半导体物理学(第7版)第三章习题和答案
- 格式:doc
- 大小:146.50 KB
- 文档页数:10
半导体物理学刘恩科第七版完整课后题答案 Standardization of sany group #QS8QHH-HHGX8Q8-GNHHJ8-HHMHGN#第一章习题1.设晶格常数为a 的一维晶格,导带极小值附近能量E c (k)和价带极大值附近能量E V (k)分别为:E c =0220122021202236)(,)(3m k h m k h k E m k k h m k h V -=-+ (1)禁带宽度;(2) 导带底电子有效质量; (3)价带顶电子有效质量;(4)价带顶电子跃迁到导带底时准动量的变化 解:(1)2. 晶格常数为的一维晶格,当外加102V/m ,107 V/m 的电场时,试分别计算电子自能带底运动到能带顶所需的时间。
解:根据:tkh qE f ∆∆== 得qE k t -∆=∆补充题1分别计算Si (100),(110),(111)面每平方厘米内的原子个数,即原子面密度(提示:先画出各晶面内原子的位置和分布图) Si 在(100),(110)和(111)面上的原子分布如图1所示: (a )(100)晶面 (b )(110)晶面(c )(111)晶面补充题2一维晶体的电子能带可写为)2cos 81cos 87()22ka ka ma k E +-= (,式中a 为 晶格常数,试求(1)布里渊区边界; (2)能带宽度;(3)电子在波矢k 状态时的速度;(4)能带底部电子的有效质量*n m ;(5)能带顶部空穴的有效质量*p m解:(1)由0)(=dk k dE 得 an k π=(n=0,1,2…) 进一步分析an k π)12(+= ,E (k )有极大值,ank π2=时,E (k )有极小值所以布里渊区边界为an k π)12(+=(2)能带宽度为222)()ma k E k E MIN MAX =-( (3)电子在波矢k 状态的速度)2sin 41(sin 1ka ka ma dk dE v -==(4)电子的有效质量能带底部 an k π2=所以m m n2*= (5)能带顶部 an k π)12(+=, 且**n p m m -=,所以能带顶部空穴的有效质量32*mm p =半导体物理第2章习题1. 实际半导体与理想半导体间的主要区别是什么答:(1)理想半导体:假设晶格原子严格按周期性排列并静止在格点位置上,实际半导体中原子不是静止的,而是在其平衡位置附近振动。
半导体物理学(第七版)课后习题答案.doc半导体物理习题解答1-1.(P 32)设晶格常数为a 的一维晶格,导带极小值附近能量E c (k )和价带极大值附近能量E v (k )分别为:E c (k)=0223m k h +022)1(m k k h -和E v (k)= 0226m k h -0223m k h ;m 0为电子惯性质量,k 1=1/2a ;a =0.314nm 。
试求:①禁带宽度;②导带底电子有效质量;③价带顶电子有效质量;④价带顶电子跃迁到导带底时准动量的变化。
[解] ①禁带宽度Eg根据dk k dEc )(=0232m k h +012)(2m k k h -=0;可求出对应导带能量极小值E min 的k 值:k min =143k ,由题中E C 式可得:E min =E C (K)|k=k min =2104k m h ;由题中E V 式可看出,对应价带能量极大值Emax 的k 值为:k max =0;并且E min =E V (k)|k=k max =02126m k h ;∴Eg =E min -E max =021212m k h =20248a m h =112828227106.1)1014.3(101.948)1062.6(----=0.64eV ②导带底电子有效质量m n0202022382322m h m h m h dkE d C =+=;∴ m n =022283/m dk E d h C= ③价带顶电子有效质量m ’02226m h dk E d V -=,∴0222'61/m dk E d h m Vn-== ④准动量的改变量h △k =h (k min -k max )= ahk h 83431=[毕] 1-2.(P 33)晶格常数为0.25nm 的一维晶格,当外加102V/m ,107V/m 的电场时,试分别计算电子自能带底运动到能带顶所需的时间。
半导体物理学第七版完整答案修订版IBMT standardization office【IBMT5AB-IBMT08-IBMT2C-ZZT18】第一章习题1.设晶格常数为a 的一维晶格,导带极小值附近能量E c (k)和价带极大值附近能量E V (k)分别为:E C (K )=0220122021202236)(,)(3m k h m k h k E m k k h m k h V -=-+ (1)禁带宽度;(2)导带底电子有效质量;(3)价带顶电子有效质量;(4)价带顶电子跃迁到导带底时准动量的变化解:(1)2. 晶格常数为0.25nm 的一维晶格,当外加102V/m ,107 V/m 的电场时,试分别计算电子自能带底运动到能带顶所需的时间。
解:根据:tkhqE f ∆∆== 得qE k t -∆=∆补充题1分别计算Si (100),(110),(111)面每平方厘米内的原子个数,即原子面密度(提示:先画出各晶面内原子的位置和分布图)Si 在(100),(110)和(111)面上的原子分布如图1所示:(a )(100)晶面 (b )(110)晶面(c )(111)晶面补充题2一维晶体的电子能带可写为)2cos 81cos 87()22ka ka ma k E +-=(, 式中a 为 晶格常数,试求(1)布里渊区边界;(2)能带宽度;(3)电子在波矢k 状态时的速度;(4)能带底部电子的有效质量*n m ;(5)能带顶部空穴的有效质量*p m解:(1)由0)(=dk k dE 得 an k π= (n=0,?1,?2…)进一步分析an k π)12(+= ,E (k )有极大值,ank π2=时,E (k )有极小值所以布里渊区边界为an k π)12(+=(2)能带宽度为222)()mak E k E MINMAX =-( (3)电子在波矢k 状态的速度)2sin 41(sin 1ka ka ma dk dE v -==(4)电子的有效质量能带底部 an k π2=所以m m n2*= (5)能带顶部 an k π)12(+=, 且**n p m m -=,所以能带顶部空穴的有效质量32*mm p =半导体物理第2章习题1. 实际半导体与理想半导体间的主要区别是什么答:(1)理想半导体:假设晶格原子严格按周期性排列并静止在格点位置上,实际半导体中原子不是静止的,而是在其平衡位置附近振动。
