高中数学单元测试试题
- 格式:doc
- 大小:138.00 KB
- 文档页数:5
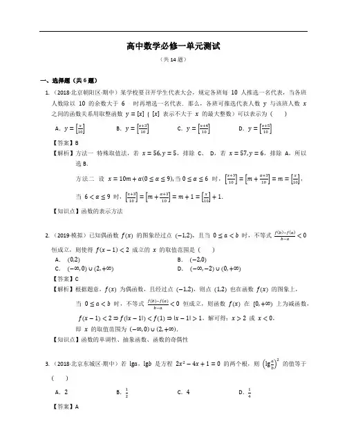
高中数学必修1,函数单元测试卷一、选择题:(5分×12=60分)1.下列函数中值域是正实数的是 ( )A .y = 12-xB .y =(13)1-xC .y = (12) x -1D .y = 1-2x2.若2x + 2-x =5,则4x + 4-x 的值是 ( )A .25B .27C .23D .293.若3a =2,则log 38 - 2 log 36用a 的表示式为 ( )A .3a – (1+ a )2B .a -2C .5a -2D .5a -a 24.函数y =log 0. 5(x 2-3x +2)的递增区间是 ( )A .(- ∞,1)B .(2,+ ∞)C .(- ∞,32)D .(32,+ ∞)5.设log a 23 <1,则实数a 的取值范围是 ( )A .0< a < 23B .23 < a <1C .0 < a < 23或a >1D .a > 236.已知y =log a (2 - ax )在[0,1]上是减函数,则a 取值范围是 ( )A .(0,1)B .(1,2)C .(0,2)D .(2,+ ∞)7.若log m 3<log n 3<0,则m ,n 应满足的条件是 ( )A .m > n > 1B .n > m > 1C .1> n > m > 0D .1> m > n > 08.函数y = (15) –x +1的反函数是 ( ) A .y = log 5x -1(x > 0) B .y = log 5x +1(x > 0且x ≠1)C .y = log 5(x -1) (x > 1)D .y = log 5(x +1) (x > -1)9.已知f (x )是定义R 在上的偶函数,f (x )在[0,+ ∞)上为增函数,且f (13)=0,则不等式f ( log 18x )>0的解集为 ( ) A .(0,12) B .(12,1)∪(2,+ ∞)C .(2,+ ∞)D .(0,12)∪(2,+ ∞)10.已知f (x ) = lg (a x -b x )(a >1> b >0),若x ∈(1,+ ∞)时,f (x ) >0恒成立,则( )A .a -b ≥1B .a -b >1C .a -b ≤1D .a -b =111.设函数f (x ) = x 2−x + a (a > 0),若f (m )<0,则 ( )A .f (m -1)>0B .f (m -1)<0C .f (m -1)=0D .不确定12.已知x 1是方程lgx = 3 - x 的解,x 2是方程10 x =3 - x 的解,则x 1+ x 2=( )A .6B .3C .2D .1二、填空题:(4分×4=16分)13.函数y = 4x -3×2x +1的最小值是 。
高中数学必修一单元测试及答案(总27页)-CAL-FENGHAI.-(YICAI)-Company One1-CAL-本页仅作为文档封面,使用请直接删除第一章 集合与函数概念一、选择题1.已知全集U ={0,1,2}且U A ={2},则集合A 的真子集共有( ). A .3个B .4个C .5个D .6个2.设集合A ={x |1<x ≤2},B ={ x |x <a },若A ⊆B ,则a 的取值范围是( ). A .{a |a ≥1} B .{a |a ≤1}C .{a |a ≥2}D .{a |a >2}3.A ={x |x 2+x -6=0},B ={x |mx +1=0},且A B A =,则m 的取值集合是( ). A .⎭⎬⎫⎩⎨⎧21- ,31B .⎭⎬⎫⎩⎨⎧21- ,31- ,0C .⎭⎬⎫⎩⎨⎧21- ,31 ,0 D .⎭⎬⎫⎩⎨⎧21 ,31 4.设I 为全集,集合M ,N ,P 都是其子集,则图中的阴影部分表示的集合为( ). A .M ∩(N ∪P )B .M ∩(P ∩I N )C .P ∩(I N ∩I M )D .(M ∩N )∪(M ∩P )5.设全集U ={(x ,y )| x ∈R ,y ∈R },集合M =⎭⎬⎫⎩⎨⎧1=2-3-,x y y x |)(, P ={(x ,y )|y ≠x +1},那么U (M ∪P )等于( ).A .∅B .{(2,3)}C .(2,3)D .{(x ,y )| y =x +1}6.下列四组中的f (x ),g (x ),表示同一个函数的是( ). A .f (x )=1,g (x )=x 0 B .f (x )=x -1,g (x )=xx 2-1C .f (x )=x 2,g (x )=(x )4D .f (x )=x 3,g (x )=39x7.函数f (x )=x1-x 的图象关于( ). A .y 轴对称B .直线y =-x 对称C .坐标原点对称D .直线y =x 对称8.函数f (x )=11+x 2(x ∈R )的值域是( ). A .(0,1) B .(0,1]C .[0,1)D .[0,1](第4题)9.已知f(x)在R上是奇函数,f(x+4)=f(x),当x∈(0,2)时,f(x)=2x2,则f(7)=( ).A.-2 B.2 C.-98 D.9810.定义在区间(-∞,+∞)的奇函数f(x)为增函数;偶函数g(x)在区间[0,+∞)的图象与f(x)的图象重合.设a>b>0,给出下列不等式:①f(b)-f(-a)>g(a)-g(-b);②f(b)-f(-a)<g(a)-g(-b);③f(a)-f(-b)>g(b)-g(-a);④f(a)-f(-b)<g(b)-g(-a).其中成立的是().A.①与④B.②与③C.①与③D.②与④二、填空题11.函数x=1的定义域是.-xy+12.若f(x)=ax+b(a>0),且f(f(x))=4x+1,则f(3)=.13.已知函数f(x)=ax+2a-1在区间[0,1]上的值恒正,则实数a的取值范围是.14.已知I={不大于15的正奇数},集合M∩N={5,15},(I M)∩(I N)={3,13},M ∩(I N)={1,7},则M=,N=.15.已知集合A={x|-2≤x≤7},B={x|m+1<x<2m-1}且B≠∅,若A∪B=A,则m的取值范围是_________.16.设f(x)是R上的奇函数,且当x∈[0,+∞)时,f(x)=x(1+x3),那么当x∈(-∞,0]时,f(x)=.三、解答题17.已知A={x|x2-ax+a2-19=0},B={ x|x2-5x+6=0},C={x|x2+2x-8=0},且∅(A∩B),A∩C=∅,求a的值.18.设A 是实数集,满足若a ∈A ,则a-11∈A ,a ≠1且1 A . (1)若2∈A ,则A 中至少还有几个元素?求出这几个元素. (2)A 能否为单元素集合?请说明理由. (3)若a ∈A ,证明:1-a1∈A .19.求函数f (x )=2x 2-2ax +3在区间[-1,1]上的最小值.∈20.已知定义域为R 的函数f (x )=ab-x x +2+21+是奇函数.(1)求a ,b 的值;(2)若对任意的t ∈R ,不等式f (t 2-2t )+f (2t 2-k )<0恒成立,求k 的取值范围.第二章 基本初等函数(Ⅰ)一、选择题1.对数式log 32-(2+3)的值是( ). A .-1B .0C .1D .不存在2.当a >1时,在同一坐标系中,函数y =a -x 与y =log a x 的图象是( ).A B C D3.如果0<a <1,那么下列不等式中正确的是( ). A .(1-a )31>(1-a )21 B .log 1-a (1+a )>0 C .(1-a )3>(1+a )2D .(1-a )1+a >14.函数y =log a x ,y =log b x ,y =log c x ,y =log d x 的图象如图所示,则a ,b ,c ,d 的大小顺序是( ).A .1<d <c <a <bB .c <d <1<a <bC .c <d <1<b <aD .d <c <1<a <b5.已知f (x 6)=log 2 x ,那么f (8)等于( ). A .34B .8C .18D .216.如果函数f (x )=x 2-(a -1)x +5在区间⎪⎭⎫⎝⎛121 ,上是减函数,那么实数a 的取值范围是( ).A . a ≤2B .a >3C .2≤a ≤3D .a ≥37.函数f (x )=2-x -1的定义域、值域是( ). A .定义域是R ,值域是RB .定义域是R ,值域为(0,+∞)C .定义域是R ,值域是(-1,+∞)D .定义域是(0,+∞),值域为R8.已知-1<a <0,则( ).A .(0.2)a<a⎪⎭⎫⎝⎛21<2aB .2a<a⎪⎭⎫⎝⎛21<(0.2)aC .2a <(0.2)a <a⎪⎭⎫⎝⎛21D .a⎪⎭⎫⎝⎛21<(0.2)a <2a(第4题)9.已知函数f (x )=⎩⎨⎧+-1 log 1≤413> ,,)(x x x a x a a是(-∞,+∞)上的减函数,那么a 的取值范围是( ).A .(0,1)B .⎪⎭⎫⎝⎛310,C .⎪⎭⎫⎢⎣⎡3171,D .⎪⎭⎫⎢⎣⎡171,10.已知y =log a (2-ax )在[0,1]上是x 的减函数,则a 的取值范围是( ). A .(0,1)B .(1,2)C .(0,2)D .[2,+∞) 二、填空题11.满足2-x >2x 的x 的取值范围是 .12.已知函数f (x )=log 0.5(-x 2+4x +5),则f (3)与f (4)的大小关系为 . 13.64log 2log 273的值为_____.14.已知函数f (x )=⎪⎩⎪⎨⎧,≤ ,,>,020log 3x x x x则⎪⎪⎭⎫⎝⎛⎪⎭⎫ ⎝⎛91f f 的值为_____. 15.函数y =)-(34log 5.0x 的定义域为 . 16.已知函数f (x )=a -121+x,若f (x )为奇函数,则a =________. 三、解答题17.设函数f (x )=x 2+(lg a +2)x +lg b ,满足f (-1)=-2,且任取x ∈R ,都有f (x )≥2x ,求实数a ,b 的值.18.已知函数f(x)=lg(ax2+2x+1).(1)若函数f(x)的定义域为R,求实数a的取值范围;(2)若函数f(x)的值域为R,求实数a的取值范围.19.求下列函数的定义域、值域、单调区间:(1)y=4x+2x+1+1;(2)y=2+3231x-x⎪⎭⎫⎝⎛.20.已知函数f(x)=log a(x+1),g(x)=log a(1-x),其中a>0,a≠1.(1)求函数f(x)-g(x)的定义域;(2)判断f(x)-g(x)的奇偶性,并说明理由;(3)求使f(x)-g(x)>0成立的x的集合.第三章 函数的应用一、选择题1.下列方程在(0,1)内存在实数解的是( ). A .x 2+x -3=0 B .x1+1=0C .21x +ln x =0D .x 2-lg x =02.若函数f (x )是定义在R 上的偶函数,在(-∞,0]上是减函数,且一个零点是2,则使得f (x )<0的x 的取值范围是( ).A .(-∞,-2]B .(-∞,-2)∪(2,+∞)C .(2,+∞)D .(-2,2)3. 若函数f (x )=a x -x -a (a >0且a ≠1)有两个零点,则实数a 的取值范围是( ).A .{a |a >1}B .{a |a ≥2}C .{a |0<a <1}D .{a |1<a <2}4.若函数f (x )的图象是连续不断的,且f (0)>0,f (1)f (2)f (4)<0,则下列命题正确的是( ).A .函数f (x )在区间(0,1)内有零点B .函数f (x )在区间(1,2)内有零点C .函数f (x )在区间(0,2)内有零点D .函数f (x )在区间(0,4)内有零点5. 函数f (x )=⎩⎨⎧0>,ln +2-0,3-2+2x x x x x ≤的零点个数为( ).A .0B .1C .2D .36. 图中的图象所表示的函数的解析式为( ).A .y =23|x -1|(0≤x ≤2)B .y =23-23|x -1|(0≤x ≤2)C .y =23-|x -1|(0≤x ≤2)D .y =1-|x -1|(0≤x ≤2)7.当x ∈(2,4)时,下列关系正确的是( ). A .x 2<2xB .log 2 x <x 2C .log 2 x <x1D .2x<log 2 x8.某种动物繁殖数量y (只)与时间x (年)的关系为y =a log 2(x +1),设这种动物第1年有100只,则第7年它们繁殖到( ).A .300只B .400只C .500只D .600只9.某商场出售一种商品,每天可卖1 000件,每件可获利4元.据经验,若这种商品每件每降价0.1元,则比降价前每天可多卖出100件,为获得最好的经济效益每件单价应降低( )元.A .2元B .2.5元C .1元D .1.5元10.某市的一家报刊摊点,从报社买进一种晚报的价格是每份是0.20元,卖出的价格是每份0.30元,卖不掉的报纸可以以每份0.05元的价格退回报社.在一个月(30天计算)里,有20天每天卖出量可达400份,其余10天每天只能卖出250份,但每天从报社买进的份数必须相同,为使每月所获利润最大,这个摊主每天从报社买进( )份晚报.A .250B .400C .300D .350二、填空题11.已知函数f (x )=x 2+ax +a -1的两个零点一个大于2,一个小于2,则实数a 的取值范围是 .12.用100米扎篱笆墙的材料扎一个矩形羊圈,欲使羊的活动范围最大,则应取矩形长米,宽 米.13.在国内投寄平信,将每封信不超过20克重付邮资80分,超过20克重而不超过40克重付邮资160分,将每封信的应付邮资(分)表示为信重x (0<x ≤40)(克)的函数,其表达式为 .14.为了预防流感,某学校对教室用药熏消毒法进行消药量y (毫毒.已知药物释放过程中,室内每立方米空气中的含克)与时间t (小时)成正比;药物释放完毕后,y 与t的函数关系式为at y -⎪⎭⎫⎝⎛=161(a 为常数),如图所示,根据图中提供的信息,回答下列问题:(1)从药物释放开始,每立方米空气中的含药量y (毫克)与时间t (小时)之间的函数关系式为 .(2)据测定,当空气中每立方米的含药量降低到0.25毫克以下时,学生方可进教室,那从药物释放开始,至少需要经过 小时后,学生才能回到教室.15.已知f (x )=(x +1)·|x -1|,若关于x 的方程f (x )=x +m 有三个不同的实数解,则实数m 的取值范围 .16.设正△ABC 边长为2a ,点M 是边AB 上自左至右的一个动点,过点M 的直线l 垂直与AB ,设AM =x ,△ABC 内位于直线l 左侧的阴影面积为y ,y 表示成x 的函数表达式为 .(第14题)三、解答题17.某农家旅游公司有客房300间,日房租每间为20元,每天都客满.公司欲提高档次,并提高租金,如果每间客房日房租每增加2元,客房出租数就会减少10间.若不考虑其他因素,旅社将房间租金提高到多少时,每天客房的租金总收入最高?18.A市和B市分别有某种库存机器12台和6台,现决定支援C市10台机器,D市8台机器.已知从A市调运一台机器到C市的运费为400元,到D市的运费为800元;从B市调运一台机器到C市的运费为300元,到D市的运费为500元.(1)若要求总运费不超过9 000元,共有几种调运方案?(2)求出总运费最低的调运方案,最低运费是多少?19.某地西红柿从2月1号起开始上市,通过市场调查,得到西红柿种植成本Q(单位:元/100 kg)与上市时间t(距2月1日的天数,单位:天)的数据如下表:(1)根据上表数据,从下列函数中选取一个函数描述西红柿种植成本Q与上市时间t 的变化关系:Q=at+b,Q=at2+bt+c,Q=a·b t,Q=a·log b t;(2)利用你选取的函数,求西红柿种植成本Q最低时的上市天数及最低种植成本.20.设计一幅宣传画,要求画面面积为4 840 cm2,画面的宽与高的比为λ(λ<1 ),画面的上、下各留8 cm空白,左、右各留5 cm空白.怎样确定画面的高与宽尺寸,能使宣传画所用纸张面积最小?期末测试题考试时间:90分钟试卷满分:100分一、选择题:本大题共14小题,每小题4分,共56分.在每小题的4个选项中,只有一项是符合题目要求的.1.设全集U =R ,A ={x |x >0},B ={x |x >1},则A ∩U B =( ). A .{x |0≤x <1}B .{x |0<x ≤1}C .{x |x <0}D .{x |x >1}2.下列四个图形中,不是..以x 为自变量的函数的图象是( ).A B C D3.已知函数 f (x )=x 2+1,那么f (a +1)的值为( ). A .a 2+a +2B .a 2+1C .a 2+2a +2D .a 2+2a +14.下列等式成立的是( ). A .log 2(8-4)=log 2 8-log 2 4 B .4log 8log 22=48log 2 C .log 2 23=3log 2 2D .log 2(8+4)=log 2 8+log 2 45.下列四组函数中,表示同一函数的是( ).A .f (x )=|x |,g (x )=2xB .f (x )=lg x 2,g (x )=2lg xC .f (x )=1-1-2x x ,g (x )=x +1D .f (x )=1+x ·1-x ,g (x )=1-2x 6.幂函数y =x α(α是常数)的图象( ). A .一定经过点(0,0) B .一定经过点(1,1) C .一定经过点(-1,1)D .一定经过点(1,-1)7.国内快递重量在1 000克以内的包裹邮资标准如下表:如果某人从北京快递900克的包裹到距北京1 300 km 的某地,他应付的邮资是( ). A .5.00元 B .6.00元 C .7.00元D .8.00元8.方程2x =2-x 的根所在区间是( ). A .(-1,0) B .(2,3) C .(1,2)D .(0,1)9.若log 2 a <0,b⎪⎭⎫⎝⎛21>1,则( ).A .a >1,b >0B .a >1,b <0C .0<a <1,b >0D .0<a <1,b <010.函数y =x 416-的值域是( ). A .[0,+∞) B .[0,4]C .[0,4)D .(0,4)11.下列函数f (x )中,满足“对任意x 1,x 2∈(0,+∞),当x 1<x 2时,都有f (x 1)>f (x 2)的是( ).A .f (x )=x1 B .f (x )=(x -1)2 C .f (x )=e xD .f (x )=ln (x +1)12.奇函数f (x )在(-∞,0)上单调递增,若f (-1)=0,则不等式f (x )<0的解集是( ).A .(-∞,-1)∪(0,1)B .(-∞,-1)∪(1,+∞)C .(-1,0)∪(0,1)D .(-1,0)∪(1,+∞)13.已知函数f (x )=⎩⎨⎧0≤ 30log 2x x f x x ),+(>,,则f (-10)的值是( ).A .-2B .-1C .0D .114.已知x 0是函数f (x )=2x +x-11的一个零点.若x 1∈(1,x 0),x 2∈(x 0,+∞),则有( ).A .f (x 1)<0,f (x 2)<0B .f (x 1)<0,f (x 2)>0C .f (x 1)>0,f (x 2)<0D .f (x 1)>0,f (x 2)>0二、填空题:本大题共4小题,每小题4分,共16分.将答案填在题中横线上. 15.A ={x |-2≤x ≤5},B ={x |x >a },若A ⊆B ,则a 取值范围是 . 16.若f (x )=(a -2)x 2+(a -1)x +3是偶函数,则函数f (x )的增区间是 . 17.函数y =2-log 2x 的定义域是 . 18.求满足8241-x ⎪⎭⎫⎝⎛>x -24的x 的取值集合是 .三、解答题:本大题共3小题,共28分.解答应写出文字说明、证明过程或演算步骤.19.(8分)已知函数f(x)=lg(3+x)+lg(3-x).(1)求函数f(x)的定义域;(2)判断函数f(x)的奇偶性,并说明理由.20.(10分)已知函数f(x)=2|x+1|+ax(x∈R).(1)证明:当a>2时,f(x)在R上是增函数.(2)若函数f(x)存在两个零点,求a的取值范围.21.(10分)某租赁公司拥有汽车100辆.当每辆车的月租金为3 000元时,可全部租出.当每辆车的月租金每增加50元时,未租出的车将会增加一辆.租出的车每辆每月需要维护费150元,未租出的车每辆每月需要维护费50元.(1)当每辆车的月租金定为3 600元时,能租出多少辆车?(2)当每辆车的月租金定为多少元时,租赁公司的月收益最大最大月收益是多少参考答案第一章集合与函数的概念一、选择题1.A解析:条件U A={2}决定了集合A={0,1},所以A的真子集有∅,{0},{1},故正确选项为A.