中国精算师《非寿险精算》过关必做500题(含历年真题)(第4章 非寿险费率校正)【圣才出品】
- 格式:pdf
- 大小:2.94 MB
- 文档页数:88
2020精算师考试《非寿险精算》真题模拟及答案(4)共42道题1、某人具有400个单位的财富,他的效用函数为:已知他面临的损失随机变量X的分布列如表所示。
表损失随机变量X分布列他用30个单位的财富购买了具有免赔额的保单,则在此情况下他的期望效用可能的最大值为()。
(单选题)A. 18.3B. 18.6C. 18.7D. 19.6E. 19.8试题答案:C2、已知经验总损失15万元,已经风险单位600,与保费直接相关因子为12%,利润因子为4%,每风险单位固定费用为10元,由纯保费法得到的指示费率为()元。
(单选题)A. 250.0B. 279.5C. 309.5D. 412.5E. 512.5试题答案:C3、假设一个奖惩系统的转移概率矩阵如下:p(0<p<1)表示没有发生索赔的概率。
假设全额保费是1000元,投保人现在处于25%折扣级别。
发生一次事故后,投保人可以提出索赔,也可以不进行索赔,则在这两种情况下,投保人在未来交纳的保费差别为()元(假设投保人今后不会发生索赔)。
(单选题)A. 150B. 250C. 400D. 550E. 600试题答案:D4、根据下面的数据:承保保费1000000已赚保费900000已发生损失和分摊损失调整费用500000非分摊损失调整费用40000佣金200000税收、执照及其他费用20000其他承保费用(展业费用)50000一般管理费用45000总的损失和费用855000假定利润与安全因子是5%,则目标损失率为()。
(单选题)A. 0.5236B. 0.5123C. 0.4879D. 0.5833E. 0.6296试题答案:D5、可用平均索赔次数估计索赔频率。
当保单数目为100时,信度因子Z=0.5;若信度因子Z=0.8,则保单数目至少增加()。
[2008年真题](单选题)A. 156B. 206C. 256D. 306E. 356试题答案:A6、假定某投保人拥有价值为100单位的财产,但这笔财产将面临某种损失,这一风险被表示为随机变量Y,Y是服从(0,36)之间均匀分布的随机变量。
精算师《非寿险精算》模拟试卷及答案分析试题:1.已知发生在某时期的经验损失与可分配损失调整费用为:2300万元同时期的均衡已经保费为:3200万元假设目标损失率为:0.659求指示费率整体水平变动量。
A.0.0907B.1.0907C.11.0254D.0.9168E.0.92682.已知各发生年的预测最终索赔次数如下:发生年预测最终索赔次数如下19842541985285198628019873121988320计算1989年预测索赔次数与1988年预测索赔次数之比。
A.1.05B.1.06C.1.07D.1.08E.1.093.设三类风险在5年内观测值的一些有关数据如下:试估计最小平方信度因子。
A.0.01B.11C.1D.0.5533E.04.在经验估费法中,关于不同规模风险的信度的陈述,下列选项中正确的是哪一项?①规模较大的风险在估费时更为可信;②不同规模风险的信度公式仍具有形式;③公式是建立在风险方差与风险规模成反比的基础上的。
A.仅①正确B.仅②正确C.仅③正确D.①、②正确E.全部正确5.有关贝叶斯方法的陈述,下列选项中正确的是哪一项?①在0-1损失函数下,贝叶斯方法得到的信度因子的估计与最小平方信度是一致的;②在估计非线性问题时,贝叶斯方法比最小平方信度更有优越性;③贝叶斯方法含有主观的成分,此主观成分主要表现在对先验分布及损失函数的选取上。
A.仅①正确B.仅②正确C.仅③正确D.②、③正确E.全部正确答案:1.解:选A。
2.解:设X=发生年-1983则有如下的对应关系:设y=ax+b是其回归方程,解如下方程组可得回归系数a,b的估计:上式方程组变为②-①3得:159=10a这样可得到1989年的预测值为:因此可得到所求的值为:338/320=1.063.解:1-的估计为故=0选E。
4.解:①显然正确;②,其中p表示期望损失,该公式建立的前提是:,piu越是第i类风险在第u年的风险单位数,故②、③选项也正确。
