2017年山东高考本科普通批文科投档分数线排名
- 格式:xls
- 大小:199.00 KB
- 文档页数:18
2017山东高考分数段统计表一览2017年山东省高招各批次录取控制分数线已经公布了,本科一二批合并为一个批次,录取控制分数线文科为483分、理科为433分。
下面店铺为大家分享的是2017山东高考分数线的详细内容,供大家参考!2017山东高考分数线:文科483分理科433分今年首次划定的本科普通批录取控制分数线为:文科483分,理科433分。
自主招生学校参考分数线:文科529分,理科515分公安类专科分数线:文科463分,理科413分体育专业文化:本科314分高水平运动员分数线:文科483分,理科:433分艺术类本科文化分数线:艺术文 313 分,艺术理 281分今年本科批次合并,本科普通批分2次划定录取控制分数线。
第1次,分文理类根据招生计划数与考生成绩,按招生计划1∶1.1的比例划定;第2次,在考生填报第二次征集志愿之后,在有效生源范围内(含服从调剂考生),分文理类根据征集计划数与考生成绩,按招生计划1∶1的比例划定。
2017山东高考高考分数查询小贴士为方便考生及时查询到成绩,考生可使用网络和电话两种方式查询成绩。
网上查询可登陆山东省2017年普通高考成绩查询平台(网址为:http///或者),电话查询拨打16866,根据语音提示查询高考成绩,两种方式查询均需要输入考生号及身份证号进行验证,网上查询还需要输入验证码。
2017山东高考录取政策变化及工作安排(一)录取政策变化1.2017年起,我省夏季高考合并本科一批、二批录取批次。
原来的本科一批、二批合并为“本科普通批”,另将专科(高职)提前批调整到本科普通批后、专科(高职)普通批前。
批次合并后,本科普通批填报3次志愿,即首次志愿和2次征集志愿,本科普通批首次志愿填报时间由原来1天增加到2天。
院校志愿由原来的6个院校志愿调整为首次志愿和第一次征集志愿均为12个院校志愿,第二次征集志愿为10个院校志愿。
2.在文理类实行平行志愿的批次实行多轮投档的办法。
山东省2017年高考本科第一次投档情况统计表文科A001北京大学647.1302272 A003清华大学662.1382411 A246复旦大学640.1192311 E430中国科学院大学H248上海交通大学医学院A248上海交通大学633.1292251 H001北京大学医学部H246复旦大学医学院A335浙江大学632.1202341 A358中国科学技术大学A284南京大学631.1322281 A002中国人民大学637.1292261 A003清华大学 (定向)H335浙江大学医学院A006北京航空航天大学616.1222081 A272上海财经大学628.1312091 A247同济大学618.1272101 A034中央财经大学617.1212241 E596中国社会科学院大学615.1232151 A055南开大学621.1282291 A036对外经济贸易大学617.1232102 A007北京理工大学610.1192161 A486武汉大学620.1342111 A286东南大学610.1212231 A487华中科技大学607.1201981 A698西安交通大学604.1242111 A030北京外国语大学621.1322111 A034中央财经大学 (中外合作A558中山大学613.1332161 H002中国人民大学(苏州校区) (中612.1292041 A01 3北京邮电大学597.1262001 A384厦门大学617.1182191 A269华东师范大学613.1292171 A053中国政法大学617.1292141 A213哈尔滨工业大学598.1341921 A056天津大学612.1312231 A486武汉大学 (中外合作A6 1 4电子科技大学587.1291841 A271上海外国语大学612.1362031 A561华南理工大学596.1331911 A007北京理工大学 (中外合作A422山东大学 (非西藏生A062天津医科大学577.1141961 A004北京交通大学607.1222111 A651西南财经大学601.1271871A610四川大学606.1282071 A141大连理工大学590.1352001 A699西北工业大学588.1191921 H614电子科技大学(沙河校区)A019中国农业大学602.1242161 A422山东大学600.1242111 A614电子科技大学 (专业志A033中国传媒大学612.1212191 A280上海大学597.1242221 A008北京科技大学595.1212081 A533中南大学599.1322101 A611重庆大学598.1232031 A287南京航空航天大学590.1261971 A025首都医科大学A532湖南大学601.1201981 A054华北电力大学(北京)586.1272031 A384厦门大学 (中外合作591.1182121 A052中央民族大学601.1232061 A288南京理工大学583.1171971 A251华东理工大学589.1222091 A520中南财经政法大学597.1261981 A276华东政法大学608.1182021 A423中国海洋大学596.1222211 A611重庆大学 (中外合作A285苏州大学596.1212081 A701西安电子科技大学577.1222111 A005北京工业大学H614电子科技大学(沙河校区) (中A5 1 1华中师范大学595.1262031 H013北京邮电大学(宏福校区) (中A145东北大学588.1202141 A183吉林大学596.1222151 A255东华大学591.1242001 A268上海中医药大学A559暨南大学595.1262031 H213哈尔滨工业大学(威海)582.1281871 