第一型曲线积分与曲面积分的一些问题
- 格式:doc
- 大小:23.00 KB
- 文档页数:1
曲线积分与曲面积分常见题型攻略以心同学整理一、计算第一类曲线积分步骤:(一)平面曲线积分t t g y t x L ,)()(:1.化简(1)代入化简【常用在k t g t f )](),([ (常数)的情形】Lds y x f ),(Lds t g t f )](),([ kskds L其中s 为积分曲线L 的长度。
(2)利用奇偶对称性化简①若积分曲线L 关于坐标轴y 轴对称,则有Lds y x f ),(1),(,),(2),(0L x y x f ds y x f x y x f 的偶函数是的奇函数是,其中1L 为y 轴右边部分。
②若积分曲线段L 关于坐标轴x 轴对称,则有Lds y x f ),(1),(,),(2),(0L y y x f ds y x f y y x f 的偶函数是的奇函数是,其中1L 为x 轴上边部分。
(3)利用轮换对称性化简若积分曲线L 中把x 与y 互换,积分曲线不变,则有Lds y x f ),( Ldsx y f ),(2.确定积分曲线L 的参数式方程t t g y t x L ,)()(:注:积分曲线一般以)(x f y 或)(y g x 的形式出现,此时参数式为:b x a x f y x x L,)(:,dy c y y y g x L,)(:3.套公式(一代二换三定限)化为定积分Lds y x f ),(dtt g t t g t f )()()](),([22注意:上限 大于下限 4.计算定积分例1【2017-2018期末】设L 是直线)40(1243 x y x 的一段,则Lds y x )43(60;解:Lds y x )43( Lds12代入化简6012 s 。
例2【2018-2019期末】计算Lds x y)(2,其中L 为圆周422 y x .解:法一:L 的参数方程为sin 2cos 2y x ( 20 ),d d ds 2)cos 2()sin 2(22 ,于是Lds x y )(22022)cos 2sin 4(d 0sin 8202d822148 .法二:由对称性有Lds y 2 Lds x 2(轮换对称),0 Lxds (奇偶对称)所以Lds x y )(2 Lds y 2L ds y x )(2122 Lds 421(代入化简)8422 Lds .例3【2019-2020期末】计算曲线积分Lds y xy x )(22,其中L 为平面区域}0,1|),{(22 y y x y x D 的边界曲线。
第一型曲线积分与曲面积分的一些问题第1型曲线积分与曲面积分的1些问题摘要本文归纳研究了第1型曲线积分与曲面积分的物理背景,定义,性质及计算方法,并在此基础上给出了它们在特殊坐标变换下的计算公式及证明。
并且利用这个公式,推导出了当第1型曲线积分或曲面积分的被积函数为奇函数或偶函数,积分曲线或曲面是对称的时的几个重要的推论及证明。
关键字:第1型曲线积分与曲面积分;坐标变换;奇偶性;对称性。
Some questions about curve integral and surface integral of the firstkind A bstract In this article we induce and study the physical background ,definition, quality ,and calculating method of the curve and surface integral of the first kind ,and at the base of these , calculate formula and providence was proposed in the special coordinate transformation. Using this formula ,we get several important inference and prove that when the curve and surface integral of the first kin d’s integrand is odd function or even function and the integral curve or surface is symmetry.Key word: Curve integral and surface integral of the first kind; coordinate transformation; odevity; symmetry。
曲线积分和曲面积分论文引言曲线积分和曲面积分是微积分中重要的概念,具有广泛的应用领域。
本论文旨在介绍曲线积分和曲面积分的概念和计算方法,并讨论在实际应用中的一些应用情况。
曲线积分在微积分中,曲线积分用于计算沿一条曲线的函数的积分。
曲线积分有两种类型:第一类是沿曲线的弧长对函数进行积分,称为第一类曲线积分,第二类是对曲线上的函数在曲线元素上积分,称为第二类曲线积分。
第一类曲线积分第一类曲线积分表示为:$$ \\int_C f(x, y) ds $$其中,f(f,f)是曲线上的函数,ff表示沿曲线元素的弧长。
计算第一类曲线积分的方法通常包括参数化曲线和坐标变换两种。
例如,计算函数f(f,f)=f2+f2在曲线 $C: x = \\cos(t), y = \\sin(t), 0 \\leq t \\leq 2\\pi$ 上的第一类曲线积分。
首先,通过参数化得到曲线的弧长元素:$$ ds = \\sqrt{\\left(\\frac{dx}{dt}\\right)^2 +\\left(\\frac{dy}{dt}\\right)^2} dt $$代入曲线方程得到:$$ ds = \\sqrt{\\left(-\\sin(t)\\right)^2 +\\left(\\cos(t)\\right)^2} dt = dt $$然后,将函数和弧长元素代入积分得到:$$ \\int_C f(x, y) ds = \\int_0^{2\\pi} (1) dt = 2\\pi $$第二类曲线积分第二类曲线积分表示为:$$ \\int_C \\mathbf{F} \\cdot d\\mathbf{r} $$其中,$\\mathbf{F}$ 是曲线上的向量函数,$d\\mathbf{r}$ 表示曲线元素。
计算第二类曲线积分的方法通常包括参数化曲线和曲线方程两种。
例如,计算向量函数 $\\mathbf{F}(x, y) = (x, y)$ 沿曲线 $C: x = \\cos(t), y = \\sin(t), 0 \\leq t \\leq 2\\pi$ 的第二类曲线积分。
第二十一章曲线积分与曲面积分§1 第一型曲线积分与曲面积分1.对照定积分的基本性质写出第一型曲线积分和第一型曲面积分的类似性质。
解:第一型曲线积分的性质:1(线性性)设⎰L ds z y x f ),,(,⎰L ds z y x g ),,(存在,21,k k 是实常数,则[]ds z y x g k z y x f kL ⎰+),,(),,(21存在,且[]ds z y x g k z y x f k L⎰+),,(),,(21⎰⎰+=LLds z y x g kds z y x f k ),,(),,(21;2l ds L=⎰1,其中l 为曲线L 的长度;3(可加性)设L 由1L 与2L 衔接而成,且1L 与2L 只有一个公共点,则⎰Lds z y x f ),,(存在⇔⎰1),,(Lds z y x f 与⎰2),,(L ds z y x f 均存在,且=⎰Lds z y x f ),,(⎰1),,(L ds z y x f +⎰2),,(L ds z y x f ;4(单调性)若⎰L ds z y x f ),,(与⎰L ds z y x g ),,(均存在,且在L 上的每一点p 都有),()(p g p f ≤则⎰⎰≤L L ds p g ds p f )()(;5若⎰L ds p f )(存在,则⎰L ds p f )(亦存在,且≤⎰ds p f L)(⎰Ldsp f )(6(中值定理)设L 是光滑曲线,)(p f 在L 上连续,则存在L p ∈0,使得l p f ds p f L)()(0=⎰,l 是L 的长度;第一型曲面积分的性质: 设S 是光滑曲面,⎰⎰S ds p f )(,⎰⎰S ds p g )(均存在,则有1(线性性)设21,k k 是实常数,则[]⎰⎰+Sds p g k p f k)()(21存在, 且[]⎰⎰+Sds p g k p f k )()(21⎰⎰⎰⎰+=SSds p g k ds p f k )()(21;2s ds S=⎰1, 其中s 为S 的面积;3(可加性)若S 由1S ,2S 组成21S S S =,且1S ,2S 除边界外不相交,则⎰⎰Sds p f )(存在⇔⎰⎰1)(S ds p f 与⎰⎰2)(S ds p f 均存在,且⎰⎰Sds p f )(=⎰⎰1)(S ds p f +⎰⎰2)(S ds p f4 (单调性)若在S 上的的每一点p 均有),()(p g p f ≤则⎰⎰⎰⎰≤SSds p g ds p f )()(;5⎰⎰S ds p f )(也存在,且≤⎰⎰Sdsp f )(⎰⎰Sds p f )(;6 (中值定理)若)(p f 在S 上连续,则存在S p ∈0,使得使得s p f ds p f S⎰⎰=)()(0,其中s 为S 的面积。
释疑解难曲线积分与曲面积分问题1.如何认识多元函数的几种积分的定义?答:多元函数的几种积分的定义可以用统一形式给出,统称为几何形体上的积分:n『f(P)dP =lim 送f(P)KP ,其中i P 是将积分区域G 任意分割为n 块后的任一块G若G 为空间区域0 ,则是三重积分 Jff f (x, y,z)dv 。
Q若G 为曲线弧L ,则是对弧长的曲线积分JJ f (x, y,z)dS 。
IJPdx + Qdy = J (P cocs +Q cBsds)LL其中a ,P 为有向曲线弧L 的切向量的方向角。
对坐标的曲面积分JJ P dydz+Qdzdx+Rdxdy = JJ ( Pcos 。
+QcosP +RcosY)dS ,II其中a ,P ,Y 为有向曲面I :的法向量的方向角。
问题2.如何正确理解两类曲线积分和曲面积分的概念?答:由于实际需要,曲线积分与曲面积分为两种类型,有关质量、重心、转动惯量等 数量积分问题导出第一类线面积分;有关变力作功、流体流过曲面的流量等向量问题导出第二类线、面积分。
前者被积函数化为数量函数沿区域积分,无需考虑方向性,而后者被积函 数是向量函数,必须考虑方向。
因此,一个函数的积分可以由积分区域的有向或无向分为两 种类型的积分,在所学过的积分中:区域无向的积分有:重积分、第一类曲线积分和第一类曲面积分; 区域有向的积分有:定积分、第二类曲线积分和第二类曲面积分。
曲线的方向是由起点到终点(定积分)或切向量的方向来确定,曲面的方向则由曲面 上点的法向量所指向的侧来确定,我们常会把两类积分相互转换,转换时必须注意符号,它体现了有向积分的方向。
将 无向域的积分化为有向域的积分,如重积分化为累次积分(定积分),方向性体现为定积分的上、下限的确定, 而将有向域的积分化为无向域的积分,如第二型曲面积分化为二重积分或三重积分,第二型曲线积分化为二重积分等,必须注意符号的确定问题。
问题3.应用格林公式时应注意什么问题? 答:应用格林公式应注意以下几点:1.必须注意格林公式的条件是否满足,否则,就会出现错误。
曲线积分与曲面积分曲线积分和曲面积分是微积分中两个重要的概念。
曲线积分是对曲线上的函数进行积分运算,而曲面积分是对曲面上的函数进行积分运算。
本文将详细介绍曲线积分和曲面积分的概念、计算方法以及应用。
一、曲线积分曲线积分是对曲线上的函数进行积分运算。
通常将曲线积分分为第一类曲线积分和第二类曲线积分。
1. 第一类曲线积分第一类曲线积分用于计算曲线上的标量场函数。
对于参数化曲线C:r(t)=(x(t), y(t), z(t)),其中a≤t≤b,函数f(x,y,z)在C上可微分,则第一类曲线积分的计算公式为:∫_[C]f(x,y,z)ds=∫_a^bf(x(t),y(t),z(t))∥r'(t)∥dt其中,ds表示曲线上的微元弧长,∥r'(t)∥表示曲线C的切向量的长度。
2. 第二类曲线积分第二类曲线积分用于计算曲线上的矢量场函数。
对于参数化曲线C:r(t)=(x(t), y(t), z(t)),其中a≤t≤b,函数F(x,y,z)在C上连续,则第二类曲线积分的计算公式为:∫_[C]F(x,y,z)·dr=∫_a^bF(x(t),y(t),z(t))·r'(t)dt其中,·表示矢量的点乘运算,dr表示曲线上的微元矢量。
二、曲面积分曲面积分是对曲面上的函数进行积分运算。
同样,曲面积分也分为第一类曲面积分和第二类曲面积分。
1. 第一类曲面积分第一类曲面积分用于计算曲面上的标量场函数。
对于参数化曲面S:r(u,v)=(x(u,v), y(u,v), z(u,v)),其中(u,v)属于区域D,函数f(x,y,z)在S上可微分,则第一类曲面积分的计算公式为:∬_[S]f(x,y,z)dS=∬_Df(x(u,v),y(u,v),z(u,v))∥r_u×r_v∥dudv其中,dS表示曲面上的微元面积,r_u和r_v表示曲面S的参数方程关于u和v的偏导数,r_u×r_v表示两个偏导数的叉乘,∥r_u×r_v∥表示其长度。
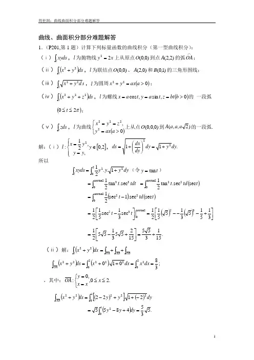
曲线、曲面积分部分难题解答1.(P201,第1题)计算下列标量函数的曲线积分(第一型曲线积分): (ⅰ)⎰lxyds ,l 为抛物线x y 22=上从原点)0,0(O 到点)2,2(A 的弧⋂OA ;(ⅱ)()⎰+lds y x 22,l 为联结点)0,0(O 、)0,2(A 和)1,0(B 的三角形围线;(ⅲ)⎰+l s d y x 22,l 为圆周()022>=+a ax y x ;(ⅳ)()⎰++lds z y x 222,l 为螺线()0,sin ,cos >===b bt z t a y t a x 的 一段弧()π20≤≤t ;(ⅴ)⎰lzds ,l 为曲线()⎩⎨⎧>===0,2222a ax y z y x 上从点)0,0,0(O 到)2,,(a a a A 的一段弧.解:(ⅰ)[]2,0,,21:2∈⎪⎩⎪⎨⎧==y y y y x l ,.1122dy y dy dy dx ds +=⎪⎪⎭⎫ ⎝⎛+=dy y y y xyds l 22201..21+=⎰⎰(令t y tan =)()()t td t sec sec .1sec 21222arctan 0-=⎰|2arctan 035sec 31sec 5121⎥⎦⎤⎢⎣⎡-=t t .151355+=(ⅱ)解:()⎰+lds y x 22⎰⎰⎰++=OAABOB()()3801.022222222==++=+⎰⎰⎰dx x dx x ds y x OA;.20,,0:≤≤⎩⎨⎧==x xx y OA ()()[]()dy y y ds y x AB 210222221.22-++-=+⎰⎰().5354855102=+-=⎰dy y y .10,,22,:≤≤⎩⎨⎧-==y y x y y AB()().3101.02102222=++=+⎰⎰dy y ds y xBO,.10,,0:≤≤⎩⎨⎧==y y y x BO .3535+=++=⎰⎰⎰OA AB OB I (ⅲ)解法一:.20,sin 2,cos 22:π≤≤⎪⎪⎩⎪⎪⎨⎧=+=t t a y t a a x l()().2cos 2sin 22222dt a dt t a t a dt t y t x ds =⎪⎭⎫⎝⎛+⎪⎭⎫ ⎝⎛-='+'=所以,()dt a t a t a s d y x l 2sin 4cos 1420222222⎰⎰⎥⎦⎤⎢⎣⎡++=+πdt t a ⎰=π20222sin 2.24dt t a ⎰=π2022sin 2.22cos 22sin 2202202|a t a t d t a =⎪⎭⎫ ⎝⎛-=⎪⎭⎫ ⎝⎛=⎰ππ解法二:化l 为极坐标表示:().2,2,cos :⎥⎦⎤⎢⎣⎡-∈=ππθθθa r l ()().22,sin .cos sin ,cos cos :2πθπθθθθθθθ≤≤-⎩⎨⎧====a r y a r x l()()()().sin cos 2222θθθθθad dt a a dt r r ds =-+='+=所以,()()[]θθθθππad a a s d y x l⎰⎰-+=+2222222sin cos cosθθππd a a ⎰-=2222cos .2sin 2cos 2220222|a a d a===⎰ππθθθ(ⅳ) ()()()()()dt b a dt b t a t a dt t z t y t x ds 22222222cos sin +=++-='+'+'=()()()()[]dt b a bt t a t a ds z y x l 2220222222.sin cos +++=++⎰⎰π()|203222220222223ππ⎥⎦⎤⎢⎣⎡++=++=⎰t b t a b a dt t b a b a[].433222222b a b a ++=ππ2.(P201,第2题)设有某种物质分布在椭圆1:2222=+by a x l 上,其密度().,y y x =μ求它的总质量. 解:不妨假设.b a >⎰⎰==14l lyds ds y M ,其中.2,0,sin ,cos ;1⎥⎦⎤⎢⎣⎡∈⎩⎨⎧==πt t b y t a x l()()()().cos sin cos sin 22222222dt t b t a dt t b t a dt t y t x ds +=+-='+'=dt t b t a t b yds M l 222220cos sin sin 441+==⎰⎰π()()t d t b a a b cos cos 4202222⎰---=π()du u b a a b 2222014---=⎰()du u b a a b 222214--=⎰du u ba a ba b ⎰---=202222224π(公式) |102222222222222arcsin .2.4⎥⎥⎥⎥⎦⎤⎢⎢⎢⎢⎣⎡--+---=u b a a u b a au b a a b a b .arcsin ..222222⎥⎥⎦⎤⎢⎢⎣⎡+--=b a b a b a a b 3.(P202,第3题)设曲线l 的长度为L ,而函数f 在包含l 的某个区域内连续.证明: ()().max .P f L ds P f lP l ∈≤⎰证明:由第一型曲线积分的定义()()i ni i d l s P f ds P f ∆=∑⎰=→.lim 1故 ()()i n i i d ls P f ds P f ∆=∑⎰=→.lim 1()i ni i d s P f ∆=∑=→.lim 1()i n i i d s P f ∆≤∑=→.lim 1()i ni lp d s P f ∆≤∑=∈→.max lim 1().max .P f L lP ∈=4.(P202,第4题)从原点()0,0O 到点()2,1A 沿下列不同路径分别计算第二型曲线积分 .⎰⋂-OAydx xdy(1).⋂OA 为直线段;(2).⋂OA 为抛物线22x y =上的弧; (3).⋂OA 为从点()0,0O 经点()0,1B 到点()2,1A 的折线⋂OBA . 解:(1) .1~0:,,2:x xx x y OA ⎩⎨⎧==⋂[].022.10=-=-⎰⎰⋂dx x x ydx xdy OA(2).1~0:,:x xx OA ⎩⎨=[].323224.