半导体物理学(第七版)完整答案第一章习题1.设晶格常数为a 的一维晶格,导带极小值附近能量E c (k)和价带极大值附近能量E V (k)分别为:E C (K )=0220122021202236)(,)(3m k h m k h k E m k k h m k h V -=-+ 0m 。
试求:为电子惯性质量,nm a ak 314.0,1==π(1)禁带宽度;(2)导带底电子有效质量; (3)价带顶电子有效质量;(4)价带顶电子跃迁到导带底时准动量的变化 解:(1)eVm k E k E E E k m dk E d k m kdk dE Ec k k m m m dk E d k k m k k m k V C g V V V c 64.012)0()43(0,060064338232430)(2320212102220202020222101202==-==<-===-==>=+===-+ 因此:取极大值处,所以又因为得价带:取极小值处,所以:在又因为:得:由导带:043222*83)2(1m dk E d mk k C nC===sN k k k p k p m dk E d mk k k k V nV/1095.7043)()()4(6)3(25104300222*11-===⨯=-=-=∆=-== 所以:准动量的定义:2. 晶格常数为0.25nm 的一维晶格,当外加102V/m ,107 V/m 的电场时,试分别计算电子自能带底运动到能带顶所需的时间。
解:根据:tkhqE f ∆∆== 得qE k t -∆=∆sat sat 137192821911027.810106.1)0(1027.810106.1)0(----⨯=⨯⨯--=∆⨯=⨯⨯--=∆ππ补充题1分别计算Si (100),(110),(111)面每平方厘米内的原子个数,即原子面密度(提示:先画出各晶面内原子的位置和分布图)Si 在(100),(110)和(111)面上的原子分布如图1所示:(a )(100)晶面 (b )(110)晶面(c )(111)晶面补充题2一维晶体的电子能带可写为)2cos 81cos 87()22ka ka ma k E +-=(, 式中a 为 晶格常数,试求(1)布里渊区边界; (2)能带宽度;(3)电子在波矢k 状态时的速度;(4)能带底部电子的有效质量*n m ;(5)能带顶部空穴的有效质量*p m解:(1)由0)(=dk k dE 得 an k π=(n=0,±1,±2…)进一步分析an k π)12(+= ,E (k )有极大值, 222)ma k E MAX=(ank π2=时,E (k )有极小值 所以布里渊区边界为a n k π)12(+= (2)能带宽度为222)()ma k E k E MINMAX=-((3)电子在波矢k 状态的速度)2sin 41(sin 1ka ka ma dk dE v -==(4)电子的有效质量)2cos 21(cos 222*ka ka mdkEd m n-==能带底部 an k π2= 所以mm n2*=(5)能带顶部 a n k π)12(+=,且**np m m-=,所以能带顶部空穴的有效质量32*m mp=半导体物理第2章习题1. 实际半导体与理想半导体间的主要区别是什么?答:(1)理想半导体:假设晶格原子严格按周期性排列并静止在格点位置上,实际半导体中原子不是静止的,而是在其平衡位置附近振动。
第一章习题1.设晶格常数为a 的一维晶格,导带极小值附近能量E c (k)和价带极大值附近能量E V (k)分别为:E c =0220122021202236)(,)(3m k h m k h k E m k k h m k h V -=-+ 0m 。
试求:为电子惯性质量,nm a ak 314.0,1==π(1)禁带宽度;(2) 导带底电子有效质量; (3)价带顶电子有效质量;(4)价带顶电子跃迁到导带底时准动量的变化 解:(1)eV m k E k E E E k m dk E d k m kdk dE Ec k k m m m dk E d k k m k k m k V C g V V V c 64.012)0()43(0,060064338232430)(2320212102220202020222101202==-==<-===-==>=+===-+ 因此:取极大值处,所以又因为得价带:取极小值处,所以:在又因为:得:由导带:043222*83)2(1m dk E d mk k C nC===sN k k k p k p m dk E d mk k k k V nV/1095.7043)()()4(6)3(25104300222*11-===⨯=-=-=∆=-== 所以:准动量的定义:2. 晶格常数为0.25nm 的一维晶格,当外加102V/m ,107 V/m 的电场时,试分别计算电子自能带底运动到能带顶所需的时间。
