土木工程施工习题答案中国建筑工业出版社第二版上册同济大学
- 格式:ppt
- 大小:696.07 KB
- 文档页数:1
第二章深基础工程施工一、按受力情况桩分为几类?桩上的荷载由哪些部分承担?可分为端承桩和摩擦桩。
桩上的荷载由桩端阻力和桩身摩擦力共同承担。
但,对于端承桩,极限状态下荷载主要由桩端阻力承担;而对于摩擦桩,荷载由桩端阻力和桩身摩擦力共同承担,桩身摩擦力发挥很重要的作用。
二、试述钢筋混凝土预制桩吊点设置的原则是什么?如何设置?(P56)吊点应严格按设计规定的位置绑扎。
无规定时,应按起吊弯矩最小的原则确定吊点。
绑扎设置位置P56页。
我就不信还要记那些数据!三、试述桩锤的类型及其适用范围,打桩时为什么采用重锤低击?(P57)1、落锤-常用锤重1~2吨。
适于打木桩及细长尺寸的混凝土桩;在一般土层及粘土、含有砾石的土层中均可使用。
2、单动汽锤-常用锤重3~10吨。
适于打各种桩,最适于套管法打就地灌注混凝土桩。
3、双动汽锤-常用锤重0.6~6吨。
适于打各种桩,并可用于打斜桩;使用压缩空气时,可用于水下打桩;可用于拔桩,吊锤打桩。
4、柴油桩锤-常用锤重0.6~6吨。
最适于打钢板桩、木桩;在软弱地基打12m以下的混凝土桩。
5、振动桩锤-适于打钢板桩、钢管桩、长度在15m以内的打入式灌注桩;适于粉质粘土、松散砂土、黄土和软土,不宜用于岩石、砾石和密实的粘性土地基。
6、重锤低击的原因:如果是轻锤,势必“高击”。
这样,则(1)锤击功能很大部分被桩身吸收,桩不易打入;(2)桩头易被打坏;保护层用可能震掉;轻锤高击的应力,还会使桩顶1/3桩长范围内薄弱处产生水平裂缝,甚至桩身断裂。
当然,桩锤不能过重,否则所需动力设备也较大,不经济。
四、试述打桩顺序有几种?打桩顺序与哪些因素有关?如何确定合理的打桩顺序?(P60)打桩顺序有(1)逐排打(2)自中央向边缘打(3)自边缘向中间打(4)分段打影响因素:桩的密集程度、桩的规格、长短和桩架移动方便。
逐排打桩的效率高,但最终会引起建筑物的不均匀沉降。
它和自边缘向中间打一样适用于桩不太密集的情况。
土木工程施工技术课后答案1. 请简要说明土木工程施工技术的概念及其在土木工程中的重要性。
答:土木工程施工技术是指将设计好的土木工程方案通过施工组织和管理,采用一定的技术措施和方法,在一定的时间和经济成本内,完成土木工程项目的实施过程。
土木工程施工技术是实现土木工程设计方案的重要手段,也是土木工程实施的关键环节。
只有掌握了土木工程施工技术,才能有效地推进土木工程项目的实施,确保工程质量和进度。
2. 请简要说明土木工程施工的基本步骤及其各个阶段的主要内容。
答:土木工程施工的基本步骤包括前期准备、施工过程和收尾工作三个阶段。
前期准备阶段主要包括工程勘察、设计方案拟定、施工计划编制等内容;施工过程阶段主要包括施工准备、土木工程结构施工、土方工程施工、基础工程施工、主体结构施工、装饰工程施工等内容;收尾工作阶段主要包括验收和移交、竣工资料编制、工程保养等内容。
只有按照这些步骤有条不紊地进行施工,才能确保土木工程项目的顺利实施。
3. 请简要说明土木工程中的基础工程施工的主要内容及施工注意事项。
答:基础工程施工是土木工程中的一个重要环节,主要包括基坑开挖、地基处理、基础柱、墩脚围护及基础梁等施工内容。