|10312==-=-⎰⎰⋂x dx x x x ydx xdy OA(3).220=+=+=+⎰⎰⎰⋂OB BAOAydx xdy.1~0:,.,0:x x x y OB ⎩⎨⎧== ();000.10=-=-⎰⎰dx x ydx xdy OB.2~0:,.,1:y y y x BA ⎩⎨⎧== ().20.120=-=-⎰⎰dy y ydx xdy BA5.(P202,第5题)计算曲线积分 .⎰+lxdy ydx(1).l 为从点()0,a 点()0,a -的上半圆周()022>-=a x a y ; (2). l 为从点()0,a 点()0,a -的直线段()0>a ; (3). l 为逆时针方向的圆周.222a y x =+ 解:(1) .~0:,sin ,cos :πt ta y t a x l ⎩⎨⎧==()()()()[]dt t a t a t a t a xdy ydx l ⎰⎰+-=+π0cos .cos sin .sin ==⎰dt t aπ22cos 02sin 2|02=πt a .(2).~:,,0:a a x xx y l -⎩⎨⎧== ().00.0=+=+⎰⎰-dx x xdy ydx a al(3).2~0:,sin ,cos :πt t a y t a x l ⎩⎨⎧==()()()()[]dt t a t a t a t a xdy ydx l⎰⎰+-=+π20cos .cos sin .sin ==⎰dt t aπ2022cos 02sin 2|202=πt a .6.(P202,第6题)计算沿逆时针方向的圆周()222a y x =+的曲线积分 ()().22⎰+--+ly x dy y x dx y x解:π2~0:,.sin :t t a y l ⎩⎨=,所以,()()⎰+--+l y x dy y x dx y x 22()()()()dt a t a t a t a t a t a t a ⎰---+=π202cos .sin cos sin sin cos .22022ππ-=-=⎰dt aa 7.(P202,第7题)计算下列曲线积分,曲线的方向与参数增加方向: (ⅰ)()()d y xy y dx xy x l⎰-+-2222,l 为抛物线()112≤≤-=x x y ;(ⅱ)()()d y y x dx y x l ⎰-++2222,l 为折线()2011≤≤--=x x y ;(ⅲ)()dz x yzdy dx z y l⎰-+-2222,l 的参数方程为().10,,3,2≤≤⎪⎩⎪⎨⎧===t t z t y t x ;解:(ⅰ).1~1:,:2-⎩⎨⎧==x xy x x l ()()d y xy y dx xy x l⎰-+-2222 ()()[]d x x x x x x x x⎰--+-=1124222..2.2 [].151454324|10531142-=⎥⎦⎤⎢⎣⎡-=-=⎰-x x dx x x (ⅱ)设点().0,1A 则()()dy y x dx y xL2222-++⎰()()dy y x dx y xOA2222-++=⎰()()dy y x dx y xAB2222-+++⎰.1~0:,,:x x x x y OA ⎩⎨⎧==()()()()[]321022222222=-++=-++⎰⎰dx x x x x dy y x dx y x OA;.2~1:,,2:x x x x y AB ⎩⎨⎧=-=()()()()()()()[]d xx x x x dy y x dx y xAB⎰⎰---+-+=-++21222222221.22()().3232222|213212=-=-=⎰x dx x 原式.343232=+=(ⅲ)()dz x yzdy dx z y l⎰-+-2222 ()[]d t t t t t t t t ⎰-+-=102232643.2 (2)[].351527323|10571046=⎪⎭⎫ ⎝⎛-=-=⎰t t dt t t 8.(P202,第8题)设曲线l 的长度为L ,而函数()P f 在包含l 的某个区域内连续.证明: ())....P L P f lP l ∈≤⎰证明:设()()(){}.,21P f P f P f = 由第二型曲线积分的定义及柯西不等式()()()[]∑⎰=→∆+∆=ni i i i i d l y P f x P f d P f 1210..lim .故 ()()()[]∑⎰=→∆+∆=ni i i i i d ly P f x P f P f 1210..lim .()()[]∑=→∆+∆≤n i i i i i d y P f x P f 1210..lim ()()()()22122210.lim i i ni i i d y x P f P f ∆+∆+≤∑=→)()()221.lim i i ni i d y x P ∆+∆==→)()())⎰∑=→=∆+∆≤li i ni d ds P y x P ..lim 221)P L =.9.(P209,第1题)求下列曲面块的面积:(ⅰ)球面2222a z y x =++包含在圆柱面()a b b y x ≤<=+0222内的那部分面积;(ⅱ)圆锥面22y x z +=被圆柱面x y x 222=+截下的那一部分; (ⅲ)圆柱面222a y x =+被圆柱面222a z y =+截下的那一部分.解:(ⅰ)画出示意图222:b y x D xy ≤+. 将曲面方程化为:z ∑=则dS dxdy ==.dxdy yx a a S S xyD ⎰⎰--==22222上 ⎥⎦⎤⎢⎣⎡--=-=⎰⎰|022022202.2122b br a a ra ardrd πθπ极().422b a a a --=π(ⅱ)画出示意图x y x D xy 2:22≤+. 由曲面方程22:y x z +=∑,得,2122dxdy dxdy y z x z dS =⎪⎪⎭⎫⎝⎛∂∂+⎪⎭⎫ ⎝⎛∂∂+=.().222π===⎰⎰xy D D S dxdy S xy(ⅲ)利用对称性(仅在第一卦限内计算)18S S =,曲面1∑(1∑为∑在第一卦限的那部分,其面积设为1S )向yoz面上的投影区域为222:a z y D yz ≤+. 将曲面1∑方程化为22y a x -=,则,22y a y yx--=∂∂,0=∂∂zx,所以,dydzya a dydz z x y x dS 22221-=⎪⎭⎫⎝⎛∂∂+⎪⎪⎭⎫ ⎝⎛∂∂+=.dydz y a a S S yzD ⎰⎰-==22188 ⎰⎰--=2202208y a a dz y a a dy .8820a adz a==⎰10.(P209,第2题)求下列曲面积分:(ⅰ)()⎰⎰++Sy x dS21,式中S 为四面体()1,0,0,0≤++≥≥≥z y x z y x 的表面; (ⅱ)()d S y x S⎰⎰+22,式中S 为圆柱体()h z a y x ≤≤≤+0,222的表面;(ⅲ)()dS z y x S⎰⎰++,式中S 为球面()2222a z y x =++的表面.解:(ⅰ).4321S S S S S +++=其中 ,0:1=z S dxdy dS =1, ()()()dy y x dx dxdy y x y x dSxD S xy⎰⎰⎰⎰⎰⎰-++=++=++1010222111111dx x dx y x x ⎰⎰⎪⎭⎫⎝⎛-+=⎥⎦⎤⎢⎣⎡++-=-101010211111| 212ln -=; ,0:2=x S dydz dS =2,()()()dz y dy dydz y y x dSyD S yz⎰⎰⎰⎰⎰⎰-+=++=++10102221101112()()dy y y dy y y⎰⎰⎪⎪⎭⎫ ⎝⎛+-+=+-=10212111211 ()2ln 11ln 12||1010-=+-+-=y y ; ,0:3=y S dzdx dS =3,()()()dz x dx dzdx x y x dSxD S zx⎰⎰⎰⎰⎰⎰-+=++=++10102221101113()()dx x x dx x x⎰⎰⎪⎪⎭⎫⎝⎛+-+=+-=10212111211 ()2ln 11ln 12||101-=+-+-=x x ;,1:4y x z S --= dxdy dS 34=,()()()dz y x dx dxdy y x y x dSxD S xy⎰⎰⎰⎰⎰⎰-++=++=++101022211311314dx x dx y x x ⎰⎰⎪⎭⎫⎝⎛-+=⎥⎦⎤⎢⎣⎡++-=-10101021113113| ().212ln 33211ln 321113|1010⎪⎭⎫ ⎝⎛-=-+=⎪⎭⎫⎝⎛-+=⎰x dx x ;()⎰⎰++S y x dS 21()+++=⎰⎰121S y x dS()+++⎰⎰221S y x dS()⎰⎰++321S y x dS ()⎰⎰++421S y x dS()()().32ln 2213212ln 32ln 12ln 1212ln +-=⎪⎭⎫ ⎝⎛-=-+-+⎪⎭⎫ ⎝⎛-=(ⅱ).321S S S S ++=其中 ,0:1=z S dxdy dS =1,()()rdr r d dxdy y x dS y x aD S xy.420222221⎰⎰⎰⎰⎰⎰=+=+πθ 24a π=;,:2h z S = dxdy dS =2,()()rdr r d dxdy y x dS y x aD S xy.420222222⎰⎰⎰⎰⎰⎰=+=+πθ24a π=;,:2223a y x S =+其向yoz 面上的投影区域为⎩⎨⎧≤≤-≤≤.,0:a y a h z D yz . 将曲面3S 方程化为22y a x -±=,则,22y a y yx --=∂∂,0=∂∂zx,所以, dydz ya a dydz z x y x dS 22221-=⎪⎭⎫⎝⎛∂∂+⎪⎪⎭⎫ ⎝⎛∂∂+= ()()dydz ya a y y a dS y x yz D S ⎰⎰⎰⎰-⎥⎦⎤⎢⎣⎡+-=+222222322.23⎰⎰-=-haadz y a dy a 022312..2arcsin4303|h a a y h a aπ== 或者()..22..32232233h a ah a dS a dS y x S S ππ===+⎰⎰⎰⎰()⎰⎰++S y x dS21()++=⎰⎰122S dS y x ()++⎰⎰222S y x()d S y xS ⎰⎰+322().22223344h a a h a a a +=++=ππππ(ⅲ)由积分区域的对称性,及被积函数的奇偶性知,显然()dS z y x S⎰⎰+++=⎰⎰dS x SdS y S ⎰⎰().0=+++⎰⎰dS z y x S11.(P210,第3题)证明泊松公式()()d uc b a u f dS cz by ax f S⎰⎰⎰-++=++112222π其中S 为球面0,1222222>++=++c b a z y x ,f 为连续函数.证明:取新的空间直角坐标系Ouvw ,其中原点不变,使坐标平面Ouvw 与平面0=++cz by ax 重合,并使Ou 轴垂直于平面0=++cz by ax .则有 其实根据坐标系Ouvw 选取方法的描述,我们不难看出Ou 轴上的单位向量就可取作平面0=++cz by ax 的单位法线向量.则222cb a cz by ax u ++++=(注意到,显然222cb a cz by ax u ++++=为点()z y x P ,,到平面0=++cz by ax 的距离).则 ()dS cz by ax f S⎰⎰++()d S c b a u f S⎰⎰++=222显然在新坐标系下,球面的形状并未改变(仍记为S ),且它的方程应为1222=++w v u(因为在新的坐标系下,任何一个球面上的点到原点的距离仍然为1.)得: ()22221uw v -=+当u 固定时,1222=++w v u 表示垂直于Ou 轴平面上的一个圆周. 进一步,我们把S 化为参数方程表示:.20,11,sin 1,cos 1,22πθθθ≤≤≤≤-⎪⎩⎪⎨⎧-=-==u u w u v u u,1='uu ,cos 12θuu v u --=';sin 12θuu w u--=',0='θu ,sin 12θθu v --='.cos 12θθu w -=' ;112222u w v u E u u u-='+'+'= ;0...=''+''+''=θθθw w v v u u F u u u.12222u w v u G -='+'+'=θθθ因此, 曲面的元素dS =dudv =故()dS cz by ax f S⎰⎰++()d S c b a u f S⎰⎰++=222()d u c b a u f d ⎰⎰-++=πθ2011222().211222⎰-++=du c b a u f π12(P210,第4题)设某种物质均匀分布在球面2222a z y x =++上(认为分布密度1=ρ).求它对于oz 轴的转动惯量.解:由公式 ()d Sy x J S⎰⎰+=22由对称性 ()d S y x J S ⎰⎰+=1228其中 2221:y x a z S --=,则z z x y ∂∂==∂∂,所以,dS ==.因此 ()dxdy yx a a y x S S xyD ⎰⎰--+==222221.88rdr ra r d a a.8022220⎰⎰-=πθ极()rdr ra a a ra a .4022222⎰-+-=πrdr r a a a.4022⎰--=πrdr ra a a.140223⎰-+π()22022.2r a d r a a a--=⎰π()220223.12r a d ra a a ---⎰π()|232232.2a r a a -=π|02232.2ar a a --π434a π-=44a π+ .384a π=13(P217,第1题)沿圆锥面()122≤=+z y x S 的下侧,求曲面积分d S.⎰⎰,其中{}.,,z y x =解:⎰⎰⎰⎰++=SSzdxdy ydzdx xdydz S d r .化为第一型曲面积分计算.S 的向下的法向量{}⎪⎭⎪⎬⎫⎪⎩⎪⎨⎧-++=-''=1,,1,,2222y x y y x x z z yx ,所以{}.cos ,cos ,cos 21,2,222220γβα=⎪⎭⎪⎬⎫⎪⎩⎪⎨⎧-++==y x y y x x n 故⎰⎰⎰⎰++=SSzdxdy ydzdx xdydz d .()⎰⎰++=SdS z y x γβαcos .cos .cos .⎰⎰⎪⎪⎪⎭⎫⎝⎛-+++=S dS z y x y yx x 222222222 ⎰⎰⎪⎪⎭⎫ ⎝⎛-+=S dS z y x 2222(根据第一型曲面积分的计算方法) ⎰⎰=⎪⎪⎭⎫⎝⎛+-+=xy D dxdy y x y x .02222222 14(P217,第2题)沿椭球面1222222=++cz b y a x 的外侧,求曲面积分.⎰⎰⎪⎪⎭⎫⎝⎛++S z dxdy y dzdx x dydz解:把S 分割为21,S S 两个部分.其中,222211:b y a x c z S --=(上侧);222221:by a x c z S ---=(下侧).21,S S 向xoy 面上的投影区域均为.1:2222≤+by a x D xy故 dxdy b ya x c z dxdyxyD S ⎰⎰⎰⎰--=2222111作变量代换: ⎩⎨⎧==.sin ,cos θθbr y ar x由二重积分的换元法 dr abrd rc dxdy b y a x c D D xyθ⎰⎰⎰⎰'-=--222221111.其中 ()()abr br b ar a y r yxrxr y x J =-=∂∂∂∂∂∂∂∂=∂∂=θθθθθθθcos sin sin cos ,,⎩⎨⎧≤≤≤≤'.20,10:πθr D 所以=⎰⎰1S zdxdy dr abrd rc dxdy b y a x c D D xyθ⎰⎰⎰⎰'-=--222221111dr r r d c ab ⎰⎰-=πθ2010211dr r rd c ab ⎰⎰-=πθ2010211所以, ().212111|1022102πππcab r c ab r d r c ab =⎥⎦⎤⎢⎣⎡--=---=⎰ 由轮换对称性,知: πa bc x dzdy S4=⎰⎰; .4πb ac y dzdx S=⎰⎰ 故⎰⎰⎪⎪⎭⎫⎝⎛++Sz dxdy y dzdx x dydz +=⎰⎰S z dxdy +⎰⎰S x dzdy⎰⎰Sy dzdx+=πc ab 4πa bc 4().44222222a c c b b a abcb ac ++=+ππ15(P217,第3题)沿球面()()()2222R c z b y a x =-+-+-的外侧,求曲面积分.222⎰⎰++Sdxdy z dzdx y dydz x解:把S 分割为21,S S 两个部分.其中,()()2221:b y a x R c z S ----+=(上侧);()()2222:b y a x R c z S -----=(下侧).21,S S 向xoy 面上的投影区域均为:xy D ()()222R b y a x ≤-+-故 ()()dxdy b y a x R c dxdy z xyDS ⎰⎰⎰⎰⎥⎦⎤⎢⎣⎡----+=222221作变量代换: ⎩⎨⎧+=+=.sin ,cos θθr b y r a x由二重积分的换元法()()[]rdr r R c dxdy b y a x R c D D xy⎰⎰⎰⎰'-+=⎥⎦⎤⎢⎣⎡----+2222222.其中 ()()r r r y r yxrx r y x J =-=∂∂∂∂∂∂∂∂=∂∂=θθθθθθθcos sin sin cos ,,⎩⎨⎧≤≤≤≤'.20,0:πθR r D 所以=⎰⎰12S dxdy z[]rdr rR c D 222⎰⎰'-+()dr r rR c d R⎰⎰-+=πθ20222()rdr rR c R2222⎰-+=π()r dr r R r R c c R⎰-+-+=02222222πrdr r R c rdr c R R ⎰⎰-+=02202222ππ()rdr r R R⎰-+0222π()()|||0222023220222132.222RR R r R r R c r c ⎥⎦⎤⎢⎣⎡--⎥⎦⎤⎢⎣⎡--⎪⎪⎭⎫ ⎝⎛=πππ.2344322R cR R c πππ++=(1)同理()()dxdy b y a x R c dxdy z xyDS ⎰⎰⎰⎰⎥⎦⎤⎢⎣⎡------=222221()dr r r R c d R⎰⎰⎥⎦⎤⎢⎣⎡---=πθ200222()rdr r R c R 20222⎰---=πrdr r R c rdr cRR⎰⎰-+-=0222222ππ()r dr r R R⎰--0222π()()|||0222023220222132.222RR R r R r R c r c ⎥⎦⎤⎢⎣⎡-+⎥⎦⎤⎢⎣⎡--⎪⎪⎭⎫ ⎝⎛-=πππ.2344322R cR R c πππ-+-= =⎰⎰Sdxdy z 2+⎰⎰12S dxdy z 32382cR dxdy z S π=⎰⎰ ; 由轮换对称性,知: =⎰⎰Sdydz x 2338aR π; =⎰⎰Sdzdx y 2.383bR π 故.222⎰⎰++Sdxdy z dzdx y dydz x ⎰⎰=Sdydz x 2⎰⎰Sdzdxy 2⎰⎰Sdxdy z2().383c b a R ++=π16(P217,第4题)设S 为长方体()c z b y a x ≤≤≤≤≤≤0,0,0的表面.沿外侧求曲面积分 ⎰⎰Sxyzdxdy解:把S 分割为654321,,,,,S S S S S S 六个部分. 