2021精算师考试《非寿险精算》真题模拟及答案(4)1、在一个7年的投资期中,前3年的实际利率为10%,随后2年的实际利率为8%,再随后1年的实际利率为6%,最后1年的利息强度为4%。
则一笔1000元的投资在这7年中所得的总利息为()元。
(单选题)A. 710.2B. 711.4C. 712.8D. 715.6E. 717.5试题答案:C2、假设每次事故的损失服从参数为λ的指数分布,而每份保单规定的免赔额为1/λ,则保险公司对每张保单的期望赔款为()。
(单选题)A. λB. 1/λC. 1D. 1/λ2E. λ2试题答案:B3、假设损失X服从正态分布N(33,1092),99%CTE为()。
(单选题)A. 320B. 324C. 328D. 332试题答案:B4、10000元的系列债券在以后5年每半年赎回本金1000元,票息率为每半年一次计息的年复利为10%,若每年计息2次的年名义收益率为6%,投资者购买此债券的价格是()元。
(单选题)A. 8350B. 10000C. 10980D. 11320E. 12460试题答案:C5、假设基本危险单位为车年,现有一车于2009年10月1日参加保险,期限为6个月,则该车在2010年的已签危险量、已承担危险量和在2010年1月1日的有效危险量分别为()。
(单选题)A. 1.00,0.50,0.50B. 0.00,0.50,0.50C. 0.00,0.25,0.25D. 0.00,0.25,0.50E. 0.00,0.50,0.25试题答案:D6、设某人有1000元财产,潜在损失在[0,100]上服从均匀分布,其效用函数为u(x)=,保单均以纯保费出售。
若此人愿付20元保险费购买具有免陪额的保单,则当免赔额为()时使其获最大期望效用。
(单选题)A. 32.40B. 33.28C. 34.26E. 36.75试题答案:E7、某保险公司有关机动车辆险的信息如下:2011年7月1日家庭轿车的费率为1900元2008年~2010年家庭轿车的保单数如下:2008年3570;2009年4230;2010年5100以2011年费率作为当前费率,用危险扩展法求2008~2010年均衡已赚保费为()万元。
中国精算师考试《非寿险精算》试题(网友回忆版)一[单选题]1.根据保险公司风险资本比率所在的不同范围,监管部门会采取相应的措施。
(江南博哥)当风险资本比率()时,属于授权控管水准,监管部门可以对保险公司采取重整或清算的行动。
A.大于200%B.介于150%至200%之间C.介于100%至150%之间D,介于70%至100%之间E低于70%参考答案:D参考解析:风险资本比率=总调整资本/最低风险资本XIOo除比率越大,则风险越小。
200%以上——无行动水准150%-200%——公司行动水准100%-150%——监管行动水准70%-100%——授权控管水准70%以下——强制控管水准[单选题]2.某公司承保业务如下表所示:()OA.0.148B.0.168C.0.188D.0.208E.0.228参考答案:B参考解析:财务稳定性系数K是保险赔付随机变量的标准差Q与所收保费P的比值,即K=Q∕P°K越小,财务越稳定。
设n个独立的危险单位,每个保额a元,损失概率为p,损失变量服从二项分布B(n,p),则保险赔付的标准差Q=Tnp(1-p),纯保费p=em q,则财务稳定系数n=Q= ------------------- - --------= ------Pαnq√⅞α设有n类业务,第i类有ni个独立的危险单位,每个保额ai元,损失概率pi,则赔付的方差DXi=a⅛Mi-PJ,则所有业务的财务稳定系数为QJD,Ei1D)-JXg E1DXiJ比J4n<Pι(i-P。
】-F-Σ{1ιi n i p i^∑11⅝n i p j^∑1ι⅜∏iPi因此,业务一和业务三合并的财务稳定系数为_Q_√M∏1p1(i-PJ+申a p aα-p・)3nd>,+a√⅛¾⅛____________κ_√5000z×6000×003×0.97÷1000001×300×0.03×0.97二SOOOX6000×0J3+100000×300×0.03=0.168[单选题]3.一组样本数据满足以下条件:(1)均值=35,000(2)标准差=75,000(3)中值二10,000(4)90%分位数=Io0,000(5)样本服从WeibUI1分布用分位数估计法估计WeibU11分布的参数丫,估计结果0。