在进行基础工程施工时,需要注意以下几点:首先是合理设置施工标志,确保施工范围清晰;其次是严格按照设计要求进行基坑开挖,保证基础底部平整;再次是合理选择地基处理方法,确保基础承载力满足要求;最后是加强对基础柱、墩脚围护及基础梁等施工工序的质量控制,保障基础工程的施工质量。
4. 请简要说明土木工程中的主体结构施工的主要流程及施工技术要点。
答:主体结构施工是土木工程的关键环节之一,主要流程包括模板搭设、钢筋绑扎、混凝土浇筑等。
在进行主体结构施工时,需要注意以下几点:首先是严格按照设计要求搭设模板,保证结构尺寸精准;其次是合理设置钢筋绑扎工艺,确保钢筋连接牢固;再次是控制混凝土的浇筑质量,保证混凝土浇筑密实;最后是加强结构验收和质量检查,确保主体结构的安全可靠。
第1篇一、填空题1. 施工组织设计是在施工前对施工过程进行全面、系统、合理的规划和安排。
2. 施工现场平面布置应遵循安全、合理、经济、美观的原则。
3. 施工进度计划应根据工程特点、资源状况、合同要求等因素进行编制。
4. 施工方案应根据工程特点、技术要求、施工条件等因素进行选择。
5. 施工质量控制应遵循“预防为主、过程控制、持续改进”的原则。
二、单项选择题1. 下列不属于施工准备阶段工作的是(C)。
A. 施工图纸会审B. 施工现场勘察C. 施工人员培训D. 施工材料准备2. 施工进度计划的主要目的是(B)。
A. 确定施工方案B. 控制施工进度C. 优化施工资源D. 评定施工质量3. 施工现场平面布置中,施工道路应(A)。
A. 宽敞、畅通B. 狭窄、弯曲C. 交叉、拥堵D. 纵横交错4. 施工质量控制中,以下哪项不属于施工过程中的质量控制措施(C)。
A. 施工工艺控制B. 施工材料控制C. 施工人员控制D. 施工设备控制5. 施工方案中,以下哪项不属于施工方案的主要内容(D)。
A. 施工方法B. 施工工艺C. 施工设备D. 施工人员三、多项选择题1. 施工现场平面布置应考虑的因素有(ABCD)。
A. 施工进度B. 施工安全C. 施工质量D. 施工成本E. 施工环境2. 施工进度计划应包括的内容有(ABCD)。
A. 施工进度图B. 施工进度表C. 施工进度分析D. 施工进度调整E. 施工进度控制3. 施工方案中,施工方法的选择应考虑的因素有(ABCD)。
A. 工程特点B. 施工条件C. 施工资源D. 施工技术E. 施工环境4. 施工质量控制中,施工过程中的质量控制措施有(ABCD)。
A. 施工工艺控制B. 施工材料控制C. 施工人员控制D. 施工设备控制E. 施工环境控制5. 施工方案中,施工工艺的主要内容有(ABCD)。
A. 施工流程B. 施工顺序C. 施工技术D. 施工质量E. 施工安全四、问答题1. 简述施工组织设计的作用。
土木工程施工习题答案下面将介绍一些土木工程施工的习题及答案,供学生们参考学习:习题一:某高层建筑工地的地基处理工程已经完成,接下来需开始进行基础施工,请根据具体的施工情况,选择合适的基础施工方法,并说明原因。
答案:在选择基础施工方法时,需要考虑地基状况、工程设计要求、工程工期和成本等因素。
对于某高层建筑工地的地基处理工程已完成的情况,基础施工方法可选择梁底板榀石基础施工法。
这是因为梁底板榀石基础施工法具有施工简单、成本低廉、适用性广泛的特点,能够有效地满足工程设计要求,并且对地基要求不高,能够很好地适应已完成地基处理工程的情况。
习题二:在进行桩基工程施工时,需要考虑哪些因素,并针对这些因素提出相应的安全措施?答案:在进行桩基工程施工时,需要考虑以下因素:1. 地基状况:需要对地基进行详细的勘察和分析,确定地基的承载能力和稳定性,保证桩基施工的安全性。