∈2.D解析:在数轴上画出集合A,B的示意图,极易否定A,B .当a=2时,2B,故不满足条件A⊆B,所以,正确选项为D.3.C解析:据条件A∪B=A,得B⊆A,而A={-3,2},所以B只可能是集合∅,{-3},{2},所以,m的取值集合是C.4.B解析:阴影部分在集合N外,可否A,D,阴影部分在集合M内,可否C,所以,正确选项为B.5.B解析:集合M是由直线y=x+1上除去点(2,3)之后,其余点组成的集合.集合P是坐标平面上不在直线y=x+1上的点组成的集合,那么M P就是坐标平面上除去点(2,3)外的所有点组成的集合.由此U(M P)就是点(2,3)的集合,即U(M P)={(2,3)}.故正确选项为B.6.D解析:判断同一函数的标准是两函数的定义域与对应关系相同,选项A,B,C中,两函数的定义域不同,正确选项为D.7.C解析:函数f(x)显然是奇函数,所以不难确定正确选项为C.取特殊值不难否定其它选项.如取x=1,-1,函数值不等,故否A;点(1,0)在函数图象上,而点(0,1)不在图象上,否选项D,点(0,-1)也不在图象上,否选项B.8.B解析:当x=0时,分母最小,函数值最大为1,所以否定选项A,C;当x的绝对值取值越大时,函数值越小,但永远大于0,所以否定选项D.故正确选项为B.9.A 解析:利用条件f (x +4)=f (x )可得,f (7)=f (3+4)=f (3)=f (-1+4)=f (-1),再根据f (x )在R 上是奇函数得,f (7)=-f (1)=-2×12=-2,故正确选项为A .10.C 解析:由为奇函数图像关于原点对称,偶函数图象关于y 轴对称,函数f (x ),g (x )在区间[0,+∞)上图象重合且均为增函数,据此我们可以勾画两函数的草图,进而显见①与③正确.故正确选项为C .二、填空题11.参考答案:{x | x ≥1}.解析:由x -1≥0且x ≥0,得函数定义域是{x |x ≥1}. 12.参考答案:319.解析:由f (f (x ))=af (x )+b =a 2x +ab +b =4x +1,所以a 2=4,ab +b =1(a >0),解得a =2,b =31,所以f (x )=2x +31,于是f (3)=319.13.参考答案:⎪⎭⎫⎝⎛ 21,.解析:a =0时不满足条件,所以a ≠0. (1)当a >0时,只需f (0)=2a -1>0; (2)当a <0时,只需f (1)=3a -1>0. 综上得实数a 的取值范围是⎪⎭⎫⎝⎛ 21,. 14.参考答案:{1,5,7,15},{5,9,11,15}.解析:根据条件I ={1,3,5,7,9,11,13,15},M ∩N ={5,15},M ∩(I N )={1,7},得集合M ={1,5,7,15},再根据条件(I M )∩(I N )={3,13},得N ={5,9,11,15}.15.参考答案:(2,4].解析:据题意得-2≤m +1<2m -1≤7,转化为不等式组⎪⎩⎪⎨⎧7 ≤1-21-2<1+2- ≥1+m m m m ,解得m 的取值范围是(2,4].16.参考答案:x (1-x 3). 解析:∵任取x ∈(-∞,0],有-x ∈[0,+∞), ∴ f (-x )=-x [1+(-x )3]=-x (1-x 3), ∵ f (x )是奇函数,∴ f (-x )=-f (x ). ∴ f (x )=-f (-x )=x (1-x 3),即当x ∈(-∞,0]时,f (x )的表达式为f (x )=x (1-x 3).+∞ +∞三、解答题17.参考答案:∵B ={x |x 2-5x +6=0}={2,3}, C ={x |x 2+2x -8=0}={-4,2}, ∴由A ∩C =∅知,-4 ,2 A ; 由∅(A ∩B )知,3∈A .∴32-3a +a 2-19=0,解得a =5或a =-2.当a =5时,A ={x |x 2-5x +6=0}=B ,与A ∩C =∅矛盾. 当a =-2时,经检验,符合题意. 18.参考答案:(1)∵ 2∈A ,∴a -11=2-11=-1∈A ; ∴a -11=1+11=21∈A ;∴a -11=21-11=2∈A .因此,A 中至少还有两个元素:-1和21. (2)如果A 为单元素集合,则a =a-11,整理得a 2-a +1=0,该方程无实数解,故在实数范围内,A 不可能是单元素集.(3)证明: a ∈A ⇒a -11∈A ⇒ a1-1-11∈A ⇒1+-1-1a a ∈A ,即1-a 1∈A .19.参考答案: f (x )=222⎪⎭⎫ ⎝⎛a x -+3-22a .(1)当2a<-1,即a <-2时,f (x )的最小值为f (-1)=5+2a ;(2)当-1≤2a ≤1,即-2≤a ≤2时,f (x )的最小值为⎪⎭⎫⎝⎛2a f =3-22a ;(3)当2a >1,即a >2时,f (x )的最小值为f (1)=5-2a .∈A ∈综上可知,f (x )的最小值为⎪⎪⎪⎩⎪⎪⎪⎨⎧.> ,-,≤≤ ,-,<- ,+22522232252a a a a a a - 20.参考答案:(1)∵函数f (x )为R 上的奇函数,∴ f (0)=0,即a b2+-1+=0,解得b =1,a ≠-2, 从而有f (x )=ax x +21+2-+1.又由f (1)=-f (-1)知a4++12-=-a 1++121-,解得a =2.(2)先讨论函数f (x )=2+21+2-+1x x =-21+1+21x的增减性.任取x 1,x 2∈R ,且x 1<x 2,f (x 2)-f (x 1)=1+212x -1+211x =))((1+21+22-21221x x x x ,∵指数函数2x 为增函数,∴212-2x x <0,∴ f (x 2)<f (x 1), ∴函数f (x )=2+21+2-+1x x 是定义域R 上的减函数.由f (t 2-2t )+f (2t 2-k )<0得f (t 2-2t )<-f (2t 2-k ), ∴ f (t 2-2t )<f (-2t 2+k ),∴ t 2-2t >-2t 2+k (*). 由(*)式得k <3t 2-2t .又3t 2-2t =3(t -31)2-31≥-31,∴只需k <-31,即得k 的取值范围是⎪⎭⎫ ⎝⎛31- -∞,.第二章 初等函数一、选择题1.A 解析:log 32-(2+3)=log 32-(2-3)-1,故选A .2.A 解析:当a >1时,y =log a x 单调递增,y =a -x 单调递减,故选A .3.A 解析:取特殊值a =21,可立否选项B ,C ,D ,所以正确选项是A .4.B 解析:画出直线y =1与四个函数图象的交点,它们的横坐标的值,分别为a ,b ,c ,d 的值,由图形可得正确结果为B .5.D 解析:解法一:8=(2)6,∴ f (26)=log 22=21.解法二:f (x 6)=log 2 x ,∴ f (x )=log 26x =61log 2 x ,f (8)=61log 28=21.6.D 解析:由函数f (x )在⎪⎭⎫ ⎝⎛121 ,上是减函数,于是有21-a ≥1,解得a ≥3. 7.C 解析:函数f (x )=2-x-1=x ⎪⎭⎫ ⎝⎛21-1的图象是函数g (x )=x⎪⎭⎫ ⎝⎛21图象向下平移一个单位所得,据函数g (x )=x⎪⎭⎫⎝⎛21定义域和值域,不难得到函数f (x )定义域是R ,值域是(-1,+∞).8.B 解析:由-1<a <0,得0<2a <1,0.2a >1,a⎪⎭⎫⎝⎛21>1,知A ,D 不正确.当a =-21时,2121-⎪⎭⎫⎝⎛=501.<201.=2120-.,知C 不正确. ∴ 2a<a⎪⎭⎫⎝⎛21<0.2a .9.C 解析:由f (x )在R 上是减函数,∴ f (x )在(1,+∞)上单减,由对数函数单调性,即0<a <1 ①,又由f (x )在(-∞,1]上单减,∴ 3a -1<0,∴ a <31 ②,又由于由f (x )在R 上是减函数,为了满足单调区间的定义,f (x )在(-∞,1]上的最小值7a -1要大于等于f (x )在[1,+∞)上的最大值0,才能保证f (x )在R 上是减函数.∴ 7a -1≥0,即a ≥71③.由①②③可得71≤a <31,故选C .10.B 解析:先求函数的定义域,由2-ax >0,有ax <2,因为a 是对数的底,故有a >0且a ≠1,于是得函数的定义域x <a2.又函数的递减区间[0,1]必须在函数的定义域内,故有1<a2,从而0<a <2且a ≠1.若0<a <1,当x 在[0,1]上增大时,2-ax 减小,从而log a (2-ax )增大,即函数y =log a (2-ax )在[0,1]上是单调递增的,这与题意不符.若1<a <2,当x 在[0,1]上增大时,2-ax 减小,从而log a (2-ax )减小,即函数y =log a (2-ax )在[0,1]上是单调递减的.所以a 的取值范围应是(1,2),故选择B . 二、填空题11.参考答案:(-∞,0). 解析:∵ -x >x ,∴ x <0.12.参考答案:f (3)<f (4). 解析:∵ f (3)=log 0.5 8,f (4)=log 0.5 5,∴ f (3)<f (4).13.参考答案:21. 解析:64log 2log 273=3lg 2lg ·64lg 27lg =63=21.14.参考答案:41. 解析:⎪⎭⎫ ⎝⎛91f =log 391=-2,⎪⎪⎭⎫ ⎝⎛⎪⎭⎫ ⎝⎛91f f =f (-2)=2-2=41. 15.参考答案:⎥⎦⎤ ⎝⎛143 ,. 解析:由题意,得 ⎪⎩⎪⎨⎧0 34log 0345.0≥)-(>-x x ⇔ ⎪⎩⎪⎨⎧13443 ≤->x x ∴ 所求函数的定义域为⎥⎦⎤⎝⎛143 ,. 16.参考答案:a =21. 解析:∵ f (x )为奇函数,∴ f (x )+f (-x )=2a -121+x -121+x -=2a -1212++x x =2a -1=0,∴ a =21.三、解答题17.参考答案:a =100,b =10. 解析:由f (-1)=-2,得1-lg a +lg b =0 ①,由f (x )≥2x ,得x 2+x lg a +lg b ≥0 (x ∈R ).∴Δ=(lg a )2-4lg b ≤0 ②.联立①②,得(1-lg b )2≤0,∴ lg b =1,即b =10,代入①,即得a =100. 18.参考答案:(1) a 的取值范围是(1,+∞) ,(2) a 的取值范围是[0,1]. 解析:(1)欲使函数f (x )的定义域为R ,只须ax 2+2x +1>0对x ∈R 恒成立,所以有⎩⎨⎧0 <440a -a >,解得a >1,即得a 的取值范围是(1,+∞);(2)欲使函数 f (x )的值域为R ,即要ax 2+2x +1 能够取到(0,+∞) 的所有值. ①当a =0时,a x 2+2x +1=2x +1,当x ∈(-21,+∞)时满足要求;②当a ≠0时,应有⎩⎨⎧0 ≥440a -a =>Δ⇒ 0<a ≤1.当x ∈(-∞,x 1)∪(x 2,+∞)时满足要求(其中x 1,x 2是方程ax 2+2x +1=0的二根).综上,a 的取值范围是[0,1].19.参考答案:(1)定义域为R .令t =2x (t >0),y =t 2+2t +1=(t +1)2>1, ∴ 值域为{y | y >1}.t =2x 的底数2>1,故t =2x 在x ∈R 上单调递增;而 y =t 2+2t +1在t ∈(0,+∞)上单调递增,故函数y =4x +2x +1+1在(-∞,+∞)上单调递增.(2)定义域为R .令t =x 2-3x +2=223⎪⎭⎫ ⎝⎛x --41⎪⎪⎭⎫⎝⎛⎪⎭⎫⎢⎣⎡,+∞41-t ∈. ∴ 值域为(0,43].∵ y =t⎪⎭⎫⎝⎛31在t ∈R 时为减函数,∴ y =2+3-231x x ⎪⎭⎫⎝⎛在 ⎝⎛-∞,⎪⎭⎫23上单调增函数,在 ⎝⎛23,+∞⎪⎪⎭⎫为单调减函数.20.参考答案:(1){x |-1<x <1}; (2)奇函数;(3)当0<a <1时,-1<x <0;当a >1时,0<x <1.解析:(1)f (x )-g (x )=log a (x +1)-log a (1-x ),若要式子有意义,则 即-1<x <1,所以定义域为{x |-1<x <1}.(2)设F (x )=f (x )-g (x ),其定义域为(-1,1),且F (-x )=f (-x )-g (-x )=log a (-x +1)-log a (1+x )=-[log a (1+x )-log a (1-x )]=-F (x ),所以f (x )-g (x )是奇函数.(3)f (x )-g (x )>0即log a (x +1)-log a (1-x )>0有log a (x +1)>log a (1-x ).当0<a <1时,上述不等式 解得-1<x <0;当a >1时,上述不等式 解得0<x <1.第三章 函数的应用 参考答案一、选择题1.C 解析:易知A ,B ,D 选项对应的函数在区间(0,1)内的函数值恒为负或恒为正,当x 是接近0的正数时,21x +ln x <0;当x 接近1时,21x +ln x >0. 所以选C .2.D 解析:因为函数f (x )是定义在R 上的偶函数且一个零点是2,则另一个零点为-2,又在(-∞,0]上是减函数,则f (x )<0的x 的取值范围是(-2,2).3.A 解析:设函数y =a x (a >0,且a ≠1)和函数y =x +a ,则函数f (x )=a x -x -a (a >0且a 1)有两个零点, 就是函数y =a x (a >0,且a ≠1)与函数y =x +a 的图象有两个交点,由图象可知当0<a <1时两函数只有一个交点,不符合,当a >1时,因为函数x +1>0x +1>01-x >0x +1>01-x >0y =a x (a >1)的图象过点(0,1),而直线y =x +a 所过的点(0,a )一定在点(0,1)的上方,所以一定有两个交点.所以实数a 的取值范围是{a |a >1}.4.D 解析:因为f (0)>0,f (1)f (2)f (4)<0,则f (1),f (2),f (4)恰有一负两正或三个都是负的,函数的图象与x 轴相交有多种可能.例如,所以函数f (x )必在区间(0,4)内有零点,正确选项为D . 5. C 解析:当x ≤0时,令x 2+2x -3=0解得x =-3;当x >0时,令-2+ln x =0,得x =100,所以已知函数有两个零点,选C . 还可以作出f (x )的图象,依图判断.6. B 解析:取特殊值x =1,由图象知y =f (1)=32,据此否定A ,D ,在取x =0, 由图象知y =f (0)=0,据此否C ,故正确选项是B.或者勾画选项B 的函数图象亦可判断.7.B 解析:当x ∈(2,4)时,x 2∈(4,16),2x ∈(4,16),log 2 x ∈(1,2),x1∈⎪⎭⎫⎝⎛2141 ,,显然C 、D 不正确,但对于选项A ,若x =3时,x 2=9>23=8,故A 也不正确,只有选项B 正确.(第4题)8.A 解析:由题意知100=a log2(1+1),得a=100,则当x=7时,y=100 log2(7+1)=100×3=300.9.D 解析:设每件降价0.1x元,则每件获利(4-0.1x)元,每天卖出商品件数为(1 000+100x).经济效益:y=(4-0.1x)(1 000+100x)=-10x2+300x+4 000=-10(x2-30x+225-225)+4 000=-10(x-15)2+6 250.x=15时,y max=6 250.每件单价降低1.5元,可获得最好的经济效益.10.B 解析:若设每天从报社买进x(250≤x≤400,x∈N)份,则每月共可销售(20x+10×250)份,每份可获利润0.10元,退回报社10(x-250)份,每份亏损0.15元,建立月纯利润函数f(x),再求f(x)的最大值,可得一个月的最大利润.设每天从报社买进x份报纸,每月获得的总利润为y元,则依题意,得y=0.10(20x+10×250)-0.15×10(x-250)=0.5x+625,x∈[250,400].∵函数y在[250,400]上单调递增,∴x=400时,y max=825(元).即摊主每天从报社买进400份时,每月所获得的利润最大,最大利润为825元.二、填空题11.参考答案:(-∞,-1).解析:函数f(x)=x2+ax+a-1的两个零点一个大于2,一个小于2,即f(2)<0,可求实数a的取值范围是(-∞,-1).12.参考答案:长宽分别为25米.解析:设矩形长x 米,则宽为21(100-2x )=(50-x )米,所以矩形面积y =x (50-x )=-x 2+50 x =-(x -25)2+625,矩形长宽都为25米时,矩形羊圈面积最大.13.参考答案:f (x )=⎩⎨⎧)<( )<(40≤ 20 16020≤ 008x x解析:在信件不超过20克重时,付邮资80分,应视为自变量在0<x ≤20范围内,函数值是80分;在信件超过20克重而不超过40克重时,付邮资160分,应视为自变量在20<x ≤40范围内,函数值是160分,遂得分段函数.14.参考答案:(1) y =⎪⎩⎪⎨⎧⎪⎭⎫ ⎝⎛- )>( )( 1.01611.0≤ ≤ 0101.0t t t t ; (2)0.6.解析:(1)据图象0≤t ≤0.1时,正比例函数y =k t 图象过点(0.1,1),所以,k =10,即y =10t ;当t >0.1时,y 与t 的函数y =at -⎪⎭⎫⎝⎛161(a 为常数)的图像过点(0.1,1),即得1=a-⎪⎭⎫ ⎝⎛1.0161,所以a =0.1,即y =1.0161-⎪⎭⎫⎝⎛t .(2)依题意得1.0161-⎪⎭⎫⎝⎛t ≤0.25,再由y =lg x 是增函数,得(t -0.1)lg161≤lg 41,∵ lg 41<0,即得t -0.1≥0.5,所以,t ≥0.6. 15.参考答案:-1<m <45.解析:由f (x )=(x +1)|x -1|=得函数y =f (x )的图象(如图).按题意,直线y =x +m 与曲线y =(x +1)|x -1|有三个不同的公共点,求直线y =x +m 在y 轴上的截距m 的取值范围.x 2-1,x ≥11-x 2,x <1(第15题)由 得x 2+x +m -1=0.Δ=1-4(m -1)=5-4m ,由Δ=0,得m =45,易得实数m 的取值范围是-1<m <45.16.参考答案:y =⎪⎪⎩⎪⎪⎨⎧)<( -+- )<( a x a a ax x a x x 2≤ 33223≤ 023222解析:当直线l 平移过程中,分过AB 中点前、后两段建立y 与x 的函数表达式. (1)当0<x ≤a 时,y =21x ·3x =23 x 2; (2)当a <x ≤2a 时,y =21·2a ·3a -21(2a -x )·3(2a -x )=-23x 2+23ax -3a 2.所以,y =⎪⎪⎩⎪⎪⎨⎧)<( -+- )<( a x a a ax x a x x 2≤ 33223≤ 023222三、解答题17.参考答案:每间客房日租金提高到40元.解析:设客房日租金每间提高2x 元,则每天客房出租数为300-10x , 由x >0,且300-10x >0,得0<x <30.设客房租金总收入y 元,y =(20+2x )(300-10x )=-20(x -10)2 +8 000(0<x <30),当x =10时,y max =8 000.即当每间客房日租金提高到20+10×2=40元时,客房租金总收入最高,为每天8 000元.18.参考答案:设从B 市调运x (0≤x ≤6)台到C 市,则总运费y =300x +500(6-x )+400(10-x )+800[8-(6-x )]=200x +8 600(0≤x ≤6). (1)若200x +8 600≤9 000,则x ≤2.y =1-x 2, y =x +m所以x =0,1,2,故共有三种调运方案.(2)由y =200x +8 600(0≤x ≤6)可知,当x =0时,总运费最低,最低费用是8 600元.19.参考答案:(1)根据表中数据,表述西红柿种植成本Q 与上市时间t 的变化关系的函数决不是单调函数,这与函数Q =at +b ,Q =a ·b t ,Q =a ·log b t 均具有单调性不符,所以,在a ≠0的前提下,可选取二次函数Q =at 2+bt +c 进行描述.把表格提供的三对数据代入该解析式得到:150250500 62108110100 1215050500 2=++=++=++c b a c b a c b a 解得a =2001,b =-23,c =2425. 所以,西红柿种植成本Q 与上市时间t 的函数关系是Q =2001t 2-23t +2425.(2)当t =-2001223-⨯=150天时,西红柿种植成本Q 最低为 Q =2001×1502-23×150+2425=100(元/100 kg ).20.参考答案:高为88 cm ,宽为55 cm .解析:设画面高为x cm ,宽为λx cm ,λx 2=4 840,设纸张面积为S ,有S =(x +16)( λx +10)=λx 2+(16 λ+10)x +160,将λ=2840 4x 代入上式可得,S =10(x +x 48416⨯)+5 000=10(x -x88)2+6 760, 所以,x =x 88,即x =88 cm 时,宽为λx =55 cm ,所用纸张面积最小.期末测试 参考答案一、选择题1.B 解析:U B ={x |x ≤1},因此A ∩U B ={x |0<x ≤1}.2.C 3.C 4.C 5. A 6.B 7.C 8.D9.D 解析:由log 2 a <0,得0<a <1,由b⎪⎭⎫ ⎝⎛21>1,得b <0,所以选D 项.10.C 解析:∵ 4x >0,∴0≤16- 4x <16,∴x 416-∈[0,4).11.A 解析:依题意可得函数应在(0,+∞)上单调递减,故由选项可得A 正确.12.A13.D 14.B解析:当x =x 1从1的右侧足够接近1时,x -11是一个绝对值很大的负数,从而保证 f (x 1)<0;当x =x 2足够大时,x-11可以是一个接近0的负数,从而保证f (x 2)>0.故正确选项是B .二、填空题15.参考答案:(-∞,-2). 16.参考答案:(-∞,0).17.参考答案:[4,+∞).18.参考答案:(-8,+∞).三、解答题19.参考答案:(1)由⎩⎨⎧0303>->+x x ,得-3<x <3, ∴ 函数f (x )的定义域为(-3,3).(2)函数f (x )是偶函数,理由如下:由(1)知,函数f (x )的定义域关于原点对称,且f (-x )=lg (3-x )+lg (3+x )=f (x ),∴ 函数f (x )为偶函数.20.参考答案:(1)证明:化简f (x )=⎩⎨⎧1221 ≥22<-,-)-(-,+)+(x x a x x a 因为a >2,所以,y 1=(a +2)x +2(x ≥-1)是增函数,且y 1≥f (-1)=-a ;另外,y 2=(a -2)x -2(x <-1)也是增函数,且y 2<f (-1)=-a .所以,当a >2时,函数f (x )在R 上是增函数.(2)若函数f (x )存在两个零点,则函数f (x )在R 上不单调,且点(-1,-a )在x 轴下方,所以a 的取值应满足⎩⎨⎧0022<-)<-)(+(a a a 解得a 的取值范围是(0,2). 21.参考答案:(1)当每辆车的月租金定为3 600元时,未租出的车辆数为50000 3600 3-=12,所以这时租出了100-12=88辆车. (2)设每辆车的月租金定为x 元,则租赁公司的月收益为f (x )=⎪⎭⎫ ⎝⎛50000 3100--x (x -150)-50000 3-x ×50=-501(x -4 050)2+307 050. 所以,当x =4 050 时,f (x )最大,其最大值为f (4 050)=307 050.当每辆车的月租金定为4 050元时,月收益最大,其值为307 050元.。
