2012数值分析试题及答案
- 格式:doc
- 大小:214.50 KB
- 文档页数:2
上海海事大学2012---2013学年第 2 学期 研究生 数值分析 课程考试试卷A (答案)学生姓名: 学号: 专业:1. 利用Seidel 迭代法求解Ax=b 时,其迭代矩阵是))-1s U L D B -=(; 当系数矩阵A 满足 严格对角占优 时,Seidel 迭代法收敛 。
7. 反幂法是求可逆矩阵按模最小 特征值和特征向量的计算方法. 6. QR 法是计算 非奇异矩阵的 所有 特征值和特征向量的计算方法 1. 利用Jacobi 迭代法求解Ax=b 时,其迭代矩阵是)(1U L D B J +=-;当系数矩阵A 满足 严格对角占优 时,Jacobi 迭代法收敛 。
2. 对于求解Ax=b ,如果右端有b δ的扰动存在而引起解的误差为x δ,则相对误差≤xxδ bbA Cond δ)(3. 幂法是求矩阵 按模最大 特征值和特征向量的计算方法.Jacobi 法是计算 实对称矩阵的所有 特征值和特征向量的计算方法 六.设方程组Ax=b 有唯一解*x ,其等价变形构造的迭代格式为f Bx x k k +=+)()1(,如矩阵谱半径1)(>B ρ,但B 有一个特征值满足1<λ,求证:存在初始向量)0(x ,使得迭代产生的序列{})(x x 收敛于*x 。
(7分)证明: 由f Bx x k k +=+)()1(,f Bx x +=**()()*)0(1k *)(*)1(---x x B x x B x xk k ++== 对于B 的一个特征值满足1<λ,特征向量设为y ,,,11y y B y By k k ++==λλ故取初始向量y x x +=*)0(,有()y y B x x B x x k k 11k *)0(1k *)1(--++++===λ∞→→==+++k yy x xk k k ,0-11*)1(λλ,所以{})(x x 收敛于*x八.给定函数函数)(x f ,对于一切x ,存在)(x f ',且M x f m ≤'≤<)(0, 证明对于范围M20<<λ内的任意定数λ,迭代过程)(-1k k k x f x x λ=+均收敛于0)(=x f 的根。
一、单项选择题(每小题3分,共15分)1. 3.142和3.141分别作为π的近似数具有( )和( )位有效数字.A .4和3B .3和2C .3和4D .4和42. 已知求积公式()()211211()(2)636f x dx f Af f ≈++⎰,则A =( )A . 16B .13C .12D .233. 通过点()()0011,,,x y x y 的拉格朗日插值基函数()()01,l x l x 满足( )A .()00l x =0,()110l x = B .()00l x =0,()111l x =C .()00l x =1,()111l x = D .()00l x =1,()111l x =4. 设求方程()0f x =的根的牛顿法收敛,则它具有( )敛速。
A .超线性B .平方C .线性D .三次5. 用列主元消元法解线性方程组1231231220223332x x x x x x x x ++=⎧⎪++=⎨⎪--=⎩ 作第一次消元后得到的第3个方程( ).A .232x x -+= B .232 1.5 3.5x x -+=C .2323x x -+= D .230.5 1.5x x -=-单项选择题答案1.A2.D3.D4.C5.B二、填空题(每小题3分,共15分)1. 设TX )4,3,2(-=, 则=1||||X ,2||||X = .2. 一阶均差()01,f x x =3. 已知3n =时,科茨系数()()()33301213,88C C C ===,那么()33C = 4. 因为方程()420x f x x =-+=在区间[]1,2上满足 ,所以()0f x =在区间内有根。
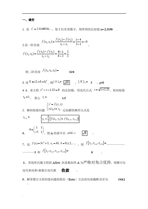
5. 取步长0.1h =,用欧拉法解初值问题()211yy yx y ⎧'=+⎪⎨⎪=⎩的计算公式 .填空题答案1. 9和292.()()0101f x f x x x --3. 18 4. ()()120f f < 5. ()1200.11.1,0,1,210.11k k y y k k y +⎧⎛⎫⎪ ⎪=+⎪ ⎪=+⎨⎝⎭⎪=⎪⎩得 分 评卷人三、计算题(每题15分,共60分)1. 已知函数211y x =+的一组数据:求分段线性插值函数,并计算()1.5f 的近似值.计算题1.答案1. 解[]0,1x ∈,()1010.510.50110x x L x x --=⨯+⨯=---()12x L x -=-所以分段线性插值函数为()10.50.80.3x x L x x x ⎧-∈⎪=⎨-⎪⎩()1.50.8L =2. 