2. 施工设备:需要选择合适的桩基施工设备,并进行维护保养,确保设备正常运转。
3. 施工人员:需要培训专业的桩基施工人员,确保他们具备相关工程知识和操作技能,提高施工质量和安全性。
4. 施工环境:需要对施工现场进行整体安全评估,并设立相关警示标志和作业区域,保障施工人员和设备的安全。
5. 桩基施工过程:需要密切监测桩基施工过程中的各项参数变化,确保桩基施工的稳定性和质量。
相应的安全措施包括但不限于:- 给施工人员提供专业的安全培训,强化安全意识和操作规范;- 定期检测施工设备的运行状态,确保设备正常运转;- 制定详细的施工计划和应急预案,做好各项准备工作;- 标示施工区域,设置相关警示标志,加强现场管理和监督。
习题三:为了保证施工质量和工期,需要进行合理的施工组织设计,请结合某桥梁工程的实际情况,提出一个合理的施工组织设计方案。
答案:针对某桥梁工程的实际情况,可以提出以下合理的施工组织设计方案:1. 制定施工计划:根据桥梁工程的设计要求和工期要求,制定详细的施工计划,明确施工任务和工程进度,保证施工质量和工期。
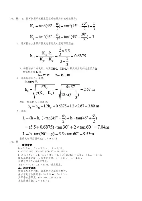
1- 1 土的工程性质有:可松性、含水量、透水性含水量影响:含水量越大,土就越湿,对施工越不利。
含水量对挖土的难易、施工时的放坡、回填土的夯实等均有影响。
地下水的流动以及土中渗透速度都与土的透水性有关。
1- 2 土的可松性:自然状态下的土经开挖后组织被破坏,其体积因松散而增大,以后虽经回填压实,也不能恢复为原来状态时的体积。
土的可松性程度,一般用最初可松性系数和最后可松性系数来表示。
1- 3 确定场地平整设计标高时应考虑哪些因素?满足生产工艺和运输的要求;满足设计时考虑的最高洪水位的影响;充分利用地形,尽量使挖填平衡(如土的可松性的影响),以减少土方运输量。
1-4 试述按填、挖平衡时,确定场地平整设计标高的步骤与方法?1、初步确定场地设计标高(H o)(1)将场地划分为区隔(正方形),确定各方格角点标高(平坦,则地形图+插入法;起伏,则现场木桩方格网,测量)。
(2)挖填平衡,算体积列方程,2、计算设计标高的调整值:考虑土的可松性影响,考虑泄水坡度。
1-5 在什么情况下对场地设计标高要进行调整?如何调整?1 、土的可松性的影响:由于土具有可松性,回填压实回复不了原来状态,要相应提高设计标高。
2、考虑泄水坡度对设计标高的影响。
1-8 流砂的主要成因是什么?防治流砂的途径是什么?有哪些有效措施?由于地下水的水力坡度大,即动水压力大,而且动水压力的方向(与水流方向一致)与土的重力方向相反,土不仅受到水的浮力,而且受到动水压力的作用,有向上举的趋势。
当动水压力等于或大于土的浸水密度时,土颗粒处于悬浮状态,并随地下水一起涌入基坑,即发生流砂现象。
防治途径:减小或平衡动水压力;设法使动水压力的方向向下;截断地下水流。
有效措施:①在枯水期施工,减少动水压力;②抛大石块,以平衡动水压力;③打板桩,增加水流途径,减少动水压力;④水下挖土,平衡或减少动水压力;⑤ 井点降低地下水位,使动水压力向下;⑥ 搅拌桩或地下连续墙,截水,支承土水压力。
土木工程施工练习题答案1. 什么是土木工程施工?土木工程施工是指土木工程项目在设计完成后的实施阶段,包括施工计划编制、施工现场布置、施工机械设备配置、施工人员组织和管理、工程质量控制、安全生产保障等一系列工作过程。