A183吉林大学 (专业志A280上海大学 (中外合作589.1162141 A273上海对外经贸大学592.1242301 A038首都经济贸易大学592.1262031 A73 0兰州大学588.1142141 A319南京师范大学595.1261921 A010北京化工大学584.1152301 H422山东大学威海分校589.1242061 A033中国传媒大学 (中外合作584.1172101 B287南京审计大学587.1171921 A1 59中国医科大学A1 73东北财经大学581.1211851 A079华北电力大学(保定)579.1191831 A316中国药科大学585.1192091 A497武汉理工大学583.1172011 A312南京医科大学A590深圳大学586.1172081 A613西南交通大学582.1321781 A294河海大学586.1271961 A610四川大学 (中外合作A022北京林业大学591.1211991 A635西南大学592.1222101 A652西南政法大学592.1181971 A004北京交通大学 (中外合作A031北京第二外国语学院593.1182091 A032北京语言大学598.1192051 A295江南大学587.1162011 H1 41大连理工大学(盘锦校区)B846广东外语外贸大学583.1241921 A028首都师范大学591.1352031 A652西南政法大学 (中外合作587.1212031 A019中国农业大学 (中外合作582.1232001 A200东北师范大学590.1262041 A651西南财经大学 (中外合作580.1212051 A070天津财经大学583.1182191 B414中国石油大学(北京)588.1281941 A574华南师范大学582.1301931 A287南京航空航天大学(中外合作A252上海理工大学577.1192031 A217哈尔滨工程大学574.1221971 A1 61大连医科大学A080河北工业大学578.1112071 A698西安交通大学 (专业志A005北京工业大学 (中外合作A293南京邮电大学577.1211951 Y011山东大学威海分校(走读)575.1201991 A697西北大学587.1241861 A026北京中医药大学594.1182231 A38 6福州大学582.1261851 A343温州医科大学B415中国地质大学(北京)584.1202071 A336杭州电子科技大学575.1211821 A226哈尔滨医科大学544.1191881 A141大连理工大学 (中外合作A542湖南师范大学584.1262141 H422山东大学威海分校(中外合作584.1181981 A699西北工业大学 (中外合作A295江南大学 (中外合作577.1211981A359合肥工业大学575.1191971 C1 2 1南方医科大学564.1191851 A425中国石油大学(华东)585.1212091 A392福建医科大学H145东北大学秦皇岛分校579.1331861 A288南京理工大学 (中外合作A726西北政法大学579.1211891 A316中国药科大学 (中外合作A068天津外国语大学582.1261831 A366安徽医科大学B413中国矿业大学(北京)582.1222131 A423中国海洋大学 (民族预564.1142131 A459郑州大学583.1211991 A307南京农业大学585.1222041 F301宁波诺丁汉大学575.1181881 A151大连海事大学582.1272011 A497武汉理工大学 (中外合作582.1162071 A140辽宁大学583.1202021 A701西安电子科技大学(中外合作A357安徽大学584.1251991 A710长安大学581.1332011 A141大连理工大学 (中外合作A491中国地质大学(武汉)584.1351791 A337浙江工业大学566.1191841 A403南昌大学582.1261981 H359合肥工业大学(宣城校区)568.1251901 A327南京财经大学582.1122001 A1 72大连外国语大学578.1141851 A290中国矿业大学580.1241931 A712西北农林科技大学580.1181951 A6 1 7重庆邮电大学561.1221841 A01 1北京工商大学588.1202101 A254上海海事大学578.1261861 A673云南大学579.1161931 A291南京工业大学569.1262111 A560汕头大学577.1172021 A1 1 2太原理工大学572.1241861 A504华中农业大学580.1201901 A043北京体育大学579.1321841 A016北京建筑大学A353浙江工商大学581.1142031 A299江苏大学580.1252111 A338浙江理工大学565.1191911 A022北京林业大学 (中外合作A613西南交通大学 (中外合作A216燕山大学568.1201851 A145东北大学 (中外合作A009北方工业大学573.1132171 A060天津理工大学537.1171731 A572广州中医药大学569.1271911 A300南京信息工程大学567.1161981 A010北京化工大学 (中外合作A488武汉科技大学558.1252071 A65 7贵州大学569.1271911 B047上海立信会计金融学院576.1242001 B646宁波大学570.1132121 A270上海师范大学578.1232081 A016北京建筑大学 (中外合作A421江西财经大学575.1271841 B482浙江财经大学572.1222081 A423中国海洋大学 (中外合作574.1182031 