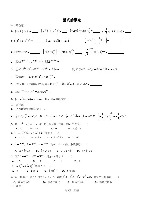
(完整版)整式的乘法100题专项训练.docx
- 格式:docx
- 大小:78.25 KB
- 文档页数:18
(完整版)整式的乘法练习题整式的乘法练习题(⼀) 填空1. a 8=(-a 5) ___ . 2. a 15=( )5.. 4. (x+a)(x+a)= _____ .5.a 3·(-a)5·(-3a)2·(-7ab 3)= ___ ____ . 7.(2x)2· x 4=( )2.的体积是 ____ .18.若 10m =a , 10n =b ,那么 10m+n= ____ . 19.3(a-b)2[9(a-b)n+2](b-a)5=__ (a-b)n+9.20.已知 3x · (x n +5)=3x n+1-8,那么 x=___________________________________________ . 21.若 a 2n-1· a 2n+1=a 12,则 n= ____ .22.(8a 3)m÷[(4a 2)n·2a]= ___ . 23.若 a <0,n 为奇数,8.24a 2b 3=6a 2· _____ .9. [(a m )n ]p= ___ . 10.(-mn)2(-m 2n)3= ____ .11.多项式的积 (3x 4-2x 3+x 2-8x+7)(2x 3+5x 2+6x-3)中 x 3项的系数是 _____ .12.m 是 x 的六次多项式, n 是 x 的四次多项式,则 2m-n是 x 的 _________________________________________________ 次多项式.14.(3x 2)3-7x 3[x 3-x(4x 2+1)]=____ . 15. { [(-1)4]m }n= ______ . 16. -{-[-(-a 2)3]4}2= ____ .17.⼀长⽅体的⾼是 (a+2)厘⽶,底⾯积是 (a 2+a-6)厘⽶ 2,则它则(a n )5____ 0.24.(x-x 2-1)(x 2-x+1)n(x-x 2-1)2n= __ .25.(4+2x-3y 2)·(5x+y 2-4xy)·(xy-3x 2+2y 4)的最⾼次项是 26.已知有理数 x ,y ,z 满⾜|x-z-2|+(3x-6y-7) 2+|3y+3z-4|=0,则x3n+1y3n+1z4n-1的值(n 为⾃然数)等于.(⼆) 选择27.下列计算最后⼀步的依据是3. 3m 2· 2m 3= _____ 6.(-a 2b)3·(-ab 2)=5a2x4·(-4a3x)=[5×(-4)] ·a2·a3·x4·x (乘法交换律) =-20(a2a3)·(x4x) (乘法结合律)=-20a5x5.A .乘法意义;B.乘⽅定义;C.同底数幂相乘法则;D.幂的乘⽅法则.28.下列计算正确的是[ ]A .9a3· 2a2=18a5;B .2x5· 3x4=5x9;C .3x3· 4x3=12x3;D.3y3·5y3=15y9.29.(y m)3·y n的运算结果是[ ]B.y 3m+n;C.y3(m+n);D.y3mn.30.下列计算错误的是[ ]B.(m-2)(m+3)=m 2+m-6 ;D.(x-3)(x-6)=x 2-9x+18.31.计算-a2b2·(-ab3)2所得的结果是[ ] A.a4b8;B.-a4b8;C.a4b7;D.-a3b8.32.下列计算中错误的是[ ]A.[(a+b)2]3=(a+b)6;B.[(x+y) 2n]5=(x+y)2n+5;C.[(x+y)m]n=(x+y)mn;D.[(x+y) m+1]n=(x+y)mn+n.33.(-2x3y4)3的值是[ ] A.-6x6y7;B.-8x27y64;C.-8x9y12;D.-6xy10.34.下列计算正确的是[ ]A .(a3)n+1=a3n+1;B .(-a2)3a=a12;C .a8m· a8m=2a16m;D.(-m)(-m) 4=-m5.35.(a-b)2n·(b-a)·(a-b)m-1的结果是[ ]A.(a-b)2n+m;B.-(a-b)2n+m;C.(b-a)2n+m;D.以上都不对.36.若0 38.如果b2m0;B.b<0;C.0C .(-2a n)2·(3a2)3=-54a2n+6;A .(x+1)(x+4)=x2+5x+4 ;C.(y+4)(y-5)=y 2+9y-D .(3x n+1-2x n )·5x=15x n+2-10x n+1.B .(-x)(2x+x 2-1)=-x 3-2x 2+1;C .(-3x 2y)(-2xy+3yz-1)=6x 3y 2-9x 2y 2z 2-3x 2y47.把下列各题的计算结果写成 10的幂的形式,正确的是 [ ]C .1002n× 1000=104n+3; D .1005×10=10005=1015.44.下列计算正确的是 [ ]48.t 2-(t+1)(t-5) 的计算结果正确的是 [ ] A .-4t-5 ; B . 4t+5; C .t 2-4t+5; D .t 2+4t-5.49.使(x 2+px+8)(x 2-3x+q)的积中不含 x 2和 x 3的 p ,q 的值分别(1)b(x-y)=bx-by ,(4)2164=(64)3,正确;(2)b(xy)=bxby ,(5)x 2n-1y 2n-1=xy2n-2. (3)b x-y=b x-b y, A .只有 (1)与(2)B .只有 (1)与(3)正确;C .只有 (1)与(4)正确;D .只有 (2) 与(3)正确. 42.(-6x n y) 2· 3x n-1y 的计算结果是 [ ] A.18x 3n-1y 2;B .-36x 2n-1y 3;C .-108x 3n-1y ;D . 108x 3n-1y 3. 45.下列计算正确的是 [ ] A . (a+b)2=a 2+b 2; B .a m· a n=a mn; D .(a-b)3(b-a)2=(a-b)5.[ ]C . (-a 2)3=(-a 3)2;41.下列计算中, [ ]A .100×103=106;B .1000×10100=10;(6xy 2-4x 2y)3xy=18xy 2-12x 2yA. p=0, q=0;B. p=-3, q=-9;C. p=3, q=1;D. p=-3, q=1.50.设xy<0,要使X n y m? X n y m>0,那么[]A . m, n都应是偶数;B. m, n都应是奇数;C.不论m, n为奇数或偶数都可以;D.不论m, n为奇数或偶数都不⾏.51.若n为正整数,且x2n=7,贝J (3x3n)2-4(x2)2n的值为[]A. 833;B. 2891;C. 3283;D. 1225.(三)计算52.(6× 108)(7 ×109)(4× 104). 53. (-5x n+1 y) ?(-2x). 54.(-3ab) ?(-a2c) ?6atf. 55.(-4a) ?(2a2+3a-1).56. (3m-n)(m-2n).57. (x+2y)(5a+3b ).58. (-ab)3 ? (-a 2b) ? (-a 2b 4c)2. 59. [(-a)]3 ?a 3m+[(-a)5m ]2.60. x n+1(x n -x n ^1+x).6162. 5X (X 2+2X +1)-(2X +3)(X -5). ÷4)..(x+y)(x 2-xy+y 2).63. (2x-3)(X64(-2at^)365. -8(a-b)366. 2[(x+2)(x+1)-3]+(x-1)(x-2)-3x(x+3) xy)+(-3xy 2)2.(3a 2b-2ab-4t?) 67. (-4xy 3) ?(-68.计算 [(-a)2m ] 3· a 3m +[(-a) 3m ]3(m 为⾃然数 ).1.(a+b)(a - b)= __ ,公式的条件是 __ ,结论是 ___ .1 2.(x - 1)(x+1)= ____ ,(2a+b)(2a - b)= _____ ,( 1x3 y)( 13x+y)= _ .3.(x+4)( - x+4)= ____ ,(x+3y)( __ )=9y 2- x 2,( - m69.先化简 (x-2)(x-3)+2(x+6)(x-5)-3(x 2-7x+13),再求其值,其n)( ___ )=m 2-n 2中 x=4.98×102=( ___ )( ____ )=( )2- ( )2= ____ . 5.-(2x 2+3y)(3y -2x 2)= __ . 6.(a -b)(a+b)(a 2+b 2)= __ .7.( ____ - 4b)( _ +4b)=9a 2 - 16b 2,(____ - 2x)( ___ 2x)=4x 2-25y 28.(xy -z)(z+xy)= _ ,( 5x - 0.7y)( 5x+0.7y)= .66 119.(1 x+y 2)( __ )=y 4- 1x 270.已知 ab 2=-6,求 -ab(a 2b 5-ab 3-b)的值4 1610.观察下列各式: (x -1)(x+1)=x 2-1 (x -1)(x 2+x+1)=x 3-1《乘法公式》练习题(⼀) (x -1)(x 3+x+1)=x 4-1、填空题15.a4+(1-a)(1+a)(1+a2)的计算结果是( )(x-1)(x n+x n 1+?+x+1)= .⼆、选择题11.下列多项式乘法,能⽤平⽅差公式进⾏计算的是()A.(x+y)(-x-y)B.(2x+3y)(2x -3z)C.(-a-b)(a -b)D.(m-n)(n-m)12.下列计算正确的是()A.(2x+3)(2x-3)=2x2-9B.(x+4)(x-4)=x2-4C.(5+x)(x-6)=x2-30D.(-1+4b)(-1-4b)=1-16b213.下列多项式乘法,不能⽤平⽅差公式计算的是()A.(-a-b)(-b+a)B.(xy+z)(xy-z)C.(-2a-b)(2a+b)D.(0.5x-y)(-y-0.5x)14.(4x2-5y)需乘以下列哪个式⼦,才能使⽤平⽅差公式进⾏计算()A. -4x2-5yB.-4x2+5yC.(4x2-5y)2A.-1B.1C.2a4- 1D.1-2a416.下列各式运算结果是x2-25y2的是( )A.(x+5y)(-x+5y)B.(-x-5y)( -x+5y)D.(x-5y)(5y-x)三、解答题17.1.03× 0.97 18.(-2x2+5)( -2x2-5)(a+6)(a-6) 20.(2x-3y)(3y+2x)-(4y-3x)(3x+4y)y)( 91x2+y2)22.(x+y)(x-y)-x(x+y) 23.3(2x+1)(2x-1)-2(3x+2)(2-3x) 24.9982-4 25.2003× 2001-20022 《乘法公式》练习题(⼆) 1.(a b)2 a2 b2--( )2.(x y) 2 x2 2xy y2---( )根据前⾯各式的规律可得C.(x-y)(x+25y)19.a(a -5)-1 21.( 311x-3.(a b)2 a2 2ab b 2- -() 4.(2x 3y)2 2x2 12xy 9y2()D.(4x+5y)25. (2x 3 y)( 2x 3y) 4 x 2 9 y 2( ) 6(2x 3y)(3x y) ______________ ; A ) ( a b)(a b) (B ) (x 2)(2 x)11C ) (3x y)(y 3x) (D ) (x 2)(x 1)337. (2 5y)28. (2 x3y)(3 x 2y) _____________ _9. (4x 6 y)(2x 3y) ______________1 10(1x 2y)22 11.(x 3)(x 3)( x 29) _________12.(2x1)(2x1) 1 ________________ 13。
..整式的乘法 100 题专项训练同底数幂的乘法:底数不变,指(次)数相加。
公式:a m· a n =a m+n 1、填空:(1)x3x5; a a2 a3;x n x 2;(2)( a2) ( a)3; b2 b3 b x 2= x 6;(3)(x)2 x3;10410; 33233;(4)a a 4a 3=;2 2 3 2 5=;(5) a 2 a 5a3=;2a3=___________;(1)aa2( a) ( a)6;3452;(6)m m m m =(7)(b a) 3 (b a) 4; x n x2;1)216(8)(;10 610 4332、简单计算:(1)a4a6(2)b b5(3)m m2m3( 4)c c3c5c93. 计算:(1)b 3b2()( a)a32(3)( y)2( y)3(4)( a)3( a)4(5)3432(6)( 5)7( 5)6(7)( q)2n( q)3(8)( m)4( m)2(9) 23(10)( 2)4( 2)5 4.下面的计算对不对?如果不对,应怎样改正?(1)233265;(2)a3a3a6;(3)y n y n 2 y 2n;( 4)m m2m2;(5)(a)22)a4;()a3a4a12 ;( a6二、幂的乘方:幂的乘方,底数不变,指数相乘.即: ( a m )n =a mn 1、填空:(1)( 22) 4=___________ (2)( 33)2=___________(3)(22) 2=___________( 4)(22)2=___________753( 5)(m 7)= ___________( 6)m (m 3) = ___________2、计算 :(1)(22)2;(2)(y 2) 5(3)(x 4)3(4)3( b m)3 2 2 3 54 2 7(4)(y ) ? (y )(5)a ( a) ( a)(6)2 ( x 3) x x三、积的乘方:等于把积的每一个因式分别乘方, 再把所得的幂相乘. (ab) n =a n b n1、填空:( 1)( 2x )2=___________( ab )3 =_________(ac) 4. =__________2a 2) 22(2)(- 2x ) 3=___________(=_________ (a4) =_________32( 3)( 2a 2b ) =_______ ( 2a 2b 4) =_________(4)( xy 3) 2=_________( 5)(ab)n__________n21 a 2 b 3)3(6) (abc)__________ (n 为正整数 ) ( 7)(__________3332(8)( ab) a b__________ ( 9)( 3x 2y)__________3(9)(a nb 3n )3(10)( x 2y 3)________ (a2n 3=___________b )________( x 3y 2 2 ___________)2、计算:(1)( 3a )2 (2)(- 3a ) 3 (3)( ab 2)2 ( 4)(- 2× 103) 3(5)( 103) 3 (6)( a 3) 7( 7)( x 2) 4; (8)( a 2)? 3 ? a 53、选择题:(1)下列计算中,错误的是()A 2 3 2 4 6B2 2244(a b )a b(3x y ) 9x yC33D3 2 26 4( xy)x y(m nm n )(2)下面的计算正确的是()A235B235m m mm m m3 252mnmn(m n)2Cm nD22四、整式的乘法1、单项式乘单项式 1、 ( 3x 2 ) · 2x 32、3a 3 · 4a 43、 4m 5 ·3m 24、(5a 2b)3 ( 3a)25、 x 2 · x · x 56、 ( 3x) · 2xy7、 4a 2 · 3a 28、 ( 5a 2 b) · ( 3a)9、 3x · 3x510、 4b 3c · 1abc 11、 2x 3 · ( 3x) 212、 4 y · ( 2xy 2 )213、 ( 3x 2y) · ( 1xy 2 )14、 (2 104)· ( 4 105)15 、 7 x 4 · 2 x 3316、 3a 4 b 3 · ( 4a 2b 3c 2 )17、 19、 x 2 · y 2 ( xy 3 )2. .18、 (5a 2b)3 · ( ab 2c)319、 ( 2a)3 · ( 3a) 220 、5m · ( 10m 4 )221、 3m nm n22、(3x2323、 4ab21 2 c)x· 4xy) · ( 4x)· ( 8 a24、 ( 5ax) ·222 4 2252 3(3 x y)、( m a b ) ·( mab ) 26、4x y ·2x ( y) z2527、 ( 3a 3bc)3 · ( 2ab 2 ) 2 28 、(4 ab) · ( 3ab)2 29、 (2 x)3· ( 5xy 2 )330、 ( 2x 3 y 4 )3 ( x 2 yc)231 、 4xy 2· ( 3x 2 yz 3 )32、 ( 2ab 3c)2 · (2 x) 2833、( 3a 2b 3 ) 2 ·( 2ab 3 c)334、( 3a 3b 2)( 2 1a 3b 3c)35、( 4x 2 y) ·( x 2 y 2) ·( 1y 3 )7 3 236、 4xy 2 · ( 5x 3 y 2 ) · ( 2x 2 y)37、 ( 2x 2 y) 2 · (1 xyz) · 3 x 3 z 32 538、 ( 1 xyz) ·2x 2 y 2· (3yz 3 )39、 6m 2 n · ( x y)3 · ( y x) 22 3 540、 ( 1 ab 2c)2 · ( 1 a bc 2 )3· ( 1 a 3 )41、、 2xy · ( 1 x 2 y 2 z) · ( 3x 3 y 3)2 3 2242、 ( 1 ab 3 )3 · ( 1 ab) · ( 8a 2b 2 ) 243、 6a 2b · ( x y)3 · 