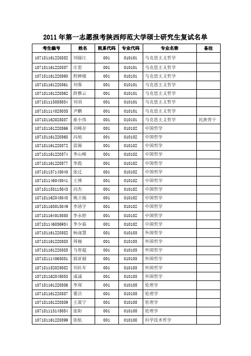
第一志愿复试名单
- 格式:xls
- 大小:92.00 KB
- 文档页数:19
(本名单按学院、专业、考生编号排序)【共 18 页第 1 页】复试学院复试专业考生编号考生姓名初试成绩备注政治理论外国语业务课一业务课二总分001政治学院010105伦理学106374010020011许春684990104311 030501马克思主义基本原理106374010090017伍思颖5661133128378106374010090022徐一7556129124384 030503马克思主义中国化研究106374010110027刘世玲7155110134370 030504国外马克思主义研究106374010120030杨毅7451119127371030505思想政治教育106374010130046冯媛6350118133364106374010130050张茜7544133125377106374010130052谭露丹7254121120367106374010130054王莹7156123122372106374010130058汪晓凤5950120127356106374010130059吕淑萍7360119121373 030506中国近现代史基本问题研究106374010140061刘映雪804982105316045102学科教学(思政)106374010260068李红梅6153100125339106374010260069杨红梅704395132340106374010260070石治勇6245107124338106374010260079杨若冰6449102126341002教育科学学院040101教育学原理106374020150085左湫7051211332 106374020150091廖金秋6461233358 106374020150093李霜6472216352 106374020150094丁权7248209329 106374020150100郝博成5662222340 106374020150111贺朝兵6259229350 106374020150113车霞6748220335(本名单按学院、专业、考生编号排序)【共 18 页第 2 页】复试学院复试专业考生编号考生姓名初试成绩备注政治理论外国语业务课一业务课二总分002教育科学学院040101教育学原理106374020150114潘菲6753226346106374020150122李晓瑜6942246357106374020150123樊莉7243257372106374020150127秦梨沁5946211316 040102课程与教学论106374020160135付超6749210326106374020160138陈静6047216323106374020160140苏恋念6948198315106374020160141毛旭6553246364106374020160145周春艳5857209324106374020160148蒋双雄6652209327106374020160155王欢5955213327106374020160156李延春6746237350 040104比较教育学106374020180165胡梅7147238356040105学前教育学106374020190173赵丽丹5966220345106374020190176江姣6453230347106374020190177周玲玲5757262376106374020190180刘之花6854200322106374020190183伍丹5843245346106374020190184蒋丹6657259382106374020190187冉璐5157226334106374020190191谢蓉5660217333106374020190196秦泽虎6842237347 040106高等教育学106374020200202周立傲6351260374(本名单按学院、专业、考生编号排序)【共 18 页第 3 页】复试学院复试专业考生编号考生姓名初试成绩备注政治理论外国语业务课一业务课二总分002教育科学学院040106高等教育学106374020200204杜姗姗5863250371106374020200206舒玲6656213335106374020200211司卫宁6149207317106374020200212姚兰6144217322 040109特殊教育学106374020220216扈莉6553220338106374020220219曾树兰5747257361106374020220220黄儒军6656227349106374020220227张珍7354241368106374020220228李丹6347230340106374020220229陈海龙6746206319106374020220232袁梅玲5643221320106374020220239刘璐7252209333106374020220240李利7748250375106374020220241靳少举7457263394106374020220244王晓枚6760242369106374020220250朱爽爽6547257369106374020220251王清玉7348211332 045115小学教育106374020390255师雪薇616189122333106374020390257周雪6356112129360106374020390262冉敬源6652105103326106374020390268史晶6442107119332106374020390281唐蕾6658115128367 045116心理健康教育106374020400285王佳美646283117326(本名单按学院、专业、考生编号排序)【共 18 页第 4 页】复试学院复试专业考生编号考生姓名初试成绩备注政治理论外国语业务课一业务课二总分002教育科学学院045118学前教育106374020420296黎金凤6555120123363 045119特殊教育106374020430303冷潇潇6864111118361077102发展与教育心理学106374020890311李梦琪7145126131373106374020890318熊津774596116334106374020890319黄胡勇6355101117336106374020890322朱立珩604580100285106374020890332谢雪654591112313106374020890333叶静雯6647102121336106374020890336张梦镁664791107311106374020890339李楠柯6446108110328106374020890340王亚可72589288310106374020890345武海栋63459986293106374020890350周双685810574305106374020890351张雅萍675098112327106374020890352陈盈羽6456102106328106374020890353蔡恋58689898322106374020890355周思虹714211695324106374020890356王秀波624990101302003计算机与信息科学学院045114现代教育技术106374030380362袁隆发6647101113327106374030380363郭洋5548122112337 077501计算机系统结构106374030900364陈苗58619576290 078401教育技术学106374030930368谭东604610793306106374030930369赵鹏飞6644133106349(本名单按学院、专业、考生编号排序)【共 18 页第 5 页】复试学院复试专业考生编号考生姓名初试成绩备注政治理论外国语业务课一业务课二总分003计算机与信息科学学院078401教育技术学106374030930370许小惠6446138114362106374030930371张元立7055140112377106374030930373杨亚5949144111363 095112农业信息化106374030970378谭白冰6536101103305106374030970381娄志凯64469084284106374030970382胡雪58507987274106374030970383曹发青5855125118356004文学院045103学科教学(语文)106374040270387赵鹏晖6749106133355 106374040270388代彦妮6870115128381 106374040270389余雯6652107126351 106374040270390李成明6454115121354 106374040270395陶应宏7050107116343 106374040270396徐艳秋6259119111351 106374040270398田娉6150114117342 106374040270399沈力7158117117363 106374040270400包邹瑜7158118110357 106374040270403刘丹6246113116337 106374040270405潘登6954119120362 106374040270409曲芸萱6857123120368 106374040270412王成国7444116126360 106374040270413舒欣月7466110123373 106374040270417张欢6453103126346 106374040270419谢静626494124344(本名单按学院、专业、考生编号排序)【共 18 页第 6 页】复试学院复试专业考生编号考生姓名初试成绩备注政治理论外国语业务课一业务课二总分004文学院045103学科教学(语文)106374040270425赵玉琴6957103112341 045300汉语国际教育106374040440427刘馥菱6554136131386106374040440431王诗微6754136127384106374040440432童凡6957122115363106374040440433陈瑶6046130109345106374040440437刘烜君7658128119381106374040440438杨帆6459122100345106374040440440胡雅蓉5842119114333106374040440441王璐璐6242125104333106374040440443郭丽荣7060113105348106374040440444陈忱7849125113365106374040440445刘婧6344132118357106374040440448王玥7146123125365 050102语言学及应用语言学106374040460456王轶婷7364135126398 050103汉语言文字学106374040470463刘爽7356105128362 050105中国古代文学106374040480488穆盛祺6461123134382050106中国现当代文学106374040490509邱域埕6255133110360106374040490510陈阵7557131116379106374040490512邓微6665125121377106374040490515张莉6357112125357106374040490516唐樱芝6858125107358106374040490525孟雯6961136135401106374040490528雷鸥6257130111360(本名单按学院、专业、考生编号排序)【共 18 页第 7 页】复试学院复试专业考生编号考生姓名初试成绩备注政治理论外国语业务课一业务课二总分004文学院050108比较文学与世界文学106374040500533胡笔花6463120117364106374040500534吴珂6756123135381005外国语学院045108学科教学(英语)106374050320536李祖梅587676112322 106374050320544李方6656118109349 106374050320545曾敏5370101104328 106374050320546王源697410593341 106374050320548熊思宇626910096327 106374050320549盛瑞媛6170115124370 106374050320550黄晶晶6960102117348 106374050320558曹露6875117124384 106374050320559蔡海娜6463111101339 106374050320561杨青青707796109352 106374050320564周艳李5971104110344 106374050320566胡登方6673114118371 106374050320567张敏566696110328 106374050320568蒋春雨76599685316 106374050320573乌日汗665710599327 106374050320574王琳璐6068104106338 106374050320575刘香雪606490101315 106374050320577李敏莉6262107115346 106374050320583雷雅琨656885112330 106374050320585梁海群665911691332 106374050320587杨蕙铭717086106333(本名单按学院、专业、考生编号排序)【共 18 页第 8 页】复试学院复试专业考生编号考生姓名初试成绩备注政治理论外国语业务课一业务课二总分005外国语学院045108学科教学(英语)106374050320590秦江丰68659296321 106374050320591秦朗7370115119377 106374050320592杨焱637798107345 106374050320593秦杉646511397339 106374050320596青丹丹6867115123373 106374050320597陈洁7269113114368 106374050320598张娅625711091320 106374050320599宋银娟6476109115364 106374050320600黄瑞琦675510688316 106374050320602张娜5874103120355 106374050320603闫青晓677510093335 106374050320604黄燕6177102122362 106374050320605杜芳675696106325 106374050320607崔莉7269106111358 106374050320608张海菲646882116330 106374050320610果楚惠6462113121360 106374050320611邢锟6681116124387 106374050320612李高昂6273119115369 106374050320613韩雪莹7370125125393 106374050320615李环7059118101348 106374050320617王增华7471103115363 106374050320619于晓娜7672117123388 106374050320621杨龙习655910297323(本名单按学院、专业、考生编号排序)【共 18 页第 9 页】复试学院复试专业考生编号考生姓名初试成绩备注政治理论外国语业务课一业务课二总分005外国语学院045108学科教学(英语)106374050320622张伟丽7071104107352 106374050320625王亦心6863123119373 106374050320627范世航726382101318 106374050320628潘音洁6358114105340 106374050320631刘念766797126366 106374050320633石泽婷5776107117357 106374050320634夏勤576198108324 106374050320639黄妍妍7270119125386 106374050320640蒋卫星626499114339 106374050320643周红梅6360121125369 106374050320644郭莉5669101108334 106374050320647曹小进6366112110351 106374050320650廖镜媛6672100124362 106374050320651肖金梅6165111109346 106374050320652冉韵5759103101320 106374050320654贺子珉7664110116366 106374050320655何东7672115112375 106374050320661岳良军5767106102332 106374050320662杨露577886115336 106374050320664王铭6570104117356 106374050320667侯秋嫣6061116110347 106374050320670郑涵予636992106330 106374050320671李雪晴7470103110357(本名单按学院、专业、考生编号排序)【共 18 页第 10 页】复试学院复试专业考生编号考生姓名初试成绩备注政治理论外国语业务课一业务课二总分005外国语学院045108学科教学(英语)106374050320677谢璐霜556984113321106374050320679王艳婷636210891324106374050320681吴娴635211593323106374050320683薛燕妮6065109110344106374050320685徐海玲7581107114377106374050320686赖丽6462102109337 050201英语语言文学106374050520693郭玉莞6283114114373106374050520695吴悦6582117113377106374050520696雷超668298109355106374050520697赵琳6771100113351106374050520701杨亚双7390101108372106374050520703杨沁6366108117354106374050520704张亚妮6980103119371106374050520708靳晓艳7782112113384106374050520711张力8087113113393106374050520713曾欣6584105109363106374050520716崔琴6584124108381 050211外国语言学及应用语言学106374050530722任江婷6565109115354106374050530723李茁6382115107367106374050530724龚莎7495123117409106374050530725谢雨霏6195106114376106374050530728薛云717910797354106374050530733马雪7194102107374(本名单按学院、专业、考生编号排序)【共 18 页第 11 页】复试学院复试专业考生编号考生姓名初试成绩备注政治理论外国语业务课一业务课二总分005外国语学院050211外国语言学及应用语言学106374050530737汪荟瑾6883107109367106374050530738王理7176105106358106374050530739邓小丽7679106105366106374050530742李菁菁5792101111361106374050530743韩笑6877116121382106374050530744龙春6784113108372106374050530747张春梅6880123112383106374050530748张紫薇786911096353106374050530750刘通7385112107377106374050530751韩宗良6576101118360106374050530752商大卫7580105108368106374050530755裴钰东6266117110355106374050530758李秋萍7392117109391106374050530760张敏7284105113374106374050530761陈军757897111361106374050530764胡江南688593114360 055101英语笔译106374050540774林路易6767112111357106374050540778高林炎7773113126389106374050540780李矫7360133121387106374050540781王楠686798123356 055102英语口译106374050550797刘沁涵6662108121357106374050550799程桂萍7469121128392006历史与社会学院045109学科教学(历史)106374060330807刘炽焱5454113121342(本名单按学院、专业、考生编号排序)【共 18 页第 12 页】复试学院复试专业考生编号考生姓名初试成绩备注政治理论外国语业务课一业务课二总分006历史与社会学院045109学科教学(历史)106374060330808王清洁7156110114351106374060330809明菊容6745100116328 060100考古学106374060560812梁有骏7758256391106374060560813马骏6055274389106374060560814高芮6946245360106374060560818张慧妮6660246372 0602L3专门史106374060570820王飞5343250346106374060570821刘信心6343247353 0602L4中国古代史106374060580829代维6647245358106374060580830唐芙蓉5842226326106374060580831余程兰6749237353106374060580832崔梦泽6944248361106374060580833陈昆7256247375106374060580834王华东7343249365106374060580838谭杰妮5548239342 0602L5中国近现代史106374060590842秦亚勤6351243357106374060590846贺承祥6143240344106374060590847黎飞6955241365106374060590856何雨洋7352239364106374060590857刘德帅7245246363106374060590858范修芳5749219325 0603L1世界史106374060600861朱四维5643225324106374060600862敖致钧6343244350(本名单按学院、专业、考生编号排序)【共 18 页第 13 页】复试学院复试专业考生编号考生姓名初试成绩备注政治理论外国语业务课一业务课二总分006历史与社会学院065100文物与博物馆106374060610866陈宏顺5359226338 