非寿险精算期末试题及答案一、选择题1. 下列哪个选项不属于非寿险精算的核心任务?A. 产品设计与定价B. 统计分析与风险管理C. 声誉评估与市场运营D. 赔付分析与预测答案:C2. 以下哪个指标可以衡量一个非寿险公司的风险承受能力?A. 经济附加值B. 投资收益率C. 赔付率D. 保费收入增长率答案:A3. 非寿险公司在产品设计阶段通常会使用什么方法来确定保费?A. 风险调整净保费法B. 赔付预测法C. 统计估计法D. 客户需求调查法答案:B4. 下列哪个风险不属于非寿险精算中常见的核心风险?A. 市场风险B. 操作风险C. 微观经济风险D. 利率风险答案:C5. 假设某个非寿险产品的保费为100万,赔款率为60%,则该产品的赔款金额为多少?A. 40万B. 60万C. 100万D. 160万答案:B二、简答题1. 请简要介绍非寿险精算的定义和作用。
非寿险精算是指利用数学和统计方法对非寿险业务进行风险评估、保费定价、赔付分析等分析和计算的过程。
其作用是帮助保险公司控制风险、确定合理的保费、评估赔付能力,从而保障公司的经营稳定性和盈利能力。
2. 请列举非寿险精算中常见的核心风险。
非寿险精算中常见的核心风险包括但不限于以下几个方面:- 赔款风险:即由于保险事故引起的赔付金额不确定性。
- 市场风险:即由于市场变动而导致的投资收益波动风险。
- 操作风险:即由于业务操作不当引起的风险。
- 法律风险:即由于法律法规变化导致的风险。
- 自然风险:即由于自然灾害等不可抗力因素引起的风险。
- 战争风险:即由于战争等社会因素引起的风险。
3. 请简述非寿险产品的定价方法。
非寿险产品的定价通常使用风险调整净保费法。
该方法首先根据历史数据和统计模型对风险进行评估,确定赔付率和赔款金额的期望值。
然后通过对期望赔款金额进行风险调整计算得出净保费,并加上预期利润和费用进行最终定价。
定价过程需要综合考虑市场需求、竞争状况等因素,以确保产品的竞争力和盈利能力。
非寿险精算期末考试试题### 非寿险精算期末考试试题#### 一、选择题(每题2分,共20分)1. 在非寿险精算中,以下哪项不是风险评估的组成部分?A. 风险识别B. 风险度量C. 风险控制D. 风险规避2. 以下哪项不是非寿险精算中常用的损失分布模型?A. 泊松分布B. 正态分布C. 指数分布D. 威布尔分布3. 在非寿险精算中,以下哪项不是索赔成本的组成部分?A. 直接损失B. 间接损失C. 索赔处理费用D. 投资收益4. 以下哪项不是非寿险精算中常用的定价方法?A. 期望损失法B. 风险调整法C. 历史平均法D. 精算公平法5. 在非寿险精算中,以下哪项不是再保险的作用?A. 分散风险B. 提高资本效率C. 增加投资收益D. 提高承保能力#### 二、简答题(每题10分,共30分)1. 简述非寿险精算中风险评估的一般流程。
2. 描述非寿险精算中常用的损失分布模型,并说明它们各自的特点。
3. 简述非寿险精算中再保险的作用及其对保险公司的影响。
#### 三、计算题(每题20分,共50分)1. 假设某保险公司承保了一项财产保险业务,该业务的年预期损失为100万元,标准差为50万元。
如果该保险公司采用风险调整法定价,风险调整系数为0.2,请计算该保险产品的合理保费。
2. 假设某保险公司承保了一项责任保险业务,该业务的索赔次数服从参数为λ的泊松分布,每次索赔的平均损失为500元。
如果该保险公司希望将该业务的预期利润率控制在5%,请计算该保险产品的合理保费。
3. 假设某保险公司承保了一项汽车保险业务,该业务的索赔次数服从参数为λ的泊松分布,每次索赔的平均损失服从均值为1000元、标准差为300元的正态分布。
如果该保险公司希望将该业务的预期利润率控制在10%,请计算该保险产品的合理保费。
