大连理工大学大学物理 作业及答案详解
- 格式:pdf
- 大小:2.66 MB
- 文档页数:64
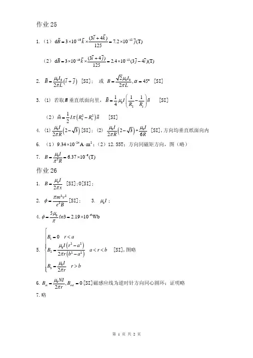
1.(1)1012(34)d 3107210(T)125i k B k .j −−+=××=×G GG GG(2)1012(34)d 3102410(34)(T)125i j B k .j i −−+=××=×−G G G G G G2. ()002I B i j Lµπ=+G G G[SI]; 或 00,452I B L απ==° [SI] 3. (1) 若取n G垂直纸面向里,0211114B I nR R µ⎛⎞=−⎜⎟⎝⎠G G [SI](2)()222112m I R R n π=−G G [SI]4. (1)(022I R µπ[SI]; (2)(022I R µπ+06IRµ [SI],方向均垂直纸面向内6. (1)2429.3410A m −×⋅;(2)12.55T;方向同磁矩方向,图(略)7. 6026.3710(T)IB Rµπ−==× 作业261. 02IB xµπ= [SI];0[SI]; 2. 222m v e Bπφ=[SI]; 3. 0I µ;4.6053 2.1910Wb n µφπ−==×A5. ()()122022203022B r a I r a B a r b r b a I B r b r µπµπ⎧⎪=<⎪−⎪⎪=<<⎨−⎪⎪⎪=>⎪⎩[SI],图略6.0,02in out NIB B rµπ==[SI]磁感应线为逆时针方向同心圆环;证明略 7.略1.24R IB [SI],方向在纸面内指向上方 2. 02afv e Iπµ=[SI];方向在纸面内垂直力f 的方向指向左上方 3.(1)ab 之间的电势差;b 点高;(2)2cm,0.1cm l h ==,41.0710(m/s)Hd V v Bl−==×; (3)2835.8510(m )H IBn V eh−==× 4. 12Il l B[SI],方向在纸面内指向上方 ;122Bl l I [SI] 5. 负功;d d A F r =⋅G G.6. 恒定磁场不能;洛仑兹力方向与速度垂直,只改变速度方向不改变大小 ,对粒子不做功,不改变动能。
作业3(静电场三)1.电场中某区域内电场线如图所示,将一点电荷从M 移到N 点则必有[ ]。
.A 电场力的功0M N A >.B 电势能M N W W >.C 电势M N U U >.D 电势M N U U <答案:【C 】解:由于静电场的无旋性,电场强度的线积分与路径无关,由M 点到N 点的线积分(即M 点与N 点之间的电势差),可以取任意路径。
现取积分路径为:由M 点到O 点,处处与电场线(电场强度方向)垂直;由O 点到N 点,处处沿着电场线。
则0=⋅=-⎰O M O M l d E U U,0>=⋅=-⎰⎰NONON O Edl l d E U U因此,M 点与N 点的电势差为0)()(>=⋅+⋅=-+-=⋅=-⎰⎰⎰⎰NONOOMN O O M N MN M Edl l d E l d E U U U U l d E U U所以,C 正确,D 错误。
由M 点到O 点,电场力所作的功为(设移动电荷量为q )⎰⋅=-=N MN M N M l d E q U U q A)( 尽管0>⋅⎰N Ml d E,但不知q 的正负,无法判断NMA 的正负。
当0>q ,即移动正电荷时,电场力作功为正,0>NM A ;如果移动的是负电荷,电场力作功为负,0<NMA 。
电势能是静电场中的带电粒子与电场共同拥有的能量。
定义为,点电荷q 在静电场中M 点时,系统拥有的电势能为:从M 点移动电荷q 到电势零点的过程中,电场力所作的功,MM M M qUl d E q A W =⋅==⎰→0,静电势能等于电荷量与电荷所在点电势的乘积。
电场力所作的功等于静电势能的减少,静电场中M 点与N 点系统的电势能之差,等于移动点电荷q 由M 点到N 点的过程中电场力所作的功)(NM NM N M N M UU q l d E q A W W -=⋅==-⎰→尽管0>-N M U U ,但电势能之差还与电荷q 有关,不能判断N M W W -的正负。