解:根据:t k hqE f ∆∆== 得qEk t -∆=∆ sat sat 137192821911027.810106.1)0(1027.810106.1)0(----⨯=⨯⨯--=∆⨯=⨯⨯--=∆ππ补充题1分别计算Si (100),(110),(111)面每平方厘米内的原子个数,即原子面密度(提示:先画出各晶面内原子的位置和分布图)Si 在(100),(110)和(111)面上的原子分布如图1所示:(a )(100)晶面 (b )(110)晶面(c )(111)晶面补充题2一维晶体的电子能带可写为)2cos 81cos 87()22ka ka ma k E +-= (, 式中a 为 晶格常数,试求(1)布里渊区边界; (2)能带宽度;(3)电子在波矢k 状态时的速度;(4)能带底部电子的有效质量*n m ;(5)能带顶部空穴的有效质量*p m解:(1)由0)(=dk k dE 得 an k π= (n=0,±1,±2…) 进一步分析an k π)12(+= ,E (k )有极大值,214221422142822/1083.7342232212414111/1059.92422124142110/1078.6)1043.5(224141100cm atom a a a cm atom a a a cm atom a a ⨯==⨯+⨯+⨯⨯==⨯⨯+⨯+⨯=⨯==⨯+-):():():(222)mak E MAX =( ank π2=时,E (k )有极小值所以布里渊区边界为an k π)12(+=(2)能带宽度为222)()ma k E k E MIN MAX =-( (3)电子在波矢k 状态的速度)2sin 41(sin 1ka ka ma dk dE v -== (4)电子的有效质量)2cos 21(cos 222*ka ka mdkEd m n-== 能带底部 an k π2=所以m m n 2*= (5)能带顶部 an k π)12(+=, 且**n p m m -=,所以能带顶部空穴的有效质量32*mm p =半导体物理第2章习题1. 实际半导体与理想半导体间的主要区别是什么?答:(1)理想半导体:假设晶格原子严格按周期性排列并静止在格点位置上,实际半导体中原子不是静止的,而是在其平衡位置附近振动。
第一章习题1.设晶格常数为a 的一维晶格,导带极小值附近能量E c (k)和价带极大值附近能量E V (k)分别为:E c =0220122021202236)(,)(3m k h m k h k E m k k h m k h V -=-+ 0m 。
试求:为电子惯性质量,nm a ak 314.0,1==π(1)禁带宽度;(2) 导带底电子有效质量; (3)价带顶电子有效质量;(4)价带顶电子跃迁到导带底时准动量的变化 解:(1)eV m k E k E E E k m dk E d k m kdk dE Ec k k m m m dk E d k k m k k m k V C g V V V c 64.012)0()43(0,060064338232430)(2320212102220202020222101202==-==<-===-==>=+===-+ 因此:取极大值处,所以又因为得价带:取极小值处,所以:在又因为:得:由导带:043222*83)2(1m dk E d mk k C nC===sN k k k p k p m dk E d mk k k k V nV/1095.7043)()()4(6)3(25104300222*11-===⨯=-=-=∆=-== 所以:准动量的定义:2. 晶格常数为0.25nm 的一维晶格,当外加102V/m ,107 V/m 的电场时,试分别计算电子自能带底运动到能带顶所需的时间。
解:根据:t k hqE f ∆∆== 得qEk t -∆=∆ sat sat 137192821911027.810106.1)0(1027.810106.1)0(----⨯=⨯⨯--=∆⨯=⨯⨯--=∆ππ补充题1分别计算Si (100),(110),(111)面每平方厘米内的原子个数,即原子面密度(提示:先画出各晶面内原子的位置和分布图)Si 在(100),(110)和(111)面上的原子分布如图1所示:(a )(100)晶面 (b )(110)晶面(c )(111)晶面补充题2一维晶体的电子能带可写为)2cos 81cos 87()22ka ka ma k E +-= (, 式中a 为 晶格常数,试求(1)布里渊区边界; (2)能带宽度;(3)电子在波矢k 状态时的速度;(4)能带底部电子的有效质量*n m ;(5)能带顶部空穴的有效质量*p m解:(1)由0)(=dk k dE 得 an k π= (n=0,±1,±2…) 进一步分析an k π)12(+= ,E (k )有极大值,214221422142822/1083.7342232212414111/1059.92422124142110/1078.6)1043.5(224141100cm atom a a a cm atom a a a cm atom a a ⨯==⨯+⨯+⨯⨯==⨯⨯+⨯+⨯=⨯==⨯+-):():():(222)mak E MAX =( ank π2=时,E (k )有极小值所以布里渊区边界为an k π)12(+=(2)能带宽度为222)()ma k E k E MIN MAX =-( (3)电子在波矢k 状态的速度)2sin 41(sin 1ka ka ma dk dE v -== (4)电子的有效质量)2cos 21(cos 222*ka ka mdkEd m n-== 能带底部 an k π2=所以m m n 2*= (5)能带顶部 an k π)12(+=, 且**n p m m -=,所以能带顶部空穴的有效质量32*mm p =半导体物理第2章习题1. 实际半导体与理想半导体间的主要区别是什么?答:(1)理想半导体:假设晶格原子严格按周期性排列并静止在格点位置上,实际半导体中原子不是静止的,而是在其平衡位置附近振动。
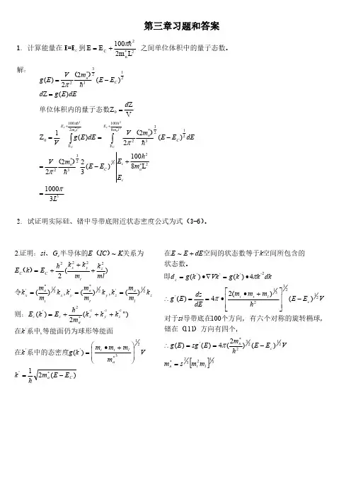
第三章习题和答案1. 计算能量在E=E c 到 之间单位体积中的量子态数。
2*n 2C L 2m 100E E π+=解:2. 试证明实际硅、锗中导带底附近状态密度公式为式(3-6)。