A252上海理工大学 (中外合作569.1271761 B232北京信息科技大学559.1171881 A633成都中医药大学563.1212031 A359合肥工业大学 (中外合作A635西南大学 (中外合作568.1201971 A356中国计量大学566.1181941 F302西交利物浦大学568.1191831 A080河北工业大学 (中外合作B117扬州大学578.1191971 A063天津中医药大学536.1251731 A285苏州大学 (中外合作A703西安建筑科技大学545.1121771 A700西安理工大学A313徐州医科大学A512湖北大学573.1221871 A2 5 6上海电力学院558.1201801 A274上海海关学院569.1251801 A023北京协和医学院A650四川外国语大学573.1211971 H004北京交通大学(威海校区) (中569.1241981 A697西北大学 (中外合作A173东北财经大学 (中外合作562.1181851 B845广东工业大学A571广东医科大学519.1131651 A059中国民航大学577.1202021 A530湘潭大学567.1252001 A070天津财经大学 (中外合作563.1091911 B664西安邮电大学556.1181921 A712西北农林科技大学(中外合作B835上海政法学院574.1181991 A593广西大学 (中外合作A486武汉大学 (专业志A589海南大学572.1201981A290中国矿业大学 (中外合作A384厦门大学 (马来西亚569.1182001 A225东北林业大学569.1281841 P004陆军工程大学A345浙江师范大学574.1311881 A536长沙理工大学552.1251911 A298南京林业大学570.1301921 A385华侨大学571.1142001 A593广西大学570.1101921 A268上海中医药大学 (中外合作A183吉林大学 (单列计划A1 84延边大学564.1342081 A403南昌大学 (中外合作A1 26内蒙古大学559.1181831 A058天津工业大学548.1191831 A626四川农业大学H141大连理工大学(盘锦校区) (中A188东北电力大学 (中外合作A1 50大连交通大学546.1161981 A159中国医科大学 (中外合作A264上海海洋大学554.1191781 A616成都理工大学552.1092031 A631重庆医科大学A224东北农业大学564.1122051 B078广州大学561.1181771 F405温州肯恩大学554.1091901 A300南京信息工程大学(中外合作560.1121841 A058天津工业大学 (专业志A724西安外国语大学568.1171681 A254上海海事大学 (中外合作A475河南大学558.1231891 A108山西大学557.1281711 A749宁夏大学561.1162041 A289江苏科技大学560.1201601 A856上海工程技术大学552.1171661 B065青岛大学562.1241981 A386福州大学 (专业志A678昆明医科大学514.1071741 A404华东交通大学556.1101931 A618重庆交通大学555.1101791 A504华中农业大学 (中外合作560.1211911 A291南京工业大学 (中外合作B647浙江传媒学院567.1242031 A592广东财经大学551.1271781 A366安徽医科大学 (中外合作A704西安科技大学548.1051881 A378安徽财经大学562.1281931A1 88东北电力大学483.1041601 A390集美大学567.1101891 A200东北师范大学 (中外合作557.1121891 F401北京师范大学-香港浸会大学556.1051871 B065青岛大学 (地方农村553.1151791 B799重庆工商大学564.1191861 A490武汉工程大学545.1041981 A593广西大学 (专业志A564华南农业大学F41 0广东以色列理工学院A617重庆邮电大学 (专业志A406南昌航空大学534.1201711 A445山东师范大学560.1111891 A617重庆邮电大学 (中外合作B664西安邮电大学 (中外合作A332苏州科技大学537.1241911 A593广西大学 (专业志A703西安建筑科技大学(中外合作A394福建师范大学566.1161861 A636四川师范大学559.1201841 A143沈阳航空航天大学531.1221821 A292常州大学552.1081841 B646宁波大学 (中外合作555.1201801 A378安徽财经大学 (中外合作512.1241841 A065天津师范大学556.1131791 A632西南医科大学532.1071931 A500湖北工业大学544.1231811 A674昆明理工大学518.1101701 A752宁夏医科大学A089河北医科大学529.1101761 A624中国民用航空飞行学院551.1141981 A1 07石家庄铁道大学541.1191961 A1 1 0中北大学545.1191971 A011北京工商大学 (中外合作A214哈尔滨理工大学524.1231591 A650四川外国语大学 (中外合作553.1221821 A315南京中医药大学529.1131671 E275浙江外国语学院552.1201761 A019中国农业大学 (专业志561.1121951 A075河北大学554.1221751 A142沈阳工业大学516.1172071 H635西南大学(荣昌校区)556.1131921 A216燕山大学 (中外合作A1 14山西医科大学525.1121651 