2.一平行板电容器中充满相对介电常数为r ε的各向同性均匀电介质。
已知介质表面极化电荷面密度为σ'±,则极化电荷在电容器中产生的电场强度的大小为[ ]。
.A0σε' .B 02σε' .C 0r σεε' .D rσε' 答案:【A 】解:极化电荷也是一种电荷分布,除不能自由移动和依赖于外电场而存在外,与自由电荷没有区别。
在产生静电场方面,它们的性质是一样的。
在电容器中,正是极化电荷的存在,产生的静电场与自由电荷产生的静电场方向相反,使得电容器中总的电场强度减弱,提高了电容器储存自由电荷的能力,电容器的电容增大。
或者说,储存等量的自由电荷,添加电介质后,电场强度减弱,电容器两极的电势差减小,电容器的电容增大。
正负极化电荷产生的电场强度的大小都是0/2εσ,方向相同,所以,极化电荷产生的电场的电场强度为0/εσ。
3.在一点电荷产生的静电场中,一块电介质如图5-1放置,以点电荷q 所在处为球心作一球形闭合面,则对此球形闭合面[ ]。
.A 高斯定理成立,且可用它求出闭合面上各点的场强 .B 高斯定理成立,但不能用它求出闭合面上各点的场强 .C 由于电介质不对称分布,高斯定理不成立 .D 即使电介质对称分布,高斯定理也不成立答案:【B 】解:静电场的高斯定理,是静电场的基本规律。
无论电场分布(电荷分布)如何,无论有无电介质,也无论电介质的分布如何,都成立。
但是,只有在电场分布(电荷分布和电介质分布),在高斯面上(内)具有高度对称时,才能应用高斯定理计算高斯面上的电场强度。
否则,只能计算出穿过高斯面的电通量。
图示的高斯面上,电场强度分布不具有高度对称性,不能应用高斯定理计算高斯面上的电场强度。
4.半径为1R 和2R 的两个同轴金属圆筒,其间充满着相对介电常数为r ε的均匀介质。
设两圆筒上单位长度带电量分别为λ+和λ-,则介质中的电位移矢量的大小D = ,电场强度的大小E = 。
大连理工大学软件学院大学物理作业及答案作业11.关于电场强度定义式,下列说法中哪个是正确的?[ ] A .场强E 的大小与试探电荷0q 的大小成反比。
B .对场中某点,试探电荷受力F 与0q 的比值不因0q 而变。
C .试探电荷受力F 的方向就是场强E 的方向。
D .若场中某点不放试探电荷0q ,则0F =,从而0E =。
答案: 【B 】[解]定义。
场强的大小只与产生电场的电荷以及场点有关,与试验电荷无关,A 错;如果试验电荷是负电荷,则试验电荷受的库仑力的方向与电场强度方向相反,C 错;电荷产生的电场强度是一种客观存在的物质,不因试验电荷的有无而改变,D 错;试验电荷所受的库仑力与试验电荷的比值就是电场强度,与试验电荷无关,B 正确。
2.一个质子,在电场力作用下从A 点经C 点运动到B 点,其运动轨迹如图所示,已知质点运动的速率是递增的,下面关于C 点场强方向的四个图示哪个正确?[ ]答案: 【D 】[解]a m E q=,质子带正电且沿曲线作加速运动,有向心加速度和切线加速度。
存在向心加速度,即有向心力,指向运动曲线弯屈的方向,因此质子受到的库仑力有指向曲线弯屈方向的分量,而库仑力与电场强度方向平行(相同或相反),因此A 和B 错;质子沿曲线ACB 运动,而且是加速运动,所以质子受到的库仑力还有一个沿ACB 方向的分量(在C 点是沿右上方),而质子带正电荷,库仑力与电场强度方向相同,所以,C 错,D 正确。
3.带电量均为q +的两个点电荷分别位于X 轴上的a +和a -位置,如图所示,则Y 轴上各点电场强度的表示式为E = ,场强最大值的位置在y = 。
答案:y a qy23220)(2+=πε,2/a y ±= [解]21E E += )(422021y a qE E +==πε关于y 轴对称:θcos 2,01E E E y x ==j y a qyj E E y 23220)(2+==∴πε沿y 轴正向的场强最大处0=dydEy y a y y a dy dE 2)(23)(25222322⨯+-+∝-- 2/a y = 2/a y ±=处电场最强。