#### 四、论述题(每题20分,共20分)1. 论述非寿险精算中风险管理的重要性,并结合实际案例说明风险管理在保险公司运营中的作用。
2021精算师考试《非寿险精算》真题模拟汇编2021精算师考试《非寿险精算》真题模拟12-271、假设每个风险单位的纯保费、固定费用、变动费用附加系数和利润附加系数如表所示。
则每个风险单位的费率为()元。
(单选题)A. 700B. 800C. 900D. 1000E. 1100试题答案:D2、假设再保险公司的期望赔款为100000元,再保险利润附加率为20%,再保险公司的内部费用率为10%,分保佣金率为25%,经纪人佣金率为5%,则再保险费为()元。
(单选题)A. 175692B. 185624C. 198413D. 201365E. 215496试题答案:C3、已知有四个风险等级的被保险人,每人可能发生的损失为2或4,其分布如表4-22所示。
随机选定某一风险等级(概率为1/4),并从中选取四个被保险人,总的损失为4。
如果从同一风险等级再抽取一个被保险人,则用Bühlmann-Straub信度模型估计这五个被保险人的总损失为()。
表损失分布数据(单选题)A. 8.32B. 8.35C. 8.54D. 8.69E. 8.86试题答案:D4、已知:(1)各支付年索赔支付额如下表所示。
表1 单位:千元(2)已报告索赔的赔案准备金为:表2 单位:千元(3)假设:平均比率=选定比率,并且进展期3∶4+PO选定比率为0.5,进展期3∶4+CED选定比率为1.1,用准备金进展法得到的进展期1∶2的平均准备金支付率(PO)为();平均赔案准备金进展度(CED)为()。
(单选题)A. 0.86,1.93B. 0.873,2.078C. 0.531,1.257D. 0.5,1.1E. 0.531,1.93试题答案:B5、已知:则到2011年7月1日的整体指示费率的变化量为()。
(单选题)A. 0.1661B. 0.1551C. 0.1441D. 0.1771E. 0.1331试题答案:A2021精算师考试《非寿险精算》真题模拟12-281、已知有四个风险等级的被保险人,每人可能发生的损失为2或4,其分布如表4-22所示。
《非寿险精算》试题及答案(解答仅供参考)第一套一、名词解释1. 非寿险精算:非寿险精算是研究非寿险业务中风险评估、保费定价、准备金评估、损失分布分析等领域的数学和统计方法。
2. 损失概率:损失概率是指在一定时间内,某一特定风险事件发生的可能性。
3. 纯保费:纯保费是指保险公司为了覆盖预期的损失成本而收取的保费。
4. 保险准备金:保险准备金是保险公司为应对未来可能发生的索赔而储备的资金。
5. 责任年限法:责任年限法是一种计算未决赔款准备金的方法,基于假设所有未决赔款将在一定年限内结案。
二、填空题1. 非寿险精算的主要内容包括风险评估、______、准备金评估和损失分布分析。
答案:保费定价2. 在非寿险业务中,______是决定保费水平的重要因素。
答案:损失概率和损失程度3. 如果实际赔付金额超过已收取的保费和投资收益之和,就需要动用______来支付。
答案:保险准备金4. 在非寿险精算中,______是一种常用的损失分布模型。
答案:泊松分布或帕累托分布5. 在责任年限法中,如果假设所有未决赔款将在一年内结案,那么这就是______责任年限法。
答案:一年三、单项选择题1. 非寿险精算主要应用于哪种类型的保险业务?A. 寿险B. 健康险C. 财产险D. 意外险答案:C. 财产险2. 下列哪一项不属于非寿险精算的内容?A. 风险评估B. 保费定价C. 投资管理D. 准备金评估答案:C. 投资管理3. 在非寿险精算中,用来衡量风险大小的指标是?A. 损失概率B. 损失程度C. 风险暴露D. 风险溢价答案:A. 损失概率4. 下列哪种方法可以用来计算非寿险业务的未决赔款准备金?A. 综合比例法B. 平均估算法C. 责任年限法D. 追溯法答案:C. 责任年限法5. 在非寿险精算中,如果某风险事件的发生概率为0.1,且每次发生时的平均损失为1000元,则该风险的期望损失为?A. 10元B. 100元C. 1000元D. 10000元答案:B. 100元四、多项选择题1. 