106374060610869孔维严5846246350 106374060610876郭义强7155240366 106374060610877吕冬梅6545207317 106374060610879刘宇飞6743240350007数学学院040102课程与教学论106374070160881贺毅6145238344106374070160882赵廷廷6649258373106374070160883张晓凤6843208319106374070160887杨涓5844213315 045104学科教学(数学)106374070280890李良平616199124345106374070280896阴叶红6367108128366106374070280897王荀616995123348106374070280900高新德6153115132361106374070280901石冲7052104132358106374070280903段雨鑫6752119115353106374070280905李彦7371108123375106374070280906赵华丽624892119321106374070280907任桐明7055112125362106374070280910徐兴慧6145109119334 070101基础数学106374070620913王燕5053135109347106374070620915韩聪聪604883119310106374070620917王小丽6458102107331106374070620918冯丽容6142108104315(本名单按学院、专业、考生编号排序)【共 18 页第 14 页】复试学院复试专业考生编号考生姓名初试成绩备注政治理论外国语业务课一业务课二总分007数学学院070102计算数学106374070630920王青青7661130128395106374070630922周红豆704282106300106374070630924何静475398109307 070103概率论与数理统计106374070640930李雨6653109115343106374070640931霍梅53459498290106374070640934牛转5341126100320 070104应用数学106374070650936白丹莹585476106294106374070650938张兰5150114117332106374070650940高瑾6759116111353106374070650941张君645478108304106374070650943郜静霞6353130115361106374070650945周超5440105107306106374070650946王娜6551120115351106374070650950李建军5343110134340106374070650951但建军5548113103319 070105运筹学与控制论106374070660956马露6745106113331106374070660957骆玲玉5843118129348106374070660958陈能美645597107323106374070660962杨洋6744132111354106374070660963徐灵6051114118343106374070660965吴海琴6358103102326106374070660966罗静574198102298106374070660967陈荣波5848108114328(本名单按学院、专业、考生编号排序)【共 18 页第 15 页】复试学院复试专业考生编号考生姓名初试成绩备注政治理论外国语业务课一业务课二总分007数学学院070105运筹学与控制论106374070660968严海英5459117119349106374070660970王芬625810399322106374070660971李科科624610894310106374070660972吴素花5746105104312106374070660975马琳晶6353105113334106374070660976付裕6163113130367106374070660978程鹏695297106324 0701Z1数学教育学106374070670979杜琼5546103103307106374070670980刘涓5842116118334106374070670981张雪婷5748103106314106374070670982周敏6445110108327106374070670984张苏664310194304106374070670985尹婷婷606194117332106374070670986骆群玲57479398295106374070670987修颖56439599293106374070670988何翼6552103102322 071101系统理论106374070860990曾冬玲5055113146364106374070860991苟燕6246129143380008地理与旅游学院045110学科教学(地理)106374080340993杨英6153109119342106374080340997邬亚利6149104116330106374080341002唐雪玲7355113102343106374080341003梁洁755811083326 070501自然地理学106374080761005李进林6755124120366(本名单按学院、专业、考生编号排序)【共 18 页第 16 页】复试学院复试专业考生编号考生姓名初试成绩备注政治理论外国语业务课一业务课二总分008地理与旅游学院070501自然地理学106374080761006马雪莹6154138118371 070502人文地理学106374080771010王全康8456113129382106374080771011龚丽娟514111584291106374080771012谢白玉5557135116363106374080771014王祎5960148131398106374080771015周莹6757136131391 070503地图学与地理信息系统106374080781016全胜7040115128353 120203旅游管理106374081001020田学芝736482135354 125400旅游管理106374081021023向娟11945164106374081021028陈彬彬11548163009生命科学学院045107学科教学(生物)106374090311034张巧娜5851109140358106374090311035匡军624298138340106374090311039盘岚6653100142361106374090311041杜超5944108141352106374090311042陈炜6549106125345 071001植物学106374090801044陈德奎5441125103323 071300生态学106374090881050殷西林7040138140388106374090881051余经裕6841128110347010物理与电子工程学院045105学科教学(物理)106374100291052向阳645096112322106374100291053唐瑶564688133323106374100291054王正平514892125316106374100291055郎金萍6670113122371 070205凝聚态物理106374100691063陈小雨6753128141389(本名单按学院、专业、考生编号排序)【共 18 页第 17 页】复试学院复试专业考生编号考生姓名初试成绩备注政治理论外国语业务课一业务课二总分010物理与电子工程学院070205凝聚态物理106374100691064陈露574890115310011化学学院0702Z1纳米物理与化学106374110721078向辉535213093328106374110721079陈虎604613457297106374110721080刘颖昕6547130125367 0702Z4光电材料化学106374110751082唐秋玲694312480316 0710Z1化学生物学106374110851084虞哲6161140105367012经济与管理学院020101政治经济学106374120031090杨琴635989120331020202区域经济学106374120041093肖景橙637491135363106374120041096敬晓玲655095126336020204金融学106374120051104钟寻6251112135360125100工商管理106374121011124石张生11456170106374121011138谢建平11051161106374121011155刘畅12562187106374121011158杨剑雄11653169106374121011164刘颖11241153享受加分项目106374121011165曾祥平12456180106374121011167刘艺洁12553178106374121011179张翠12049169106374121011182刘妍13352185106374121011187苏建宇12750177106374121011225李琼12865193106374121011226冉光明10859167106374121011229王程10951160(本名单按学院、专业、考生编号排序)【共 18 页第 18 页】复试学院复试专业考生编号考生姓名初试成绩备注政治理论外国语业务课一业务课二总分012经济与管理学院125100工商管理106374121011237单思远10856164106374121011243刘军9770167013美术学院1304Z1美术史与理论研究106374131031270任仲佩6343120134360 1304Z2绘画106374131041274侯林林5535128125343106374131041281李玥6239120145366106374131041284邱晶晶4737121134339106374131041285王悦5234103140329106374131041286邱璐璐5342124136355106374131041287张鑫6542136129372106374131041294李晶晶5139123134347 1304Z3数字艺术106374131051309龙程骁4935114134332 1304Z4公共艺术106374131061314刘诗芮5854122139373106374131061321黄贵婷6451122139376014音乐学院0401Z1音乐教育学106374140231332朱俊怡5650223329 017职教师资学院040108职业技术教育学106374170211387严云6243269374106374170211388吴霞6043219322。
中国矿业大学(北京)管理学院2017年硕士研究生招生第一志愿统考生复试名单学术型硕士生(复试分数线:国家线)序号姓名考生编号报考专业政治理论英语一数学三专业课总分1 关琦凡114137*********金融学6878891403752 李成国114137*********金融学61681251203743 敖咏超114137116300219金融学57591071263494 王雪娇114137*********金融学64611021193465 王雅佳114137116300221金融学6671711343426 李振宇114137116300218金融学6763791303397 李肃114137116300223产业经济学5969991403678 张冉冉114137*********管理科学与工程68721281354039 陈伟楠114137*********管理科学与工程647310313037010 肖懿轩114137*********管理科学与工程626510013636311 贾宇婷114137116300214管理科学与工程526711412736012 历颖超114137*********管理科学与工程66669512535213 田文杰114137131401588管理科学与工程647110111635214 刘丽君114137*********管理科学与工程604912211935015 孙兴恒114137412502963管理科学与工程656010711835016 郭锦华114137415403208管理科学与工程546511211534617 祁国强114137153202014管理科学与工程606210112034318 王姿114137211702110管理科学与工程614910712534219 刘玲竹114137116300225金融工程与风险管理545911913536720 董雪114137*********金融工程与风险管理536410813836321 武秀琴114137*********会计学617211714739722 张泽瑞114137116300228会计学705612514439523 张聪114137*********会计学647211612437624 余洁114137131801652会计学616310514237125 孔书敏114137*********会计学586510614137026 韩孟雨114137*********会计学71699713036727 陈超群114137116300234会计学555911812936128 刘卫敏114137*********会计学69639013435629 李安琪114137116300231会计学66599313735530 任崇宝114137371302768会计学67589613135231 詹娟114137116300227会计学58787514035132 滕娇114137*********会计学625710312334533 张娟114137141901939会计学55689812234334 牟翔羽114137*********企业管理587712113238835 潘莹雪114137371402779企业管理706612213038836 魏素静114137*********企业管理67639613536137 戎喜珍114137*********企业管理57639512834338 方菲114137131401589技术经济及管理6165108131365全日制专业型硕士生(复试分数线:国家线)序号姓名考生编号报考专业政治理论英语二数学二或三管理概论总分1 柳霞114137141501911工业工程57801311173852 李元栋114137116300612工业工程57671211373823 郭衍亮114137*********工业工程66731171243804 赵婷婷114137411502935工业工程60661271223755 金传义114137*********工业工程58731191203706 王震114137*********工业工程61641181243677 娄慧珂114137*********工业工程6167961353598 彭胜男114137431803299工业工程6379911193529 尉蔚114137116300614工业工程48677814233510 乔丹114137232102230工业工程52779411033311 李烁114137*********工业工程565810510732612 熊烨昕114137*********工业工程51638611331313 冷威114137*********工业工程48588811931314 平卫周114137*********工业工程55568111931115 任可鑫114137116300611工业工程57687110930516 陶硕114137232202234工业工程56536610528017 周凤影114137116300630项目管理666910011535018 魏好亭114137*********物流工程57799413436419 张凯馨114137*********物流工程55768913635620 刘锐群114137414803181物流工程586010612735121 李博姿114137*********物流工程556710211834222 张丛丛114137131701634物流工程55679912034123 赵美琳114137*********物流工程55651069932524 考晓璇114137*********物流工程61656913032525 刘斯奇114137116300634物流工程46448213530726 孙晓娜114137*********物流工程45576612128927 屈国鹏114137*********物流工程566257112287。
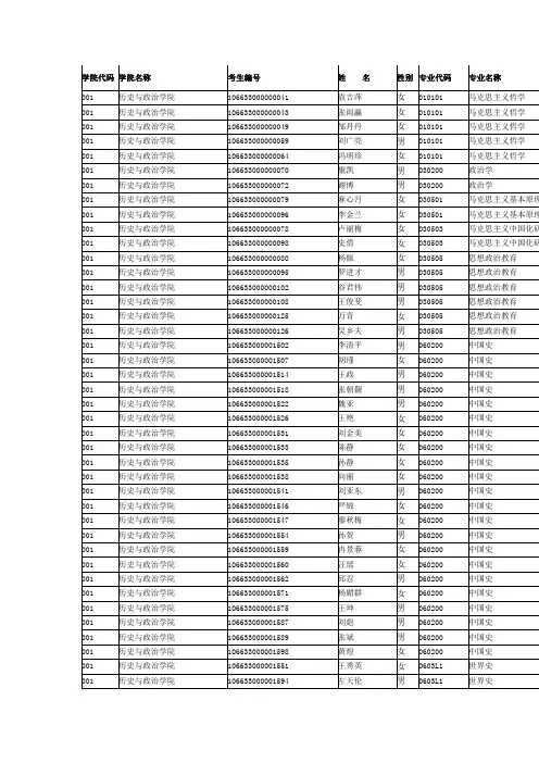
姓名考生编号复试学院复试专业学位类别刘冰102240082802008水利与土木工程学院农业水土工程学术何泽102240082802052水利与土木工程学院农业水土工程学术滕怀淏102240082802050水利与土木工程学院农业水土工程学术吕航102240082802009水利与土木工程学院农业水土工程学术刘明轩102240082802049水利与土木工程学院农业水土工程学术贾朝阳102240082802024水利与土木工程学院农业水土工程学术杨丹102240082802022水利与土木工程学院农业水土工程学术王凯102240082802036水利与土木工程学院农业水土工程学术卜鑫宇102240082802054水利与土木工程学院农业水土工程学术何康旭102240082802007水利与土木工程学院农业水土工程学术江鑫102240082802026水利与土木工程学院农业水土工程学术陈颖珊102240082802004水利与土木工程学院农业水土工程学术杜思澄102240082802056水利与土木工程学院农业水土工程学术金永旭102240082802061水利与土木工程学院农业水土工程学术李璐102240082802058水利与土木工程学院农业水土工程学术吕博102240082802003水利与土木工程学院农业水土工程学术李济桢102240082802048水利与土木工程学院农业水土工程学术孙天宇102240082802053水利与土木工程学院农业水土工程学术靳笈102240081504001水利与土木工程学院水利水电工程学术周家宝102240081504002水利与土木工程学院水利水电工程学术李宇昂102240081504010水利与土木工程学院水利水电工程学术邱奇隆102240081504004水利与土木工程学院水利水电工程学术聂凡102240090322028资源与环境学院环境保护与修复学术郑瑶琪102240090322035资源与环境学院环境保护与修复学术蒋继爽102240090322011资源与环境学院环境保护与修复学术邵琦102240090322019资源与环境学院环境保护与修复学术聂亭元102240090322024资源与环境学院环境保护与修复学术安宁102240090322041资源与环境学院环境保护与修复学术李子旭102240090322023资源与环境学院环境保护与修复学术初玉欣102240090322003资源与环境学院环境保护与修复学术窦泽雨102240090322017资源与环境学院环境保护与修复学术崔耘赫102240090322029资源与环境学院环境保护与修复学术张秀博102240090322032资源与环境学院环境保护与修复学术王思琪102240090322036资源与环境学院环境保护与修复学术孟庆尧102240090322027资源与环境学院环境保护与修复学术张钰莹102240090322040资源与环境学院环境保护与修复学术马超然102240090322006资源与环境学院环境保护与修复学术贾晓晨102240090322038资源与环境学院环境保护与修复学术赵莹102240090322005资源与环境学院环境保护与修复学术吴志欢102240090322039资源与环境学院环境保护与修复学术毕馥漩102240090322034资源与环境学院环境保护与修复学术张家兴102240090322016资源与环境学院环境保护与修复学术姜华庭102240090322025资源与环境学院环境保护与修复学术房永萍102240090322014资源与环境学院环境保护与修复学术王诗琪102240090322001资源与环境学院环境保护与修复学术刘生博102240090322007资源与环境学院环境保护与修复学术张钧102240090322026资源与环境学院环境保护与修复学术张帅坤102240090323004资源与环境学院农业生态与气候变化学术于志鹏102240090323005资源与环境学院农业生态与气候变化学术张天任102240090323008资源与环境学院农业生态与气候变化学术王文博102240090323011资源与环境学院农业生态与气候变化学术张海军102240090323013资源与环境学院农业生态与气候变化学术李云飞102240090323014资源与环境学院农业生态与气候变化学术何婉莹102240090301010资源与环境学院土壤学学术赵硕102240090301013资源与环境学院土壤学学术于菲102240090301009资源与环境学院土壤学学术尹滕娇102240090301018资源与环境学院土壤学学术许连周102240090301011资源与环境学院土壤学学术包文彬102240090301021资源与环境学院土壤学学术郭凯文102240090301008资源与环境学院土壤学学术王琪102240090301004资源与环境学院土壤学学术石艳香102240090301022资源与环境学院土壤学学术王璐102240090301016资源与环境学院土壤学学术蒋娜娜102240090301024资源与环境学院土壤学学术成泽禹102240090301006资源与环境学院土壤学学术齐佳睿102240090301023资源与环境学院土壤学学术李航102240090302005资源与环境学院植物营养学学术刘丽红102240090302012资源与环境学院植物营养学学术董强102240090302002资源与环境学院植物营养学学术于士源102240090302010资源与环境学院植物营养学学术张辰102240090302024资源与环境学院植物营养学学术孟静柔102240090302016资源与环境学院植物营养学学术汤金融102240090302026资源与环境学院植物营养学学术何义利102240090302003资源与环境学院植物营养学学术黄子鹏102240090302006资源与环境学院植物营养学学术霍纪平102240090302025资源与环境学院植物营养学学术陈志豪102240090302017资源与环境学院植物营养学学术车俊杰102240090302001资源与环境学院植物营养学学术管庆凯102240090324018资源与环境学院资源环境微生物学学术孔令辉102240090324002资源与环境学院资源环境微生物学学术杨