大连理工大学软件学院大学物理作业及答案详解作业11.关于电场强度定义式,下列说法中哪个是正确的?[ ] A .场强E 的大小与试探电荷0q 的大小成反比。
B .对场中某点,试探电荷受力F 与0q 的比值不因0q 而变。
C .试探电荷受力F 的方向就是场强E 的方向。
D .若场中某点不放试探电荷0q ,则0F =,从而0E =。
答案: 【B 】[解]定义。
场强的大小只与产生电场的电荷以及场点有关,与试验电荷无关,A 错;如果试验电荷是负电荷,则试验电荷受的库仑力的方向与电场强度方向相反,C 错;电荷产生的电场强度是一种客观存在的物质,不因试验电荷的有无而改变,D 错;试验电荷所受的库仑力与试验电荷的比值就是电场强度,与试验电荷无关,B 正确。
2.一个质子,在电场力作用下从A 点经C 点运动到B 点,其运动轨迹如图所示,已知质点运动的速率是递增的,下面关于C 点场强方向的四个图示哪个正确?[ ]答案: 【D 】[解]a m E q=,质子带正电且沿曲线作加速运动,有向心加速度和切线加速度。
存在向心加速度,即有向心力,指向运动曲线弯屈的方向,因此质子受到的库仑力有指向曲线弯屈方向的分量,而库仑力与电场强度方向平行(相同或相反),因此A 和B 错;质子沿曲线ACB 运动,而且是加速运动,所以质子受到的库仑力还有一个沿ACB 方向的分量(在C 点是沿右上方),而质子带正电荷,库仑力与电场强度方向相同,所以,C 错,D 正确。
3.带电量均为q +的两个点电荷分别位于X 轴上的a +和a -位置,如图所示,则Y 轴上各点电场强度的表示式为E = ,场强最大值的位置在y = 。
答案:y a qy23220)(2+=πε,2/a y ±= [解]21E E += )(422021y a qE E +==πε关于y 轴对称:θcos 2,01E E E y x ==j y a qyj E E y23220)(2+==∴πε沿y 轴正向的场强最大处0=dydEy y a y y a dy dE 2)(23)(25222322⨯+-+∝-- 2/a y = 2/a y ±=处电场最强。
作业二十五 稳恒磁场(一)11225-1. 7.210(T)B j −=×GG129.6107.21120(T)B j i −−=×−×G G G25-2.00I 2B Lπ=,方向与水平线成45度角,指向右上方。
25-3.(1)04I 2112(R R R R B μ−=,方向垂直纸面向外。
(2)2221()R 2Im R π=−,方向垂直纸面向内。
25-4.(1)02IB R(2μπ=2−,方向垂直纸面向内。
(2)0062I IB R R(2μμπ=2+2A m )×610(T)−,方向垂直纸面向内。
25-6.2412.55(T )9.3410(B m −==25-7. ,方向垂直纸面向外。
6.37B =×作业二十六 稳恒磁场(二)26-1. I02μB x π=,Φ=0。
26-2. 222m v e B πΦ=26-3. I l 0μ=B d ⋅∫KK 。
26-4.6()Wb −2.1910Φ=×26-5. 2202200(()2()2I r a )()()r a B a r b a I r μπμπ⎧⎪⎪−⎪=≤⎨−⎪⎪≥⎪⎩r b r b ≤≤ 26-6.解:(1)2211)())r D 00(20(NI B D r r μπ⎧⎪⎪=<⎨⎪>⎪⎩D r D << ;2(2)d d Bh r Φ=B 01d ln 2NIh D ND μπΦΦ=∫Φ= 226-7. 用安培环路定理,可以证明图中B 1=B 2;用高斯定理,可以证明图中 B ′1=B ′2。
B 命题得证作业二十七 稳恒磁场(三)27-1. 2R IB M = 方向竖直向上27-2. 02afe Iv πμ=4(/d v m − 27-3.(1)ab 两点间的电势差,b 点电势高。
(2) 1.0710)s ∴=×2835.8410(m )−=×。