非寿险精算的主要内容包括:A. 风险评估B. 保费定价C. 准备金评估D. 损失分布分析E. 投资管理答案:ABCD2. 下列哪些因素会影响非寿险业务的保费定价?A. 损失概率B. 损失程度C. 营运费用D. 目标利润E. 法律法规答案:ABCD3. 下列哪些方法可以用来计算非寿险业务的未决赔款准备金?A. 综合比例法B. 平均估算法C. 责任年限法D. 追溯法E. 预测法答案:ABCD4. 在非寿险精算中,以下哪些是常用的损失分布模型?A. 正态分布B. 泊松分布C. 帕累托分布D. 对数正态分布E. 卡方分布答案:BC5. 下列关于非寿险精算的陈述中,哪些是正确的?A. 非寿险精算是研究非寿险业务中的风险评估和管理的学科。
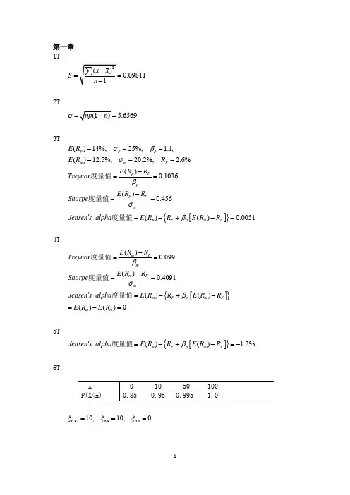
第一章 1T0.09811S ==2T5.6569σ== 3T[]{}()14%,25%, 1.1,()12.5%,20.2%, 2.6%()0.1036()0.456()()0.0051p p p m m F p Fp p Fpp F p m F E R E R R E R R Treynor E R R Sharpe Jensen s alpha E R R E R R σβσβσβ======-==-=='=-+-=度量值度量值度量值4T[]{}()0.099()0.4091()()()()0m Fm m Fmm F m m F m m E R R Treynor E R R Sharpe Jensen s alpha E R R E R R E R E R βσβ-==-=='=-+-=-=度量值度量值度量值5T[]{}()() 1.2%p F p m F Jensen s alpha E R R E R R β'=-+-=-度量值 6T0.950.90.810,10,0ξξξ===7T0.990.990.990.990.99()0.9933330.99109109330.99109332.326109286.53P X X P ξξξξξ≤=--⎛⎫≤= ⎪⎝⎭-⎛⎫Φ= ⎪⎝⎭-== 8T222()331()109(1)(2)39.65992.2018E X r r Var X r r r θθθ⎧==⎪-⎪⎨⎪==⎪--⎩=⎧⎨=⎩ 0.950.950.990.99()110.95114.9510.99281.48rrrF x x Q Q Q Q θθθθθθ⎛⎫=- ⎪+⎝⎭⎛⎫-= ⎪+⎝⎭=⎛⎫-= ⎪+⎝⎭=9T()[]011()11pprQ Q p r pE X QF x dx dx x r Q θθθθθ-⎛⎫∧=-= ⎪+⎝⎭⎡⎤⎛⎫⎢⎥=-⎪ ⎪-+⎢⎥⎝⎭⎣⎦⎰⎰111()()111111111p p p r p pr p pCTE Q E X E X Q p Q p r r Q Q p r Q θθθθθθθ--⎡⎤=+-∧⎣⎦-⎧⎫⎡⎤⎛⎫⎪⎪⎢⎥=+-- ⎪⎨⎬ ⎪---+⎢⎥⎪⎪⎝⎭⎣⎦⎩⎭⎛⎫=+∙∙⎪ ⎪--+⎝⎭0.950.990.950.9939.66, 2.20,114.95,281.48243.60548.70r Q Q CTE CTE θ====∴==15T()222212112212|111111p p p p p p x Q x x Q Q Q CTE E X X Q dxp dx dx p p pμσμμσσμσμ-⎛⎫-+∞⎪⎝⎭--⎛⎫⎛⎫--+∞+∞ ⎪ ⎪⎝⎭⎝⎭-⎛⎫- ⎪ ⎪⎝⎭⎡⎤=>⎣⎦=-⎡⎤⎢⎥=+-⎢⎥⎣⎦=+--⎰⎰⎰ 0.950.950.950.950.95()0.95330.9510933 1.645109212.29257.89P X Q Q Q Q CTE ≤=-⎛⎫Φ= ⎪⎝⎭-==∴=第二章 2T(1)从表中可以得出索赔额组中值i i f X 和索赔频率1841600121610122101====∑∑=-=i i i i i i f x X f x X由题知)(~2σ,u LN X ,对数正态分布的期望和方差如下:()()()122222-==++σσσeeX