1 ab 2 · ( y x)22 432221344、 ( 4x y) · ( x y ) · y二、单项式乘多项式: (利用乘法分配率,转变为单项式乘单项式,然后把结果相加减) 1、 2m(3 x 4 y)2 、 1 ab(ab1) 3 、 x(x 2x 1)4 、 2a(3a 22b 1)2 25、 3x( x 2 2x 1) 6 、 4x(3xy) 7 、 ab (a b)8、 6x(2 x 1)9、 x(x 1)10、 3a(5a 2b)11 、 3x(2 x 5)12、 2x 2 ( x1 )213、 3a 2 (a 3b 2 2a) 14 、 (x3y)( 6 x) 15、 x( x 2 y 2 xy) 16 、 (4 a b 2 )( 2b)17、 ( 3x 1)( 2x 2)18 、 ( 2a) · ( 1a 31)19 、 ( 3x 2 )(2 x 3 x 2 1)4 220、(2ab 22ab) ·1ab 21、 4m( 3m2 n 5mn2 )22 、( 3ab )(2a2b ab 2)3223、5ab·(2 a b 0.2)24 、(2 a22a4) · ( 9a) 25、 3x(2 x25x 1) 3926、2x( x2x 1)27、2x·(1x21)28、 3x(1x22)23329、4a(2 a23a 1)30、(3x2 )( x22x 1)31、xy( x2y51) 32、2x2y(13xy y)33 、3xy(3 x2y24xy2 )34、 3ab( a2 b ab2ab)235、ab2(2a23ab 2a)36 、1a2b ·(6 a23ab 9b2 ) 37、 (2 x 4 x38)(1 x2) 3238、2x3(3 x25x 6) 39、 (3a33b2c6ac2 ) ·1ab43 40、x( x1) 2x( x 1) 3x(2 x5)..41、a(b c) b(c a) c(a b)42 、(3x21y2y2 )(1xy)3 23243、(1x2 y 2xy y2 ) · ( 4xy)43 、(5a2b10a3b21)(1a b)233512244、、(x y 2xy y )( 4xy)三、多项式乘多项式:(转化为单项式乘多项式, 然后在转化为单项式乘单项式)1、(3x1)(x 2)2、( x8 y)( x y)3、(x1)(x 5)4、(2 x1)(x3)5、(m2n)(m 3n)6、 (a 3b)(a 3b)7、 (2 x21)(x 4)8 、(x23)(2 x5) 9、( x2)( x 3)10、( x4)( x 1)11、( y4)( y 2)12、( y5)( y3)13、(x p)( x q)14 、( x 6)( x 3)15 、(x 1)( x1) 16、 (3 x 2)( x 2) 2317、(4 y1)( y 5)18、( x2)( x24)19、(x4)( x 8)20、( x4)( x9)21、( x2)( x 18)22、( x3)( x p)23、( x6)( x p)24、( x7)( x5)25、( x 1)(x5)26 、1127、28 、3229、(4 x25xy)(2 x y)30、( y3)(3 y 4)31、(x3)( x 2) 32、(2 a b)(a 2b)33、(2 x3)( x 3)34、( x3)( x a)35、( x1)(x 3)36、(a2)(b2)37、(3 x 2 y)(2 x 3 y) 38、( x 6)( x 1)39、( x3y)(3 x 4 y) 40、( x 2)( x1)41、(2 x3y)(3 x 2 y)42 、(1x x2 )( x 1)43、(a b)(a2ab b2 )44、(3x22x 1)(2 x23x 1) 45、 (a b)( a2ab b2 ) 46、 ( x2xy y2 )( x y)47、(x a)( x2ax a 2 )48、(x y)( x2xy y2 ) 49、 (3x43x21)( x4x22)50、(x y)( x2xy y2 )四、平方差公式和完全平方公式1、( x1)( x 1)2、 (2 x1)(2 x1) 3 、( x5y)( x5y) 4 、(3 x2)(3 x2)5、(b2a)(2 a b) 6 、(x 2 y)( x 2 y)7、(a b)( b a) 8、( a b)(a b)9、(3a2b)(3a2b)10 、52)(a 5b2)11、(2 a5)(2 a5) 12、(1m)( 1m)(a b13、(1a b)(1a b) 14、 ( ab 2)(2ab) 15、10298 16、 97 103 2217、 4753 18 、 (a b)(a b)( a 2 b 2 ) 19 、 (3a 2b)(3a 2b)20、 ( 7m 11n)(11n 7m) 21 、 (2 y x)( x 2 y)22、 (4 a)( 4 a)23、 (2a 5)(2 a 5) 24 、 (3a b)(3 a b)25、 (2 x y)(2 x y)完全平方: 1、 ( p 1)2 2、 ( p1)2 3 、(a b)2 4、 (ab)2 5、( m2)26、 (m 2)27 、 (4 mn) 2 8 、 ( y1 )2 9 、 ( x 3y)2 10 、 ( a 2b)2211、 (a1 )2 12 、 (5 x 2 y)213 、 (2 ab)214 、 ( 1x y) 2 15 、 (2 a 3b)2a216、 (3 x 2 y)217 、 ( 2m n)218 、 (2a2c)219、(23a)220 、 (1x 3 y)2321、(3a 2b)2 22 、( a 2 b 2 )2 23 、( 2x 2 3 y) 224、(1 xy) 2 25 、(1 x 2 y 2 )2..五、同底数幂的除法:底数不变,指数相减。
整式的乘法测试1.列各式中计算结果是x2-6x+5的是( )A.(x-2)(x-3)B.(x-6)(x+1)C.(x-1)(x-5)D.(x+6)(x-1)2.下列各式计算正确的是( )A.2x+3x=5B.2x•3x=6C.(2x)3=8D.5x6÷x3=5x23.下列各式计算正确的是( )A.2x(3x-2)=5x2-4xB.(2y+3x)(3x-2y)=9x2-4y2C.(x+2)2=x2+2x+4D.(x+2)(2x-1)=2x2+5x-24.要使多项式(x2+px+2)(x-q)展开后不含x的一次项,则p与q的关系是( )A.p=qB.p+q=0C.pq=1D.pq=25.若(y+3)(y-2)=y2+my+n,则m、n的值分别为( )A.m=5,n=6B.m=1,n=-6C.m=1,n=6D.m=5,n=-66.计算:(x-3)(x+4)=_____.7.若x2+px+6=(x+q)(x-3),则pq=_____.8.先观察下列各式,再解答后面问题:(x+5)(x+6)=x2+11x+30;(x-5)(x-6)=x2-11x+30;(x-5)(x+6)=x2+x-30;(1)乘积式中的一次项系数、常数项与两因式中的常数项有何关系?(2)根据以上各式呈现的规律,用公式表示出来;(3)试用你写的公式,直接写出下列两式的结果;①(a+99)(a-100)=_____;②(y-500)(y-81)=_____.9.(x-y)(x2+xy+y2)=_____;(x-y)(x3+x2y+xy2+y3)=_____根据以上等式进行猜想,当n是偶数时,可得:(x-y)(x n+x n-1y+y n-2y2+…+x2y n-2+xy n-1+y n)=_____.10.三角形一边长2a+2b,这条边上的高为2b-3a,则这个三角形的面积是_____.11.若(x+4)(x-3)=x2+mx-n,则m=_____,n=_____.12.整式的乘法运算(x+4)(x+m),m为何值时,乘积中不含x项?m为何值时,乘积中x项的系数为6?你能提出哪些问题?并求出你提出问题的结论.13.如图,正方形卡片A类,B类和长方形卡片C类若干张,如果要拼一个长为(a+2b),宽为(a+b)的大长方形,则需要C类卡片()张.14.计算:(1)(5mn2-4m2n)(-2mn)(2)(x+7)(x-6)-(x-2)(x+1)15.试说明代数式(2x+1)(1-2x+4x2)-x(3x-1)(3x+1)+(x2+x+1)(x-1)-(x-3)的值与x无关.参考答案1.答案:C解析:【解答】A、(x-2)(x-3)=x2-6x+6,故本选项错误;B、(x-6)(x+1)=x2-5x-6,故本选项错误;C、(x-1)(x-5)=x2-6x+5,故本选项正确;D、(x+6)(x-1)=x2+5x-6,故本选项错误;故选C.【分析】根据多项式乘以多项式的法则,可表示为(a+b)(m+n)=am+an+bm+bn,进行计算即可得出正确答案.2.答案:A解析:【解答】A、2x+3x=5x,故A选项正确;B、2x•3x=6x2,故B选项错误;C、(2x)3=8x3,故C选项错误;D、5x6÷x3=5x3,故D选项错误;故选A.【分析】根据整式乘法和幂的运算法则.3.答案:B解析:【解答】A、2x(3x-2)=6x2-4x,故本选项错误;B、(2y+3x)(3x-2y)=9x2-4y2,故本选项正确;C、(x+2)2=x2+4x+4,故本选项错误;D、(x+2)(2x-1)=2x2+3x-2,故本选项错误.故选B.【分析】根据整式乘法的运算法则、平方差公式、完全平方公式的知识求解,即可求得答案.注意排除法在解选择题中的应用.4.答案:D解析:【解答】(x2+px+2)(x-q)=x3-qx2+px2-pqx+2x-2q=x3+(p-q)x2+(2-pq)x-2q,∵多项式不含一次项,∴pq-2=0,即pq=2.故选D【分析】利用多项式乘以多项式法则计算,合并同类项得到最简结果,由结果中不含x的一次项,令一次项系数为0即可列出p与q的关系.5.答案:B解析:【解答】∵(y+3)(y-2)=y2-2y+3y-6=y2+y-6,∵(y+3)(y-2)=y2+my+n,∴y2+my+n=y2+y-6,∴m=1,n=-6.故选B.【分析】先根据多项式乘以多项式的法则计算(y+3)(y-2),再根据多项式相等的条件即可求出m、n的值.6.答案:x2+x-12解析:【解答】(x-3)(x+4)=x2+4x-3x-12=x2+x-12【分析】根据(a+b)(m+n)=am+an+bm+bn展开,再合并同类项即可.7.答案:10解析:【解答】∵(x+q)(x-3)=x2+(-3+q)x-3q,∴x2+px+6=x2+(-3+q)x-3q,∴p=-3+q,6=-3q,∴p=-5,q=-2,∴pq=10.故答案是10.【分析】等式的右边根据多项式乘以多项式的法则,可表示为(a+b)(m+n)=am+an+bm+bn 进行计算,再根据等式的性质可得关于p、q的方程组,求解即可.8.答案:①a2-a-9900;②y2-581y+40500.解析:【解答】(1)两因式中常数项的和等于乘积中的一次项系数,常数项的积等于乘积中的常数项;(2)(x+a)(x+b)=x2+(a+b)x+ab.(3)①(a+99)(a-100)=a2-a-9900;②(y-500)(y-81)=y2-581y+40500.【分析】(1)根据乘积式中的一次项系数、常数项与两因式中的常数项之间的规律作答;(2)根据(1)中呈现的规律,列出公式;(3)根据(2)中的公式代入计算.9.答案:x3-y3;x4-y4;x n+1-y n+1.解析:【解答】原式=x3+x2y+xy2-x2y-xy2-y3=x3-y3;原式=x4+x3y+x2y2+xy3-x3y-x2y2-xy3-y4=x4-y4;原式=x n+1+x n y+xy n-2+x2y n-1+xy n-x n y-x n-1y2-y n-1y2-…-x2y n-1-xy n-y n+1=x n+1-y n+1,【分析】根据多项式与多项式相乘的法则:多项式与多项式相乘,先用一个多项式的每一项乘另外一个多项式的每一项,再把所得的积相加.10.答案:-3a2+2b2-ab.解析:【解答】∵三角形一边长2a+2b,这条边上的高为2b-3a,∴这个三角形的面积为:(2a+2b)(2b-3a)÷2=(a+b)(2b-3a)=-3a2+2b2-ab.【分析】根据三角形的面积=底×高÷2列出表示面积是式子,再根据多项式乘以多项式的法则计算即可.11.答案:1,12.解析:【解答】∵(x+4)(x-3)=x2-3x+4x-12=x2+x-12=x2+mx-n,∴m=1,-n=-12,即m=1,n=12.【分析】将已知等式左边利用多项式乘以多项式法则计算,根据多项式相等的条件得出m 与n的值,代入所求式子中计算,即可求出值.12.答案:-4,2解析:【解答】∵(x+4)(x+m)=x2+mx+4x+4m若要使乘积中不含x项,则∴4+m=0∴m=-4若要使乘积中x项的系数为6,则∴4+m=6∴m=2提出问题为:m为何值时,乘积中不含常数项?若要使乘积中不含常数项,则∴4m=0∴m=0【分析】把式子展开,若要使乘积中不含x项,则令含x项的系数为零;若要使乘积中x项的系数为6,则令含x项的系数为6;根据展开的式子可以提出多个问题.13.答案:3张.解析:【解答】(a+2b)(a+b)=a2+3ab+2b2.则需要C类卡片3张.【分析】拼成的大长方形的面积是(a+2b)(a+b)=a2+3ab+2b2,即需要一个边长为a的正方形,2个边长为b的正方形和3个C类卡片的面积是3ab.14.答案:(1)10m2n3+8m3n2;(2)2x-40.解析:【解答】(1)原式=-10m2n3+8m3n2;(2)原式=x2-6x+7x-42-x2-x+2x+2=2x-40.【分析】(1)原式利用单项式乘以多项式法则计算,合并即可得到结果;(2)原式两项利用多项式乘以多项式法则计算,去括号合并即可得到结果.15.答案:代数式的值与x无关解析:【解答】原式=2x-4x2+8x3+1-2x+4x2-9x3-x+x3-1+x-3=-3,则代数式的值与x无关.【分析】原式利用多项式乘以多项式法则计算,去括号合并得到最简结果,即可做出判断.。
整式乘法计算专题训练1、(2a+3b)(3a﹣2b)2、3、(x+2y﹣3)(x+2y+3)4、5x(2x2﹣3x+4)5、6、计算: a3·a5+(-a2)4-3a87、﹣5a2(3ab2﹣6a3)8、计算:(x+1)(x+2)9、(x﹣2)(x2+4)10、2x11、计算:(x﹣1)(x+3)﹣x(x﹣2)12、﹣(﹣a)2•(﹣a)5•(﹣a)313、(﹣)×(﹣)2×(﹣)3;14、(x﹣y)(x2+xy+y2).15、(﹣2xy2)2•(xy)3;16、17、计算:(x+3)(x+4)﹣x(x﹣1)18、(a+2b)(3a﹣b)﹣(2a﹣b)(a+6b)19、3x(x﹣y)﹣(2x﹣y)(x+y)20、(﹣a2)3﹣6a2•a421、(y﹣2)(y+2)﹣(y+3)(y﹣1)22、23、(2x﹣y+1)(2x+y+1)24、25、4(a+2)(a+1)-7(a+3)(a-3)参考答案一、计算题1、(2a+3b)(3a﹣2b)=6a2﹣4ab+9ab﹣6b2=6a2+5ab﹣6b2【点评】此题考查多项式的乘法,关键是根据三角函数、零指数幂和负整数指数幂计算.2、3、(x+2y﹣3)(x+2y+3)=(x+2y)2﹣9=x2+4xy+4y2﹣9;4、【考点】单项式乘多项式.【分析】原式利用单项式乘多项式法则计算即可得到结果.【解答】解:原式=10x3﹣15x2+20x.5、6、——————————6分7、原式=﹣15a3b2+30a5;8、原式=x2+2x+x+2=x2+3x+2;9、(x﹣2)(x2+4)=x3﹣2x2+4x﹣8;10、原式=x2﹣2x+x2+2x=2x2;11、(x﹣1)(x+3)﹣x(x﹣2)=x2+2x﹣3﹣x2+2x=4x﹣3;12、原式=﹣a2•a5•a3=﹣a10;13、原式=(﹣)1+2+3=(﹣)6=;14、(x﹣y)(x2+xy+y2)=x3+x2y+xy2﹣x2y﹣xy2﹣y3=x3﹣y3.【点评】此题主要考查了整式的混合运算,正确掌握运算法则是解题关键.15、(﹣2xy2)2•(xy)3=4x2y4•x3y3=4x5y7;16、17、【考点】整式的混合运算.【分析】直接利用多项式乘以多项式以及单项式乘以多项式运算法则化简求出即可.【解答】解:(x+3)(x+4)﹣x(x﹣1)=x2+7x+12﹣x2+x=8x+12.【点评】此题主要考查了整式的混合运算,正确掌握相关运算法则是解题关键. 18、(a+2b)(3a﹣b)﹣(2a﹣b)(a+6b)=3a2﹣ab+6ab﹣2b2﹣2a2﹣12ab+ab+6b2=a2﹣6ab+4b219、原式=3x2﹣3xy﹣2x2﹣xy+y2=x2﹣4xy+y2;20、(﹣a2)3﹣6a2•a4=﹣a6﹣6a6=﹣7a6;21、(y﹣2)(y+2)﹣(y+3)(y﹣1)=y2﹣4﹣y2﹣2y+3=﹣2y﹣1;22、==2a6b5c5;23、(2x﹣y+1)(2x+y+1)=[(2x+1)﹣y][(2x+1)+y]=(2x+1)2﹣y2=4x2+4x+1﹣y2;24、6a3-35a2+13a (25、。