A456山东财经大学 (中外合作546.1252181 A063天津中医药大学 (中外合作B075三峡大学536.1171851B799重庆工商大学 (中外合作545.1121841 A445山东师范大学 (地方农村553.1202061 A1 8 6长春理工大学486.1231631 A618重庆交通大学 (中外合作B417北京联合大学553.1041991 A346杭州师范大学556.1162031 A456山东财经大学 (地方农村544.1231911 A673云南大学 (中外合作540.1101851 A660贵州医科大学B540广东金融学院543.1141701 A45 6山东财经大学554.1151961 A1 25山西财经大学548.1171781 A1 63沈阳药科大学A270上海师范大学 (中外合作554.1172071 A445山东师范大学 (中外合作539.1011881 C050上海商学院544.1241561 A704西安科技大学 (中外合作A1 65辽宁师范大学A593广西大学 (专业志A708陕西科技大学543.1151901 A320江苏师范大学550.1162031 A037北京物资学院542.1261811 A541湖南中医药大学A207吉林财经大学 (中外合作539.1211691 A424山东科技大学550.1201941 A081华北理工大学540.1121791 A057天津科技大学548.1161971 A615西南石油大学544.1171791 A012北京服装学院522.1111501 A1 53沈阳建筑大学506.1161711 D705成都医学院A340浙江海洋大学A621成都信息工程大学534.1211871 A414江西师范大学542.1111901 A426青岛科技大学544.1171761 A344浙江中医药大学A264上海海洋大学 (中外合作546.1251951 A212黑龙江大学556.1131951 A424山东科技大学 (地方农村A298南京林业大学 (中外合作A207吉林财经大学540.1121791 A856上海工程技术大学(中外合作A078华北水利水电大学520.1141661 A351温州大学544.1131741 C044上海第二工业大学B660重庆理工大学536.1131821 A484河南财经政法大学539.1231791A507湖北中医药大学541.1151931 A530湘潭大学 (中外合作Y014山东财经大学 (走读)537.1171911 A534湖南科技大学538.1231571 A341浙江农林大学542.1151751 A429青岛理工大学533.1181791 B840西安医学院508.1101841 A360安徽工业大学501.1171661 A058天津工业大学 (中外合作D177北京师范大学珠海分校(中外521.1181551 A107石家庄铁道大学 (中外合作A623西华大学543.1261701 A069天津商业大学549.1341701 A184延边大学 (中外合作535.1231871 A619西南科技大学535.1141891 A404华东交通大学 (高收费专545.1091761 A538中南林业科技大学546.1081741 A7 3 2兰州交通大学533.1211661 A015北京印刷学院558.1291991 A426青岛科技大学 (地方农村A370安徽师范大学547.1081981 A094河北师范大学548.1171751 A705西安石油大学531.1072021 A743青海大学547.1111781 A1 60锦州医科大学A228黑龙江中医药大学532.1252001 A489长江大学544.1211821 A637重庆师范大学540.1211761 A065天津师范大学 (专业志A429青岛理工大学 (地方农村B276南京工程学院537.1161941 A186长春理工大学 (中外合作A075河北大学 (中外合作A144沈阳理工大学522.1191561 B458上海电机学院 (中外合作A304南通大学541.1101891 A441山东中医药大学 (地方农村A702西安工业大学529.1111831 A427济南大学 (地方农村539.1091891 A566广东海洋大学Y006山东师范大学 (非西藏生521.1181611 A060天津理工大学 (中外合作A689云南财经大学531.1231691 A595桂林电子科技大学521.1121741 A289江苏科技大学 (中外合作D1 77北京师范大学珠海分校523.1111881 B832河北经贸大学534.1231611A496武汉轻工大学B600湖北经济学院537.1111741 A259上海应用技术大学(中外合作A132内蒙古医科大学A369安徽中医药大学B062厦门理工学院531.1211671 B258大连大学538.1141871 Y017青岛大学(师范,面向青岛)536.1221811 A634川北医学院A589海南大学 (中外合作529.1161731 A759石河子大学538.1281841 A512湖北大学 (中外合作530.1131831 A1 52大连工业大学A573广东药科大学A1 58大连海洋大学543.1191961 A017北京石油化工学院535.1151801 A427济南大学540.1131951 A231哈尔滨师范大学533.1191901 B560西安财经学院533.1081721 A792天津城建大学B065青岛大学 (中外合作535.1091901 A082河北科技大学529.1131911 B05 7浙江科技学院A405东华理工大学521.1171831 A446曲阜师范大学 (地方农村534.1181861 A361安徽理工大学514.1112031 A427济南大学 (中外合作523.1191811 