FB EAND CM必修二第二单元单元测试一、选择题:(本题共12小题,每小题5分,共60分) 1.下列四个条件中,能确定一个平面的是( )A. 一条直线和一个点B.空间两条直线C. 空间任意三点D.两条平行直线2.已知直线l ∥平面α,直线α⊂a ,则l 与a 的位置关系必定是( )A. l 与a 无公共点B. l 与a 异面C.l 与a 相交,D.l ∥a 3.两两相交的四条直线确定平面的个数最多的是( ) A .4个 B .5个 C .6个 D .8个 4.下列命题中正确的个数是( )个①若直线l 上有无数个公共点不在平面α内,则//l α.②若直线l 与平面α平行,则直线l 与平面α内的任意一条直线都平行. ③如果两平行线中的一条与一个平面平行,那么另一条也与这个平面平行. ④垂直于同一条直线的两条直线互相平行. A.0 B.1 C.2 D.35.123,,l l l 是空间三条不同的直线,则下列命题正确的是( ) A.313221//,l l l l l l ⇒⊥⊥ B.313221//,l l l l l l ⊥⇒⊥ C.321321,,////l l l l l l ⇒共面 D.321,,l l l 共点321,,l l l ⇒共面6.如图是正方体的平面展开图,则在这个正方体中:①BM 与ED 平行.②CN 与BE 是异面直线. ③CN 与AF 垂直.④DM 与BN 是异面直线. 以上四个命题中正确的个数是( ) A.1 B.2 C.3 D.47. 已知不同的直线,l m ,不同的平面,αβ,下命题中:①若α∥β,,l α⊂则l ∥β ②若α∥β,,;l l αβ⊥⊥则 ③若l ∥α,m α⊂,则l ∥m ④,,l m αβαββ⊥⋂=⊥若则 真命题的个数有( )A .0个B .1个C .2个D .3个 8. 下列命题中,错误..的命题是( ) A 、平行于同一直线的两个平面平行。
高中数学选修一直线与圆单元测试卷题目一:(选择题)1. 设直线L过点A(3,2),斜率为3/2,则直线L的解析式为:A. y = 3/2x + 1B. y = 2/3x + 1C. y = 3/2x - 1D. y = 2/3x - 12. 设直线L过点A(2,1)和点B(-3,5),则直线L的斜率为:A. 3/7B. -7/3C. -4/5D. 5/43. 设直线L过点A(4,1)且垂直于直线y = 2x - 3,则直线L的解析式为:A. y = -1/2x + 3B. y = -1/2x - 5C. y = 2x - 7D. y = -2x + 7题目二:(填空题)1. 设直线L过点A(2,3)和点B(-1,-4),则直线L的斜率为__________。
2. 设直线L过点A(5,2)且平行于直线y = 3x - 5,则直线L的解析式为__________。
3. 设直线L过点A(-2,3)且垂直于直线y = -2x + 4,则直线L 的解析式为__________。
题目三:(解答题)1. 两条直线分别为L1:2x - 3y + 4 = 0和L2:x + 5y - 7 = 0,求直线L1和直线L2的交点坐标。
2. 圆C的圆心为(2,-1),半径为3。
求证直线y = 2x + 1与圆C 有且仅有一个交点,并求出该交点坐标。
3. 直线L过点A(1,2)且垂直于直线y = -3x + 5,求直线L的解析式。
参考答案:题目一:1. A2. C3. B题目二:1. -7/32. y = 3x - 133. y = 1/2x + 4题目三:1. 直线L1和直线L2的交点坐标为(-11/13, -1/13)。
2. a) 将直线代入圆的方程,得到4x^2 + y^2 - 8x + 2y + 3 = 0b) 解该方程得到唯一解为(2,3)。
3. 直线L的解析式为 y = 1/3x + 5/3。
新教材人教版高一数学上册单元测试题含答案全套人教版高中数学必修第一册第一章测试题第Ⅰ卷一、选择题(本大题共12个小题,每小题5分,共60分,在每小题给出的四个选项中,只有一项是符合题目要求的)1.设集合,,则等于( )A .B .C .D .【答案】B【解析】集合,,.2.是的( )条件 A .充分不必要 B .必要不充分 C .充要 D .既不充分也不必要 【答案】B【解析】由不能推得,反之由可推得, 所以是的必要不充分条件. 3.已知集合,,若,则实数的值为( )A .B .C .D .【答案】B【解析】∵集合,,且,∴,因此.4.下列命题中正确的是( )A .任何一个集合必有两个以上的子集B .空集是任何集合的子集C .空集没有子集D .空集是任何集合的真子集 【答案】B【解析】空集只有一个子集,故A 错;B 正确; 空集是本身的子集,故C 错;空集不能是空集的真子集,故D 错. 5.已知集合,则中元素的个数为( )A .B .C .D .【答案】A【解析】因为集合,{}1,2,3,4,5A ={}21,B y y x x A ==-∈A B {2,4}{1,3,5}{2,4,7,9}{1,2,3,4,5,7,9}{}1,2,3,4,5A ={}{}21,1,3,5,7,9B y y x x A ==-∈={}1,3,5A B =1x >4x >1x >4x >4x >1x >1x >4x >{1,3}A =-2{2,}B a ={1,2,3,9}A B =-a 1±3±1-3{1,3}A =-2{2,}B a ={1,2,3,9}AB =-29a =3a =±(){}22,3,,A x y xy x y =+≤∈∈Z Z A 9854(){}22,3,,A x y xy x y =+≤∈∈Z Z所以满足且,的点有,,,,,,,,共个.6.已知,则( )A .B .C .D .【答案】B 【解析】,故A 错,B 对,显然,所以C 不对,而,所以D 也不对,故本题选B .7.命题“存在实数,使”的否定是( ) A .对任意实数,都有 B .对任意实数,都有 C .不存在实数,使 D .存在实数, 【答案】B【解析】命题“存在实数,使”的否定是“对任意实数,都有”. 8.集合中的不能取的值的个数是( ) A .B .C .D .【答案】B【解析】由题意可知,且且, 故集合中的不能取的值的个数是个. 9.下列集合中,是空集的是( ) A . B .C .D .【答案】B【解析】对于A 选项,,不是空集, 对于B 选项,没有实数根,故为空集, 对于C 选项,显然不是空集,对于D 选项,集合为,故不是空集. 10.下列各组集合中表示同一集合的是( ) A ., B ., C ., D .,【答案】B223x y +≤x ∈Z y ∈Z (1,1)--(1,0)-(1,1)-(0,1)-(0,0)(0,1)(1,1)-(1,0)(1,1)9a ={A x x =≥a A ∉a A ∈{}a A ={}a a ∉>a A ∈{}a A ≠{}a a ∈x 1x >x 1x >x 1x ≤x 1x ≤x 1x ≤x 1x >x 1x ≤{}22,4,0x x --x 2345222040224x x x x x -≠-≠⇒≠-≠⎧⎪⎨⎪⎩-2x ≠-1x ≠-{}22,4,0x x --x 3{}0|2x x +={}210,x x x +=∈R {}1|x x <(){}22,,,x y yx x y =-∈R 2x =-210x +={(0,0)}{(3,2)}M ={3,2}N ={2,3}M ={3,2}N ={2,3}M ={2,3}N x y ==={(2,3)}M ={(5,4)}N =【解析】对于A ,,表示点集,,表示数集,故不是同一集合; 对于B ,,,根据集合的无序性,集合表示同一集合; 对于C ,集合的元素是数,集合的元素是等式;对于D ,,集合的元素是点,, 集合的元素是点,集合不表示同一集合.11.学校先举办了一次田径运动会,某班共有名同学参赛,又举办了一次球类运动会,这个班有名同学参赛,两次运动会都参赛的有人.两次运动会中,这个班总共的参赛人数为( ) A . B . C . D . 【答案】B【解析】因为参加田径运动会的有名同学,参加球类运动会的有名同学,两次运动会都参加的有人,所以两次运动会中,这个班总共的参赛人数为.12.已知集合,.若, 则实数的取值范围为( ) A . B .C .D .【答案】D【解析】, 当为空集时,;当不为空集时,,综上所述得.第Ⅱ卷二、填空题(本大题共4个小题,每小题5分,共20分,把正确答案填在题中横线上) 13.集合,则集合的子集的个数为 个. 【答案】【解析】由已知,集合的子集个数为.14.命题“”是命题“”的 (“充分不必要,必要不充分,充要,既不充分也不必要”)条件. 【答案】必要不充分【解析】的解为或,所以当“”成立时,则“”未必成立; 若“”,则“”成立,{(3,2)}M =M {3,2}N =N {2,3}M ={3,2}N =,M N M N {(2,3)}M =M (2,3){(5,4)}N =N (5,4),M N 8123201714238123812317+-={}|25A x x =-≤≤{}|121B x m x m =+≤≤-B A ⊆m 3m ≥23m ≤≤2m ≥3m ≤{}|121B x m x m =+≤≤-B 2112m m m -<+⇒<B 22152312m m m m ≥⎧⎪-≤⇒≤≤⎨⎪+≥-⎩3m ≤2{}1,A =A 4A 224=220x x --=1x =-220x x --=1x =-2x =220x x --=1x =-1x =-220x x --=故命题“”是命题“”的必要不充分条件.15.命题“,”的否定是 .【答案】,【解析】由全称量词命题的否定是存在量词命题可知,命题“,”的否定是“,”.16.设全集是实数集,,, 则图中阴影部分所表示的集合是 .【答案】【解析】由图可知,阴影部分为,∵,∴,∴.三、解答题(本大题共6个大题,共70分,解答应写出文字说明,证明过程或演算步骤) 17.(10分)已知集合,且,求的取值集合. 【答案】.【解析】∵,∴或,即或.当时,;当时,; 当时,不满足互异性, ∴的取值集合为{}1,3.18.(12分)已知集合,,若,求实数,的值.【答案】或.220x x --=1x =-x ∀∈R 23210x x -+>0x ∃∈R 2003210x x -+≤x ∀∈R 23210x x -+>0x ∃∈R 2003210x x -+≤U R {}22M x x x =<->或{}13N x x =<<{}12x x <≤Venn ()UN M {}22M x x x =<->或{}22UM x x -=≤≤(){}12UNM x x =<≤{}21,2,4M m m =++5M ∈m {}1,3{}251,2,4m m ∈++25m +=245m +=3m =1m =±3m ={}1,5,13M =1m ={}1,3,5M =1m =-{}1,1,5M =m {,,2}A a b =2{2,,2}B b a =A B =a b 01a b =⎧⎨=⎩1412a b ⎧=⎪⎪⎨⎪=⎪⎩【解析】由已知,得①,解得或, 当时,集合不满足互异性, 当时,集合,集合,符合题意;②,解得(舍)或,当时,集合,集合符合题意,综上所述,可得或.19.(12分)设集合,. (1)若,试判定集合与的关系; (2)若,求实数的取值集合.【答案】(1)是的真子集;(2). 【解析】(1),,∴是的真子集. (2)当时,满足,此时;当时,,集合,又,得或,解得或. 综上,实数的取值集合为.20.(12分)已知全集,集合,.求:A B =22a a b b =⎧⎨=⎩00a b =⎧⎨=⎩01a b =⎧⎨=⎩00a b =⎧⎨=⎩{0,0,2}A =01a b =⎧⎨=⎩{0,1,2}A ={2,1,0}B =22a b b a ⎧=⎨=⎩00a b =⎧⎨=⎩1412a b ⎧=⎪⎪⎨⎪=⎪⎩1412a b ⎧=⎪⎪⎨⎪=⎪⎩11{,,2}42A =11{2,,}42B =01a b =⎧⎨=⎩1412a b ⎧=⎪⎪⎨⎪=⎪⎩{}28150A x x x =-+=}10B =-=15a =A B B A ⊆a B A 110,,35⎧⎫⎨⎬⎩⎭{3,5}A ={5}B =B A B =∅B A ⊆0a =B ≠∅0a ≠1B a ⎧⎫=⎨⎬⎩⎭B A ⊆13a =15a=13a =15a 110,,35⎧⎫⎨⎬⎩⎭{}6U x x =∈<N {}1,2,3A ={}2,4B =(1),,;(2),;(3)设集合且,求的取值范围.【答案】(1)见解析;(2)见解析;(3). 【解析】(1),∵,,.(2),∴.(3)由(2)可知,∵,∴,解得.21.(12分)已知集合为全体实数集,,. (1)若,求;(2)若,求实数的取值范围. 【答案】(1);(2).【解析】(1)当时,,所以,所以.(2)①,即时,,此时满足.②当,即时,,由得,或, 所以.综上,实数的取值范围为.22.(12分)已知二次函数,非空集合.(1)当时,二次函数的最小值为,求实数的取值范围;(2)是否存在整数的值,使得“”是“二次函数的大值为”的充分条件, 如果存在,求出一个整数的值,如果不存在,请说明理由. 【答案】(1);(2)见解析.【解析】(1),当且仅当时,二次函数有最小值为,由已知时,二次函数的最小值为,则,所以. (2)二次函数,开口向上,对称轴为,作出二次函数图象如图所示,由“”是“二次函数的大值为”的充分条件, 即时,二次函数的最大值为,A B UA UB AB ()UA B {|21}C x a x a =-<≤-()UA CB ⊆a 3a ≥2A B ={0,1,2,3,4,5}U ={0,4,5}UA ={0,1,3,5}UB ={1,2,3,4}AB =(){0,5}UA B =(){0,5}UA B =()U A C B ⊆021521a a a a -<⎧⎪-≥⎨⎪->-⎩3a ≥U {}25M x x x =≤-≥或{}121N x a x a =+≤≤-3a =UMN N M ⊆a {}45Ux x x MN =<≥或{}24a a ≥或3a ={}45|N x x =≤≤{}45UN x x x =<>或{}45Ux x x MN =<≥或211a a -<+2a <N =∅N M ⊆211a a -≥+2a ≥N ≠∅N M ⊆15a +≥212a -≤-4a ≥a {}24a a a <≥或243y x x =-+{}|0A x x a =≤≤x A ∈1-a a x A ∈3a 2a ≥2243(2)1y x x x =-+=--2x =1-x A ∈1-2A ∈2a ≥2(2)1y x =--2x =x A ∈3x A ∈3,即为,令,解得或,由图像可知,当或时,二次函数的最大值不等于,不符合充分条件, 则,即可取的整数值为,,,,任意一个.第一册第二章测试题一元二次函数、方程和不等式注意事项:1.答题前,先将自己的姓名、准考证号填写在试题卷和答题卡上,并将准考证号条形码粘贴在答题卡上的指定位置。
高中数学-《直线与圆的位置关系》单元测试题高中数学-《直线与圆的位置关系》单元测试题班级:__________姓名:__________成绩:__________ 一.选择题(每题5分,共12题,共60分)1.直线3x + 4y + 12 = 0 与圆(x + 1)^2 + (y + 1)^2 = 9的位置关系是A。
过圆心 B。
相切 C。
相离 D。
相交2.直线l将圆x^2 + y^2 - 2x - 4y = 0 平分,且与直线x + 2y = 0 垂直,则直线l的方程为A。
y = 2x B。
y = 2x - 2 C。
y = x + 1 D。
y = x - 13.若圆C半径为1,圆心在第一象限,且与直线4x - 3y = 0 和x轴都相切,则该圆的标准方程是A。
(x - 2)^2 + (y - 1)^2 = 1 B。
(x - 2)^2 + (y + 1)^2 = 1 C。
(x + 2)^2 + (y - 1)^2 = 1 D。
(x - 3)^2 + (y - 1)^2 = 14.若直线ax + by = 1与圆x^2 + y^2 = 1相交,则点P(a,b)的位置是A。
在圆上 B。
在圆外 C。
在圆内 D。
都有可能5.由直线y = x + 1上的一点向圆(x - 3)^2 + y^2 = 1引切线,则切线长的最小值为A。
1 B。
2 C。
3 D。
46.圆x^2 + y^2 + 2x + 4y - 3 = 0 上到直线l:x + y + 1 = 0的距离为2的点有A。
1个 B。
2个 C。
3个 D。
4个7.两圆x^2 + y^2 - 6x = 0 和x^2 + y^2 + 8y + 12 = 0 的位置关系是A。
相离 B。
外切 C。
相交 D。
内切8.两圆x + y = r,(x-3)+(y+1)=r外切,则正实数r的值是A。
10 B。
5 C。
2 D。
229.半径为6的圆与x轴相切,且与圆x+(y-3)^2=1内切,则此圆的方程是A。