睿102240090324015资源与环境学院资源环境微生物学学术马添102240090324004资源与环境学院资源环境微生物学学术武博文102240090324010资源与环境学院资源环境微生物学学术赵鑫102240090324017资源与环境学院资源环境微生物学学术赵明明102240090324008资源与环境学院资源环境微生物学学术孟祥伟102240090324005资源与环境学院资源环境微生物学学术范志华102240090324011资源与环境学院资源环境微生物学学术赵志勇102240090324012资源与环境学院资源环境微生物学学术毕睿忻102240090324014资源与环境学院资源环境微生物学学术张林林102240095132101资源与环境学院资源利用与植物保护专业徐毅铭102240095132097资源与环境学院资源利用与植物保护专业孙綦乐102240095132087资源与环境学院资源利用与植物保护专业韩娜102240095132099资源与环境学院资源利用与植物保护专业刘桐江102240095132094资源与环境学院资源利用与植物保护专业杜德林102240095132019资源与环境学院资源利用与植物保护专业王婧怡102240095132058资源与环境学院资源利用与植物保护专业张飞雪102240095132009资源与环境学院资源利用与植物保护专业马文博102240095132044资源与环境学院资源利用与植物保护专业高月文102240095132052资源与环境学院资源利用与植物保护专业姜柏志102240095132055资源与环境学院资源利用与植物保护专业汤钧茜102240095132045资源与环境学院资源利用与植物保护专业董乐102240095132081资源与环境学院资源利用与植物保护专业霍雨泽102240095132037资源与环境学院资源利用与植物保护专业徐源102240095132075资源与环境学院资源利用与植物保护专业董子源102240095132074资源与环境学院资源利用与植物保护专业孙琦102240095132029资源与环境学院资源利用与植物保护专业韩天依102240095132036资源与环境学院资源利用与植物保护专业李博辉102240095132056资源与环境学院资源利用与植物保护专业白峻宁102240095132053资源与环境学院资源利用与植物保护专业张鑫儒102240095132078资源与环境学院资源利用与植物保护专业宫月102240095132041资源与环境学院资源利用与植物保护专业苏刘燕102240095132049资源与环境学院资源利用与植物保护专业吕鑫宇102240095132039资源与环境学院资源利用与植物保护专业盛文亚102240095132068资源与环境学院资源利用与植物保护专业邵晨阳102240095132007资源与环境学院资源利用与植物保护专业肖锋102240095132084资源与环境学院资源利用与植物保护专业苗雪梅102240095132066资源与环境学院资源利用与植物保护专业郝帅102240095132048资源与环境学院资源利用与植物保护专业柴泽艺102240095132003资源与环境学院资源利用与植物保护专业孟涵102240095132022资源与环境学院资源利用与植物保护专业刘璐102240095132028资源与环境学院资源利用与植物保护专业杨文昊102240095132012资源与环境学院资源利用与植物保护专业刘贺春102240095132082资源与环境学院资源利用与植物保护专业马瑛骏102240095132011资源与环境学院资源利用与植物保护专业王旭102240095132054资源与环境学院资源利用与植物保护专业张祎102240095132006资源与环境学院资源利用与植物保护专业徐梓淞102240095132038资源与环境学院资源利用与植物保护专业管权102240095132085资源与环境学院资源利用与植物保护专业周思文102240095132079资源与环境学院资源利用与植物保护专业曹宁102240095132034资源与环境学院资源利用与植物保护专业谭炜102240095132073资源与环境学院资源利用与植物保护专业陈瑞峰102240095132033资源与环境学院资源利用与植物保护专业段庆龙102240095132015资源与环境学院资源利用与植物保护专业许冰102240095132063资源与环境学院资源利用与植物保护专业李尚102240095132008资源与环境学院资源利用与植物保护专业杨程泽102240095132027资源与环境学院资源利用与植物保护专业宋佳琳102240095132002资源与环境学院资源利用与植物保护专业刁宇彤102240095132061资源与环境学院资源利用与植物保护专业李清婉102240095132076资源与环境学院资源利用与植物保护专业张震102240095132016资源与环境学院资源利用与植物保护专业韩宇南102240095132046资源与环境学院资源利用与植物保护专业曲思远102240095132031资源与环境学院资源利用与植物保护专业王月超102240090403007农学院农药学学术郑生威102240090403006农学院农药学学术宋宇宁102240090403005农学院农药学学术邓丰志102240090403010农学院农药学学术张琪102240090403004农学院农药学学术李颖102240090403002农学院农药学学术常新悦102240090403011农学院农药学学术李福鑫102240090403003农学院农药学学术郑瑞明102240090403008农学院农药学学术张春雨102240090402007农学院农业昆虫与害虫防治学术色晨晨102240090402004农学院农业昆虫与害虫防治学术周文静102240090402011农学院农业昆虫与害虫防治学术霍东博102240090402002农学院农业昆虫与害虫防治学术王紫君102240090402009农学院农业昆虫与害虫防治学术张宏钰102240090402010农学院农业昆虫与害虫防治学术庞树鑫102240095131136农学院农艺与种业专业李思博102240095131144农学院农艺与种业专业阿磊102240095131166农学院农艺与种业专业赵宏强102240095131128农学院农艺与种业专业刘志远102240095131148农学院农艺与种业专业袁悦102240095131138农学院农艺与种业专业张津镈102240095131146农学院农艺与种业专业林佳玉102240095131145农学院农艺与种业专业穆文清102240095131123农学院农艺与种业专业赵佳鹏102240095131073农学院农艺与种业专业郝天乐102240095131125农学院农艺与种业专业张家瑞102240095131092农学院农艺与种业专业刘畅102240095131002农学院农艺与种业专业于存浩102240095131121农学院农艺与种业专业郭雪田102240095131033农学院农艺与种业专业汲薇102240095131021农学院农艺与种业专业李昕102240095131103农学院农艺与种业专业宋翔雨102240095131055农学院农艺与种业专业金新月102240095131101农学院农艺与种业专业柳添译102240095131114农学院农艺与种业专业石忆102240095131072农学院农艺与种业专业赵萌102240095131112农学院农艺与种业专业罗永绪102240095131089农学院农艺与种业专业关博文102240095131016农学院农艺与种业专业孙亚男102240095131029农学院农艺与种业专业孙铭江102240095131097农学院农艺与种业专业陈美红102240095131042农学院农艺与种业专业杨涛102240095131083农学院农艺与种业专业关方硕102240095131028农学院农艺与种业专业王宇红102240095131041农学院农艺与种业专业王勇102240095131046农学院农艺与种业专业徐英哲102240095131011农学院农艺与种业专业张翔超102240095131004农学院农艺与种业专业刘鑫102240095131120农学院农艺与种业专业李浩然102240095131086农学院农艺与种业专业赵佳楠102240095131098农学院农艺与种业专业刘志鹏102240095131026农学院农艺与种业专业任佰征102240095131048农学院农艺与种业专业王树峰102240095131001农学院农艺与种业专业姚金双102240095131105农学院农艺与种业专业李昊102240095131018农学院农艺与种业专业吴锐102240095131066农学院农艺与种业专业滕达102240095131102农学院农艺与种业专业许美荣102240095131111农学院农艺与种业专业晏晴102240095131118农学院农艺与种业专业韩海成102240095131080农学院农艺与种业专业张一超102240095131017农学院农艺与种业专业孙雨田102240095131036农学院农艺与种业专业石红霞102240095131079农学院农艺与种业专业周锦涛102240095131124农学院农艺与种业专业张哲102240095131013农学院农艺与种业专业冯广慧102240095131005农学院农艺与种业专业姜君学102240095131023农学院农艺与种业专业吴博102240095131069农学院农艺与种业专业王子叶102240095131007农学院农艺与种业专业段宇轩102240095131045农学院农艺与种业专业吴姗姗102240095131027农学院农艺与种业专业范慧明102240095131024农学院农艺与种业专业张惠兰102240095131085农学院农艺与种业专业颜世鑫102240095131093农学院农艺与种业专业李岩涛102240095131053农学院农艺与种业专业李红宇102240095131065农学院农艺与种业专业张宇102240095131117农学院农艺与种业专业孙铭忆102240095131006农学院农艺与种业专业王德明102240095131044农学院农艺与种业专业侯永琴102240095131104农学院农艺与种业专业邢东建102240095131127农学院农艺与种业专业王堡槐102240095131076农学院农艺与种业专业常丹102240095131082农学院农艺与种业专业辛添玉102240095131084农学院农艺与种业专业马浩然102240095131054农学院农艺与种业专业赵敦厚102240095131032农学院农艺与种业专业刘翠巧102240095131087农学院农艺与种业专业郝红妹102240095131106农学院农艺与种业专业郭佩102240095131115农学院农艺与种业专业潘喜鹏102240095131068农学院农艺与种业专业胡倩102240095131119农学院农艺与种业专业杨文鹏102240095131060农学院农艺与种业专业牟召雪102240095131099农学院农艺与种业专业王超102240095131003农学院农艺与种业专业王雪蕊102240095131047农学院农艺与种业专业刘冀102240095131116农学院农艺与种业专业左兆慧102240095131063农学院农艺与种业专业曹志102240095131020农学院农艺与种业专业翟婧宜102240095131015农学院农艺与种业专业杨文静102240095131062农学院农艺与种业专业逯英娇102240095131067农学院农艺与种业专业刘刚102240095131031农学院农艺与种业专业张书瑞102240095131010农学院农艺与种业专业王文龙102240095131019农学院农艺与种业专业王旋102240095131081农学院农艺与种业专业姜雪102240090401009农学院植物病理学学术徐浩然102240090401015农学院植物病理学学术刘野102240090401012农学院植物病理学学术杨松润102240090401008农学院植物病理学学术赵一凡102240090401018农学院植物病理学学术程旭楠102240090401014农学院植物病理学学术韩文博102240090401006农学院植物病理学学术郑闫妍102240090401011农学院植物病理学学术王萌102240095132108农学院资源利用与植物保护专业薛佰岩102240095132118农学院资源利用与植物保护专业张嘉博102240095132110农学院资源利用与植物保护专业陈婧102240095132109农学院资源利用与植物保护专业宋朵朵102240095132119农学院资源利用与植物保护专业秘雨萱102240095132120农学院资源利用与植物保护专业赫晨宇102240090102041农学院作物遗传育种学术孙建强102240090102014农学院作物遗传育种学术李瑞琼102240090102089农学院作物遗传育种学术郭凤彩102240090102007农学院作物遗传育种学术马胜男102240090102013农学院作物遗传育种学术刘佳瑞102240090102025农学院作物遗传育种学术张滨烁102240090102104农学院作物遗传育种学术尚平102240090102010农学院作物遗传育种学术马佳102240090102054农学院作物遗传育种学术史飞飞102240090102096农学院作物遗传育种学术朱晨博102240090102084农学院作物遗传育种学术陈思美102240090102125农学院作物遗传育种学术赵宇晶102240090102072农学院作物遗传育种学术魏茹茹102240090102071农学院作物遗传育种学术朱子坤102240090102105农学院作物遗传育种学术杜邦汉102240090102057农学院作物遗传育种学术王月102240090102021农学院作物遗传育种学术梁绍铭102240090102012农学院作物遗传育种学术孙艳辉102240090102016农学院作物遗传育种学术蒙何102240090102094农学院作物遗传育种学术张清艳102240090102112农学院作物遗传育种学术胡艳丽102240090102062农学院作物遗传育种学术李宁辉102240090102075农学院作物遗传育种学术曹富斌102240090102080农学院作物遗传育种学术王宁102240090102023农学院作物遗传育种学术李冬冬102240090102040农学院作物遗传育种学术裴莹莹102240090102033农学院作物遗传育种学术吴凤娇102240090102035农学院作物遗传育种学术李佳102240090102022农学院作物遗传育种学术李旭102240090102079农学院作物遗传育种学术卢晴102240090102006农学院作物遗传育种学术魏国威102240090102015农学院作物遗传育种学术赵恒星102240090102099农学院作物遗传育种学术王璎琳102240090102032农学院作物遗传育种学术邓小民102240090102059农学院作物遗传育种学术赵洋102240090102061农学院作物遗传育种学术焦妍102240090102100农学院作物遗传育种学术吴雨恒102240090102085农学院作物遗传育种学术王杰102240090102074农学院作物遗传育种学术王伟苹102240090102046农学院作物遗传育种学术宋妍茹102240090102049农学院作物遗传育种学术商靖雯102240090102064农学院作物遗传育种学术付金旭102240090101020农学院作物栽培学与耕作学学术武子豪102240090101018农学院作物栽培学与耕作学学术陶雨朝102240090101016农学院作物栽培学与耕作学学术王琦102240090101012农学院作物栽培学与耕作学学术张鑫辉102240090101011农学院作物栽培学与耕作学学术肖凤声102240090101006农学院作物栽培学与耕作学学术邱鹤102240090101021农学院作物栽培学与耕作学学术卢强102240090101027农学院作物栽培学与耕作学学术刘昌壮102240090101002农学院作物栽培学与耕作学学术梅英文102240090101024农学院作物栽培学与耕作学学术张瀚文102240090101005农学院作物栽培学与耕作学学术王玺越102240090101017农学院作物栽培学与耕作学学术梁全喜102240090101014农学院作物栽培学与耕作学学术刘奕彤102240090101008农学院作物栽培学与耕作学学术杨道诚102240090101019农学院作物栽培学与耕作学学术朱雪天102240090101003农学院作物栽培学与耕作学学术康健伟102240095300012园艺园林学院风景园林专业杨清越102240095300011园艺园林学院风景园林专业邢艺莹102240095300005园艺园林学院风景园林专业文博102240095300004园艺园林学院风景园林专业姜祉卉102240095300009园艺园林学院风景园林专业陈静102240095300016园艺园林学院风景园林专业徐园园102240095300017园艺园林学院风景园林专业张妍102240095300026园艺园林学院风景园林专业马頔102240095300023园艺园林学院风景园林专业杨舒畅102240095300025园艺园林学院风景园林专业汤慧营102240095300024园艺园林学院风景园林专业张鑫屿102240083400006园艺园林学院风景园林学学术张薇102240083400008园艺园林学院风景园林学学术关胜宇102240083400007园艺园林学院风景园林学学术隋佳琦102240083400009园艺园林学院风景园林学学术陈鑫102240083400001园艺园林学院风景园林学学术许思雨102240083400011园艺园林学院风景园林学学术张佳鑫102240083400021园艺园林学院风景园林学学术张楠102240083400020园艺园林学院风景园林学学术徐非凡102240083400014园艺园林学院风景园林学学术熊良兵102240083400024园艺园林学院风景园林学学术杜金雪102240083400015园艺园林学院风景园林学学术董丽丽102240083400022园艺园林学院风景园林学学术孙彩艺102240083400023园艺园林学院风景园林学学术张盼盼102240083400018园艺园林学院风景园林学学术曹伟张102240083400013园艺园林学院风景园林学学术许涵102240083400019园艺园林学院风景园林学学术张凤详102240083400017园艺园林学院风景园林学学术胡雪菲102240083400035园艺园林学院风景园林学学术任璐璐102240083400034园艺园林学院风景园林学学术秦祁102240083400030园艺园林学院风景园林学学术江帆102240083400036园艺园林学院风景园林学学术王美琪102240083400029园艺园林学院风景园林学学术叶书函102240083400037园艺园林学院风景园林学学术王琦102240083400032园艺园林学院风景园林学学术佟明悦102240083400027园艺园林学院风景园林学学术张学通102240083400038园艺园林学院风景园林学学术皇甫敏歌102240083400033园艺园林学院风景园林学学术李德方102240083400026园艺园林学院风景园林学学术才羿102240083400028园艺园林学院风景园林学学术付强102240090201012园艺园林学院果树学学术张航102240090201001园艺园林学院果树学学术张有来102240090201011园艺园林学院果树学学术孙鑫宇102240090201010园艺园林学院果树学学术于静102240095131255园艺园林学院农艺与种业专业杨新雨102240095131212园艺园林学院农艺与种业专业高梓雪102240095131253园艺园林学院农艺与种业专业杨柳102240095131178园艺园林学院农艺与种业专业赵云102240095131219园艺园林学院农艺与种业专业王叶群102240095131229园艺园林学院农艺与种业专业郝雅玢102240095131211园艺园林学院农艺与种业专业杜文婷102240095131214园艺园林学院农艺与种业专业邢玉园102240095131192园艺园林学院农艺与种业专业刘雯婷102240095131188园艺园林学院农艺与种业专业刘泰102240095131243园艺园林学院农艺与种业专业张蕊102240095131248园艺园林学院农艺与种业专业李金凤102240095131250园艺园林学院农艺与种业专业谈银晓102240095131235园艺园林学院农艺与种业专业崔玉玲102240095131238园艺园林学院农艺与种业专业司德立102240095131170园艺园林学院农艺与种业专业杨娜102240095131189园艺园林学院农艺与种业专业张鹏102240095131180园艺园林学院农艺与种业专业田春哲102240095131227园艺园林学院农艺与种业专业孙旭颖102240095131190园艺园林学院农艺与种业专业杨娜102240095131213园艺园林学院农艺与种业专业陈雅妮102240095131224园艺园林学院农艺与种业专业郭潇雨102240095131181园艺园林学院农艺与种业专业成毅102240095131223园艺园林学院农艺与种业专业李天天102240095131233园艺园林学院农艺与种业专业秦开102240095131176园艺园林学院农艺与种业专业于雅楠102240095131185园艺园林学院农艺与种业专业张鲜红102240095131194园艺园林学院农艺与种业专业陈萱102240095131175园艺园林学院农艺与种业专业吴雪梅102240095131193园艺园林学院农艺与种业专业张蕴瑭102240095131206园艺园林学院农艺与种业专业王倩102240095131225园艺园林学院农艺与种业专业薛志佳102240095131232园艺园林学院农艺与种业专业冯思铭102240095131198园艺园林学院农艺与种业专业刘嘉锟102240095131201园艺园林学院农艺与种业专业杨辉娟102240095131222园艺园林学院农艺与种业专业王艳102240095131247园艺园林学院农艺与种业专业韩可新102240095131186园艺园林学院农艺与种业专业方亚鹏102240095131208园艺园林学院农艺与种业专业张雪102240095131237园艺园林学院农艺与种业专业罗德嘉102240095131234园艺园林学院农艺与种业专业耿一凡102240095131241园艺园林学院农艺与种业专业朱晓龙102240095131228园艺园林学院农艺与种业专业关云102240095131177园艺园林学院农艺与种业专业张梦瑶102240095131183园艺园林学院农艺与种业专业李圣龙102240095131171园艺园林学院农艺与种业专业豆志滔102240095131195园艺园林学院农艺与种业专业陈贺楠102240095131