322233*28100E 21233*22100E 0021233*231000L 8100)(3222)(22)(1Z VZZ )(Z )(22)(2322C22CL E m h E E E m V dE E E m V dE E g Vd dEE g d E E m V E g cn c C nlm h E C nlm E C nn c n c πππππ=+-=-====-=*++⎰⎰**)()(单位体积内的量子态数)()(21)(,)"(2)()(,)(,)()(2~.2'213''''''2'21'21'21'2222222C a a lt tz y x ac c zla z y t ay x t a xz t y x C C e E E m hk V m mm m k g k k k k k m h E k E k m m k k m m k k m m k mlk m k k h E k E K IC E G si -=⎪⎪⎭⎫ ⎝⎛+∙=+++====+++=*****系中的态密度在等能面仍为球形等能面系中在则:令)(关系为)(半导体的、证明:[]3123221232'2123231'2'''')()2(4)()(111100)()(24)(4)()(~ltn c nc l t t z m m sm VE E hm E sg E g si V E E h m m m dE dz E g dkk k g Vk k g d k dE E E =-==∴-⎥⎥⎦⎤⎢⎢⎣⎡+∙∙==∴∙=∇∙=+**πππ)方向有四个,锗在(旋转椭球,个方向,有六个对称的导带底在对于即状态数。
第一章习题1.设晶格常数为a 的一维晶格,导带极小值附近能量E c (k)和价带极大值附近能量E V (k)分别为:E C (K )=0220122021202236)(,)(3m k h m k h k E m k k h m k h V -=-+ 0m 。
试求:为电子惯性质量,nm a ak 314.0,1==π(1)禁带宽度;(2)导带底电子有效质量; (3)价带顶电子有效质量;(4)价带顶电子跃迁到导带底时准动量的变化 解:(1)eVm k E k E E E k m dk E d k m kdk dE Ec k k m m m dk E d k k m k k m k V C g V V V c 64.012)0()43(0,060064338232430)(2320212102220202020222101202==-==<-===-==>=+===-+ 因此:取极大值处,所以又因为得价带:取极小值处,所以:在又因为:得:由导带:043222*83)2(1m dk E d mk k C nC===sN k k k p k p m dk E d mk k k k V nV/1095.7043)()()4(6)3(25104300222*11-===⨯=-=-=∆=-== 所以:准动量的定义:2. 晶格常数为0.25nm 的一维晶格,当外加102V/m ,107 V/m 的电场时,试分别计算电子自能带底运动到能带顶所需的时间。
解:根据:tkhqE f ∆∆== 得qE k t -∆=∆sat sat 137192821911027.810106.1)0(1027.810106.1)0(----⨯=⨯⨯--=∆⨯=⨯⨯--=∆ππ补充题1分别计算Si (100),(110),(111)面每平方厘米内的原子个数,即原子面密度(提示:先画出各晶面内原子的位置和分布图)Si 在(100),(110)和(111)面上的原子分布如图1所示:(a )(100)晶面 (b )(110)晶面(c )(111)晶面补充题2一维晶体的电子能带可写为)2cos 81cos 87()22ka ka ma k E +-= (, 式中a 为 晶格常数,试求(1)布里渊区边界; (2)能带宽度;(3)电子在波矢k 状态时的速度;(4)能带底部电子的有效质量*n m ;(5)能带顶部空穴的有效质量*p m解:(1)由0)(=dk k dE 得 an k π= (n=0,±1,±2…) 进一步分析an k π)12(+= ,E (k )有极大值,222)mak E MAX=( ank π2=时,E (k )有极小值所以布里渊区边界为an k π)12(+=(2)能带宽度为222)()ma k E k E MIN MAX =-( (3)电子在波矢k 状态的速度)2sin 41(sin 1ka ka ma dk dE v -== (4)电子的有效质量)2cos 21(cos 222*ka ka mdkEd m n-==能带底部 an k π2=所以m m n 2*= (5)能带顶部 an k π)12(+=, 且**n p m m -=,所以能带顶部空穴的有效质量32*mm p =半导体物理第2章习题1. 实际半导体与理想半导体间的主要区别是什么?答:(1)理想半导体:假设晶格原子严格按周期性排列并静止在格点位置上,实际半导体中原子不是静止的,而是在其平衡位置附近振动。
第一章习题1.设晶格常数为a 的一维晶格,导带极小值附近能量E c (k)和价带极大值附近能量E V (k)分别为:E c =0220122021202236)(,)(3m k h m k h k E m k k h m k h V -=-+ 0m 。
试求:为电子惯性质量,nm a ak 314.0,1==π(1)禁带宽度;(2)导带底电子有效质量; (3)价带顶电子有效质量;(4)价带顶电子跃迁到导带底时准动量的变化 解:(1)eVm k E k E E E k m dk E d k m kdk dE Ec k k m m m dk E d k k m k k m k V C g V V V c 64.012)0()43(0,060064338232430)(2320212102220202020222101202==-==<-===-==>=+===-+ 因此:取极大值处,所以又因为得价带:取极小值处,所以:在又因为:得:由导带:043222*83)2(1m dk E d mk k C nC===sN k k k p k p m dk E d mk k k k V nV/1095.7043)()()4(6)3(25104300222*11-===⨯=-=-=∆=-== 所以:准动量的定义:2. 晶格常数为0.25nm 的一维晶格,当外加102V/m ,107 V/m 的电场时,试分别计算电子自能带底运动到能带顶所需的时间。