其中 ()b y a x c z S ≤≤≤≤=0,0:1的上侧; ()b y a x z S ≤≤≤≤=0,00:2的下侧; ()c z b y a x S ≤≤≤≤=0,0:3的前侧; ()c z b y x S ≤≤≤≤=0,00:4的后侧; ()c z a x b y S ≤≤≤≤=0,0:5的右侧; ()c z a x y S ≤≤≤≤=0,00:6的左侧.注意到除21,S S 外,其余四片曲面在xoy 面上的投影为零,因此 =⎰⎰Sxyzdxdy +⎰⎰1S xyzdxdy ⎰⎰2S xyzdxdy⎰⎰=xyD xycdxdy ⎰⎰-xyD dxdy xy 0.c b a ydy xdx c ab.40022⎰⎰==17(P225第1题)利用格林公式计算下面的曲线积分(l 的方向为正方向): (ⅰ)()dy xy dx y x l22+-⎰,l 为圆周()222a y x =+;(ⅱ)()()dy y x dx y x l--+⎰,l 为椭圆⎪⎪⎭⎫⎝⎛=+12222b y a x ; (ⅲ)()xdy dx y l+-⎰,l 为曲线()1=+y x ;(ⅳ)()()dy y y e dx y e x lx sin cos 1---⎰,l 为区域().sin 0,0x y x D <<<<π;18(P225第2题)求()()dy m y e dx my y eI x xL-+-=⎰cos sin ,(m 为常数) 其中l 是自点()0,a A 经过圆周()022>=+a ax y x 的上半部分到点O(0,0)的半圆周.(提示:作辅助线后用格林公式). 解:cos ,cos x x P Qe y m e y y x∂∂=-=∂∂. 所以,由格林公式:221...428AO OA D DQ P a dxdy mdxdy m ma x y ππ⋂⎡⎤∂∂+=-===⎢⎥∂∂⎣⎦⎰⎰⎰⎰⎰⎰.所以,2220.888AO OAma ma ma I πππ⋂==-=-=⎰⎰ (因为,⎰⎰==OAadx 0.00)19(P225第5题)设函数()x f 在正半轴()0>x 上有连续导数()x f '且().21=f 若在右半平面内沿任意闭合光滑曲线l ,都有 ()043=+⎰dy x xf ydx x l求函数().x f解:()y x y x P 34,=,()()x xf y x Q =,都是右半平面上的连续函数,由于在右半平面内沿任意闭合光滑曲线l ,都有()043=+⎰dy x xf ydx x l故有xQ y P ∂∂=∂∂即 ()()x f x x f x '+=34 化简,得 ()()241x x f xx f =+' (1)为一阶线性微分方程,其通解为()⎥⎦⎤⎢⎣⎡+⎰⎰=⎰-c e x e x f dx xdx x 1214().1134xc x c x x +=+=代入条件()21=f ,得 .1=c故 ().13xx x f +=20(P226第6题)设D 是以光滑曲线l 为正向边界的有界闭区域,而函数()y x u u ,=在闭区域D 上具有连续的二阶偏导数且记2222yux u u ∂∂+∂∂=∆证明: ⎰⎰⎰∆=∂∂Dl udxdy ds n u其中()()yu x u n u ,cos ,cos ∂∂+∂∂=∂∂ 表示函数()y x u u ,=沿边界曲线l 外法线方向的方向导数.证明:设τ为曲线l 的正向的切线向量,其方向余弦为()x ,cos 、()y ,cos ,则有 ()()y x ,,τ=,()().,,x y τπ-=故 ()()y x ,cos ,cos τ=,()().,cos ,cos x y τ-=()()ds x y uy xu ds n u l l ⎰⎰⎪⎪⎭⎫ ⎝⎛∂∂-∂∂=∂∂,cos ,cos ττ(由两型曲线积分之间的联系)dx y udy x u l ⎰∂∂-∂∂=(格林公式) ⎰⎰⎥⎦⎤⎢⎣⎡⎪⎪⎭⎫ ⎝⎛∂∂-∂∂-⎪⎭⎫ ⎝⎛∂∂∂∂=D dxdy y u y x u x =⎪⎪⎭⎫⎝⎛∂∂+∂∂=⎰⎰D dxdy y u x u 2222.⎰⎰∆Dudxdy21(P226第7题)在第6题的假设和记号下,证明:.22ds n uu udxdy u dxdy y u x u D l D ⎰⎰⎰⎰⎰∂∂+∆-=⎥⎥⎦⎤⎢⎢⎣⎡⎪⎪⎭⎫ ⎝⎛∂∂+⎪⎭⎫ ⎝⎛∂∂ 证明:仿上题 ()()ds xy uy x u u ds n u ul l⎰⎰⎪⎪⎭⎫ ⎝⎛∂∂-∂∂=∂∂,cos ,cos ττ(由两型曲线积分之间的联系)dx yuu dy x u ul ⎰∂∂-∂∂=(格林公式) ⎰⎰⎥⎦⎤⎢⎣⎡⎪⎪⎭⎫ ⎝⎛∂∂-∂∂-⎪⎭⎫ ⎝⎛∂∂∂∂=Ddxdy y u u y x u u x ⎰⎰⎥⎦⎤⎢⎣⎡⎪⎪⎭⎫ ⎝⎛∂∂+∂∂∂∂+⎪⎪⎭⎫ ⎝⎛∂∂+∂∂∂∂=D dxdy y u u y u y u x u u x u x u 2222....dxdy y u x u u dxdy y u x u D D ⎪⎪⎭⎫ ⎝⎛∂∂+∂∂+⎥⎥⎦⎤⎢⎢⎣⎡⎪⎪⎭⎫ ⎝⎛∂∂+⎪⎭⎫ ⎝⎛∂∂=⎰⎰⎰⎰222222 udxdy u dxdy y u x u D D ∆+⎥⎥⎦⎤⎢⎢⎣⎡⎪⎪⎭⎫ ⎝⎛∂∂+⎪⎭⎫ ⎝⎛∂∂=⎰⎰⎰⎰22 移项,即得 .22ds n uu udxdy u dxdy y u x u D l D ⎰⎰⎰⎰⎰∂∂+∆-=⎥⎥⎦⎤⎢⎢⎣⎡⎪⎪⎭⎫ ⎝⎛∂∂+⎪⎭⎫ ⎝⎛∂∂ 22(P227第8题)格林第二公式 若函数()y x u u ,=和()y x v v ,=都满足第6题中的假设,证明: ds vu n v n u dxdy vuv u lD⎰⎰⎰∂∂∂∂=∆∆证明: ()()ds x y u y xu v ds n u vl l⎰⎰⎪⎪⎭⎫ ⎝⎛∂∂-∂∂=∂∂,cos ,cos ττ (由两型曲线积分之间的联系)dx yuv dy x u vl ⎰∂∂-∂∂=(格林公式) ⎰⎰⎥⎦⎤⎢⎣⎡⎪⎪⎭⎫ ⎝⎛∂∂-∂∂-⎪⎭⎫ ⎝⎛∂∂∂∂=Ddxdy y u v y x u v x ⎰⎰⎥⎦⎤⎢⎣⎡⎪⎪⎭⎫ ⎝⎛∂∂+∂∂∂∂+⎪⎪⎭⎫ ⎝⎛∂∂+∂∂∂∂=D dxdy y u v y u y v x u v x u x v 2222....⎰⎰⎰⎰⎥⎥⎦⎤⎢⎢⎣⎡⎪⎪⎭⎫ ⎝⎛∂∂+⎪⎭⎫ ⎝⎛∂∂+⎪⎪⎭⎫⎝⎛∂∂∂∂+∂∂∂∂=D D dxdy y u x u v dxdy y v y u x v x u 22.....⎰⎰⎰⎰∆+⎪⎪⎭⎫⎝⎛∂∂∂∂+∂∂∂∂=DD udxdy v dxdy y v y u x v x u (1)由轮换对称性,知 ds nv ul⎰∂∂...⎰⎰⎰⎰∆+⎪⎪⎭⎫ ⎝⎛∂∂∂∂+∂∂∂∂=DD vdxdy u dxdy y v y u x v x u(2)于是ds n v u n uv ds vun vnul l ⎰⎰⎪⎭⎫ ⎝⎛∂∂-∂∂=∂∂∂∂ ⎥⎦⎤⎢⎣⎡∆+⎪⎪⎭⎫ ⎝⎛∂∂∂∂+∂∂∂∂=⎰⎰⎰⎰D D udxdy v dxdy y v y u x v x u ..⎥⎦⎤⎢⎣⎡∆+⎪⎪⎭⎫ ⎝⎛∂∂∂∂+∂∂∂∂-⎰⎰⎰⎰D D vdxdy u dxdy y v y u x v x u .. ()⎰⎰∆-∆=Ddxdy v u u v .dxdy vuv u D⎰⎰∆∆=23(P227第9题)计算高斯(Gauss)积分()(b a I =,其中l 为简单(光滑)闭合曲线,为不在l 上的点()b a ,到l 上动点()y x ,的向量,而为l 上动点()y x ,处的法向量.解:设为曲线l 的正向的切线向量,其方向余弦为()x ,cos τ、()y ,cos τ,则 有 ()()y x ,,τ=,()().,,x y τπ-= 又设()(){}y x n ,cos ,,cos 0= ,{}b y a x --=,,则()()()()()()().,cos .,cos .,cos ,cos 2200b y a x y b y x a x n r n r -+--+-==⎪⎭⎫ ⎝⎛= 故(()()()()()().,cos .,cos .22b y a x y n b y x n a x -+--+-=()()()()()()()[]d s y b y x a x b y a x b a I l,cos ,cos .1,22-+--+-=⎰()()()()()()[]d s x b y y a x b y a x l,cos ,cos .122----+-=⎰ ()()()().22⎰-+----=lb y a x dx b y dy a x 记 ()()(),,22b y a x b y y x P -+---=()()().,22b y a x ax y x Q -+--=则()()()(),2222b y a x a x b y y P-+-----=∂∂()()()().2222b y a x a x b y x Q -+-----=∂∂它们在xoy 平面内除点 ()b a ,外处处连续,且.0=∂∂-∂∂yP xQ(一)若点()b a ,在l 所包围的区域D 外,原式=0;(二)若点()b a ,在l 所包围的区域D 内,以点()b a ,为中心作一个充分小的圆()()).0(:222>=-+-εεεb y a x l 取逆时针方向,使之完全包含在l 为边界的区域内.记介于εl 和l 之间的区域为'εD .则在'εD 由格林公式可得:()()()()⎰-+----l b y a x dx b y dy a x 22()()()()⎰-+-----εl b y a x dx b y dy a x 22.0⎰⎰'=⎥⎦⎤⎢⎣⎡∂∂-∂∂=εD dxdy y P x Q所以,()()()()⎰-+----=l b y a x dx b y dy a x I 22()()⎰---=εεldx b y dy a x 2()()⎰---=εεl dx b y dy a x 21(格林公式)()()ππεεεεε2.22112222===⎥⎦⎤⎢⎣⎡∂-∂-∂-∂=⎰⎰⎰⎰DD dxdy dxdy y y b x a x . 24(P227第10题)利用斯托克斯公式重新计算积分(例3) ()()(),⎰-+-+-=ldz y x dy z x dx y z I 其中l 是曲线⎩⎨⎧=+-=+.2,122z y x y x方向为从oz 轴正方向往负方向看去是顺时针方向. 解一:由斯托克斯公式dxdy yx zx yz z y x dxdy dzdx dydz2=---∂∂∂∂∂∂.取∑为平面2=+-z y x 上由椭圆所围成的那一小块曲面.(取下侧),因此{}1,1,1-=,.31,33,330⎭⎬⎫⎩⎨⎧-=n )()()()dS dxdy dz y x dy z x dx y z I l ⎰⎰⎰⎰⎰∑∑-=-=-+-+-=3122.2.23.312⎰⎰⎰⎰-=-=-=xyxyD D dxdy dxdy π解二:(直接计算)()()()⎰⎰⎰∑=-+-+-=dxdy dz y x dy z x dx y z I l2其中,.1:22≤+y x D xy所以,.22π-=-=⎰⎰dxdy I xyD .25(P238第1题)下面的向量场是否为保守场?若是,并求位势:u (){};sin cos 2,sin cos 2122y x x y x y y x f --=解:(1)这里()x y y x y x P sin cos 2,2-=,().sin cos 2,2y x x y y x Q -= 因为xQx y y x y P ∂∂=--=∂∂sin 2sin 2,()2,R y x ∈ 所以{}y x x y x y y x f sin cos 2,sin cos 222--=是定义在全平面上的保守场.所以,()+-dx x y y x sin cos 22()dy y x x y sin cos 22-是某一个函数()y x u ,的全微分. 故可取()()()()()dyy x x y dx x y y x y x u y x sin cos 2sin cos 2,2,0,02-+-=⎰()()dy y x x y dx x x yx ⎰⎰-+-=0202sin cos 2sin 00cos 2.cos cos 22y x x y +=则,所求的位势为 ().cos cos ,22c y x x y c y x u ++=+(){}.sin ,cos ,222z y e x z xe f y y --=--解:这里()()().sin ,,,cos ,,,2,,2z y z y x R e x z z y x Q xe z y x P y y -=-==--x Q xe y P y ∂∂=-=∂∂-2;y R z z Q ∂∂=-=∂∂sin ;.0zP x R ∂∂==∂∂ ().,,3R z y x ∈ 所以,{}z y e x z xe f y y sin ,cos ,22--=--为定义在全空间上的保守场.所以,+-dx xe y 2()zdz y dy e x z y sin cos 2---是某一个函数()z y x u ,,的全微分.(二)现取()()()()zdz y dy e x z dx xe z y x u y z y x y sin cos 2,,2,,0,0,0--+=--⎰取0M M 如图所示,从()0,0,00M 沿x 轴到点()0,0,1x M 再沿平行于y 轴的直线到点()0,,2y x M 最后沿平行于z 轴的直线到点(),,.M x y z 于是()()⎰⎰⎰-+-+=--z yyxzdz y dy ex dx xe z y x u 00200sin 0cos 2,,[]|||022cos zy yx z y e x y x+++=-()[]()y z y x e x y x y-+-++=-cos 222.cos 2z y e x y +=-则,所求的位势为 ().cos ,,2c z y e x c z y x u y ++=+- 26(P238第2题)证明式(14-31),并由此求下面的曲线积分: ()();).1(2,11,22⎰-xxdyydx ()()⎰++1,1,63,2,1.).2(xydz zxdy yzdx解:(一)要证式(14-31)成立,即要证若平面区域D 内保守力场()(){}y x Q y x P f ,,,=有位势()y x u ,,则对D 内的任意两点()()222111,,,y x M y x M ,有 ()()()()()().,,,.1122,,2211y x u y x u dy y x Q dx y x P y x y x -=+⎰事实上,因为()(){}y x Q y x P f ,,,=为保守力场,故()()dy y x Q dx y x P l ,.+⎰在D 内与路径无关,而只取决于路径的起点、终点.令()()()()()dy y x Q dx y x P y x v y x y x ,.,,,11+=⎰(1)则可证明()y x v ,也是f 在D 内的一个势函数.故 ()()C y x v y x u ≡-,, ,对任意()D y x ∈,成立(2)取()()11,,y x y x =,并注意到()0,11=y x v (因为沿闭合曲线的积分为零),得()()()111111,,,y x u y x v y x u C =-=(2)式中再取()()22,,y x y x =,并注意到(),0,11=y x v 得()()C y x v y x u =-2222,, 即 ()()()()().,,3,,11222222y x u y x u C y x u y x v --============Θ又由(1)式,注意到()y x v ,的记号,得 ()()()()()().,,,.1122,,2211y x u y x u dy y x Q dx y x P y x y x -=+⎰(二)()()⎰-2,11,22).1(x xdyydx 中,()2,x y y x P =,().1,2x xx y x Q -=-= 因为 xQx y P ∂∂==∂∂21,().0,,2≠∈x R y x 所以,2xxdyydx -是某一个函数()y x u ,的全微分. 故可取()()()⎰-=y x x xdy ydx y x u ,0,12,dy x dx y x ⎰⎰⎪⎭⎫ ⎝⎛-+=0110.x y -=所以 ()()()().2321121,22,12,11,22-=⎪⎭⎫ ⎝⎛---=-=-⎰u u x xdyydx()()⎰++1,1,63,2,1.).2(xydz zxdy yzdx 中,()()().,,,,,,,,xy z y x R zx z y x Q yz z y x P ===因为x Q z y P ∂∂==∂∂;y R x z Q ∂∂==∂∂;.zPy x R ∂∂==∂∂ ().,,3R z y x ∈ 所以,+yzdx xydz zxdy +是某一个函数()z y x u ,,的全微分. (二)现取()()()xydz zxdy dx yz z y x u z y x ++=⎰,,0,0,0,,取0M M 如图所示,从()0,0,00M 沿x 轴到点()0,0,1x M 再沿平行于y 轴的直线到点()0,,2y x M 最后沿平行于z 轴的直线到点(),,.M x y z 于是 ()⎰⎰⎰++=zyxxydz dy x dx z y x u 000.00,, .xyz =所以 ()()()().03,2,11,1,61,1,63,2,1=-=++⎰u u xydz zxdy yzdx 27(P238第5题)验证下列方程我全微分方程,并求通解:()();04332).1(=-++dy y x dx y x ()().03223).2(2222=+-++-dy y xy x dx y xy x解:()();04332).1(=-++dy y x dx y x这里,()()y x y x Q y x y x P 43,,32,-=+=.因为,xQy P ∂∂==∂∂3,是全微分方程.故:()()()()()dyy x dx y x y x u y x 4332,,0,0-++=⎰ ()()dy y x dx x yx ⎰⎰-++=004302[]||02223yx y xy x-+=.2322y xy x -+=通解为:c y xy x =-+2223.()().03223).2(2222=+--+-dy y xy x dx y xy x这里,()().32,,23,2222y xy x y x Q y xy x y x P -+-=+-=. 因为,xQ y x y P ∂∂=+-=∂∂22,所以方程是全微分方程. 故:()()()()()dy y xy x dx y xy x y x u y x 22,0,0223223,+--+-=⎰()()dy y xy x dx x yx⎰⎰-+-+=022023203[]||03223yx yxy y xx-+-+=.3223y xy y x x -+-=因此,所求方程的通解为:.3223c y xy y x x =-+-.28(P238第6题)设函数()y x u u ,=在凸区域(即包含区域内任意两点间的连线)2R ⊂Ω内连续可微分且K gradu ≤(常数).证明:对于Ω内任意两点B A ,,都有 ()()().,.B A d K B u A u ≤- 其中()B A d ,表示点B A ,之间的距离.证明:由于Ω为凸区域,故线段AB 整个属于Ω.