已知线性方程组1231231231027.21028.35 4.2x x x x x x x x x --=⎧⎪-+-=⎨⎪--+=⎩(1) 写出雅可比迭代公式、高斯-塞德尔迭代公式;(2) 对于初始值()()00,0,0X =,应用雅可比迭代公式、高斯-塞德尔迭代公式分别计算()1X(保留小数点后五位数字).计算题2.答案1.解 原方程组同解变形为 1232133120.10.20.720.10.20.830.20.20.84x x x x x x x x x =++⎧⎪=-+⎨⎪=++⎩雅可比迭代公式为()()()()()()()()()1123121313120.10.20.720.10.20.830.20.20.84m m m m m m m m m x x x x x x x x x +++⎧=++⎪⎪=-+⎨⎪=++⎪⎩(0,1...)m = 高斯-塞德尔迭代法公式()()()()()()()()()1123112131113120.10.20.720.10.20.830.20.20.84m m m m m m m m m x x x x x x x x x ++++++⎧=++⎪⎪=-+⎨⎪=++⎪⎩ (0,1...)m =用雅可比迭代公式得()()10.72000,0.83000,0.84000X =用高斯-塞德尔迭代公式得()()10.72000,0.90200,1.16440X =3. 用牛顿法求方程3310x x --=在[]1,2之间的近似根 (1)请指出为什么初值应取2?(2)请用牛顿法求出近似根,精确到0.0001.计算题3.答案4. 写出梯形公式和辛卜生公式,并用来分别计算积分1011dx x +⎰.计算题4.答案确定下列求积公式中的待定系数,并证明确定后的求积公式具有3次代数精确度()()()()1010hhf x dx A f h A f A f h --=-++⎰证明题答案一、 填空(共20分,每题2分)1. 设2.3149541...x *=,取5位有效数字,则所得的近似值x= .2.设一阶差商()()()21122114,321f x f x f x x x x --===---,()()()322332615,422f x f x f x x x x --===--则二阶差商()123,,______f x x x =3. 设(2,3,1)TX =--, 则2||||X = ,=∞||||X 。
一、填空1. 设2.3149541...x *=,取5位有效数字,则所得的近似值x= 2.3150 .2.设一阶差商()()()21122114,321f x f x f x x x x --===---,()()()322332615,422f x f x f x x x x --===--则二阶差商()123,,______f x x x =11/63. 设(2,3,1)TX =--, 则2||||X = 14 ,=∞||||X 3 。
p494. 4.求方程 21.250x x --= 的近似根,用迭代公式 1.25x x =+,取初始值01x =, 那么1______x =。
1.55.解初始值问题 00'(,)()y f x y y x y =⎧⎨=⎩近似解的梯形公式是1______k y +≈。
()()[]11,,2++++k k k k k y x f y x f h y6、1151A ⎛⎫= ⎪-⎝⎭,则A 的谱半径 = 6 。
7、设2()35, , 0,1,2,... ,k f x x x kh k =+== ,则[]12,,n n n f x x x ++=——————————3 和[]123,,,n n n n f x x x x +++=_______________0_____ 。
8、 若线性代数方程组AX=b 的系数矩阵A 为严格对角占优阵,则雅可比迭代和高斯-塞德尔迭代都 收敛 。
9、解常微分方程初值问题的欧拉(Euler )方法的局部截断误差为_______O(h )___。
10、为了使计算23123101(1)(1)y x x x =++----的乘除法运算次数尽量的少,应将表达式改写成____________⎪⎪⎭⎫⎝⎛⎪⎭⎫ ⎝⎛---+-+=1321111110x x x y _____________。
二、计算题 1、已知的满足 ,试问如何利用 构造一个收敛的简单迭代函数,使0,1…收敛?由 ()x x ϕ=,可得 3()3x x x x ϕ-=-,1(()3)()2x x x x ϕψ=--= 1 ()(()3) 2x x ψψ=--’’因,故11()122x x ψϕ=<<’’()-3[]11()()3 , k=0,1,.... 2k k k k x x x x ψϕ+==--故收敛。