Var X E u u根据矩估计法可知:()2222248.605)(111216222=--=-=++X X n ne e eu u σσσ由此可以求得:47.099.6==∧∧σu(2)()()%27.0748.214000ln 4000ln =-=⎪⎪⎭⎫⎝⎛->-=>φσσu u P P x x3T每份保单赔款次数X 服从泊松分布,X 的概率密度函数为: ())32,10(!,,==-k k ex f kλλ由极大似然估计可以得到:X nXni ==∑=∧1iλ而且1965.01==∑=ni i i f x X所以1965.0=∧λ 5T韦伯分布的分布函数为:()rcx e X F --=1令7.012.01=-=---rrcx cx ee解得韦伯分布的20%和70%分位数:()()rrc x c x 17.012.03.0ln 8.0ln ⎪⎭⎫⎝⎛-=⎪⎭⎫ ⎝⎛-=根据观测数据可以知道 :8.02.07.02.0==x x令()()8.03.0ln 2.08.0ln 11=⎪⎭⎫ ⎝⎛-=⎪⎭⎫ ⎝⎛-rrc c 解得12.135.1==r c7T指数分布的概率密度函数为()xex f λλ-=,由极大似然估计得到220011==∧Xλ 2x 分布检验的检验假设:0H :赔款额分布服从参数22001=λ的指数分布 1H :赔款额分布不服从参数22001=λ的指数分布显著水平005.0=α,查自由度为41161=--=--k n 的2x 分布表, 得到分位数14.86,所以拒绝域为86.142≥x 赔款额落在0~100的理论概论为:()3653.0220011000022001000==≤≤-⎰dx e X P x同理可得8.2312=E 2.1473=E 4.934=E 3.595=E 1036=E()86.1489.3316122≥=-=∑=i ii i E E Q x在拒绝域范围内,所以拒绝原假设0H ,不能用指数分布模拟个别理赔分布。
中国精算考试教材非寿险精算非寿险精算是中国精算考试的一部分,它是精算师考试中的一门重要科目。
非寿险精算主要研究非寿险保险产品的定价、准备金计算、风险评估以及再保险等方面的技术和方法。
本文将从非寿险精算的定义、内容、重要性以及相关教材的介绍等方面进行阐述。
一、非寿险精算的定义和内容非寿险精算是指在保险业务中,通过对非寿险保险产品的风险进行评估和管理,以及根据风险评估结果来确定保险费的定价、计算准备金和设计再保险方案等工作。
非寿险精算的核心目标是合理确定保险产品的价格和风险的承受能力,以保证保险公司的可持续发展。
非寿险精算的内容主要包括以下几个方面:1. 风险评估和定价:非寿险精算师通过分析和评估非寿险保险产品的风险特征,确定保险产品的保险费率。
他们需要考虑到保险产品的风险险种、损失频率、损失程度以及历史数据等因素。
2. 准备金计算:非寿险精算师需要根据风险评估的结果,计算保险公司应保留的准备金。
准备金是保险公司用于支付未来可能发生的赔付的资金,准备金的计算需要考虑到赔付率、发生率和未来赔付的概率等因素。
3. 再保险设计:非寿险精算师需要设计适合保险公司的再保险方案,以转移保险公司承担的风险。
再保险是保险公司与其他保险公司进行的保险合作,通过再保险,保险公司可以降低风险并保证风险的可控性。
二、非寿险精算的重要性非寿险精算在保险公司的经营中扮演着至关重要的角色。
它的重要性主要体现在以下几个方面:1. 保险产品定价的合理性:非寿险精算师通过对风险的评估和定价的确定,可以确保保险公司的保险产品定价合理。
合理的保险产品定价可以保证保险公司的保险费收入足以支付未来的赔付,并保持公司的盈利能力。
2. 风险的管理和控制:非寿险精算师通过对风险的评估和管理,可以帮助保险公司有效地控制风险。
他们可以通过合理的定价和再保险设计来降低保险公司的风险暴露,从而保证公司的财务稳定性和可持续发展。
3. 再保险的合理运用:非寿险精算师可以通过再保险的设计来降低保险公司的风险承受能力。