设点B 的坐标为()000,,z y x ,点A 的坐标为()111,,z y x ,且令.,,010101z z z y y y x x x -=∆-=∆-=∆ 考虑一元函数()()z t z y t y x t x u t f ∆+∆+∆+=000,, ().10≤≤t (1) 显然,()()()().1,0A u f B u f ==(2)且()t f 在[]1,0上可微,并且 ()()x z t z y t y x t x u t f x ∆∆+∆+∆+'='.,,000 ()y z t z y t y x t x u y ∆∆+∆+∆+'+.,,000()z z t z y t y x t x u z ∆∆+∆+∆+'+.,,000 (3)于是,由微分学中值定理知()()()()()ξf f f B u A u '=-=-01()()=3Θ()x z z y y x x u x ∆∆+∆+∆+'.,,000ξξξ ()y z z y y x x u y ∆∆+∆+∆+'+.,,000ξξξ()z z z y y x x u z ∆∆+∆+∆+'+.,,000ξξξ ()..,,000z z y y x x gradu ∆+∆+∆+=ξξξ (4)由(4)式可知 ()()(z z y y x x gradu B u A u ,,000∆+∆+∆+=-ξξξ()().,..,,000B A d K z z y y x x gradu ≤∆+∆+∆+≤ξξξ29(P238第7题)求向量场⎪⎭⎫ ⎝⎛=x y grad f arctan 沿下列曲线l 的环量: (ⅰ)l 为圆周()()12222=-+-y x ;l 为圆周422=+y x (分为左、右半圆周分别计算).解: ⎭⎬⎫⎩⎨⎧⎪⎭⎫ ⎝⎛∂∂⎪⎭⎫ ⎝⎛∂∂=⎪⎭⎫ ⎝⎛=x y y x y x x y grad f arctan ,arctan arctan.,2222⎭⎬⎫⎩⎨⎧++-=y x x y x y (ⅰ) 2222.y x xdyy x ydx d f l l +++-=⎰⎰(格林公式)dxdy y x y y y x x x D⎰⎰⎥⎦⎤⎢⎣⎡⎪⎪⎭⎫⎝⎛+-∂∂-⎪⎪⎭⎫ ⎝⎛+∂∂=2222()().022********=⎥⎥⎦⎤⎢⎢⎣⎡+--+-=⎰⎰dxdy y x x y y x x y D (ⅱ)⎰⎰+-=ll y x ydx xdy d f 22.[].22.241412ππ==-=⎰l ydx xdy 30(P238第8题)求,f rot 其中().2,3,32x y z x y z f ---= 解:⎭⎬⎫⎩⎨⎧∂∂-∂∂∂∂-∂∂∂∂-∂∂=y P x Q x R z P z Q y R f rot ,,{}.6,4,2= 31(P238第9题)证明: ()f gradu f urot f u rot ⨯+=. 解:设()()(){}z y x R z y x Q z y x P f ,,,,,,,,=,则()()(){}.,,,,,.,,,z y x uR z y x Q u z y x uP uf =()()()()()()⎭⎬⎫⎩⎨⎧∂∂-∂∂∂∂-∂∂∂∂-∂∂=y uP x uQ x uR z uP z uQ y uR f rot ,, ,,{⎪⎭⎫ ⎝⎛∂∂+∂∂-⎪⎭⎫ ⎝⎛∂∂+∂∂⎪⎭⎫ ⎝⎛∂∂+∂∂-⎪⎪⎭⎫ ⎝⎛∂∂+∂∂=x u R x R u z u P z P u z u Q z Q u y u R y R u },⎪⎪⎭⎫ ⎝⎛∂∂+∂∂-⎪⎭⎫ ⎝⎛∂∂+∂∂y u P y P u x u Q xQu⎭⎬⎫⎩⎨⎧∂∂-∂∂∂∂-∂∂∂∂-∂∂=y P x Q x R z P z Q y R u ,,⎭⎬⎫⎩⎨⎧⎪⎪⎭⎫ ⎝⎛∂∂-∂∂+⎪⎭⎫ ⎝⎛∂∂-∂∂-⎪⎪⎭⎫ ⎝⎛∂∂-∂∂+y u P x u Q z u P x u R z u Q y u R ,.f gradu f urot ⨯+= 31(P246第1题)利用奥-高公式计算下列各曲面积分:(ⅰ)⎰⎰++Szdxdy ydzdx xdydz ,沿球面()()()2222R c z b y a x =-+-+-外侧;(ⅱ)⎰⎰++Sdxdy z dzdx y dydz x 333,沿正方体()10,10,10≤≤≤≤≤≤z y x 外表面;(ⅲ)()()()[]d S z z y y x x S⎰⎰++,cos ,cos ,cos 222,沿锥面()h z y x S ≤=+22的下侧;(ⅳ),3dxdy z S⎰⎰沿上半球面222y x a z --=的上侧.解:(ⅰ)⎰⎰++Szdxdy ydzdx xdydz (奥-高公式)()()()⎰⎰⎰Ω⎥⎦⎤⎢⎣⎡∂∂+∂∂+∂∂=dv z z y y x x .434.3333R R dv ππ===⎰⎰⎰Ω(ⅱ)⎰⎰++Sdxdy z dzdx y dydz x 333(奥-高公式)()()()xdydz d z z y y x x ⎰⎰⎰Ω⎥⎦⎤⎢⎣⎡∂∂+∂∂+∂∂=333()⎰⎰⎰Ω++=dxdydz z y x 2223=3(ⅲ)若取h z S =:1(上侧).则S 与1S 一起构成一个封闭曲面.记它们所围成的空间闭区域为Ω.在Ω上利用奥-高公式,便得:()()()[]d S z n z y n yx n x S S ⎰⎰+++1,cos ,cos ,cos 222dxdy z dzdx y dydz xS S 2221++=⎰⎰+ (奥-高公式)()()()xdydz d z z y y x x ⎰⎰⎰Ω⎥⎦⎤⎢⎣⎡∂∂+∂∂+∂∂=222()⎰⎰⎰Ω++=dxdydz z y x 2⎰⎰⎰Ω=zdxdydz 2(=⎰⎰⎰Ωxdxdydz 0=⎰⎰⎰Ωydxdydz )dz z rdr d h h r⎰⎰⎰=πθ202()dr r h r d h⎰⎰-=πθ20022212 .24πh = 所以 ()()()[]d S z n z y n y x n x S⎰⎰++,cos ,cos ,cos 222dxdy z dzdx y dydz x h S 222212++-=⎰⎰π=-=⎰⎰dxdy h h xyD 222π.2.22222πππh h h h =-=(ⅳ),3dxdy z S⎰⎰沿上半球面222y x a z --=的上侧.若取0:1=z S (下侧).则S 与1S 一起构成一个封闭曲面.记它们所围成的空间闭区域为Ω.在Ω上利用奥—高公式,便得:。
关于在曲线曲⾯上积分的⽅法公式与技巧第⼀类曲线积分与第⼀类曲⾯积分从命名分析:第⼀类曲线曲⾯积分⼜被称为对弧长的曲线积分与对⾯积的曲⾯积分,这也表明第⼀类积分实际上是将我们熟悉的定积分(⼀元定积分与⼆重积分)中积分区域限定在⼀定长度的曲线上或⼀点⾯积的曲⾯上。
由于曲线与曲⾯是分段光滑的,被积函数在定义域上是对应⾜够连续的,这使得我们处理这类问题时关键问题是如何将弧长元素与⾯积元素转换为定积分中的d x 与⼆重积分中的d σ.计算公式:1、关于第⼀类曲线积分当使⽤参数⽅程描述三维曲线时,Γ:{x =x (t );y =y (t );z =z (t )} α≤t ≤β,弧长元素: ds =x ′2(t )+y ′2(t )+z ′2(t )dt 从⽽在指定区域上的第⼀类曲线积分可转换为,计算指定区间(α≤t ≤β)上对⼀元被积函数F (t )=f (x ,y ,z )关于微元ds =x ′2(t )+y ′2(t )+z ′2(t )dt 的定积分问题。
2、关于第⼀类曲⾯积分:当给定的曲⾯是关于Σ:z =z (x ,y )的显化表达式时,⾯积元素dS =1+z ′2x +z ′2y d σ从⽽在指定区域上的第⼀类曲⾯积分可转化为,计算指定区域(D =Pri z =0Σ)上对⼆元被积函数F (x ,y )=f (x ,y ,z (x ,y ))关于微元dS =1+z ′2x +z ′2y d σ的⼆重积分问题。
第⼆类曲线积分与第⼆类曲⾯积分从命名分析:第⼆类曲线曲⾯积分⼜被称为对坐标的曲线曲⾯积分,在实际问题上关于空间⼀点(x ,y ,z )∈R 3⽮量函数→A (x ,y ,z )沿着⼀定区域的积分结果。
在数学上常常将该⽮量→A 的对应分量表⽰为P (x ,y ,z ),Q (x ,y ,z ),R (x ,y ,z )他们都是关于位置坐标的函数,从⽽第⼆类积分有五种形式,⽽辨别它们并相互转化⼗分重要。
曲线积分与曲面积分曲线积分和曲面积分是微积分中的重要概念,它们在物理、工程等领域中有着广泛的应用。
本文将详细介绍曲线积分和曲面积分的定义、计算方法以及应用。
一、曲线积分曲线积分是沿曲线上的各点对一个矢量场进行积分的操作。
它可以帮助我们计算曲线周围矢量场的某种性质,如流量、环量等。
曲线积分可以分为第一类曲线积分和第二类曲线积分。
1. 第一类曲线积分第一类曲线积分又称为曲线上的标量场积分,它的计算只涉及到被积函数。
设曲线C的参数方程为x=f(t),y=g(t),z=h(t),其中a≤t≤b。
对于曲线上每一点P(x,y,z),记r(t)=x i + y j + z k为P的位置矢量,则第一类曲线积分的定义为:∫[f(x,y,z)]•ds=∫[f(x(t),y(t),z(t))•r'(t)]dt其中[f(x,y,z)]为被积函数,ds为曲线C上各点的弧长元素,r'(t)为曲线C在P点处的切向量。
2. 第二类曲线积分第二类曲线积分又称为曲线上的矢量场积分,计算是将矢量场与切向量进行点积。
设曲线C的参数方程为x=f(t),y=g(t),z=h(t),其中a≤t≤b。
对于曲线上每一点P(x,y,z),记r(t)=x i + y j + z k为P的位置矢量,则第二类曲线积分的定义为:∫[F(x,y,z)]•dr=∫[F(x(t),y(t),z(t))•r'(t)]dt其中[F(x,y,z)]为矢量场,dr为曲线C上各点的位置矢量元素,即dr=r'(t)dt。
二、曲面积分曲面积分是在曲面上对一个矢量场或标量场进行积分的操作。
它可以帮助我们计算曲面上矢量场的通量、曲面的面积等。
曲面积分同样可以分为第一类曲面积分和第二类曲面积分。
1. 第一类曲面积分第一类曲面积分又称为曲面上的标量场积分,它的计算只涉及到被积函数。
设曲面S的参数方程为x=g(u,v),y=h(u,v),z=k(u,v),其中D 为曲面S在(u,v)平面上的投影区域。
曲线、曲面积分部分难题解答1.(P201,第1题)计算下列标量函数的曲线积分(第一型曲线积分): (ⅰ)⎰lxyds ,l 为抛物线x y 22=上从原点)0,0(O 到点)2,2(A 的弧⋂OA ;(ⅱ)()⎰+l ds y x 22,l 为联结点)0,0(O 、)0,2(A 和)1,0(B 的三角形围线; (ⅲ)⎰+l s d y x 22,l 为圆周()022>=+a ax y x ;(ⅳ)()⎰++l ds z y x 222,l 为螺线()0,sin ,cos >===b bt z t a y t a x 的 一段弧()π20≤≤t ;(ⅴ)⎰l zds ,l 为曲线()⎩⎨⎧>===0,2222a ax y z y x 上从点)0,0,0(O 到)2,,(a a a A 的一段弧.解:(ⅰ)[]2,0,,21:2∈⎪⎩⎪⎨⎧==y y y y x l ,.1122dy y dy dy dx ds +=⎪⎪⎭⎫ ⎝⎛+= 所以dy y y y xyds l 22201..21+=⎰⎰(令t y tan =)tdt t 332arctan 0sec .tan 21⎰= ()t td t sec sec .tan 21222arctan 0⎰=()()t td t sec sec .1sec 21222arctan 0-=⎰()()⎥⎦⎤⎢⎣⎡+---=⎥⎦⎤⎢⎣⎡-=315153155121sec 31sec 5121352arctan 035|t t .15135515255315521+=⎥⎦⎤⎢⎣⎡+-=(ⅱ)解:()⎰+l ds y x 22⎰⎰⎰++=OA AB OB()()3801.022222222==++=+⎰⎰⎰dx x dx x ds y xOA; ,其中:.20,,0:≤≤⎩⎨⎧==x xx y OA()()[]()dy y y ds y xAB21222221.22-++-=+⎰⎰().535485512=+-=⎰dy y y其中:.10,,22,:≤≤⎩⎨⎧-==y y x y y AB()().3101.020********==++=+⎰⎰⎰dy y dy y ds y xBO,其中:.10,,0:≤≤⎩⎨⎧==y y y x BO所以.3535+=++=⎰⎰⎰OAABOBI (ⅲ)解法一:.20,sin 2,cos 22:π≤≤⎪⎪⎩⎪⎪⎨⎧=+=t t a y t a a x l ()().2cos 2sin 22222dt a dt t a t a dt t y t x ds =⎪⎭⎫⎝⎛+⎪⎭⎫ ⎝⎛-='+'=所以,()dt a t a t a s d y x l2sin 4cos 1420222222⎰⎰⎥⎦⎤⎢⎣⎡++=+π()dt t a ⎰+=π202cos 124dt ta ⎰=π20222sin 2.24dt t a ⎰=π2022sin 2.22cos 22sin 2202202|a t a t d t a =⎪⎭⎫ ⎝⎛-=⎪⎭⎫ ⎝⎛=⎰ππ 解法二:化l 为极坐标表示:().2,2,cos :⎥⎦⎤⎢⎣⎡-∈=ππθθθa r l则()().22,sin .cos sin ,cos cos :2πθπθθθθθθθ≤≤-⎩⎨⎧====a r y a r x l ()()()().sin cos 2222θθθθθad dt a a dt r r ds =-+='+=所以,()()[]θθθθππad a a s d y x l⎰⎰-+=+2222222sin cos cosθθππd a a ⎰-=2222cos .2sin 2cos 2220222|a a d a===⎰ππθθθ(ⅳ)()()()()()dt b a dt b t a t a dt t z t y t x ds 22222222cos sin +=++-='+'+'=()()()()[]dt b a bt t a t a ds z y x l2220222222.sin cos +++=++⎰⎰π()|203222220222223ππ⎥⎦⎤⎢⎣⎡++=++=⎰t b t a b a dt t b a b a[].433222222b a b a ++=ππ2.(P201,第2题)设有某种物质分布在椭圆1:2222=+by a x l 上,其密度().,y y x =μ求它的总质量.解:不妨假设.b a >⎰⎰==14l l yds ds y M ,其中.2,0,sin ,cos ;1⎥⎦⎤⎢⎣⎡∈⎩⎨⎧==πt t b y t a x l()()()().cos sin cos sin 22222222dt t b t a dt t b t a dt t y t x ds +=+-='+'=所以dt t b t a t b yds M l 222220cos sin sin 441+==⎰⎰π()dt t b a a t b 222220cos sin 4--=⎰π()()t d t b a a b cos cos 4202222⎰---=π()du u b a a b 2222014---=⎰()du u b a a b 222214--=⎰du u ba a ba b ⎰---=202222224π(公式) |102222222222222arcsin .2.4⎥⎥⎥⎥⎦⎤⎢⎢⎢⎢⎣⎡--+---=u b a a u b a au b a a b a b ()⎥⎥⎥⎥⎦⎤⎢⎢⎢⎢⎣⎡--+---=21arcsin .2.42222222222b a a a b a b a a b a b.arcsin ..222222⎥⎥⎦⎤⎢⎢⎣⎡+--=b a b a b a a b 3.(P202,第3题)设曲线l 的长度为L ,而函数f 在包含l 的某个区域内连续.证明:()().max .P f L ds P f lP l∈≤⎰证明:由第一型曲线积分的定义()()ini id ls P f ds P f ∆=∑⎰=→.lim 1故()()ini id lsP f ds P f ∆=∑⎰=→.lim 1()i ni i d s P f ∆=∑=→.lim 10()i ni i d s P f ∆≤∑=→.lim 1()i ni lp d s P f ∆≤∑=∈→.max lim 1().max .P f L lP ∈=4.(P202,第4题)从原点()0,0O 到点()2,1A 沿下列不同路径分别计算第二型曲线积分.⎰⋂-OAydx xdy(1).⋂OA 为直线段;(2).⋂OA 为抛物线22x y =上的弧;(3).⋂OA 为从点()0,0O 经点()0,1B 到点()2,1A 的折线⋂OBA . 解:(1) .1~0:,,2:x x x x y OA ⎩⎨⎧==⋂[].022.1=-=-⎰⎰⋂dx x x ydx xdy OA(2).1~0:,,2:2x xx x y OA ⎩⎨⎧==⋂[].323224.|10312==-=-⎰⎰⋂x dx x x x ydx xdy OA(3).220=+=+=+⎰⎰⎰⋂OBBAOAydx xdy其中,.1~0:,.,0:x x x y OB ⎩⎨⎧==();000.1=-=-⎰⎰dx x ydx xdy OB其中,.2~0:,.,1:y y y x BA ⎩⎨⎧==().20.12=-=-⎰⎰dy y ydx xdy BA5.(P202,第5题)计算曲线积分 .⎰+lxdy ydx(1).l 为从点()0,a 点()0,a -的上半圆周()022>-=a x a y ; (2). l 为从点()0,a 点()0,a -的直线段()0>a ; (3). l 为逆时针方向的圆周.222a y x =+ 解:(1) .~0:,sin ,cos :πt t a y t a x l ⎩⎨⎧==()()()()[]dt t a t a t a t a xdy ydx l⎰⎰+-=+πcos .cos sin .sin ==⎰dt t aπ22cos 02sin 2|02=πt a .(2).~:,,0:a a x x x y l -⎩⎨⎧==().00.0=+=+⎰⎰-dx x xdy ydx aal(3).2~0:,sin ,cos :πt t a y t a x l ⎩⎨⎧==()()()()[]dt t a t a t a t a xdy ydx l⎰⎰+-=+π20cos .cos sin .sin ==⎰dt t aπ2022cos 02sin 2|202=πt a .6.(P202,第6题)计算沿逆时针方向的圆周()222a y x =+的曲线积分 ()().22⎰+--+ly x dy y x dx y x解:π2~0:,.sin ,cos :t t a y t a x l ⎩⎨⎧==,所以,()()⎰+--+ly x dy y x dx y x 22()()()()dt a t a t a t a t a t a t a ⎰---+=π202cos .sin cos sin sin cos.22022ππ-=-=⎰dt aa 7.