B632沈阳工程学院A020北京农学院532.1071931 A292常州大学 (中外合作A164沈阳医学院A404华东交通大学 (中外合作H414中国石油大学(北京)克拉玛依528.1081811 A057天津科技大学 (中外合作540.1191841 A718陕西师范大学 (非西藏生530.1061941 A736西北师范大学537.1161721 A671贵州财经大学526.1131871 A329江苏警官学院532.1151751 A655四川美术学院528.1121791 A360安徽工业大学 (中外合作516.1111741 A709西安工程大学C453中国劳动关系学院533.1211441 A020北京农学院 (中外合作A069天津商业大学 (中外合作523.1201591 A143沈阳航空航天大学(中外合作A602广西师范大学531.1211671 A150大连交通大学 (中外合作537.1311941A433山东理工大学 (地方农村A146辽宁科技大学 (专业志B066烟台大学539.1151821 A495武汉纺织大学534.1181681 A472新乡医学院A500湖北工业大学 (中外合作A440滨州医学院512.1221531 A463河南工业大学525.1161871 A446曲阜师范大学537.1191671 B420河北金融学院518.1241701 A407江西理工大学523.1191661 B048金陵科技学院523.1081881 B458上海电机学院527.1181651 A1 99长春中医药大学520.1061661 A681云南师范大学534.1181701 A394福建师范大学 (中外合作A092河北北方学院A929湖北医药学院A601桂林医学院A460河南理工大学525.1171891 A146辽宁科技大学B420河北金融学院 (中外合作515.1031801 A554湖南商学院535.1081911 B460南京晓庄学院520.1241701 A73 1兰州理工大学516.1201851 A389福建农林大学494.1201621 B149中华女子学院530.1111941 A555南华大学520.1121761 A513湖北师范大学535.1132001 A364安徽农业大学529.1071711 A451鲁东大学535.1131681 A741兰州财经大学518.1141721 B532湖南财政经济学院521.1061751 A1 39内蒙古财经大学522.1121741 A600广西中医药大学520.1211521 A716陕西中医药大学526.1091891 C026大连民族大学529.1131891 A066天津职业技术师范大学532.1131831 A878安徽建筑大学519.1211821 A464河南科技大学526.1161881 A1 09太原科技大学525.1122141 A661遵义医学院497.1201611 A367蚌埠医学院A245哈尔滨金融学院516.1151731 A430山东建筑大学 (地方农村518.1181551 Y016济南大学 (走读)519.1142031 B463江苏理工学院521.1131801B736西安航空学院500.1131651 A154辽宁工业大学520.1111441 A203吉林师范大学532.1141841 A076河北工程大学522.1102001 A094河北师范大学 (专业志A4 1 2江西中医药大学529.1211801 A438潍坊医学院505.1071811 A093承德医学院522.1131771 A220东北石油大学517.1311661 B535湖南工业大学524.1001791 Y007山东财经大学(莱芜校区)525.1221561 D68 7中国传媒大学南广学院506.1131761 A749宁夏大学 (高收费专531.1231651 B230齐齐哈尔医学院A741兰州财经大学 (中外合作501.1151631 B418北京城市学院503.1181611 A389福建农林大学 (中外合作493.1141561 D218大连财经学院511.1151701 A451鲁东大学 (非西藏生B654武汉商学院509.1101641 A1 9 0长春工业大学516.1141911 A363安徽工程大学B660重庆理工大学 (中外合作A117长治医学院499.1191601 A240哈尔滨商业大学539.1101851 A596桂林理工大学513.1181671 B065青岛大学 (校企合作Y015山东建筑大学 (走读)518.1021951 B835上海政法学院 (民族预526.1101591 A305盐城工学院A638西华师范大学521.1151861 A4 1 3赣南医学院B349五邑大学509.1151741 C214湖南医药学院513.1071671 A681云南师范大学 (中外合作490.1101841 B726长春大学519.0991661 A823长沙医学院514.1181811 A537湖南农业大学530.1011791 A735甘肃中医药大学523.1051721 D661天津医科大学临床医学院A429青岛理工大学 (中外合作524.1181641 A430山东建筑大学528.1071751 A205长春师范大学525.1181941 A201北华大学521.1281601 B810海南医学院A760新疆医科大学A663贵州师范大学514.1041711A433山东理工大学520.1071531 A077河北地质大学530.1191961 B819东莞理工学院503.1131561 A598广西医科大学E432河北中医学院511.1161711 A1 18山西师范大学526.1101821 A476河南师范大学517.1181641 B055常州工学院A354嘉兴学院525.1211561 