高中数学必修5《不等式》单元测试题一. 选择题:(每小题5分)1. 已知a,b,c ∈R,下列命题中正确的是A 、22bc ac b a >⇒>B 、b a bc ac >⇒>22C 、ba b a 1133<⇒> D 、||22b a b a >⇒> 2.若b <0<a,d <c <0则下列各不等式中必成立的是( )A 、ac >bdB 、db c a < C 、a+c >b+d D 、a-c >b-d 3.不等式(x-3)(2-x )>0的解集是 ( )A 、{x|x <2或x >3}B 、{x|2<x <3}C 、{x|x≠2且x≠3}D 、{x|x≠2或x≠3}4.不等式(a-2)x 2+2(a-2)x-4<0对x ∈R 成立,则a 的取值范围是( )A 、]2,(--∞B 、)2,(--∞C 、]2,2(-D 、)2,2(-5.函数)20(),24(22<<-=x x x y 的最大值是( )A 、0B 、21 C 、2 D 、4 6. 已知+∈R b a ,,且3=+b a ,则b a 22+的最小值是( )A 、8B 、6C 、24D 、627. 设b a <<0,且1=+b a ,在下列四个数中最大的是( )A 、21 B 、b C 、ab2 D 、22b a + 8.不等式2x+y+1<0表示的平面区域在直线2x+y+1=0( )A 、右上方B 、右下方C 、左上方D 、右下方9. 目标函数y x z +=2,变量y x ,满足⎪⎩⎪⎨⎧≥<+≤+-12553034x y x y x ,则有 ( )A 、3,12min max ==z zB 、,12max =z z 无最小值C 、z z ,3min =无最大值D 、z 既无最大值,也无最小值10.有甲、乙两个粮食经销商每次在同一粮食生产地以相同的价格购进粮食,他们共购进粮食两次,各次的粮食价格不同,甲每次购粮10000千克,乙每次购粮食10000元,在两次统计中,购粮的平均价格较低的是( )A 、甲B 、乙C 、一样低D 、不确定二. 填空题:(每小题5分)11. 若角α,β满足-2π<α<β<2π,则2α-β的取值范围是 。
高中数学必修五第一章《解三角形》单元测试卷及答案(2套)单元测试题一一、选择题(本大题共12个小题,每小题5分,共60分,每小题有4个选项,其中有且仅有一个是正确的,把正确的选项填在答题卡中) 1.在ABC △中,::1:2:3A B C =,则::a b c 等于( )A .1:2:3B .3:2:1C .2D .22.在△ABC 中,角A 、B 、C 所对的边分别为a 、b 、c ,且A >B ,则一定有( ) A .cos A >cos BB .sin A >sin BC .tan A >tan BD .sin A <sin B3.△ABC 的三个内角A 、B 、C 所对的边分别为a 、b 、c ,2sin sin cos a A B b A +,则ba =( )A .B .C D4.在△ABC 中,∠A =60°,a =,b =4.满足条件的△ABC ( ) A .无解B .有一解C .有两解D .不能确定5.在△ABC 中,角A 、B 、C 所对的边分别为a 、b 、c ,且222a b c =-, 则角B 的大小是( ) A .45°B .60°C .90°D .135°6.在△ABC 中,内角A 、B 、C 的对边分别是a 、b 、c ,若22a b -,sin C B =,则A =( ) A .30°B .60°C .120°D .150°7.在△ABC 中,∠A =60°,b =1,△ABC sin aA为( )A B C D .8.在△ABC 中,sin 2A ≤sin 2B +sin 2C -sin B sin C ,则A 的取值范围是( )A .0,6π⎛⎤ ⎥⎝⎦B .,6π⎡⎫π⎪⎢⎣⎭C .0,3π⎛⎤ ⎥⎝⎦D .,3π⎡⎫π⎪⎢⎣⎭9.在△ABC 中,已知B =45°,c =,b =A 的值是( ) A .15°B .75°C .105°D .75°或15°10.在锐角三角形ABC 中,b =1,c =2,则a 的取值范围是( )A .1<a <3B .1a <<C a <D .不确定11.在△ABC 中,内角A 、B 、C 的对边分别为a 、b 、c ,且2cos 22A b cc+=,则 △ABC 的形状为( ) A .直角三角形B .等腰直角三角形C .等腰或直角三角形D .等边三角形12.如图所示,在△ABC 中,已知∠A ∶∠B =1∶2,角C 的平分线CD 把三角形面积分为3∶2两部分,则cos A 等于( )A .13B .12C .34D .0二、填空题(本大题共4个小题,每空5分,共20分,把正确答案填在题中横线上) 13.等腰三角形的底边长为6,腰长为12,其外接圆的半径为________. 14.在△ABC 中,若a 2+b 2<c 2,且3sin C ,则∠C =________. 15.在△ABC 中,a =3,26b =B =2∠A ,则cos A =________.16.某人在C 点测得塔AB 在南偏西80°,仰角为45°,沿南偏东40°方向前进10 m 到O ,测得塔A 仰角为30°,则塔高为________.三、解答题(本大题共6个小题,共70分,解答应写出文字说明、证明过程或演算步骤) 17.(10分)在△ABC 中,角A 、B 、C 所对的边分别为a 、b 、c .已知()cos cos 3sin cos 0C A A B +=.(1)求角B 的大小;(2)若a +c =1,求b 的取值范围.18.(12分)在△ABC 中,角A 、B 、C 的对边分别为a 、b 、c .(1)若sin 2cos 6A A π⎛⎫+= ⎪⎝⎭,求A 的值;(2)若1cos 3A =,b =3c ,求sin C 的值.19.(12分)在△ABC 中,角A 、B 、C 对应的边分别是a 、b 、c ,已知cos2A -3cos(B +C )=1.(1)求角A 的大小;(2)若△ABC 的面积S =b =5,求sin B sin C 的值.20.(12分)在△ABC 中,内角A 、B 、C 的对边分别是a 、b 、c ,且222a b c +=. (1)求C ;(2)设cos cos A B =,()()2cos cos cos A B ααα++,求tan α的值.21.(12分)在△ABC 中,2C A π-=,1sin 3B =. (1)求sin A 的值;(2)设6AC =,求△ABC 的面积.22.(12分)如图,已知扇形AOB ,O 为顶点,圆心角AOB 等于60°,半径为2,在弧AB 上有一动点P ,过P 引平行于OB 的直线和OA 相交于点C ,设∠AOP =θ,求△POC 面积的最大值及此时θ的值.答 案一、选择题(本大题共12个小题,每小题5分,共60分,每小题有4个选项,其中有且仅有一个是正确的,把正确的选项填在答题卡中) 1.【答案】C 【解析】6A π=,3B π=,2C π=,132::sin :sin :sin 3222a b c A B C ===,故选C . 2.【答案】B【解析】∵A B >,∴a b >,由正弦定理,得sin sin A B >,故选B .3.【答案】D【解析】本小题考查内容为正弦定理的应用.∵2sin sin cos a A B b A +=,∴22sin sin sin cos A B B A A +=,sin B A =,∴b =,∴ba.故选D . 4.【答案】A【解析】4sin 60⨯︒=<a <b sin A ,∴△ABC 不存在. 故选A . 5.【答案】A【解析】∵222a b c =-,∴222a c b +-=,由余弦定理,得222cos 2a c b B ac +-===0°<B <180°,所以B =45°. 故选A . 6.【答案】A【解析】由sin C B =及正弦定理,得c =,∴2226a b b -=, 即a 2=7b 2.由余弦定理,2222222cos2b c a A bc +-===,又∵0°<A <180°,∴A =30°.故选A . 7.【答案】B【解析】由1sin 2bc A =c =4.由余弦定理得a 2=b 2+c 2-2bc cos A =13,故a =sin a A ==B . 8.【答案】C【解析】本题主要考查正余弦定理,∵sin 2A ≤sin 2B +sin 2C -sin B sin C , ∴由正弦定理得:a 2≤b 2+c 2-bc ,即b 2+c 2-a 2≥bc ,由余弦定理得:2221cos 222b c a bc A bc bc +-==≥=,∴03A π<≤,故选C .9.【答案】D 【解析】∵sin sin b cB C =,∴sin sin c B C b ==. ∵0°<C <180°.∴C =60°或120°,∴A =75°或15°.故选D . 10.【答案】C【解析】∵b <c ,△ABC 为锐角三角形,∴边c 与边a 所对的角的余弦值大于0,即b 2+a 2-c 2>0且b 2+c 2-a 2>0,∴22140140a a ⎧+->⎪⎨+->⎪⎩.∴3<a 2<5,∴35a <<. 故选C . 11.【答案】A【解析】由21cos cos 222A A b c c ++==,整理得cos bA c=.又222cos 2b c a A bc +-=, 联立以上两式整理得c 2=a 2+b 2,∴C =90°.故△ABC 为直角三角形.故选A . 12.【答案】C【解析】在△ABC 中,设∠ACD =∠BCD =β,∠CAB =α,由∠A ∶∠B =1∶2,得∠ABC =2α.∵∠A <∠B ,∴AC >BC ,∴S △ACD >S △BCD ,∴S △ACD ∶S △BCD =3∶2,∴1sin 3212sin 2AC DC BC DC ββ⋅⋅⋅=⋅⋅⋅,∴32AC BC =.由正弦定理得sin sin AC BC B A =,sin 2sin 2sin cos sin AC BC AC BCααααα=⇒=, ∴133cos 2224AC BC α==⨯=,即3cos 4A =.故选C .二、填空题(本大题共4个小题,每空5分,共20分,把正确答案填在题中横线上) 13.815【解析】设△ABC 中,AB =AC =12,BC =6,由余弦定理222222121267cos 2212128AB AC BC A AB AC +-+-===⋅⨯⨯.∵()0,A ∈π,∴15sin A =,∴外接圆半径8152sin BC r A == 14.【答案】23π【解析】∵a 2+b 2<c 2,∴a 2+b 2-c 2<0,即cos C <0.又3sin C ,∴23C π∠=. 15.6【解析】∵a =3,26b =,∠B =2∠A ,由正弦定理326sin sin 2A A=, ∴2sin cos 26sin 3A A A =,∴6cos 3A =. 16.【答案】10 m【解析】画出示意图,如图所示,CO =10,∠OCD =40°,∠BCD =80°,∠ACB =45°, ∠AOB =30°,AB ⊥平面BCO ,令AB =x ,则BC =x ,3BO x ,在△BCO 中,由余弦定理得)()223100210cos 8040xx x =+-⨯⨯︒+︒,整理得25500x x -=-,解得10x =,5x =-(舍去),故塔高为10 m .三、解答题(本大题共6个小题,共70分,解答应写出文字说明、证明过程或演算步骤) 17.【答案】(1)3B π=;(2)112b ≤<. 【解析】(1)由已知得()cos cos cos 3cos 0A B A B A B -++-=, 即有sin sin 3sin cos 0A B A B =. 因为sin A ≠0,所以sin 30B B =. 又cos B ≠0,所以tan 3B =.又0<B <π,所以3B π=. (2)由余弦定理,有b 2=a 2+c 2-2ac cos B . 因为a +c =1,1cos 2B =,有2211324b a ⎛⎫=-+ ⎪⎝⎭.又0<a <1,于是有2114b ≤<,即有112b ≤<. 18.【答案】(1)3A π=;(2)1sin 3C =. 【解析】(1)由题设知sin cos cos sin 2cos 66A A A ππ+=.从而sin 3A A ,所以cos A ≠0,tan A =.因为0<A <π,所以3A π=. (2)由1cos 3A =,b =3c 及a 2=b 2+c 2-2bc cos A ,得a 2=b 2-c 2, 故△ABC 是直角三角形,且2B π=.所以1sin cos 3C A ==. 19.【答案】(1)3A π=;(2)5sin sin 7B C =. 【解析】(1)由cos2A -3cos(B +C )=1,得2cos 2A +3cos A -2=0, 即(2cos A -1)(cos A +2)=0,解得1cos 2A =或cos A =-2(舍去). 因为0<A <π,所以3A π=.(2)由11sin sin 223S bc A bc π====bc =20,又b =5,知c =4.由余弦定理得a 2=b 2+c 2-2bc cos A =25+16-20=21,故a =. 又由正弦定理得222035sin sin sin sin sin 2147b c bc B C A A A a a a =⋅==⨯=.20.【答案】(1)34C π=;(2)tan α=1或tan α=4.【解析】(1)因为222a b c +=,由余弦定理有222cos 2a b c C ab +-===34C π=. (2)由题意得()()2sin sin cos cos sin sin cos cos cos A A B B ααααα--,因此()()tan sin cos tan sin cos A A B B αα--=,()2tan sin sin tan sin cos cos sin cos cos A B A B A B A B αα-++=,()2tan sin sin tan sin cos cos A B A B A B αα-++=因为34C π=,4A B π+=,所以()sin A B +=因为cos(A +B )=cos A cos B -sin A sin B ,即sin sin 52A B -=,解得sin sin 5210A B =-=.由①得tan 2α-5tan α+4=0,解得tan α=1或tan α=4. 21.【答案】(1)sin A ;(2)ABC S =△. 【解析】(1)由2C A π-=和A +B +C =π,得22A B π=-,04A π<<. ∴cos2A =sinB ,即2112sin 3A -=,∴sin A =.(2)由(1)得cos A sin sin BC AC A B =,∴sin 31sin 3AC ABC B===∵2C A π-=,∴2C A π=+,∴sin sin cos 2C A A π⎛⎫=+== ⎪⎝⎭,∴11sin 22ABC S AC BC C =⋅⋅==△. 22.【答案】当θ=30°时,S (θ). 【解析】∵CP ∥OB ,∴∠CPO =∠POB =60°-θ,∠OCP =120°. 在△OCP 中,由正弦定理,得sin sin OP CP OCP θ=∠,即2sin120sin CPθ=︒,∴CP θ.又()2sin 60sin120CO θ=︒-︒,∴()60OC θ=︒-.故△POC 的面积是()1sin1202S CP CO θ=⋅⋅︒()()160sin si 2n 60θθθθ=︒-︒-()1sin sin 21cos 2602θθθθ⎫⎤=-︒=-⎪-⎥⎪⎝⎦⎭,()0,60θ∈︒︒, ∴当θ=30°时,S (θ)单元测试题二一、选择题(本大题共12个小题,每小题5分,共60分,在每小题给出的四个选项中只有一个是符合题目要求的)1.在ABC △中,若90C =︒,6a =,30B =︒,则c b -等于( )A .1B .1-C .D .-2.在ABC △中,3AB =,2AC =,BC =BA ·AC 等于( )A .32-B .23-C .23D .323.在△ABC 中,已知a =,b =A =30°,则c 等于( )A .BC .D .以上都不对4.根据下列情况,判断三角形解的情况,其中正确的是( ) A .a =8,b =16,A =30°,有两解 B .b =18,c =20,B =60°,有一解 C .a =5,c =2,A =90°,无解 D .a =30,b =25,A =150°,有一解5.△ABC 的两边长分别为2,3,其夹角的余弦值为13,则其外接圆的半径为( )A B C D .6.在△ABC 中,2cos 22A b cc+⋅=(a 、b 、c 分别为角A 、B 、C 的对边),则△ABC 的形状为( ) A .直角三角形 B .等腰三角形或直角三角形 C .等腰直角三角形D .正三角形7.已知△ABC 中,A 、B 、C 的对边分别为a 、b 、c .若a c =A =75°,则b 等于( )A .2B -C .4-D .4+8.在△ABC 中,已知b 2-bc -2c 2=0,a =7cos 8A =,则△ABC 的面积S 为( )A B C D .9.在△ABC 中,AB =7,AC =6,M 是BC 的中点,AM =4,则BC 等于( )A B C D10.若sin cos cos A B Ca b c==,则△ABC 是( ) A .等边三角形 B .有一内角是30°的直角三角形 C .等腰直角三角形D .有一内角是30°的等腰三角形11.在△ABC 中,角A 、B 、C 的对边分别为a 、b 、c ,若()222tan 3a c b B ac +-=,则角B 的值为( ) A .6π B .3π C .6π或56π D .3π或23π12.△ABC 中,3A π=,BC =3,则△ABC 的周长为( ) A .43sin 33B π⎛⎫++ ⎪⎝⎭B .43sin 36B π⎛⎫++ ⎪⎝⎭C .6sin 33B π⎛⎫++ ⎪⎝⎭D .6sin 36B π⎛⎫++ ⎪⎝⎭二、填空题(本大题共4个小题,每小题5分,共20分,把正确答案填在题中横线上) 13.在△ABC 中,2sin sin sin a b cA B C--=________. 14.在△ABC 中,角A 、B 、C 的对边分别为a 、b 、c ,若2223a c b ac +-=, 则角B 的值为________.15.已知a ,b ,c 分别是△ABC 的三个内角A ,B ,C 所对的边.若a =1,3b =, A +C =2B ,则sin C =________.16.钝角三角形的三边为a ,a +1,a +2,其最大角不超过120°,则a 的取值范围是________.三、解答题(本大题共6个大题,共70分,解答应写出文字说明,证明过程或演算步骤) 17.(10分)如图所示,我艇在A 处发现一走私船在方位角45°且距离为12海里的B 处正以每小时10海里的速度向方位角105°的方向逃窜,我艇立即以14海里/小时的速度追击,求我艇追上走私船所需要的时间.18.(12分)在△ABC 中,角A 、B 、C 所对的边长分别是a 、b 、c ,且4cos 5A =. (1)求2sin cos22B CA ++的值; (2)若b =2,△ABC 的面积S =3,求a .19.(12分)如图所示,△ACD 是等边三角形,△ABC 是等腰直角三角形,∠ACB =90°,BD 交AC 于E ,AB =2. (1)求cos ∠CBE 的值; (2)求AE .20.(12分)已知△ABC 的内角A ,B ,C 所对的边分别为a ,b ,c ,且a =2,3cos 5B =. (1)若b =4,求sin A 的值;(2)若△ABC 的面积S △ABC =4,求b ,c 的值.21.(12分)在△ABC 中,a ,b ,c 分别为内角A ,B ,C 的对边,且2a sin A =(2b +c )sin B +(2c +b )sin C . (1)求A 的大小;(2)若sin B +sin C =1,试判断△ABC 的形状.22.(12分)已知△ABC 的角A 、B 、C 所对的边分别是a 、b 、c ,设向量(),a b m =, ()sin ,sin B A =n ,()2,2b a --p =.(1)若m ∥n ,求证:△ABC 为等腰三角形; (2)若m ⊥p ,边长c =2,角3C π=,求△ABC 的面积.答 案一、选择题(本大题共12个小题,每小题5分,共60分,在每小题给出的四个选项中只有一个是符合题目要求的) 1.【答案】C【解析】tan 30ba=︒,tan30b a =︒=2c b ==,c b -= 故选C . 2.【答案】A【解析】由余弦定理得22294101cos 2124AB AC BC A AB AC +-+-===⋅.∴13cos 3242AB AC AB AC A ⋅=⋅⋅=⨯⨯=.∴32BA AC AB AC ⋅=-⋅=-.故选A .3.【答案】C【解析】∵a 2=b 2+c 2-2bc cos A ,∴2515c c =+-. 化简得:2100c -+=,即(0c c -=,∴c =c = 故选C . 4.【答案】D 【解析】A 中,因sin sin a b A B =,所以16sin30sin 18B ⨯︒==,∴90B =︒,即只有一解;B 中,20sin 60sin 18C ︒==c b >,∴C B >,故有两解; C 中,∵A =90°,a =5,c =2,∴b = 故A 、B 、C 都不正确.故选D . 5.【答案】C【解析】设另一条边为x ,则2221232233x =+-⨯⨯⨯,∴29x =,∴3x =.设1cos 3θ=,则sin θ=.∴32sinR θ==,R =C . 6.