解:根据:t k hqE f ∆∆== 得qEkt -∆=∆ sat sat 137192821911027.810106.1)0(1027.810106.1)0(----⨯=⨯⨯--=∆⨯=⨯⨯--=∆ππ补充题1分别计算Si (100),(110),(111)面每平方厘米内的原子个数,即原子面密度(提示:先画出各晶面内原子的位置和分布图)Si 在(100),(110)和(111)面上的原子分布如图1所示:(a )(100)晶面 (b )(110)晶面(c )(111)晶面补充题2一维晶体的电子能带可写为)2cos 81cos 87()22ka ka ma k E +-= (, 式中a 为 晶格常数,试求(1)布里渊区边界; (2)能带宽度;(3)电子在波矢k 状态时的速度;(4)能带底部电子的有效质量*n m ;(5)能带顶部空穴的有效质量*p m解:(1)由0)(=dk k dE 得 an k π= (n=0, 1, 2…) 进一步分析an k π)12(+= ,E (k )有极大值,214221422142822/1083.7342232212414111/1059.92422124142110/1078.6)1043.5(224141100cm atom a a a cm atom a a a cm atom a a ⨯==⨯+⨯+⨯⨯==⨯⨯+⨯+⨯=⨯==⨯+-):():():(222)mak E MAX =( ank π2=时,E (k )有极小值所以布里渊区边界为an k π)12(+=(2)能带宽度为222)()ma k E k E MIN MAX =-( (3)电子在波矢k 状态的速度)2sin 41(sin 1ka ka ma dk dE v -== (4)电子的有效质量)2cos 21(cos 222*ka ka mdkEd m n-== 能带底部 an k π2=所以m m n 2*= (5)能带顶部 an k π)12(+=, 且**n p m m -=,所以能带顶部空穴的有效质量32*mm p =第二章习题1. 实际半导体与理想半导体间的主要区别是什么?答:(1)理想半导体:假设晶格原子严格按周期性排列并静止在格点位置上,实际半导体中原子不是静止的,而是在其平衡位置附近振动。
AHA12GAGGAGAGGAFFFFAFAF第一章习题1.设晶格常数为a 的一维晶格,导带极小值附近能量E c (k)和价带极大值附近能量E V (k)分别为:E c =0220122021202236)(,)(3m k h m k h k E m k k h m k h V -=-+ 0m 。
试求:为电子惯性质量,nm a ak 314.0,1==π(1)禁带宽度;(2)导带底电子有效质量; (3)价带顶电子有效质量;(4)价带顶电子跃迁到导带底时准动量的变化 解:(1)AHA12GAGGAGAGGAFFFFAFAFeVm k E k E E E k m dk E d k m kdk dE Ec k k m m m dk E d k k m k k m k V C g V V V c 64.012)0()43(0,060064338232430)(2320212102220202020222101202==-==<-===-==>=+===-+ 因此:取极大值处,所以又因为得价带:取极小值处,所以:在又因为:得:由导带:AHA12GAGGAGAGGAFFFFAFAF043222*83)2(1m dk E d mk k C nC=== sN k k k p k p m dk E d mk k k k V nV/1095.7043)()()4(6)3(25104300222*11-===⨯=-=-=∆=-== 所以:准动量的定义:2. 晶格常数为0.25nm 的一维晶格,当外加102V/m ,107V/m的电场时,试分别计算电子自能带底运动到能带顶所需的时间。
解:根据:tk h qE f ∆∆== 得qEkt -∆=∆ sat sat 137192821911027.810106.1)0(1027.810106.1)0(----⨯=⨯⨯--=∆⨯=⨯⨯--=∆ππ补充题1分别计算Si (100),(110),(111)面每平方厘米内的原子个数,即原子面密度(提示:先画出各晶面内原子的位置和分布图)Si在(100),(110)和(111)面上的原子分布如图1所示:AHA12GAGGAGAGGAFFFFAFAFAHA12GAGGAGAGGAFFFFAFAF(a )(100)晶面 (b )(110)晶面(c )(111)晶面补充题2214221422142822/1083.7342232212414111/1059.92422124142110/1078.6)1043.5(224141100cm atom a a a cm atom a a a cmatom a a ⨯==⨯+⨯+⨯⨯==⨯⨯+⨯+⨯=⨯==⨯+-):():():(AHA12GAGGAGAGGAFFFFAFAF一维晶体的电子能带可写为)2cos 81cos 87()22ka ka ma k E +-= (,式中a 为 晶格常数,试求AHA12GAGGAGAGGAFFFFAFAF(1)布里渊区边界; (2)能带宽度;(3)电子在波矢k 状态时的速度; (4)能带底部电子的有效质量*n m ;(5)能带顶部空穴的有效质量*p m 解:(1)由0)(=dkk dE 得 an k π=(n=0,1,2…)进一步分析an k π)12(+= ,E (k )有极大值,222)mak E MAX=( ank π2=时,E (k )有极小值所以布里渊区边界为a n k π)12(+=(2)能带宽度为222)()mak E k E MINMAX =-( (3)电子在波矢k 状态的速度)2sin 41(sin 1ka ka ma dk dE v -==AHA12GAGGAGAGGAFFFFAFAF(4)电子的有效质量)2cos 21(cos 222*ka ka m dkEd m n-==能带底部 an k π2= 所以m m n2*= (5)能带顶部 an k π)12(+=,且**np m m -=, 所以能带顶部空穴的有效质量32*mm p=第二章习题1. 实际半导体与理想半导体间的主要区别是什么?答:(1)理想半导体:假设晶格原子严格按周期性排列并静止在格点位置上,实际半导体中原子不是静止的,而是在其平衡位置附近振动。