沈阳航空航天大学研究生试卷(A )2011-2012学年第一学期课程名称:数值分析出题人: 王吉波审核人:一、填空题(本题40分每空4分)1.设),,1,0()(n jx l j 为节点n x x x ,,,10的n 次基函数,则)(i j x l ji j i ,0,1。
2.已知函数1)(2xxx f ,则三阶差商]4,3,2,1[f = 0。
3.当n=3时,牛顿-柯特斯系数83,81)3(2)3(1)3(0CCC ,则)3(3C 81。
4.用迭代法解线性方程组Ax=b 时,迭代格式,2,1,0,)()1(kf Bxxk k 收敛的充分必要条件是1)(B 或 B 的谱半径小于 1 。
5.设矩阵1221A,则A 的条件数2)(A Cond = 3 。
6.正方形的边长约为100cm ,则正方形的边长误差限不超过0.005cm 才能使其面积误差不超过12cm。
7.要使求积公式)()0(41)(111x f A f dxx f 具有2次代数精确度,则1x 2/3 ,1A 3/4。
8. 用杜利特尔(Doolittle )分解法分解LU A,135945-2791260945-0451827-9189A其中,则13213012-100120001L,9548100918-9027-9189U二、(10分)已知由数据(0,0),(0.5,y ),(1,3)和(2,2)构造出的三次插值多项式)(3x P 的3x 的系数是6,试确定数据y 。
答案:利用Lagrange 插值多项式,)()()()()()()()()()(3322110033x l x f x l x f x l x f x l x f x L x P 及基函数的表达式可知3x 的系数为))()(()(3020100x x x x x x x f +))()(()(3121011x x x x x x x f +))()(()(3212022x x x x x x x f +))()(()(2313033x x x x x x x f (5分)代入有关数据得15.122)1(5.013)5.1()5.0(5.006y解得y=4.25.(5分)三、(15分)试导出计算)0(1a a的Newton 迭代格式,使公式中(对n x )既无开方,又无除法运算,并讨论其收敛性。
数值分析试卷及答案数值分析试卷一、选择题(共10题,每题2分,共计20分)1. 数值分析的研究内容主要包括以下哪几个方面?A. 数值计算方法B. 数值误差C. 数值软件D. 数学分析答:A、B、C2. 下列哪种方法不属于数值积分的基本方法?A. 插值法B. 微积分基本公式C. 数值微积分D. 数值积分公式答:A3. 数值积分的目的是求解什么?A. 函数的导数B. 函数的原函数C. 函数的极值D. 函数的积分答:D4. 数值微分的目的是求解什么?A. 函数的导数B. 函数的原函数C. 函数的极值D. 函数的积分答:A5. 数值微分的基本方法有哪几种?A. 前向差分B. 后向差分C. 中心差分D. 插值法答:A、B、C6. 用数值方法求解方程的基本方法有哪几种?A. 迭代法B. 曲线拟合法C. 插值法D. 数值积分法答:A、B、C7. 用迭代法求方程的根时,当迭代结果满足何条件时可停止迭代?A. 当迭代结果开始发散B. 当迭代结果接近真实解C. 当迭代次数超过一定阈值D. 当迭代结果在一定范围内波动答:B8. 下列哪种插值方法能够确保经过所有给定数据点?A. 拉格朗日插值B. 牛顿插值C. 三次样条插值D. 二次插值答:A、B、C9. 数值解线性方程组的基本方法有哪几种?A. 直接法B. 迭代法C. 插值法D. 拟合法答:A、B10. 下列哪种方程求解方法适用于非线性方程?A. 直接法B. 迭代法C. 插值法D. 曲线拟合法答:B二、填空题(共5题,每题4分,共计20分)1. 数值积分的基本公式是_________。
答:牛顿-科特斯公式2. 数值微分的基本公式是_________。
答:中心差分公式3. 数值积分的误差分为_________误差和_________误差。
答:截断、舍入4. 用插值法求解函数值时,通常采用_________插值。
答:拉格朗日5. 数值解线性方程组的常用迭代法有_________方法和_________方法。
湖北民族学院2012年秋季期末试卷A或BA卷课程数值分析使用班级0210403、4、5、6 制卷份数86 考生姓名命题人刘波课程负责人单位审核人答题纸数班级题号一二三四五六七八九十合计学号评分分数阅卷人注意:所有答案必须填写在答题纸上! 一、填空题(4分⨯10=40分)1、向量T x )3,2,1(-=的范数1x = ,∞x = ,2x 。
2、已知,3)2(,1)1(==f f 那么)(x f y =以2,1=x 为节点的拉格朗日线性差值多项式为 。