【答案】A【解析】由2cos cos 22A b c b A c c+⋅=⇒⋅=,又222cos 2b c a A bc +-⋅=, ∴b 2+c 2-a 2=2b 2⇒a 2+b 2=c 2,故选A . 7.【答案】A【解析】()sin sin 75sin 3045A =︒=︒+︒, 由a =c 知,C =75°,B =30°.1sin 2B =.由正弦定理:4sin sin b aB A===.∴b =4sin B =2.故选A .8.【答案】A【解析】由b 2-bc -2c 2=0可得(b +c )(b -2c )=0. ∴b =2c ,在△ABC 中,a 2=b 2+c 2-2bc cos A ,即22276448c c c =+-⋅.∴c =2,从而b =4.∴11sin 4222ABCS bc A ==⨯⨯△A . 9.【答案】B【解析】设BC =a ,则2aBM MC ==. 在△ABM 中,AB 2=BM 2+AM 2-2BM ·AM ·cos ∠AMB ,即22217424cos 42aa AMB =+-⨯⨯⋅∠ ①在△ACM 中,AC 2=AM 2+CM 2-2AM ·CM ·cos ∠AMC即22216424cos 42aa AMB =++⨯⨯⋅∠ ②①+②得:22222176442a +=++,∴a =B .10.【答案】C 【解析】∵sin cos A Ba b=,∴a cos B =b sin A , ∴2R sin A cos B =2R sin B sin A,2R sin A ≠0.∴cos B =sin B ,∴B =45°.同理C =45°,故A =90°.故C 选项正确. 11.【答案】D【解析】∵()222tan a c b B +-,∴222tan 2a c b B ac +-⋅=,即cos tan sin B B B ⋅=0<B <π,∴角B 的值为3π或23π.故选D . 12.【答案】D 【解析】3A π=,BC =3,设周长为x ,由正弦定理知2sin sin sin BC AC ABR A B C ===, 由合分比定理知sin sin sin sin BC AB BC ACA ABC ++=++,=,∴()sin sin B A B x ⎤+++=⎥⎦,即3sin sin 3sin sin cos cos sin 333x B B B B B π⎤ππ⎛⎫⎫=+++=+++ ⎪⎪⎥⎝⎭⎭⎦133sin sin 3sin 22B B B B B ⎫⎫=+++=++⎪⎪⎪⎪⎭⎭136cos 36sin 26B B B ⎫π⎛⎫=++=++⎪ ⎪⎪⎝⎭⎝⎭.故选D .二、填空题(本大题共4个小题,每小题5分,共20分,把正确答案填在题中横线上) 13.【答案】0 14.【答案】6π【解析】∵222a cb +-=,∴222cos 2a c b B ac +-==6B π=. 15.【答案】1【解析】在△ABC 中,A +B +C =π,A +C =2B .∴3B π=. 由正弦定理知,sin 1sin 2a B A b ==.又a <b .∴6A π=,2C π=.∴sin 1C =. 16.【答案】332a ≤< 【解析】由()()()()()()22222212120121212a a a a a a a a a a a ⎧⎪++>+⎪⎪++-+<⎨⎪++-+⎪≥-⎪+⎩,解得332a ≤<.三、解答题(本大题共6个大题,共70分,解答应写出文字说明,证明过程或演算步骤) 17.【答案】2小时.【解析】设我艇追上走私船所需时间为t 小时, 则BC =10t ,AC =14t ,在△ABC 中, 由∠ABC =180°+45°-105°=120°,根据余弦定理知:(14t )2=(10t )2+122-2·12·10t cos 120°,∴2t =. 答:我艇追上走私船所需的时间为2小时. 18.【答案】(1)5950;(2)a = 【解析】(1)()221cos 1cos 59sin cos2cos22cos 122250B C B C A A A A -++++=+=+-=. (2)∵4cos 5A =,∴3sin 5A =.由1sin 2ABC S bc A =△,得133225c =⨯⨯,解得c =5.由余弦定理a 2=b 2+c 2-2bc cos A ,可得24425225135a =+-⨯⨯⨯=,∴a = 19.【答案】(1;(2)AE=.【解析】(1)∵∠BCD =90°+60°=150°,CB =AC =CD , ∴∠CBE =15°.∴()cos cos 4530CBE ∠=︒-︒= (2)在△ABE 中,AB =2,由正弦定理得sin sin AE ABABE AEB=∠∠, 即()()2sin 4515sin 9015AE =︒-︒︒+︒,故122sin 30cos15AE ⨯︒===︒20.【答案】(1)2sin 5A =;(2)b =5c =. 【解析】(1)∵3cos 05B =>,且0<B <π,∴4sin 5B ==. 由正弦定理得sin sin a bA B=,42sin 25sin 45a B Ab ⨯===. (2)∵1sin 42ABC S ac B ==△,∴142425c ⨯⨯⨯=,∴5c =.由余弦定理得2222232cos 25225175b a c ac B =+-=+-⨯⨯⨯=,∴b =21.【答案】(1)120A =︒;(2)△ABC 为等腰钝角三角形. 【解析】(1)由已知,根据正弦定理得2a 2=(2b +c )b +(2c +b )c , 即a 2=b 2+c 2+bc .由余弦定理得a 2=b 2+c 2-2bc cos A ,故1cos 2A =-,120A =︒.(2)方法一 由(1)得sin 2A =sin 2B +sin 2C +sin B sin C , 又A =120°,∴223sin sin sin sin 4B C B C ++=, ∵sin B +sin C =1,∴sin C =1-sin B . ∴()()223sin 1sin sin 1sin 4B B B B +-+-=, 即21sin sin 04B B -+=.解得1sin 2B =.故1sin 2C =.∴B =C =30°. 所以,△ABC 是等腰的钝角三角形.方法二 由(1)A =120°,∴B +C =60°,则C =60°-B , ∴sin B +sin C =sin B +sin(60°-B) 11sin sin sin 22B B B B B =-==sin(B +60°)=1, ∴B =30°,C =30°.∴△ABC 是等腰的钝角三角形.22.【答案】(1)见解析;(2)ABC S =△ 【解析】(1)证明 ∵m ∥n ,∴a sin A =b sin B ,即22a ba b R R⋅=⋅, 其中R 是△ABC 外接圆半径,∴a =b .∴△ABC 为等腰三角形. (2)解 由题意知m ·p =0,即a (b -2)+b (a -2)=0.∴a +b =ab .由余弦定理可知,4=a 2+b 2-ab =(a +b )2-3ab , 即(ab )2-3ab -4=0.∴ab =4(舍去ab =-1),∴11sin 4sin 223ABC S ab C π==⨯⨯=△.。
第3题图高中数学《必修一》第一章教学质量检测卷一、选择题(将选择题的答案填入下面的表格.本大题共10小题,每小题5分,共50分。
)题号12345678910答案1、下列各组对象中不能构成集合的是( )A、佛冈中学高一(20)班的全体男生B、佛冈中学全校学生家长的全体C、李明的所有家人D、王明的所有好朋友( )A.{1,2,3,4,5} B.{2,3,4,5}C.{2,3,4},则图中的阴影部分表示的集合为( )的值是 ( )A、3B、1 C. 0 D。
-18、下列四个图像中,不可能是函数图像的是 ( )9、设f(x)是R上的偶函数,且在[0,+∞)上单调递增,则f(—2),f题号一二151617181920总分得分10、在集合{a,b,c,d}上定义两种运算和如下:A.a B.b C.c D.d二、填空题(本大题共4小题,每小题5分,共20分)的定义域为在区间[0,4]的最大值是B是 .16上是减函数。
其中真命题的序号是 (把你认为正确的命题的序号都填上)。
三、解答题(本大题6小题,共80分。
解答时应写出文字说明、证明过程或演算步骤).15、(本题满分12分)已知集合a的取值范围.16、(本题满分1217、(本题满分1418、 (本题满分14分)已知函(1)用分段函数的形式表示该函数;(2)画出该函数的图象;(3)写出该函数的值域.19、(本题满分1420、 (本题满分14高中数学《必修一》第一章教学质量检测卷参考答案一、选择题题号12345678910答案D D B C C A A B A C二、填空题12、-1 13、 14、①②三、解答题15、解:(1)A∪B={x∣2<x<10}……………..4分(2)(C R A)∩B={ x∣2〈x〈3或7≤x<10}...。
..。
.。
.。
.。
..。
...。
8分(3)a≥7.。
..。
.。
.。
..。
12分16.解:.2分证明:的定义域是,定义域关于原点对称…………….4分内任取一个x,则有。
高中数学单元测试卷五高中数学单元测试卷五一、选择题1. 已知 $P(x) = x^3 - 6x^2 + 11x - 6$,则 $P(2)$ 等于()A. 2B. 0C. -2D. 1分析:将 $x = 2$ 代入 $P(x)$,得到 $P(2) = 2^3 - 6 \times 2^2 + 11\times 2 - 6 = 1$。
故选 D。
2. 直线 $L_1: y = kx - 2$ 与直线 $L_2: y = x + 1$ 相交于点 $(1, -1)$,则$k$ 等于()A. -3B. -2C. -1D. 1分析:因为点 $(1, -1)$ 在直线 $L_1$ 上,所以有 $-1 = k \times 1 - 2$,即 $k = -1$。
故选 C。
3. 已知 $\triangle ABC$ 中,角 $A$ 对边 $BC$ 的中线长度为 $8$,则$\sin B \cos C$ 的值为()A. $\frac{1}{4}$B. $\frac{1}{2}$C. $\frac{3}{4}$D. $1$分析:设 $M$ 为 $BC$ 的中点,连接 $AM$。
由中线长度公式可得$BC = 16$,进而得到 $\sin B = \frac{8}{17}$,$\cos C = \frac{15}{17}$,因此 $\sin B \cos C = \frac{8}{17} \times \frac{15}{17} =\frac{120}{289}$。
故选 A。
二、填空题4. $\lim\limits_{x \to 2}\frac{x - 2}{\sqrt{x + 2} - 2} = $()分析:将 $\sqrt{x + 2} - 2$ 分子有理化,得到 $\frac{(x - 2)(\sqrt{x + 2}+ 2)}{x - 4}$,代入可得答案为 $2$。
因此填 $2$。
5. $\frac{a^2 - b^2}{a + b} + \frac{2a - b}{a - b} - \frac{a^2 + ab -6b^2}{a^2 - b^2} = $()分析:将所有分式化为通分式,得到 $\frac{(a - b)^2 - 3b^2}{(a + b)(a - b)} + \frac{3a - 3b}{(a + b)(a - b)} - \frac{(a + 2b)(a - 3b)}{(a + b)(a - b)} = \frac{-6b^2 - 2ab}{(a + b)(a - b)}$。
高中数学必修一单元测试(共14题)一、选择题(共6题)1. (2018·北京朝阳区·期中)某学校要召开学生代表大会,规定各班每 10 人推选一名代表,当各班人数除以 10 的余数大于 6⋅ 时再增选一名代表.那么,各班可推选代表人数 y 与该班人数 x 之间的函数关系用取整函数 y =[x ] ( [x ] 表示不大于 x 的最大整数)可以表示为 ( )A .y =[x10]B .y =[x+310] C .y =[x+410] D .y =[x+510]【答案】B【解析】方法一 特殊取值法,若 x =56,y =5,排除 C 、 D ,若 x =57,y =6,排除 A ,所以选B .方法二 设 x =10m +α(0≤α≤9),当0≤α≤6 时,[x+310]=[m +α+310]=m =[x10],当 6<α≤9 时,[x+310]=[m +α+310]=m +1=[x10]+1.【知识点】函数的表示方法2. (2019·模拟)已知偶函数 f (x ) 的图象经过点 (−1,2),且当 0≤a <b 时,不等式 f (b )−f (a )b−a<0恒成立,则使得 f (x −1)<2 成立的 x 的取值范围是 ( ) A . (0,2)B . (−2,0)C . (−∞,0)∪(2,+∞)D . (−∞,−2)∪(0,+∞)【答案】C【解析】根据题意,f (x ) 为偶函数,且经过点 (−1,2),则点 (1,2) 也在函数 f (x ) 的图象上,当 0≤a <b 时,不等式f (b )−f (a )b−a<0 恒成立,则函数 f (x ) 在 [0,+∞) 上为减函数,f (x −1)<2⇒f (∣x −1∣)<f (1)⇒∣x −1∣>1,解可得:x >2 或 x <0, 即 x 的取值范围为 (−∞,0)∪(2,+∞).【知识点】函数的单调性、抽象函数、函数的奇偶性3. (2018·北京东城区·期中)若 lga ,lgb 是方程 2x 2−4x +1=0 的两个根,则 (lg a b )2的值等于( )A .2B .12C .4D .14【答案】A【解析】由根与系数的关系,得lga+lgb=2,lga⋅lgb=12,所以(lg ab )2=(lga−lgb)2=(lga+lgb)2−4lga⋅lgb=22−4×12=2.【知识点】对数的概念与运算4.(2021·同步练习)直线y=ax+b(a+b=0,ab≠0)的图象可能是下图中的( )A.B.C.D.【答案】D【解析】当a>0时,因为a+b=0,所以b<0,根据直线的斜率为a及y轴上的截距为b,可知直线经过第一,三,四象限,选项D符合;当a<0时,因为a+b=0,所以b>0,根据直线的斜率为a及y轴上的截距为b,可知直线经过第一,二,四象限,选项中无符合条件的图象.故选D.【知识点】函数图象5.(2021·同步练习)已知当x∈[0,1]时,函数y=(mx−1)2的图象与y=√x+m的图象有且只有一个交点,则正实数m的取值范围是( )A.(0,1]∪[2√3,+∞)B.(0,1]∪[3,+∞)C.(0,√2]∪[2√3,+∞)D.(0,√2]∪[3,+∞)【答案】B【解析】当0<m≤1时,在同一平面直角坐标系中作出函数y=(mx−1)2与y=√x+m 的图象,如图①.易知此时两函数图象在x∈[0,1]上有且只有一个交点;当m>1时,在同一平面直角坐标系中作出函数y=(mx−1)2与y=√x+m的图象,如图②.要满足题意,则(m−1)2≥1+m,解得m≥3或m≤0(舍去),所以m≥3.综上,正实数m的取值范围为(0,1]∪[3,+∞).【知识点】函数的零点分布6.(2021·同步练习)已知e是自然对数的底数,函数f(x)=e x+x−2的零点为a,函数g(x)=lnx+x−2的零点为b,则下列不等式中成立的是( )A.a<1<b B.a<b<1C.1<a<b D.b<1<a【答案】A【解析】令f(x)=e x+x−2=0,则e x=2−x,令 g (x )=lnx +x −2=0,则 lnx =2−x ,设 y 1=e x ,y 2=lnx ,y 3=2−x , 在同一平面直角坐标系中作出函数 y 1=e x ,y 2=lnx ,y 3=2−x 的图象,如图. 因为函数 f (x )=e x +x −2 的零点为 a ,函数 g (x )=lnx +x −2 的零点为 b , 所以 y 1=e x 与 y 3=2−x 图象的交点的横坐标为 a ,y 2=lnx 与 y 3=2−x 图象的交点的横坐标为 b ,由图象知 a <1<b .【知识点】函数的零点分布二、填空题(共4题)7. (2018·北京东城区·期中)函数 f (x ) 的定义域为 D ,若对于任意 x 1,x 2∈D ,当 x 1<x 2 时,都有 f (x 1)≤f (x 2),则称函数 f (x ) 在 D 上为非减函数.设函数 f (x ) 在 [0,1] 上为非减函数,且满足以下三个条件:① f (0)=0;② f (x3)=12f (x );③ f (1−x )=1−f (x ).则 f (13)+f (18)= . 【答案】34【解析】因为 f (0)=0,由 ③ 得,f (1)=1,在 ② 中令 x =1,则 f (13)=12f (1)=12. 在 ③ 中令 x =13,则 f (23)=1−f (13)=12.在 ② 中分别令 x =13,23,得 f (19)=14,f (29)=14.因为 19<18<29,且函数 f (x ) 为非减函数,所以 f (19)≤f (18)≤f (29),则 f (18)=14.故 f (13)+f (18)=12+14=34.【知识点】函数的单调性8. (2019·上海市·同步练习)已知函数 f (x )=sinx +tanx .项数为 27 的等差数列 {a n } 满足 a n ∈(−π2,π2),且公差 d ≠0,若 f (a 1)+f (a 2)+⋯+f (a 27)=0,则当 k = 时,f (a k )=0. 【答案】14【解析】提示:函数 f (x )=sinx +tanx 为奇函数,a 1+a 27=a 2+a 26=⋯=2a 14=0 时,满足题意.又因为此函数在 (−π2,π2) 上为增函数,所以 k 只能等于 14.【知识点】等差数列、函数的奇偶性9. (2021·同步练习)已知 y =(2a +b )x a+b +(a −2b ) 是幂函数,则 a = ,b = . 【答案】 25; 15【解析】由题意得 {2a +b =1,a −2b =0, 解得 {a =25,b =15. 【知识点】幂函数及其性质10. (2021·同步练习)如图①是反映某条公交线路收支差额(即营运所得票价收入与付出成本的差)y 与乘客量 x 之间关系的图象.由于目前该条公交线路亏损,公司有关人员提出了两种调整的建议,如图②③所示. 给出下列说法:(1)图②的建议:提高成本,并提高票价; (2)图②的建议:降低成本,并保持票价不变; (3)图③的建议:提高票价,并保持成本不变; (4)图③的建议:提高票价,并降低成本. 其中所有说法正确的序号是 .【答案】(2)(3)【解析】根据题意和图②知,两直线平行即票价不变,直线向上平移说明当乘客量为0时,收入是0但是支出变少了,即说明了此建议是降低成本而保持票价不变,故(2)正确;由图③看出,当乘客量为0时,支出不变,但是直线的倾斜角变大,即相同的乘客量时收入变大,即票价提高了,即说明了此建议是提高票价而保持成本不变,故(3)正确.【知识点】函数的模型及其实际应用三、解答题(共4题)11.(2019·天津南开区·期中)函数f(x)的定义域为D={x∣ x≠0},且满足对于任意x1,x2∈D,都有f(x1x2)=f(x1)+f(x2).【知识点】抽象函数、函数的奇偶性、函数的单调性(1) 求f(1)的值;【答案】因为对于任意x1,x2∈D,都有f(x1⋅x2)=f(x1)+f(x2),所以令x1=x2=1,得f(1)=2f(1),所以f(1)=0.(2) 判断f(x)的奇偶性并证明你的结论;【答案】令x1=x2=−1,有f(1)=f(−1)+f(−1),f(1)=0.所以f(−1)=12令x1=−1,x2=x,有f(−x)=f(−1)+f(x),所以f(−x)=f(x),所以f(x)为偶函数.(3) 如果f(4)=1,f(x−1)<2,且f(x)在(0,+∞)上是增函数,求x的取值范围.【答案】依题设有f(4×4)=f(4)+f(4)=2,由(2)知,f(x)是偶函数,所以f(x−1)<2⇔f(∣x−1∣)<f(16).又f(x)在(0,+∞)上是增函数,所以 0<∣x −1∣<16, 解得 −15<x <17 且 x ≠1.所以 x 的取值范围是 {x∣ −15<x <17且x ≠1}.12. (2018·天津河西区·期末)已知关于 x 的函数 y =(m +6)x 2+2(m −1)x +m +1 恒有零点.【知识点】函数的零点分布 (1) 求 m 的取值范围;【答案】因为关于 x 的函数 y =(m +6)x 2+2(m −1)x +m +1 恒有零点,则 m +6=0,或 {m +6≠0Δ=4(m −1)2−4(m +6)(m +1)≥0,解得 m =−6 或 m ≤−59 且 m ≠−6, 所以 m 的取值范围为 m ≤−59.(2) 若函数有两个不同的零点,且其倒数之和为 −4,求 m 的值.【答案】若函数有两个不同零点 x 1,x 2, 则 1x 1+1x 2=−4,即 x 1+x 2=−4x 1x 2,所以−2(m−1)m+6=−4(m+1)m+6,解得 m =−3,经验证 m =−3 符合题意.13. (2021·同步练习)已知 f (x ) 是定义在 R 上的偶函数,当 x ≥0 时,f (x )=x 2−2x .【知识点】函数的单调性、函数的值域的概念与求法、函数的奇偶性、函数图象 (1) 求函数 f (x ) 的解析式,并画出函数 f (x ) 的图象;【答案】因为 x ≥0 时,f (x )=x 2−2x , 所以当 x <0 时,−x >0, 所以 f (−x )=x 2+2x ,因为 f (x ) 是定义在 R 上的偶函数, 所以 f (x )=f (−x )=x 2+2x . 故 f (x )={x 2−2x,x ≥0x 2+2x,x <0,函数 f (x ) 的图象如图所示.(2) 根据图象指出 f (x ) 的单调区间和值域.【答案】由(1)中函数的图象可知,函数 f (x ) 的单调递增区间为 [−1,0],[1,+∞);单调递减区间为 (−∞,−1],[0,1].函数 f (x ) 的值域为 [−1,+∞).14.(2021·同步练习)已知函数f(x)=3−2log2x,g(x)=log2x.【知识点】对数函数及其性质、函数的零点分布(1) 求函数y=f(x2)⋅f(√x)+2g(x)在x∈[1,4]上的零点;【答案】令f(x2)⋅f(√x)+2g(x)=0,则(3−4log2x)(3−log2x)+2log2x=0,令t=log2x,因为x∈[1,4],所以t∈[0,2],则(3−4t)(3−t)+2t=0,即4t2−13t+9=0,(舍去).解得t=1或t=94故log2x=1,即x=2,故所求零点为2.(2) 若函数ℎ(x)=[f(x)+1]⋅g(x)−k在x∈[1,4]上有零点,求k的取值范围.【答案】由题意得ℎ(x)=(4−2log2x)⋅log2x−k=−2(log2x−1)2+2−k,令t=log2x,因为x∈[1,4],所以t∈[0,2],令ℎ(x)=0,则k=−2(t−1)2+2.因为t∈[0,2],所以−2(t−1)2+2∈[0,2],所以0≤k≤2,所以k的取值范围为[0,2].。