其目的是按照设计要求和合同约定,按时按质完成土木工程项目。
2. 土木工程施工中施工现场布置的要求有哪些?施工现场布置是土木工程施工的第一步,其要求包括:- 施工现场必须符合规划设计要求,具备施工条件和环境保护设施- 施工现场应布置清晰、整洁,设有标识牌和安全警示标志- 施工现场布置应符合安全、卫生、环保和文明施工要求3. 土木工程施工中施工机械设备配置的原则是什么?施工机械设备配置的原则包括:- 根据工程性质和规模确定合理的机械设备配置方案- 选择适合工程要求的机械设备,确保施工效率和质量- 合理安排机械设备使用顺序和协调运转,最大限度地发挥设备效益4. 土木工程施工中施工人员组织和管理的要求有哪些?施工人员组织和管理是土木工程施工的关键环节,要求包括:- 合理配置施工人员,确保队伍稳定和施工有序进行- 做好人员的技术培训和安全教育,提高职工素质和技能- 加强施工人员之间的沟通和合作,确保施工过程中互相配合5. 土木工程施工中工程质量控制的主要内容有哪些?工程质量控制是土木工程施工的关键环节,其主要内容包括:- 控制施工过程中的质量风险,及时发现和纠正施工问题- 对施工过程中的质量进行监控和检测,确保工程质量达标- 强化施工单位自检和监理单位监督,形成双重质量控制机制6. 土木工程施工中安全生产保障的措施有哪些?安全生产是土木工程施工的首要任务,其保障措施包括:- 制定施工安全计划和应急预案,确保施工过程安全有序- 对施工现场进行安全检查和隐患排查,及时消除安全隐患- 加强施工人员安全教育和技能培训,提高安全意识和应急处理能力7. 土木工程施工中合同管理的要求是什么?合同管理是土木工程施工的基础,其要求包括:- 严格执行合同约定,确保施工过程符合合同要求- 做好施工过程中的合同变更管理,保障各方合法权益- 加强合同管理与财务管理的衔接,确保经济合同的落实8. 土木工程施工中质量验收的程序是什么?质量验收是土木工程施工的最后一步,其程序包括:- 根据设计要求和技术规范,进行工程成果的验收- 开展施工质量检测和抽查,检验工程质量是否合格- 对施工过程中存在的问题进行整改和复查,确保工程质量符合验收标准9. 土木工程施工中施工过程中如何保障工程质量?保障工程质量是土木工程施工的核心任务,其措施包括:- 加强对施工现场和施工工艺的监督和检查,确保施工质量- 严格执行施工图纸和技术规范,确保施工过程满足设计要求- 做好施工质量检测和验收,及时发现和纠正质量问题10. 土木工程施工中如何做好安全风险管理?安全风险管理是土木工程施工的必备措施,其方法包括:- 对施工现场危险源进行识别和评估,建立风险清单- 制定安全管理规章制度,强化安全意识和培训- 提供必要的安全防护设备和急救救援设施,保障施工安全以上是关于土木工程施工的一些练习题答案,希望对你的学习有所帮助。
土木工程施工第二版课后答案1. 什么是土木工程施工?它包括哪些内容?土木工程施工是指在土地上进行各种工程建设的过程,包括筹建工程、设计工程、施工工程等。
它包括土方开挖、基础施工、结构构件安装、建筑设备安装等内容。
2. 土木工程施工的基本流程是什么?土木工程施工的基本流程包括项目准备、工程测量、土方开挖、基础施工、结构施工、建筑设备安装、收尾工作等阶段。
3. 施工现场安全管理是土木工程施工的重要内容,请详细描述。