174园艺园林学院农艺与种业专业吴金宝102240095131182园艺园林学院农艺与种业专业王一凡102240095131197园艺园林学院农艺与种业专业徐宏志102240095131215园艺园林学院农艺与种业专业王一佳102240095131240园艺园林学院农艺与种业专业李泽霖102240095131245园艺园林学院农艺与种业专业任宇兴102240095131217园艺园林学院农艺与种业专业王清凤102240095131168园艺园林学院农艺与种业专业李世强102240095131191园艺园林学院农艺与种业专业葛文倩102240095131244园艺园林学院农艺与种业专业苗悦琳102240095131199园艺园林学院农艺与种业专业宁方世新102240095131204园艺园林学院农艺与种业专业张臣102240095131184园艺园林学院农艺与种业专业袁艳文102240095131210园艺园林学院农艺与种业专业张一尧102240090202003园艺园林学院蔬菜学学术朱秀青102240090202052园艺园林学院蔬菜学学术马慧丽102240090202037园艺园林学院蔬菜学学术孟令君102240090202061园艺园林学院蔬菜学学术曹玥102240090202049园艺园林学院蔬菜学学术李伟102240090202041园艺园林学院蔬菜学学术陈方圆102240090202014园艺园林学院蔬菜学学术赵海永102240090202068园艺园林学院蔬菜学学术刘晨昕102240090202047园艺园林学院蔬菜学学术王茜茜102240090202001园艺园林学院蔬菜学学术白洋102240090202033园艺园林学院蔬菜学学术王乙丁102240090202046园艺园林学院蔬菜学学术程丽102240090202050园艺园林学院蔬菜学学术李雪102240090202017园艺园林学院蔬菜学学术王可心102240090202045园艺园林学院蔬菜学学术王江珂102240090202034园艺园林学院蔬菜学学术张雪102240090202029园艺园林学院蔬菜学学术蔡明珠102240090202053园艺园林学院蔬菜学学术高东伟102240090202008园艺园林学院蔬菜学学术米琪102240090202060园艺园林学院蔬菜学学术王芮鑫102240090202065园艺园林学院蔬菜学学术闫镜帆102240090202010园艺园林学院蔬菜学学术王奕人102240090202015园艺园林学院蔬菜学学术刘梦102240090202064园艺园林学院蔬菜学学术尹冬102240090202078园艺园林学院蔬菜学学术姜振102240090202057园艺园林学院蔬菜学学术薛小棚102240090202004园艺园林学院蔬菜学学术刘丽佳102240090202066园艺园林学院蔬菜学学术毛俊莹102240090202016园艺园林学院蔬菜学学术刘瑞102240090202043园艺园林学院蔬菜学学术李文颖102240090202070园艺园林学院蔬菜学学术阮娇娇102240090202076园艺园林学院蔬菜学学术刘佳麒102240090202025园艺园林学院蔬菜学学术孟令东102240090900001动物科学技术学院草学学术张明智102240090900002动物科学技术学院草学学术杨劼102240090900005动物科学技术学院草学学术张娜102240090900003动物科学技术学院草学学术许尚102240095133023动物科学技术学院畜牧专业张翼鸣102240095133017动物科学技术学院畜牧专业秦小童102240095133008动物科学技术学院畜牧专业王富辰102240095133004动物科学技术学院畜牧专业连丽娜102240095133021动物科学技术学院畜牧专业王亮102240095133007动物科学技术学院畜牧专业舒玉福102240095133005动物科学技术学院畜牧专业卢涵102240095133006动物科学技术学院畜牧专业徐翡102240095133018动物科学技术学院畜牧专业成铮102240095133002动物科学技术学院畜牧专业李莹102240095133010动物科学技术学院畜牧专业张鑫102240095133019动物科学技术学院畜牧专业李刚102240095133012动物科学技术学院畜牧专业王梓航102240095133016动物科学技术学院畜牧专业康铭轩102240095133001动物科学技术学院畜牧专业。
105000001372677钱勤建全日制机械工程学院080201机械制造及其自动化先进制造工艺与设备606885123336 105000001374837张航全日制机械工程学院080201机械制造及其自动化先进制造工艺与设备64518997301 105000001371644王顺全日制机械工程学院080201机械制造及其自动化激光绿色制造技术及装备765361113303 105000001372631徐一帆全日制机械工程学院080201机械制造及其自动化激光绿色制造技术及装备664468121299 105000001372383程源全日制机械工程学院080202机械电子工程嵌入式系统与智能控制60618198300 105000001372449周洋全日制机械工程学院080202机械电子工程机器人控制技术665686112320 105000001372765杨雄全日制机械工程学院080202机械电子工程机器人控制技术675568128318 105000001370336汪东莞全日制机械工程学院080202机械电子工程机器人控制技术686570123326 105000001372170张旭炜全日制机械工程学院080203机械设计及理论机器人技术704465113292 105000001373185张宇豪全日制机械工程学院080203机械设计及理论机器人技术715778131337 105000001371507黄得龙全日制机械工程学院080203机械设计及理论机器视觉及图像处理技术725162102287 105000001373794徐诗奕全日制机械工程学院080402测试计量技术及仪器可靠性与智能质量检测技术695958113299 105000001374441屈善帮全日制机械工程学院085400电子信息仪器仪表工程685865102293 105000001372792张鑫全日制机械工程学院085400电子信息仪器仪表工程68646789288 105000001373398李威文全日制机械工程学院085400电子信息仪器仪表工程656284113324 105000001371966唐少康全日制机械工程学院085400电子信息仪器仪表工程7059105127361 105000001372337刘嘉程全日制机械工程学院085400电子信息仪器仪表工程675962111299 105000001371522施海全日制机械工程学院085400电子信息仪器仪表工程706159105295 105000001372760张艺全日制机械工程学院085400电子信息仪器仪表工程696885140362 105000001371508武丽丽全日制机械工程学院085400电子信息仪器仪表工程586074132324 105000001370233李琴锋全日制机械工程学院085500机械现代制造技术及装备726392133360 105000001373901车沈炀全日制机械工程学院085500机械现代制造技术及装备576589122333 105000001374717程苏华全日制机械工程学院085500机械现代制造技术及装备5758105118338 105000001374535王建全日制机械工程学院085500机械现代制造技术及装备66496996280 105000001374539李涛全日制机械工程学院085500机械现代制造技术及装备635175109298 105000001373943徐哲全日制机械工程学院085500机械现代制造技术及装备725080129331 105000001373948钟康生全日制机械工程学院085500机械现代制造技术及装备675567120309 105000001370334周明成全日制机械工程学院085500机械现代制造技术及装备695678104307 105000001370823吴凯全日制机械工程学院085500机械现代制造技术及装备64595996278 105000001374556廖龙祥全日制机械工程学院085500机械现代制造技术及装备594480130313 105000001374598匡文祥全日制机械工程学院085500机械现代制造技术及装备746676114330 105000001370829戴彬全日制机械工程学院085500机械现代制造技术及装备664771103287 105000001370699梁恩康全日制机械工程学院085500机械现代制造技术及装备656175111312 105000001370700邵长松全日制机械工程学院085500机械现代制造技术及装备6547104130346 105000001374902刘学鹏全日制机械工程学院085500机械现代制造技术及装备64548191290 105000001375013刘春利全日制机械工程学院085500机械现代制造技术及装备644893115320 105000001374641连红阳全日制机械工程学院085500机械现代制造技术及装备665280108306 105000001374690孙记委全日制机械工程学院085500机械现代制造技术及装备633972129303 105000001374926辛军炜全日制机械工程学院085500机械现代制造技术及装备715392142358 105000001374519苏超全全日制机械工程学院085500机械现代制造技术及装备63746598300 105000001373814李梦雨全日制机械工程学院085500机械现代制造技术及装备585981118316 105000001371499方朝阳全日制机械工程学院085500机械现代制造技术及装备656175105306 105000001372513杨铭全全日制机械工程学院085500机械现代制造技术及装备538372137345 105000001372514柯子鹏全日制机械工程学院085500机械现代制造技术及装备645975103301 105000001373144王珂全日制机械工程学院085500机械现代制造技术及装备574073115285 105000001372683柳柏杨全日制机械工程学院085500机械现代制造技术及装备674072102281 105000001372918吴迪全日制机械工程学院085500机械现代制造技术及装备61557973268 105000001373388马雷全日制机械工程学院085500机械现代制造技术及装备715476111312 105000001373442孙博全日制机械工程学院085500机械现代制造技术及装备696285104320105000001373199王熊锦全日制机械工程学院085500机械现代制造技术及装备566156117290 105000001372479陆浩全日制机械工程学院085500机械现代制造技术及装备686793138366 105000001371072游淞清全日制机械工程学院085500机械现代制造技术及装备634680129318 105000001373495李洪山全日制机械工程学院085500机械现代制造技术及装备654857113283 105000001372448蔡凯翼全日制机械工程学院085500机械现代制造技术及装备635257118290 105000001373197陈耀宇全日制机械工程学院085500机械现代制造技术及装备60546397274 105000001371363徐志强全日制机械工程学院085500机械现代制造技术及装备685474115311 105000001372938周子杨全日制机械工程学院085500机械现代制造技术及装备663973105283 105000001373450陈爽全日制机械工程学院085500机械现代制造技术及装备6341101110315 105000001374958石程全日制机械工程学院085500机械现代制造技术及装备726177113323 105000001370512王思宇全日制机械工程学院085500机械现代制造技术及装备644183102290 105000001370531程雄昊全日制机械工程学院085500机械现代制造技术及装备754796127345 105000001373655周中旺全日制机械工程学院085500机械现代制造技术及装备7165117133386 105000001370283张润华全日制机械工程学院085500机械现代制造技术及装备745593109331 105000001370284周文龙全日制机械工程学院085500机械现代制造技术及装备636275100300 105000001373567陈文重全日制机械工程学院085500机械现代制造技术及装备745364122313 105000001373555杨力全日制机械工程学院085500机械现代制造技术及装备564979112296 105000001373581刘鸣全日制机械工程学院085500机械现代制造技术及装备606560117302 105000001373836卢周成全日制机械工程学院085500机械现代制造技术及装备624473112291 105000001374797童火明全日制机械工程学院085500机械现代制造技术及装备6365112124364 105000001374743张洪磊全日制机械工程学院085500机械现代制造技术及装备714883116318 105000001374789邓恩喜全日制机械工程学院085500机械现代制造技术及装备615772114304 105000001374814刘松昀全日制机械工程学院085500机械现代制造技术及装备60588981288 105000001374829陶佳锋全日制机械工程学院085500机械现代制造技术及装备6641118117342 105000001373962孔维畅全日制机械工程学院085500机械现代制造技术及装备654859126298 105000001374100熊鹏全日制机械工程学院085500机械现代制造技术及装备644565107281 105000001370172陈全全日制机械工程学院085500机械现代制造技术及装备6459107130360 105000001370178陈文波全日制机械工程学院085500机械现代制造技术及装备597179115324 105000001370575伍楚奇全日制机械工程学院085500机械现代制造技术及装备625769121309 105000001373767汤迎港全日制机械工程学院085500机械现代制造技术及装备605979127325 105000001370414周嘉政全日制机械工程学院085500机械现代制造技术及装备677384109333 105000001374055丁鹏飞全日制机械工程学院085500机械机械电子工程624473110289 105000001370688王帆全日制机械工程学院085500机械机械电子工程695071118308 105000001370227魏良朋全日制机械工程学院085500机械机械电子工程70716274277 105000001370827靳华洋全日制机械工程学院085500机械机械电子工程7353115135376 105000001370548黎宇辉全日制机械工程学院085500机械机械电子工程697793121360 105000001370547文棠根全日制机械工程学院085500机械机械电子工程66446892270 105000001374693高伟周全日制机械工程学院085500机械机械电子工程637269114318 105000001374687郭星全日制机械工程学院085500机械机械电子工程585278119307 105000001370810薛杭全日制机械工程学院085500机械机械电子工程635283123321 105000001374677黑晓涛全日制机械工程学院085500机械机械电子工程564672117291 105000001372259张世涛全日制机械工程学院085500机械机械电子工程617573122331 105000001371248杨博全日制机械工程学院085500机械机械电子工程584878104288 105000001372626肖玉华全日制机械工程学院085500机械机械电子工程58726587282 105000001372825徐云飞全日制机械工程学院085500机械机械电子工程61316595252士兵计划105000001372047李辉全日制机械工程学院085500机械机械电子工程69589791315 105000001373446张文敏全日制机械工程学院085500机械机械电子工程65478884284 105000001372435刘可欣全日制机械工程学院085500机械机械电子工程665488130338 105000001371488陈宏伟全日制机械工程学院085500机械机械电子工程706665123324105000001373121罗荣浩全日制机械工程学院085500机械机械电子工程646387130344 105000001371614胡聪全日制机械工程学院085500机械机械电子工程65606898291 105000001371763刘伟恒全日制机械工程学院085500机械机械电子工程697586126356 105000001373425李京全日制机械工程学院085500机械机械电子工程656064119308 105000001370970王全全日制机械工程学院085500机械机械电子工程554085116296 105000001373055吴炎炎全日制机械工程学院085500机械机械电子工程666167120314 105000001371742吴春林全日制机械工程学院085500机械机械电子工程645967123313 105000001371937方俊全日制机械工程学院085500机械机械电子工程625773120312 105000001371064金聪全日制机械工程学院085500机械机械电子工程594279127307 105000001371820梁飞全日制机械工程学院085500机械机械电子工程606669121316 105000001371027成楷全日制机械工程学院085500机械机械电子工程69737986307 105000001372242徐皓全日制机械工程学院085500机械机械电子工程5651112107326 105000001371374李天一全日制机械工程学院085500机械机械电子工程756969116329 105000001371567陈芷君全日制机械工程学院085500机械机械电子工程525574102283 105000001370494袁宇涛全日制机械工程学院085500机械机械电子工程573869115279 105000001370316廖建飞全日制机械工程学院085500机械机械电子工程625175123311 105000001373553李博全日制机械工程学院085500机械机械电子工程664266100274 105000001374106尤运晗全日制机械工程学院085500机械机械电子工程596872106305 105000001374988金鹏全日制机械工程学院085500机械机械电子工程70608875293 105000001370161丁家昊全日制机械工程学院085500机械机械电子工程63558179278 105000001370153杨震全日制机械工程学院085500机械机械电子工程7161104138374 105000001370156袁超哲全日制机械工程学院085500机械机械电子工程604376109288 105000001373746黄嘉骏全日制机械工程学院085500机械机械电子工程57428284265 105000001370835苏丽缇全日制机械工程学院085500机械机械电子工程67427489272 105000001370591马虎全日制机械工程学院085500机械机械电子工程654390130328 105000001373786景嘉宝全日制机械工程学院085500机械机械电子工程624880113303 105000001374643丰文举全日制机械工程学院085500机械机械设计理论与应用524495128319 105000001370217冯鹏飞全日制机械工程学院085500机械机械设计理论与应用636256100281 105000001371613王冯云全日制机械工程学院085500机械机械设计理论与应用615176103291 105000001372240陈贤伟全日制机械工程学院085500机械机械设计理论与应用56587083267 105000001371319吴熙全日制机械工程学院085500机械机械设计理论与应用687272135347 105000001374602陈永广全日制机械工程学院085500机械工业工程与制造业信息化665171128316 105000001374601季一平全日制机械工程学院085500机械工业工程与制造业信息化585794112321 105000001375035刘荣光全日制机械工程学院085500机械工业工程与制造业信息化605666132314 105000001374683关国崇全日制机械工程学院085500机械工业工程与制造业信息化644266101273 105000001371361刘梦飞全日制机械工程学院085500机械工业工程与制造业信息化616191107320 105000001371537魏鑫全日制机械工程学院085500机械工业工程与制造业信息化6670122116374 105000001371535冯诗健全日制机械工程学院085500机械工业工程与制造业信息化70567298296 105000001372185张凤羽全日制机械工程学院085500机械工业工程与制造业信息化585962108287 105000001371393钞寅康全日制机械工程学院085500机械工业工程与制造业信息化61596491275 105000001372744谈太阳全日制机械工程学院085500机械工业工程与制造业信息化665569136326 105000001371870韩国晨全日制机械工程学院085500机械工业工程与制造业信息化687288137365 105000001373096刘梦源全日制机械工程学院085500机械工业工程与制造业信息化665261134313 105000001372422阮晓松全日制机械工程学院085500机械工业工程与制造业信息化574889114308 105000001372549朱怀志全日制机械工程学院085500机械工业工程与制造业信息化655660117298 105000001374960凌毅全日制机械工程学院085500机械工业工程与制造业信息化686672134340 105000001370450周金城全日制机械工程学院085500机械工业工程与制造业信息化7171108131381 