整式的乘法测试1.列各式中计算结果是x2-6x+5的是( )A.(x-2)(x-3)B.(x-6)(x+1)C.(x-1)(x-5)D.(x+6)(x-1)2.下列各式计算正确的是( )A.2x+3x=5B.2x•3x=6C.(2x)3=8D.5x6÷x3=5x23.下列各式计算正确的是( )A.2x(3x-2)=5x2-4xB.(2y+3x)(3x-2y)=9x2-4y2C.(x+2)2=x2+2x+4D.(x+2)(2x-1)=2x2+5x-24.要使多项式(x2+px+2)(x-q)展开后不含x的一次项,则p与q的关系是( )A.p=qB.p+q=0C.pq=1D.pq=25.若(y+3)(y-2)=y2+my+n,则m、n的值分别为( )A.m=5,n=6B.m=1,n=-6C.m=1,n=6D.m=5,n=-66.计算:(x-3)(x+4)=_____.7.若x2+px+6=(x+q)(x-3),则pq=_____.8.先观察下列各式,再解答后面问题:(x+5)(x+6)=x2+11x+30;(x-5)(x-6)=x2-11x+30;(x-5)(x+6)=x2+x-30;(1)乘积式中的一次项系数、常数项与两因式中的常数项有何关系?(2)根据以上各式呈现的规律,用公式表示出来;(3)试用你写的公式,直接写出下列两式的结果;①(a+99)(a-100)=_____;②(y-500)(y-81)=_____.9.(x-y)(x2+xy+y2)=_____;(x-y)(x3+x2y+xy2+y3)=_____根据以上等式进行猜想,当n是偶数时,可得:(x-y)(x n+x n-1y+y n-2y2+…+x2y n-2+xy n-1+y n)=_____.10.三角形一边长2a+2b,这条边上的高为2b-3a,则这个三角形的面积是_____.11.若(x+4)(x-3)=x2+mx-n,则m=_____,n=_____.12.整式的乘法运算(x+4)(x+m),m为何值时,乘积中不含x项?m为何值时,乘积中x项的系数为6?你能提出哪些问题?并求出你提出问题的结论.13.如图,正方形卡片A类,B类和长方形卡片C类若干张,如果要拼一个长为(a+2b),宽为(a+b)的大长方形,则需要C类卡片()张.14.计算:(1)(5mn2-4m2n)(-2mn)(2)(x+7)(x-6)-(x-2)(x+1)15.试说明代数式(2x+1)(1-2x+4x2)-x(3x-1)(3x+1)+(x2+x+1)(x-1)-(x-3)的值与x无关.参考答案1.答案:C解析:【解答】A、(x-2)(x-3)=x2-6x+6,故本选项错误;B、(x-6)(x+1)=x2-5x-6,故本选项错误;C、(x-1)(x-5)=x2-6x+5,故本选项正确;D、(x+6)(x-1)=x2+5x-6,故本选项错误;故选C.【分析】根据多项式乘以多项式的法则,可表示为(a+b)(m+n)=am+an+bm+bn,进行计算即可得出正确答案.2.答案:A解析:【解答】A、2x+3x=5x,故A选项正确;B、2x•3x=6x2,故B选项错误;C、(2x)3=8x3,故C选项错误;D、5x6÷x3=5x3,故D选项错误;故选A.【分析】根据整式乘法和幂的运算法则.3.答案:B解析:【解答】A、2x(3x-2)=6x2-4x,故本选项错误;B、(2y+3x)(3x-2y)=9x2-4y2,故本选项正确;C、(x+2)2=x2+4x+4,故本选项错误;D、(x+2)(2x-1)=2x2+3x-2,故本选项错误.故选B.【分析】根据整式乘法的运算法则、平方差公式、完全平方公式的知识求解,即可求得答案.注意排除法在解选择题中的应用.4.答案:D解析:【解答】(x2+px+2)(x-q)=x3-qx2+px2-pqx+2x-2q=x3+(p-q)x2+(2-pq)x-2q,∵多项式不含一次项,∴pq-2=0,即pq=2.故选D【分析】利用多项式乘以多项式法则计算,合并同类项得到最简结果,由结果中不含x的一次项,令一次项系数为0即可列出p与q的关系.5.答案:B解析:【解答】∵(y+3)(y-2)=y2-2y+3y-6=y2+y-6,∵(y+3)(y-2)=y2+my+n,∴y2+my+n=y2+y-6,∴m=1,n=-6.故选B.【分析】先根据多项式乘以多项式的法则计算(y+3)(y-2),再根据多项式相等的条件即可求出m、n的值.6.答案:x2+x-12解析:【解答】(x-3)(x+4)=x2+4x-3x-12=x2+x-12【分析】根据(a+b)(m+n)=am+an+bm+bn展开,再合并同类项即可.7.答案:10解析:【解答】∵(x+q)(x-3)=x2+(-3+q)x-3q,∴x2+px+6=x2+(-3+q)x-3q,∴p=-3+q,6=-3q,∴p=-5,q=-2,∴pq=10.故答案是10.【分析】等式的右边根据多项式乘以多项式的法则,可表示为(a+b)(m+n)=am+an+bm+bn 进行计算,再根据等式的性质可得关于p、q的方程组,求解即可.8.答案:①a2-a-9900;②y2-581y+40500.解析:【解答】(1)两因式中常数项的和等于乘积中的一次项系数,常数项的积等于乘积中的常数项;(2)(x+a)(x+b)=x2+(a+b)x+ab.(3)①(a+99)(a-100)=a2-a-9900;②(y-500)(y-81)=y2-581y+40500.【分析】(1)根据乘积式中的一次项系数、常数项与两因式中的常数项之间的规律作答;(2)根据(1)中呈现的规律,列出公式;(3)根据(2)中的公式代入计算.9.答案:x3-y3;x4-y4;x n+1-y n+1.解析:【解答】原式=x3+x2y+xy2-x2y-xy2-y3=x3-y3;原式=x4+x3y+x2y2+xy3-x3y-x2y2-xy3-y4=x4-y4;原式=x n+1+x n y+xy n-2+x2y n-1+xy n-x n y-x n-1y2-y n-1y2-…-x2y n-1-xy n-y n+1=x n+1-y n+1,【分析】根据多项式与多项式相乘的法则:多项式与多项式相乘,先用一个多项式的每一项乘另外一个多项式的每一项,再把所得的积相加.10.答案:-3a2+2b2-ab.解析:【解答】∵三角形一边长2a+2b,这条边上的高为2b-3a,∴这个三角形的面积为:(2a+2b)(2b-3a)÷2=(a+b)(2b-3a)=-3a2+2b2-ab.【分析】根据三角形的面积=底×高÷2列出表示面积是式子,再根据多项式乘以多项式的法则计算即可.11.答案:1,12.解析:【解答】∵(x+4)(x-3)=x2-3x+4x-12=x2+x-12=x2+mx-n,∴m=1,-n=-12,即m=1,n=12.【分析】将已知等式左边利用多项式乘以多项式法则计算,根据多项式相等的条件得出m 与n的值,代入所求式子中计算,即可求出值.12.答案:-4,2解析:【解答】∵(x+4)(x+m)=x2+mx+4x+4m若要使乘积中不含x项,则∴4+m=0∴m=-4若要使乘积中x项的系数为6,则∴4+m=6∴m=2提出问题为:m为何值时,乘积中不含常数项?若要使乘积中不含常数项,则∴4m=0∴m=0【分析】把式子展开,若要使乘积中不含x项,则令含x项的系数为零;若要使乘积中x项的系数为6,则令含x项的系数为6;根据展开的式子可以提出多个问题.13.答案:3张.解析:【解答】(a+2b)(a+b)=a2+3ab+2b2.则需要C类卡片3张.【分析】拼成的大长方形的面积是(a+2b)(a+b)=a2+3ab+2b2,即需要一个边长为a的正方形,2个边长为b的正方形和3个C类卡片的面积是3ab.14.答案:(1)10m2n3+8m3n2;(2)2x-40.解析:【解答】(1)原式=-10m2n3+8m3n2;(2)原式=x2-6x+7x-42-x2-x+2x+2=2x-40.【分析】(1)原式利用单项式乘以多项式法则计算,合并即可得到结果;(2)原式两项利用多项式乘以多项式法则计算,去括号合并即可得到结果.15.答案:代数式的值与x无关解析:【解答】原式=2x-4x2+8x3+1-2x+4x2-9x3-x+x3-1+x-3=-3,则代数式的值与x无关.【分析】原式利用多项式乘以多项式法则计算,去括号合并得到最简结果,即可做出判断.。
完整版)整式的乘法练习题1.a8 = (-a)82.a15 = (a5)33.3m2·2m3 = 6m54.(x+a)(x+a) = x2 + 2ax + a25.a3·(-a)5·(-3a)2·(-7ab3) = 21a8b36.(-a2b)3·(-ab2) = a4b57.(2x)2·x4 = 4x68.24a2b3 = 6a2·4b39.[(am)n]p = amnp10.(-mn)2(-m2n)3 = m10n711.多项式的积(3x4-2x3+x2-8x+7)(2x3+5x2+6x-3)中x3项的系数是 -412.m是x的六次多项式,n是x的四次多项式,则2m-n 是x的十次多项式14.(3x2)3-7x3[x3-x(4x2+1)] = -28x915.{[(-1)4]m}n = 116.-{-[-(-a2)3]4}2 = -a9617.一长方体的高是(a+2)厘米,底面积是(a2+a-6)厘米2,则它的体积是 (a+2)(a-2)(a+3)厘米318.若10m=a,10n=b,那么10m+n=ab19.3(a-b)2[9(a-b)n+2](b-a)5 = -3(a-b)n+1120.已知3x·(xn+5)=3xn+1-8,那么x=-321.若a2n-1·a2n+1=a12,则n=222.(8a3)m÷[(4a2)n·2a]=2ma3-2n23.若a<1,n为奇数,则(an)5<a524.(x-x2-1)(x2-x+1)n(x-x2-1)2n = (x-x2-1)2n+1(x2-x+1)n25.(4+2x-3y2)·(5x+y2-4xy)·(xy-3x2+2y4)的最高次项是 -15x3y626.已知有理数x,y,z满足|x-z-2|+(3x-6y-7)2+|3y+3z-4|=0,则x3n+1y3n+1z4n-1的值(n为自然数)等于 127.选项C28.选项B9a3·2a2可以化简为18a5,2x5·3x4可以化简为5x9,3x3·4x3可以化简为12x3,3y3·5y3可以化简为15y9.ym)3·yn可以化简为y3m+n。
7整式的乘法300题专项训练同底数幕的乘法:底数不变,指(次)数相加。
公式:a m - a n =a m+n1填空:⑺ (b a)3 (b a)4 _______________ ; x n x 2 ________ ;6(8) ( 1)2 1: 106 104 _________________________________3 32、简单计算:(1)a 4 a 6 (2)b b 5(3) m m 2 m3(4) c c 3 c 5 c 9计算:(1) b 3 b 2(2)( a) a 3 (3) (y)2 ( y)3(4)( a)3 ( a)4 (5)34 32(6)( 5)7 ( 5)6(7) (q)2n (q)3(8)(4 2m) ( m)(9)23(10) (2)4 ( 2)54.下面的计算对不对?如果不对,应怎样改正?325336(1) 3 5x x2 ; a a3a;n 2x x(2)23(a ) ( a)b 2 b 3 b2x6=x ;(3)(3x) x;104102小3 ;3 337⑷a 43a a =;22 3 2 5 :2a5a______ ; ( 1)a 2 a 3=______ ;(6) a 2 ( a) ( a)6 3m ?m ?(3) y n2n2y ;(4) m m2m2(5) ( a)2 ( a2) a4;(6) a3 a4a12 (1) 2 3 6 ; (2) a a a ;三、积的乘方:等于把积的每一个因式分别乘方,再把所得的幕相乘.(ab )n =a n b n1、填空:二、幕的乘方:幕的乘方,底数不变, 1、填空:指数相乘•即:(a m )n=a mn(1)((5)22)=22)=_(m 7)(4) (6)(33)2=—(22门一m 5(m 3)3=2、计算:(1) (22) 2;(2) (y 2)5(3)/ 4、 3(X )3(4)( b m)(4)(y 3)2?(y 2)3(5)a ?(5 a) ?( 4a)⑹ 23(3)( 2a 2b )=(2a 2b 4〕3 2(4) (xy )=n(5)(ab)n(6)(abc)3(n 为正整数)(7) ( 1 a 2b 3)333(8) ( ab) a b---------------- (9) ( 3x 2y 「——3(9)(a^)3(a 2nb )= -------------------(10)( x 2y 3)/3 2、2(x y )2 3 4(1) __________________ ( 2x ) = ________ ( ab ) ___________ = (ac ) . =2 2(2)(-2x ) 3-------- = -------------------------------( 2a 2) = ------ (a 4)=2、计算:232 23 3(1) (3a )(2) (- 3a )(3) (ab )(4) (-2x 10)四、整式的乘法1、单项式乘单项式1、( 3x2) • 2x 3C 3鼻 42、3a • 4a鼻 5^23、4m • 3m2 3 24、(5a b) ( 3a)2 55、x • x • x6、( 3x) • 2xy3、选择题:(1)下列计算中,错误的是( )2A , 2 3 4 6A (a b ) a bB2 2 244(3x 2y ) 9xy3C( x y ) x3y D3 2 2 6(m 3n 2) mn(2)下面的计算正确的是 ( )235235Am ?m mBm m m325 2m _ nmnC(m n) m nD2 ?2 2(5) (103) 3⑹(a 3) 7 (7) (x 2) 4; (8) (a 2)? 3 ? a,2小27、4a • 3a28、 ( 5a b) • ( 3a)9、3x • 3x 510、4b 3c • - abc 3 2 11、2x 3 • ( 3x) 212、4y • ( 2xy )13、( 3x 2y) • (1xy 2)314、(2 104) • ( 4 105) 15、7x 4 • 2x 33 , ,2「3 2、16、3a b • ( 4a b c )仃、19、x 2 • y 2( xy 3)2322221 3 3 336、4xy • ( 5x y ) • ( 2x y) 37、( 2x y) • ( xyz) • x z2538、( ^xyz) • - x 2y 2 • ( 3yz 3)39、 6m 2n • (x y)3 • (y x)22 3 52 3 2 .318、(5a b) • ( ab c)3 219、 ( 2a) • ( 3a) 4 220、 5m • ( 10m )m n , m n21、 3x • 4x2 322、(3x y) • ( 4x)21 223、4ab • ( - a e)82 224、( 5ax) • (3x y)2 4 2 2 25、( m a b ) • ( mab ),52 , 、326、4x y • 2x ( y) z3 3 2 227、( 3a be) • ( 2ab )28、( -ab) • ( 3ab)233 229、(2x) • ( 5xy )3 4、32 230、( 2x y ) ( x ye)31、4xy 2 • ( 3x 2yz 3)83 . 2 232、( 2ab e) • (2x)2 3 2 3 3 33> ( 3a b ) •( 2ab e),3 3, 2、,c 1 3 3 x34、(严)(2孑^)2 2 21 335、(4x y)・(x y)・(尹)1(严 c)•(13 3(-ab)•(1 abc 32)31 ab) 4G a3)2 2 2(8a b )(4x 2y) • ( x 2y 2) • 1 y 321 2 2 3 341、、 2xy • ( - x y z) • ( 3x y )2231 2243、6a b • (x y) • ab • (y x)3单项式乘多项式: (利用乘法分配率,转变为单项式乘单项式,然后把结果相加 2m(3x 4y)2、 3、x(x 2x 1) 1 ab(ab 2 2 4、2a(3a 2b 1) 2 3x(x 2x 1)6、4x(3x y)7、ab(a b) 8、6x(2x 1)x(x 1) 10、3a(5a 2b) 11、 3x(2 x 5)212、 2x (x扌)2 3 2 3a (a b 2a) 14、(x 3y)( 6x)15、x(x 2y 2 xy) 16、(4a b 2)( 2b)(3x 1)( 2x 2) 18、( 2a) • Qa 3 1)419、( — x 2)(2 x 3x 2 1)240、 42、 44、 _ 、 1、 5、 9、 13、 17、20、(-ab2 2ab) • -ab 3 22 221、4m( 3m n 5mn ) 22、( 3ab)(2a2b ab 2)26、2x(x2 x 1) 27、2x • (—x21)2 28、3x(- x2-)3 332、2x2y(13xy y)22 2 233、3xy(3x y 4xy )2 234、3ab(a b ab ab)40、x(x 1) 2x(x 1) 3x(2x 5)2X、524-9a2423、5ab • (2 a b 0.2)229、4a (2 a 3a 1)2 230、( 3x )( x 2x 1)5 丿、31、xy(x y 1)2 235、ab (2a 3ab 2a) 36、1 2 2 2 3严仲3ab 9b) 37、(2x 4x8)(1、x)32 x (3x 5x 6)339、(—a43 2 2 13b c 6ac )•严三、多项式乘多项式:(转化为单项式乘多项式,然后在转化为单项式乘单项式) 1、(3x 1)(x 2)2、(x 8y)(x y)3、(x 1)(x 5)4、(2x 1)(x 3)2 25、(m 2n)(m 3n)6、(a 3b)(a 3b)7、(2x 21)(x 4) 8、(x 3)(2x 5)9、(x 2)(x 3) 10、(x 4)(x 1) 11、(y 4)( y 2) 12、(y 5)(y 3)11 13、(x p)(x q)14、(x 6)(x 3)15、(x )(x) 16、(3x 2)(x 2)2341、a(b c) b(c