入体检进入体检进入体检进入体检进入体检进入体检进入体检进入体检进入体检进入体检进入体检进入体检进入体检进入体检进入体检进入体检检进入体检进入体检进入体检进入体检进入体检进入体检进入体检进入体检进入体检进入体检进入体检进入体检进入体检进入体检进入体检进入体检进入体检进入体检进入体检进入体检进入体检进入体检进入体检进入体检进入体检进入体检进入体检进入体检进入体检进入体检进入体检进入体检进入体检进入体检进入体检进入体检进入体检进入体检进入体检进入体检进入体检进入体检进入体检进入体检进入体检进入体检进入体检进入体检进入体检进入体检进入体检检进入体检进入体检进入体检进入体检进入体检进入体检进入体检进入体检进入体检进入体检进入体检进入体检进入体检进入体检进入体检进入体检进入体检进入体检进入体检检温州大学3+2进入体检台州学院进入体检进入体检进入体检进入体检进入体检浙江师范大学进入体检进入体检进入体检进入体检进入体检进入体检进入体检进入体检进入体检进入体检进入体检进入体检进入体检进入体检进入体检进入体检进入体检进入体检进入体检进入体检进入体检进入体检检进入体检进入体检进入体检进入体检进入体检进入体检进入体检进入体检进入体检进入体检进入体检进入体检进入体检进入体检进入体检进入体检进入体检进入体检进入体检进入体检进入体检进入体检进入体检进入体检检进入体检进入体检进入体检进入体检进入体检进入体检进入体检进入体检进入体检进入体检进入体检。
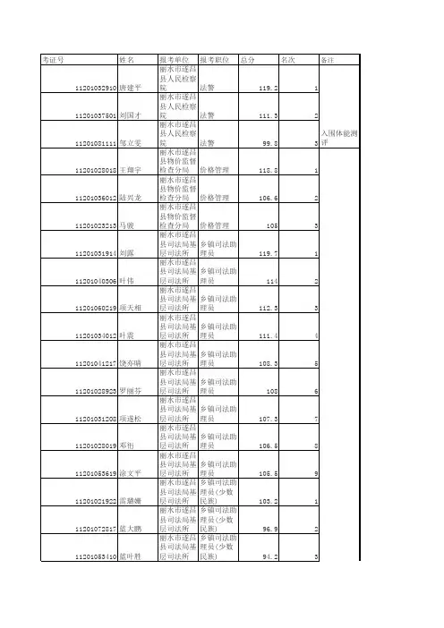
省级机关法官预备人选入围面试人员名单准考证号姓名报考单位报考职位心理测评总分名次公布单位备注00201070924 殷涛省高级人民法院法官预备人选1 / 127.9 1 省高级人民法院00201053520 赵恩勰省高级人民法院法官预备人选1 / 120.9 2 省高级人民法院00201070919 许婷婷省高级人民法院法官预备人选1 / 120.8 3 省高级人民法院00201065525 陈上委省高级人民法院法官预备人选1 / 119.6 4 省高级人民法院00201046020 王海侠省高级人民法院法官预备人选1 / 118.5 5 省高级人民法院00201065512 张宏省高级人民法院法官预备人选1 / 118 6 省高级人民法院00201068928 李竺娉省高级人民法院法官预备人选2 / 139 1 省高级人民法院00201065119 阮媛省高级人民法院法官预备人选2 / 132.2 2 省高级人民法院00201058622 阮露玫省高级人民法院法官预备人选2 / 132 3 省高级人民法院00201050420 李虎省高级人民法院法官预备人选2 / 129.2 4 省高级人民法院00201045319 朱冠琳省高级人民法院法官预备人选2 / 129 5 省高级人民法院00201047524 周治成省高级人民法院法官预备人选2 / 128.8 6 省高级人民法院00201069605 刘牧晗省高级人民法院法官预备人选3 / 137.8 1 省高级人民法院00201051219 沈慧心省高级人民法院法官预备人选3 / 133.2 2 省高级人民法院00201051123 赵敏省高级人民法院法官预备人选3 / 125.6 3 省高级人民法院00201051121 魏恒婕省高级人民法院法官预备人选3 / 124.5 4 省高级人民法院00201065024 杨席省高级人民法院法官预备人选3 / 124 5 省高级人民法院00201064930 曹慧敏省高级人民法院法官预备人选3 / 123.2 6 省高级人民法院00201068107 余海燕省高级人民法院法官预备人选3 / 122.9 7 省高级人民法院00201056402 于苔纳省高级人民法院法官预备人选3 / 121.2 8省高级人民法院00201063813 汤潇潇省高级人民法院法官预备人选4 / 132.7 1 省高级人民法院00201045625 翟寅生省高级人民法院法官预备人选4 / 131.3 2 省高级人民法院00201052819 张翠萍省高级人民法院法官预备人选4 / 130.4 3 省高级人民法院00201056217 吴永刚省高级人民法院法官预备人选4 / 129.8 4 省高级人民法院00201063101 钱思雯省高级人民法院法官预备人选4 / 129.7 5 省高级人民法院00201064213 钱磊省高级人民法院法官预备人选4 / 129.1 6 省高级人民法院00201071806 陈冬妮省高级人民法院法官预备人选5 / 122.5 1 省高级人民法院00201065502 万成兆省高级人民法院法官预备人选5 / 117.2 2 