B392云南警官学院511.1031661 B035沈阳大学517.1151741 A680云南中医学院518.1121811 A148辽宁石油化工大学515.1071711 A373淮北师范大学532.1221791 A531吉首大学520.1101761 Y000哈尔滨理工大学 (荣城校区)512.1141801 A427济南大学 (校企合作A543湖南理工学院508.1121631 A167渤海大学526.1171661 A264上海海洋大学 (民族预H1 27内蒙古科技大学包头医学院B658海南师范大学520.1171551 B058宁波工程学院 (中外合作D505新乡医学院三全学院A809山西中医药大学521.1211671 A431齐鲁工业大学520.1051741 A219黑龙江科技大学513.1091541 A418赣南师范大学520.1171781 A439泰山医学院502.1022011 B058宁波工程学院B641淮海工学院511.1241601 A388福建工程学院A679大理大学514.1121631 A333常熟理工学院513.1091751 A719延安大学520.1111821 D901北京邮电大学世纪学院504.1011901 B406甘肃政法学院513.1231461 A524中南民族大学 (民族预509.1041631 A424山东科技大学 (中外合作510.1131561 A262上海健康医学院A471河南中医药大学A149沈阳化工大学515.1171591 D632上海视觉艺术学院499.1171751 A720陕西理工大学513.1131651 A766新疆财经大学511.1151781 A456山东财经大学 (校企合作D213锦州医科大学医疗学院A435青岛农业大学527.1101971 A447聊城大学525.1131641 B332湖北警官学院516.1041931 A441山东中医药大学521.1221881 B664西安邮电大学 (边防军人488.1021551 A191吉林建筑大学511.1051801 A402闽南师范大学523.1061721 A061天津农学院522.1181611 D706吉林医药学院498.1071681 A639绵阳师范学院504.1201751 A452临沂大学522.1111761 A466河南农业大学522.1121801 A410江西农业大学521.1161881 A545湘南学院499.1051731 A1 66沈阳师范大学518.1171651 A642重庆文理学院515.1111791 A676云南农业大学516.1141811 A186长春理工大学 (民族预498.1071591 A677西南林业大学519.1141751 A723渭南师范学院503.1121941 A691云南民族大学514.1071911 A485郑州航空工业管理学院511.1091871 D249湖北医药学院药护学院A443济宁医学院507.1181711 B688山东工商学院517.1111661 E100山东政法学院516.1121841 A2 29牡丹江医学院A119太原师范学院514.1211871 B319南昌工程学院507.1181651 B441吉林警察学院510.0981691 D021浙江大学城市学院513.1121831 A078华北水利水电大学 (中外合作A430山东建筑大学 (中外合作Y004青岛理工大学 (费县校区)A594广西科技大学A084河北建筑工程学院E276齐鲁师范学院515.1131671 A102石家庄学院505.1111571 A462郑州轻工业学院501.1241561 A1 62辽宁中医药大学A416上饶师范学院505.1061841 A1 1 3山西农业大学519.1131671 D285浙江中医药大学滨江学院A622四川理工学院504.1121661 A65 3成都体育学院493.1191691 A100廊坊师范学院518.1191921 A426青岛科技大学 (校企合作A408景德镇陶瓷大学519.1191481 B318江西科技师范大学514.1171781 B969郑州师范学院525.1131731 A347湖州师范学院521.1061641 A694西藏大学513.1041781 A193吉林农业大学516.1121681 E436江苏第二师范学院523.1181561 A098河北民族师范学院508.1201791 A424山东科技大学 (校企合作504.1171621 A120山西大同大学516.1221801 A232齐齐哈尔大学519.1231841 A736西北师范大学 (校企合作A395闽江学院516.1081611 A419井冈山大学512.1151701 A320江苏师范大学 (中外合作B059合肥学院509.1201551 B049淮阴工学院506.1181611 A525湖北汽车工业学院D994南京审计大学金审学院501.1151491 A349绍兴文理学院D332昆明医科大学海源学院B629北华航天工业学院510.1281541 A1 27内蒙古科技大学514.1111611 C048南京特殊教育师范学院512.1111821 B067潍坊学院514.1191531 B104华北科技学院515.1131881 B080西安文理学院512.1161631 B510山东交通学院514.1071491 A528湖北工程学院B116成都工业学院A742西北民族大学513.1121751 A1 28内蒙古工业大学A608广西民族大学513.1241741 B551重庆科技学院512.1191641 B077长沙学院509.1221631 A096保定学院512.1151521 A453泰山学院512.1091621 D980南京医科大学康达学院483.1121411 A475河南大学 (中外合作512.1001791 