(P202,第7题)计算下列曲线积分,曲线的方向与参数增加方向: (ⅰ)()()d y xy y dx xy x l⎰-+-2222,l 为抛物线()112≤≤-=x x y ;(ⅱ)()()d y y x dx y x l ⎰-++2222,l 为折线()2011≤≤--=x x y ; (ⅲ)()dz x yzdy dx z y l ⎰-+-2222,l 的参数方程为().10,,3,2≤≤⎪⎩⎪⎨⎧===t t z t y t x ;解:(ⅰ).1~1:,:2-⎩⎨⎧==x x y x x l()()d y xy y dx xy xl⎰-+-2222()()[]d x x x x x x x x⎰--+-=1124222..2.2[].151454324|10531142-=⎥⎦⎤⎢⎣⎡-=-=⎰-x x dx x x (ⅱ)设点().0,1A 则()()dy y x dx y xL2222-++⎰()()dy y x dx y xOA2222-++=⎰()()dy y x dx y xAB2222-+++⎰其中.1~0:,,:x x x x y OA ⎩⎨⎧==故()()()()[]d x x x x x dy y x dx y xOA⎰⎰-++=-++122222222.32322|103102===⎰x dx x ; 其中.2~1:,,2:x x x x y AB ⎩⎨⎧=-=故()()()()()()()[]d x x x x x dy y x dx y xAB⎰⎰---+-+=-++21222222221.22()().3232222|213212=-=-=⎰x dx x 所以原式.343232=+=(ⅲ)()dz x yzdy dx z y l ⎰-+-2222()[]d t t t t t t t t ⎰-+-=102232643.2 (2)[].351527323|10571046=⎪⎭⎫ ⎝⎛-=-=⎰t t dt t t8.(P202,第8题)设曲线l 的长度为L ,而函数()P f 在包含l 的某个区域内连续.证明:())....P L P f lP l∈≤⎰证明:设()()(){}.,21P f P f P f =由第二型曲线积分的定义及柯西不等式()()()[]∑⎰=→∆+∆=ni i i iid ly P f xP f r d P f 121..lim .故()()()[]∑⎰=→∆+∆=ni i i iid ly P f xP f P f 121..lim .()()[]∑=→∆+∆≤ni i i i i d y P f x P f 1210..lim()()()()22122210.lim i i ni i i d y x P f P f ∆+∆+≤∑=→)()()221.lim i i ni i d y x P ∆+∆==→)()())⎰∑=→=∆+∆≤li i ni d ds P y x P ..lim 221)P L =.9.(P209,第1题)求下列曲面块的面积:(ⅰ)球面2222a z y x =++包含在圆柱面()a b b y x ≤<=+0222内的那部分面积;(ⅱ)圆锥面22y x z +=被圆柱面x y x 222=+截下的那一部分; (ⅲ)圆柱面222a y x =+被圆柱面222a z y =+截下的那一部分.解:(ⅰ)画出示意图222:b y x D xy ≤+. 将曲面方程化为:z ∑=z z x y ∂∂==∂∂,所以,dS ==.因此dxdy yx a a S S xyD ⎰⎰--==22222上⎥⎦⎤⎢⎣⎡--=-=⎰⎰|022022202.2122b br a a ra ardrd πθπ极().422b a a a --=π(ⅱ)画出示意图x y x D xy 2:22≤+. 由曲面方程22:y x z +=∑,得,22yx x xz+=∂∂,22yx y yz +=∂∂,所以,,2122dxdy dxdy y z x z dS =⎪⎪⎭⎫⎝⎛∂∂+⎪⎭⎫ ⎝⎛∂∂+=. 因此().222π===⎰⎰xy D D S dxdy S xy(ⅲ)利用对称性(仅在第一卦限内计算)18S S =,曲面1∑(1∑为∑在第一卦限的那部分,其面积设为1S )向yoz 面上的投影区域为222:a z y D yz ≤+. 将曲面1∑方程化为22y a x -=,则,22y a y yx --=∂∂,0=∂∂zx,所以, dydz ya a dydz z x y x dS 22221-=⎪⎭⎫⎝⎛∂∂+⎪⎪⎭⎫ ⎝⎛∂∂+=.因此dydz ya a S S yzD ⎰⎰-==22188⎰⎰--=2202208y a adz y a a dy .8820a adz a==⎰10.(P209,第2题)求下列曲面积分:(ⅰ)()⎰⎰++Sy x dS21,式中S 为四面体()1,0,0,0≤++≥≥≥z y x z y x 的表面; (ⅱ)()d S y x S⎰⎰+22,式中S 为圆柱体()h z a y x ≤≤≤+0,222的表面;(ⅲ)()dS z y x S⎰⎰++,式中S 为球面()2222a z y x =++的表面.解:(ⅰ).4321S S S S S +++= 其中,0:1=z S dxdy dS =1,()()()dy y x dx dxdy y x y x dSxD S xy⎰⎰⎰⎰⎰⎰-++=++=++1010222111111dx x dx y x x ⎰⎰⎪⎭⎫ ⎝⎛-+=⎥⎦⎤⎢⎣⎡++-=-101010211111| ()212ln 211ln 2111|1010-=-+=⎪⎭⎫⎝⎛-+=⎰x dx x ;,0:2=x S dydz dS =2,()()()dz y dy dydz y y x dSyD S yz⎰⎰⎰⎰⎰⎰-+=++=++10102221101112()()dy y y dy y y⎰⎰⎪⎪⎭⎫⎝⎛+-+=+-=1212111211 ()2ln 11ln 12||101-=+-+-=y y ;,0:3=y S dzdx dS =3,()()()dz x dx dzdx x y x dSxD S zx ⎰⎰⎰⎰⎰⎰-+=++=++10102221101113()()dx x x dx x x⎰⎰⎪⎪⎭⎫⎝⎛+-+=+-=10212111211 ()2ln 11ln 12||101-=+-+-=x x ;,1:4y x z S --= dxdy dS 34=,()()()dz y x dx dxdy y x y x dSxD S xy⎰⎰⎰⎰⎰⎰-++=++=++101022211311314dx x dx y x x ⎰⎰⎪⎭⎫⎝⎛-+=⎥⎦⎤⎢⎣⎡++-=-101010********| ().212ln 33211ln 321113|1010⎪⎭⎫ ⎝⎛-=-+=⎪⎭⎫⎝⎛-+=⎰x dx x ; 所以()⎰⎰++S y x dS 21()+++=⎰⎰121S y x dS()+++⎰⎰221S y x dS()⎰⎰++321S y x dS ()⎰⎰++421S y x dS()()().32ln 2213212ln 32ln 12ln 1212ln +-=⎪⎭⎫ ⎝⎛-=-+-+⎪⎭⎫ ⎝⎛-=(ⅱ).321S S S S ++=其中,0:1=z S dxdy dS =1,()()rdr r d dxdy y xdS y xaD S xy.420222221⎰⎰⎰⎰⎰⎰=+=+πθ24a π=;,:2h z S = dxdy dS =2,()()rdr r d dxdy y xdS y xaD S xy.420222222⎰⎰⎰⎰⎰⎰=+=+πθ24a π=;,:2223a y x S =+其向yoz 面上的投影区域为⎩⎨⎧≤≤-≤≤.,0:a y a h z D yz . 将曲面3S 方程化为22y a x -±=,则,22y a y yx--=∂∂,0=∂∂zx,所以, dydz ya a dydz z x y x dS 22221-=⎪⎭⎫⎝⎛∂∂+⎪⎪⎭⎫ ⎝⎛∂∂+=.因此()()dydz ya a y y a dS y x yz D S ⎰⎰⎰⎰-⎥⎦⎤⎢⎣⎡+-=+222222322.23⎰⎰-=-haadz y a dy a22312..2arcsin 4303|h a a y h a aπ==或者()..22..32232233h a ah a dS a dS y xS S ππ===+⎰⎰⎰⎰所以()⎰⎰++S y x dS21()++=⎰⎰122S dS y x ()++⎰⎰222S y x()d S y xS ⎰⎰+322().22223344h a a h a a a+=++=ππππ(ⅲ)由积分区域的对称性,及被积函数的奇偶性知,显然()dS z y x S⎰⎰+++=⎰⎰dS x SdS y S⎰⎰().0=+++⎰⎰dS z y x S11.(P210,第3题)证明泊松公式()()d uc b a uf dS cz by ax f S⎰⎰⎰-++=++112222π其中S 为球面0,1222222>++=++c b a z y x ,f 为连续函数.证明:取新的空间直角坐标系Ouvw ,其中原点不变,使坐标平面Ouvw 与平面0=++cz by ax 重合,并使Ou 轴垂直于平面0=++cz by ax .则有其实根据坐标系Ouvw 选取方法的描述,我们不难看出Ou 轴上的单位向量就可取作平面0=++cz by ax 的单位法线向量.则 222cb a cz by ax u ++++=(1)(注意到,显然222cb a cz by ax u ++++=为点()z y x P ,,到平面0=++cz by ax 的距离).则()dS cz by ax f S⎰⎰++()d S c b a u f S⎰⎰++=222显然在新坐标系下,球面的形状并未改变(仍记为S ),且它的方程应为 1222=++w v u (2) (因为在新的坐标系下,任何一个球面上的点到原点的距离仍然为1.)由(2)式可得: ()22221u w v -=+ (3)当u 固定时,(3)式其实就表示垂直于Ou 轴平面上的一个圆周. 进一步,我们把S 化为参数方程表示:.20,11,sin 1,cos 1,22πθθθ≤≤≤≤-⎪⎩⎪⎨⎧-=-==u u w u v u u,1='uu ,cos 12θuu v u --=';sin 12θuu w u--=',0='θu ,sin 12θθu v --='.cos 12θθu w -='于是,;112222u w v u E u u u-='+'+'= ;0...=''+''+''=θθθw w v v u u F u u u.12222u w v u G -='+'+'=θθθ因此, 曲面的元素dS =dudv = (4)故()dS cz by ax f S⎰⎰++()d S c b a uf S⎰⎰++=222()d u c b a u f d ⎰⎰-++=πθ2011222().211222⎰-++=du c b a u f π12(P210,第4题)设某种物质均匀分布在球面2222a z y x =++上(认为分布密度1=ρ).求它对于oz 轴的转动惯量. 解:由公式()d Sy x J S⎰⎰+=22 由对称性()d Sy x J S ⎰⎰+=1228其中2221:y x a z S --=,则z z x y ∂∂==∂∂,所以,dS ==.因此()dxdy y x a a y x S S xyD ⎰⎰--+==222221.88rdr ra r d a a.8022220⎰⎰-=πθ极()rdr ra a a ra a.4022222⎰-+-=πrdr r a a a.4022⎰--=πrdrra aa.140223⎰-+π()22022.2ra d r a a a--=⎰π()220223.12r a d ra a a---⎰π()|232232.2a r a a -=π|2232.2ar a a --π434aπ-=44a π+ .384a π=13(P217,第1题)沿圆锥面()122≤=+z y xS的下侧,求曲面积分S d r S.⎰⎰,其中{}.,,z y x r =解:⎰⎰⎰⎰++=SSzdxdy ydzdx xdydz S d r . 化为第一型曲面积分计算.S 的向下的法向量{}⎪⎭⎪⎬⎫⎪⎩⎪⎨⎧-++=-''=1,,1,,2222y x y y x x z z n yx ,所以{}.cos ,cos ,cos 21,2,222220γβα=⎪⎭⎪⎬⎫⎪⎩⎪⎨⎧-++==y x y y x x n 故⎰⎰⎰⎰++=SSzdxdy ydzdx xdydz S d r .()⎰⎰++=SdS z y x γβαcos .cos .cos .⎰⎰⎪⎪⎪⎭⎫⎝⎛-+++=S dS z y x y yx x 222222222 ⎰⎰⎪⎪⎭⎫ ⎝⎛-+=S dS z y x 2222(根据第一型曲面积分的计算方法) ⎰⎰=⎪⎪⎭⎫⎝⎛+-+=xy D dxdy y x y x .02222222 14(P217,第2题)沿椭球面1222222=++cz b y a x 的外侧,求曲面积分.⎰⎰⎪⎪⎭⎫⎝⎛++S z dxdy y dzdx x dydz解:把S 分割为21,S S 两个部分.其中,222211:b y a x c z S --=(上侧);222221:by a x c z S ---=(下侧).21,S S 向xoy 面上的投影区域均为.1:2222≤+by a x D xy故dxdy b ya x c z dxdyxyD S ⎰⎰⎰⎰--=2222111作变量代换:⎩⎨⎧==.sin ,cos θθbr y ar x由二重积分的换元法dr abrd rc dxdy b y a x c D D xyθ⎰⎰⎰⎰'-=--222221111.其中()()abr br b ar a y r yxrxr y x J =-=∂∂∂∂∂∂∂∂=∂∂=θθθθθθθcos sin sin cos ,,⎩⎨⎧≤≤≤≤'.20,10:πθr D 所以=⎰⎰1S z dxdydr abrd rc dxdy b ya x c D D xyθ⎰⎰⎰⎰'-=--222221111dr r r d c ab ⎰⎰-=πθ2010211dr r r d c ab ⎰⎰-=πθ2010211所以, ().212111|1022102πππc ab r c ab rd rc ab =⎥⎦⎤⎢⎣⎡--=---=⎰ (1) 同理 dxdy b ya x c z dxdyxyD S ⎰⎰⎰⎰----=2222112.2112222πcabdxdy by a x c xyD =--=⎰⎰(2) 所以=⎰⎰Sz dxdy+⎰⎰1S z dxdy.42πc abz dxdy S =⎰⎰ (3) 由轮换对称性,知:πa bc x dzdy S4=⎰⎰; .4πb ac y dzdx S=⎰⎰ 故⎰⎰⎪⎪⎭⎫⎝⎛++S z dxdy y dzdx x dydz+=⎰⎰Szdxdy+⎰⎰S x dzdy⎰⎰Sy dzdx+=πc ab 4πabc4().44222222a c cb b a abc b ac ++=+ππ15(P217,第3题)沿球面()()()2222R c z b y a x =-+-+-的外侧,求曲面积分.222⎰⎰++Sdxdy z dzdx y dydz x解:把S 分割为21,S S 两个部分.其中,()()2221:b y a x R c z S ----+=(上侧);()()2222:b y a x R c z S -----=(下侧).21,S S 向xoy 面上的投影区域均为:xy D ()()222R b y a x ≤-+-故 ()()dxdy b y a x R c dxdy z xyDS ⎰⎰⎰⎰⎥⎦⎤⎢⎣⎡----+=222221作变量代换:⎩⎨⎧+=+=.sin ,cos θθr b y r a x由二重积分的换元法()()[]rdr r R c dxdy b y a x R c D D xy⎰⎰⎰⎰'-+=⎥⎦⎤⎢⎣⎡----+2222222.其中()()r r r y r yxrx r y x J =-=∂∂∂∂∂∂∂∂=∂∂=θθθθθθθcos sin sin cos ,,⎩⎨⎧≤≤≤≤'.20,0:πθR r D所以=⎰⎰12S dxdy z[]rdr rR c D 222⎰⎰'-+()dr r rR c d R⎰⎰-+=πθ20222()rdr rR c R2222⎰-+=π()r dr r R r R c c R⎰-+-+=02222222πrdr r R c rdr c R R ⎰⎰-+=02202222ππ()rdr r R R⎰-+0222π()()|||0222023220222132.222RR R r R r R c r c ⎥⎦⎤⎢⎣⎡--⎥⎦⎤⎢⎣⎡--⎪⎪⎭⎫ ⎝⎛=πππ.2344322R cR R c πππ++=(1)同理()()dxdy b y a x R c dxdy z xyDS ⎰⎰⎰⎰⎥⎦⎤⎢⎣⎡------=222221[]rdr rR c D 222⎰⎰'---=()dr r r R c d R⎰⎰⎥⎦⎤⎢⎣⎡---=πθ200222()rdr r R c R 20222⎰---=π()r dr r R r R c c R⎰-+---=02222222πrdr r R c rdr c R R ⎰⎰-+-=02202222ππ()rdr r R R⎰--0222π()()|||0222023220222132.222RR R r R r R c r c ⎥⎦⎤⎢⎣⎡-+⎥⎦⎤⎢⎣⎡--⎪⎪⎭⎫ ⎝⎛-=πππ.2344322R cR R c πππ-+-= (2)所以=⎰⎰Sdxdy z 2+⎰⎰12S dxdy z 32382cR dxdy z S π=⎰⎰ ; (3) 由轮换对称性,知:=⎰⎰Sdydz x 2338aR π; =⎰⎰Sdzdx y 2.383bR π故.222⎰⎰++Sdxdy z dzdx y dydz x ⎰⎰=Sdydzx 2⎰⎰Sdzdxy2⎰⎰Sdxdy z2().383c b a R ++=π16(P217,第4题)设S 为长方体()c z b y a x ≤≤≤≤≤≤0,0,0的表面.沿外侧求曲面积分⎰⎰Sxyzdxdy解:把S 分割为654321,,,,,S S S S S S 六个部分. 其中()b y a x c z S ≤≤≤≤=0,0:1的上侧; ()b y a x z S ≤≤≤≤=0,00:2的下侧; ()c z b y a x S ≤≤≤≤=0,0:3的前侧; ()c z b y x S ≤≤≤≤=0,00:4的后侧; ()c z a x b y S ≤≤≤≤=0,0:5的右侧; ()c z a x y S ≤≤≤≤=0,00:6的左侧.注意到除21,S S 外,其余四片曲面在xoy 面上的投影为零,因此=⎰⎰Sxyzdxdy +⎰⎰1S xyzdxdy ⎰⎰2S xyzdxdy⎰⎰=xyD xycdxdy ⎰⎰-xyD dxdy xy 0.c b a ydy xdx c ab.422⎰⎰==17(P225第1题)利用格林公式计算下面的曲线积分(l 的方向为正方向): (ⅰ)()dy xy dx y x l22+-⎰,l 为圆周()222a y x =+;(ⅱ)()()dy y x dx y x l--+⎰,l 为椭圆⎪⎪⎭⎫⎝⎛=+12222b y a x ; (ⅲ)()xdy dx y l+-⎰,l 为曲线()1=+y x ;(ⅳ)()()dy y y e dx y e x lx sin cos 1---⎰,l 为区域().sin 0,0x y x D <<<<π;18(P225第2题)求()()dy m y e dx my y eI x xL-+-=⎰cos sin ,(m 为常数) 其中l 是自点()0,a A 经过圆周()022>=+a ax y x 的上半部分到点O(0,0)的半圆 周.(提示:作辅助线后用格林公式).解:cos ,cos x x P Q e y m e y y x∂∂=-=∂∂. 所以,由格林公式:221...428AO OA D D Q P a dxdy mdxdy m ma x y ππ⋂⎡⎤∂∂+=-===⎢⎥∂∂⎣⎦⎰⎰⎰⎰⎰⎰.