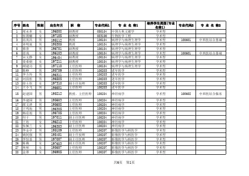
天津中医药大学硕士导师名单
- 格式:doc
- 大小:291.50 KB
- 文档页数:7
2013年硕士生
一、2013级临床医学专业型硕士研究生可从以下单位选择导师(专业型的研究生
天津中医药大学第一附属医院,天津中医药大学第二附属医院,天津市中医药研
天津市传染病医院,天津市公安医院,中国人民武装警察部队医学院附属医院.
二、中药学(专业型)、全科医学(专业型)的研究生只能选中药学、全科医学
二、本表中“导师类型”中标明“博导”的导师,只要博导本人愿意也可以带我
三、除少数特殊专业外,从2013年开始,我校四年没带教研究生的导师,将取消
四、个别的导师信息(如职称等信息)如有变化请提供单位盖章的证明,并联系
五、所有的导师都需要登陆网站:/index.
管理部门,再由管理部门发给各位导师“用户名和密码”,其他零散导师由导师或导师的学
ndex.portal 完善个人信息。
(我校各院系、12家培养临床医学专业研究生的医院其他零散导师由导师或导师的学生到研究生院索取导师的用户名、密码。
硕士生导师名单(供2013级硕士研究生选导师用)
医药研究院附属医院,天津市南开医院,天津市人民医院,天津市第四中心医院医院.天津市天津医院,天津市第一中心医院,天津医科大学代谢病医院
研究生只能选专业型导师):
科医学的专业型导师。
以带我校的硕士研究生。
将取消导师带教资格。
并联系研究生院学位科郭老师更改。
联系电话:022-********
的医院由研究生院发给各单位研究生。
488 100702 生药学马琳女1963.03 教授中药生物工程、中药质量与资源的研究天津中医药大学中药学院489 100702 生药学张丽娟女1963.01 教授"中药质量与资源的研究、生药的品种鉴定及质量评价" 天津中医药大学中药学院490 100702 生药学韩英梅女1970.8 副研究员天然药物研究及新药研发天津药物研究院2009新增491 100702 生药学刘岱琳男1973.5 副教授天然产物活性成分及生物转化结构装饰研究武警医学院2009新增492 100702 生药学於洪建男1967.12 高级工程师天然产物活性成分研究天津尖峰天然产物研究开发有限公司2009新增493 100704 药物分析学崔元璐男1972.08 副教授研究员中药制剂学、中药药理学天津中医药大学中医药研究中心494 100704 药物分析学邓雁如女1963.05 教授中药活性成分的分离、结构鉴定以及生物活性评价天津中医药大学中药学院495 100704 药物分析学何新女1967.12 教授1.中药代谢动力学2.中药药理学与毒理学研究天津中医药大学496 100704 药物分析学何永志男1965.04 副教授中药及其复方化学成分的研究天津中医药大学中药学院497 100704 药物分析学金华女1968.01 副教授中药理论及其应用研究天津中医药大学中药学院498 100704 药物分析学李川男1996.01 教授中药药物代谢动力学中国科学院499 100704 药物分析学李锦女1955.11 教授药物分析、中药及其复方化学成分的研究天津中医药大学中药学院500 100704 药物分析学潘勤男1970.06 高级工程师中药化学、中药新药研究天津市中新药业集团501 100704 药物分析学戚爱棣女1951.11 教授药物代谢与药代动力学研究、中药药物分析天津中医药大学中药学院502 100704 药物分析学王阳女1968.04 副教授中药新制剂的研究天津中医药大学中药学院503 100704 药物分析学魏峰男1960.02 副教授中草药成分化学天士力集团504 100704 药物分析学叶正良男1967.09 副主任药师现代中药研发天津天士力集团有限公司505 100704 药物分析学张玉萍女1963.01 副教授中药及其复方化学成分的研究、药物分析天津中医药大学中药学院506 100704 药物分析学马百平男1966.05 研究员中药有效成分研究,新药研究开发军事医学科学院507 100704 药物分析学蒋庆峰男1964.11 研究员药物分析天津药物研究院2009新增508 100704 药物分析学靳朝东男1962.2 研究员药物分析天津药物研究院2009新增509 100704 药物分析学刘斌男1961.03 教授药物分析及药物化学天津医学高等专科学校510 100704 药物分析学任晓文女1966.8 副研究员药物制剂天津药物研究院2009新增511 100704 药物分析司端运男1964.2 研究员药物代谢及药代动力学天津药物研究院2009新增512 100704 药物分析学王春龙男1960 01 研究员药物制剂天津药物研究院513 100704 药物分析学王倩女1957 正高级工程师新剂型研究天津市医药科学研究所514 100704 药物分析学王杏林研究员药物制剂天津药物研究院515 100704 药物分析张祎女1974.09 天然药物化学成分的提取、分离、分析及活性评价研究天津中医药大学2009新增516 100706 药理学崔广智男1966.03 