A920湖北理工学院504.1101611 D899北京中医药大学东方学院506.1101801 A222佳木斯大学Y003青岛科技大学(高密校区)A463河南工业大学 (中外合作504.1081441 A352丽水学院510.1191791 B05 3徐州工程学院510.1071661 A424山东科技大学 (校企合作A430山东建筑大学 (校企合作503.1121721 A798河北科技师范学院A879安徽科技学院A429青岛理工大学 (校企合作512.1131461 D437江西中医药大学科技学院510.1081831 D663南开大学滨海学院507.1141911 A603广西师范学院516.1111681 D469厦门大学嘉庚学院509.1031831 A330南京体育学院A643重庆三峡学院507.1131681 A085河北水利电力学院A323淮阴师范学院A482洛阳师范学院513.1091901 B407北方民族大学512.1271981 A372安庆师范大学510.1121551 B070洛阳理工学院503.1121621 C362武汉生物工程学院492.1041621 A234哈尔滨学院508.1021851 A1 29内蒙古农业大学A733甘肃农业大学A549湖南文理学院510.1171671 A1 05沧州师范学院510.1261781 A695西藏民族大学505.1071721 A547邵阳学院498.1121501 A397武夷学院504.1141511 A094河北师范大学 (专业志A465中原工学院504.1041621 D646南京大学金陵学院509.1181501 A099唐山师范学院507.1231681 A223黑龙江八一农垦大学506.1181641 A489长江大学 (中外合作A762新疆师范大学508.1061911 B261吉林工商学院502.1121821 B066烟台大学 (中外合作529.1251901 E437南昌师范学院502.1141701 M721河北环境工程学院498.1121681 D763福建江夏学院506.1101631 A647长江师范学院513.1181771 B775防灾科技学院E037西南财经大学天府学院496.1151681 A434山东农业大学 (校企合作A449滨州学院511.1071701 A381淮南师范学院D673四川外国语大学成都学院500.1061771 A546衡阳师范学院513.1171941 A927湖北科技学院505.1181711 D658天津外国语大学滨海外事学院499.1131621A448德州学院510.1111651 A399泉州师范学院A434山东农业大学 (地方农村520.1151721 B833上海杉达学院498.1081601 B43 7长春工程学院503.1061821 A07 1天津体育学院508.1071611 A350台州学院510.1091741 C1 05天津中德应用技术大学493.1161651 B653南阳理工学院501.1161581 D292中国计量大学现代科技学院A454济宁学院508.1101741 B033唐山学院503.1161821 D611安徽财经大学商学院491.1081851 D290浙江工商大学杭州商学院495.1141661 B342湖南工程学院502.1031871 A434山东农业大学 (中外合作500.1111821 A190长春工业大学 (中外合作B843九江学院505.1161681 E458张家口学院504.1141451 D655南京航空航天大学金城学院500.1041951 A324盐城师范学院502.1121711 A103邯郸学院500.1151561 B066烟台大学 (校企合作510.1171541 B528湖南工学院B427集宁师范学院500.1031791 B802黑龙江工程学院501.1141541 E388重庆第二师范学院502.1011541 A383铜陵学院511.1091961 A551湖南科技学院501.1171591 B430辽宁科技学院A748青海民族大学503.1061811 E099湖北第二师范学院511.1111861 A433山东理工大学 (中外合作E207上海财经大学浙江学院503.1171751 A204吉林工程技术师范学院502.1061701 A483商丘师范学院509.1191681 E438山东管理学院503.1141671 A192吉林化工学院A904枣庄学院506.1171661 A477信阳师范学院513.1051751 D811琼台师范学院500.1211751 B825桂林航天工业学院497.1251561 B104华北科技学院 (中外合作A205长春师范大学 (中外合作A371阜阳师范学院506.1051671 A481南阳师范学院506.1021681 D665电子科技大学成都学院489.1081601A455菏泽学院505.1111541 A742西北民族大学 (民族预512.1001801 A109太原科技大学 (中外合作D284温州医科大学仁济学院E101太原工业学院502.1181621 A433山东理工大学 (校企合作504.1121931 A1 36内蒙古民族大学506.1121581 B517河南工程学院503.1281411 A479安阳师范学院505.1201771 A478周口师范学院505.1041551 A158大连海洋大学 (中外合作A976贵阳学院502.1141481 Y018山东科技大学 (泰安校区)513.1201581 E389成都师范学院510.1231661 A121晋中学院502.1181421 B656广东石油化工学院496.1111741 A1 24忻州师范学院506.1091881 A676云南农业大学 (中外合作A104邢台学院B393昆明学院501.1141851 