a) c(a b)42、(3x 2 2y |y2)(-xy)343、(-x 2y22xy2y ) • ( 4xy)5 2 10 32 43、(5a 2b ®a 3b 21)( -ab) 3 3 544、、(-x 2y22xy y 2)( 4xy)17、(4y 1)(y 5) 218、(x 2)(x 4) 19、(x 4)( x 8) 20、(x 4)(x 9)21、(x 2)( x 18) 22、(x 3)(x p) 23、(x 6)(x p) 24、(x 7)(x 5)25、(x 1)(x 5)1 126、(y3)(y 2)27、(a 2b)(3a b) 28、(t 3)(2t 3)29、(4x25xy)(2x y) 30、(y 3)(3y 4) 31、(x 3)( x 2) 32、(2 a b)(a 2b) 33、(2x 3)(x 3) 34、(x 3)(x a) 35、(x 1)(x 3) 36、(a 2)(b 2)37、(3x 2y)(2x 3y) 38、(x 6)(x 1) 39、(x 3y)(3x 4y) 40、( x 2)(x 1) 41、(2x 3y)(3x 2y) 42、(1 x x2)(x 21) 43、(a b)(a ab b2)44、(3x2 2x 1)(2x2 3x 1) 45、(a b)(a2 ab『)46、(x2 xy y2)(x y)47、(x a)(x2ax a2) 48、(x y)(x2xy y2) 49、(3x43x21)(x4x22)50、(x y)(x2 xy y2)四、平方差公式和完全平方公式1、(x 1)(x 1)2、(2x 1)(2x 1)3、(x 5y)(x 5y)4、(3x 2)(3x 2)5、(b 2a)(2a b)6、( x 2y)( x 2y)7、(a b)( b a)8、( a b)(a b)5 2 5 29、(3a 2b)(3a 2b) 10、(a b )(a b ) 11、(2a 5)(2a 5)12、(1 m)( 1 m)13、( -a b)(-a b) 14、( ab 2)(2 ab) 15、102 98 16、97 1032 2217、 47 53 18、(a b)(a2 2b)(a b )19、(3a2b)(3a 2b)20、 (7m 11n)(11 n 7m) 21、(2y x)( x2y)22、(4 a)( 4 a)23、 (2a 5)(2a 5) 24、 (3a b)(3a b)25、 (2x y)(2xy)完全平方:1、(p 1)2 (p 1)2 3、(a b)24、(a b)225、(m 2)6、 (m 2)2 27、(4 m n)8、(y 1)29、 / C \ 2(x 3y)10、2b)211、 (a 1)2a212、 (5x 2y)13、2(2 a b)14、(- x y)2215、2(2 a 3b)16、 2(3x 2y)17、( 2m n)218、2 (2 a 2c)219、 ( 2 3a)20、gx 3y)221、 (3a 2b)/ 2 ■ 2、222、( a b )23、 (2x 23y)224、(1 xy)225、2 2 2(1 x y )五、同底数幕的除法:底数不变,指数相减。
整式的乘法专题训练题目一:(2x)(3x)解析:根据单项式乘以单项式法则,系数相乘,字母部分按同底数幂相乘,结果为6x²。
题目二:(-3a²b)(4ab²)解析:系数相乘为-12,同底数幂相乘,a 的次数为2+1 = 3,b 的次数为1+2 = 3,结果是-12a³b³。
题目三:(2x²y)(-3xy³)解析:系数相乘为-6,x 的次数为2+1 = 3,y 的次数为1+3 = 4,答案是-6x³y⁴。
题目四:(5m²n)(-2m³n²)解析:系数相乘为-10,m 的次数为2+3 = 5,n 的次数为1+2 = 3,结果是-10m⁴n³。
题目五:(3x)(x² - 2x + 1)解析:用3x 分别乘以括号里的每一项,3x·x² = 3x³,3x·(-2x) = -6x²,3x·1 = 3x,结果为3x³ - 6x² + 3x。
题目六:(2x - 1)(x + 3)解析:用2x 乘以(x + 3)得2x² + 6x,再用-1 乘以(x + 3)得-x - 3,最后相加,2x² + 6x - x - 3 = 2x² + 5x - 3。
题目七:(x - 2)(x² + 3x - 1)解析:x 乘以(x² + 3x - 1)得x³ + 3x² - x,-2 乘以(x² + 3x - 1)得-2x² - 6x + 2,相加得x³ + 3x² - x - 2x² - 6x + 2 = x³ + x² - 7x + 2。
题目八:(3x + 2)(2x² - 5x + 1)解析:3x 乘以(2x² - 5x + 1)得6x³ - 15x² + 3x,2 乘以(2x² - 5x + 1)得4x² -10x + 2,相加得6x³ - 15x² + 3x + 4x² - 10x + 2 = 6x³ - 11x² - 7x + 2。
32 . 33 . 下列计算中错误的是 [(a+b)2]3=(a+b)6; B . (-2x 3y 4)3 的值是[]-6x 6y 7; B . -8x 27y 64; [] [(x+y)2n ]5=(x+C . -8x 9y 12; D . -6xy 10 .41. F 列计算中,[](1)b(x-y)=bx-by , (2)b(xy)=bxby , (3)b x-y =b x -b y , (4)2164=(64)3, (5)x 2n-1y 2n-1=xy 2n-242 .只有⑴与⑵正确;B .只有(1)与⑶正确;C .只有(1)与⑷正确;D .只有⑵与⑶正确.(-6x n y )2 • 3x n-1y 的计算结果是[] 18x 3n-1y 2; B . -36x 2n-1y 3; C . -108x 3n-1y ; D . 108x 3n-1y 3 .44 .下列计算正确的是[]2 2 2 2 (6xy 2-4x 2y) • 3xy=18xy 2-12x 2y ; (-x)(2x+x 2-1)=-x 3-2x 2+1 ;(-3x 2y)(-2xy+3yz-1)=6x 3y 2-9x 2y 2z 2-3x 2y ;討需J* 2ab = — - ab*.整式的乘法练习题(一)填空1. a 8=(-a 5) _____ .2. a 15=( )5.3. 3m 2 • 2m 3= ______ .4. (x+a)(x+a)= _____ .5. a 3 • (-a)5 • (-3a)2 ___________ • (-7ab 3)=. 6. _________ (-a 2b)3 • (-ab 2)= . 7 . (2x)2 • x 4=( _________ )2 .8 . 24a 2b 3=6a 2 • _____ . 9 . [(a m )n ]p = ______ . 10 . (-mn)2(-m 2n)3= _____ .I 「I 1 j ' - 14 . (3X 2)3-7X 3[X 3-X (4X 2+1)]= _______ .17 . 一长方体的高是(a+2)厘米,底面积是(a 2+a-6)厘米2,则它的体积是 ____________ .19 . 3(a-b)2[9(a-b)3](b-a) 5= _____ .21.若 a 2n-1 • a 2n+1=a 12,则 n= _____ .(二)选择28 .下列计算正确的是[]A . 9a 3 • 2a 2=18a 5;B . 2x 5 • 3x 4=5x 9;C . 3x 3 • 4x 3=12x 3;D . 3y 3 • 5y 3=15y 9 .29 . (y m )3 • y n 的运算结果是[]B y 3m+n ;C . y 3(m+n) ;D . y 3mn下列计算错误的是[](x+1)(x+4)=x 2+5x+4 ; B . (m-2)(m+3)=m 2+m-6 ; C . (y+4)(y-5)=y 2+9y-20 ; D . (x-3)(x-6)=x 2-9x+18 . 计算-a 2b 2 • (-ab 3)2所得的结果是[]a 4b 8; B . -a 4b 8; C . a 4b 7; D . -a 3b 8 .30 . 31 .45.下列计算正确的是[]A. (a+b)2=a2+b2;B. a m• a n=a mn;C. (-a2)3=(-a3)2;D. (a-b)3(b-a)2=(a-b)5.47. 把下列各题的计算结果写成10的幕的形式,正确的是[]A . 100X 103=106;B . 1000 X 1O1°°=io3°°°;C. 1002n X 1000=104n+3; D . 1005X 10=10005=1015.48. t2-(t+1)(t-5)的计算结果正确的是[]A . -4t-5 ;B . 4t+5 ;C. t2-4t+5 ;D . t2+4t-5 .(三)计算(6 X 108)(7 X 109)(4 X 104). (-5x n+1y) • (-2x). (-3ab) • (-a 2c) • 6ab 2 . (-4a) • (2a 2+3a-1).52.53.54.55. 56. (-3xy) * 5x 2y + fix 3 •57. 2 r 4 —ab 2 -2ab + — b 3 3 F 7 、 -xy -2y • iab.. 258. (3m-n)(m-2n).59. 60. 61. 62. 63. (x+2y)(5a+3b).(-ab)3 • (-a 2b) •(-a 2b 4c)2 . [(-a)2m ]3 •a 3m +[(-a)5m ]2 .x n+1(x n -x n-1+x).2 2(x+y)(x -xy+y ).3sy 6xy^Jxy-\3yjj. 65. :tn 4 2T -ij2) 3 \ L 4 J 67 (2X -3)(X +4). C3.(宀疔)护〜]的.-2a a *-5ab • (a 2 -1) 70 . (-2a m b n )(-a 2b n )(-3ab 2). 2 5X (X 2+2X +1)-(2X +3)(X -5).-a a (4ab a i-Sa^b-a 1) * C-5a a b*J. (m_n)(m 5+m 4n+m 3n 2+m 2n 3+mn 4+n 5). (2a 2-1)(a-4)(a 2+3)(2a-5). 2[(x+2)(x+1)-3]+(x-1)(x-2)-3x(x+3) (0.3a 3b 4)2 • (-0.2a 4b 3)3. (-4xy 3) • (-xy)+(-3xy 2)2. 6X100-01 -6.(5a 3+2a-a 2-3)(2-a+4a 2).(3x 4-2x 2+x-3)(4x 3-x 2+5). 1 , 工 _ —ab + b A + 5ab * 12 」 (3a m+2b n+2)(2a m +2a m -2b n-2+3b n ). j ' 2ir?r?・ J (泅卄罷一(一隔十9怡. [(-a 2b)3]3 • (-ab 2). (-2ab 2)3 • (3a 2b-2ab-4b 2). 「护y +树训一制. 2(x + y)3 • 5(n+y)t+3 • 4(x+j)n . iab a c(-0.5ab)a • ^-lbc 2j . (_2x m y n )3 • (-x 2y n ) • (-3xy 2)2. (0.2a-1.5b+1)(0.4a-4b-0.5). -8(a-b)3 • 3(b-a). (x+3y+4)(2x-y).I / 3 \i -ab TQa 儿 -b -1-3.5a) * -b\ M 丿x 5 J y[y-3(x-z)]+y[3z-(y-3x)]. 计算[(-a)2m ]3 • a 3m +[(-a) 3m ]3(m 为自然数).7L72.73.74.75.76.77.78. 79.80.81.82.83.34.35.86.87.S3.89.get 91 . 92. 93.94.95.96.97. ( -2a 3(四)化简99. --少】b 叫時*(-2 25严01尹1).L 3 丿I a : 2100. \胡・(一站刖 .■ ■10L • [(m-n)Cm-n)p ]< 1Q2. * 2ab -* 3abU 2 J 乜 6 J103. m-丄(m +1) + 丄(ni-l)+丄2 3 6(五)求值104 .先化简 y n (y n +9y-12)-3(3y n+1-4y n ),再求其值,其中 y=-3, n=2 .31 •105 .先化简(x-2)(x-3)+2(x+6)(x-5)-3(x 2-7x+13),再求其值,其中 x=-106.光的速度每秒约3X 105千米,太阳光射到地球上需要的时间约是 5X 102秒. 约是多少千米?(用科学记数法写出来)107 .已知 ab 2=-6,求-ab(a 2b 5-ab 3-b)的值.108 .已知 a+b=1 , a(a 2+2b)+b(-3a+b 2)=0.5,求 ab 的值.109.己知签=5 y = *求藍—0•(严夕的值(n 为自然数).110 .已知(x-1)(x+1)(x-2)(x-4)三(x 2-3x)2+a(x 2-3x)+b ,求 a , b 的值.111 .多项式x 4+mx 2+3x+4中含有一个因式 x 2-x+4,试求m 的值,并求另一个因式. 112 .若 x 3-6x 2+11x-6 = (x-1)(x 2+mx+ n),求 m , n 的值.113 .已知一个两位数的十位数字比个位数字小原数的乘积比原数的平方多 405,求原数.1,若把十位数字与个位数字互换,所得的新两位数与9& 2xy(0 75x nH-1问地球与太阳的距离114 .试求(2-1)(2+1)(2 2+1)(24+1)…(232+1)+1 的个位数字.115.比较2100与375的大小.116 .解方程3x(x+2)+(x+1)(x-1)=4(x 2+8).】5组伫■驚舄•118 .求不等式(3x+4)(3x-4) > 9(x-2)(x+3)的正整数解.119 .已知2a=3b=6c(a, b, c 均为自然数),求证:ab-cb=ac.120 .求证:对于任意自然数n, n(n+5)-(n-3) x (n+2)的值都能被6整除. 121 .已知有理数x, y, z 满足|x-z-2|+(3x-6y-7) 2+|3y+3z-4|=0,求证:x3n y3n-1z3n+1-x=0 .122 .已知x=b+c , y=c+a, z=a+b,求证: (x-y)(y-z)(z-x)+(a-b)(b-c)(c-a)=07、计算(—2x —5)(2x—5)123 .证明(a-1)(a1 2-3)+a2(a+1)-2(a3 4-2a-4)-a 的值与a 无关.124 .试证代数式(2x+3)(3x+2)-6x(x+3)+5x+16 的值与x 的值无关.125 .求证:(m+1)(m-1)(m-2)(m-4)=(m 2-3m)2-2(m2-3m)-8 .12若2x + 5y—3 = 0 贝咛"=3已知a = 355,b = 444,c = 533则有( )A . a < b < cB. c < b < aC. a < c < bD. c < a < b4已知2小+戶+严=4鳴,则x = 5、21990X31991的个位数字是多少6、计算下列各题⑴⑵8、计算"■ -■1)仏+2比-2)以-+2x4)69、计算'人八儿丿,当a6 = 64时,该式的值。
整式的乘法100题专项训练同底数幂的乘法:底数不变,指(次)数相加。