高中数学必修一第二章一、单选题1.已知集合A ={x‖x ―2|<1}, B ={x |x 2―2x ―3<0}.则A ∩B =A .{x |1<x <3}B .{x |―1<x <3}C .{x |―1<x <2}D .{x |x >3}2.下列结论成立的是( )A .若ac >bc ,则a >bB .若a >b ,则a 2>b 2C .若a >b ,c <d ,则a+c >b+dD .若a >b ,c >d ,则a ﹣d >b ﹣c3.已知关于 x 的不等式 a x 2―2x +3a <0 在 (0,2] 上有解,则实数 a 的取值范围是( )A .(―∞,33)B .(―∞,47)C .(33,+∞)D .(47,+∞)4.当x >3时,不等式x+1x ―1≥a 恒成立,则实数a 的取值范围是( ) A .(﹣∞,3]B .[3,+∞)C .[ 72,+∞)D .(﹣∞, 72]5.下列不等式恒成立的是( )A .a 2+b 2≤2abB .a +b ≥―2|ab |C .a 2+b 2≥―2abD .a +b ≤2|ab |6.已知 x >2 ,函数 y =4x ―2+x 的最小值是( ) A .5B .4C .8D .67.设正实数x ,y ,z 满足x 2―3xy +4y 2―z =0,则当xy z取得最大值时,2x +1y ―2z 的最大值是( )A .0B .1C .94D .38.已知正数x ,y 满足x+y =1,且 x 2y +1+y 2x +1≥m ,则m 的最大值为( ) A .163B .13C .2D .4二、多选题9.设正实数a ,b 满足a +b =1,则( )A .a 2b +b 2a ≥14B .1a +2b +12a +b ≥43C .a 2+b 2≥12D .a 3+b 3≥1410.若a ,b ∈(0,+∞),a +b =1,则下列说法正确的有( )A .(a +1a)(b +1b )的最小值为4B .1+a +1+b 的最大值为6C.1a +2b的最小值为3+22D.2aa2+b+ba+b2的最大值是3+23311.已知a,b是正实数,若2a+b=2,则( )A.ab的最大值是12B.12a+1b的最小值是2C.a2+b2的最小值是54D.14a+b+2a+b的最小值是3212.已知a,b,c为实数,则下列命题中正确的是( )A.若a c2<bc2,则a<b B.若ac>bc,则a>bC.若a>b,c>d,则a+c>b+d D.若a<b<0,则1a >1 b三、填空题13.不等式﹣2x(x﹣3)(3x+1)>0的解集为 .14.已知正实数x,y满足xy―x―2y=0,则x+y的最小值是 . 15.已知a,b均为正数,且ab―a―2b=0,则a24+b2的最小值为 .16.以max A表示数集A中最大的数.已知a>0,b>0,c>0,则M=max{1c +ba,1ac+b,ab+c}的最小值为 四、解答题17.已知U=R且A={x∣x2―5x―6<0},B={x∣―4≤x≤4},求:(1)A∪B;(2)(C U A)∩(C U B).18.解下列关于x的不等式:(1)x2―2x―3≤0;(2)―x2+4x―5>0;(3)x2―ax+a―1≤019.已知关于x的不等式2x2+x>2ax+a(a∈R).(1)若a=1,求不等式的解集;(2)解关于x的不等式.20.某县一中计划把一块边长为20米的等边三角形ABC的边角地辟为植物新品种实验基地,图中DE 需把基地分成面积相等的两部分,D在AB上,E在AC上.(1)设AD=x(x≥10),ED=y,试用x表示y的函数关系式;(2)如果DE是灌溉输水管道的位置,为了节约,则希望它最短,DE的位置应该在哪里?如果DE 是参观线路,则希望它最长,DE的位置又应该在哪里?说明理由.答案解析部分1.【答案】A2.【答案】D3.【答案】A4.【答案】D5.【答案】C6.【答案】D7.【答案】B8.【答案】B9.【答案】B,C,D10.【答案】B,C,D11.【答案】A,B12.【答案】A,C,D13.【答案】(﹣∞,﹣1)∪(0,3)314.【答案】3+2215.【答案】816.【答案】217.【答案】(1)解:因为A={x∣x2―5x―6<0}=(―1,6),且B={x∣―4≤x≤4}=[―4,4],则A ∪B=[―4,6).(2)解:由(1)可知,A=(―1,6),B=[―4,4],则C U A=(―∞,―1]∪[6,+∞),C U B=(―∞,―4)∪(4,+∞),所以(C U A)∩(C U B)=(―∞,―4)∪[6,+∞).18.【答案】(1)解:x2―2x―3≤0,(x―3)(x+1)≤0⇒x≤―1或x≥3,故解集为: (―∞,―1]∪[3,+∞).(2)解:―x2+4x―5>0,∴x2―4x+5<0⇒(x―2)2+1<0⇒x无解,故解集为: ∅(3)解:x2―ax+a―1≤0,∴[x―(a―1)](x―1)≤0,当a―1<1,即a<2时,解集为[a―1,1],当a―1=1,即a=2时,解集为x=1,当 a ―1>1 ,即 a >2 时,解集为 [1,a ―1] .所以:当 a <2 时,解集为 [a ―1,1] ,当 a =2 时,解集为 x =1 ,当 a >2 时,解集为 [1,a ―1] .19.【答案】(1)解:2x 2+x >2ax +a ,∴x (2x +1)>a (2x +1),∴(x ―a )(2x +1)>0,当a =1时,可得解集为{x |x >1或x <―12}.(2)对应方程的两个根为a ,―12,当a =―12时,原不等式的解集为{x |x ≠―12},当a >―12时,原不等式的解集为{x |x >a 或x <―12},当a <―12时,原不等式的解集为{x |x <a 或x >―12}.20.【答案】(1)解:∵△ABC 的边长是20米,D 在AB 上,则10≤x≤20,S △ADE = 12S △ABC ,∴12 x•AEsin60°= 12 • 34 •(20)2,故AE= 200x,在三角形ADE 中,由余弦定理得:y= x 2+4⋅104x 2―200 ,(10≤x≤20);(2)解:若DE 作为输水管道,则需求y 的最小值, ∴y= x 2+4⋅104x 2―200 ≥ 400―200 =10 2 ,当且仅当x 2= 4⋅104x 2即x=10 2 时“=”成立.。
高中数学单元测试题必修1第一章《集合》一、选择题:在每小题给出的四个选项中,只有一项是符合题目要求的,请把正确答案的代号填在题后的括号内(每小题5分,共60分).1.下列集合的表示法正确的是( A )A .}1|{}1|{=+==+y x y y x xB .第二、四象限内的点集可表示为{}(,)0,,x y xy x R y R ≤∈∈;C .集合{}1,2,2,5,7;D .不等式14x -<的解集为{}5x <2.已知集合}1,1{-=A ,}1|{==mx x B ,且A B A = ,则m 的值为A .1B .1-C .1或1-D .1或1-或0 3.设全集}7,6,5,4,3,2,1{=U ,集合}5,3,1{=A ,集合}5,3{=B ,则A .U AB = B .()U U A B = ðC .()U U A B = ðD .()()U U U A B = 痧4.设U ={1,2,3,4} ,若A B ={2},(){4}U A B = ð,()(){1,5}U U A B = 痧, 则下列结论正确的是A .A ∉3且B ∉3 B .A ∈3且B ∉3C .A ∉3且B ∈3D .A ∈3且B ∈35.设全集是实数集R ,{|22}M x x =-≤≤,N x x =<{|}1,则R M N ð等于A .{|}x x <-2B .{|}x x -<<21C .{|}x x <1D .{|}x x -≤<216.设U 为全集,Q P ,为非空集合,且P ÜQ ÜU ,下面结论中不正确...的是 A .()U P Q U = ð B .()U P Q = ðφ C .P Q Q =D .()U Q P = ðφ7.下列四个集合中,是空集的是 A .}33|{=+x x B .},,|),{(22R y x x y y x ∈-=C .}0|{2≤x x D .}01|{2=+-x x x8.设集合},412|{Z k k x x M ∈+==,},214|{Z k k x x N ∈+==,则 A .M N = B .M ÜNC .N ÜMD .M N ϕ=9.表示图形中的阴影部分A .()()A CBC B .()()A B A CC .()()A B B CD .()A B C 10.已知全集{1,2,3,4,5,6,7},{3,4,5},{1,3,6}U M N ===,则集合{2,7}等于A .M NB .U U M N 痧C .U U M N 痧D .M N 11.满足{1,2,3} ÜM Ü{1,2,3,4,5,6}的集合M 的个数是A .8B .7C .6D .512.下列命题之中,U 为全集时,不正确的是A .若AB = φ,则()()U U A B U = 痧 B .若A B = φ,则A = φ或B = φC .若A B = U ,则()()U U A B = 痧φD .若A B = φ,则==B A φ 二、填空题:请把答案填在题中横线上(每小题5分,共20分).13.若集合{(,)|20240}{(,)|3}x y x y x y x y y x b +-=-+=⊆=+且,则b = .14.设集合}0|),{(111=++=c x b x a y x A ,}0|),{(222=++=c x b x a y x B ,则方程)(111c x b x a ++0)(222=++c x b x a 的解集为 .15.已知集合}023|{2=+-=x ax x A 至多有一个元素,则a 的取值范围 .16.设集合{|12},{|}M x x N x x a =-≤<=≤,若M N ≠∅ ,则a 范围是 .三、解答题:解答应写出文字说明、证明过程或演算步骤(共70分).17.(10分)已知集合A ={x |x =m 2-n 2,m ∈Z ,n ∈Z},求证:(1)3∈A ; (2)偶数4k -2 (k ∈Z)不属于A.CB A18.(12分)(1)P ={x |x 2-2x -3=0},S ={x |ax +2=0},S ⊆P ,求a 取值.(2)A ={-2≤x ≤5} ,B ={x |m +1≤x ≤2m -1},B ⊆A,求m 的取值范围.19.(12分)在1到100的自然数中有多少个能被2或3整除的数?20.(12分)已知集合22{|320},{|20}A x x x B x x x m =-+==-+=且=B A ,A 求m的取值范围.21.设}019|{22=-+-=a ax x x A ,}065|{2=+-=x x x B ,}082|{2=-+=x x x C .①当A B =A B 时,求a 的值;②当φÜA B ,且A C =φ时,求a 的值; ③当A B =A C ≠φ时,求a 的值;(12分)22.(12分)设1a ,2a ,3a ,4a ,5a 为自然数,A={1a ,2a ,3a ,4a ,5a }, B={21a ,22a ,23a ,24a ,25a },且1a <2a <3a <4a <5a ,并满足A ∩B={1a ,4a }, 1a +4a =10,A ∪B 中各元素之和为256,求集合A ?高中数学单元测试题必修1第一章《集合》一、选择题:在每小题给出的四个选项中,只有一项是符合题目要求的,请把正确答案的代号填在题后的括号内(每小题5分,共60分).1.下列集合的表示法正确的是( A )A .}1|{}1|{=+==+y x y y x xB .第二、四象限内的点集可表示为{}(,)0,,x y xy x R y R ≤∈∈;C .集合{}1,2,2,5,7;D .不等式14x -<的解集为{}5x <已知集合{(,)|2},{(,)|4}M x y x y N x y x y =+==-=,那么集合M N 为(D )A .3,1x y ==-B .(3,1)-C .{3,1}-D .{(3,1)}-2.已知集合}1,1{-=A ,}1|{==mx x B ,且A B A = ,则m 的值为(D ) A .1 B .1- C .1或1- D .1或1-或03.设全集}7,6,5,4,3,2,1{=U ,集合}5,3,1{=A ,集合}5,3{=B ,则(C ) A .U A B = B .()U U A B = ð C .()U U A B = ð D .()()U U U A B = 痧4.设U ={1,2,3,4} ,若A B ={2},(){4}U A B = ð,()(){1,5}U U A B = 痧,则下列结论正确的是 ( B )A .A ∉3且B ∉3 B .A ∈3且B ∉3C .A ∉3且B ∈3D .A ∈3且B ∈35.设全集是实数集R ,{|22}M x x =-≤≤,N x x =<{|}1,则R M N ð等于(A )A .{|}x x <-2B .{|}x x -<<21C .{|}x x <1D .{|}x x -≤<21 设集合{1,2,3,4,5,6},{|26}P Q x R x ==∈≤≤,那么下列结论正确的是(D )A .P Q P =B .P Q Q ÝC .P Q Q =D .P Q P Ü 集合{|22},{|13}A x x B x x =-<<=-≤<,那么A B = (A )A .{|23}x x -<<B .{|12}x x ≤<C .{|21}x x -<≤D .{|23}x x <<以下四个关系:φ}0{∈,∈0φ,{φ}}0{⊆,φÜ}0{,其中正确的个数是( A )A .1B .2C .3D .4 下列五个写法:①{}{}00,1,2;∈②{}0;∅⊆③{}{}0,1,21,2,0;⊆④0;∈∅⑤0 ∅.=∅ 其中错误..写法的个数为 (C ) A .1 B .2 C .3 D .4 如果集合{}1->=x x P ,那么 (D )A .P ⊆0B .{}P ∈0C .P ∈∅D .{}P ⊆06.设U 为全集,Q P ,为非空集合,且P ÜQ ÜU ,下面结论中不正确...的是 ( B ) A .()U P Q U = ð B .()U P Q = ðφ C .P Q Q =D .()U Q P = ðφ 7.下列四个集合中,是空集的是 ( D )A .}33|{=+x xB .},,|),{(22R y x x y y x ∈-=C .}0|{2≤x xD .}01|{2=+-x x x8.设集合},412|{Z k k x x M ∈+==,},214|{Z k k x x N ∈+==,则 ( B ) A .M N = B .M ÜNC .N ÜMD .M N ϕ= 已知集合 },61|{Z m m x x M ∈+==,},312|{Z n n x x N ∈-==, =P x x |{+=2p },61Z p ∈,则P N M ,,的关系 (B ) A .N M =ÜP B .M ÜP N = C .M ÜN ÜP D . N ÜP ÜM设集合},3|{Z k k x x M ∈==,},13|{Z k k x x P ∈+==,},13|{Z k k x x Q ∈-==,若Q c P b M a ∈∈∈,,,则∈-+c b a( C ) A .M B . P C .Q D .P M ⋃9.表示图形中的阴影部分( A )A .()()A CBC B .()()A B A CC .()()A B B CD .()A B CB A10.已知全集{1,2,3,4,5,6,7},{3,4,5},{1,3,6}U M N ===,则集合{2,7}等于( B )A .M NB .U U M N 痧C .U U M N 痧D .M N 11.满足{1,2,3} ÜM Ü{1,2,3,4,5,6}的集合M 的个数是(C ) A .8 B .7 C .6 D .5满足{,}M N a b = 的集合N M ,共有(C )A .7组B .8组C .9组D .10组 满足条件{1}{1,2,3}M = 的集合M 的个数是 ( C )A .4B .3C .2D .112.下列命题之中,U 为全集时,不正确的是 (B )A .若AB = φ,则()()U U A B U = 痧 B .若A B = φ,则A = φ或B = φC .若A B = U ,则()()U U A B = 痧φD .若A B = φ,则==B A φ 二、填空题:请把答案填在题中横线上(每小题5分,共20分).13.若集合{(,)|20240}{(,)|3}x y x y x y x y y x b +-=-+=⊆=+且,则b =2.14.设集合}0|),{(111=++=c x b x a y x A ,}0|),{(222=++=c x b x a y x B ,则方程)(111c x b x a ++0)(222=++c x b x a 的解集为A ∪B.15.已知集合}023|{2=+-=x ax x A 至多有一个元素,则a 的取值范围a =0或89≥a . 16.设集合{|12},{|}M x x N x x a =-≤<=≤,若M N ≠∅ ,则a 范围是{|1}a a -?设集合(]{}2,,|1,M m P y y x x R =-∞==-∈,若M P =∅ ,则实数m 范围是(D ) A .1m ≥- B .1m >- C .1m ≤- D .1m <-三、解答题:解答应写出文字说明、证明过程或演算步骤(共70分).17.(10分)已知集合A ={x |x =m 2-n 2,m ∈Z ,n ∈Z},求证:(1)3∈A ; (2)偶数4k -2 (k ∈Z)不属于A.证明:(1)3=22-12 ∴3∈A ;(2)设4k -2∈A,得存在m,n ∈Z,使4k -2=m 2-n 2成立.(m -n )(m +n )=4k -2,当m,n 同奇或同偶时,m -n,m +n 均为偶数.∴(m -n )(m +n )为4的倍数,与4k -2不是4 倍数矛盾.当m,n 同分别为奇,偶数时,m -n,m +n 均为奇数.(m -n)(m +n )为奇数,与4k -2是偶数矛盾.∴4k -2∉A18.(12分)(1)P ={x |x 2-2x -3=0},S ={x |ax +2=0},S ⊆P ,求a 取值.(2)A ={-2≤x ≤5} ,B ={x |m +1≤x ≤2m -1},B ⊆A,求m 的取值范围.解:(1)a =0,S =φ,φ⊆P 成立 a ≠0,S ≠φ,由S ⊆P ,P ={3,-1}得3a +2=0,a =23-或-a +2=0,a =2; ∴a 值为0或23-或2. (2)B =φ,即m +1>2m -1,m <2 φ⊆A 成立.B≠φ,由题得121,21,215m m m m +≤-⎧⎪-≤+⎨⎪-≤⎩得2≤m ≤3,∴m <2或2≤m ≤3 , 即m ≤3为取值范围.注:(1)特殊集合φ作用,常易漏掉;(2合思想常使集合问题简捷比. 用描述法表示图中的阴影部分(包括边界)解:}0,121,231|),{(≥≤≤-≤≤-xy y x y x19.(12分)在1到100的自然数中有多少个能被2或3整除的数?解:设集合A 为能被2整除的数组成的集合,集合B 为能被3整除的数组成的集合,则A B 为能被2或3整除的数组成的集合,A B 为能被2和3(也即6)整除的数组成的集合.显然集合A 中元素的个数为50,集合B 中元素的个数为33,集合A B 中元素的个数为16,可得集合A B 中元素的个数为50+33-16=67.某市数、理、化竞赛时,高一某班有24名学生参加数学竞赛,28名学生参加物理竞赛,19名学生参加化学竞赛,其中参加数、理、化三科竞赛的有7名,只参加数、物两科的有5名,只参加物、化两科的有3名,只参加数、化两科的有4名。