所以,2220.888AOOAma ma ma I πππ⋂==-=-=⎰⎰(因为,⎰⎰==OAadx 0.00)19(P225第5题)设函数()x f 在正半轴()0>x 上有连续导数()x f '且().21=f 若 在右半平面内沿任意闭合光滑曲线l ,都有 ()043=+⎰dy x xf ydx x l求函数().x f解:()y x y x P 34,=,()()x xf y x Q =,都是右半平面上的连续函数,由于在右半平面内沿任意闭合光滑曲线l ,都有()043=+⎰dy x xf ydx x l故有xQ y P ∂∂=∂∂ 即()()x f x x f x '+=34 化简,得()()241x x f xx f =+' (1)(1)为一阶线性微分方程,其通解为 ()⎥⎦⎤⎢⎣⎡+⎰⎰=⎰-c ex e x f dx xdx x 1214 []()c dx x x c e x e x x +=+=⎰⎰-3ln 2ln 414 ().1134xc x c x x +=+= (2)代入条件()21=f ,得 .1=c故().13xx x f +=20(P226第6题)设D 是以光滑曲线l 为正向边界的有界闭区域,而函数()y x u u ,= 在闭区域D 上具有连续的二阶偏导数且记2222yu x u u ∂∂+∂∂=∆证明:⎰⎰⎰∆=∂∂Dl udxdy ds nu其中()()y n yux n x u n u ,cos ,cos ∂∂+∂∂=∂∂表示函数()y x u u ,=沿边界曲线l 外法线方向的方向导数.证明:设τ为曲线l 的正向的切线向量,其方向余弦为()x ,cos τ、()y ,cos τ,则 有()()y x n ,,τ=,()().,,x y n τπ-= 故()()y x n ,cos ,cos τ=,()().,cos ,cos x y n τ-=()()ds x y u y x u ds n u l l ⎰⎰⎪⎪⎭⎫ ⎝⎛∂∂-∂∂=∂∂,cos ,cos ττ(由两型曲线积分之间的联系)dx yudy x u l ⎰∂∂-∂∂=(格林公式) ⎰⎰⎥⎦⎤⎢⎣⎡⎪⎪⎭⎫ ⎝⎛∂∂-∂∂-⎪⎭⎫ ⎝⎛∂∂∂∂=D dxdy y u y x u x =⎪⎪⎭⎫ ⎝⎛∂∂+∂∂=⎰⎰D dxdy y u x u 2222.⎰⎰∆Dudxdy21(P226第7题)在第6题的假设和记号下,证明:.22ds n uu udxdy u dxdy y u x u D l D ⎰⎰⎰⎰⎰∂∂+∆-=⎥⎥⎦⎤⎢⎢⎣⎡⎪⎪⎭⎫ ⎝⎛∂∂+⎪⎭⎫ ⎝⎛∂∂ 证明:仿上题 ()()ds x y uy xu u ds n u ul l⎰⎰⎪⎪⎭⎫ ⎝⎛∂∂-∂∂=∂∂,cos ,cos ττ(由两型曲线积分之间的联系) dx yuu dy x u ul⎰∂∂-∂∂=(格林公式) ⎰⎰⎥⎦⎤⎢⎣⎡⎪⎪⎭⎫ ⎝⎛∂∂-∂∂-⎪⎭⎫ ⎝⎛∂∂∂∂=D dxdy y u u y x u u x ⎰⎰⎥⎦⎤⎢⎣⎡⎪⎪⎭⎫ ⎝⎛∂∂+∂∂∂∂+⎪⎪⎭⎫ ⎝⎛∂∂+∂∂∂∂=D dxdy y u u y u y u x u u x u x u 2222....dxdy y u x u u dxdy y u x u D D ⎪⎪⎭⎫ ⎝⎛∂∂+∂∂+⎥⎥⎦⎤⎢⎢⎣⎡⎪⎪⎭⎫ ⎝⎛∂∂+⎪⎭⎫ ⎝⎛∂∂=⎰⎰⎰⎰222222udxdy u dxdy y u x u D D ∆+⎥⎥⎦⎤⎢⎢⎣⎡⎪⎪⎭⎫ ⎝⎛∂∂+⎪⎭⎫ ⎝⎛∂∂=⎰⎰⎰⎰22 移项,即得.22ds n uu udxdy u dxdy y u x u D l D ⎰⎰⎰⎰⎰∂∂+∆-=⎥⎥⎦⎤⎢⎢⎣⎡⎪⎪⎭⎫ ⎝⎛∂∂+⎪⎭⎫ ⎝⎛∂∂ 22(P227第8题)格林第二公式 若函数()y x u u ,=和()y x v v ,=都满足第6题中的假设,证明: ds vu n v n udxdy vuv u lD⎰⎰⎰∂∂∂∂=∆∆ 证明:我们有 ()()ds x y u y xu v ds n u vl l⎰⎰⎪⎪⎭⎫ ⎝⎛∂∂-∂∂=∂∂,cos ,cos ττ (由两型曲线积分之间的联系)dx yuv dy x u vl⎰∂∂-∂∂=(格林公式) ⎰⎰⎥⎦⎤⎢⎣⎡⎪⎪⎭⎫ ⎝⎛∂∂-∂∂-⎪⎭⎫ ⎝⎛∂∂∂∂=D dxdy y u v y x u v x ⎰⎰⎥⎦⎤⎢⎣⎡⎪⎪⎭⎫ ⎝⎛∂∂+∂∂∂∂+⎪⎪⎭⎫ ⎝⎛∂∂+∂∂∂∂=D dxdy y u v y u y v x u v x u x v 2222....⎰⎰⎰⎰⎥⎥⎦⎤⎢⎢⎣⎡⎪⎪⎭⎫ ⎝⎛∂∂+⎪⎭⎫ ⎝⎛∂∂+⎪⎪⎭⎫⎝⎛∂∂∂∂+∂∂∂∂=D D dxdy y u x u v dxdy y v y u x v x u 22.....⎰⎰⎰⎰∆+⎪⎪⎭⎫⎝⎛∂∂∂∂+∂∂∂∂=D D udxdy v dxdy y v y u x v x u (1)由轮换对称性,知 ds n vul⎰∂∂ ...⎰⎰⎰⎰∆+⎪⎪⎭⎫ ⎝⎛∂∂∂∂+∂∂∂∂=DD vdxdy u dxdy y v y u x v x u (2) 于是ds n v u n uv ds vu n vn ul l⎰⎰⎪⎭⎫ ⎝⎛∂∂-∂∂=∂∂∂∂ ⎥⎦⎤⎢⎣⎡∆+⎪⎪⎭⎫ ⎝⎛∂∂∂∂+∂∂∂∂=⎰⎰⎰⎰D D udxdy v dxdy y v y u x v x u ..⎥⎦⎤⎢⎣⎡∆+⎪⎪⎭⎫ ⎝⎛∂∂∂∂+∂∂∂∂-⎰⎰⎰⎰D D vdxdy u dxdy y v y u x v x u .. ()⎰⎰∆-∆=Ddxdy v u u v .dxdy vuv u D⎰⎰∆∆=23(P227第9题)计算高斯(Gauss)积分 ()(b a I =,其中l 为简单(光滑)闭合曲线,r 为不在l 上的点()b a ,到l 上动点()y x ,的向量,而n 为l 上动点()y x ,处的法向量.解:设τ为曲线l 的正向的切线向量,其方向余弦为()x ,cos τ、()y ,cos τ,则 有()()y x n ,,τ=,()().,,x y n τπ-=又设()(){}y n x n n ,cos ,,cos 0= ,{}b y a x r --=,,则()()()()()()().,cos .,cos .,cos ,cos 220b y a x y n b y x n a x n r n r -+--+-==⎪⎭⎫ ⎝⎛= 故(()()()()()().,cos .,cos .,22b y a x y n b y x n a x n r -+--+-=()()()()()()()[]d s y n b y x n a x b y a x b a I l,cos ,cos .1,22-+--+-=⎰()()()()()()[]d s x b y y a x b y a x l,cos ,cos .122ττ----+-=⎰ ()()()().22⎰-+----=lb y a x dx b y dy a x 记 ()()(),,22b y a x b y y x P -+---=()()().,22b y a x ax y x Q -+--=则()()()(),2222b y a x a x b y y P-+-----=∂∂()()()().2222b y a x a x b y x Q -+-----=∂∂它们在xoy 平面内除点 ()b a ,外处处连续,且.0=∂∂-∂∂yP xQ(一)若点()b a ,在l 所包围的区域D 外,原式=0;(二)若点()b a ,在l 所包围的区域D 内,以点()b a ,为中心作一个充分小的圆()()).0(:222>=-+-εεεb y a x l 取逆时针方向,使之完全包含在l 为边界的区域内.记介于εl 和l 之间的区域为'εD . 则在'εD 由格林公式可得:()()()()⎰-+----l b y a x dx b y dy a x 22()()()()⎰-+-----εl b y a x dx b y dy a x 22.0⎰⎰'=⎥⎦⎤⎢⎣⎡∂∂-∂∂=εDdxdy y P x Q所以,()()()()⎰-+----=l b y a x dx b y dy a x I 22()()⎰---=εεldx b y dy a x 2()()⎰---=εεl dx b y dy a x 21(格林公式)()()ππεεεεε2.22112222===⎥⎦⎤⎢⎣⎡∂-∂-∂-∂=⎰⎰⎰⎰DD dxdy dxdy y y b x a x . 24(P227第10题)利用斯托克斯公式重新计算积分(例3) ()()(),⎰-+-+-=ldz y x dy z x dx y z I 其中l 是曲线⎩⎨⎧=+-=+.2,122z y x y x方向为从oz 轴正方向往负方向看去是顺时针方向. 解一:由斯托克斯公式dxdy yx zx yz z y x dxdy dzdx dydz 2=---∂∂∂∂∂∂.取∑为平面2=+-z y x 上由椭圆所围成的那一小块曲面.(取下侧),因此{}1,1,1-=n ,.31,33,330⎭⎬⎫⎩⎨⎧-=n )()()()dS dxdy dz y x dy z x dx y z I l⎰⎰⎰⎰⎰∑∑-=-=-+-+-=3122.2.23.312⎰⎰⎰⎰-=-=-=xyxyD D dxdy dxdy π解二:(直接计算)()()()⎰⎰⎰∑=-+-+-=dxdy dz y x dy z x dx y z I l2其中,.1:22≤+y x D xy所以,.22π-=-=⎰⎰dxdy I xyD .25(P238第1题)下面的向量场是否为保守场?若是,并求位势:u(){};sin cos 2,sin cos 2122y x x y x y y x f --=解:(1)这里()x y y x y x P sin cos 2,2-=,().sin cos 2,2y x x y y x Q -=因为xQx y y x y P ∂∂=--=∂∂sin 2sin 2,()2,R y x ∈ 所以{}y x x y x y y x f sin cos 2,sin cos 222--=是定义在全平面上的保守场.所以,()+-dx x yy x sin cos 22()dy y x x y sin cos 22-是某一个函数()y x u ,的全微分.故可取()()()()()dyy x x y dx x yy x y x u y x sin cos 2sin cos 2,2,0,02-+-=⎰()()dyy x x y dx x x yx ⎰⎰-+-=0202sin cos 2sin 00cos 2[]||02202cos cos yxy x x y x ++=()[]2222cos cos x y x x y x -++=.cos cos 22y x x y +=则,所求的位势为().cos cos ,22c y x x y c y x u ++=+(){}.sin ,cos ,222z y e x z xe f y y --=--解:这里()()().sin ,,,cos ,,,2,,2z y z y x R e x z z y x Q xe z y x P y y -=-==--因为x Q xe y P y ∂∂=-=∂∂-2;y R z z Q ∂∂=-=∂∂sin ;.0zP x R ∂∂==∂∂ ().,,3R z y x ∈ 所以,{}z y e x z xe f y y sin ,cos ,22--=--为定义在全空间上的保守场.所以,+-dx xe y 2()zdz y dy e x z y sin cos 2---是某一个函数()z y x u ,,的全微分.(二)现取()()()()zdz y dy e x z dx xe z y x u y z y x y sin cos 2,,2,,0,0,0--+=--⎰取0M M 如图所示,从()0,0,00M 沿x 轴到点()0,0,1x M 再沿平行于y 轴的直线到点()0,,2y x M 最后沿平行于z 轴的直线到点(),,.M x y z 于是()()⎰⎰⎰-+-+=--zyy xzdz y dy e x dx xe z y x u 0200sin 0cos 2,,[]|||00202cos zyyxz y e x y x +++=-()[]()y z y x e x y x y-+-++=-cos 222.cos 2z y e x y +=- 则,所求的位势为().cos ,,2c z y e x c z y x u y ++=+-26(P238第2题)证明式(14-31),并由此求下面的曲线积分:()();).1(2,11,22⎰-x xdyydx ()()⎰++1,1,63,2,1.).2(xydz zxdy yzdx解:(一)要证式(14-31)成立,即要证若平面区域D 内保守力场()(){}y x Q y x P f ,,,=有位势()y x u ,,则对D 内的任意两点()()222111,,,y x M y x M ,有 ()()()()()().,,,.1122,,2211y x u y x u dy y x Q dx y x P y x y x -=+⎰事实上,因为()(){}y x Q y x P f ,,,=为保守力场,故()()dy y x Q dx y x P l,.+⎰在D 内与路径无关,而只取决于路径的起点、终点.令 ()()()()()dy y x Q dx y x P y x v y x y x ,.,,,11+=⎰(1)则可证明()y x v ,也是f 在D 内的一个势函数.故()()C y x v y x u ≡-,, ,对任意()D y x ∈,成立 (2) (2)式中取()()11,,y x y x =,并注意到()0,11=y x v (因为沿闭合曲线的积分为零),得()()()111111,,,y x u y x v y x u C =-= (3) (2)式中再取()()22,,y x y x =,并注意到(),0,11=y x v 得()()C y x v y x u =-2222,, 即()()()()().,,3,,11222222y x u y x u C y x u y x v --============又由(1)式,注意到()y x v ,的记号,得 ()()()()()().,,,.1122,,2211y x u y x u dy y x Q dx y x P y x y x -=+⎰(二)()()⎰-2,11,22).1(x xdyydx 中,()2,x y y x P =,().1,2x xx y x Q -=-= 因为 xQx y P ∂∂==∂∂21,().0,,2≠∈x R y x 所以,2xxdyydx -是某一个函数()y x u ,的全微分. 故可取()()()⎰-=y x x xdy ydx y x u ,0,12,dy x dx y x ⎰⎰⎪⎭⎫ ⎝⎛-+=0110.x y-=所以()()()().2321121,22,12,11,22-=⎪⎭⎫ ⎝⎛---=-=-⎰u u x xdyydx()()⎰++1,1,63,2,1.).2(xydz zxdy yzdx 中,()()().,,,,,,,,xy z y x R zx z y x Q yz z y x P ===因为x Q z y P ∂∂==∂∂;y R x z Q ∂∂==∂∂;.zPy x R ∂∂==∂∂ ().,,3R z y x ∈ 所以,+yzdx xydz zxdy +是某一个函数()z y x u ,,的全微分.(二)现取()()()xydz zxdy dx yz z y x u z y x ++=⎰,,0,0,0,,取0M M 如图所示,从()0,0,00M 沿x 轴到点()0,0,1x M 再沿平行于y 轴的直线到点()0,,2y x M 最后沿平行于z 轴的直线到点(),,.M x y z 于是()⎰⎰⎰++=zy x xydz dy x dx z y x u 0.00,, .xyz =所以()()()().03,2,11,1,61,1,63,2,1=-=++⎰u u xydz zxdy yzdx27(P238第5题)验证下列方程我全微分方程,并求通解:()();04332).1(=-++dy y x dx y x ()().03223).2(2222=+-++-dy y xy x dx y xy x解:()();04332).1(=-++dy y x dx y x 这里,()()y x y x Q y x y x P 43,,32,-=+=. 因为,xQy P ∂∂==∂∂3,所以方程是全微分方程. 故:()()()()()dy y x dx y x y x u y x 4332,,0,0-++=⎰()()dy y x dx x y x⎰⎰-++=04302[]||02223yxy xy x -+=.2322y xy x -+=因此,所求方程的通解为:c y xy x =-+2223.()().03223).2(2222=+--+-dy y xy x dx y xy x这里,()().32,,23,2222y xy x y x Q y xy x y x P -+-=+-=. 因为,xQ y x y P ∂∂=+-=∂∂22,所以方程是全微分方程. 故:()()()()()dy y xy x dx y xy xy x u y x 22,0,0223223,+--+-=⎰()()dy y xy x dx x y x ⎰⎰-+-+=022023203[]||03223yx yxy y xx-+-+=.3223y xy y x x -+-=因此,所求方程的通解为:.3223c y xy y x x =-+-.28(P238第6题)设函数()y x u u ,=在凸区域(即包含区域内任意两点间的连线)2R ⊂Ω内连续可微分且K gradu ≤(常数).证明:对于Ω内任意两点B A ,,都有()()().,.B A d K B u A u ≤- 其中()B A d ,表示点B A ,之间的距离.证明:由于Ω为凸区域,故线段AB 整个属于Ω.设点B 的坐标为()000,,z y x ,点A 的坐标为()111,,z y x ,且令.,,010101z z z y y y x x x -=∆-=∆-=∆ 考虑一元函数()()z t z y t y x t x u t f ∆+∆+∆+=000,, ().10≤≤t (1) 显然, ()()()().1,0A u f B u f == (2) 且()t f 在[]1,0上可微,并且()()x z t z y t y x t x u t f x ∆∆+∆+∆+'='.,,000 ()y z t z y t y x t x u y ∆∆+∆+∆+'+.,,000()z z t z y t y x t x u z ∆∆+∆+∆+'+.,,000 (3) 于是,由微分学中值定理知()()()()()ξf f f B u A u '=-=-01()()=3 ()x z z y y x x u x ∆∆+∆+∆+'.,,000ξξξ ()y z z y y x x u y ∆∆+∆+∆+'+.,,000ξξξ()z z z y y x x u z ∆∆+∆+∆+'+.,,000ξξξ ()..,,000BA z z y y x x gradu ∆+∆+∆+=ξξξ (4) 由(4)式可知()()(z z y y x x gradu B u A u ,,000∆+∆+∆+=-ξξξ()().,..,,000B A d K z z y y x x gradu ≤∆+∆+∆+≤ξξξ29(P238第7题)求向量场⎪⎭⎫⎝⎛=x y grad f arctan沿下列曲线l 的环量:。