公式:a m ·a n =a m+n 1、填空:(1)=⋅53x x ; =⋅⋅32a a a ; =⋅2x x n ; (2)=-⋅-32)()(a a ;=⋅⋅b b b 32⋅2x =6x ; (3)=⋅-32)(x x ;=⋅10104;=⨯⨯32333; (4)34a a a ⋅⋅ = ;()()()53222--- = ;(5)()()()352a a a -⋅-⋅-- = ;(1)32a a ⋅=___________; (6)()=-⋅-⋅-62)()(a a a ;m m m m 2543•••= ; (7)=-⋅-43)()(a b a b ;=⋅2x x n ;(8)=⎪⎭⎫ ⎝⎛-⨯-6231)31( ;=⨯4610102、简单计算:(1)=⋅64a a (2)=⋅5b b (3)=⋅⋅32m m m (4)=⋅⋅⋅953c c c c3.计算:(1)=-⋅23b b (2)=-⋅3)(a a (3)=--⋅32)()(y y (4)=--⋅43)()(a a(5)=-⋅2433 (6)=--⋅67)5()5( (7)=--⋅32)()(q q n (8)=--⋅24)()(m m (9)=-32 (10)=--⋅54)2()2( 4.下面的计算对不对?如果不对,应怎样改正? (1)523632=⨯; (2)633a a a =+; (3)n n n y y y 22=⨯; (4)22m m m =⋅; (5)422)()(a a a =-⋅-; (6)1243a a a =⋅; 二、幂的乘方:幂的乘方,底数不变,指数相乘.即:(a m )n =a mn 1、填空:(1) )2(24-=___________ (2))3(32-=___________(3))2(22-=___________ (4))2(22-=___________(5) )(77m = ___________ (6))(335m m = ___________2、计算 :(1)(22)2; (2)(y 2)5 (3)(x 4)3 (4))(3bm - (4)(y 3)2• (y 2)3 (5))()(45a a a --••(6)x xx 72)(23-•三、积的乘方:等于把积的每一个因式分别乘方,再把所得的幂相乘.(ab)n =a n b n1、填空:(1)(2x )2=___________(ab )3 =_________(ac)4. =__________ (2)(-2x )3=___________)2(22a -=_________)(42a =_________(3))2(23b a - =_______ )2(422b a -=_________(5)(103)3(6)(a 3)7 (7)(x 2)4;(8)(a 2)• 3 • a 53、选择题:(1)下列计算中,错误的是( )A b a b a 642)(32= B y x y x 4429)3(22=C yx y x33)(--= D n m n m 462)(23=-(2)下面的计算正确的是( ) A m m m 532=• B m m m 532=+ C n mn m 2523)(= D 222mnn m =•四、整式的乘法 1、单项式乘单项式1、2(3)x -·32x2、33a ·44a3、54m ·23m4、23(5)a b 2(3)a -5、2x ·x ·5x6、(3)x -·2xy7、24a ·23a8、2(5)a b -·(3)a -9、3x ·53x10、34b c ·12abc 11、32x ·2(3)x - 12、4y ·2(2)xy -13、2(3)x y -·21()3xy 14、4(210)⨯·5(410)-⨯ 15、47x ·32x16、433a b ·232(4)a b c - 17、19、2x ·232()y xy -18、23(5)a b ·23()ab c - 19、3(2)a -·2(3)a - 20、5m -·42(10)m -21、3m n x +-·4m n x - 22、23(3)x y ·(4)x - 23、24ab ·21()8a c -24、(5)ax -·22(3)x y 25、242()m a b -·2()mab - 26、54x y ·232()x y z -27、33(3)a bc -·22(2)ab - 28、4()3ab -·2(3)ab - 29、3(2)x ·2(5)xy -30、34322(2)()x y x yc -- 31、24xy ·233()8x yz -32、32(2)ab c -·2(2)x33、232(3)a b -·33(2)ab c - 34、323331()(2)73a b a b c - 35、2(4)x y -·22()x y -·31()2y36、24xy ·32(5)x y -·2(2)x y - 37、22(2)x y -·1()2xyz -·3335x z38、1()2xyz -·2223x y ·33()5yz - 39、26m n -·3()x y -·2()y x -40、221()2ab c ·231()3abc -·31()2a41、、2xy ·221()2x y z -·33(3)x y -42、331()2ab -·1()4ab -·222(8)a b -43、26a b ·3()x y -·213ab ·2()y x -44、2(4)x y -·22()x y -·312y 二、单项式乘多项式:(利用乘法分配率,转变为单项式乘单项式,然后把结果相加减) 1、2(34)m x y + 2、11()22ab ab + 3、2(1)x x x -- 4、22(321)a a b +-5、23(21)x x x --6、4(3)x x y -7、()ab a b +8、6(21)x x +9、(1)x x + 10、3(52)a a b - 11、3(25)x x -- 12、212()2x x -13、2323(2)a a b a - 14、(3)(6)x y x -- 15、22()x x y xy - 16、2(4)(2)a b b --17、2(31)(2)x x -+- 18、(2)a -·31(1)4a - 19、2323()(21)2x x x -+- 20、22(2)3ab ab -·12ab 21、224(35)m m n mn -+ 22、2(3)(22)ab a b ab --+23、5ab ·(20.2)a b -+ 24、224(2)39a a --·(9)a -25、23(251)x x x ---26、22(1)x x x --+ 27、2x ·21(1)2x - 28、2123()33x x +29、24(231)a a a -+- 30、22(3)(21)x x x --+- 31、25(1)xy x y +-32、212(3)2x y xy y -+ 33、2223(34)xy x y xy -- 34、223()ab a b ab ab -+35、22(232)ab a ab a -+ 36、213a b -·22(639)a ab b -+37、321(248)()2x x x ----38、322(356)x x x --- 39、3223(36)4a b c ac -+·13ab40、(1)2(1)3(25)x x x x x x +++-- 41、()()()a b c b c a c a b ---+- 42、223121(3)()232x y y xy +-- 43、221(2)2x y xy y -+·(4)xy - 43、2325101(1)()335a b a b ab -+- 44、、221(2)(4)2x y xy y xy -+-三、多项式乘多项式:(转化为单项式乘多项式,然后在转化为单项式乘单项式)1、(31)(2)x x ++2、(8)()x y x y --3、(1)(5)x x ++4、(21)(3)x x ++5、(2)(3)m n m n +-6、(3)(3)a b a b +-7、2(21)(4)x x --8、2(3)(25)x x +-9、(2)(3)x x ++ 10、(4)(1)x x -+ 11、(4)(2)y y +- 12、(5)(3)y y --13、()()x p x q ++ 14、(6)(3)x x -- 15、11()()23x x +- 16、(32)(2)x x ++17、(41)(5)y y -- 18、2(2)(4)x x -+ 19、(4)(8)x x -- 20、(4)(9)x x ++21、(2)(18)x x -- 22、(3)()x x p ++ 23、(6)()x x p -- 24、(7)(5)x x ++25、(1)(5)x x ++ 26、11()()32y y +- 27、(2)(3)a b a b -+ 28、(3)(23)t t +- 29、2(45)(2)x xy x y +- 30、(3)(34)y y -+ 31、(3)(2)x x +- 32、(2)(2)a b a b +-33、(23)(3)x x +- 34、(3)()x x a ++ 35、(1)(3)x x -+ 36、(2)(2)a b -- 37、(32)(23)x y x y ++ 38、(6)(1)x x +- 39、(3)(34)x y x y -+ 40、(2)(1)x x -+-41、(23)(32)x y x y +- 42、2(1)(1)x x x -++ 43、22()()a b a ab b +-+44、22(321)(231)x x x x +++- 45、22()()a b a ab b -++46、22()()x xy y x y ++-47、22()()x a x ax a -++ 48、22()()x y x xy y -++ 49、4242(331)(2)x x x x -++-50、22()()x y x xy y +-+四、平方差公式和完全平方公式1、(1)(1)x x +-2、(21)(21)x x +-3、(5)(5)x y x y +-4、(32)(32)x x +-5、(2)(2)b a a b +- 6、(2)(2)x y x y -+-- 7、()()a b b a +-+ 8、()()a b a b ---9、(32)(32)a b a b +- 10、5252()()a b a b -+ 11、(25)(25)a a +-12、(1)(1)m m ---13、11()()22a b a b --- 14、(2)(2)ab ab --- 15、10298⨯16、97103⨯17、4753⨯ 18、22()()()a b a b a b +-+ 19、(32)(32)a b a b +-20、(711)(117)m n n m --- 21、(2)(2)y x x y --- 22、(4)(4)a a +-+23、(25)(25)a a -+ 24、(3)(3)a b a b +- 25、(2)(2)x y x y +-完全平方:1、2(1)p + 2、2(1)p - 3、2()a b - 4、2()a b + 5、2(2)m +6、2(2)m -7、2(4)m n +8、21()2y - 9、2(3)x y -10、2(2)a b --11、21()a a+12、2(52)x y -- 13、2(2)a b - 14、21()2x y - 15、2(23)a b + 16、2(32)x y - 17、2(2)m n -- 18、2(22)a c + 19、2(23)a -+ 20、21(3)3x y +21、2(32)a b + 22、222()a b -+ 23、22(23)x y -- 24、2(1)xy - 25、222(1)x y -五、同底数幂的除法:底数不变,指数相减。
整式的乘法一、填空题:1、()()=--52a a ;()()=-⋅2772-m m ;()()=-⋅-y x x 232 ;=-⋅-)5()21(2xy xy ; 4774)()(a a -+-= ;()()=--x y y x 2332-_______;=⎪⎭⎫ ⎝⎛-⋅c b abc 322132_______; =⋅-23)2(xy yz x ;()[]⋅+323-y x ()[]432-y x += ;()=⨯⎪⎭⎫ ⎝⎛200320025.1-32 . 2、已知a m =2,b n =32,则n m 1032+=________3、)1(若2134825125255=n n ,则=n ______;)2(若,8)2(1593b a ab b a m n =⋅求n m +值4、已知,32=n m ()=-n n m m 22234)3(_______5、已知互为相反数,和b a 且满足()()2233+-+b a =18,则=⋅32b a6、已知,52a n =b n =4,则=n 610_______7、()()122++=++ax x n x m x ,则a 的取值有_______二、选择题:1、 下列计算中正确的是( )A 、()6623333-y x yx = B 、20210a a a =⋅ C 、()()162352m m m =-⋅- D 、1263428121y x y x -=⎪⎭⎫ ⎝⎛- 2、若(x x -2+m )(x -8)中不含x 的一次项,则m 的值为( )A 、8B 、-8C 、0D 、8或-83、(-a +1)(a +1)(a 2+1)等于( )A 、a 4-1B 、a 4+1C 、a 4+2a 2+1D 、1-a 44、1405=a ,2103=b ,2802=c ,则a 、b 、c 的大小关系是( )A 、c b a <<B 、c a b <<C 、b a c <<D 、a b c <<5、若142-=y x ,1327+=x y ,则y x -等于( )A 、-5B 、-3C 、-1D 、16、()()1666---+n n 的值为( )A 、0B 、1或- 1C 、()16-+nD 、不能确定7、若三角形的三边长分别为a 、b 、c ,满足03222=-+-b c b c a b a ,则这个三角形是( )A 、直角三角形B 、等边三角形C 、锐角三角形D 、等腰三角形三、计算:bc a ab 22321a 2)1(⋅⋅- ()abc ab 521)2(22-⋅⎪⎭⎫ ⎝⎛- 222(3)(2)(3)xy x y -⋅ 222(4)(2)(3)a bc ab -⋅- )24(3)5(22xy y x xy - )31312(9)6(2+-a a a )2(8)7(222b ab a b -- )41)(432)(8(2ab ab ab -- )4)(2143)(9(2x y y xy --- )23)(231)(10(--a a ()()()()12561161412)11(++++ 10098-992011-2010)12(222⨯ 四、先化简,再求值:),()12()1(2322a a a a a a --+-其中.21=a ),362()13(2)2(2x xy x y y x xy -----其中.2,3=-=y x),5)(1(2)13)(2(8)3(2-+-+--x x x x x 其中.2-=x),2)(2()32)(23)(4(b a b a b a b a ----+其中.41,5.1=-=b a 五、应用)1(已知099052=-+x x ,求1019985623+-+x x x 的值.)2(已知一个长方形的长增加3cm ,宽减少1cm ,面积保持不变,若长减少2cm ,宽增加4cm ,面积也保持不变,求原长方形的面积。
整式的乘法300题专项训练同底数幂的乘法:底数不变,指(次)数相加。
公式:a m·a n=a m+n1、填空:(1)=⋅53x x ; =⋅⋅32a a a ; =⋅2x x n ;(2)=-⋅-32)()(a a ;=⋅⋅b b b 32⋅2x =6x ; (3)=⋅-32)(x x ;=⋅10104;=⨯⨯32333 ;(4)34a a a ⋅⋅ = ; ()()()53222--- = ;(5)()()()352a a a -⋅-⋅-- = ;(1)32a a ⋅=___________;(6)()=-⋅-⋅-62)()(a a a ;m m m m2543∙∙∙= ;(7)=-⋅-43)()(a b a b ;=⋅2x x n;(8)=⎪⎭⎫ ⎝⎛-⨯-6231)31( ;=⨯4610102、简单计算:(1)=⋅64a a (2)=⋅5b b (3)=⋅⋅32m m m (4)=⋅⋅⋅953c c c c 3.计算:(1)=-⋅23b b (2)=-⋅3)(a a (3)=--⋅32)()(y y (4)=--⋅43)()(a a (5)=-⋅2433 (6)=--⋅67)5()5( (7)=--⋅32)()(q q n (8)=--⋅24)()(m m (9)=-32 (10)=--⋅54)2()2( 4.下面的计算对不对?如果不对,应怎样改正?(1)523632=⨯; (2)633a a a =+; (3)n n n y y y 22=⨯; (4)22m m m =⋅; (5)422)()(a a a =-⋅-; (6)1243a a a =⋅;二、幂的乘方:幂的乘方,底数不变,指数相乘.即:(a m )n =a mn 1、填空:(1) )2(24-=___________ (2) )3(32-=___________(3))2(22-=___________ (4))2(22-=___________(5))(77m = ___________ (6))(335m m= ___________2、计算 : (1)(22)2;(2)(y 2)5 (3)(x 4)3 (4))(3b m -(4)(y 3)2 • (y 2)3(5))()(45a a a --∙∙ (6)xx x 72)(23-∙三、积的乘方:等于把积的每一个因式分别乘方,再把所得的幂相乘.