半导体物理学刘恩科第七版完整课后题答案 The document was prepared on January 2, 2021第一章习题1.设晶格常数为a 的一维晶格,导带极小值附近能量E c (k)和价带极大值附近能量E V (k)分别为:E c =0220122021202236)(,)(3m k h m k h k E m k k h m k h V -=-+ (1)禁带宽度;(2) 导带底电子有效质量; (3)价带顶电子有效质量;(4)价带顶电子跃迁到导带底时准动量的变化 解:(1)2. 晶格常数为的一维晶格,当外加102V/m ,107 V/m 的电场时,试分别计算电子自能带底运动到能带顶所需的时间。
解:根据:tkh qE f ∆∆== 得qE k t -∆=∆补充题1分别计算Si (100),(110),(111)面每平方厘米内的原子个数,即原子面密度(提示:先画出各晶面内原子的位置和分布图) Si 在(100),(110)和(111)面上的原子分布如图1所示: (a )(100)晶面 (b )(110)晶面(c )(111)晶面补充题2一维晶体的电子能带可写为)2cos 81cos 87()22ka ka ma k E +-= (,式中a 为 晶格常数,试求(1)布里渊区边界; (2)能带宽度;(3)电子在波矢k 状态时的速度;(4)能带底部电子的有效质量*n m ;(5)能带顶部空穴的有效质量*p m解:(1)由0)(=dk k dE 得 an k π=(n=0,1,2…) 进一步分析an k π)12(+= ,E (k )有极大值,ank π2=时,E (k )有极小值所以布里渊区边界为an k π)12(+=(2)能带宽度为222)()ma k E k E MIN MAX =-( (3)电子在波矢k 状态的速度)2sin 41(sin 1ka ka ma dk dE v -==(4)电子的有效质量能带底部 an k π2=所以m m n2*= (5)能带顶部 an k π)12(+=, 且**n p m m -=,所以能带顶部空穴的有效质量32*mm p =半导体物理第2章习题1. 实际半导体与理想半导体间的主要区别是什么答:(1)理想半导体:假设晶格原子严格按周期性排列并静止在格点位置上,实际半导体中原子不是静止的,而是在其平衡位置附近振动。
第三章习题和答案1. 计算能量在E=E c 到2*n 2C L 2m 100E E π+= 之间单位体积中的量子态数。
解:2. 试证明实际硅、锗中导带底附近状态密度公式为式(3-6)。
322233*28100E 21233*22100E 0021233*231000L 8100)(3222)(22)(1Z VZZ )(Z )(22)(2322C22CL E m h E E E m V dE E E m V dE E g Vd dEE g d E E m V E g cn c C nlm h E C nlm E C nn c n c πππππ=+-=-====-=*++⎰⎰**)()(单位体积内的量子态数)()(21)(,)"(2)()(,)(,)()(2~.2'213''''''2'21'21'21'2222222C a a lt tz y x ac c zla z y t ay x t a x z t y x C C e E E m k V m m m m k g k k k k k m h E k E k m m k k m m k k m m k mlk m k k h E k E K IC E G si -=⎪⎪⎭⎫ ⎝⎛+•=+++====+++=*****系中的态密度在等能面仍为球形等能面系中在则:令)(关系为)(半导体的、证明:[]3123221232'2123231'2'''')()2(4)()(111100)()(24)(4)()(~ltn c nc l t t z m m sm VE E hm E sg E g si V E E h m m m dE dz E g dkk k g Vk k g d k dE E E =-==∴-⎥⎥⎦⎤⎢⎢⎣⎡+••==∴•=∇•=+**πππ)方向有四个,锗在(旋转椭球,个方向,有六个对称的导带底在对于即状态数。
第三章习题和答案1. 计算能量在E=E c 到2*n 2C L 2m 100E E π+= 之间单位体积中的量子态数。
解:2. 试证明实际硅、锗中导带底附近状态密度公式为式(3-6)。