3、设矩阵A 是对称正定矩阵,则用 迭代法接线性方程组,b AX =其迭代解数列一定收敛。
4、辛普森公式: 。
5、牛顿-柯特斯求积分公式的系数和=∑=nk n k C 0)( 。
6、,1)(2+=x x f 则=]3,2,1[f ,=]4,3,2,1[f 。
7、积分公式)42(32)21(31)41(32)(10f f f dx x f +-≈⎰具有 次代数精度。
二、计算题(10分⨯3=30分) 1、求01162=+-x x 的小正根。
2、给定形如)0()1()0()('01010f B f A f A dx x f ++≈⎰的求积公式,试确定系数,,,010B A A 使公式具有尽可能高的代数精确度。
3、求⎥⎥⎥⎦⎤⎢⎢⎢⎣⎡----=242422221A 的特征值及普半径。
三、证明题(20分⨯1=20分) 1、用直接三角分解法解⎪⎪⎪⎭⎫⎝⎛=⎪⎪⎪⎭⎫ ⎝⎛⎪⎪⎪⎭⎫ ⎝⎛201814513252321321x x x四、讨论题(10分⨯1=10分)1、用4点(n=3)的高斯——勒让德求积公式计算xdx x I cos 22⎰=π答案:一:1: 6,3,14 解: ∞x=||max 1i ni x ≤≤;1x =∑=n i i x 1||;2x =2112)(∑=ni ix ;向量的p 范数:p x =pni p ix 11)||(∑=2: 2x-1 3、高斯-赛德尔4、)]()2(4)([6)(b f b a f a f a b dx x f b a +++-≈⎰5、16、1,07、3二:1:解:6381+=x ,*2206.094.78638x x ==-≈-=,*2x 只有一位有效数字,若改用0627.094.15163816382≈≈+=-=x ,具有三位有效数字。
线封密三峡大学试卷班级姓名学号2012年春季学期《数值分析》课程考试试卷( A 卷)答案及评分标准注意:1、本试卷共3页;2、考试时间:120 分钟;3、姓名、学号必须写在指定地方;一、(16分)填空题1.设T x )3,4,2(-=,则 2x 29= (1分) ∞x4= (1分).2. 为尽量避免有效数字的严重损失,当1>>x 时,应将表达式x x -+1改写为xx ++11以保证计算结果比较精确(2分).3.迭代过程),1,0)((1 ==+n x x n n ϕ收敛的一个充分条件是迭代函数)(x ϕ满足1|)(|<'x ϕ(2分).4. 设()1537++=x x x f ,则差商0]2,,2,2,2[821= f (2分).5. 设)(x f 可微,求方程)(x f x =根的牛顿迭代格式是.2,1,0,)(1)(1='---=+k x f x f x x x k k k k k (2分) .6.矩阵范数),2,1(||||∞=p A p 与谱半径)(A ρ有一个不等式关系,表现为p A A ||||)(≤ρ(2分).7.将⎪⎪⎭⎫ ⎝⎛=231264A 进行LU 分解(即Doolittle 分解),则 ⎪⎪⎭⎫⎝⎛=1301L (2分);⎪⎪⎭⎫ ⎝⎛=5064U (2分).二、(10分)用最小二乘法解下列超定线性方程组:⎪⎪⎩⎪⎪⎨⎧=+=+=-=+7262353114221212121x x x x x x x x 解: +-+=221)1142(),(x x y x Q 221)353(--x x+-++221)62(x x 221)72(-+x x要使总残差达到最小,必有⎪⎪⎩⎪⎪⎨⎧=∂∂=∂∂0021x Q x Q⇒⎩⎨⎧-=-=-48463513182121x x x x⇒⎪⎪⎩⎪⎪⎨⎧==9111327383021x x 或⎩⎨⎧≈≈24.104.321x x (10分)三、(10分)给定函数表84.087.090.092.094.096.097.098.099.011/sin 19.08.07.06.05.04.03.02.01.00x x x 利用所有数据,用复合辛普森(Simpson )公式计算dxx xI ⎰=10sin 的近似值. 解: 用复合辛甫生Simpson 公式,小区间数5=n , 步长2.0)00.1(51=-⨯=h)90.094.097.099.0(21[62.05+++⨯+=≈S I]84.0)87.092.096.098.01(4++++++ 9453.0= (10分)线封密三峡大学试卷班级姓名学号四、(12分)设nn ij Ra A ⨯∈=)(对称,顺序主子式),,2,1(0n i i =≠∆则T LDL A =分解存在,其中L 为单位下三角形矩阵,D 为对角阵, 试写出求方程组b Ax =解的计算步骤(用矩阵表示), 此法称为改进平方根法. 试用它求解方程组:⎩⎨⎧=+=+635310121022121x x x x 解: 由T LDL A =可得b Ax =的方程为b x LDL T=,令y x DL T =,则b Ly =.