(ab)n =a n b n1、填空:(1)(2x )2=___________(ab )3 =_________(ac)4. =__________ (2)(-2x )3=___________)2(22a-=_________)(42a =_________(3))2(23b a - =_______)2(422b a -=_________(4)(xy 3)2=_________(5)__________)(=ab n(6))(__________)(为正整数n abc n= (7)__________3212)(3=-b a (8)__________333)(=--b a ab (9)__________2)3(2=-y x(9)________3)(3=b a nn )(23ba n =___________(10) ________32)(3=-y x ___________23)(2=-y x2、计算:(1)(3a )2(2)(-3a )3(3)(ab 2)2(4)(-2×103)3(5)(103)3(6)(a 3)7 (7)(x 2)4; (8)(a 2)• 3 • a 53、选择题:(1)下列计算中,错误的是( )A b a b a 642)(32= B y x y x4429)3(22=Cyxy x 33)(--= Dnmn m 462)(23=-(2)下面的计算正确的是( ) A m m m532=∙ B m m m 532=+C nmn m 2523)(= D222m nn m=∙四、整式的乘法1、单项式乘单项式1、2(3)x -·32x2、33a ·44a3、54m ·23m4、23(5)a b 2(3)a -5、2x ·x ·5x 6、(3)x -·2xy 7、24a ·23a 8、2(5)a b -·(3)a -9、3x ·53x 10、34b c ·12abc 11、32x ·2(3)x - 12、4y ·2(2)xy -13、2(3)x y -·21()3xy 14、4(210)⨯·5(410)-⨯ 15、47x ·32x16、433a b ·232(4)a b c - 17、19、2x ·232()y xy -18、23(5)a b ·23()ab c - 19、3(2)a -·2(3)a - 20、5m -·42(10)m - 21、3m nx +-·4m nx- 22、23(3)x y ·(4)x - 23、24ab ·21()8a c -24、(5)ax -·22(3)x y 25、242()m a b -·2()mab - 26、54x y ·232()x y z -27、33(3)a bc -·22(2)ab - 28、4()3ab -·2(3)ab - 29、3(2)x ·2(5)xy -30、34322(2)()x y x yc -- 31、24xy ·233()8x yz - 32、32(2)ab c -·2(2)x33、232(3)a b -·33(2)ab c - 34、323331()(2)73a b a b c - 35、2(4)x y -·22()x y -·31()2y36、24xy ·32(5)x y -·2(2)x y - 37、22(2)x y -·1()2xyz -·3335x z38、1()2xyz -·2223x y ·33()5yz - 39、26m n -·3()x y -·2()y x -40、221()2ab c ·231()3abc -·31()2a 41、、2xy ·221()2x y z -·33(3)x y - 42、331()2ab -·1()4ab -·222(8)a b - 43、26a b ·3()x y -·213ab ·2()y x -44、2(4)x y -·22()x y -·312y二、单项式乘多项式:(利用乘法分配率,转变为单项式乘单项式,然后把结果相加减) 1、2(34)m x y + 2、11()22ab ab + 3、2(1)x x x -- 4、22(321)a a b +-5、23(21)x x x -- 6、4(3)x x y - 7、()ab a b + 8、6(21)x x +9、(1)x x + 10、3(52)a a b - 11、3(25)x x -- 12、212()2x x -13、2323(2)a a b a - 14、(3)(6)x y x -- 15、22()x x y xy - 16、2(4)(2)a b b --17、2(31)(2)x x -+- 18、(2)a -·31(1)4a - 19、2323()(21)2x x x -+-20、22(2)3ab ab -·12ab 21、224(35)m m n mn -+ 22、2(3)(22)ab a b ab --+23、5ab ·(20.2)a b -+ 24、224(2)39a a --·(9)a - 25、23(251)x x x ---26、22(1)x x x --+ 27、2x ·21(1)2x - 28、2123()33x x +29、24(231)a a a -+- 30、22(3)(21)x x x --+- 31、25(1)xy x y +-32、212(3)2x y xy y -+ 33、2223(34)xy x y xy -- 34、223()ab a b ab ab -+35、22(232)ab a ab a -+ 36、213a b -·22(639)a ab b -+ 37、321(248)()2x x x ----38、322(356)x x x --- 39、3223(36)4a b c ac -+·13ab40、(1)2(1)3(25)x x x x x x +++--41、()()()a b c b c a c a b ---+- 42、223121(3)()232x y y xy +--43、221(2)2x y xy y -+·(4)xy - 43、2325101(1)()335a b a b ab -+-44、、221(2)(4)2x y xy y xy -+-三、多项式乘多项式:(转化为单项式乘多项式,然后在转化为单项式乘单项式) 1、(31)(2)x x ++ 2、(8)()x y x y -- 3、(1)(5)x x ++ 4、(21)(3)x x ++5、(2)(3)m n m n +-6、(3)(3)a b a b +-7、2(21)(4)x x -- 8、2(3)(25)x x +-9、(2)(3)x x ++ 10、(4)(1)x x -+ 11、(4)(2)y y +- 12、(5)(3)y y --13、()()x p x q ++ 14、(6)(3)x x -- 15、11()()23x x +- 16、(32)(2)x x ++17、(41)(5)y y -- 18、2(2)(4)x x -+ 19、(4)(8)x x -- 20、(4)(9)x x ++21、(2)(18)x x -- 22、(3)()x x p ++ 23、(6)()x x p -- 24、(7)(5)x x ++25、(1)(5)x x ++ 26、11()()32y y +- 27、(2)(3)a b a b -+ 28、(3)(23)t t +-29、2(45)(2)x xy x y +- 30、(3)(34)y y -+ 31、(3)(2)x x +- 32、(2)(2)a b a b +-33、(23)(3)x x +- 34、(3)()x x a ++ 35、(1)(3)x x -+ 36、(2)(2)a b --37、(32)(23)x y x y ++ 38、(6)(1)x x +- 39、(3)(34)x y x y -+ 40、(2)(1)x x -+-41、(23)(32)x y x y +- 42、2(1)(1)x x x -++ 43、22()()a b a ab b +-+44、22(321)(231)x x x x +++- 45、22()()a b a ab b -++46、22()()x xy y x y ++-47、22()()x a x ax a -++ 48、22()()x y x xy y -++ 49、4242(331)(2)x x x x -++-50、22()()x y x xy y +-+四、平方差公式和完全平方公式1、(1)(1)x x +-2、(21)(21)x x +-3、(5)(5)x y x y +-4、(32)(32)x x +-5、(2)(2)b a a b +-6、(2)(2)x y x y -+--7、()()a b b a +-+8、()()a b a b ---9、(32)(32)a b a b +- 10、5252()()a b a b -+ 11、(25)(25)a a +-12、(1)(1)m m --- 13、11()()22a b a b --- 14、(2)(2)ab ab --- 15、10298⨯ 16、97103⨯17、4753⨯ 18、22()()()a b a b a b +-+ 19、(32)(32)a b a b +-20、(711)(117)m n n m --- 21、(2)(2)y x x y --- 22、(4)(4)a a +-+23、(25)(25)a a -+ 24、(3)(3)a b a b +- 25、(2)(2)x y x y +-完全平方:1、2(1)p + 2、2(1)p - 3、2()a b - 4、2()a b + 5、2(2)m +6、2(2)m -7、2(4)m n +8、21()2y - 9、2(3)x y - 10、2(2)a b --11、21()a a+ 12、2(52)x y -- 13、2(2)a b - 14、21()2x y - 15、2(23)a b +16、2(32)x y - 17、2(2)m n -- 18、2(22)a c + 19、2(23)a -+ 20、21(3)3x y +21、2(32)a b + 22、222()a b -+ 23、22(23)x y -- 24、2(1)xy - 25、222(1)x y -五、同底数幂的除法:底数不变,指数相减。
整式的乘法练习题(一)填空1.a8=(—a5)______.2.a15=( )5.3.3m2·2m3=______.4.(x+a)(x+a)=______.5.a3·(-a)5·(—3a)2·(-7ab3)=______.6.(—a2b)3·(-ab2)=______.7.(2x)2·x4=( )2.8.24a2b3=6a2·______.9.[(a m)n]p=______.10.(—mn)2(-m2n)3=______.11.多项式的积(3x4-2x3+x2-8x+7)(2x3+5x2+6x—3)中x3项的系数是______.12.m是x的六次多项式,n是x的四次多项式,则2m-n 是x的______次多项式.14.(3x2)3-7x3[x3-x(4x2+1)]=______.15.{[(-1)4]m}n=______.16.—{—[-(-a2)3]4}2=______.17.一长方体的高是(a+2)厘米,底面积是(a2+a-6)厘米2,则它的体积是______.18.若10m=a,10n=b,那么10m+n=______.19.3(a—b)2[9(a—b)n+2](b—a)5=______(a—b)n+9.20.已知3x·(x n+5)=3x n+1—8,那么x=______.21.若a2n-1·a2n+1=a12,则n=______.22.(8a3)m÷[(4a2)n·2a]=______.23.若a<0,n为奇数,则(a n)5______0.24.(x—x2-1)(x2—x+1)n(x—x2—1)2n=______.25.(4+2x—3y2)·(5x+y2—4xy)·(xy-3x2+2y4)的最高次项是______.26.已知有理数x,y,z满足|x—z-2|+(3x—6y-7)2+|3y+3z—4|=0,则x3n+1y3n+1z4n-1的值(n为自然数)等于______.(二)选择28.下列计算正确的是[ ]A.9a3·2a2=18a5;B.2x5·3x4=5x9;C.3x3·4x3=12x3;D.3y3·5y3=15y9.29.(y m)3·y n的运算结果是[ ]B.y3m+n;C.y3(m+n);D.y3mn.30.下列计算错误的是[ ]A.(x+1)(x+4)=x2+5x+4;B.(m—2)(m+3)=m2+m-6;C.(y+4)(y—5)=y2+9y—20;D.(x—3)(x—6)=x2—9x+18.31.计算-a2b2·(-ab3)2所得的结果是[]A.a4b8;B.-a4b8;C.a4b7;D.-a3b8.32.下列计算中错误的是[]A.[(a+b)2]3=(a+b)6;B.[(x+y)2n]5=(x+y)2n+5;C.[(x+y)m]n=(x+y)mn;D.[(x+y)m+1]n=(x+y)mn+n.33.(—2x3y4)3的值是[ ]A.-6x6y7;B.-8x27y64;C.-8x9y12;D.—6xy10.34.下列计算正确的是[ ]A.(a3)n+1=a3n+1;B.(-a2)3a6=a12;C.a8m·a8m=2a16m;D.(—m)(—m)4=-m5.35.(a—b)2n·(b—a)·(a-b)m-1的结果是[ ]A.(a-b)2n+m;B.—(a—b)2n+m;C.(b—a)2n+m;D.以上都不对.36.若0<y<1,那么代数式y(1-y)(1+y)的值一定是[] A.正的;B.非负;C.负的;D.正、负不能唯一确定.37.(—2。
整式的乘法300题专项训练之马矢奏春创作同底数幂的乘法:底数不变,指(次)数相加.公式:am·an=am+n 1、填空:(1)=⋅53x x ; =⋅⋅32a a a ; =⋅2x x n ; (2)=-⋅-32)()(a a ;=⋅⋅b b b 32⋅2x =6x ; (3)=⋅-32)(x x ;=⋅10104;=⨯⨯32333; (4)34a a a ⋅⋅ = ;()()()53222--- = ;(5)()()()352a a a -⋅-⋅-- = ;(1)32a a ⋅=___________;(6)()=-⋅-⋅-62)()(a a a ;m m m m 2543•••= ;(7)=-⋅-43)()(a b a b ;=⋅2x x n ;(8)=⎪⎭⎫ ⎝⎛-⨯-6231)31( ;=⨯4610102、简单计算:(1)=⋅64a a (2)=⋅5b b (3)=⋅⋅32m m m (4)=⋅⋅⋅953c c c c 3.计算:(1)=-⋅23b b (2)=-⋅3)(a a (3)=--⋅32)()(y y (4)=--⋅43)()(a a (5)=-⋅2433 (6)=--⋅67)5()5( (7)=--⋅32)()(q q n (8)=--⋅24)()(m m (9)=-32 (10)=--⋅54)2()2(4.下面的计算对分歧毛病?如果分歧毛病,应怎样改正? (1)523632=⨯; (2)633a a a =+; (3)n n n y y y 22=⨯; (4)22m m m =⋅; (5)422)()(a a a =-⋅-; (6)1243a a a =⋅; 二、幂的乘方:幂的乘方,底数不变,指数相乘.即:(am )n=amn 1、填空:(1) )2(24-=___________ (2))3(32-=___________(3))2(22-=___________ (4))2(22-=___________(5) )(77m = ___________ (6) )(335m m =___________ 2、计算 :(1)(22)2; (2)(y2)5 (3)(x4)3 (4))(3b m -(4)(y3)2• (y2)3 (5))()(45a a a --•• (6)x x x 72)(23-•三、积的乘方:即是把积的每一个因式分别乘方,再把所得的幂相乘.(ab)n=anbn 1、填空:(1)(2x )2=___________(ab )3 =_________(ac)4. =__________ (2)(-2x)3=___________)2(22a -=_________)(42a =_________(3))2(23b a - =_______ )2(422b a -=_________1、2(3)x -·32x2、33a ·44a 3、54m ·23m 4、23(5)a b 2(3)a -5、2x ·x ·5x6、(3)x -·2xy7、24a ·23a8、2(5)a b -·(3)a -9、3x ·53x10、34b c ·12abc 11、32x ·2(3)x - 12、4y ·2(2)xy -13、2(3)x y -·21()3xy 14、4(210)⨯·5(410)-⨯ 15、47x ·32x16、433a b ·232(4)a b c - 17、19、2x ·232()y xy -18、23(5)a b ·23()ab c - 19、3(2)a -·2(3)a - 20、5m -·42(10)m -21、3m n x +-·4m n x - 22、23(3)x y ·(4)x - 23、24ab ·21()8a c -24、(5)ax -·22(3)x y 25、242()m a b -·2()mab - 26、54x y ·232()x y z - 27、33(3)a bc -·22(2)ab - 28、4()3ab -·2(3)ab - 29、3(2)x ·2(5)xy -30、34322(2)()x y x yc -- 31、24xy ·233()8x yz - 32、32(2)ab c -·2(2)x33、232(3)a b -·33(2)ab c - 34、323331()(2)73a b a b c - 35、2(4)x y -·22()x y -·31()2y36、24xy ·32(5)x y -·2(2)x y - 37、22(2)x y -·1()2xyz -·3335x z 38、1()2xyz -·2223x y ·33()5yz - 39、26m n -·3()x y -·2()y x - 40、221()2ab c ·231()3abc -·31()2a 41、、2xy ·221()2x y z -·33(3)x y -42、331()2ab -·1()4ab -·222(8)a b - 43、26a b ·3()x y -·213ab ·2()y x -44、2(4)x y -·22()x y -·312y二、单项式乘多项式:(利用乘法分配率,转酿成单项式乘单项式,然后把结果相加减)1、2(34)m x y +2、11()22ab ab + 3、2(1)x x x -- 4、22(321)a a b +-5、23(21)x x x --6、4(3)x x y -7、()ab a b +8、6(21)x x +9、(1)x x + 10、3(52)a a b - 11、3(25)x x -- 12、212()2x x -13、2323(2)a a b a - 14、(3)(6)x y x -- 15、22()x x y xy - 16、2(4)(2)a b b --17、2(31)(2)x x -+- 18、(2)a -·31(1)4a - 19、2323()(21)2x x x -+- 20、22(2)3ab ab -·12ab 21、224(35)m m n mn -+ 22、2(3)(22)ab a b ab --+23、5ab ·(20.2)a b -+ 24、224(2)39a a --·(9)a - 25、23(251)x x x ---26、22(1)x x x --+ 27、2x ·21(1)2x - 28、2123()33x x + 29、24(231)a a a -+- 30、22(3)(21)x x x --+- 31、25(1)xy x y +-32、212(3)2x y xy y -+ 33、2223(34)xy x y xy -- 34、223()ab a b ab ab -+35、22(232)ab a ab a -+ 36、213a b -·22(639)a ab b -+ 37、321(248)()2x x x ----38、322(356)x x x --- 39、3223(36)4a b c ac -+·13ab40、(1)2(1)3(25)x x x x x x +++--41、()()()a b c b c a c a b ---+- 42、223121(3)()232x y y xy +-- 43、221(2)2x y xy y -+·(4)xy - 43、2325101(1)()335a b a b ab -+- 44、、221(2)(4)2x y xy y xy -+-三、多项式乘多项式:(转化为单项式乘多项式,然后在转化为单项式乘单项式)1、(31)(2)x x ++2、(8)()x y x y --3、(1)(5)x x ++4、(21)(3)x x ++5、(2)(3)m n m n +-6、(3)(3)a b a b +-7、2(21)(4)x x --8、2(3)(25)x x +-9、(2)(3)x x ++ 10、(4)(1)x x -+ 11、(4)(2)y y +- 12、(5)(3)y y --13、()()x p x q ++ 14、(6)(3)x x -- 15、11()()23x x +- 16、(32)(2)x x ++17、(41)(5)y y -- 18、2(2)(4)x x -+ 19、(4)(8)x x -- 20、(4)(9)x x ++21、(2)(18)x x -- 22、(3)()x x p ++ 23、(6)()x x p -- 24、(7)(5)x x ++25、(1)(5)x x ++ 26、11()()32y y +- 27、(2)(3)a b a b -+ 28、(3)(23)t t +-29、2(45)(2)x xy x y +- 30、(3)(34)y y -+ 31、(3)(2)x x +- 32、(2)(2)a b a b +-33、(23)(3)x x +- 34、(3)()x x a ++ 35、(1)(3)x x -+ 36、(2)(2)a b --37、(32)(23)x y x y ++ 38、(6)(1)x x +- 39、(3)(34)x y x y -+ 40、(2)(1)x x -+-41、(23)(32)x y x y +- 42、2(1)(1)x x x -++ 43、22()()a b a ab b +-+ 44、22(321)(231)x x x x +++- 45、22()()a b a ab b -++46、22()()x xy y x y ++- 47、22()()x a x ax a -++ 48、22()()x y x xy y -++ 49、4242(331)(2)x x x x -++-50、22()()x y x xy y +-+四、平方差公式和完全平方公式1、(1)(1)x x +-2、(21)(21)x x +-3、(5)(5)x y x y +-4、(32)(32)x x +-5、(2)(2)b a a b +-6、(2)(2)x y x y -+--7、()()a b b a +-+8、()()a b a b ---9、(32)(32)a b a b +- 10、5252()()a b a b -+ 11、(25)(25)a a +-12、(1)(1)m m ---13、11()()22a b a b --- 14、(2)(2)ab ab --- 15、10298⨯ 16、97103⨯ 17、4753⨯ 18、22()()()a b a b a b +-+ 19、(32)(32)a b a b +-20、(711)(117)m n n m --- 21、(2)(2)y x x y --- 22、(4)(4)a a +-+ 23、(25)(25)a a -+ 24、(3)(3)a b a b +- 25、(2)(2)x y x y +-完全平方:1、2(1)p + 2、2(1)p - 3、2()a b - 4、2()a b + 5、2(2)m +6、2(2)m -7、2(4)m n +8、21()2y - 9、2(3)x y - 10、2(2)a b --11、21()a a + 12、2(52)x y -- 13、2(2)a b - 14、21()2x y - 15、2(23)a b +16、2(32)x y - 17、2(2)m n -- 18、2(22)a c + 19、2(23)a -+ 20、21(3)3x y + 21、2(32)a b + 22、222()a b -+ 23、22(23)x y -- 24、2(1)xy - 25、222(1)x y -五、同底数幂的除法:底数不变,指数相减.任何不即是 0 的数的 0 次幂都即是0.(1)26a a ÷ (2))()(8b b -÷- (3)24)()(ab ab ÷ (4)131533÷(5)473434)()(-÷- (6)214y y ÷ (7))()(5a a -÷- (8)25)()(xy xy -÷-(9)n n a a 210÷(10)57x x ÷(11)89y y ÷ (12)310a a ÷(13)35)()(xy xy ÷ (14)236t t t ÷÷ (15)453p p p ÷⋅16))()()(46x x x -÷-÷- (17) 112-+÷m m a a (m 是正整数)(18)[]3512)(x x x ⋅-÷ (19)x x x x x ⋅÷⋅÷431012 (20)32673)()(x x x ÷(21)279)3()3(252⋅÷-⋅- (22)232232432)()()(y x y x y x ⋅-÷六、整式的除法1.._______362=÷x x2..______)5.0()3(2353=-÷-n m n m 3.._______)102()104(39=⨯-÷⨯ 4.._______)(34)(836=-÷-b a b a 5.2222234)2(c b a c b a ÷-=________ 6..________])[()(239226=⋅÷÷÷a a a a a 7..________)]()(51[)()(523=+--÷+-y x x y y x y x8.m m 8)(16=÷.9.⎪⎭⎫ ⎝⎛-÷2333238ax x a ; 10.()2323342112⎪⎭⎫⎝⎛÷-y x yx ;11.()()3533263b a c b a -÷; 12.()()()32332643xy y x ÷⋅; 13.()()39102104⨯-÷⨯; 14.()()322324n n xy y x -÷15.32332)6()4()3(xy y x ÷-⋅; 16.233224652)3(12z y x z y x z y x ÷-÷; 17.)102(10)12(562⨯÷⨯--; 18222221)52()41()25(n n n n b a b a b a -⋅-÷+; 21.322543323)3()18(2)3(c a b a ac c b a ÷-÷⋅-; 22..])3(5[])3(5[223-+-÷+-m m b a b a 23、222221324125⎪⎭⎫⎝⎛-⋅⎪⎭⎫ ⎝⎛-÷⎪⎭⎫ ⎝⎛-+n n n n y x y x y x24.()()()44232323649b a b a b a -÷-⨯-25、())2(10468234x x x x x -÷+-- 26、⎪⎭⎫ ⎝⎛-÷⎪⎭⎫ ⎝⎛-c a bc a c b a 2223325232因式分解专题训练一、提公因式法(1)-15ax-20a; (2)-25x8+125x16; (3)-a3b2+a2b3;(4)6a3-8a2-4a;(5)-x3y3-x2y2-xy;(6)a8+a7-2a6-3a5;(7)6a3x4-8a2x5+16ax6;(8 )9a3x2-18a5x2-36a4x4;(9)x(a+b)+y(a+b);(10)(a+b)2+(a+b); (11)a2b(a-b)+3ab(a-b);(12)x(a+b-3c)-(a+b-3c) (13)a(a-b)+b(b-a);(14)(x-3)3-(x-3)2;(15)a2b(x-y)-ab(y-x);(16)a2(x-2a)2-a(2a-x)2;(17)(x-a)3+a(a-x);(18)(x-2y)(2x+3y)-2(2y-x)(5x-y);(19)3m(x-5)-5n(5-x); (20)y(x-y)2-(y-x)3;(21)a(x-y)-b(y-x)-c(x-y);(22)(x-2)2-(2 -x)3;二、利用公式法分解因式1.下面各题,是因式分解的画“√”,不是的画“×”.(1)x(a-b)=xa-xb;()(2)xa-xb=x(a-b);()(3)(x+2)(x-2)=x2-4;()(4)x2-4=(x+2)(x-2);()(5)m(a+b+c)=ma+mb+mc;()(6)ma+mb+mc=m(a+b+c);()(7)ma+mb+mc=m(a+b)+mc. ()2.填空:(1)ab+ac=a( );(2)ac-bc=c( );(3)a2+ab=a( );(4)6n3+9n2=3n2( ).3.填空:(1)多项式ax+ay各项的公因式是;(2)多项式3mx-6my各项的公因式是;(3)多项式4a2+10ab各项的公因式是;(4)多项式15a2+5a各项的公因式是;(5)多项式x2y+xy2各项的公因式是;(6)多项式12xyz-9x2y2各项的公因式是.4.把下列各式分解因式:(1) 4x3-6x2 (2) 4a3b+2a2b2= == =(3) 6x2yz-9xz2 (4) 12m3n2-18m2n3 = == =1.填空:(1)把一个多项式化成几个因式的形式,叫做因式分解;(2)用提公因式法分解因式有两步,第一步:公因式,第二步:公因式.2.直接写出因式分解的结果:(1)mx+my=(2)3x3+6x2=(3)7a2-21a=(4)15a2+25ab2=(5)x2+x=(6)8a3-8a2=(7)4x2+10x=(8)9a4b2-6a3b3=(9)x2y+xy2-xy=(10)15a2b-5ab+10b=3.下列因式分解,分解完的画“√”,没分解完的画“×”.(1)4m2-2m=2(2m2-m);()(2)4m2-2m=m(4m-2);()(3)4m2-2m=2m(2m-1). ()4.直接写出因式分解的结果:(1)a(x+y)+b(x+y)=(2)6m(p-3)-5n(p-3)=(3)x(a+3)-y(3+a)=(4)m(x2-y2)+n(x2-y2)=(5)(a+b)2+c(a+b)=5.把下列式子分解因式:(1) m(a-b)+n(b-a) (2) x(a-3)-2(3-a) = == =6.判断正误:下列因式分解,对的画“√”,错的画“×”.(1)x(a+b)-y(b+a)=(a+b)(x+y);()(2)x(a-b)+y(b-a)=(a-b)(x+y);()(3)x(a-b)-y(b-a)=(x+y)(a-b);()(4)m2(a+b)+m(a+b)=(a+b)(m2+m). ()1.直接写出因式分解的结果:(1)2a2b+4ab2=(2)12x2yz-8xz2=(3)2a(x+y)-3b(x+y)=(4)x(m-n)-y(n-m)=2.分解因式:(1) x2-25 (2) 9-y2= == =(3) 1-a2 (4) 4x2-y2= == =(5) 9a2-4b2(6) 0.81m2-16n2= == =b2(8) 4x2y2-9z2(7) a2-125= == =3.分解因式:(1) (a+b)2-a2 (2) (x+y)2-(x-y)2= == =4.分解因式:(1) x4-1 (2) -a4+16= == == =(一)基本训练,巩固旧知1.填空:两个数的平方差,即是这两个数的与这两个数的的积,即a2-b2=,这个公式叫做因式分解的公式.2.填空:在x2+y2,x2-y2,-x2+y2,-x2-y2中,能用平方差公式来分解因式的是.3.直接写出因式分解的结果:(1)4a2-9y2=(2)16x2-1=(3)(a+b)2-c2=(4)x4-y2=4.运用完全平方公式分解因式:(1) a2+2a+1 (2) x2-6x+9= == =(3) 4x2-20xy+25y2 (4) x2+36+12x= == =5.运用完全平方公式分解因式:(1) -2xy-x2-y2 (2) (a+b)2-4(a+b)b+4b2 = == == =。
整式的乘法测试1.列各式中计算结果是x2-6x+5 的是 ()A. ( x-2)( x-3)B.( x-6)( x+1)C.( x-1)( x-5)D.( x+6)( x-1)2.下列各式计算正确的是( )A.2 x+3x=5B.2x?3x=6C.( 2x)3=8D.5x6÷x3=5 x23.下列各式计算正确的是( )A.2 x( 3x-2)=5x2-4xB.( 2y+3x)( 3x-2y) =9 x2-4y2C.( x+2)2 =x2+2 x+4D.( x+2)( 2x-1) =2x2 +5x-24.要使多项式 (x2+px+2)( x-q)展开后不含 x 的一次项,则p 与 q 的关系是 ()A. p=qB. p+q=0C.pq=1D.pq=225.若 (y+3)( y-2)= y +my+n,则 m、 n 的值分别为 ()B.m=1, n=-6C.m=1, n=6D.m=5, n=-66.计算: (x-3)(x+4)=_____ .7.若 x2+px+6=( x+q)(x-3) ,则 pq=_____ .8.先观察下列各式,再解答后面问题:( x+5)( x+6)= x2+11x+30; (x-5)( x-6)= x2-11x+30 ;(x-5)(x+6)= x2 +x-30;(1)乘积式中的一次项系数、常数项与两因式中的常数项有何关系?(2)根据以上各式呈现的规律,用公式表示出来;(3)用你写的公式,直接写出下列两式的果;①( a+99)( a-100)=_____ ;② (y-500)( y-81)=_____ .9. (x-y)(x2+xy+y2 )=_____ ; (x-y)(x3+x2y+xy2+y3)=_____根据以上等式行猜想,当n是偶数,可得:(x-y)(x n+x n -1y+y n -2y2+⋯+x2y n-2+xy n-1+y n)=_____.10.三角形一2a+2b,条上的高2b-3a,个三角形的面是_____.11.若 (x+4)( x-3)= x2+mx-n, m=_____ , n=_____.12.整式的乘法运算(x+4)( x+m), m 何,乘中不含x ? m 何,乘中x的系数6?你能提出哪些?并求出你提出的.13.如,正方形卡片 A , B 和方形卡片 C 若干,如果要拼一个(a+2 b),( a+b)的大方形,需要 C 卡片 ().14.算:(1)(5 mn2-4m2n)(-2 mn)(2)(x+7)(x-6)-(x-2)(x+1)15.明代数式(2x+1)(1-2 x+4x2)-x(3x-1)(3x+1)+( x2+x+1)( x-1)-(x-3) 的与 x 无关.参考答案1.答案: C解析:【解答】 A 、( x-2)( x-3) =x2-6x+6,故本选项错误;B、( x-6)( x+1) =x2-5x-6,故本选项错误;C、( x-1)( x-5) =x2-6x+5,故本选项正确;D、( x+6)( x-1) =x2+5x-6,故本选项错误;故选 C.【分析】根据多项式乘以多项式的法则,可表示为(a+b)(m+n)=am+an+bm+bn,进行计算即可得出正确答案.2.答案: A解析:【解答】 A 、 2x+3 x=5x,故 A 选项正确;B、 2x?3x=6x2,故 B 选项错误;C、( 2x)3=8x3,故 C 选项错误;D、 5x6÷x3=5x3,故 D 选项错误;故选 A .【分析】根据整式乘法和幂的运算法则.3.答案: B解析:【解答】 A 、 2x( 3x-2) =6x2-4x,故本选项错误;B、( 2y+3 x)( 3x-2y)=9x2-4y2,故本选项正确;C、( x+2)2=x2+4x+4,故本选项错误;2D、( x+2)( 2x-1) =2x +3x-2,故本选项错误.【分析】根据整式乘法的运算法则、平方差公式、完全平方公式的知识求解,即可求得答案.注意排除法在解选择题中的应用.4.答案: D解析:【解答】(x2+px+2)( x-q) =x3-qx2+px2-pqx+2x-2q=x3+( p-q)x2 +( 2-pq) x-2q,∵多项式不含一次项,∴p q-2=0 ,即 pq=2 .故选 D【分析】利用多项式乘以多项式法则计算,次项,令一次项系数为0 即可列出p 与5.答案: B合并同类项得到最简结果,q 的关系.由结果中不含x 的一解析:【解答】∵(y+3)( y-2)=y2-2y+3 y-6= y2+y-6,∵( y+3)( y-2) =y2+my+n,∴y2+my+n=y2+y-6,∴m=1, n=-6 .故选 B .【分析】先根据多项式乘以多项式的法则计算( y+3)( y-2),再根据多项式相等的条件即可求出 m、 n 的值.6.答案: x2+x-12解析:【解答】(x-3)( x+4) =x2+4x-3x-12=x2+x-12【分析】根据(a+b)( m+n) =am+an+bm+bn 展开,再合并同类项即可.7.答案: 10解析:【解答】∵(x+q)( x-3)=x2+( -3+q) x-3q,∴x2+px+6= x2+( -3+q) x-3q,∴p=-3+ q, 6=-3q,∴p=-5 , q=-2 ,∴pq=10.