施工现场安全管理包括施工区域划分、安全警示标志设置、施工人员安全培训、安全设备配备等措施。
施工现场应有专人负责安全管理工作,确保施工过程中安全问题得到及时解决。
4. 土方开挖的施工技术有哪些?如何选择合适的开挖方法?土方开挖的施工技术包括机械开挖、人工开挖和爆破开挖等方法。
选择合适的开挖方法需要考虑地质条件、施工周期、成本等因素,合理选择开挖方法可以提高效率,并确保安全施工。
5. 结构施工中的钢筋混凝土施工技术有哪些?钢筋混凝土施工的注意事项是什么?钢筋混凝土施工技术包括钢筋的加工和绑扎、混凝土的浇筑和养护等。
在施工过程中,要注意钢筋的偏移和错位、混凝土的质量和配比、养护保温等问题,确保施工质量。
6. 施工场地的排水和防水工程是土木工程施工的重要内容,请详细描述。
施工场地的排水和防水工程包括排水系统的设计和施工、防水材料的选择和施工等。
在施工过程中,要注意场地排水畅通,防止积水和渗漏现象,保证工程的安全和可靠性。
7. 基础施工中的基础设计和施工技术有哪些?如何保证基础的稳定性和承载力?基础施工中的基础设计和施工技术包括基础的选型和施工方法、基础的深度和宽度设计等。
保证基础的稳定性和承载力需要根据地质勘察结果确定基础的设计参数,严格按照设计要求施工,并进行质量监控和检测。
8. 施工中如何进行质量管理?列举几项质量管理措施。
施工中的质量管理包括施工材料的检验和验收、施工过程的监督和检测、施工质量的评估和验收等。
土木工程施工上册答案以下是土木工程施工上册的答案内容:第一章:施工组织设计1. 什么是施工组织设计?答:施工组织设计是指在施工前根据工程实际情况和要求,合理确定施工方案和施工方法,对施工过程进行详细规划和管理的工作。
2. 施工组织设计的重要性是什么?答:施工组织设计是施工管理的基础,它直接影响到施工过程中的工程质量和进度,对于提高工程建设效率和质量有着重要的作用。
3. 施工组织设计应包括哪些内容?答:施工组织设计应包括工程的施工方案、施工工艺、施工方法、施工流程等内容。
4. 施工组织设计应满足哪些原则?答:施工组织设计应满足经济合理、安全可靠、节约资源、环保节能等原则。
第二章:基础工程施工1. 什么是基础工程?答:基础工程是指建筑物或构筑物的基础部分,用于传递载荷到地基土体上。
2. 基础工程施工的步骤有哪些?答:基础工程施工的步骤包括地基处理、基坑开挖、基础底部处理、基础浇筑等环节。
3. 基础工程的施工要注意哪些问题?答:基础工程的施工要注意地基土壤的性质、地下水情况、基础底部处理和浇筑质量等问题。
4. 基础工程施工的常见质量问题有哪些?答:基础工程施工的常见质量问题包括基础浇筑不密实、基础底部处理不规范、基础坑边坡不稳定等问题。
第三章:结构工程施工1. 结构工程施工的基本要求是什么?答:结构工程施工的基本要求是按照设计图纸和施工规范要求施工,保证结构的质量和安全。
2. 结构工程施工的步骤有哪些?答:结构工程施工的步骤包括模板搭设、钢筋绑扎、混凝土浇筑、养护等环节。
3. 结构工程施工中的安全措施有哪些?答:结构工程施工中的安全措施包括模板支撑稳固、梁柱衔接处采取加固措施、现场作业人员配备安全防护用具等。
4. 结构工程施工中的质量控制点有哪些?答:结构工程施工中的质量控制点包括混凝土强度检测、钢筋质量检验、模板尺寸检查等。
第四章:建筑设备安装施工1. 建筑设备安装施工包括哪些内容?答:建筑设备安装施工包括机电设备的安装、管道的安装、通风空调系统的安装等内容。