第十一章 曲线积分与曲面积分内容要点一、引例 设有一曲线形构件所占的位置是xOy 面内的一段曲线L (图10-1-1),它的质量分布不均匀,其线密度为),(y x ρ,试求该构件的质量. 二、第一类曲线积分的定义与性质性质1 设α,β为常数,则⎰⎰⎰+=+L L L ds y x g ds y x f ds y x g y x f ),(),()],(),([βαβα;性质2设L 由1L 和2L 两段光滑曲线组成(记为=L 21L L +),则.),(),(),(2121⎰⎰⎰+=+L L LL ds y x f ds y x f ds y x f注: 若曲线L 可分成有限段,而且每一段都是光滑的,我们就称L 是分段光滑的,在以后的讨论中总假定L 是光滑的或分段光滑的.性质3 设在L 有),(),(y x g y x f ≤,则ds y x g ds y x f LL⎰⎰≤),(),(性质4(中值定理)设函数),(y x f 在光滑曲线L 上连续,则在L 上必存在一点),(ηξ,使s f ds y x f L⋅=⎰),(),(ηξ其中s 是曲线L 的长度.三、第一类曲线积分的计算:)(),(),(βα≤≤⎩⎨⎧==t t y y t x xdt t y t x t y t x f ds y x f L)()(])(),([),(22'+'=⎰⎰βα(1.10)如果曲线L 的方程为 b x a x y y ≤≤=),(,则dx x y x y x f ds y x f ba L )(1])(,[),(2'+=⎰⎰ (1.11)如果曲线L 的方程为 d y c y x x ≤≤=),(,则dy y x y y x f ds y x f dcL )(1]),([),(2'+=⎰⎰ (1.12)如果曲线L 的方程为 βθαθ≤≤=),(r r ,则θθθθθβαd r r r r f ds y x f L)()()sin ,cos (),(22'+=⎰⎰例5(E03)计算,||⎰Lds y 其中L 为双纽线(图10-1-4))()(222222y x a y x -=+的弧.解 双纽线的极坐标方程为 .2cos 22θa r =用隐函数求导得 ,2sin ,2sin 22ra r a r r θθ-='-='.2sin 2224222θθθθd r a d ra r d r r ds =+='+= 所以 .)22(2sin 4sin 4||2402402a d a d ra r ds y L -==⋅=⎰⎰⎰ππθθθθ 内容要点一、引例:设有一质点在xOy 面内从点A 沿光滑曲线弧L 移动到点B ,在移动过程中,这质点受到力j y x Q i y x P y x F ρρρ),(),(),(+= (2.1)的作用,其中),(y x P ,),(y x Q 在L 上连续. 试计算在上述移动过程中变力),(y x F ρ所作的功. 二、 第二类曲线积分的定义与性质:j y x Q i y x P y x A ρρϖ),(),(),(+=⎰⎰+=⋅LLds Q P ds t A )cos cos (βαϖϖ平面上的第二类曲线积分在实际应用中常出现的形式是⎰+L dy y x Q dx y x P ),(),(⎰⎰+=L L dy y x Q dx y x P ),(),(性质1 设L 是有向曲线弧, L -是与L 方向相反的有向曲线弧,则⎰⎰+-=+-L L dy y x Q dx y x P dy y x Q dx y x P ),(),(),(),(;即第二类曲线积分与积分弧段的方向有关.性质2 如设L 由1L 和2L 两段光滑曲线组成,则⎰⎰⎰+++=+21L L L Qdy Pdx Qdy Pdx Qdy Pdx .三、第二类曲线积分的计算:),(t x x = ),(t y y =⎰+L dy y x Q dx y x P ),(),(⎰'+'=βαdt t y t y t x Q t x t y t x P )}()](),([)()](),([{. (2.9)如果曲线L 的方程为 ),(x y y =起点为a , 终点为b ,则.)}()](,[)](,[{⎰⎰'+=+ba L dx x y x y x Q x y x P Qdy Pdx如果曲线L 的方程为),(y x x = 起点为c , 终点为d ,则.]}),([)(]),([{⎰⎰+'=+dcLdy y y x Q y x y y x P Qdy Pdx内容要点一、格林公式定理1 设闭区域D 由分段光滑的曲线L 围成,函数),(y x P 及),(y x Q 在D 上具有一阶连续偏导数,则有⎰⎰⎰+=⎪⎪⎭⎫ ⎝⎛∂∂-∂∂L D Qdy Pdx dxdy y P x Q (3.1)其中L 是D 的取正向的边界曲线.若在格林公式(3.1)中,令,,x Q y P =-= 得⎰⎰⎰-=LDydx xdy dxdy 2,上式左端是闭区域D 的面积A 的两倍,因此有 .21⎰-=Lydx xdy A 二、平面曲线积分与路径无关的定义与条件定理2 设开区域D 是一个单连通域,函数),(y x P 及),(y x Q 在D 内具有一阶连续偏导数,则下列命题等价:(1) 曲线积分⎰+LQdy Pdx 在D 内与路径无关;(2)表达式Qdy Pdx +为某二元函数),(y x u 的全微分; (3)xQy P ∂∂=∂∂在D 内恒成立; (4)对D 内任一闭曲线L ,0=+⎰LQdy Pdx .由定理的证明过程可见,若函数),(y x P ,),(y x Q 满足定理的条件,则二元函数⎰+=),(),(00),(),(),(y x y x dy y x Q dx y x P y x u (3.3)满足 dy y x Q dx y x P y x du ),(),(),(+=, 我们称),(y x u 为表达式dy y x Q dx y x P ),(),(+的原函数.C dy y x P dx y x P y x u yy xx ++=⎰⎰00),(),(),(0或 C dy y x P dx y x P y x u yy xx ++=⎰⎰0),(),(),(0例4 计算,2dxdy e Dy ⎰⎰- 其中D 是以)1,0(),1,1(),0,0(B A O 为顶点的三角形闭区域.解 令,0=P ,2y xe Q -=则 yPx Q ∂∂-∂∂.2y e -= 应用格林公式,得dxdy e Dy ⎰⎰-2⎰++-=BOAB OA y dy xe 2⎰-=OAdy xe y 2⎰-=102dx xe x ).1(211--=e 例5(E03)计算,22⎰+-L y x ydx xdy 其中L 为一条无重点)1(, 分段光滑且不经过原点的连续闭曲线, L 的方向为逆时针方向.解 记L 所围成的闭区域为,D 令,22y x y P +-=,22yx xQ += 则当022≠+y x 时,有 x Q∂∂22222)(y x x y +-=.y P ∂∂=(1) 当D ∉)0,0(时,由格林公式知;022=+-⎰L y x ydxxdy(2) 当D ∈)0,0(时,作位于D 内圆周,:222r y x l =+记1D 由L 和l 所围成,应用格林公式,得⎰⎰=+--+-L l y x ydxxdy y x ydx xdy .02222故⎰+-L y x ydx xdy 22⎰+-=l y x ydxxdy 22⎰+=πθθθ2022222sin cos d rr r ⎰=πθ20d .2π=例6(E04)求椭圆θcos a x =,θsin b y =所围成图形的面积A . 解 所求面积A ⎰-=L ydx xdy 21⎰+=πθθθ2022)sin cos (21d ab ab ⎰=πθ2021d ab.ab π=例7 计算抛物线)0()(2>=+a ax y x 与x 轴所围成的面积. 解 ONA 为直线.0=y 曲线AMO 为 ,x ax y -=].,0[a x ∈ ∴A ⎰-=AMOydx xdy 21⎰⎰-+-=AMOONAydx xdy ydx xdy 2121⎰-=AMOydx xdy 21⎰--⎪⎪⎭⎫⎝⎛-=)(1221a dx x ax dx ax a x ⎰=adx x a4.612a =例10(E06)计算,)8,6()0,1(22⎰++yx ydy xdx 积分沿不通过坐标原点的路径.解 显然,当)0,0(),(≠y x 时, 22y x ydy xdx ++,22y x d +=于是⎰++)8,6()0,1(22yx ydy xdx ⎰+=)8,6()0,1(22y x d )8,6()0,1(22y x +=.9=例 12 验证: 在整个xOy 面内, ydy x dx xy 22+是某个函数的全微分, 并求出一个这样 的函数.证2 利用原函数法求全微分函数).,(y x u 由2xy y u =∂∂ ),(2222y y x dx xy u ϕ+==⎰其中)(y ϕ是y 的待定函数.由此得).(2y y x yuϕ'+=∂∂ 又u 必须满足 y x yu2=∂∂ y x y y x 22)('=+ϕ 0)('=y ϕ ,)(C y =ϕ 所求函数为.2/22C y x u +=例13(E07)设函数),(y x Q 在xoy 平面上具有一阶连续偏导数, 曲线积分与路径无关, 并且对任意t , 总有,),(2),(2),1()0,0()1,()0,0(⎰⎰+=+t t dy y x Q xydx dy y x Q xydx求).,(y x Q解 由曲线积分与路径无关的条件知,2x xQ=∂∂ 于是),(),(2y C x y x Q +=其中)(y C 为待定函数.dy y x Q xydx t ),(2)1,()0,0(+⎰⎰+=102))((dy y C t ,)(102⎰+=dy y C tdy y x Q xydx t ),(2),1()0,0(+⎰⎰+=tdy y C 0))(1(,)(0⎰+=t dy y C t由题意可知⎰+12)(dy y C t .)(0⎰+=tdy y C t两边对t 求导,得)(12t C t +=或.12)(-=t t C 所以.12),(2-+=y x y x Q例14(E08)设曲线积分⎰+Ldy x y dx xy )(2ϕ与路径无关, 其中ϕ具有连续的导数, 且,0)0(=ϕ计算.)()1,1()0,0(2⎰+dy x y dx xy ϕ解 ),(y x P ,2xy =),(y x Q ),(x y ϕ= y P ∂∂)(2xy y ∂∂=,2xy =x Q ∂∂)]([x y xϕ∂∂=).('x y ϕ= 因积分与路径无关散,xQy P ∂∂=∂∂ 由xy x y 2)('=ϕ .)(2C x x +=ϕ 由,0)0(=ϕ知0=C .)(2x x =ϕ 故⎰+)1,1()0,0(2)(dy x y dx xy ϕ⎰⎰+=1010ydy dx .21= 例15 选取b a ,使表达式dy e y x be dx ae e y x yxyy])1([])1[(++-++++为某一函数的全微分, 并求出这个函数.解 y P ∂∂])1[(y y ae e y x y +++∂∂=,y y ae e +=x Q ∂∂])1([y x e y x be x ++-∂∂=,y x e be -=若表达式全微分式,则,xQy P ∂∂=∂∂即 .y x y x e be ae e -=+得,1-=a .1=b ),(y x u +-+++=⎰xx dx e e x 00])1()10[(⎰+++-yy x C dy e y x e 0])1([C dy e y x e dx e x yy y xx +++-+-+=⎰⎰])1([]1)1[(C ye xe y e x xe yy y x x x +--+-=00][][.))((C e e y x y x +-+=例16(E09)求方程0)3()3(2323=-+-dy y x y dx xy x 的通解. 解 ,6xQxy y P ∂∂=-=∂∂原方程是全微分方程, ⎰⎰+-=yxdy y dx xy x y x u 0323)3(),(,42344224y y x x +-=原方程的通解为.42344224C y y x x =+- 例19求微分方程0)1(222=---+dy y x dx y x x 的通解.解 将题设方程改写为,02222=---+dy y x dx y x x xdx 即,0)()(2222=---+dy y x x d y x x d 将方程左端重新组合,有,0)()(222=--+y x d y x x d故题设方程的通解为 .)(322/322C y x x =-+内容要点一、 第一类曲面积分的概念与性质定义1 设曲面∑是光滑的, 函数),,(z y x f 在∑上有界, 把∑任意分成n 小块i S ∆(i S ∆同时也表示第i 小块曲面的面积),在i S ∆上任取一点),,,(i i i ζηξ作乘积),,2,1(),,(n i S f i i i i Λ=∆⋅ζηξ并作和,),,(1∑=∆⋅ni i i i i S f ζηξ 如果当各小块曲面的直径的最大值0→λ时, 这和式的极限存在,则称此极限值为),,(z y x f 在∑上第一类曲面积分或对面积的曲面积分,记为∑⎰⎰=→∑∆=ni i i i i S f dS z y x f 1),,(lim ),,(ζηξλ 其中),,(z y x f 称为被积函数,∑称为积分曲面. 二、对面积的曲面积分的计算法.),(),(1)],(,,[),,(22⎰⎰⎰⎰++=∑xyD y x dxdy y x z y x z y x z y x f dS z y x f例4计算,dS xyz ⎰⎰∑其中∑为抛物面).10(22≤≤+=z y x z解 根据抛物面22y x z +=对称性,及函数||xyz 关于yOz xOz 、坐标面对称,有dxdy y x y x xy xyzdS dS xyz xy D ⎰⎰⎰⎰⎰⎰'+++=∑=∑2222)2()2(1)(441⎰⎰⎰⎰+=+⋅=20125122220412sin 241sin cos 4ππdr r r tdt rdr r rt t r dt.420151254141512-=⎪⎭⎫ ⎝⎛-=⎰du u u 例 5 计算,⎰⎰∑xdS 其中∑是圆柱面,122=+y x 平面2+=x z 及0=z 所围成的空间立体的表面.解,=⎰⎰⎰⎰⎰⎰⎰⎰∑+∑+∑∑321∑∑12,在xOy 面上得投影域.1:22≤+y x D xy于是⎰⎰⎰⎰∑==1,0xyD xdxdy xdS ⎰⎰⎰⎰∑=+=2,011xyD dxdy xxdS将)1:,(313223∑∑∑-±=x y 投影到zOx 面上,得投影域 .10,11:+≤≤≤≤-x y x D xydxdz y y x xdS xdS xdS zx D z x ⎰⎰⎰⎰⎰⎰⎰⎰++=∑+∑=∑221232313,12112211222π=-=-+=⎰⎰⎰⎰+-x D dz x xdxdz x x x xz所以.00ππ=++=∑⎰⎰xdS例8 设有一颗地球同步轨道卫星, 距地面的高度为36000=h km ,运行的角速度与地球自转的角速度相同. 试计算该通讯卫星的覆盖面积与地球表面积的比值(地球半径6400=R km).解 取地心为坐标原点,地心到通讯卫星重心的连线为z 轴,建立如图坐标系.卫星覆盖的曲面∑是上半球面倍半顶角为α的圆锥面所截得的部分.∑的方程为,222y x R z --=它在xOy 面上的投影区域.sin :2222αR y x D xy ≤+于是通讯卫星的覆盖面积为).cos 1(22απ-=R A将h R R +=αcos 代入上式得 .21222h R h R h R R R A +⋅=⎪⎭⎫ ⎝⎛+-=ππ 由此得这颗通讯卫星的覆盖面积与地球表面积之比为%.5.4242≈RAπ 由以上结果可知,卫星覆盖了全球三分之一以上的面积,故使用三颗相隔32π角度的通讯卫星就可以覆盖几乎地球全部表面.内容要点二、第二类曲面积分的概念与性质定义1 设∑为光滑的有向曲面, 其上任一点),,(z y x 处的单位法向量,cos cos cos k j i n ρρρργβα++= 又设k z y x R j z y x Q i z y x P z y x A ρρρϖ),,(),,(),,(),,(++=其中函数R Q P ,,在∑上有界, 则函数γβαcos cos cos R Q P n v ++=⋅ϖϖ 则∑上的第一类曲面积分⎰⎰∑⋅dS n v ϖϖ.)cos cos cos (⎰⎰∑++=dS R Q P γβα (5.5)称为函数),,(z y x A ϖ在有向曲面∑上的第二类曲面积分.三、第二类曲面积分的计算法设光滑曲面∑:),(y x z z =,与平行于z 轴的直线至多交于一点,它在xOy 面上的投影区域为xy D , 则.⎰⎰⎰⎰±=∑yzD dxdy y x z y x R dxdy z y x R )],(,,[),,(. (5.9)上式右端取“+”号或“-”号要根据γ是锐角还是钝角而定.内容要点一、高斯公式定理1设空间闭区域Ω由分片光滑的闭曲面∑围成,函数),,(z y x P 、),,(z y x Q 、),,(z y x R 在Ω上具有一阶连续偏导数,则有公式⎰⎰⎰⎰⎰∑Ω++=⎪⎪⎭⎫ ⎝⎛∂∂+∂∂+∂∂Rdxdy Qdzdx Pdydz dv z R y Q x P (6.1)这里∑是Ω的整个边界曲面的外侧, γβαcos ,cos ,cos 是∑上点),,(z y x 处的法向量的方向余弦. (6.1)式称为高斯公式.若曲面∑与平行于坐标轴的直线的交点多余两个,可用光滑曲面将有界闭区域Ω分割成若干个小区域,使得围成每个小区域的闭曲面满足定理的条件,从而高斯公式仍是成立的.此外,根据两类曲面积分之间的关系,高斯公式也可表为.)cos cos cos (⎰⎰⎰⎰⎰∑Ω++=⎪⎪⎭⎫ ⎝⎛∂∂+∂∂+∂∂dS R Q P dv z R y Q x P γβα二、通量与散度一般地,设有向量场k z y x R j z y x Q i z y x P z y x A ρρρρ),,(),,(),,(),,(++=,其中函数P 、Q 、R 有一阶连续偏导数,∑是场内的一片有向曲面,ορn 是曲面∑的单位法向量. 则沿曲面∑的第二类曲面积分⎰⎰⎰⎰⎰⎰∑∑∑++=⋅=⋅=ΦRdxdy Qdzdx Pdydz S d n A S d A ρρρρρο称为向量场A ρ通过曲面∑流向指定侧的通量. 而zRy Q x P ∂∂+∂∂+∂∂ 称为向量场A ρ的散度,记为A div ϖ,即zRy Q x P A div ∂∂+∂∂+∂∂=ϖ. (6.5)例4(E04)证明: 若∑为包围有界域Ω的光滑曲面, 则⎰⎰⎰⎰⎰⎰⎰⎰Ω∑Ω⎪⎪⎭⎫ ⎝⎛∂∂∂∂+∂∂∂∂+∂∂∂∂-∂∂=∆dV z v z u y v y u x v x u dS n uvudV v其中nu∂∂为函数u 沿曲面∑的外法线方向的方向导数,u ,v 在Ω上具有一阶和二阶连续偏导数,符号222222zy x ∂∂+∂∂+∂∂=∆称为拉普拉斯算子. 这个公式称为格林第一公式.证 因为=∂∂n u γβαcos cos cos z u y u xu∂∂+∂∂+∂∂n u ρ⋅∇=,其中}cos ,cos ,{cos γβα=n ρ是∑在点),,(z y x 处 的外法线的方向余弦,于是⎰⎰⎰⎰⎰⎰∑∑∑⋅∇=⋅∇=∂∂dS n u v dS n u v dS nu v)[()(ρρdS z u v y u v x u v ⎰⎰∑⎥⎦⎤⎢⎣⎡⎪⎭⎫⎝⎛∂∂+⎪⎪⎭⎫ ⎝⎛∂∂+⎪⎭⎫ ⎝⎛∂∂=γβαcos cos cos dv z u v z y u v y x u v x ⎰⎰⎰Ω⎥⎦⎤⎢⎣⎡⎪⎭⎫ ⎝⎛∂∂∂∂+⎪⎪⎭⎫ ⎝⎛∂∂∂∂+⎪⎭⎫ ⎝⎛∂∂∂∂=.dv z v z u y v y u x v x u udv v ⎰⎰⎰⎰⎰⎰ΩΩ⎝⎛⎪⎭⎫∂∂∂∂+∂∂∂∂+∂∂∂∂+∆=将上式右端移至左端即得所要证明的等式.例5(E05)求向量场k z j y i x r ρρρρ++=的流量(1) 穿过圆锥)0(222h z z y x ≤≤≤+的底(向上); (2) 穿过此圆锥的侧表面(向外).