105000001370502沈放全日制机械工程学院085500机械工业工程与制造业信息化576083105305 105000001373600杨轶睿全日制机械工程学院085500机械工业工程与制造业信息化67716090288105000001370583左乾君全日制机械工程学院085500机械现代模具技术63456988265 105000002371401周高逸全日制电气与电子工程学院080801电机与电器永磁电机及其控制625960133314 105000002374984金浩博全日制电气与电子工程学院080802电力系统及其自动化电能质量检测及控制653859127289 105000002374975周畅全日制电气与电子工程学院080802电力系统及其自动化电能质量检测及控制7066101141378 105000002374297于华全日制电气与电子工程学院080802电力系统及其自动化电能质量检测及控制584479113294 105000002370247朱理文全日制电气与电子工程学院080802电力系统及其自动化新能源与分布式发电技术7352118142385 105000002371865祝磊全日制电气与电子工程学院080802电力系统及其自动化新能源与分布式发电技术564778147328 105000002370892汤璐全日制电气与电子工程学院080802电力系统及其自动化新能源与分布式发电技术684863120299 105000002373718邓明辉全日制电气与电子工程学院080802电力系统及其自动化新能源与分布式发电技术684660109283 105000002370603王茹全日制电气与电子工程学院080802电力系统及其自动化智能电网635360119295 105000002372778袁子安全日制电气与电子工程学院080803高电压与绝缘技术高电压与绝缘测试技术706173139343 105000002372206蔡想成全日制电气与电子工程学院080803高电压与绝缘技术高电压与绝缘测试技术575363132305 105000002373660张曼全日制电气与电子工程学院080803高电压与绝缘技术高电压与绝缘测试技术55528092279 105000002370708鲁犇全日制电气与电子工程学院080804电力电子与电力传动电力电子器件研究与仿真615658129304 105000002372112汪和锋全日制电气与电子工程学院080804电力电子与电力传动电力电子器件研究与仿真567172110309 105000002374794陈珩全日制电气与电子工程学院080804电力电子与电力传动电力电子器件研究与仿真505087140327 105000002370559邓杰全日制电气与电子工程学院080804电力电子与电力传动电力电子器件研究与仿真554879140322 105000002373889周意入全日制电气与电子工程学院080804电力电子与电力传动交流电力传动及控制65526089266 105000002370945黎博曦全日制电气与电子工程学院080804电力电子与电力传动嵌入式在电力系统检测中的应用625078120310 105000002373060周子龙全日制电气与电子工程学院080804电力电子与电力传动嵌入式在电力系统检测中的应用604365134302 105000002373959李毅全日制电气与电子工程学院081104模式识别与智能系统图像处理与模式识别67477382269 105000002370804曹清程全日制电气与电子工程学院081104模式识别与智能系统基于机器视觉的检测与控制735458113298 105000002370592罗佳庚全日制电气与电子工程学院085800能源动力电力系统自动化664910360278 105000002374397兰欣全日制电气与电子工程学院085800能源动力电力系统自动化705678100304 105000002374582刘星雨全日制电气与电子工程学院085800能源动力电力系统自动化57577595284 105000002370377武鸿超全日制电气与电子工程学院085800能源动力电力系统自动化675773111308 105000002374244庞恺全日制电气与电子工程学院085800能源动力电力系统自动化637885100326 105000002373708张炎全日制电气与电子工程学院085800能源动力电力系统自动化603910484287 105000002370650谢有焰全日制电气与电子工程学院085800能源动力电力系统自动化665556129306 105000002374908黄钰莹全日制电气与电子工程学院085800能源动力电力系统自动化69516580265 105000002374620尹浩全日制电气与电子工程学院085800能源动力电力系统自动化696180115325 105000002374639付梦晗全日制电气与电子工程学院085800能源动力电力系统自动化655588113321 105000002370604高莹全日制电气与电子工程学院085800能源动力电力系统自动化57547480265 105000002370039孔帅全日制电气与电子工程学院085800能源动力电力系统自动化585990127334 105000002372770刘城全日制电气与电子工程学院085800能源动力电力系统自动化70609469293 105000002372712罗渝林全日制电气与电子工程学院085800能源动力电力系统自动化70668889313 105000002373423邹晨全日制电气与电子工程学院085800能源动力电力系统自动化696369105306 105000002372974何嘉文全日制电气与电子工程学院085800能源动力电力系统自动化76687876298 105000002373314汪震全日制电气与电子工程学院085800能源动力电力系统自动化65606981275 105000002372827周红玉全日制电气与电子工程学院085800能源动力电力系统自动化65638883299 105000002371991杨辰全日制电气与电子工程学院085800能源动力电力系统自动化707599127371 105000002373525陈浏亮全日制电气与电子工程学院085800能源动力电力系统自动化686557125315 105000002372872汪俊延全日制电气与电子工程学院085800能源动力电力系统自动化666175124326 105000002372606程肖达全日制电气与电子工程学院085800能源动力电力系统自动化697085107331 105000002372755聂印全日制电气与电子工程学院085800能源动力电力系统自动化61457895279 105000002372434韩文豪全日制电气与电子工程学院085800能源动力电力系统自动化716489140364 105000002371139徐康全日制电气与电子工程学院085800能源动力电力系统自动化665975104304 105000002371506曹慕雁全日制电气与电子工程学院085800能源动力电力系统自动化585659140313 105000002373371李宜安全日制电气与电子工程学院085800能源动力电力系统自动化605266130308105000002371417万晨曦全日制电气与电子工程学院085800能源动力电力系统自动化65678187300 105000002372195邹杰丞全日制电气与电子工程学院085800能源动力电力系统自动化58548183276 105000002371277陈康全日制电气与电子工程学院085800能源动力电力系统自动化716088106325 105000002370961张驰全日制电气与电子工程学院085800能源动力电力系统自动化7264102100338 105000002373207翟乾宇全日制电气与电子工程学院085800能源动力电力系统自动化687273104317 105000002372814龚偲立全日制电气与电子工程学院085800能源动力电力系统自动化68687686298 105000002372815刘浩东全日制电气与电子工程学院085800能源动力电力系统自动化71498378281 105000002371265詹敏全日制电气与电子工程学院085800能源动力电力系统自动化58667174269 105000002372377黄凯全日制电气与电子工程学院085800能源动力电力系统自动化70557578278 105000002370995姜梓良全日制电气与电子工程学院085800能源动力电力系统自动化62686771268 105000002371209姜奔全日制电气与电子工程学院085800能源动力电力系统自动化634276108289 105000002373287胡志立全日制电气与电子工程学院085800能源动力电力系统自动化656358103289 105000002372605万翔宇全日制电气与电子工程学院085800能源动力电力系统自动化746584112335 105000002371298张博凯全日制电气与电子工程学院085800能源动力电力系统自动化655066102283 105000002372912殷洁全日制电气与电子工程学院085800能源动力电力系统自动化646290101317 105000002370318杨淋全日制电气与电子工程学院085800能源动力电力系统自动化6865121121375 105000002373758陈浩全日制电气与电子工程学院085800能源动力电力系统自动化677380124344 105000002373762严伯伦全日制电气与电子工程学院085800能源动力电力系统自动化644674103287 105000002373760马文阳全日制电气与电子工程学院085800能源动力电力系统自动化68516589273 105000002373766王静怡全日制电气与电子工程学院085800能源动力电力系统自动化706678135349 105000002370896康渡全日制电气与电子工程学院085800能源动力电力系统自动化72757698321 105000002370919张武全日制电气与电子工程学院085800能源动力电力系统自动化614071104276 105000002373679李乾浩全日制电气与电子工程学院085800能源动力电力系统自动化584374102277 105000002373656陈文豪全日制电气与电子工程学院085800能源动力电力系统自动化724210995318 105000002370198罗杰全日制电气与电子工程学院085800能源动力电力系统自动化713787142337 105000002370299丁大霖全日制电气与电子工程学院085800能源动力电力系统自动化7467125129395 105000002370291付远望全日制电气与电子工程学院085800能源动力电力系统自动化677396112348 105000002373543鲍岧全日制电气与电子工程学院085800能源动力电力系统自动化616079110310 105000002373538陈鹏全日制电气与电子工程学院085800能源动力电力系统自动化6446106128344 105000002373569李杨欣全日制电气与电子工程学院085800能源动力电力系统自动化56807497307 105000002373842鲁东林全日制电气与电子工程学院085800能源动力电力系统自动化68578965279 105000002374799潘彬全日制电气与电子工程学院085800能源动力电力系统自动化715993123346 105000002374808商玉锋全日制电气与电子工程学院085800能源动力电力系统自动化66586484272 105000002374746郭泓展全日制电气与电子工程学院085800能源动力电力系统自动化766099137372 105000002374738邹智全日制电气与电子工程学院085800能源动力电力系统自动化703885122315 105000002374025余嘉川全日制电气与电子工程学院085800能源动力电力系统自动化70627557264 105000002374029朱咏生全日制电气与电子工程学院085800能源动力电力系统自动化62429693293 105000002374075邓洲全日制电气与电子工程学院085800能源动力电力系统自动化68559694313 105000002370121胡隽宇全日制电气与电子工程学院085800能源动力电力系统自动化576769131324 105000002374987徐德发全日制电气与电子工程学院085800能源动力电力系统自动化6052111113336 105000002370169张振平全日制电气与电子工程学院085800能源动力电力系统自动化67617786291 105000002370192郑炼全日制电气与电子工程学院085800能源动力电力系统自动化64718692313 105000002370188刘源浩全日制电气与电子工程学院085800能源动力电力系统自动化65518968273 105000002374291郭纯全日制电气与电子工程学院085800能源动力电力系统自动化645559119297 105000002374289徐丰全日制电气与电子工程学院085800能源动力电力系统自动化71489384296 105000002370607罗帅全日制电气与电子工程学院085800能源动力电力系统自动化644662101273105000002375034刘洋全日制电气与电子工程学院085800能源动力高电压与绝缘技术596474108305 105000002371345李晓涵全日制电气与电子工程学院085800能源动力高电压与绝缘技术736480124341 105000002372263李新新全日制电气与电子工程学院085800能源动力高电压与绝缘技术645523100242士兵计划105000002373181李佳霖全日制电气与电子工程学院085800能源动力高电压与绝缘技术694959100277 105000002373505潘风全日制电气与电子工程学院085800能源动力高电压与绝缘技术666211867313 105000002373469王堃全日制电气与电子工程学院085800能源动力高电压与绝缘技术667483123346 105000002372510张哲亮全日制电气与电子工程学院085800能源动力高电压与绝缘技术737678121348 105000002372396王少晋全日制电气与电子工程学院085800能源动力高电压与绝缘技术6250100122334 105000002373006高放全日制电气与电子工程学院085800能源动力高电压与绝缘技术72627064268 105000002371429王歆智全日制电气与电子工程学院085800能源动力高电压与绝缘技术686466112310 105000002371446张闹闹全日制电气与电子工程学院085800能源动力高电压与绝缘技术707094108342 105000002372594刘关平全日制电气与电子工程学院085800能源动力高电压与绝缘技术67707088295 105000002373109龚楚峰全日制电气与电子工程学院085800能源动力高电压与绝缘技术716299125357 105000002374770张致儒全日制电气与电子工程学院085800能源动力高电压与绝缘技术664465119294 105000002370271刘莉全日制电气与电子工程学院085800能源动力高电压与绝缘技术525288122314 105000002374974张恒全日制电气与电子工程学院085800能源动力高电压与绝缘技术70779669312 105000002374117李超群全日制电气与电子工程学院085800能源动力高电压与绝缘技术65586296281 105000002375030高迎飞全日制电气与电子工程学院085800能源动力电力电子技术735173107304 105000002370218马竟全日制电气与电子工程学院085800能源动力电力电子技术64577970270 105000002370042吕兆昊全日制电气与电子工程学院085800能源动力电力电子技术69607895302 105000002372846王子乐全日制电气与电子工程学院085800能源动力电力电子技术525260101265 105000002371185胡凯峰全日制电气与电子工程学院085800能源动力电力电子技术606072104296 105000002371826李豪全日制电气与电子工程学院085800能源动力电力电子技术724889128337 105000002373227鲁栋全日制电气与电子工程学院085800能源动力电力电子技术62549374283 105000002371647周杰全日制电气与电子工程学院085800能源动力电力电子技术635699107325 105000002371910任凡全日制电气与电子工程学院085800能源动力电力电子技术665677115314 105000002372194闵壮全日制电气与电子工程学院085800能源动力电力电子技术67498880284 105000002373458彭宇航全日制电气与电子工程学院085800能源动力电力电子技术656269136332 105000002373153陶陈全日制电气与电子工程学院085800能源动力电力电子技术74719296333 105000002371481黄晴宇全日制电气与电子工程学院085800能源动力电力电子技术685910288317 105000002370950张凤顺全日制电气与电子工程学院085800能源动力电力电子技术62467979266 105000002372378陈鹏全日制电气与电子工程学院085800能源动力电力电子技术566268112298 105000002372012肖辞全日制电气与电子工程学院085800能源动力电力电子技术657086122343 105000002370517龚俊松全日制电气与电子工程学院085800能源动力电力电子技术6747102103319 105000002370522汪小豪全日制电气与电子工程学院085800能源动力电力电子技术664076122304 105000002373585曹文君全日制电气与电子工程学院085800能源动力电力电子技术736788109337 105000002373849杨陆雨全日制电气与电子工程学院085800能源动力电力电子技术64559365277 105000002374992万豪全日制电气与电子工程学院085800能源动力电力电子技术59488186274 105000002370171汪佑文全日制电气与电子工程学院085800能源动力电力电子技术62529094298 105000002374903陈备全日制电气与电子工程学院085800能源动力电力电子技术596170123313 105000002374915张征宇全日制电气与电子工程学院085800能源动力供配电系统及其自动化60608090290 105000002370505张惠雯全日制电气与电子工程学院085800能源动力供配电系统及其自动化687495111348 105000002373642杨文康全日制电气与电子工程学院085800能源动力供配电系统及其自动化586294117331 105000002374801廖浩成全日制电气与电子工程学院085800能源动力供配电系统及其自动化674893116324 105000002370635肖廷奕全日制电气与电子工程学院085800能源动力供配电系统及其自动化637291131357 105000002370087曲信儒全日制电气与电子工程学院085800能源动力分布式发电与微电网控制63518765266。