2.一平行板电容器中充满相对介电常数为r ε的各向同性均匀电介质。
已知介质表面极化电荷面密度为σ'±,则极化电荷在电容器中产生的电场强度的大小为[ ]。
.A0σε' .B 02σε' .C 0r σεε' .D rσε' 答案:【A 】解:极化电荷也是一种电荷分布,除不能自由移动和依赖于外电场而存在外,与自由电荷没有区别。
在产生静电场方面,它们的性质是一样的。
在电容器中,正是极化电荷的存在,产生的静电场与自由电荷产生的静电场方向相反,使得电容器中总的电场强度减弱,提高了电容器储存自由电荷的能力,电容器的电容增大。
或者说,储存等量的自由电荷,添加电介质后,电场强度减弱,电容器两极的电势差减小,电容器的电容增大。
正负极化电荷产生的电场强度的大小都是0/2εσ,方向相同,所以,极化电荷产生的电场的电场强度为0/εσ。
3.在一点电荷产生的静电场中,一块电介质如图5-1放置,以点电荷q 所在处为球心作一球形闭合面,则对此球形闭合面[ ]。
.A 高斯定理成立,且可用它求出闭合面上各点的场强 .B 高斯定理成立,但不能用它求出闭合面上各点的场强 .C 由于电介质不对称分布,高斯定理不成立 .D 即使电介质对称分布,高斯定理也不成立答案:【B 】解:静电场的高斯定理,是静电场的基本规律。
无论电场分布(电荷分布)如何,无论有无电介质,也无论电介质的分布如何,都成立。
但是,只有在电场分布(电荷分布和电介质分布),在高斯面上(内)具有高度对称时,才能应用高斯定理计算高斯面上的电场强度。
否则,只能计算出穿过高斯面的电通量。
图示的高斯面上,电场强度分布不具有高度对称性,不能应用高斯定理计算高斯面上的电场强度。
4.半径为1R 和2R 的两个同轴金属圆筒,其间充满着相对介电常数为r ε的均匀介质。
设两圆筒上单位长度带电量分别为λ+和λ-,则介质中的电位移矢量的大小D = ,电场强度的大小E = 。
作业5 静电场五2.一平行板电容器中充满相对介电常数为r ε的各向同性均匀电介质。
已知介质表面极化电荷面密度为σ'±,则极化电荷在电容器中产生的电场强度的大小为[ ]。
.A0σε' .B 02σε' .C 0r σεε' .D rσε' 答案:【A 】解:极化电荷也是一种电荷分布,除不能自由移动和依赖于外电场而存在外,与自由电荷没有区别。
在产生静电场方面,它们的性质是一样的。
在电容器中,正是极化电荷的存在,产生的静电场与自由电荷产生的静电场方向相反,使得电容器中总的电场强度减弱,提高了电容器储存自由电荷的能力,电容器的电容增大。
或者说,储存等量的自由电荷,添加电介质后,电场强度减弱,电容器两极的电势差减小,电容器的电容增大。
正负极化电荷产生的电场强度的大小都是0/2εσ,方向相同,所以,极化电荷产生的电场的电场强度为0/εσ。
3.在一点电荷产生的静电场中,一块电介质如图5-1放置,以点电荷q 所在处为球心作一球形闭合面,则对此球形闭合面[ ]。
.A 高斯定理成立,且可用它求出闭合面上各点的场强 .B 高斯定理成立,但不能用它求出闭合面上各点的场强 .C 由于电介质不对称分布,高斯定理不成立 .D 即使电介质对称分布,高斯定理也不成立答案:【B 】解:静电场的高斯定理,是静电场的基本规律。
无论电场分布(电荷分布)如何,无论有无电介质,也无论电介质的分布如何,都成立。
但是,只有在电场分布(电荷分布和电介质分布),在高斯面上(内)具有高度对称时,才能应用高斯定理计算高斯面上的电场强度。
否则,只能计算出穿过高斯面的电通量。
图示的高斯面上,电场强度分布不具有高度对称性,不能应用高斯定理计算高斯面上的电场强度。
4.半径为1R 和2R 的两个同轴金属圆筒,其间充满着相对介电常数为r ε的均匀介质。
设两圆筒上单位长度带电量分别为λ+和λ-,则介质中的电位移矢量的大小D = ,电场强度的大小E = 。
大连理工大学软件学院大学物理作业及答案作业11.关于电场强度定义式,下列说法中哪个是正确的?[ ] A .场强E 的大小与试探电荷0q 的大小成反比。