322233*28100E 21233*22100E 0021233*231000L 8100)(3222)(22)(1Z VZZ )(Z )(22)(2322C22CL E m h E E E m V dE E E m V dE E g Vd dEE g d E E m V E g cn c C nlm h E C nlm E C nn c n c πππππ=+-=-====-=*++⎰⎰**)()(单位体积内的量子态数)()(21)(,)"(2)()(,)(,)()(2~.2'213''''''2'21'21'21'2222222C a a lt tz y x ac c z la z y t a y x t a xz ty x C C e E E m h k V m m m m k g k k k k k m h E k E k m m k k m m k k m m k ml k m k k h E k E K IC E G si -=⎪⎪⎭⎫ ⎝⎛+•=+++====+++=*****系中的态密度在等能面仍为球形等能面系中在则:令)(关系为)(半导体的、证明:[]3123221232'2123231'2'''')()2(4)()(111100)()(24)(4)()(~ltn c nc l t t z m m sm VE E hm E sg E g si V E E h m m m dE dz E g dkk k g Vk k g d k dE E E =-==∴-⎥⎥⎦⎤⎢⎢⎣⎡+••==∴•=∇•=+**πππ)方向有四个,锗在(旋转椭球,个方向,有六个对称的导带底在对于即状态数。
第三章习题和答案1. 计算能量在E=E c 到2*n 2C L 2m 100E E π+= 之间单位体积中的量子态数。
解:2. 试证明实际硅、锗中导带底附近状态密度公式为式(3-6)。
322233*28100E 21233*22100E 0021233*231000L 8100)(3222)(22)(1Z VZZ )(Z )(22)(2322C22CL E m h E E E m V dE E E m V dE E g Vd dEE g d E E m V E g cn c C nlm h E C nlm E C nn c n c πππππ=+-=-====-=*++⎰⎰**)()(单位体积内的量子态数)()(21)(,)"(2)()(,)(,)()(2~.2'213''''''2'21'21'21'2222222C a a lt tz y x ac c z la z y t a y x t a xz t y x C C e E E m h k V m m m m k g k k k k k m h E k E k m m k k m m k k m m k ml k m k k h E k E K IC E G si -=⎪⎪⎭⎫ ⎝⎛+•=+++====+++=*****系中的态密度在等能面仍为球形等能面系中在则:令)(关系为)(半导体的、证明:[]3123221232'2123231'2'''')()2(4)()(111100)()(24)(4)()(~ltn c nc l t t z m m sm VE E hm E sg E g si V E E h m m m dE dz E g dkk k g Vk k g d k dE E E =-==∴-⎥⎥⎦⎤⎢⎢⎣⎡+••==∴•=∇•=+**πππ)方向有四个,锗在(旋转椭球,个方向,有六个对称的导带底在对于即状态数。
空间所包含的空间的状态数等于在3. 当E-E F 为,4k 0T, 10k 0T 时,分别用费米分布函数和玻耳兹曼分布函数计算电子占据各该能级的概率。
4. 画出-78o C 、室温(27 o C )、500 o C 三个温度下的费米分布函数曲线,并进行比较。
5. 利用表3-2中的m *n ,m *p 数值,计算硅、锗、砷化镓在室温下的N C , N V 以及本征载流子的浓度。
6. 计算硅在-78 o C ,27 o C ,300 o C 时的本征费米能级,假定它在禁带中间合理吗⎪⎪⎩⎪⎪⎨⎧=========⎪⎪⎪⎪⎩⎪⎪⎪⎪⎨⎧===******-**ev E m o m m m A G ev E m o m m m si ev E m o m m m G e N N n h koTm N h koTm N g p n s a g p n g p n e koT E v c i p v nC g428.1;47.;068.0:12.1;59.;08.1:67.0;37.;56.0:)()2(2)2(25000000221232232ππ[]m kTE E m m m m Si Si pVC p n 359.0,08.1:00-==***的本征费米能级,所以假设本征费米能级在禁带中间合理,特别是温度不太高的情况下。
7. ①在室温下,锗的有效态密度N c =1019cm -3,N V =1018cm -3,试求锗的载流子有效质量m *n m *p 。
计算77K 时的N C 和N V 。
已知300K 时,E g =。
77k 时E g =。
求这两个温度时锗的本征载流子浓度。
②77K 时,锗的电子浓度为1017cm -3 ,假定受主浓度为零,而E c -E D =,求锗中施主浓度E D 为多少8. 利用题 7所给的N c 和N V 数值及E g =,求温度为300K 和500K 时,含施主浓度N D =51015cm -3,受主浓度N A =2109cm -3的锗中电子及空穴浓度为多少3173183'3183193'3''/1008.530077109.330077/1037.1300771005.13007730077772cm N N cm N N T T K N K N N N K V V CC CC VC ⨯=⨯⨯=•=⨯=⨯⨯=•=∴=)()()()()()(、时的)(317181717003777276.0211718313300267.0211819221/1017.1)1037.110067.001.021(10)21(2121exp 21/1098.1)1008.51037.1(77/107.1)109.31005.1()()3(00000cm e N n koT E e n N e N eN N n n cm e n K cm en eN N n C o D D N n T k E D T k E E E E D T k E E D D k i k i koTEgv c i C oD F C c D F D ⨯=⨯•+=•∆+=∴+=+=+==⨯=⨯⨯⨯=⨯=⨯⨯⨯==•∆--+----+-⨯-⨯--时,室温:⨯==-313221/100.2)(300.80cm e N N n K T k E V c i ge g 时:kgm N T k m kg m N T k m Tm k N Tm k N v p c n p v nc 31031202310320223202320106.229.022101.556.022)2(2)2(21.7-*-***⨯==⎥⎦⎤⎢⎣⎡=⨯==⎥⎦⎤⎢⎣⎡===ππππ得)根据(9.计算施主杂质浓度分别为1016cm 3,,1018 cm -3,1019cm -3的硅在室温下的费米能级,并假定杂质是全部电离,再用算出的的费米能 级核对一下,上述假定是否在每一种情况下都成立。