计算步骤: (1) 将A 直接分解TLDL A =,求出 D L , (2) 求解方程b Ly =(3) 求解方程y D x L T 1-= (4分)⎢⎣⎡102 ⎥⎦⎤5310⎥⎦⎤⎢⎣⎡=10121l ⎥⎦⎤⎢⎣⎡2100d d ⎥⎦⎤⎢⎣⎡10121l 比较矩阵两边的元素,可得: ,521=l ,21=d .32=d由b Ly =可得 ⎥⎦⎤⎢⎣⎡1501⎥⎦⎤⎢⎣⎡21y y ⎥⎦⎤⎢⎣⎡=6312 ⎥⎦⎤⎢⎣⎡=⎥⎦⎤⎢⎣⎡⇒31221y y 由y D x L T1-=得 ⎥⎦⎤⎢⎣⎡1051⎥⎦⎤⎢⎣⎡21x x ⎥⎦⎤⎢⎣⎡=16 ⎥⎦⎤⎢⎣⎡=⎥⎦⎤⎢⎣⎡⇒1112x x (12分)五、(12分) 取节点1,010==x x ,写出x e x y -=)(的一次插值多项式),(1x L 并估计插值误差.解: 建立Lagrange 公式为 ()x L 110100101y x x x x y x x x x --+--=1101101-⨯--+⨯--=e x x x e x 11-+-=. (8分) ())1)(0(!2)()()(11--''=-=x x y x L x y x R ξ )10(<<ξ ()1)0(max 2110--≤≤≤x x x 令 ),1()(-=x x x h 由0)(='x h ,求得一个驻点得211=x于是 =≤≤|)(|max 10x h x 41)}1(),(),0({max 110=≤≤h x h h x 所以有())()(11x L x y x R -=)(max 2110x h x ≤≤≤81= (12分)六、(10分) 在区间[0,2]上利用压缩映像原理验证迭代格式1012.k x k +==,,,的敛散性. 解:(1) 记x x +=2)(ϕ,则xx +='221)(ϕ.当]2,0[∈x 时,];2,0[]2,2[)]2(),0([)(⊂=∈ϕϕϕx (5分) (2) .1221)0(|)(|<='≤'ϕϕx 因此,对]2,0[0∈∀x ,迭代格式1012.k x k +==,,, 产生的序列∞=0}{k k x 收敛. (10分)线封密三峡大学试卷班级姓名学号七、(12分)已知方程组⎪⎪⎪⎭⎫⎝⎛=⎪⎪⎪⎭⎫ ⎝⎛⎪⎪⎪⎭⎫ ⎝⎛121212212321x x x a a a (1)写出解此方程组的雅可比(Jacobi)迭代法公式; (2)证明当4>a 时,雅可比(Jacobi)迭代法收敛; (3)取5=a ,T x)101,51,101()0(=,求出)2(x . 解:(1)对.,3,2,1 =i 从第i 个方程解出i x ,得雅可比法迭代公式为:⎪⎪⎪⎩⎪⎪⎪⎨⎧=--=--=--=+++ ,1,0,)21(1)222(1)21(1)(2)(1)1(3)(3)(1)1(2)(3)(2)1(1n x x a x x x a x x x a x n n n n n n n n n (5分) (2)当4>a 时,A 为严格对角占优矩阵,所以雅可比迭代法收敛. (10分)(3)取5=a ,Tx )101,51,101()0(= 由迭代公式计算得 101)1(1=x , 258)1(2=x , 101)1(3=x . 25013)2(1=x , 258)2(2=x , 25013)2(3=x . (12分)八、(10分)设初值问题:⎩⎨⎧=≤≤++='0)0(10,122y x y x y , (1) 写出用Euler 方法、取步长1.0=h 解上述初值问题数值解的公式; (2) 写出用改进Euler 方法、取步长1.0=h 解上述初值问题数值解的公式. 解: (1)取步长1.0=h 解上述初值问题数值解的Euler 公式为;9,,1,0),1(1.0),(0221==++⨯+=+=+y n y x y y x hf y y n n n n n n n (5分)(2)取步长1.0=h 解上述初值问题数值解的改进Euler 公式为:)2(21.0)1(1.002121221221=⎪⎩⎪⎨⎧+++++=++⨯+=++++y y x y x y y y x y y n n n n n n n n n n (10分)九、(8分)学完《数值分析》这门课程后,请你简述一下“插值、逼近、拟合”三者的区别和联系.解: 答案略.。
研究生考试命题纸沈阳工业大学 2012 / 2013 学年 第 一 学期课程名称:数值分析 课程编号:000304 任课教师:陈欣 曲绍波 考试形式:闭 卷一、填空(每题3分,共15分)1. 二分法是求解 方程f (x )=0的 根一种方法,其前提是f (x )在有根区间[a ,b ]内单调且 。
2. 设矩阵⎪⎪⎭⎫ ⎝⎛-=0112A ,则1A = 、=2A 、)(A ρ= 。