故答案是 10.【分析】等式的右边根据多项式乘以多项式的法则,可表示为( a+b)(m+n)=am+an+bm+bn 进行计算,再根据等式的性质可得关于p、 q 的方程组,求解即可.8.答案:① a2-a-9900 ;② y2-581y+40500.解析:【解答】(1)两因式中常数项的和等于乘积中的一次项系数,常数项的积等于乘积中的常数项;(2)( x+a)( x+b) =x2+( a+b) x+ab.(3)①( a+99 )( a-100) =a2-a-9900 ;②( y-500)( y-81) =y2-581y+40500 .【分析】( 1)根据乘积式中的一次项系数、常数项与两因式中的常数项之间的规律作答;(2)根据( 1)中呈现的规律,列出公式;(3)根据( 2)中的公式代入算.9.答案: x3-y3; x4-y4;x n+1-y n+1.解析:【解答】原式=x3+x2 y+xy2-x2y-xy2 -y3=x3-y3;原式 =x4+x3 y+x2 y2+xy3-x3y-x2 y2-xy3-y4 =x4-y4;原式 =x n+1+x n y+xy n-2+x2y n-1 +xy n -x n y-x n-1y2-y n-1y2-⋯ -x2y n -1 -xy n-y n+1=x n+1-y n+1,【分析】根据多式与多式相乘的法:多式与多式相乘,先用一个多式的每一乘另外一个多式的每一,再把所得的相加.10.答案: -3a2+2b2-ab.解析:【解答】∵三角形一2a+2b,条上的高2b-3a,∴ 个三角形的面:(2a+2b)( 2b-3a)÷2=(a+b)( 2b-3a) =-3 a2+2b2-ab.【分析】根据三角形的面=底×高÷2 列出表示面是式子,再根据多式乘以多式的法算即可.11.答案: 1, 12.解析:【解答】∵(x+4)( x-3)=x2-3x+4 x-12=x2+x-12=x2+mx-n,∴m=1, -n=-12 ,即 m=1, n=12 .【分析】将已知等式左利用多式乘以多式法算,根据多式相等的条件得出m 与 n 的,代入所求式子中算,即可求出.12.答案: -4, 2解析:【解答】∵(x+4)( x+m) =x2+mx+4 x+4m若要使乘中不含x ,∴4+ m=0∴m=-4若要使乘中x 的系数6,∴4+ m=6∴m=2提出: m 何,乘中不含常数?若要使乘中不含常数,∴4m=0∴m=0【分析】把式子展开,若要使乘中不含x ,令含x 的系数零;若要使乘中x的系数为6,则令含x 项的系数为6;根据展开的式子可以提出多个问题.13.答案: 3 张.解析:【解答】(a+2b)( a+b) =a2+3ab+2b2.则需要 C 类卡片 3 张.【分析】拼成的大长方形的面积是(a+2b)( a+b)=a2+3 ab+2b2,即需要一个边长为 a 的正方形, 2 个边长为 b 的正方形和 3 个 C 类卡片的面积是 3ab.14.答案:( 1) 10m2n3+8m3 n2;( 2) 2x-40.解析:【解答】( 1)原式 =-10m2n3+8m3n2;(2)原式 =x2-6x+7 x-42-x2-x+2x+2=2x-40.【分析】( 1)原式利用单项式乘以多项式法则计算,合并即可得到结果;(2)原式两项利用多项式乘以多项式法则计算,去括号合并即可得到结果.15.答案:代数式的值与 x 无关解析:【解答】原式 =2x-4x2+8x3+1-2x+4x2-9x3-x+x3-1+ x-3=-3 ,则代数式的值与x 无关.【分析】原式利用多项式乘以多项式法则计算,去括号合并得到最简结果,即可做出判断.。
整式的乘法班级 姓名 学号 得分一、填空题(每格2分,共28分)1、()()=--52a a ;()()=-⋅2772-m m ; 4774)()(a a -+-= ;()()=--x y y x 2332-_______()[]⋅+323-y x ()[]432-y x += ;()=⨯⎪⎭⎫ ⎝⎛200320025.1-32 . 2、已知:a m =2,b n =32,则n m 1032+=________3、若2134825125255=n n ,则=n ________4、已知,32=n m ()=-n n m m 22234)3(_______5、已知互为相反数,和b a 且满足()()2233+-+b a =18,则=⋅32b a6、已知:,52a n =b n =4,则=n 610_______7、()()122++=++ax x n x m x ,则a 的取值有_______二、选择题(每题3分,共24分)1、 下列计算中正确的是( )A 、()6623333-y x y x = B 、20210a a a =⋅ C 、()()162352m m m=-⋅- D 、1263428121y x y x -=⎪⎭⎫ ⎝⎛- 2、若(x x -2+m )(x -8)中不含x 的一次项,则m 的值为( )A 、8B 、-8C 、0D 、8或-83、(-a +1)(a +1)(a 2+1)等于( )A 、a 4-1B 、a 4+1C 、a 4+2a 2+1D 、1-a 44、1405=a ,2103=b ,2802=c ,则a 、b 、c 的大小关系是( )A 、c b a <<B 、c a b <<C 、b a c <<D 、a b c <<5、若142-=y x ,1327+=x y ,则y x -等于( )A 、-5B 、-3C 、-1D 、16、()()1666---+n n 的值为( )A 、0B 、1或- 1C 、()16-+nD 、不能确定7、若三角形的三边长分别为a 、b 、c ,满足03222=-+-b c b c a b a ,则这个三角形是( )A 、直角三角形B 、等边三角形C 、锐角三角形D 、等腰三角形二、解答题(共48分)1、 计算(每题4分,共16分)(1)()322635-a ab a - (2) 3232⎪⎭⎫ ⎝⎛-b a 2231⎪⎭⎫ ⎝⎛ab 2343b a(3)()()()()12561161412++++ (4)10098-992011-2010222⨯3、(6分)先化简,再求值(32)(23)(2)(2)a b a b a b a b +----,其中11.5,4a b =-=4、(6分)已知099052=-+x x ,求1019985623+-+x x x 的值.5、(6分)已知一个长方形的长增加3cm ,宽减少1cm ,面积保持不变,若长减少2cm ,宽增加4cm ,面积也保持不变,求原长方形的面积。
整式的乘法 300 题专项训练同底数幂的乘法:底数不变,指(次)数相加。
公式:a m· a n =a m+n 1、填空:(1)x3x5; a a 2 a3;x n x2;(2)( a2) ( a)3; b2 b3 b x 2= x 6;(3)(x)2 x3; 10 410; 33233;(4)a a4 a 3=;2 2 3 2 5=;(5) a 2 a 5a3=;2a3=___________;(1)aa2( a) ( a)6;3452;(6)m m ? m ? m =(7)(b a) 3 (b a) 4; x n x2;1)216(8)(;10 610 4332、简单计算:(1)a4a6(2)b b5(3)m m2m3( 4)c c3c5c93. 计算:(1)b 3b2()( a)a32(3)( y)2( y)3(4)( a)3( a)4(5)3432(6)( 5)7( 5)6(7)( q)2n( q)3(8)( m)4( m)2(9) 23(10)( 2)4( 2)5 4.下面的计算对不对?如果不对,应怎样改正?(1)233265;(2)a3a3a6;(3)y n y n 2 y 2n;( 4)m m2m2;(5)(a)22)a4;()a3a4a12 ;( a6二、幂的乘方:幂的乘方,底数不变,指数相乘.即: ( a m )n =a mn 1、填空:(1)(224=___________(2)(33 2 =___________))(3)(22)2 =___________( 4)(22)2 =___________753( 5)(m 7) = ___________( 6)m (m 3) = ___________2、计算 :( )(22(2)(y 2 5( )( 4 ) 3()m 3) ;)x4( b)1 233 2 2 35 4 27(6)2 ( x 3) x x(4()y ) ?(y )(5)a ( a) ? ( a)三、积的乘方:等于把积的每一个因式分别乘方, 再把所得的幂相乘. (ab) n =a n b n1、填空:( 1)( 2x )2=___________( ab )3 =_________(ac) 4. =__________2a 2)22(2)(- 2x ) 3=___________(=_________(a 4) =_________32( 3)( 2a 2b ) =_______ ( 2a 2b 4) =_________(4)( xy 3) 2=_________( 5)(ab)n__________n21 a23b 3)(6) (abc) __________ (n 为正整数 )( 7)(__________(8)3332 2__________( ab)a b__________ ( 9)(3x y)3(9)(a nb 3n )3(10)( x 2y 3)________(a2n 3=___________b )________(x3y2 2 ___________)2、计算:(1)( 3a )2(2)(- 3a ) 3 (3)( ab 2)2 ( 4)(- 2× 103) 3(5)( 103)3(6)(a3)7(7)(x2)4;(8)(a2)? 3? a 5 3、选择题:(1)下列计算中,错误的是()A23246B 2 2244(a b ) a b(3x y ) 9x yC33D32264 ( x y)x y(m nm n )(2)下面的计算正确的是()235235A m m mBm m m 3252m n mn (m n)2Cm n D 2 2四、整式的乘法1、单项式乘单项式1、( 3x2)·2x32、3a3·4a43、4m5·3m24、(5a2b)3(3a)25 x2x5(3x)2xy7228 (2( 3a)、· x ·、·、·、·9、3x·3x510、4b3c·1abc11、2x3·( 3x)212、4 y·(2xy 2 ) 213、( 3x2y)·(1xy2)14、(2 104)·( 4 105)15、7 x4·2 x3 316、3a4b3·( 4a2b3c2)17、 19、x2·y2(xy3 )218、(5a2b)3·(ab 2c)319、(2a)3· ( 3a) 220、5m ·( 10m4)2 21、3x m n·4x m n22、(3x2y)3· ( 4x)23、4ab2·(1a2c)824、( 5ax)·(3 x2y)225、( m2a4b2)·(mab2 )26、4x5y·2x2(y)3 z 27、( 3a3bc)3· ( 2ab2 ) 228、(4ab) · ( 3ab)229、(2 x)3· ( 5xy2 )330、( 2x3y4)3( x2yc)231、4xy2·(3x2yz3)32、( 2ab3c)2·(2 x)2 833、( 3a2b3)2·( 2ab3c)334、(3a3b2)(21a3b3c)35、( 4x2y)·(x2 y2 ) ·(1y3 )732 36、4xy2·( 5x3y2)·( 2x2y)37、( 2x2y)2·(1xyz) ·3x3 z32538、(1xyz)·2x2 y 2· (3yz3 )39、6m2n·( x y)3·( y x)2 23540、 ( 1 ab 2c)2 · ( 1 a bc 2 )3· ( 1 a 3 )41、、 2xy · ( 1 x 2 y 2 z) · ( 3x 3 y 3)2 3 2242、 (1 ab 3 )3 · ( 1 ab) · ( 8a 2b2 ) 2 43、 6a 2b · ( x y)3 · 1 ab 2 · ( y x)22 432221344、 ( 4x y) · ( x y ) · y二、单项式乘多项式: (利用乘法分配率,转变为单项式乘单项式,然后把结果相加减) 1、 2m(3 x 4 y)2、1ab(ab 1)3、 x(x 2x 1)4、 2a(3a 22b 1)225、 3x( x 2 2x 1)6、 4x(3x y)7、 ab (a b)8、 6x(2 x 1)9、 x(x 1)10、 3a(5a 2b)11、 3x(2 x 5)12、 2x 2 ( x 1 )213、 3a 2 (a 3b 2 2a)14、 (x 3y)( 6 x)15、 x( x 2 y 2xy)16、 (4 a b 2 )( 2b)17、 ( 3x 1)( 2x 2)18、 ( 2a) · ( 1a 31)19、 ( 3x 2 )(2 x 3x 2 1)4 220、(2ab 22ab) ·1ab21、4m( 3m2n 5mn2)22、( 3ab )(2a2b ab 2)3223、5ab·(2 a b 0.2)24、(2 a22a4) · ( 9a)25、3x(2 x25x 1) 3926、2x( x2x 1)27、2x·(1x21)28、3x(1x22)23329、4a(2 a23a 1)30、(3x2 )( x22x 1)31、xy( x2y51) 32、2x2y(13xy y)33、3xy(3 x2y24xy2 )34、3ab( a2b ab2ab)235、ab2(2a23ab 2a)36、1a2b ·(6 a23ab 9b2 ) 37、 (2 x 4 x38)(1 x2) 3238、2x3(3 x25x 6) 39、 (3a33b2c6ac2 ) ·1ab43 40、x( x1) 2x( x 1) 3x(2 x5)41、a(b c) b(c a) c(a b)42、(3x21y2y2 )(1xy)3 23243、(1x2 y 2xy y2 ) · ( 4xy)43、(5a2b10a3b21)(1a b)233512244、、(x y 2xy y )( 4xy)三、多项式乘多项式:(转化为单项式乘多项式, 然后在转化为单项式乘单项式)1、(3x1)(x 2)2、( x8 y)( x y)3、(x1)(x 5)4、(2 x1)(x3)5、(m2n)(m 3n)6、(a3b)(a 3b)7、(2 x21)(x 4)8、(x23)(2 x5)9、( x2)( x 3)10、( x4)( x 1)11、( y4)( y 2)12、( y5)( y3)13、(x p)( x q)14、( x 6)( x 3)15、(x 1)( x1)16、(3 x 2)( x 2) 2317、(4 y1)( y 5)18、( x2)( x24)19、(x4)( x 8)20、( x4)( x9) 21、( x2)( x 18)22、( x3)( x p)23、( x6)( x p)24、( x7)( x5) 25、( x 1)(x 5)26、1)( y127、28、3229、(4 x25xy)(2 x y)30、( y3)(3 y 4)31、(x3)( x 2) 32、(2 a b)(a 2b) 33、(2 x3)( x 3)34、( x3)( x a)35、( x1)(x 3)36、(a2)(b2) 37、(3 x 2 y)(2 x 3 y)38、( x6)( x 1)39、( x3y)(3 x 4 y) 40、( x 2)( x1) 41、(2 x3y)(3 x 2 y)42、(1x x2 )( x 1)43、(a b)(a2ab b2 )44、(3x22x 1)(2 x23x 1)45、(a b)( a2ab b2 ) 46、 ( x2xy y2 )( x y) 47、(x a)( x2ax a 2 )48、(x y)( x2xy y2 )49、(3 x43x21)( x4x22)50、(x y)( x2xy y2 )四、平方差公式和完全平方公式1、( x1)( x 1)2、(2 x1)(2 x 1)3、( x5y)( x 5y)4、(3 x2)(3 x2)5、(b 2a)(2 a b)6、7、8、( a b)(a b) ( x 2 y)( x 2 y)(a b)( b a)9、(3a2b)(3a 2b)10、(a5b2 )(a5b2 )11、(2a5)(2 a 5) 12、(1 m)( 1 m)13、(1a b)(1a b) 14、 ( ab 2)(2 ab)15、102 9816、97 103 2217、 4753 18、 (ab)(a b)( a 2 b 2 )19、 (3a 2b)(3a 2b)20、 ( 7m 11n)(11n 7m) 21、 (2 y x)( x 2 y) 22、 (4 a)( 4 a)23、 (2a 5)(2 a 5) 24、 (3a b)(3 a b) 25、 (2 x y)(2 x y)完全平方: 1、 ( p 1)22、 ( p 1)23、(ab)2 4、 (a b)2 5、( m 2)26、 (m 2)27、 (4 m n) 28、 ( y1 )2 9、 ( x 3y) 210、 ( a 2b)2211、 (a1 )2 12、 (5 x 2 y)213、 (2 a b)214、 ( 1x y) 215、 (2 a 3b)2a216、 (3 x 2 y)217、 ( 2m n)218、 (2a 2c)219、 ( 2 3a)220、 (1x 3 y)2321、(3a 2b)2 22、( a 2 b 2 )2 23、( 2x 2 3 y) 2 24、(1 xy) 2 25、(1 x 2 y 2 )2五、同底数幂的除法:底数不变,指数相减。