计算时,取施主能级在导带底下的面的。
%902111%102111%10%,9005.0)2(27.0.0108.210ln 026.0;/10087.0108.210ln 026.0;/1021.0108.210ln 026.0;/10,ln /105.1/108.2,300,ln .90019193191918318191631603103190≥-+=≤-+==--=⨯+==-=⨯+==-=⨯+==+=⎪⎩⎪⎨⎧⨯=⨯==+=+Tk E E e N n T k E E e N n eV E E eV E E E cm N eV E E E cm N eV E E E cm N N NT k E E cm n cmN K T N N T k E E E FDDD F D DDD C c c F D c c F D c c F D iD i F iC CD c F F 或是否占据施主为施主杂质全部电离标准或时离区的解假设杂质全部由强电 成立026.016.0026.021.016%42.021112111:10e e N n N E E DD D C D =+=+==+-10. 以施主杂质电离90%作为强电离的标准,求掺砷的n 型锗在300K 时,以杂质电离为主的饱和区掺杂质的浓度范围。
11. 若锗中施主杂质电离能E D =,施主杂质浓度分别为N D =1014cm -3j 及1017cm -3。
计算①99%电离;②90%电离;③50%电离时温度各为多少 12. 若硅中施主杂质电离能E D =,施主杂质浓度分别为1015cm -3, 1018cm -3。
计算①99%电离;②90%电离;③50%电离时温度各为多少之上,大部分没有电离在,之下,但没有全电离在成立,全电离全电离,与也可比较)(0D F F D D D F F D D F D D F D F D E E E E cm N E E E E cm N E E cm N T k E E E E 026.0023.0;/1026.0~037.0;/10026.016.021.005.0;/102319318316''〈-=-==-=〉〉=+-=-=〉〉-31714313317026.00127.019026.00127.00319/1022.3~104.2~5/104.2/1022.321005.11.021.0026.00127.0exp2%10)exp(2300/1005.1,0127.0.10cm N n A cm n G N A cm e e N N N N Tk E N N D A K cm N eV E A D i s ieD s C D C D D C D s C D s ⨯⨯∴⨯=⨯=⨯⨯==∴+=∆=⨯==∆---,即有效掺杂浓度为的掺杂浓度范围的本征浓度电离的部分,在室温下不能掺杂浓度超过限杂质全部电离的掺杂上以下,室温的电离能解上限上限上限13. 有一块掺磷的 n 型硅,N D =1015cm -3,分别计算温度为①77K ;②300K ;③500K ;④800K 时导带中电子浓度(本征载流子浓度数值查图3-7)14. 计算含有施主杂质浓度为N D =91015cm -3,及受主杂质浓度为1016cm 3,的硅在33K 时的电子和空穴浓度以及费米能级的位置。
eVn p T k E E eV N p T k E E cm p n n cm N N p cm n Si K T i i F v V F i D A i 336.0105.1102ln 026.0ln 224.0101.1102ln 026.0ln 10125.1102,105.1300101500191500350203150310-=⨯⨯-=-=-=⨯⨯-=-=-⨯==⨯=-=⨯==---或:饱和区流子浓度,处于强电离掺杂浓度远大于本征载的本征载流子浓度时,解:15. 掺有浓度为每立方米为1022硼原子的硅材料,分别计算①300K ;②600K 时费米能级的位置及多子和少子浓度(本征载流子浓度数值查图3-7)。
3170317315203143150315310/10/108000)4(/1014.124~/104500)3(/10/10/103002.13cm n n cm n K cm n N N n N cm n K cm N n cm N cm n K i i i D D D i D D i =≈=⨯≈++=⨯==≈=<<=时,过度区时,强电离区时,)(eV n p T k E E cm n cm p n p n N n p cm n K T eV N p T k E E eVn p T k E E cm p n n cm p a cm n K T i i F i A i vV E i i E i i 025.01011062.1ln 052.0ln /1017.6/1062.1/101600)2(184.0ln359.01010ln 026.0ln /1025.2/10,/105.1300)1(161600315031602000031600101600340203160310-=⨯⨯-=-=-⨯=⨯==+=⨯==-=-=--=-=-=-⨯===⨯==处于过渡区:时,或杂质全部电离时,16. 掺有浓度为每立方米为1023砷原子 和立方米51022铟的锗材料,分别计算①300K ;②600K 时费米能级的位置及多子和少子浓度(本征载流子浓度数值查图3-7)。