副教授药理学天津中医药大学中药学院517 100706 药理学郭志昕男1952.02 主任药师医学药理学、有关国家植物药法规天士力集团518 100706 药理学胡利民男1966.01 研究员中药药理学天津中医药大学519 100706 药理学刘屏女1956.12 研究员中药活性成分及中药药理研究中国人民解放军总医院520 100706 药理学马红梅女1968.06 研究员中药药理学、毒理学研究天津中医药大学521 100706 药理学王威男1956.08 副教授调节糖脂代谢中药药理研究天津中医药大学522 100706 药理学张德芹女1963.07 教授中药基本理论及临床应用天津中医药大学中医药研究中心523 100706 药理学张艳军男1967.08 教授中药及其复方药理的研究天津中医药大学中药学院524 100706 药理学孙蓉女1964.11 副研究员1.中药毒理与方剂配伍减毒分子机制和体内毒代动力学研究 2.中医病证结合动物模型研制山东省中医药研究院525 100706 药理学高秀梅女1966.08 研究员中药药理学天津中医药大学526 100706 药理学何新女1967.12 教授1.中药代谢动力学2.中药药理学与毒理学研究天津中医药大学527 100706 药理学张伯礼男1948.02 教授院士中药药理学天津中药大学528 100706 药理学连增林女1964.7 研究员抗肿瘤中药的发现及其作用机制研究中药复方新药开发国家工程研究中心2009新增529 100706 药理学申秀萍女1964.5 研究员化学药、中药药理、毒理研究天津药物研究院2009新增530 100706 药理学汤立达男1963 11 研究员药理学、生物化学天津药物研究院531 100706 药理学田义红男1963.2 副研究员化学药、中药药理、毒理研究天津药物研究院2009新增532 100706 药理学徐为人研究员药理天津药物研究院533 100706 药理学阎姝女1968.5 副主任医师临床药理、药物分析天津市南开医院2009新增534 100706 药理学张宗鹏男1957 08 研究员化学药、中药药理、毒理研究天津药物研究院535 100706 药理学赵专友男1964 04 研究员心血管药理天津药物研究院536 100800 中药学崔广智男1966.03 副教授药理学天津中医药大学中药学院537 100800 中药学崔元璐男1972.08 副教授研究员中药制剂学、中药药理学天津中医药大学中医药研究中心538 100800 中药学邓雁如女1963.05 教授中药活性成分的分离、结构鉴定以及生物活性评价天津中医药大学中药学院539 100800 中药学郭志昕男1952.02 主任药师医学药理学、有关国家植物药法规天士力集团540 100800 中药学何永志男1965.04 副教授中药及其复方化学成分的研究天津中医药大学中药学院541 100800 中药学胡利民男1966.01 研究员中药药理学天津中医药大学542 100800 中药学金华女1968.01 副教授中药理论及其应用研究天津中医药大学中药学院543 100800 中药学李川男1996.01 教授中药药物代谢动力学中国科学院544 100800 中药学李锦女1955.11 教授药物分析、中药及其复方化学成分的研究天津中医药大学中药学院545 100800 中药学刘屏女1956.12 研究员中药活性成分及中药药理研究中国人民解放军总医院546 100800 中药学马红梅女1968.06 研究员中药药理学、毒理学研究天津中医药大学547 100800 中药学马琳女1963.03 教授中药生物工程、中药质量与资源的研究天津中医药大学中药学院548 100800 中药学潘勤男1970.06 高级工程师中药化学、中药新药研究天津市中新药业集团549 100800 中药学戚爱棣女1951.11 教授药物代谢与药代动力学研究、中药药物分析天津中医药大学中药学院550 100800 中药学王威男1956.08 副教授调节糖脂代谢中药药理研究天津中医药大学551 100800 中药学王阳女1968.04 副教授中药新制剂的研究天津中医药大学中药学院552 100800 中药学魏峰男1960.02 副教授中草药成分化学天士力集团553 100800 中药学叶正良男1967.09 副主任药师现代中药研发天津天士力集团有限公司554 100800 中药学张德芹女1963.07 教授中药基本理论及临床应用天津中医药大学中医药研究中心555 100800 中药学张丽娟女1963.01 教授"中药质量与资源的研究、生药的品种鉴定及质量评价" 天津中医药大学中药学院556 100800 中药学张艳军男1967.08 教授中药及其复方药理的研究天津中医药大学中药学院557 100800 中药学张玉萍女1963.01 副教授中药及其复方化学成分的研究、药物分析天津中医药大学中药学院558 100800 中药学马百平男1966.05 研究员中药有效成分研究,新药研究开发军事医学科学院559 100800 中药学孙蓉女1964.11 副研究员1.中药毒理与方剂配伍减毒分子机制和体内毒代动力学研究 2.