3. 对于正数a ,使用牛顿法于方程02=-a x 所得到的迭代格式为 ,其收敛阶为 、求110(取x 0=10)的第一个近似值为 。
4. 幂法用来计算实矩阵A 的 特征值及对应的 ,在计算过程中进行“归一化”处理的原因是为了 。
5. 高斯求积公式)33()33()(11f f dx x f +-≈⎰-的代数精度为 ,当区间不是[-1,1],而是一般区间[a , b ]时,需要做变换 ,使用该公式计算≈⎰311dx x。
二、解答下列各题(每题5分,共10分)1. 请写出经过点A (0,1),B (2,3),C (4,5)的拉格朗日插值多项式形式。
说明插值基函数的性质以及拉格朗日插值法的优缺点。
2. 设n 阶可逆矩阵A 已经分解成A =LU ,其中L 下三角矩阵,U 单位上三角矩阵,推导出解线性方程组AX =b 的计算公式。
三、(10分)用不选主元的直接三角分解法解下面线性方程组⎪⎪⎩⎪⎪⎨⎧=+-=-+-=-+-=-342424344343232121x x x x x x x x x x 四、(20分,每题10分)对于线性方程组⎪⎩⎪⎨⎧=++=++=-+9223122321321321x x x x x x x x x 1. 分别写出使用GS 迭代法,SOR 迭代法(ω=1.3)求解的迭代格式,并对初始向量(1,0,0)T ,分别计算第一步近似解向量;2. 分别讨论求解此方程的J —方法和GS —方法的收敛性。
五、(10分)给出函数表如下,用牛顿向前插值公式求f (2.03)的近似值。
数值分析考试及答案作者:日期:班级• • •• • •• • •• • • o • • •学号• • •• • •姓名密• • •• • •o• • •• • •东北大学研究生院考试试卷2011 —2012 学年第一学期课程名称:数值分析(共3页)一、解答下列各题:(每题5分,共30分)1.设近似值x具有5位有效数字,则x的相对误差限为多少? 解:记x* 0.吋2…10m,则x的相对误差为:0.5 10m 50.a1a2... 10m0.5 10 50.10.5 10即,相对误差限为:0.5 102.问a, b满足什么条件时,矩阵Ao • • •• • •• • •线总分一——二三四五4 2 02 5a有分解式A GG T,并求a b 2时0 b 54 2 0 2 1 0解:由于A 2 5 a 1 2 a/2 (A对称正定时)0 b 5 0 b/2 5 ab/4所以,当2 .5 a b 2 5时有分解式 A GG T,a b 2 时有:4 2 0 2 0 0 2 1 0A 2 5 2 1 2 0 0 2 10 2 5 0 1 2 0 0 23.解线性方程组X1 2x2 2 的Jacobi 迭代法是否收敛,为什么?2x19x2 3的分解式(其中G是对角线元素大于零的下三角形矩阵)解:Jacobi迭代矩阵为:B2/92,所以,(B) 2/3 1所以,Jacobi迭代法是否收敛.4.对方程f (x) (x3 a)20建立敛?若收敛,收敛阶是多少?解:Newton迭代格式为:X k 1 X kf(xk)f (X k)由于迭代函数为:(x)?X ka6x2所以,此迭代格式收敛,收敛阶是Newton迭代格式,并说明此迭代格式是否收3X k a2~ ,x k6X k,方程根为:1.56k 6:k2, k 012-3 a,所以,5.设f (x) 4x3 3x 5,求差商f[0,1], f[1,2,3,4]和f [1,2,3,4,5]。
2012.1数值分析试卷1(10)设f(x)具有连续的m 阶导数,x*是f(x)=0的m 重根,其中m ≥2. {}k x 是由newton 迭代法产生的序列且收敛,证明1*1lim 1*k x k x x x x m+→∞-=-- (2)试把newton 迭代公式加以改进提高迭代公式的收敛速度。
2(10)newton 法解方程组222241x y x y ⎧+=⎪⎨-=⎪⎩,取初值00(,)(1.6,1.2)T x y =求出迭代两步的结果,计算结果保留5位小数。
3(1)试用Doolittle 分解方法求解方程组123126125153615469x x x ⎡⎤⎡⎤⎡⎤⎢⎥⎢⎥⎢⎥=⎢⎥⎢⎥⎢⎥⎢⎥⎢⎥⎢⎥⎣⎦⎣⎦⎣⎦ (2)试用乘幂法求出系数矩阵126251561546⎡⎤⎢⎥⎢⎥⎢⎥⎣⎦按模最大特征值及对应的特征向量,初始向量为(1,0,0)T ,求出迭代两步的结果,计算结果保留4位小数。
4已知线性方程组123223124211212316x x x -⎡⎤⎡⎤⎡⎤⎢⎥⎢⎥⎢⎥-=⎢⎥⎢⎥⎢⎥⎢⎥⎢⎥⎢⎥⎣⎦⎣⎦⎣⎦写出Gauss-seidel 迭代法的迭代格式并分析收敛性。
5已知一组实验数据:试用最小二乘法确定拟合公式b y ax =中参数是a ,b 。