B .对场中某点,试探电荷受力F 与0q 的比值不因0q 而变。
C .试探电荷受力F 的方向就是场强E 的方向。
D .若场中某点不放试探电荷0q ,则0F =,从而0E =。
答案: 【B 】[解]定义。
场强的大小只与产生电场的电荷以及场点有关,与试验电荷无关,A 错;如果试验电荷是负电荷,则试验电荷受的库仑力的方向与电场强度方向相反,C 错;电荷产生的电场强度是一种客观存在的物质,不因试验电荷的有无而改变,D 错;试验电荷所受的库仑力与试验电荷的比值就是电场强度,与试验电荷无关,B 正确。
2.一个质子,在电场力作用下从A 点经C 点运动到B 点,其运动轨迹如图所示,已知质点运动的速率是递增的,下面关于C 点场强方向的四个图示哪个正确?[ ]答案: 【D 】[解]a m E q=,质子带正电且沿曲线作加速运动,有向心加速度和切线加速度。
存在向心加速度,即有向心力,指向运动曲线弯屈的方向,因此质子受到的库仑力有指向曲线弯屈方向的分量,而库仑力与电场强度方向平行(相同或相反),因此A 和B 错;质子沿曲线ACB 运动,而且是加速运动,所以质子受到的库仑力还有一个沿ACB 方向的分量(在C 点是沿右上方),而质子带正电荷,库仑力与电场强度方向相同,所以,C 错,D 正确。
3.带电量均为q +的两个点电荷分别位于X 轴上的a +和a -位置,如图所示,则Y 轴上各点电场强度的表示式为E = ,场强最大值的位置在y = 。
答案:j y a qyE 23220)(2+=πε,2/a y ±=[解]21E E += )(422021y a qE E +==πε关于y 轴对称:θcos 2,01E E E y x ==y a qyE y 23220)(2+==∴πε沿y 轴正向的场强最大处0=dydEy y a y y a dy dE 2)(23)(25222322⨯+-+∝-- 2/a y = 2/a y ±=处电场最强。
作业4 静电场四它们离地球很远,内球壳用细导线穿过外球壳上得绝缘小孔与地连接,外球壳上带有正电荷,则内球壳上[ ]。
不带电荷 带正电 带负电荷外表面带负电荷,内表面带等量正电荷答案:【C 】解:如图,由高斯定理可知,内球壳内表面不带电。
否则内球壳内得静电场不为零。
如果内球壳外表面不带电(已经知道内球壳内表面不带电),则两壳之间没有电场,外球壳内表面也不带电;由于外球壳带正电,外球壳外表面带正电;外球壳外存在静电场。
电场强度由内球壳向外得线积分到无限远,不会为零。
即内球壳电势不为零。
这与内球壳接地(电势为零)矛盾。
因此,内球壳外表面一定带电。
设内球壳外表面带电量为(这也就就是内球壳带电量),外球壳带电为,则由高斯定理可知,外球壳内表面带电为,外球壳外表面带电为。
这样,空间电场强度分布,(两球壳之间:) ,(外球壳外:)其她区域(,),电场强度为零。
内球壳电势为041)11(4ˆ4ˆ4)()(403202020214324322=++-=⋅++⋅=⋅+⋅=⋅=⎰⎰⎰⎰⎰∞∞∞R Qq R R q r d r rQq r d rr q r d r E r d r E l d E U R R R R R R R πεπεπεπε则,由于,,所以即内球壳外表面带负电,因此内球壳负电。
2.真空中有一组带电导体,其中某一导体表面某处电荷面密度为,该处表面附近得场强大小为,则。
那么,就是[ ]。
该处无穷小面元上电荷产生得场 导体上全部电荷在该处产生得场 所有得导体表面得电荷在该处产生得场 以上说法都不对 答案:【C 】解:处于静电平衡得导体,导体表面附近得电场强度为,指得就是:空间全部电荷分布,在该处产生得电场,而且垂直于该处导体表面。
注意:由高斯定理可以算得,无穷小面元上电荷在表面附近产生得电场为;无限大带电平面产生得电场强度也为,但不就是空间全部电荷分布在该处产生得电场。
3.一不带电得导体球壳半径为,在球心处放一点电荷。
作业11.g R t /2=(R 为圆环的半径)与θ角无关,质点沿任何弦下滑所用的时间都一样。
2.0v =G ;12sin(2)v v a t vθ∆=⋅∆∆GG 。