中医病证结合动物模型研制山东省中医药研究院560 100800 中药学高秀梅女1966.08 研究员中药药理学天津中医药大学561 100800 中药学何新女1967.12 教授1.中药代谢动力学2.中药药理学与毒理学研究天津中医药大学562 100800 中药学张伯礼男1948.02 教授院士中药药理学天津中药大学563 100800 中药学曹彩女1954.1 主任药师药品研究、生产、流通环节的管理国家食品药品监督管理局564 100800 中药学陈常青女1963.5 研究员中药化学天津药物研究院2009新增565 100800 中药学陈乃宏男1961 研究员药理学、分子药理学中国医学科学院药物研究所566 100800 中药学崔维利男1968.09 副主任药师中药制剂,中药炮制天津中医药大学第一附属医院567 100800 中药学窦志英女1967.11 教授中药及其复方化学成分的研究、中药炮制的研究天津中医药大学中药学院568 100800 中药学方玲女1962.5 副教授中药基础理论及其应用研究天津中医药大学中药学院569 100800 中药学郝存江男1963.03 教授纳米中药研究天津中医药大学实验教学部570 100800 中药学侯文彬男1969.9 副研究员中药新药研究、质量控制天津药物研究院2009新增571 100800 中药学胡国强男1949.07 主任医师中药药理学天津中医药大学第一附属医院572 100800 中药学黄怀鹏男1971.05 研究员中药药理与新药开发河北平安健康集团股份有限公司573 100800 中药学李海生男1955.02 主任药师中药质量标准研究天津市药品检验所574 100800 中药学李进男1958.05 主任药师中药制剂、质量研究天津中医药大学第一附属医院575 100800 中药学刘虹女1967.2 副研究员中药新药研发天津中医药大学576 100800 中药学刘萍女1953.08 主任药师中药与西药的相互作用解放军总医院(301医院)577 100800 中药学柳占彪男1960.9 副主任技师中药药理、毒理研究天津中医药大学中医药研究院578 100800 中药学屈彩琴女1952.01 副研究员中药药理学天津中医药大学研究中心579 100800 中药学宋新波男1964.11 高级工程师中药制剂研究天津中医药大学药厂580 100800 中药学陶遵威男1957.9 研究员"天然产物的提取分离、天然产物单体的结构改造新药及制剂的研发" 天津市医药科学研究所581 100800 中药学王虹女1974.6 副研究员心血管细胞药理天津中医药大学中医药研究院582 100800 中药学王升启男1962.1 教授中药现代化北京军事医学科学院583 100800 中药学王涛男1973.11 副研究员抗糖尿病类天然产物的化学和药理学研究天津中医药大学中医药研究院584 100800 中药学吴廼峰男1952.11 主任药师药物研发、营销天士力集团585 100800 中药学肖学凤女1966.06 副教授中药新药开发天津中医药大学中药学院586 100800 中药学徐志尧男1947.01 副主任药师中药制剂研究天津中医药大学587 100800 中药学阎希军男1953.09 主任药师药物研发、生产、管理天士力集团588 100800 中药学于虹女1956.04 教授中药理论及其应用研究天津中医药大学589 100800 中药学詹丽梅女1952.06 副主任药师中药制剂研究天津中医药大学药厂590 100800 中药学张金英女1961.08 副教授中药理论及其应用研究天津中医药大学中药学院591 100800 中药学张师愚男1962.06 副教授中药及其复方化学成分的研究天津中医药大学中药学院592 100800 中药学张铁军男1962.02 研究员中药新药、中药资源、质量控制天津药物研究院593 100800 中药学赵骏女1962.08 教授中药及其复方化学成分的研究及应用天津中医药大学中药学院594 100800 中药学朱晓薇女1955.03 教授中药制剂研究天津中医药大学中药学院595 100800 中药学邹爱英女1961.12 副主任药师中药临床合理应用及饮片鉴定天津中医药大学第二附属医院596 100801 中药学韩志强男1964.2 高级工程师中药制剂太阳石(唐山)药业公司2009新增597 100802 中药学刘志东男1978.2 副研究员透皮给药系统、缓控释制剂和靶向制剂天津中医药大学2009新增598 100803 中药学刘洋女1972.7 副研究员中药及复方药理和毒理研究天津中医药大学2009新增599 100803 中药学刘振丽女196501 研究员中药有效成分研究中国中医科学院2009新增600 100804 中药学仝燕女196305 研究员中药新型给药系统及新剂型研究中国中医科学院2009新增。
76内蒙古中医药第 38 卷2019 年 11 月第 11 期 Inner Mongolia Journal of Traditional Chinese Medicine Vol.38 No.l 1 2019阎莉教授芒针中月完穴治疗痛证经验窦海云阎莉傅立新**作者简介:窦海云(1991-),女.汉族.天津中医药大学2016级硕士研究生,主研针剌 治疗脑血管病及神经内科病。