解 设21,S S 及S 分别为此圆锥的面,侧面及全表面,则穿过全表面向外的流量 Q ⎰⎰+⋅=S S d r ρρ⎰⎰⎰=Vdv r div ρ⎰⎰⎰=Vdv 3.3h π=(1)穿过底面向上的流量 1Q ⎰⎰+⋅=S S d r ρρ⎰⎰=≤+=hz z y x zdxdy 222⎰⎰≤+=222z y x hdxdy .3h π=(2)穿过侧表面向外的流量2Q 1Q Q -=.0=内容要点一、斯托克斯公式定理1 设Γ为分段光滑的空间有向闭曲线,∑是以Γ为边界的分片光滑的有向曲面,Γ的正向与∑的侧符合右手规则,函数),,(),,,(),,,(z y x R z y x Q z y x P 在包含曲面∑在内的一个空间区域内具有一阶连续偏导数, 则有公式dxdy y P x Q dzdx x R z P dydz z Q y R ⎪⎪⎭⎫ ⎝⎛∂∂-∂∂+⎪⎭⎫ ⎝⎛∂∂-∂∂+⎪⎪⎭⎫ ⎝⎛∂∂-∂∂⎰⎰∑.⎰++=LRdz Qdy Pdx (7.1)公式(7.1)称为斯托克斯公式.为了便于记忆,斯托克斯公式常写成如下形式:⎰⎰⎰Γ∑++=∂∂∂∂∂∂Rdz Qdy Pdx RQ P zy x dxdy dzdx dydz 利用两类曲面积分之间的关系,斯托克斯公式也可写成.cos cos cos ⎰⎰⎰Γ∑++=∂∂∂∂∂∂Rdz Qdy Pdx dS RQPzy x γβα二、空间曲线积分与路径无关的条件三、环流量与旋度 设向量场,),,(),,(),,(),,(k z y x R j z y x Q i z y x P z y x A ρρρρ++= 则沿场A ρ中某一封闭的有向曲线C 上的曲线积分⎰++=ΓCRdz Qdy Pdx称为向量场A ρ沿曲线C 按所取方向的环流量. 而向量函数⎭⎬⎫⎩⎨⎧∂∂-∂∂∂∂-∂∂∂∂-∂∂y P x Q x R z P z Q y R ,,称为向量场A ρ的旋度,记为A rot ρ,即.k y P x Q j x R z P i z Q y R A rot ρρρρ⎪⎪⎭⎫ ⎝⎛∂∂-∂∂+⎪⎭⎫ ⎝⎛∂∂-∂∂+⎪⎪⎭⎫ ⎝⎛∂∂-∂∂=旋度也可以写成如下便于记忆的形式:RQ Pz y x k j i A rot ∂∂∂∂∂∂=ρρρρ.四、向量微分算子:,k zj y i x ρρρ∂∂+∂∂+∂∂=∇ 例 2 计算曲线积分,)()()(222222dz y x dy x z dx z y -+-+-⎰Γ其中Γ是平面2/3=++z y x 截立方体:,10≤≤x ,10≤≤y 10≤≤z 的表面所得的接痕,从x 轴的正向看法,取逆时针方向.解 取∑为题设平面的上侧被Γ所围成部分,则该平面的法向量,3}3,1,1{=n ρ即,31cos cos cos ===λβα原式dS y x x y z y z y x z⎰⎰∑---∂∂∂∂∂∂=222222313131⎰⎰∑++-=dS z y x )(34.293322334-=-=∑⋅-=⎰⎰⎰⎰xyD dxdy dS 例3(E02)计算,)()()(222222⎰Γ+++++dz y x dy z x dx z y 式中Γ是).0,0(2,222222><<=+=++z R r rx y x Rx z y x此曲线是顺着如下方向前进的: 由它所包围在球面Rx z y x 2222=++上的最小区域保持在左方.解 由斯托克斯公式,有 原式⎰⎰∑-+-+-=dS y x x z z y ]cos )(cos )(cos )[(2γβαdS R z y x R y x z R x z y ⎰⎰∑⎥⎦⎤⎢⎣⎡-+-+⎪⎭⎫ ⎝⎛--=)()(1)( ⎰⎰∑-=dS y z )(2(利用对称性)⎰⎰⎰⎰∑=∑=dS R zdS γcos ..2222R r d R Rdxdy rx y x πσ==∑=⎰⎰⎰⎰≤+ 例5(E03)设,32222yz xy y x u -+= 求grad u ; div(grad u );rot(grad u ). 解 gradu ⎭⎬⎫⎩⎨⎧∂∂∂∂∂∂=z u y u x u ,,}.6,4,2{yz xy xy -=div(gradu)⎭⎬⎫⎩⎨⎧∂-∂+∂∂+∂∂=z yz y xy x xy )6()4()2(y x y 642-+=).(4y x -=rot(gradu).,,222222⎭⎬⎫⎩⎨⎧∂∂∂-∂∂∂∂∂∂-∂∂∂∂∂∂-∂∂∂=x y u y x u z x u x z u y z u z y u 因为22232yz xy y x u -+=有二阶连续导数,故二阶混合偏导数与求导次序无关,故rot(gradu).0=注:一般地,如果u 是一单值函数,我们称向量场A ϖ=grad u 为势量场或保守场,而u 称为场A ϖ的势函数.例6(E04)设一刚体以等角速度k j i z y x ϖϖϖϖωωωω++=绕定轴L 旋转,求刚体内任意一点M 的线速度v ϖ的旋度.解 取定轴l 为z 轴,点M 的内径r ρOM =,k z j y i x ρρρ++=则点M 的线速度v ρr ρρ⨯=ωzyx kji z yx ωωωρρρ=,)()()(k x y j z x i y z y x x z z y ρρρωωωωωω-+-+-=于是v ρrot x y z x y z z y x kj i y x x z z y ωωωωωω---∂∂∂∂∂∂=ρρρ)(2k j i z y x ρρρωωω++=.2ωρ=即速度场v ρ的旋等于角速度ωρ的 2 倍.内容要点点函数积分的概念 点函数积分的性质点函数积分的分类及其关系一、点函数积分的概念定义1 设Ω为有界闭区域, 函数))((Ω∈=P P f u 为Ω上的有界点函数. 将形体Ω任意分成n 个子闭区域,,,,21n ∆Ω∆Ω∆ΩΛ其中i ∆Ω表示第i 个子闭区域, 也表示它的度量, 在i ∆Ω上任取一点i P , 作乘积),,2,1()(n i P f i i Λ=∆Ω并作和∑=∆Ωni iiP f 1)(如果当各子闭区域i ∆Ω的直径中的最大值λ趋近于零时, 这和式的极限存在, 则称此极限为点函数)(P f 在Ω上的积分, 记为⎰ΩΩd P f )(, 即.)(lim )(1∑⎰=→Ω∆Ω=Ωni iiP f d P f λ其中Ω称为积分区域, )(P f 称为被积函数, P 称为积分变量, Ωd P f )(称为被积表达式,Ωd 称为Ω的度量微元.点函数积分具有如下物理意义: 设一物体占有有界闭区域Ω, 其密度为),)((Ω∈=P P f ρ则该物体的质量)0)((,)(≥Ω=⎰ΩP f d P f M特别地, 当1)(≡P f 时, 有).(lim 1度量Ω=∆Ω=Ω∑⎰=→Ωni id λ如果点函数)(P f 在有界闭区域Ω上连续, 则)(P f 在Ω上可积.二、点函数积分的性质设)(),(P g P f 在有界闭区域Ω上都可积, 则有 性质1 .)()()]()([⎰⎰⎰ΩΩΩΩ±Ω=Ω±d P g d P f d P g P f性质2 )()()(为常数k d P f k d P kf ⎰⎰ΩΩΩ=Ω性质3,)()()(21⎰⎰⎰ΩΩΩΩ+Ω=Ωd P f d P f d P f其中,21Ω=ΩΩY 且1Ω与2Ω无公共内点. 性质4 若,,0)(Ω∈≥P P f 则.0)(≥Ω⎰Ωd P f性质5 若,),()(Ω∈≤P P g P f 则.)()(⎰⎰ΩΩΩ≤Ωd P g d P f特别地, 有.|)(|)(⎰⎰ΩΩΩ≤Ωd P f d P f性质6 若)(P f 在积分区域Ω上的最大值为M , 最小值为m , 则.)(Ω≤Ω≤Ω⎰ΩM d P f m性质7 (中值定理)若)(P f 在有界闭区域Ω上连续, 则至少有一点,*Ω∈P 使得.)()(*Ω=Ω⎰ΩP f d P f其中ΩΩ=⎰Ωd P f P f )()(*称为函数)(P f 在Ω上的平均值.三、点函数积分的分类及其关系1.若,],[R b a ⊂=Ω这时],,[),()(b a x x f P f ∈=则.)()(⎰⎰=ΩΩbadx x f d P f (1)这是一元函数)(x f 在区间],[b a 上的定积分. 当1)(=x f 时,a b dx ba-=⎰是区间长.2.右,2R L ⊂=Ω且L 是一平面曲线, 这时,),(),,()(L y x y x f P f ∈=于是⎰⎰=ΩΩLds y x f d P f ),()( (2)当1)(≡P f 时,s ds L =⎰是曲线的弧长. (2)式称为第一类平面曲线积分.3.若,3R ⊂Γ=Ω且Γ是空间曲线, 这时,),,(),,,()(Γ∈=z y x z y x f P f 则.),,()(⎰⎰ΓΩ=Ωds z y x f d P f (3)当1)(≡P f 时,s ds =⎰Γ是曲线的弧长. (3)式称为第一类空间曲线积分.2、3的特殊情形是曲线为直线段, 而直线段上的点函数积分本质上是一元函数的定积分,这说明⎰⎰Γds z y x f ds y x f L),,(,),(可用一次定积分计算, 因此用了一次积分号.4.若,2R D ⊂=Ω且D 是平面区域, 这时,),(),,()(D y x y x f P f ∈= 则⎰⎰⎰=ΩΩDd y x f d P f σ),()( (4)(4)式称为二重积分. 当1),(=y x f 时,σσ=⎰⎰Dd 是平面区域D 的面积.5.若,3R ⊂∑=Ω且∑是空间曲面, 这时,),,(),,,()(∑∈=z y x z y x f P f 则⎰⎰⎰∑Ω=ΩdS z y x f d P f ),,()( (5)(5)式称为第一类曲面积分. 当1)(≡P f 时,S dS =⎰⎰∑是空间曲面∑的面积.由于(5)的特殊情形是平面区域上的二得积分, 说明该积分可化为两次定积分的计算, 因此用二重积分号.6.若3R ⊂Ω为空间立体, 这时,),,(),,,()(Ω∈=z y x z y x f P f 则.),,()(⎰⎰⎰⎰ΩΩ=Ωdv z y x f d P f (5)(6)式称为三重积分. 当1)(≡P f , 则V dv =⎰⎰⎰Ω是空间立体Ω的体积.更进一步, 我们还可以利用点函数积分的概念统一来表述占有界闭区域Ω的物体的重心、转动惯量、引力等物理概念, 此处不再表述.。
如何解决数学中的曲线与曲面积分问题曲线与曲面积分是数学中的重要概念,广泛应用于物理学、工程学等领域。
本文将探讨如何解决数学中的曲线与曲面积分问题,为读者提供理解和应用这一概念的方法和技巧。
在数学中,曲线积分是用来计算沿给定曲线上的函数值的总和。
曲面积分则是用于计算曲面上的函数值的总和。
曲线积分和曲面积分的计算方法和技巧各有不同,我们将分别对这两种积分进行详细讨论。
一、曲线积分曲线积分的计算可以分为第一类曲线积分和第二类曲线积分两种情况。
首先我们来看第一类曲线积分,也称为标量场的曲线积分。
1. 标量场的曲线积分对于标量场的曲线积分,我们需要计算曲线上每一点的函数值与曲线元素的乘积然后累加得到总和。
具体计算公式如下:∮ f(x, y, z)·ds其中,f(x, y, z)代表函数值,ds代表曲线元素。
解决标量场的曲线积分问题的关键是确定曲线的参数方程,并计算曲线元素ds。
在实际应用中,常常根据具体问题确定曲线的类型和方程,然后代入计算即可。
2. 矢量场的曲线积分第二类曲线积分是用于计算矢量场沿曲线方向的积分,也称为矢量场的线积分。
计算方法如下:∮ F(x, y, z)·dr其中,F(x, y, z)为矢量场,dr为曲线元素。
矢量场的曲线积分需要注意方向性,因为曲线的方向不同,结果可能会有所不同。
在具体计算时,需要确定曲线的方向,并将计算结果与方向对应。
二、曲面积分曲面积分的计算同样可分为第一类曲面积分和第二类曲面积分两种情况。
我们先来看第一类曲面积分,即标量场的曲面积分。
1. 标量场的曲面积分标量场的曲面积分用于计算曲面上每一点的函数值与曲面元素的乘积的总和。
计算公式如下:∬ f(x, y, z)·dS其中,f(x, y, z)为函数值,dS为曲面元素。
解决标量场的曲面积分问题的关键是确定曲面的参数方程,并计算曲面元素dS。
根据具体问题的要求,选择合适的坐标系并进行计算。
曲线积分与曲面积分的解题技巧1.对弧长的曲线积分的解题技巧一般采用直接计算法,即写出曲线的参数方程,借助弧微分计算公式,直接代入被积被积表达式转换为定积分的方法计算,注意定积分下限小于上限。
也可以考虑借助于其实际意义,借助元素法转换为其他类型的积分来完成计算。
2.对坐标的曲线积分的解题技巧(1) 直接计算方法,参数方程表达式直接代入,转换为定积分计算的方法。
注意定积分下限为起点对应的参数,上限为终点对应的参数。
(2) 两类曲线积分之间的关系。
注意方向余弦构成的切向量的方向应与曲线方向一直。
(3) 格林公式,当积分曲线为空间曲线时,则使用格林公式。
(注意三个条件:封闭性,方向性与偏导的连续性)(4) 积分与路径无关(格林公式)。
3.对面积的曲面积分的解题技巧一般采用直接计算法,要求积分曲面为简单类型,不为简单类型的积分曲面借助于积分对积分区域的可加性,将其分割为简单类型,借助面积微元的积分变量微元的描述形式转换为二重积分计算。
也可以考虑借助于其实际意义,借助元素法转换为其他类型的积分来完成计算。
对面积的曲面积分只需要考虑曲面为一种简单类型。
4.对坐标的曲面积分的解题技巧(1) 直接计算方法,将对不同坐标的曲面积分分开单独计算,考虑曲面为单独的三种不同简单类型,采取直接代入函数表达式转换为二重积分的方法计算,唯一要注意的是,法向量与相应坐标轴的方向关系决定直接将曲面积分转换为二重积分的正负。
(2) 两类曲面积分之间的关系。
注意方向余弦构成的法向量的方向应与曲面的法向量方向一直。
(3) 利用两类曲面积分之间的关系,将三个对坐标的曲面积分转换为一种类型的对坐标的曲面积分,这样就只要考虑曲面为一种类型的简单类型即可。
(4) 高斯公式,当积分曲线为空间曲线时,则使用格林公式。
(注意三个条件:封闭性,方向性与偏导的连续性)。
曲线与曲面积分计算曲线积分与曲面积分的基本技巧曲线与曲面积分:计算曲线积分与曲面积分的基本技巧曲线积分和曲面积分是微积分中重要的概念,应用广泛。
在本文中,我们将探讨曲线积分和曲面积分的基本技巧和计算方法。
在开始之前,我们先对曲线积分和曲面积分进行简要介绍。
1. 曲线积分曲线积分是对曲线上的某个向量场的积分,其计算方法有两种:第一类曲线积分和第二类曲线积分。
第一类曲线积分是对标量函数的积分,而第二类曲线积分是对向量函数的积分。
1.1 第一类曲线积分第一类曲线积分也称为沿曲线的线积分,其计算公式为:∫f(x, y, z) • dr = ∫f(x(t), y(t), z(t)) • r'(t) dt,其中f(x, y, z)为曲线上的函数,r(t)为曲线上的向量函数,r'(t)为r(t)的导数。
1.2 第二类曲线积分第二类曲线积分也称为曲线上的向量场的线积分,其计算公式为:∫F • dr = ∫F(x(t), y(t), z(t)) • r'(t) dt,其中F为曲线上的向量函数,r(t)为曲线上的向量函数,r'(t)为r(t)的导数。
2. 曲面积分曲面积分是对曲面上的某个标量函数或向量函数的积分,其计算方法也有两种:第一类曲面积分和第二类曲面积分。
第一类曲面积分是对标量函数的积分,而第二类曲面积分是对向量函数的积分。
2.1 第一类曲面积分第一类曲面积分也称为曲面上的标量场的曲面积分,其计算公式为:∬f(x, y, z) dS,其中f(x, y, z)为曲面上的函数,dS为曲面元素面积。
2.2 第二类曲面积分第二类曲面积分也称为曲面上的向量场的曲面积分,其计算公式为:∬F • dS = ∬F(x, y, z) • n dS,其中F为曲面上的向量函数,dS为曲面元素面积,n为曲面上某一点的法向量。
3. 计算曲线积分的基本技巧在计算曲线积分时,我们需要掌握以下基本技巧:3.1 参数化对于曲线上的向量函数,我们需要找到一个参数来表示该曲线,通常使用参数t来表示曲线上的点。
曲线积分与曲面积分的应用及相关定理研究概述:曲线积分和曲面积分是微积分中重要的概念,它们在数学和物理学中有着广泛的应用。
曲线积分是对曲线上的向量场进行积分的方法,而曲面积分是对曲面上的向量场进行积分的方法。
这两种积分形式各自有自己的定义和计算方法,且都有一系列相关的定理可以应用,以解决各种实际问题。
一、曲线积分的应用:1. 质量和质心的计算:曲线积分可以用来计算物体的质量和质心。
通过将质量分布模型建立在曲线上,并用质量因子乘以向量场的投影来对质量进行积分,可以得到物体的总质量和质心的位置。
2. 功和路径无关性:曲线积分的一个重要应用是计算力学中的功。
根据路径无关性定理,如果向量场的旋度为零,则曲线积分与路径无关,从而可以简化计算过程。
3. 电场强度和电势:在电磁学中,曲线积分可以用来计算电场对电荷的做功量以及电势差。
通过求解电场强度向量场在电荷路径上的曲线积分,我们可以得到电荷在电场中受到的力,从而进一步计算出电场强度和电势差。
二、曲面积分的应用:1. 流量:曲面积分可以用来计算流体通过一个给定曲面的速率。
通过对速度向量场在曲面上的投影进行积分,我们可以得到流体通过曲面的总流量表达式。
2. 直接计算体积:通过曲面积分,我们可以直接计算物体的体积,而不需要分解为小的体积元素进行求和。
通过对速度向量场投影的曲面积分,我们可以得到物体的体积。
3. Stokes定理和高斯定理:这两个定理是曲面积分的重要应用之一。
Stokes定理将曲面积分与曲线积分联系起来,可以将沿曲线的环量计算转化为曲面上的积分计算。
而高斯定理将曲面积分与体积积分联系起来,可以将体积积分转化为曲面上的积分计算。
相关定理:1. 曲线积分的格林公式:曲线积分的格林公式是曲线积分理论的基础,它指出了曲线积分与向量场的旋度之间的关系。
2. Stokes定理:Stokes定理是曲线积分与曲面积分之间的桥梁,它将曲线积分和曲面积分联系起来,使得我们可以在曲线上进行计算,而得到曲面上的结果。
第一型曲线积分与曲面积分的一些问题
第1型曲线积分与曲面积分的1些问
题摘要本文归纳研究了第1型曲线积分与曲面积分的物理背景,定义,性质及计算方法,并在此基础上给出了它们在特殊坐标变换下的计算公式及证明。
并且利用这个公式,推导出了当第1型曲线积分或曲面积分的被积函数为奇函数或偶函数,积分曲线或曲面是对称的时的几个重要的推论及证明。
关键字:第1型曲线积分与曲面积分;坐标变换;奇偶性;对称性。
Some questions about curve integral and surface integral of the first
kind A bstract In this article we induce and study the physical background ,definition, quality ,and calculating method of the curve and surface integral of the first kind ,and at the base of these , calculate formula and providence was proposed in the special coordinate transformation. Using this formula ,we get several important inference and prove that when the curve and surface integral of the first kin d’s integrand is odd function or even function and the integral curve or surface is symmetry.Key word: Curve integral and surface integral of the first kind; coordinate transformation; odevity; symmetry。