姓名考生编号报考学院报考专业方向政治邓祥文104305000002334001土木工程学院081400土木工程0166冯帅克104305000001021001土木工程学院081400土木工程0163任显104305000002321001土木工程学院081400土木工程0158张永庆104305000002209001土木工程学院081400土木工程0162刘冲冲104305000002073001土木工程学院081400土木工程0158冀晓璇104305000002049001土木工程学院081400土木工程0160王亚茹104305000002342001土木工程学院081400土木工程0159陈浩恩104305000002057001土木工程学院081400土木工程0154韦立志104305000001011001土木工程学院081400土木工程0164丛祯刚104305000001005001土木工程学院081400土木工程0155徐成104305000002302001土木工程学院081400土木工程0162王菲104305000002303001土木工程学院081400土木工程0166张莹104305000002301001土木工程学院081400土木工程0157姚敬茹104305000002335001土木工程学院081400土木工程0154许家荣104305000001015001土木工程学院081400土木工程0156胡明娜104305000002147001土木工程学院081400土木工程0155宋健104305000002289001土木工程学院081400土木工程0156王永强104305000002290001土木工程学院081400土木工程0162杨勇104305000001085001土木工程学院081400土木工程0164丛珊104305000002291001土木工程学院081400土木工程0159尹安康104305000001047001土木工程学院081400土木工程0167王少泉104305000002060001土木工程学院081400土木工程0559张乐104305000002320001土木工程学院081400土木工程0554孙川104305000001013001土木工程学院081400土木工程0156王囡囡104305000001049001土木工程学院081400土木工程0146陈逸飞104305000002332001土木工程学院081400土木工程0158赵昕凝104305000001020001土木工程学院081400土木工程0153张娜104305000002295001土木工程学院081400土木工程0162薛明凯104305000002080001土木工程学院081400土木工程0160张志浩104305000002283001土木工程学院081400土木工程0161刘倩104305000002134001土木工程学院081400土木工程0161邱敬格104305000001008001土木工程学院081400土木工程0143刘历力104305000002297001土木工程学院081400土木工程0149周晓静104305000001014001土木工程学院081400土木工程0153郭子麟104305000001051001土木工程学院081400土木工程0154赵国栋104305000002261001土木工程学院081400土木工程0156王玉帅104305000002149001土木工程学院081400土木工程0158王小兵104305000002224001土木工程学院085213建筑与土木工程0165张涛104305000002314001土木工程学院085213建筑与土木工程0157范珍辉104305000001200001土木工程学院085213建筑与土木工程0160孙华强104305000001230001土木工程学院085213建筑与土木工程0160陈鑫尧104305000002428001土木工程学院085213建筑与土木工程0164高希虎104305000002337001土木工程学院085213建筑与土木工程0160周在波104305000002170001土木工程学院085213建筑与土木工程0151郭振华104305000001221001土木工程学院085213建筑与土木工程0161王家奇104305000002285001土木工程学院085213建筑与土木工程0152卜凡洋104305000002050001土木工程学院085213建筑与土木工程0163范鲁丁104305000002092001土木工程学院085213建筑与土木工程0167盖伟104305000002094001土木工程学院085213建筑与土木工程0156彭浩104305000002306001土木工程学院085213建筑与土木工程0153郑再奇104305000002262001土木工程学院085213建筑与土木工程0152徐振博104305000002158001土木工程学院085213建筑与土木工程0170田忠诚104305000001226001土木工程学院085213建筑与土木工程0149毛正君104305000002081001土木工程学院085213建筑与土木工程0154吴春靖104305000001206001土木工程学院085213建筑与土木工程0160王琛104305000001235001土木工程学院085213建筑与土木工程0157张昊104305000001214001土木工程学院085213建筑与土木工程0161姜青旭104305000002336001土木工程学院085213建筑与土木工程0164徐鹏104305000002160001土木工程学院085213建筑与土木工程0150赵娜104305000001215001土木工程学院085213建筑与土木工程0159丛舜日104305000001220001土木工程学院085213建筑与土木工程0157赵文浩104305000001239001土木工程学院085213建筑与土木工程0156安哲104305000002245001土木工程学院085213建筑与土木工程0150刘硕104305000001202001土木工程学院085213建筑与土木工程0161高畅104305000002305001土木工程学院085213建筑与土木工程0157王权104305000002220001土木工程学院085213建筑与土木工程0154李少伟104305000001219001土木工程学院085213建筑与土木工程0154李明亮104305000001212001土木工程学院085213建筑与土木工程0161王振全104305000002225001土木工程学院085213建筑与土木工程0156柳伟104305000002030001土木工程学院085213建筑与土木工程0160周树人104305000002161001土木工程学院085213建筑与土木工程0157于洁瑜104305000002138001土木工程学院085213建筑与土木工程0163李栋104305000002265001土木工程学院085213建筑与土木工程0160张晓飞104305000001254001土木工程学院085215测绘工程0062司伟104305000002130002管理工程学院085236工业工程0056王颖104305000001263002管理工程学院085236工业工程0063李斌104305000001262002管理工程学院085236工业工程0057张钰璇104305000001384002管理工程学院120100管理科学与工程0259杨帅104305000002367002管理工程学院120100管理科学与工程0158李金晓104305000001368002管理工程学院120100管理科学与工程0162张德硕104305000001363002管理工程学院120100管理科学与工程0160左清兰104305000001333002管理工程学院120100管理科学与工程0358马光德104305000002189002管理工程学院120100管理科学与工程0365崔媛媛104305000002309002管理工程学院120100管理科学与工程0259李晓霞104305000001361002管理工程学院120100管理科学与工程0159陈艺中104305000001346002管理工程学院120100管理科学与工程0248李欢104305000001365002管理工程学院120100管理科学与工程0366付瑞驰104305000001331002管理工程学院120100管理科学与工程0166张晓晨104305000001332002管理工程学院120100管理科学与工程0251姚凯104305000001344002管理工程学院120100管理科学与工程0260李怡坤104305000001382002管理工程学院120100管理科学与工程0166张鹏104305000001381002管理工程学院120100管理科学与工程0164田金菜104305000002248002管理工程学院120100管理科学与工程0162李旭楠104305000002368002管理工程学院120100管理科学与工程0156张凯锋104305000001383002管理工程学院120100管理科学与工程0158张俊鹏104305000001101003热能工程学院080700动力工程及工程热物理0259周宇104305000001099003热能工程学院080700动力工程及工程热物理0353刘岩崑104305000001100003热能工程学院080700动力工程及工程热物理0261周苗104305000001098003热能工程学院080700动力工程及工程热物理0459张丽霞104305000002113003热能工程学院081404供热、供燃气、通风及空调工程0256季家艳104305000002271003热能工程学院081404供热、供燃气、通风及空调工程0260郭聪104305000001117003热能工程学院081404供热、供燃气、通风及空调工程0260赵湉湉104305000001124003热能工程学院081404供热、供燃气、通风及空调工程0361刘小浩104305000002022003热能工程学院081404供热、供燃气、通风及空调工程0261王琳104305000001120003热能工程学院081404供热、供燃气、通风及空调工程0255张承虎104305000002270003热能工程学院081404供热、供燃气、通风及空调工程0254齐春玲104305000001116003热能工程学院081404供热、供燃气、通风及空调工程0255赵娣104305000001121003热能工程学院081404供热、供燃气、通风及空调工程0263闫致江104305000001106003热能工程学院081404供热、供燃气、通风及空调工程0351李振104305000001110003热能工程学院081404供热、供燃气、通风及空调工程0355喻凡104305000002025003热能工程学院081404供热、供燃气、通风及空调工程0358李亭104305000001113003热能工程学院081404供热、供燃气、通风及空调工程0355李永斌104305000001119003热能工程学院081404供热、供燃气、通风及空调工程0160于玉104305000001126003热能工程学院081404供热、供燃气、通风及空调工程0271姚聚鹏104305000002439003热能工程学院081404供热、供燃气、通风及空调工程0263马芳芳104305000002109003热能工程学院081404供热、供燃气、通风及空调工程0155刘慧霞104305000001109003热能工程学院081404供热、供燃气、通风及空调工程0261郑汝奎104305000002110003热能工程学院081404供热、供燃气、通风及空调工程0164尉尧方104305000002272003热能工程学院081404供热、供燃气、通风及空调工程0255王博104305000002111003热能工程学院081404供热、供燃气、通风及空调工程0363孟祥敏104305000002115003热能工程学院081404供热、供燃气、通风及空调工程0256赵晓104305000001105003热能工程学院081404供热、供燃气、通风及空调工程0460亓慧超104305000001128003热能工程学院081404供热、供燃气、通风及空调工程0351王文辉104305000002416003热能工程学院081404供热、供燃气、通风及空调工程0260龚璞104305000001266003热能工程学院085206动力工程0065赵勇104305000001268003热能工程学院085206动力工程0062管宝蕾104305000001267003热能工程学院085206动力工程0060吴恭英104305000002117003热能工程学院085206动力工程0056刘冉冉104305000001280003热能工程学院085213建筑与土木工程0158荆通104305000001279003热能工程学院085213建筑与土木工程0164张琪104305000001276003热能工程学院085213建筑与土木工程0155高子龙104305000002007003热能工程学院085213建筑与土木工程0163王鹏104305000001273003热能工程学院085213建筑与土木工程0162张洋洋104305000002118003热能工程学院085213建筑与土木工程0156朱琳琳104305000001272003热能工程学院085213建筑与土木工程0162张科104305000001277003热能工程学院085213建筑与土木工程0156刘林104305000002273003热能工程学院085213建筑与土木工程0160崔建国104305000001142004市政与环境工程学院081403市政工程0172许诺104305000001138004市政与环境工程学院081403市政工程0162李海宁104305000001147004市政与环境工程学院081403市政工程0455杨硕104305000002194004市政与环境工程学院081403市政工程0161谢永智104305000001141004市政与环境工程学院081403市政工程0459宋启程104305000001152004市政与环境工程学院081403市政工程0359刘宝震104305000001149004市政与环境工程学院081403市政工程0361李聪聪104305000001131004市政与环境工程学院081403市政工程0156王宁104305000001143004市政与环境工程学院081403市政工程0150王成荣104305000001137004市政与环境工程学院081403市政工程0457潘春雨104305000001151004市政与环境工程学院081403市政工程0152邱金伟104305000002197004市政与环境工程学院081403市政工程0157曹国勋104305000002201004市政与环境工程学院085213建筑与土木工程0162任仰龙104305000002047004市政与环境工程学院085213建筑与土木工程0158尹文俊104305000002199004市政与环境工程学院085213建筑与土木工程0161丁国村104305000001286004市政与环境工程学院085213建筑与土木工程0160汪丹丹104305000002200004市政与环境工程学院085213建筑与土木工程0151李体康104305000001301004市政与环境工程学院085213建筑与土木工程0163张瑜104305000001284004市政与环境工程学院085213建筑与土木工程0160路昊104305000001298004市政与环境工程学院085213建筑与土木工程0161刘心怡104305000001519005建筑城规学院081300建筑学0162赵喆骅104305000001544005建筑城规学院081300建筑学0159王长鹏104305000001538005建筑城规学院081300建筑学0166万华楠104305000001528005建筑城规学院081300建筑学0156赵梓汐104305000001553005建筑城规学院081300建筑学0445朱文景104305000001523005建筑城规学院081300建筑学0156姚子兵104305000002399005建筑城规学院081300建筑学0162杨健鹏104305000001524005建筑城规学院081300建筑学0159张晶104305000002360005建筑城规学院081300建筑学0154王敏104305000001527005建筑城规学院081300建筑学0157付万旭104305000002437005建筑城规学院081300建筑学0252马璇104305000001481005建筑城规学院083300城乡规划学0163潘佳琪104305000001487005建筑城规学院083300城乡规划学0165司建平104305000002121005建筑城规学院083300城乡规划学0171夏健华104305000002054005建筑城规学院083300城乡规划学0158徐先余104305000002241005建筑城规学院083300城乡规划学0467冯姿霖104305000001549005建筑城规学院083400风景园林学0157杨杰104305000001551005建筑城规学院083400风景园林学0159韩赟聪104305000001447005建筑城规学院085100建筑学0054张菲菲104305000001446005建筑城规学院085100建筑学0064冉露露104305000002374005建筑城规学院085100建筑学0064张锐104305000002364005建筑城规学院085100建筑学0056刘松104305000002011005建筑城规学院085100建筑学0054宋子叶104305000002352005建筑城规学院085100建筑学0060张凯104305000002350005建筑城规学院085100建筑学0065宗烨104305000001441005建筑城规学院085100建筑学0060宋祥中104305000002353005建筑城规学院085100建筑学0066孙文祺104305000001445005建筑城规学院085100建筑学0061朱华104305000001451005建筑城规学院085100建筑学0056张安庆104305000002354005建筑城规学院085100建筑学0057李炳云104305000002010005建筑城规学院085100建筑学0053林成森104305000002383005建筑城规学院085100建筑学0055王欣104305000001467005建筑城规学院085100建筑学0060张贝贝104305000002380005建筑城规学院085300城市规划0068荣婷婷104305000001476005建筑城规学院085300城市规划0057马亚宾104305000002389005建筑城规学院085300城市规划0060刘哲104305000002376005建筑城规学院085300城市规划0058韩肖丹104305000001474005建筑城规学院085300城市规划0049李树斌104305000002063005建筑城规学院085300城市规划0057孙晓舒104305000001407005建筑城规学院095300风景园林0058张俊逸104305000001405005建筑城规学院095300风景园林0055徐凯利104305000001408005建筑城规学院095300风景园林0052李文静104305000002419005建筑城规学院095300风景园林0056任文华104305000001685006艺术学院083400风景园林学0156李远航104305000001688006艺术学院083400风景园林学0155王小丹104305000001684006艺术学院083400风景园林学0156王胜男104305000001400006艺术学院085237工业设计工程0047陈欢104305000001403006艺术学院085237工业设计工程0058来康圣104305000001402006艺术学院085237工业设计工程0049赵连海104305000001689006艺术学院090706园林植物与观赏园艺0058孙译远104305000001427006艺术学院095300风景园林0066李蕾104305000001421006艺术学院095300风景园林0056杨睿104305000001423006艺术学院095300风景园林0057刘倩倩104305000001414006艺术学院095300风景园林0057齐荃104305000001410006艺术学院095300风景园林0053李江河104305000001418006艺术学院095300风景园林0064倪欢104305000001412006艺术学院095300风景园林0058李慧静104305000001424006艺术学院095300风景园林0053邱超男104305000001413006艺术学院095300风景园林0057王润泽104305000001431006艺术学院095300风景园林0053徐杨104305000001426006艺术学院095300风景园林0052孙凡凡104305000001568006艺术学院130400美术学0159董媛媛104305000001555006艺术学院130400美术学0158孔得号104305000001556006艺术学院130400美术学0141崔文琪104305000001560006艺术学院130400美术学0261刘涛104305000001564006艺术学院130400美术学0253邱晓彤104305000001559006艺术学院130400美术学0252卢肖扬104305000001673006艺术学院130400美术学0350任睿哲104305000001678006艺术学院130400美术学0358陆瑾瑾104305000001667006艺术学院130400美术学0457马晶104305000001663006艺术学院130400美术学0452王文然104305000001597006艺术学院130500设计学0161秦佑红104305000001607006艺术学院130500设计学0158赵亚104305000001604006艺术学院130500设计学0154王芮104305000001575006艺术学院135107美术0153王迪104305000001573006艺术学院135107美术0259薛宁104305000001576006艺术学院135107美术0245周晴104305000001683006艺术学院135107美术0357韩乐乐104305000001625006艺术学院135108艺术设计0056吕淑聪104305000001617006艺术学院135108艺术设计0051张玉玉104305000001641006艺术学院135108艺术设计0066李潇桐104305000001639006艺术学院135108艺术设计0056杨沫104305000001637006艺术学院135108艺术设计0053张健104305000001611006艺术学院135108艺术设计0051刘璐104305000001655006艺术学院135108艺术设计0053邵沁玫104305000001613006艺术学院135108艺术设计0048张梦雅104305000001632006艺术学院135108艺术设计0047刘菲104305000001642006艺术学院135108艺术设计0060姜群群104305000001653006艺术学院135108艺术设计0053郭书琪104305000001646006艺术学院135108艺术设计0052赵文华104305000001649006艺术学院135108艺术设计0068戴晓昀104305000001623006艺术学院135108艺术设计0054刘婷104305000001622006艺术学院135108艺术设计0062周振婷104305000001638006艺术学院135108艺术设计0041宿永昌104305000001654006艺术学院135108艺术设计0051王薇104305000001634006艺术学院135108艺术设计0047李青青104305000001652006艺术学院135108艺术设计0043杨广瀚104305000001616006艺术学院135108艺术设计0053赵伟104305000001615006艺术学院135108艺术设计0052肖雪雯104305000001621006艺术学院135108艺术设计0050赵蓉雪104305000001650006艺术学院135108艺术设计0050曹东楠104305000001644006艺术学院135108艺术设计0063陈迪104305000001659006艺术学院135108艺术设计0044于雪104305000001608006艺术学院135108艺术设计0056鲁苑凯104305000002424007机电工程学院080202机械电子工程0259姜龙龙104305000001166007机电工程学院080204车辆工程0156王佳104305000001167007机电工程学院080204车辆工程0349刘勇104305000001312007机电工程学院085201机械工程0054赵宗凯104305000001310007机电工程学院085201机械工程0059张绪龙104305000001313007机电工程学院085201机械工程0052宋灵璞104305000002348008信息与电气工程学院081100控制科学与工程0254郭立杨104305000001168008信息与电气工程学院081100控制科学与工程0163王静104305000001169008信息与电气工程学院081100控制科学与工程0258吕东岳104305000002251008信息与电气工程学院