*通讯作者:傅立新(1966-),女,汉族.教授,主任医师,研究生导师,博士学历,主研针刺治疗脑血管病、神经内科病及筋骨针治疗脊柱关节病。
(天津中医药大学第一附属医院天津300193)摘要阎莉教授作为沈氏芒针继承人,针灸造诣颇深,从医50余年来,临证中选用芒针深剌中脫穴治疗中医痛证疗效显著,针 到痛除,立竿见影。
将痛证病机归纳为“脾胃虚弱,清浊不分,阴阳失调,形神分离,腑气不通,不通则通”,故治疗上主张以“通”为用。
本文旨在浅析芒针中脫穴的具体操作、理论内涵,并列举2则典型病例,从而为中医学者对于中医痛证的治疗提供更广阔的 思路。
关键词名家经验;阎莉;芒针;中兢;痛证中图分类号:R249 文献标识码:B 文章编号:1006-0979(2019)11-0076-02Professor Yanli's clinical experience in the treatment of pain syndrome by using ZHONGWAN(CV12) with the elongated needleDOU Hai-yun YAN Li FU Li-xin(First Teaching Hospital of Tianjin University of TCM , China 300193 )[Abstract] Professor Yan li , learned from Professor Shen Jinshan, the inventor of elongated needle , has been a doctor for more than 50years and has rich and unique clinical experience of acupuncture. Yan li choose ZH0NGWANICV12) in the treatment of pain syndrome , which has a significant effect. She thinks the pathogenesis of pain syndrome can be summarized as "the weakness of spleen and stomach ,undivided Turbidity, the imbalance of Yin and Yang, the separation of body and spirit , qi stagnation of Fu leading to the ache". There fore, she advocates the key of the treatment is "pass". This paper aimed at explaining the theory and needling manipulation of ZHONG-WAN (CV 12) with the elongated needle and expound 2 typical case report , so as to provide wider ideas and methods for the future treat ment of the pain syndrome.[Key words] Famous doctor; Medical experience ;ZH0N G W A N (C V 12); elongated needle ; pain syndrome阎莉教授是“一代芒针大师”一沈金山先生的亲传弟子。
2013年硕士生
一、2013级临床医学专业型硕士研究生可从以下单位选择导师(专业型的研究生
天津中医药大学第一附属医院,天津中医药大学第二附属医院,天津市中医药研
天津市传染病医院,天津市公安医院,中国人民武装警察部队医学院附属医院.
二、中药学(专业型)、全科医学(专业型)的研究生只能选中药学、全科医学
二、本表中“导师类型”中标明“博导”的导师,只要博导本人愿意也可以带我
三、除少数特殊专业外,从2013年开始,我校四年没带教研究生的导师,将取消
四、个别的导师信息(如职称等信息)如有变化请提供单位盖章的证明,并联系
五、所有的导师都需要登陆网站:/index.
管理部门,再由管理部门发给各位导师“用户名和密码”,其他零散导师由导师或导师的学
ndex.portal 完善个人信息。
(我校各院系、12家培养临床医学专业研究生的医院其他零散导师由导师或导师的学生到研究生院索取导师的用户名、密码。
硕士生导师名单(供2013级硕士研究生选导师用)
医药研究院附属医院,天津市南开医院,天津市人民医院,天津市第四中心医院医院.天津市天津医院,天津市第一中心医院,天津医科大学代谢病医院
研究生只能选专业型导师):
科医学的专业型导师。
以带我校的硕士研究生。
将取消导师带教资格。
并联系研究生院学位科郭老师更改。
联系电话:022-********
的医院由研究生院发给各单位研究生。