6试求出过平面五点(-2,3)(-1,2)(0,5) (1,92) (2,337)的有理多项式7推导求积公式3"()()()()()224b a a b f f x dx b a f b a η+=-+-⎰其中η∈[a,b]并指明代数精度。
8用复化梯形公式适当的选取分段长度h 使得误差在(0.03,0.06)之间并用其计算积分10x e dx ⎰的近似值(计算中保留小数点后4位)9利用显示的Euler 方法计算函数20()x t y x e dt =⎰在点0.5,1,1.5,2x =的近似值,步长h=0.5(计算中保留小数点后4位)。
++中的待定系数,使其A f(1)(0)武汉理工大学研究生课程考试标准答案用纸课程名称:数值计算(A ) 任课教师 :一. 简答题,请简要写出答题过程(每小题5分,共30分) 3.14159265358979的近似值,它们各有几位有效数字,绝对误差和相对误差分别是多少?3分)2分)2.已知()8532f x x x =+-,求0183,3,,3f ⎡⎤⎣⎦,0193,3,,3f ⎡⎤⎣⎦.(5分)3.确定求积公式10120()(0)(1)(0)f x dx A f A f A f '≈++⎰中的待定系数,使其代数精度尽量高,并指明该求积公式所具有的代数精度。
解:要使其代数精度尽可能的高,只需令()1,,,m f x x x =使积分公式对尽可能大的正整数m 准确成立。
由于有三个待定系数,可以满足三个方程,即2m =。
由()1f x =数值积分准确成立得:011A A += 由()f x x =数值积分准确成立得:121/2A A += 由2()f x x =数值积分准确成立得:11/3A =解得1201/3,1/6,2/3.A A A === (3分)此时,取3()f x x =积分准确值为1/4,而数值积分为11/31/4,A =≠所以该求积公式的最高代数精度为2次。
(2分)4.求矩阵101010202A -⎡⎤⎢⎥=⎢⎥⎢⎥-⎣⎦的谱半径。
解 ()()101101322I A λλλλλλλ--=-=--- 矩阵A 的特征值为1230,1,3λλλ=== 所以谱半径(){}max 0,1,33A ρ== (5分)5. 设10099,9998A ⎛⎫= ⎪⎝⎭计算A 的条件数()(),2,p cond A P =∞.解:**19899-98999910099-100A A A A --⎛⎫⎛⎫=⇒== ⎪ ⎪-⎝⎭⎝⎭矩阵A 的较大特征值为198.00505035,较小的特征值为-0.00505035,则1222()198.00505035/0.0050503539206cond A A A -=⨯==(2分)1()199********c o n d A A A -∞∞∞=⨯=⨯=(3分)22001130101011010220100110110()(12)()(12)()()()()()x x x x x x x x H x y y x x x x x x x x x x x x x x y x x y x x x x ----=-+-------''+-+---(5分)并依条件1(0)1,(0),(1)2,(1) 2.2H H H H ''====,得2222331()(12)(1)2(32)(1)2(1)211122H x x x x x x x x x x x =+-+-+-+-=++ (5分)2.已知()()()12,11,21f f f -===,求()f x 的Lagrange 插值多项式。
研究生考试命题纸沈阳工业大学 2012 / 2013 学年 第 一 学期课程名称:数值分析 课程编号:000304 任课教师:陈欣 曲绍波 考试形式:闭 卷一、填空(每题3分,共15分)1. 二分法是求解 方程f (x )=0的 根一种方法,其前提是f (x )在有根区间[a ,b ]内单调且 。
2. 设矩阵⎪⎪⎭⎫ ⎝⎛-=0112A ,则1A = 、=2A 、)(A ρ= 。
3. 对于正数a ,使用牛顿法于方程02=-a x 所得到的迭代格式为 ,其收敛阶为 、求110(取x 0=10)的第一个近似值为 。
4. 幂法用来计算实矩阵A 的 特征值及对应的 ,在计算过程中进行“归一化”处理的原因是为了 。
5. 高斯求积公式)33()33()(11f f dx x f +-≈⎰-的代数精度为 ,当区间不是[-1,1],而是一般区间[a , b ]时,需要做变换 ,使用该公式计算≈⎰311dx x。
二、解答下列各题(每题5分,共10分)1. 请写出经过点A (0,1),B (2,3),C (4,5)的拉格朗日插值多项式形式。
说明插值基函数的性质以及拉格朗日插值法的优缺点。
2. 设n 阶可逆矩阵A 已经分解成A =LU ,其中L 下三角矩阵,U 单位上三角矩阵,推导出解线性方程组AX =b 的计算公式。