中学数学必修四第一章三角函数一、选择题(60分)1.将-300o 化为弧度为( ) A .-43π;B .-53π;C .-76π;D .-74π; 2.假如点)cos 2,cos (sin θθθP 位于第三象限,那么角θ所在象限是( ) A.第一象限 B.其次象限 C.第三象限 D.第四象限3.下列选项中叙述正确的是 ( )A .三角形的内角是第一象限角或其次象限角B .锐角是第一象限的角C .其次象限的角比第一象限的角大D .终边不同的角同一三角函数值不相等 4.下列函数中为偶函数的是( )A .sin ||y x =B .2sin y x =C .sin y x =-D .sin 1y x =+ 5已知函数sin()y A x B ωϕ=++的一部分图象如右图所示,假如0,0,||2A πωϕ>><,则( )C.6πϕ=A.4=AB.1ω=6.函数3sin(2)6y x π=+的单调递减区间( )A5,1212k k ππππ⎡⎤-+⎢⎥⎣⎦()k Z ∈B .511,1212k k ππππ⎡⎤++⎢⎥⎣⎦()k Z ∈C .,36k k ππππ⎡⎤-+⎢⎥⎣⎦()k Z ∈D .2,63k k ππππ⎡⎤++⎢⎥⎣⎦()k Z ∈7.已知α是三角形的一个内角,且32cos sin =+αα,则这个三角形( ) A .锐角三角形 B .钝角三角形C .不等腰的直角三角形D .等腰直角三角形8.)2cos()2sin(21++-ππ等于 ( )A .sin2-cos2B .cos2-sin2C .±(sin2-cos2)D .sin2+cos29.若角α的终边落在直线y =2x 上,则sin α的值为( ) A. 15± B. 55±C. 255±D. 12± 10.函数y=cos 2x –3cosx+2的最小值是 () A .2B .0C .41D .611.假如α在第三象限,则2α必定在()A .第一或其次象限B .第一或第三象限C .第三或第四象限D .其次或第四象 12.已知函数)sin(φϖ+=x A y 在同一周期内,当3π=x 时有最大值2,当x=0时有最小值-2,那么函数的解析式为( )A .x y 23sin 2=B .)23sin(2π+=x y C .)23sin(2π-=x y D .x y 3sin 21=二.填空题(20分)14、已知角α的终边经过点P(3,3),则与α终边相同的角的集合是______ 13.1tan 、2tan 、3tan 的大小依次是 14.函数()lg 1tan y x =-的定义域是 .16.函数sin(2)6y x π=-+的单调递减区间是 。
高中数学《点、直线、平面之间的位置关系》单元测试题(120分钟 150分)一、选择题(本大题共12小题,每小题5分,共60分.在每小题给出的四个选项中,只有一项是符合题目要求的)1.若a,b是异面直线,直线c∥a,则c与b的位置关系是( )A.相交B.异面C.平行D.异面或相交2.下列命题正确的是( )A.一直线与一个平面内的无数条直线垂直,则此直线与平面垂直B.两条异面直线不能同时垂直于一个平面C.直线与平面所成的角的取值范围是:0°<θ≤180°D.两异面直线所成的角的取值范围是:0°<θ<90°3.棱柱的一条侧棱所在的直线与不含这条侧棱的侧面所在的平面的位置关系是( )A.平行B.相交词C.平行或相交D.不相交4.设a,b是空间两条垂直的直线,且b∥平面α,则在“a∥α”“a α”“a∩α”这三种情况中,能够出现的情况有( )A.0个B.1个C.2个D.3个5.已知一平面平行于两条异面直线,一直线与两异面直线都垂直,那么这个平面与这条直线的位置关系是( )A.平行B.垂直C.斜交D.不能确定6.已知m,n为异面直线,m⊥平面α,n⊥平面β.直线l满足l⊥m,l⊥n,l⊄α,l⊄β,则( )A.α∥β且l∥αB.α⊥β且l⊥β[来C.α与β相交,且交线垂直于lD.α与β相交,且交线平行于l7.BC是Rt△ABC的斜边,PA⊥平面ABC,PD⊥BC于D点,则图中共有直角三角形的个数是( )A.8个B.7个C.6个D.5个8.以下说法中,正确的个数为( )①已知直线a,b和平面α.若a∥b,a∥α,则b∥α;②已知直线a,b,c和平面α.a是斜线,与平面α相交,b是射影所在直线,c α,且c⊥b,则c⊥a;③三个平面两两相交,且它们的交线各不相同,则这三条交线互相平行;④已知平面α,β,若α∩β=a,b⊥a,则b⊥α或b⊥β.A.1个B.2个C.3个D.4个9.已知点O为正方体ABCD -A1B1C1D1的底面ABCD的中心,则下列结论正确的是( )A.直线OA1⊥平面AB1C1B.直线OA1∥平面CB1D1C.直线OA1⊥直线ADD.直线OA1∥直线BD110.某四棱台的三视图如图所示,则该四棱台的体积是( )A.4B.C.D.611.已知直二面角α-l-β,点A∈α,AC⊥l,C为垂足,B∈β,BD⊥l,D为垂足,若AB=2,AC=BD=1,则CD= ( )A.2B.C.D.112.如图所示,在正四棱锥S-ABCD(顶点S在底面ABCD上的射影是正方形ABCD的中心)中,E是BC的中点,P点在侧面△SCD内及其边界上运动,并且总是保持PE ⊥AC.则动点P的轨迹与△SCD组成的相关图形最有可能是图中的( )二、填空题(本大题共4小题,每小题5分,共20分.请把正确答案填在题中的横线上)13.如图,直四棱柱ABCD-A1B1C1D1的底面是边长为1的正方形,侧棱长AA1=,则异面直线A1B1与BD1所成的角大小等于.14.如图,AB是☉O的直径,C是圆周上不同于A,B的点,PA垂直于☉O所在的平面,AE⊥PB于E,AF⊥PC于F,因此, ⊥平面PBC.(填图中的一条直线)15.四棱锥S-ABCD的底面ABCD是正方形,AC与BD相交于点O,且SO⊥平面ABCD,若四棱锥S-ABCD的体积为12,底面对角线的长为2,则侧面与底面所成的二面角等于.16.如图,正方体ABCD-A1B1C1D1的棱长为1,P为BC的中点,Q为线段CC1上的动点,过点A,P,Q的平面截该正方体所得的截面记为S.则下列命题正确的是(写出所有正确命题的编号).①当0<CQ<时,S为四边形;②当CQ=时,S为等腰梯形;③当CQ=时,S与C1D1的交点R满足C1R=;④当<CQ<1时,S为六边形;⑤当CQ=1时,S的面积为.三、解答题(本大题共6小题,共70分,解答时写出必要的文字说明、证明过程或演算步骤)17.(10分)在长方体ABCD-A1B1C1D1中,E为AB的中点,F为AA1的中点,求证:CE,D1F,DA三线交于一点.18.(12分)如图,圆锥SO中,AB,CD为底面圆的两条直径,AB∩CD=O,且AB⊥CD,SO=OB=2,P为SB的中点.(1)求证:SA∥平面PCD.(2)求异面直线SA与PD所成角的正切值.19.(12分)如图,AB是圆O的直径,PA垂直于圆O所在的平面,C是圆上的点.(1)求证:平面PAC⊥平面PBC.(2)设Q为PA的中点,G为△AOC的重心,求证:QG∥平面PBC.20.(12分)如图所示,在棱长为2的正方体ABCD-A1B1C1D1中,E,F分别为DD1,DB的中点.(1)求证:EF∥平面ABC1D1 .(2)求证:EF⊥B1C.(3)求三棱锥B1-EFC的体积.21.(12分)(能力挑战题)在正三棱柱ABC-A1B1C1(底面三角形ABC是正三角形的直棱柱)中,点D,E分别是BC,B1C1的中点,BC1∩B1D=F,BC1⊥B1D.求证:(1)平面A1EC∥平面AB1D.(2)平面A1BC1⊥平面AB1D.22.(12分)(能力挑战题)如图,已知直角梯形ACDE所在的平面垂直于平面ABC,∠BAC=∠ACD=90°,∠EAC=60°,AB=AC=AE.(1)在直线BC上是否存在一点P,使得DP∥平面EAB?请证明你的结论.(2)求平面EBD与平面ABC所成的锐二面角θ的余弦值.高中数学《点、直线、平面之间的位置关系》单元测试题参考答案1.【解析】选D.根据空间两条直线的位置关系和公理4可知c与b异面或相交,但不可能平行.2.【解析】选B.A.错误.一直线与一个平面内的无数条直线垂直,并不意味着和平面内的任意直线垂直,所以此直线与平面不一定垂直.B.正确.由线面垂直的性质定理可知,两条异面直线不能同时垂直于一个平面.C.错误.直线与平面所成的角的取值范围是:0°≤θ≤90°.D.错误.两异面直线所成的角的取值范围是:0°<θ≤90°.3.【解析】选A.因为棱柱的侧棱是互相平行的,所以由直线与平面平行的判定定理可知,侧棱所在的直线与不含这条侧棱的侧面所在的平面平行.4.【解析】选D.如图正方体中,b∥平面α,直线a是在直线b的垂面内的任意直线(与b异面).由图可知,“a∥α”“a α”“a∩α”三种情况都有可能.5.【解析】选B.根据线面平行的性质,在已知平面内可以作出两条相交直线与已知两条异面直线分别平行.因此,一直线与两异面直线都垂直,一定与这个平面垂直.6.【解析】选D.因为m,n为异面直线,所以过空间内一点P,作m′∥m,n′∥n,则l⊥m′,l⊥n′,即l垂直于m′与n′确定的平面γ,又m⊥平面α,n⊥平面β,所以m′⊥平面α,n′⊥平面β,所以平面γ既垂直于平面α,又垂直于平面β,所以α与β相交,且交线垂直于平面γ,故交线平行于l,故选D.7.【解析】选A.因为PA⊥平面ABC,所以PA⊥BC,因为PD⊥BC,PA∩PD=P,所以BC⊥平面PAD,所以AD⊥BC,图中直角三角形有△PAC,△PAD,△PAB,△ABC,△PDC,△PDB,△ADC,△ADB,共8个.8.【解析】选A.①错误.直线b的位置不确定,直线b可以在α内,也可以平行于α.②正确.c同时垂直于斜线和射影.③错误.例如,长方体同一顶点的三个面.④错误.没有说明b是否在平面α或β内,则b可以在这两个平面外.9.【解析】选B.可证平面A1BD∥平面CB1D1.10.【解析】选B.四棱台的上下底面均为正方形,两底面边长和高分别为1,2,2, V棱台=(S上+S下+)h=(1+4+)×2=.11.【解析】选C.根据题意,直二面角α-l-β,点A∈α,AC⊥l,可得AC⊥平面β,则AC⊥CB,△ACB为直角三角形,且AB=2,AC=1,由勾股定理可得,BC=;在Rt△BCD中,BC=,BD=1,由勾股定理可得,CD=.12.【解析】选A.如图所示,连接BD与AC相交于点O,连接SO,取SC的中点F,取CD的中点G,连接EF,EG,FG,因为E,F分别是BC,SC的中点,所以EF∥SB,EF⊄平面SBD,SB 平面SBD,所以EF∥平面SBD,同理可证EG∥平面SBD,又EF∩EG=E,所以平面EFG∥平面SBD,由题意得SO⊥平面ABCD,AC⊥SO,因为AC⊥BD,又SO∩BD=O,所以AC⊥平面SBD,所以AC⊥平面EFG,所以AC⊥GF,所以点P在直线GF上.【变式备选】如图,点P在正方体ABCD-A1B1C1D1的面对角线BC1上运动,则下列四个结论:①三棱锥A-D1PC的体积不变;②A1P∥平面ACD1;③DP⊥BC1;④平面PDB1⊥平面ACD1.其中正确的结论的个数是( )A.1个B.2个C.3个D.4个【解析】选C.①正确.易证BC 1∥平面ACD 1,所以点P 在正方体ABCD-A 1B 1C 1D 1的面对角线BC 1上运动时,点P 到平面ACD 1的距离不变.又因为11A D PC P ACD V V ,--=所以三棱锥A-D 1PC 的体积不变.②正确.易证平面A 1BC 1∥平面ACD 1,所以A 1P ∥平面ACD 1;③错误.因为DB=DC 1,所以当点P 是BC 1的中点时,DP ⊥BC 1;④正确.因为B 1D ⊥平面ACD 1,所以平面PDB 1⊥平面ACD 113.【解析】因为A 1B 1∥AB,所以∠ABD 1是异面直线A 1B 1与BD 1所成的角,在Rt △ABD 1中,∠BAD 1=90°,AB=1,AD 1===, 所以tan ∠ABD 1==,所以∠ABD 1=60°.答案:60°14.【解析】因为AB是☉O的直径,C是圆周上不同于A,B的点,所以BC⊥AC,因为PA垂直于☉O所在的平面,所以BC⊥PA,又PA∩AC=A,所以BC⊥平面PAC,又AF 平面PAC,所以AF⊥BC,又AF⊥PC,BC∩PC=C,所以AF⊥平面PBC.答案:AF15.【解析】取BC的中点E,连接OE,SE,因为OB=OC,所以OE⊥BC,因为SO⊥平面ABCD,所以SO⊥BC,所以BC⊥平面SOE,所以∠SEO是侧面SBC与底面ABCD所成的二面角,因为正方形ABCD的对角线长为2,所以正方形ABCD的边长为2,OE=,由题意得×(2)2×SO=12,所以SO=3,所以tan∠SEO===,所以∠SEO=60°.答案:60°16.【解析】(1)当0<CQ<时,截面如图1所示,截面是四边形APQM,故①正确.(2)当CQ=时,截面如图2所示,易知PQ∥AD1且PQ=AD1,S是等腰梯形,故②正确.(3)当CQ=时,截面如图3所示,易得C1R=,截面是五边形,故③正确.(4)当<CQ<1时,如图4是五边形,故④不正确.(5)当CQ=1时,截面是边长相等的菱形如图5所示,由勾股定理易求得AC1=,MP=,故其面积为S=×AC1×MP=,故⑤正确.答案:①②③⑤17.【解题指南】可证D1F与CE的交点P在直线AD上.【证明】连接EF,D1C,A1B,因为E为AB的中点,F为AA1的中点,所以EF∥A1B,EF=A1B,又因为A1B∥D1C,所以EF∥D1C,所以E,F,D1,C四点共面,且EF=D1C,设D1F与CE相交于点P.又D1F⊂平面A1D1DA,CE⊂平面ABCD,所以P为平面A1D1DA与平面ABCD的公共点, 又平面A1D1DA∩平面ABCD=DA,根据公理3可得P∈DA,即CE,D1F,DA三线交于一点.18.【解析】(1)连接PO,因为P,O分别为SB,AB的中点,所以PO∥SA, 因为PO⊂平面PCD,SA⊄平面PCD,所以SA∥平面PCD.(2)因为PO∥SA,所以∠DPO为异面直线SA与PD所成的角,因为AB⊥CD,SO⊥CD,AB∩SO=O,所以CD⊥平面SOB.因为PO⊂平面SOB,所以OD⊥PO,在Rt△DOP中,OD=2,O P=SA=SB=,所以tan∠DPO===,所以异面直线SA与PD所成角的正切值为.19.【证明】(1)由AB是圆的直径,得AC⊥BC;由PA垂直于圆所在的平面,得PA⊥平面ABC.又BC⊂平面ABC,得PA⊥BC. 又PA∩AC=A,PA⊂平面PAC,AC⊂平面PAC,所以BC⊥平面PAC.又BC⊂平面PBC,所以平面PAC⊥平面PBC.(2)连接OG并延长交AC于M,连接QM,QO.由G为△AOC的重心,知M为AC的中点,由Q为PA的中点,得QM∥PC,又因为QM⊄平面PBC,PC⊂平面PBC,所以QM∥平面PBC.又由O为AB的中点,得OM∥BC.同理可证,OM∥平面PBC.因为QM∩OM=M,QM⊂平面QMO,OM⊂平面QMO,所以,据面面平行的判定定理得,平面QMO∥平面PBC.又QG⊂平面QMO,故QG∥平面PBC.20.【解析】(1)连接BD1,在△DD1B中,E,F分别为D1D,DB的中点,则EF∥D1B,因为EF∥D1B,D1B⊂平面ABC1D1,EF⊄平面ABC1D1,所以EF∥平面ABC1D1.(2)因为B1C⊥AB,B1C⊥BC1,AB,BC1⊂平面ABC1D1,AB∩BC1=B,所以B1C⊥平面ABC1D1,又B D1⊂平面ABC1D1,所以B1C⊥BD1,又因为EF∥BD1,所以EF⊥B1C.(3)因为CF⊥平面BDD1B1,所以CF⊥平面EFB1且CF=BF=,因为EF=BD1=,B 1F===,B 1E===3,所以EF 2+B 1F 2=B 1E 2,即∠EFB 1=90°, 所以111B EFC C B EF B EF 1V V S CF 3--===×·EF ·B 1F ·CF=××××=1. 21.【证明】(1)因为点D,E 分别是BC,B 1C 1的中点,所以A 1E ∥AD,EC ∥B 1D,故A 1E ∥平面AB 1D,EC ∥平面AB 1D,又A 1E ∩EC=E,所以平面A 1EC ∥平面AB 1D.(2)因为△ABC 是正三角形,点D 是BC 的中点,所以AD ⊥BC,又因为平面ABC ⊥平面BCC 1B 1,所以AD ⊥平面BCC 1B 1,所以AD ⊥BC 1,又BC 1⊥B 1D,AD ∩B 1D=D,从而BC 1⊥平面AB 1D.又BC 1⊂平面A 1BC 1,所以平面A 1BC 1⊥平面AB 1D.22.【解题指南】(1)通过线面平行的判定定理,利用平行四边形的性质作辅助线来证明.。
高中数学选修2第五章一、单选题1.现有一球形气球,在吹气球时,气球的体积V (单位:L )与直径d (单位:dm )的关系式为V =πd 36,当d =2dm 时,气球体积的瞬时变化率为( )A .2πB .πC .π2D .π42.若点P 是曲线y =lnx ―x 2上任意一点,则点P 到直线l :x +y ―6=0的距离的最小值为( )A .22B .32C .522D .9223.函数f (x )=13a x 3+12a x 2―2ax +2a +1的图象经过四个象限的一个充分必要条件是( )A .―43<a <―13B .―1<a <―12C .―2<a <0D .―65<a <―3164.根据公式sin3α=3sin α―4sin 3α,sin10°的值所在的区间是( )A .(17,16)B .(16,15)C .(15,14)D .(14,13)5.已知函数f (x )=ax +ln a ,g (x )=x +e x ―ln x ,若关于x 的不等式f (x )>g (x )在区间(0,+∞)内有且只有两个整数解,则实数a 的取值范围为( )A .(e ,e 2]B .(e ,e 22]C .(e 2,e 3]D .(e 22,e 33]6.设函数 f (x )=e xx―t (ln x +x +2x ) 恰有两个极值点,则实数 t 的取值范围是( )A .(―∞,12]B .(12,+∞)C .(12,e 3)∪(e3,+∞)D .(―∞,12]∪(e3,+∞)7.已知 f (x ) 是定义在 R 上的奇函数, f (―1)=0 ,当 x <0 时, x f ′(x )+f (x )<0 ,则使得 f (x)>0 成立的 x 的取值范围是( ) A .(―∞,―1)∪(0,1)B .(―1,0)∪(1,+∞)C .(―∞,―1)∪(―1,0)D .(0,1)∪(1,+∞)8.函数 f (x )=|x |ex ,方程 [f (x )]2―(m +1)f (x )+1―m =0 有4个不相等实根,则 m 的取值范围是( )A .(e 2―e e 2+e,1)B .(e 2―e +1e 2+e ,+∞)C .(e 2―e +1e 2+e ,1)D .(e 2―e e 2+e,+∞)二、多选题9.对任意的x∈R,函数f(x)=x3+ax2+7ax不存在极值点的充分不必要条件是( )A.0≤a≤21B.1≤a≤20C.a<0D.a=21 10.已知函数f(x)=e xx2―x+1,则下列结论正确的是( )A.函数f(x)存在极大值和极小值B.函数f(x)不存在最小值与最大值C.当x∈[0,3]时,函数f(x)最大值为eD.当x∈[12,e]时,函数f(x)最小值为e2311.已知函数f(x)=14x 4+12a x2+ax,则下面说法正确的是( )A.存在实数a,使f(x)有最小值且最小值小于0B.对任意实数a,f(x)有最小值且最小值不小于0C.存在正实数a和实数x0,使f(x)在(―∞,x0)上递减,在(x0,+∞)上递增D.对任意负实数a,存在实数x0,使f(x)在(―∞,x0)上递减,在(x0,+∞)上递增12.若f(x)图象上存在两点A,B关于原点对称,则点对[A,B]称为函数f(x)的“友情点对”(点对[A,B]与[B,A]视为同一个“友情点对”)若f(x)={x3e x,x≥0ax2,x<0恰有两个“友情点对”,则实数a的值可以是( )A.0B.―12018C.―1eD.―12021三、填空题13.函数f(x)=12x―x3在区间[―3,3]的最小值是 .14.设曲线y=e ax+sine在点(0,1)处的切线与直线x+2y+1=0垂直,则a= .15.关于x的方程kx―lnxx =2在区间[1e,e]上有两个实根,则实数k的最小值是 .16.已知函数f(x)=x3―a e x,若函数f(x)有三个极值点x1,x2,x3(x1<x2<x3),若x3≥3x2,则实数a的取值范围是 .四、解答题17.求下列函数的导数:(1)f(x)=(1+sin x)(1―4x);(2)f(x)=xx+1―2x.18.已知函数f(x)=x3-4x2+5x-4.(1)求曲线f(x)在点(2,f(2))处的切线方程;(2)求经过点A(2,-2)的曲线f(x)的切线方程.19.已知函数f (x )=x 3+a x 2+x (a ∈R )(1)若函数f (x )存在两个极值点,求a 的取值范围;(2)若f (x )≥xlnx +x 在(0,+∞)恒成立,求a 的最小值.20.设f n (x )=x+x 2+…+x n ﹣1,x≥0,n ∈N ,n≥2.(Ⅰ)求f n ′(2);(Ⅱ)证明:f n (x )在(0,23)内有且仅有一个零点(记为a n ),且0<a n ﹣12<13(23)n .21.已知函数f (x )=lnx+a (x 2﹣3x+2),其中a 为参数.(1)当a=0时,求函数f (x )在x=1处的切线方程; (2)讨论函数f (x )极值点的个数,并说明理由;(3)若对任意x ∈[1,+∞),f (x )≥0恒成立,求实数a 的取值范围.22.设函数 f (x )=1x ―eex ,g (x )=a (x 2―1)―lnx ( a ∈R , e 为自然对数的底数).(1)证明:当 x >1 时, f (x )>0 ; (2)讨论 g (x ) 的单调性;(3)若不等式 f (x )<g (x ) 对 x ∈(1,+∞) 恒成立,求实数 a 的取值范围.参考答案1.A2.B解:已知函数y=lnx―x2,可得y′=1x―2x,(x>0),直线l:x+y―6=0的斜率为-1,令y′=―1,即1x―2x=―1,可得(x―1)(2x+1)=0,因为x>0,可得x=1,则y=―1,即平行于直线l:x+y―6=0且与曲线y=lnx―x2相切的切点坐标为P(1,―1),由点到直线的距离公式,可得点P到直线l的距离为d=|1―1―6|2=32.3.D。