3.(1)(1)29v t s i j ==+G G G ;(2)21239r r v i j t −==+∆G G G G G ,2136v v a j t −==∆G G G G 。
4.质点A 运动的轨道方程为 3182y x =−,直线;质点B 运动的轨道方程为 29417x y −=,抛物线;质点C 运动的轨道方程为 1622=+y x ,圆; 质点D 运动的轨道方程为 16522=⎟⎠⎞⎜⎝⎛+⎟⎠⎞⎜⎝⎛y x ,椭圆.。
5.(1)s t 1=、s t 2=时刻的速度和加速度分别为(1s)3(m/s)v t ==,2(1)3(m/s )a t s ==−(2s)6(m/s)v t ==−,2(2)15(m/s )a t s ==−;(2)第2秒内质点的平均加速度为第2秒内质点的平均加速度为2(2s)(1s)9(m/s )v t v t a t=−===−∆第2秒内质点所通过的路程为[( 1.5s (1s))][( 1.5s)(2s)] 2.25(m)S y t y t y t y t ==−=+=−==。
6. (1)火箭的速度函数为 d ln(1)d x v u bt t ==−−;火箭的加速度函数为 d d 1v uba t bt==−; (2)(0s)0v t == 31(100) 4.1610ms v t s −==×;(3)2(0)22.5ms a t s −== 2(100)90ms a t s −==;7. (1) 质点的运动轨道 82+=x y (轨道曲线略);(2) m j i r G G G 1221+=,m j i r G G G 2442+=;2182−+=ms j i v G G G,22162−+=ms j i v G G G ;2218−==ms j a a G GG .8. n a 增大,t a 不变,a 增大;tn a a=αtan ,由于n a 增大,t a 不变,所以α增大。
作业4 静电场四导线穿过外球壳上的绝缘小孔与地连接,外球壳上带有正电荷,则内球壳上[ ]。
.A 不带电荷.B 带正电 .C 带负电荷.D 外表面带负电荷,内表面带等量正电荷答案:【C 】解:如图,由高斯定理可知,内球壳内表面不带电。
否则内球壳内的静电场不为零。
如果内球壳外表面不带电(已经知道内球壳内表面不带电),则两壳之间没有电场,外球壳内表面也不带电;由于外球壳带正电,外球壳外表面带正电;外球壳外存在静电场。
电场强度由内球壳向外的线积分到无限远,不会为零。
即内球壳电势不为零。
这与内球壳接地(电势为零)矛盾。
因此,内球壳外表面一定带电。
设内球壳外表面带电量为q (这也就是内球壳带电量),外球壳带电为Q ,则由高斯定理可知,外球壳内表面带电为q -,外球壳外表面带电为Q q +。
这样,空间电场强度分布r r qr E ˆ4)(201πε=,(两球壳之间:32R r R <<)r r Qq r E ˆ4)(202πε+= ,(外球壳外:r R <4)其他区域(20R r <<,43R r R <<),电场强度为零。
内球壳电势为041)11(4ˆ4ˆ4)()(403202020214324322=++-=⋅++⋅=⋅+⋅=⋅=⎰⎰⎰⎰⎰∞∞∞R Q q R R q r d r rQq r d r r q r d r E r d r E l d E U R R R R R R R πεπεπεπε则04432=++-R QR q R q R q ,4324111R R R R Q q +--=由于432R R R <<,0>Q ,所以0<q即内球壳外表面带负电,因此内球壳负电。
2.真空中有一组带电导体,其中某一导体表面某处电荷面密度为σ,该处表面附近的场强大小为E ,则0E σ=。
那么,E 是[ ]。
.A 该处无穷小面元上电荷产生的场 .B 导体上全部电荷在该处产生的场 .C 所有的导体表面的电荷在该处产生的场 .D 以上说法都不对答案:【C 】解:处于静电平衡的导体,导体表面附近的电场强度为0E σ=,指的是:空间全部电荷分布,在该处产生的电场,而且垂直于该处导体表面。