三、(10分)用不选主元的直接三角分解法解下面线性方程组⎪⎪⎩⎪⎪⎨⎧=+-=-+-=-+-=-342424344343232121x x x x x x x x x x 四、(20分,每题10分)对于线性方程组⎪⎩⎪⎨⎧=++=++=-+9223122321321321x x x x x x x x x 1. 分别写出使用GS 迭代法,SOR 迭代法(ω=1.3)求解的迭代格式,并对初始向量(1,0,0)T ,分别计算第一步近似解向量;2. 分别讨论求解此方程的J —方法和GS —方法的收敛性。
五、(10分)给出函数表如下,用牛顿向前插值公式求f (2.03)的近似值。
一.填空题(每小题3分,共27分):1.计算40的近似值时,要使其相对误差限001.0*<r ε,只需取 位有效数字; 2.设近似数1,2*2*1-==x x 的误差限分别为01.0和02.0,则≈)(*2*1x x ε ;3.设求积公式)()(0k ban k k x f A dx x f ⎰∑=≈是插值型求积公式,则0nk k A ==∑.4.若)(x P 是],[)(b a C x f ∈的最佳4次逼近多项式,则)(x P 在],[b a 上至少有 个偏差点; 5.在求积公式中,辛甫生公式至少具有 次代数精度;6.将⎪⎪⎭⎫ ⎝⎛-=1111A 分解为下三角阵L 与上三角阵U 之积, 即LU A =,则L =, U =;7.用牛顿迭代法解方程10x xe -=的迭代公式为8. 将],[b a 区间n 等分,步长n ab h -=,分点),,1,0(n k kh a x k =+=,则],[b a 等分为n 个子区间,即∑-==1],[n k k I b a ,子区间],[1+=k k k x x I .则计算定积分()baI f x dx =⎰的复化辛普森公式为n S =.9. 计算定积分()b aI f x dx =⎰的复化梯形公式的误差表达式为n I T -= 二.单选题(每小题3分,共24分):1. 根据数值运算误差分析的方法与原则, 无需避免的是 ( );A. 绝对值很大的数除以绝对值很小的数B. 两个非常相近的数相乘C. 绝对值很大的数加上绝对值很小的数D. 两个非常相近的数相减2. 设 )(,),(),(10x l x l x l n 分别为节点 n x x x ,,,10 上的 n 次拉格朗日插值基函数, 则 ∑=≡-ni iix l x 0)()2(( );A .2-x B.2-i xC.0D. 13. 设 n ()[,],()f x C a b P x ∈是)(x f 的最佳一致逼近多项式, 则其逼近标准是依据( ); A. 2min[()()]kbn aa f x P x dx -⎰C. n minmax ()()ia a x bf x P x ≤≤- D. n maxmin()()ka x ba f x P x ≤≤-4. 设 )(],,[)(x P b a C x f ∈是)(x f 的最佳平方逼近多项式, 则其逼近标准是依据( ); A. 2min[()()]kbn aa f x P x dx -⎰B.C. n minmax ()()ia a x bf x P x ≤≤- D. n maxmin()()ka x ba f x P x ≤≤-5. 若牛顿-柯特斯公式只有一个求积节点, 则柯特斯系数 =)0(0C ( A );A.1B.0C.2/1D.a b - 6.插值型求积公式 ∑==nk k kn x f AI 0)( 的代数精度最高可达到 ( ) 次;A.nB.1+nC.n 2D.12+n7. 用迭代法解方程 )5.1(01023==--x x x , 则该方程最好改写为 ( ) ; A.2/11x x += B.321x x += C.13-=x x D. 1/1-=x x8. 迭代法)()()1(k k k x Ax b x+-=+解线性方程组b Ax =收敛的充要条件是( );A .1)(<A ρB. 1)(<-A b ρC. 1)(<-A I ρD. 1)(<+A I ρ三.解答题(共39分)1.(7分) 求 32()21f x x x x =++- 在区间 [-1,1] 上的2次最佳一致逼近多项式()2P x2. (15分) 己知)(x f 的函数表如下,解答下述问题:(1)填写差商表.i x)(i x f ],[1+i i x x f ],,[21++i i i x x x f ],,[3+i i x x f ],,[4+i i x x f6 1 10 3 46 4 82 6212(2)写出函数)(x f 的牛顿插值多项式. (3)写出插值余项的表达式.3.(7分)求简单迭代法),...2,1,0(,121=+=+k x x x kk k 的收敛阶。