单元综合测试一(第一章综合测试)时间:120分钟分值:150分第Ⅰ卷(选择题,共50分)一、选择题(每小题5分,共50分)1.下列几何体是柱体的是(B)解析:A中的侧棱不平行,所以A不是柱体,C是圆锥,D是球体,B是棱柱.2.已知圆锥的表面积是底面积的3倍,那么该圆锥的侧面展开图扇形的圆心角为(C)A.120°B.150°C.180°D.240°解析:设圆锥底面半径为r,母线为l,则πrl+πr2=3πr2,得l=2r,所以展开图扇形半径为2r,弧长为2πr,所以展开图是半圆,所以扇形的圆心角为180°,故选C.3.将一个等腰梯形绕着它的较长的底边所在的直线旋转一周,所得的几何体(D) A.由一个圆台、两个圆锥构成B.由两个圆台、一个圆锥构成C.由一个圆柱、一个圆锥构成D.由一个圆柱、两个圆锥构成解析:把等腰梯形分割成两个直角三角形和一个矩形,由旋转体的定义可确定所得的几何体.等腰梯形绕着不同的边所在直线旋转一周后,得到的几何体不同,要加以细致地分析.若绕着它的较短的底边所在的直线旋转一周,所得的几何体应是圆柱两端各挖去一个圆锥;而绕着较长底边所在直线旋转一周,得到的几何体是圆柱外加两个圆锥.4.若一个正四棱锥的左视图是一个边长为2的正三角形(如图),则该正四棱锥的体积是(C)A .1 B. 3 C.433D .2 3 解析:如图,据条件可得几何体为底面边长为2的正方形,侧面是等腰三角形,斜高为2,棱锥是高为22-12的正四棱锥,故其体积V =13×4×22-12=433.故选C.5.已知直线a 和平面α,β,α∩β=l ,a ⃘α,a ⃘β,且a 在α,β内的射影分别为直线b 和c ,则b 和c 的位置关系是( D )A .相交或平行B .相交或异面C .平行或异面D .相交、平行或异面解析:由题意,若a ∥l ,则利用线面平行的判定,可知a ∥α,a ∥β,从而a 在α,β内的射影直线b 和c 平行;若a ∩l =A ,则a 在α,β内的射影直线b 和c 相交于点A ;若a ∩α=A ,a ∩β=B ,且直线a 和l 垂直,则a 在α,β内的射影直线b 和c 相交,否则直线b 和c 异面.综上所述,b 和c 的位置关系是相交、平行或异面,故选D.6.在四面体ABCD 中,下列条件不能得出AB ⊥CD 的是( D ) A .AB ⊥BC 且AB ⊥BD B .AD ⊥BC 且AC ⊥BD C .AC =AD 且BC =BD D .AC ⊥BC 且AD ⊥BD解析:①∵AB ⊥BD ,AB ⊥BC ,BD ∩BC =B ,∴AB ⊥平面BCD ,∵CD 平面BCD ,∴AB ⊥CD ,②设A 在平面BCD 射影为O ,AO ⊥平面BCD ,∵AD⊥BC,AC⊥BD,∴O为△BCD的垂心.连接BO,则BO⊥CD,AO⊥CD,∴CD⊥平面ABO.∵AB平面ABO.∴AB⊥CD,③取CD中点G,连接BG,AG,∵AC=AD且BC=BD,∴CD⊥BG,CD⊥AG,∵BG∩AG=G,∴CD⊥平面ABG,∵AB平面ABG,∴AB⊥CD,综上选项A,B,C能够得出AB⊥CD,故选D.7.一几何体的三视图如图所示,若主视图和左视图都是等腰直角三角形,直角边长为1,则该几何体外接球的表面积为(B)A.4πB.3πC.2πD.π解析:由主视图和左视图是腰长为1的两个全等的等腰直角三角形,得到这是一个四棱锥,如图.底面是一个边长是1的正方形,一条侧棱AE与底面垂直,可将此四棱锥放到一个棱长为1的正方体内,可知,此正方体与所研究的四棱锥有共同的外接球,∴四棱锥的外接球即是边长为1的正方体的外接球,外接球的直径是AC,根据直角三角形的勾股定理知AC=1+1+1=3,∴外接球的表面积是4×π×(32)2=3π,故选B.8.如图,已知圆柱体底面圆的半径为2πcm ,高为2cm ,AB ,CD 分别是两底面的直径,AD ,BC 是母线.若一只小虫从A 点出发,从侧面爬行到C 点,则小虫爬行的最短路线的长度是( C )A.233 cm B .2 3 cmC .2 2 cmD .4 cm解析:如图,在圆柱侧面展开图中,线段AC 1的长度即为所求.在Rt △AB 1C 1中,AB 1=π·2π=2 cm ,B 1C 1=2 cm ,∴AC 1=22cm ,故选C.9.已知圆锥的底面圆周及顶点均在球面上,若圆锥的轴截面为正三角形,则圆锥的体积与球的体积之比为( D )A .2732B .38C .3316 D .932解析:设球的半径为R ,圆锥的高为h ,底面圆的半径为r ,则圆锥的母线长为2r ,结合图形(图略)可得2r =2R cos30°=3R ,所以,r =32R ,圆锥的高为h =(2r )2-r 2=3r =3×32R =32R ,所以,圆锥的体积为13πr 2h =13π×⎝⎛⎭⎫32R 2×32R =3πR 38,因此,圆锥的体积与球的体积之比为3πR 384πR 33=38×34=932. 10.如图,三棱锥S -ABC 中,∠SBA =∠SCA =90°,△ABC 是斜边AB =a 的等腰直角三角形,则以下结论中:①异面直线SB 与AC 所成的角为90°; ②直线SB ⊥平面ABC ; ③平面SBC ⊥平面SAC ; ④点C 到平面SAB 的距离是12a .其中正确的个数是( D ) A .1 B .2 C .3 D .4解析:由题意知AC ⊥平面SBC ,故AC ⊥SB ,故①正确;再根据SB ⊥AC 、SB ⊥AB ,可得SB ⊥平面ABC ,平面SBC ⊥平面SAC ,故②③正确; 取AB 的中点E ,连接CE ,可证得CE ⊥平面SAB ,故CE 的长度即为C 到平面SAB 的距离为12a ,④正确,故选D.第Ⅱ卷(非选择题,共100分) 二、填空题(每小题5分,共25分)11.若圆锥的侧面积为3π,底面积为π,则该圆锥的体积为223π.解析:根据题意,圆锥的底面积为π,则其底面半径是1,底面周长为2π,又12×2πl =3π,∴圆锥的母线为3,则圆锥的高32-12=22,所以圆锥的体积13π×12×22=223π.故答案为:223π.12.如图,正方形DABC 的边长为2,它是水平放置的一个平面图形的直观图,则原图形的面积为8 2.解析:根据题意,画出图形,如图所示:把该平面图形的直观图还原为原来的图形,如图所示:∴四边形A ′B ′C ′D ′是平行四边形,且A ′D ′=AD =2,B ′D ′=2BD =42,∴平行四边形A ′B ′C ′D ′的面积是A ′D ′·B ′D ′=2×42=8 2.13.在四面体ABCD 中,已知棱AC 的长为2,其余各棱长都为1,则二面角A -CD -B 的余弦值为33. 解析:取AC 的中点E ,取CD 的中点F (图略),则EF =12,BE =22,BF =32,结合图形知二面角A -CD -B 的余弦值cos θ=EF BF =33.14.半径为R 的半球,一正方体的四个顶点在半球的底面上,其余四个顶点在半球的球面上,则该正方体的表面积为4R 2.解析:如图,作出半球沿正方体对角面的轴截面,设正方体的棱长为a , 则a 2+⎝⎛⎭⎫22a 2=R 2,所以a 2=23R 2,所以S =6×a 2=4R 2.15.如图是古希腊数学家阿基米德的墓碑文,墓碑上刻着一个圆柱,圆柱内有一个内切球,这个球的直径恰好与圆柱的高相等,则圆柱的体积与球的体积之比和圆柱的表面积与球的表面积之比分别为32,32.解析:设球的半径为R ,则圆柱的底面半径为R ,高为2R ,所以V 圆柱=πR 2×2R =2πR 3, V 球=43πR 3,所以V 圆柱V 球=2πR 343πR 3=32,S 圆柱=2πR ×2R +2×πR 2=6πR 2,S 球=4πR 2,所以S 圆柱S 球=6πR 24πR 2=32. 三、解答题(本题共6小题,共75分.解答应写出必要的文字说明,证明过程或演算步骤)16.(本题满分12分)某几何体的三视图如图,其中俯视图的内外均为正方形,边长分别为2和4,几何体的高为3,求此几何体的表面积和体积.解:依题意得侧面的高 h ′=(2-1)2+32=10,S =S 上底+S 下底+S 侧面=22+42+4×12×(2+4)×10=20+1210,所以几何体的表面积为20+1210. 体积V =13(42+22+2×4)×3=28.17.(本题满分12分)在如图所示的几何体中,四边形ABED 是矩形,四边形ADGC 是梯形,AD ⊥平面DEFG ,EF ∥DG ,∠EDG =120°.AB =AC =FE =1,DG =2.(1)求证:AE ∥平面BFGC ; (2)求证:FG ⊥平面ADF .证明:(1)如图,连接CF,AE.∵AC∥DG,EF∥DG,∴AC∥EF,又AC=EF,∴四边形AEFC是平行四边形,∴AE∥FC,又A E⃘平面BFGC,FC平面BFGC,∴AE∥平面BFGC;(2)如图,连接DF,AF,作DG的中点为H,连接EH,∵EF∥DH,EF=DH=ED=1,∴四边形DEFH为菱形,∵EF∥HG,EF=HG,∴四边形EFGH为平行四边形,∴FG∥EH,∴FG⊥DF,∵AD⊥平面DEFG,∴AD⊥FG,∵FG⊥DF,AD∩DF=D,∴FG⊥平面ADF.18.(本题满分12分)一个圆台的母线长为12,两底面面积分别为4π,25π.(1)求这个圆台的高及截得此圆台的圆锥的母线长;(2)求这个圆台的侧面积与体积.解:(1)圆台的轴截面是等腰梯形ABCD (如图).由已知可得上底半径O 1A =2,下底半径OB =5.又∵腰长为12,∴高AM =122-(5-2)2=315,∴设截得此圆台的圆锥的母线长为x , 则由△SAO 1∽△SBO 可得 25=x -12x,解得x =20. 所以截得此圆台的圆锥的母线长为20;(2)大圆锥的底面周长为2×5π=10π,小圆锥的底面周长为2×2π=4π,这个圆台的侧面积=大圆锥侧面积-小圆锥的侧面积=12×10π×20-12×4π×(20-12)=84π.所求圆台的体积为13×(4π+4π×25π+25π)×315=3915π.19.(本题满分12分)某机器零件是如图所示的几何体(实心),零件下面是边长为10 cm 的正方体,上面是底面直径为4 cm ,高为10 cm 的圆柱.(1)求该零件的表面积;(2)若电镀这种零件需要用锌,已知每平方米用锌0.11 kg,问制造1 000个这样的零件,需要锌多少千克?(注:π取3.14)解:(1)零件的表面积S=6×10×10+4×3.14×10=725.6(cm2)=0.072 56m2.该零件的表面积为0.072 56m2.(2)电镀1 000个这种零件需要用的锌为0.072 56×0.11×1 000=7.981 6(kg).所以制造1 000个这样的零件,需要锌7.981 6千克.20.(本题满分13分)如图,直三棱柱ABC-A1B1C1的底面是边长为2的正三角形,E,F分别是BC,CC1的中点.(1)证明:平面AEF⊥平面B1BCC1;(2)若直线A1C与平面A1ABB1所成的角为45°,求三棱锥F-AEC的体积.解:(1)证明:如图,因为三棱柱ABC -A 1B 1C 1是直三棱柱,所以AE ⊥BB 1.又E 是正三角形ABC 的边BC 的中点,所以AE ⊥BC .因此AE ⊥平面B 1BCC 1.而AE 平面AEF ,所以平面AEF ⊥平面B 1BCC 1.(2)如图,设AB 的中点为D ,连接A 1D ,CD .因为△ABC 是正三角形,所以CD ⊥AB .又三棱柱ABC -A 1B 1C 1是直三棱柱,所以CD ⊥AA 1.因此CD ⊥平面A 1ABB 1,于是∠CA 1D 为直线A 1C 与平面A 1ABB 1所成的角.由题设,∠CA 1D =45°,所以A 1D =CD =32AB = 3. 在Rt △AA 1D 中,AA 1=A 1D 2-AD 2=3-1=2,所以FC =12AA 1=22. 故三棱锥F -AEC 的体积V =13S △AEC ·FC =13×32×22=612. 21.(本题满分14分)在四棱锥P -ABCD 中,底面ABCD 是矩形,AB =2,BC =a ,又侧棱P A ⊥底面ABCD .(1)当a 为何值时,BD ⊥平面P AC ?试证明你的结论;(2)当a =4时,求证:BC 边上存在一点M ,使得PM ⊥DM ;(3)若在BC 边上至少存在一点M ,使PM ⊥DM ,求a 的取值X 围.解:(1)当a =2时,ABCD 为正方形,则BD ⊥AC ,证明如下:又因为P A ⊥底面ABCD ,BD 平面ABCD ,所以BD ⊥P A ,又因为P A ∩AC =A ,所以BD ⊥平面P AC .故当a =2时,BD ⊥平面P AC .(2)证明:当a =4时,取BC 边的中点M ,AD 边的中点N ,连接AM ,DM ,MN ,如图所示.因为四边形ABMN和四边形DCMN都是正方形,所以∠AMD=∠AMN+∠DMN=45°+45°=90°,即DM⊥AM,又因为P A⊥底面ABCD,所以P A⊥DM,又AM∩P A=A,所以DM⊥平面P AM,得PM⊥DM,故当a=4时,BC边的中点M使得PM⊥DM.(3)假设BC边上存在点M,使得PM⊥DM,因为P A⊥底面ABCD,所以,M点应是以AD 为直径的圆和BC边的交点,则AD≥2AB,即a≥4为所求.。
高中数学单元测试 试题 2019.09
1,复平面内的以点(01)-,
为圆心,1为半径的圆的方程是 . 2,我们把利用随机变量2K 来确定在多大程度上可以认为“两个分类变量有关系”的方法称为两个分类变量的 . 3,
2()2x f x x =+,11x =,1()(2)n n x f x n n -=∈N 且≥,计算234x x x ,,分别为212325,,,猜想n x = .
4,某种产品的广告费用支出x 与销售额y 之间有如下的对应数据:
(1)画出散点图;
(2)求回归直线方程;
(3)据此估计广告费用为10时,销售收入y 的值.
5,已知1a b c ++=,求证:1
3ab bc ca ++≤.
6,若复数
22(1)(483)()z m m m m i m =+-+-+∈R 的共轭复数z 对应的点在第一象限,求实数m 的集合.
7,求满足2101000x <<的所有正整数x 的值,用程序框图表示出来.
8,已知2()(1)1x x f x a a x -=+>+.
(1)证明:函数()f x 在(1)-+,∞上为增函数;(2)用反证法证明:方程()0
f x =没有负数根.
9,一个公司共有240名员工,下设三部门,要采用分层抽样方法从全体员工中抽取一个容量为20的样本.已知甲部门有36名员工,那么从甲部门抽取的员工人数是 .
10,已知},......,,{321n x x x x 的平均数为a ,则23 ..., ,23 ,2321+++n x x x 的平均数是_____.
11,如图,某人向圆内投镖,如果他每次都投中圆内,那么他投中正方形区域的概率为 .
12,在大小相同的6个球中,2个是红球,4个是白球。
若从中任意选取3个,则所选的3个球至少有一个红球的概率是 .(结果用分数表示)
13,判断方程
220x x y y ++=所表示的曲线关于 对称(填x 轴或y 轴或原点).
14,双曲线218322
2-=-y x 的焦距等于 .
15,若点A 的坐标为(3,2),F 为抛物线22y x =的焦点,点P 在该抛物线上
移动,为使得PA PF +取得最小值,则P 点的坐标为 . 16,设椭圆的两个焦点分别为F 1、、F 2,过F 2作椭圆长轴的垂线交椭圆于点
P ,若△F 1PF 2为等腰直角三角形,则椭圆的离心率是 .
17,P 为椭圆22
143x y +=上的一点,M 、N 分别是圆
22(1)4x y ++= 和
22(1)1x y -+=上的点,则|PM | + |PN |的最大值为 . 18,12-的相反数是
A .12
B . 12-
C . -2
D . 2
19,下列运算中,正确的是
A .22223a a a --=-
B .221
a a -=-
C .235()a a -=
D . 236a a a =
试题答案
1, 11z +=
2, 独立性检验 3, 2
1n +
4, 解:(1)作出散点图如下图所示:
(2)求回归直线方程.
1(24568)55x -⨯++++=,1(3040605070)505y =⨯++++=, 2
2222224568145i x =++++=∑,
2
22222304060507013500
i y =++++=∑, 1380i i x y =∑,
222
513805550 6.5145555i i i
x y xy b x x --⨯⨯===-⨯-∑∑, 50 6.5517.5a y bx =-=-⨯=.
因此回归直线方程为 6.517.5y x =+;
(3)10x =时,预报y 的值为10 6.517.582.5y =⨯+=.
5, 证明:∵1a b c ++=,
2222221a b c ab bc ca +++++=∴.
又222a b ab +∵≥,222b c bc +≥,222c a ca +≥,
∴将以上三个不等式相加,得2222()2()a b c ab bc ca ++++≥,
222a b c ab bc ca ++++∴≥.
2221222a b c ab bc ca ab bc =++++++∴≥2223()ca ab bc ca ab bc ca ++++=++. 1
3ab bc ca ++∴≤.
6, 解:22(1)(483)z m m m m i =+---+,因为z 对应的点在第一象限,
2210324830m m m m m ⎧+->⎪⇒<<⎨-+<⎪⎩,∴.
∴所求m
的集合为32m m ⎧⎫⎪⎪<<⎨⎬⎪⎪⎩⎭.
7, 解:
8, 证明:(1)23
()ln (1)x f x a a x '=++.
11a x >>-,∵,ln 0x a a >∴,230(1)x >+,()0f x '>∴,
∴函数()f x 在(1
)-+,∞上为增函数; (2)假设存在000(1)x x <≠-,满足0()0f x =,则0002
1x x a x -=-+,001x a <<,
002012x x -<-<+∴, 解得0122x <<,与假设00x <矛盾.故方程()0f x =没有负数根. 9, 3
10, 3a+2 11, 2
π 12, 4
5 13, 原点 14, 20
15, (2,2)
1 17, 7 18, A 19, B。