省高级人民法院00201065709 曹琳省高级人民法院法官预备人选5 / 116.6 3 省高级人民法院00201068215 康晨怡省高级人民法院法官预备人选6 / 124.5 1 省高级人民法院00201045317 张小奕省高级人民法院法官预备人选6 / 124.3 2 省高级人民法院00201067701 朱莎省高级人民法院法官预备人选6 / 124.1 3 省高级人民法院00201043805 王磊省高级人民法院法官预备人选7 / 130.7 1 省高级人民法院00201055716 廖晓军省高级人民法院法官预备人选7 / 130.3 2 省高级人民法院00201067508 周志超省高级人民法院法官预备人选7 / 128.9 3 省高级人民法院00201061817 吴静省高级人民法院宁波海事法院审判岗位1 / 125.3 1 省高级人民法院00201042710 林东辉省高级人民法院宁波海事法院审判岗位1 / 123.1 2 省高级人民法院00201066023 杨世民省高级人民法院宁波海事法院审判岗位1 / 121.4 3 省高级人民法院00201071012 熊良敏省高级人民法院宁波海事法院审判岗位1 / 121.3 4 省高级人民法院00201063309 吴小平省高级人民法院宁波海事法院审判岗位1 / 120.8 5 省高级人民法院00201055005 单亚娟省高级人民法院宁波海事法院审判岗位1 / 120.2 6 省高级人民法院00201042907 孔昱省高级人民法院宁波海事法院审判岗位1 / 120.2 6 省高级人民法院00201067702 郭明伟省高级人民法院宁波海事法院审判岗位1 / 118.8 8 省高级人民法院00201062419 蒋莉省高级人民法院宁波海事法院审判岗位 1 / 118 9 省高级人民法院00201063719 胡采薇省高级人民法院宁波海事法院审判岗位1 / 116.5 10 省高级人民法院00201050618 颜勇省高级人民法院宁波海事法院审判岗位2 / 140.6 1 省高级人民法院00201065518 王雨省高级人民法院宁波海事法院审判岗位2 / 132.2 2 省高级人民法院00201062007 王连生省高级人民法院宁波海事法院审判岗位2 / 131.5 3 省高级人民法院00201044604 倪文君省高级人民法院宁波海事法院审判岗位2 / 130.2 4 省高级人民法院00201051403 单子彰省高级人民法院宁波海事法院审判岗位2 / 129.1 5 省高级人民法院00201064106 夏关根省高级人民法院宁波海事法院审判岗位2 / 127.5 6 省高级人民法院00201061202 原楠楠省高级人民法院宁波海事法院审判岗位2 / 126.7 7 省高级人民法院00201063410 于庆省高级人民法院宁波海事法院审判岗位2 / 126.5 8 省高级人民法院00201055421 金恩煌省高级人民法院宁波海事法院审判岗位2 / 125.9 9 省高级人民法院00201069602 董体乾省高级人民法院宁波海事法院审判岗位2 / 125.7 10 省高级人民法院00201063206 夏姗姗省高级人民法院宁波海事法院审判岗位2 / 125.7 10 省高级人民法院。
浙江省2010年度高级会计师资格考试成绩前30名人员名单
发布日期:2011-09-05 来源:浙江省财政厅
序号姓名工作单位
1 胡科强杭州经济技术开发区财政局
2 王其达浙江物产国际贸易有限公司
3 诸虹杭州市商业银行股份有限公司
4 施宗靖浙江省烟草公司杭州市公司
5 揭任娟丽水市财务总监管理中心
6 陶建军浙江万马药业有限公司
7 陈宏平武义县卫生会计核算中心
8 孙玉香奉化市正德联合会计师事务所
9 秦强杭州派迅纺织品有限公司
10 田新山新昌县财政局
11 宋长森温州医学院
12 石锋佑利控股集团有限公司
13 徐强百大集团股份有限公司
14 王利民加兴市招投标中心
15 王亚雄宁波市镇海投资有限公司
16 章洪涛浙江省交通规划设计研究院
17 杨柳浙江大学计划财务部
18 施芬芳义乌市电力实业有限公司
19 陈娅临海市市级机关事务管理局
20 吕隽浙江省衢州第二中学
21 徐利芹万向钱潮股份有限公司
22 沈海芳临海市图书馆
23 何肖妍义乌市国有资产经营有限责任公司
24 陈小群金华市沙畈二级电站有限公司
25 倪雅波宁波兴普房产有限公司
26 王亚娣宁波市中瑞工程造价咨询有限公司
27 陈永明中国烟草总公司浙江省公司
28 何荣华浙江商业职业技术学院
29 李青梅云和县黄源乡中心学校
30 应浩辉宁波市海曙地方税务局
会计证的后续培训问题
会计领军人物的报名问题。