085210控制工程0063韩力远104305000002327008信息与电气工程学院085210控制工程0059张帆104305000001320008信息与电气工程学院085210控制工程0054孙威104305000001327008信息与电气工程学院085210控制工程0058孙敏104305000002141008信息与电气工程学院085210控制工程0052于莉莉104305000001388009商学院120202企业管理0359许超104305000001175010材料科学与工程学院080502材料学0363杨士菊104305000001195010材料科学与工程学院080502材料学0155张丽萍104305000001177010材料科学与工程学院080502材料学0160王庭庭104305000001183010材料科学与工程学院080503材料加工工程0259张格铭104305000001191010材料科学与工程学院080503材料加工工程0167焦学兵104305000001192010材料科学与工程学院080503材料加工工程0266张迪104305000001187010材料科学与工程学院080503材料加工工程0259任文成104305000001179010材料科学与工程学院080503材料加工工程0261王宜文104305000001186010材料科学与工程学院080503材料加工工程0260韩晓妮104305000001501012理学院070205凝聚态物理0265张汉旭104305000001499012理学院070205凝聚态物理0257李龙龙104305000001500012理学院070205凝聚态物理0253陈龙104305000001505012理学院070205凝聚态物理0443吕冲104305000001509013法政学院030501马克思主义基本原理0465骆帅104305000001495014外国语学院055101英语笔译0056赵玲玲104305000001493014外国语学院055101英语笔译0054杨娜104305000001492014外国语学院055101英语笔译0055岳雍君104305000001497014外国语学院055102英语口译0056李纳纳104305000001086015交通工程学院082301道路与铁道工程0159张晓芳104305000001087015交通工程学院082301道路与铁道工程0262迟圣函104305000001090015交通工程学院082301道路与铁道工程0256廖建平104305000001089015交通工程学院082301道路与铁道工程0255于大海104305000001092015交通工程学院082301道路与铁道工程0262杜鲁涛104305000001088015交通工程学院082301道路与铁道工程0155张亚倩104305000001094015交通工程学院082302交通信息工程及控制0156顾明达104305000001259015交通工程学院085222交通运输工程0058魏冕104305000001260015交通工程学院085222交通运输工程0060王传强104305000002287015交通工程学院085222交通运输工程0047李辰104305000002033015交通工程学院085222交通运输工程0052牟善友104305000002286015交通工程学院085222交通运输工程0054郝镇难104305000002173015交通工程学院085222交通运输工程0054外语业务1业务2初试总分备注5113413238348105142358511061393544711312534761104122345609412934351108121339459814133860103109336381131283345211110633151102112331611021073274010213132755104111326549212232351921133125577118312558111231260741173104874120309529910931948881193095182116305可向报考学院申请学科(培养方向)调剂6292105305可向报考学院申请学科(培养方向)调剂7058117303可向报考学院申请学科(培养方向)调剂3995109296可向报考学院申请学科(培养方向)调剂4883101294可向报考学院申请学科(培养方向)调剂5067117294可向报考学院申请学科(培养方向)调剂5273107293可向报考学院申请学科(培养方向)调剂4982101293可向报考学院申请学科(培养方向)调剂4482122291可向报考学院申请学科(培养方向)调剂4974118290可向报考学院申请学科(培养方向)调剂488898287可向报考学院申请学科(培养方向)调剂459791287可向报考学院申请学科(培养方向)调剂4071118285可向报考学院申请学科(培养方向)调剂4277106283可向报考学院申请学科(培养方向)调剂8010314239071113144385691171373836611213937770891383616196142359661231173575310913135475871333476795122347 6075135337 58101122337 58102122335 58114110334 6681113330 6199121330 5578139326 4693126325 7886104325 5484125324 5993107323 4395133321 4692121318 5785119318 6684111317 7110986316 5310398315 7160126314 6474122314 6077119310 5710782307 5187111305 4489111304 4891107303 5086104303 7070100300 6677117322 50113131350 7176131341 6389129338 64109142374 46124138366 58115128363 49118134361 59114129360 5399137354 56107131353 56103134352 54121128351 6580140351 5799126348 6294140347 49108128345 6481134345 5991125339 58901283386284134336471091223365173139322397913330436691353015061130300631131223545793135345501071253426385129338538013733148104122329421001333295210012132847801373275886129324419413432450811303194980131315可向报考学院申请学科(培养方向)调剂4789116312可向报考学院申请学科(培养方向)调剂4083118312可向报考学院申请学科(培养方向)调剂4485115307可向报考学院申请学科(培养方向)调剂4984118306可向报考学院申请学科(培养方向)调剂4269132304可向报考学院申请学科(培养方向)调剂4169127301可向报考学院申请学科(培养方向)调剂4680119300可向报考学院申请学科(培养方向)调剂509887298可向报考学院申请学科(培养方向)调剂5477110297可向报考学院申请学科(培养方向)调剂5359122294可向报考学院申请学科(培养方向)调剂4688100285可向报考学院申请学科(培养方向)调剂457999283可向报考学院申请学科(培养方向)调剂739011033850851303275899109326576710828869143125395581111283615210814035552931313393911212133462951193325978122321389911030350861073036191132356558812933455751253105377113304 3977127302 5163127300 4761126295 3969128292 4080121291 5969103288 5267112283 4472107280 84118145409 7394139364 68102130361 5586136337 6590129335 7057130320 5281115308 5767122307 58130110360 48130115352 51121110348 53104112325 47120110322 57108100321 4796100305 509890297 3910697296 429198288 399998288 5111697327 6980109323 5410480309 3910993299 6711086330 50128120355 54107110330 55113125347 40125117346 47105125341 44111120331 49120108331 4991125325 4311995322 40112103315 4894105313 5210395311 4511595311 41110983063911210030445111903015091952964610511333256891113135893963075098932995393104299539383286621141053395511295317609010530762989030649123131359471091223335410511633143117135342551041253425511111533045108115326731091353837311913338178109129373641311083605311613035248107127346491041183295710211632843106116322491001203225110411432137116135347419614534043107140331可向报考学院申请学科(培养方向)调剂5612212536451110145359371131403423713813235744106133341461141343513811513634138122140361471081403533810513533249107130339731161453935311714536044133138372 66127140389 58128140377 53116140375 65120128369 53116140362 50117140358 52107140352 51110140349 52110140349 34120135349 52109135349 55105135347 43124110345 46103140343 44101135342 57104140342 45105140341 46118128339 44117135339 35111140339 5591140338 43114128335 45104135334 3699135333 38113135330 35107130328 4060127286 5081130317 5169140309 69118140381 6093131343 5178133314 5099147350 3971145318 5373131315 6880131342 6474117314 4187124306 4983101291 3967127285 49101139348 4472144323 4277140314 4863139310 5994145357 461051393575288145351 5881144342 4988138336 4787142336 50132143390 4498133332 4096137326 3893113287 52139131387 73117117363 60110138362 67124113359 77115139387 44100133336 4580145332 5574134319 4776139317 4669136313 4867118288 5385128322 49129130366 6389145357 6899138352 4879136315 5971121305 5464108280。
姓名考生编号政治外国语业务课1业务课2总分高捷10031912510000214067207顾智慧10031912510000711173184崔文10031912510001411565180谷静10031912510001512652178王珊珊10031912510004410974183王晓琴10031912510006312149170郑鹏10031912510007910468172高浩10031912510008310277179张玉苹10031912510008610679185刘燕涛10031912510008911064174黄芙蓉10031912510009111860178杨康康10031912510010111870188王小晓10031912510010212058178王久慧1003191251001049280172张毅婷10031912510010910970179陈雷10031912510011513473207周宏兴10031912510012012067187刘思洋10031912510013810672178庞冉10031912510013910078178毛亚静10031912540001312863191赵磊10031912540001510880188曹敏靖10031912540002513577212马建雪10031912540002611369182侯凯音10031912540002810467171冯立斯10031912540005411855173杨奥博10031912540005713366199符健10031912540006713769206张韵琴10031912540007612160181李晨曦10031912540008011563178叶翠10031912540008810377180胡欣悦10031912540008913046176刘贺10031912540010611855173余得光10031912540010716582247韩议1003190551010146781106124378姓名考生编号政治外国语业务课1业务课2总分杨欢欢1003190551010176684129117396袁航1003190551010286479109115367李明怡1003190551010326377107122369冯帆1003190551010416286116112376宋甜田1003190551010425888115119380李文婕1003190551010476281114111368高紫雯1003190551010486585107123380杨艳杰1003190551010617074123113380李浩宁1003190551010636879113122382王昱皓1003190551010776687117128398刘玉婵1003190551010786971102126368薛娜1003190551010816681106128381李硕1003190551011046979109115372刘畅畅1003190551011376881111128388王玉杰1003190551011427081125113389康宗光1003190551011477576104124379郝元元1003190551011536281111117371崔晓慧1003190551011586579104119367程鑫1003190551011607873115122388刘威1003190551011756786104120377宋艳艳1003190551011805976117120372闫婉霞1003190551011856673121111371陈赫楠1003190551011966675110116367牛盈盈1003190551012086379126121389郭思琪1003190551012286185113121380吕亮1003190551012296877127129401谢晴1003190551012326583126123397李静平1003190551012356790114133404贾紫薇1003190551012366181111127380杨嘉欣1003190551012426576116127384王璐莹1003190551012445781110128376安重瑾1003190551012546293118120393白丽荣1003190551012626689117125397臧红霞1003190551012637174101125371姓名考生编号政治外国语业务课1业务课2总分洪亚平1003190551012706596112127400黄虹妍1003190551012786780109114370张凡1003190551012856087118110375时广皊1003190551012876884100115367柳莹莹1003190551012886284130116392孟爱宇1003190551012916493114111382李慧1003190551012926285121122390曹菲1003190551012935687105120368张莹1003190551013026085126111382刘瑾玥1003190551013055984113116372方佳豪1003190551013075687104121368马秀华1003190551013096286117108373叶茜1003190551013126669118118371黄倩1003190551013277376115119383杜茵1003190551013306386121118388赵子昊1003190551013336689119125399马亚茹1003190551013456877113110368宋庆蕊1003190551013496780106116369郭欣1003190551013516870117124379陆普1003190551013716984106117376豆豆1003190551013966585105116371张悦1003190551014116787116117387唐婷婷1003190551014126688110111375梁晴晴100319055101414669398119376郭路超100319055101417738797116373谭馨1003190551014306090105117372刘潇1003190551014636990115114388杨纹1003190551014657084114117385仇艺谕1003190551014776380102122367蹇文洁1003190551014796376121118378杨欣怡1003190551014807085118117390郭浩1003190551014846380116118377薛英英1003190551014856980123111383刘佳桥1003190551014896777103121368姓名考生编号政治外国语业务课1业务课2总分赵晓强1003190551014906176120111368蔡艳媛1003190551020247591125118409黄歆然1003190551020256681123126396穆童1003190551020266184121117383张亚昊1003190551020306683115115379韩雨辰1003190551020366980115117381张水勤1003190551020386881114119382常一冉1003190551020436384123120390高瑛1003190551020487484127119404张贺1003190551020537075117120382王莉1003190551020587084111121386姚嘉宁1003190551020676385125122395唐甜1003190551020856289113118382钱丽谦1003190551020917188120121400谢诗嘉1003190551020966380116121380周晨1003190551021045977119123378张琳1003190551021076681114123384马海磊1003190551021137179125130405武洁1003190551021145783116125381魏贵宾1003190551021206585115121386郝敬1003190551021227176114119380吴晗1003190551021246289108125384程飞飞1003190551021277089117125401冯慧凝1003190551021336093116121390白东子1003190551021396685114120385苏倩倩1003190551021405382124121380张筱晶1003190551021527286124122404杨欢1003190551021536185118120384李虹娇1003190551021667179116118384刘雅丽1003190551021686178122124385谭婷1003190551021696579114121379周倩1003190551021706976122111378丛莹颖1003190551021797283122109386张姣1003190551021876375118124380姓名考生编号政治外国语业务课1业务课2总分伍佳1003190551021926781120114382韦哲元1003190453000156367112107349闫旭1003190453000165980101103343傅思涵1003190453000175665102107330方晨璐1003190453000186565107103340王儒生1003190453000285466103105328张毓哲1003190453000466268105104339张艺格1003190453000506469107102342崔艺博1003190453000516171101103336钱璐1003190453000536657101104328李洪波1003190453000766868103103342李雁鹏1003190453000775767107104335李雪1003190453000966373114117367赵安琪1003190453001046185102103351郭娅丽1003190453001085777104106344吴梦婷1003190453001136768104115354齐紫薇1003190453001146166104113344周谨1003190453001176