2013中国准精算师考试《非寿险精算》经典习题1第2页-精算师考试整理了2013年中国准精算师考试《非寿险精算》经典习题,望给广大考友带来帮助,预祝大家取得优异的成绩!第1页:单项选择题第3页:多项选择题第4页:综合解答题第5页:单线选择题答案第7页:多项选择题答案第页:综合解答题答案11.已知发生在某时期的经验损失与可分配损失调整费用为:2300万元同时期的均衡已经保费为:3200万元假设目标损失率为:0.659求指示费率整体水平变动量。
A.0.0907B.1.0907C.11.0254D.0.9168E.0.92612.已知各发生年的预测最终索赔次数如下:计算1989年预测索赔次数与1988年预测索赔次数之比。
A.1.05B.1.06C.1.07D.1.08E.1.0913.设三类风险在5年内观测值的一些有关数据如下:试估计最小平方信度因子。
A.0.01B.11C.1D.0.553E.014.在经验估费法中,关于不同规模风险的信度的陈述,下列选项中正确的是哪一项?①规模较大的风险在估费时更为可信;②不同规模风险的信度公式仍具有形式;③公式是建立在风险方差与风险规模成反比的基础上的。
A.仅①正确B.仅②正确C.仅③正确D.①、②正确E.全部正确15.有关贝叶斯方法的陈述,下列选项中正确的是哪一项?①在0-1损失函数下,贝叶斯方法得到的信度因子的估计与最小平方信度是一致的;②在估计非线性问题时,贝叶斯方法比最小平方信度更有优越性;③贝叶斯方法含有主观的成分,此主观成分主要表现在对先验分布及损失函数的选取上。
A.仅①正确B.仅②正确C.仅③正确D.②、③正确E.全部正确16.对于一个NCD系统,其转移概率矩阵如下:0%35%45%其中,P0表示无索赔概率,且0若全额保费是1000元,试计算某投保人在35%折扣组别时,发生一次事故即索赔或不索赔的临界值(假设发生一次事故后再也没有赔案发生)。
A.550B.650C.1000D.350E.45017.关于准备金计算的陈述,下列选项哪一项是正确的?①保费已缴付但尚未出险的索赔案件的可能赔付额,为此目的设置的准备金为IBNR准备金;②对于重要员工离职设置的准备金称为未决赔款准备金;③为应付承保风险发生巨灾损失而设置的准备金称为巨灾准备金。
非寿险精算一、名词解释1、到期风险单位数:也称为已经风险单位数,是指在一定时期内保险人已经提供了相应的保险保障的风险单位数。
2、未到期风险单位数:是指在承保的风险单位数中,截至到某个时点,保险公司尚未提供保险保障的风险单位数。
3、已赚保费:也称作满期保费,是指在保险人所收保费中,已尽保险责任所对应的那部分保费。
4、未赚保费:也称作未到期保费,是指在保险人所收保费中,未尽保险责任所对应的那部分保费。
5、纯费率:是指保险公司对每一风险单位的平均赔款金额,通常用赔款总额与风险单位数之比进行估计,其计算公式为EL P,P 表示纯费率,L 表示赔款总额,E 表示风险单位数。
6、赔付率:是指在每单位保费中用于支付赔款的部分,通常用赔款与保费之比进行估计。
7、事故年度法:即按事故年汇总数据,是汇总精算数据最常见的方法。
按事故年汇总数据就是以事故发生为统计标准,把发生在同一日历年度的保险事故所对应的赔款和保费等数据汇总在一起。
8、未决赔款准备金:是指在会计年度末,已经发生的赔案由于尚未处理(包括尚未报告)或赔付而必须提存的责任准备金。
二、简答题1、确定保险产品市场销售价格的方法(1)使用保险市场上或竞争对手的相同产品的价格;(2)根据利润目标确定价格;(3)在期望保险成本的基础上增加一个百分比来确定价格,增加的这个百分比相当于费用附加和利润附加;(4)根据市场供求关系确定价格;2、数据汇总的方法(1)事故年度法:按事故年汇总数据就是以事故发生为统计标准,把发生在同一个日历年度的保险事故所对应的赔款和保费等数据汇总在一起。
(2)保单年度法:按保单年汇总数据就是以保单生效日期为统计标准,把在同一个日历年度生效的保单所对应的赔款和保费等数据归集在一起。
(3)日历年度法:按日历年汇总数据就是把发生在同一日历年度的会计数据归集在一起,而不论这些保单何时签发,相应的事故何时发生。
(4)报案年度法:按报案年汇总数据就是以保险事故的报案时间为统计标准,把在同一个日历年度报案的赔款数据归集在一起,而不考虑事故的发生日期和保单的生效日期。