961116114360邓兰娟100319045300118628010197340王美玉1003190453001236761105105338刘函100319045300147656311193332黄文静1003190453001566948101109327鲁莹1003190453001576360112108343向琴1003190453001626267106100335廖云帆1003190453001716879103109359李书情10031904530017566889199344陈雪睿1003191202910056579122131397周莹1003191202910067361103145382张存1003191202030195562106127350黄迪1003191202030106665116118365刘乙1003191202030176767117110361张雅婷1003191202030256673125123387李晓南1003191202030347156112117356霍蕾1003191202030397275108127382姓名考生编号政治外国语业务课1业务课2总分鹿广娟100319120203083656012696347陈维1003191202030906553113120351韩莹1003191202030936770124124385耿婧1003191202031076871110136385胡蝶100319120203132676513383348梁文琪1003191202030966578125132400蘧浪浪1003191202031176570102132369张晓丹1003191202031186369109120361王倩文1003191202031346557111125358黄佳佩1003191202031436462102120348朱文镜100319050202002708899112369张家璇1003190502020056282117106367刘佳1003190502020145884110105357张乐然1003190502020176676106123371李雨晴1003190502020186486113103366周文静1003190502020286689120101376张雅雯1003190502020296690117113386浮念雪1003190502020396184127129401刁蕊1003190502020076983125120397王帅1003190502020046683113120382郑亚星1003190502020266782119123391侯斌1003190502020336981113114377胡雅楠1003190502030026486112115377刘晓田1003190502030036182105122370赖思琪1003190502030125882118112370钟敏洁1003190502040106783123107380王家宁100319050204019669111995371郑晓慧1003190502040256380125119387殷乐儿1003190502040216588117116386沈牧生100319050207007678698107358郑春旭1003190551040125384117114368李娜1003190551040206585105113368李珊1003190551040237292113111388宫贺1003190551040276484121109378姓名考生编号政治外国语业务课1业务课2总分彭琳1003190551040416185117109372张梦雪1003190551040426594111118388孙奇1003190551040506583127110385谢静1003190551040546779110120376廖怀盛1003190551040556483103121371梅鑫怡1003190551040626589107111372努尔比耶·伊1003190551080025580122116373许雪晴1003190551080046579130105379戚向磊1003190551080146491126115396杨燕1003190551100146468117118367杨倩文1003190551100166572113107357赵文婉100319055110020717894124367潘晗箫100319055110030717499122366陈佳凝100319055114003658197112355王圣文1003190551140057277112122383姜欢文100319055114013747599122370张秀慧1003190502922016285102108357万颖1003190502922026783114109373王淼1003190502923036189108100358方世雅1003190502923066790118116391周雪宁1003190502923077488118100380彭程1003190502923116978106102355马瑶瑶1003190502050106780122117386介梦萌1003190502050206579132107383王雅捷100319050205026688212399372田静婕100319050205034658013097372祝晨1003190502050367187122104384张娜1003190502050606787111111376赵璐璐1003190502050636282134105383李风月1003190502050887373125106377张旭晓1003190502050215688131108383甘雨1003190502050386584131114394曲明华1003190502050596084121125390张锡嘉1003190502050297281120107380姓名考生编号政治外国语业务课1业务课2总分范思齐1003190502050396177122112372顾倩1003190502050536481119111375刘月1003190502050626374123113373唐雅琪1003190502050706784129120400白佳欣1003190551050266774104110355徐阳瑞1003190551050386472125107368石静1003190551050426363118111355杨梦婷1003190551050536575119112371王舒慧1003190551050596273114110359盛晴1003190551050665382117107359代珺1003190551050706273107116358魏蕾珊1003190551050746870120120378潘姝臻1003190551050756477118117376朱新玲1003190551050767184128123406方佳玲1003190551050775677114111358黄茂霞100319055105083676899124358耿小雪1003190551050886873105115361徐娇娇1003190551050916075106116357翟晓丽1003190551050937373105117368韩诗婷1003190551051036373113106355李雅琦1003190551051067071105116362刘宇蒙1003190551051116579113112369刘力玮1003190551060166988114115386武静1003190551060416875125123391游凝1003190551060506585121117388李希月1003190551060607072111113366史春艳1003190551060626983134114400余茜1003190551060637185130118404杨怀明1003190551060667772125118392薛瑞璇1003190551060676473115118370陈洁1003190551060696572118114369彭元洺1003190551060716373109120365李爽1003190551060746476107122369李雨晴1003190551060756173116122372姓名考生编号政治外国语业务课1业务课2总分赵甜甜1003190551060846977110115371林晶晶1003190551060865969120116364刘鲁钰1003190551060916375118120376张齐1003190551061026076110117363游寅灏1003190551061036675106116363苏木玲1003190551061046477114128383曾杰1003190551061096476113111364李晓蕾1003190502925026279136129406徐颖1003190502925037093135125423李潇1003190502925066477127120388王文竹1003190502925176389132112396笪京京1003190502925186275134109380宋玉秀1003190502925226275134111382许瑞娟1003190502925265686136119397吴卓星100319120201007686998133368孙晓婷1003191202010116562100120347孙美霞1003191202020066563114136378吴恺1003191202020056660126108360王彤10031912530000613777214兰晓涵10031912530001115480234齐妙10031912530001210278180刘岚10031912530001710772179郑爱慧10031912530002412181202王旖旎10031912530002613857195周楠10031912530003015161212张琛10031912530003413561196李雪梅10031912530003612555180乔方禹10031912530003814476220董浩10031912530004312974203王璐莹10031912530004914566211冯垚鑫10031912530005012957186董佳珺10031912530005311769186杨贺10031912530005411080190归颖瑄10031912530005511863181姓名考生编号政治外国语业务课1业务课2总分苏健雄10031912530005813055185范竞丹10031912530005914077217曹樱瀚10031912530006013054184杨博妍10031912530006313757194杨珺10031912530006713160191李彦宏10031912530006812557182赵培月10031912530006912982211潘晓晓10031912530007012262184杨雪岐10031912530007110970179侯策10031912530007313166197杨丽媛10031912530007611772189万小伟10031912530007812380203张彤10031912530008112768195辛明泽10031912530008410771178杨雨迪10031912530008515468222杨乐乐10031912530008813658194王祺佳10031912530009213357190张雪婷10031912530009412056176于洋10031912530009512253175赵若丞10031912530009615079229刘常达10031912530010014270212苑普威10031912530010112665191汪迪10031912530010212971200张方旭10031912530010314065205刘金哲10031912530010514367210潘慧洁10031912530010612265187吕单10031912530010711881199邢英祺10031912530010814376219朱欣怡10031912530010913163194张馨月10031912530011213664200唐含笑10031912530011411767184陈惠敏10031912530011513869207阮成思10031912530011614271213董源10031912530011710571176姓名考生编号政治外国语业务课1业务课2总分曹凯媛10031912530011912766193刘婧鑫10031912530012013352185耿艺铭10031912530012113483217杨依10031912530012212465189霍艺帆10031912530012314679225曹慧莹10031912530012814783230吕帆云10031912530012911861179赵良苗10031912530013014568213周文莉10031912530013211563178贺文美10031912530013412164185张涵10031912530013613163194郑明霏10031912530013712455179张旭10031912530013812271193何欣10031912530013913867205李享10031912530014312374197张雯昕10031912530014514363206王天予10031912530014614268210沈卓君10031912530014714252194王紫薇10031912530014813872210滕达10031912530014914372215高裴10031912530015213981220王犇10031912530015414073213郜娜娜10031912530015514182223张媛1003190101060095353108117331王茜100319010106006644591104304韩明宇1003190501010025960138134391陈娟娟100319050102007657312199358王露雨1003190501050066055137135387王思纯1003190501050086360117122362谢若颖1003190501050096665136127394李丹1003190501060046558134134391杨楚菲1003190501060056365136129393李燃1003190501080025867129132386张月蓉1003190501080075956121123359姓名考生编号政治外国语业务课1业务课2总分黄玲丹1003190501080116270130126388黄楠1003190502100026074121118373黄亚玲1003190502100046586121133405姚欣1003190502100096170133117381王云月1003190502100015980109125373徐育蕾1003190502100266579133123400廉婧1003190551120025499142112407李青格1003190551120035693131128408杨晨1003190551120127099137116422王海军1003190551120216494134116408邢宇轩1003190551120265891136122407张晓庆1003190551120296496140113413程越1003190551120316594137117413李天凤1003190551120356989133125416张依童1003190551120376491139116410高舒欢1003190551120426287135121405唐莞雲1003190551120436587135119406张心1003190551120446890142115415刘浩冉1003190502927026265123105355冯若琦100319050292707717411896359熊晟1003190502010045967122122370孟悦1003190502010226975126123393李梵凌1003190502010335971125131386赵天星1003190502010546965114132380张璐璐1003190502010556079105125369王亚静1003190502010715873132136399王海静1003190502010756763120125375毛昱力1003190502010776491129125409马悦欣1003190502010865851128132369李徐琳1003190502010887582126137420梁瀚实1003190502010946473111123371李志航1003190502010956180121105367张甜甜1003190502011056079126120385张雯1003190502011096486117136403姓名考生编号政治外国语业务课1业务课2总分章雨时1003190502011176971123123386秦影1003190502011226175121129386胡秀芸1003190502011256381121124389仝点妹1003190502011446476124112376陈子明1003190502011465865121123367程鲁月1003190502011476175122125383郑雯雯1003190502011486659121120366王慢慢1003190502011686567121124377庄义会1003190502011736580133123401黄芬1003190502011886871128125392仲琳1003190502011946281120119382李璐1003190502010267169120120380郑子炎1003190502010356471130136401王路明1003190502010446791132138428宋金玲1003190502010526168112125366樊思琦1003190502010616395121133412李宛妮1003190502010895578129124386司雪芹1003190502011136357125120365王文静1003190502011266379124137403付格1003190502011786179124117381付小雨1003190502011806696128120410梁雅琨1003190502011935673120124373张沛1003190502010076075122115372潘密雯1003190502010496479134137414李思梦1003190502010517468128126396李朋1003190502010637269120116377郭佳鑫1003190502010695965125120369王丹1003190502010726364127135389白艳1003190502010796464120122370解思维1003190502010986670115115366马美雲1003190502011126890129125412沈美娟1003190502011297283120120395于春华1003190502011347167122128388汪明慧1003190502011366568121124378姓名考生编号政治外国语业务课1业务课2总分贺文晓1003190502011426369116127375刘惠敏1003190502011526577122120384解明鑫1003190502011536277122130391欧纹童1003190502011566986123123401臧红芹1003190502011657486120121401张端1003190502011696865131128392申金1003190502011796665120127378于晓颖1003190502011816485126127402肖燕1003190502011825177120123371答佳静1003190502011836773134134408姚倩倩1003190502011916779128121395敬伟1003190502011956473127125389杨琛1003190502010626472127125388杜梦一1003190502110126581130131407王瑾1003190502110156369124118374焦思盈1003190502110176180133139413林田1003190502110226566125120376刘雅琼1003190502110436574125119383吴晓涵1003190502110446486129114393车虹虹1003190502110486781126126400张红1003190502110546389128125405王思涛1003190502110666574132103374王京京1003190502110025764126131378王亚新1003190502110237281123128404王文文1003190502110495977124117377王艳华1003190502110056872129128397沈安童1003190502110096465139128396张家川1003190502110116278130126396田志玲1003190502110186862129131390解甜甜1003190502110216470125132391孙宁1003190502110276676130132404田凯旋1003190502110327176140135422沙芳兵1003190502110365681127126390郑天娇1003190502110516379122133397姓名考生编号政治外国语业务课1业务课2总分卢静妮1003190502080026085123109377刘兴运1003190502080086281121116380俞樾1003190502080096784111116378史满鑫1003190502080155583128134400刘子薇1003190502080036782131113393祁弘1003190502080066289100138389王丽洁100319050208013658599131380陈丽彬1003190502080185382125100360苏夏1003190551160016661120117364马涛1003190551160026062129117368朱佳璐1003190551160086861124123376。