B407北方民族大学 (民族预501.1081521 B527湖南城市学院500.1071641 A577惠州学院A746青海师范大学501.1071651 B100海南热带海洋学院499.1091661 A435青岛农业大学 (校企合作507.1211541 D636上海外国语大学贤达经济人文495.1161631 B653南阳理工学院 (专业志D402河北外国语学院497.1181671 E277山东青年政治学院504.1211411 A576韶关学院497.1051931 B390玉溪师范学院496.1101571 B071新乡学院501.1141711 D596华北理工大学冀唐学院D198大连理工大学城市学院495.1051431 D982南京信息工程大学滨江学院497.1061721 B765河南城建学院498.0981761 D603长春财经学院505.1061801 B329河南工学院A649乐山师范学院503.1221411 E440贵州理工学院A480许昌学院503.1191461 B330安阳工学院488.1191711 A203吉林师范大学 (中外合作497.1081731 B242太原学院499.1081781 E435营口理工学院499.1051631 A443济宁医学院 (中外合作490.1081721E390陕西学前师范学院508.1121771 D892三亚学院496.1231531 A644四川文理学院500.1141551 A235大庆师范学院500.1131641 E223贵州师范学院501.1111551 B396商洛学院497.1181541 A684曲靖师范学院502.1131671 B726长春大学 (中外合作D991江苏科技大学苏州理工学院485.1071761 A525湖北汽车工业学院(中外合作Y003青岛科技大学 (校企合作502.1161641 D242武汉工商学院495.1131651 B305蚌埠学院B8 07兰州工业学院A825齐鲁医药学院489.1121641 Y005齐鲁工业大学 (菏泽校区)501.1171561 E527山西工程技术学院497.1071671 A598广西医科大学 (中外合作B508新余学院500.1161641 B847佛山科学技术学院B439吉林农业科技学院498.1061601 A451鲁东大学 (校企合作508.1091661 C331山东女子学院499.1211851 A548怀化学院500.1091641 A753宁夏师范学院497.1091751 A517湖北民族学院504.1021731 A628西昌学院500.1271711 A919平顶山学院499.1161461 A206白城师范学院502.1121611 A446曲阜师范大学 (校企合作506.1281751 A553湖南人文科技学院497.1171631 A522武汉体育学院D28 6杭州师范大学钱江学院497.1031831 A3 79宿州学院B488衢州学院A431齐鲁工业大学 (校企合作504.1181481 A739天水师范学院505.1101841 A812吕梁学院500.1111781 A669凯里学院A667安顺学院498.1121451 A73 7兰州城市学院501.1041831 A1 23运城学院B731贵州商学院497.1121721 B3 2 6信阳农林学院497.0981821 A236绥化学院500.1101541 G1 27内蒙古科技大学包头师范学院500.1141531 A202通化师范学院503.1191451C747郑州工业应用技术学院D593石家庄铁道大学四方学院497.1161601 A664遵义师范学院D236三峡大学科技学院A758新疆农业大学A846江西科技学院484.1151781 C689东南大学成贤学院495.1161571 B035沈阳大学 (中外合作B311三明学院498.1121771 B5 62兰州文理学院499.1121631 A169鞍山师范学院506.1071591 A894景德镇学院500.1211491 A1 38赤峰学院502.1181561 B312龙岩学院497.1121611 A135内蒙古师范大学521.1121541 A895萍乡学院503.1051661 D654南京理工大学紫金学院497.1201561 A191吉林建筑大学 (中外合作E388重庆第二师范学院(中外合作502.1101851 A578韩山师范学院500.1101631 A977六盘水师范学院499.1131901 B395榆林学院B709呼和浩特民族学院A426青岛科技大学 (中外合作E439山东农业工程学院499.1061651 B391楚雄师范学院497.1131471 A606玉林师范学院A918黄淮学院499.1121781 D411河北师范大学汇华学院490.1121761 A763喀什大学497.1151551 A687红河学院498.1071591 B546广西科技师范学院498.1171661 D415河北医科大学临床学院A723渭南师范学院 (中外合作492.1201661 B445黑龙江工业学院499.1141751 D898北京科技大学天津学院502.1181541 A757塔里木大学485.1161681 A579岭南师范学院504.1111771 D471集美大学诚毅学院498.1141631 A441山东中医药大学 (校企合作B336荆楚理工学院498.1131711 D744黑河学院498.1101701 A640内江师范学院496.1071571 C636成都东软学院D431华东交通大学理工学院486.1021741 A594广西科技大学 (中外合作A819呼伦贝尔学院494.1011631D652贵州师范大学求是学院489.1081571 E206同济大学浙江学院E038天津大学仁爱学院497.1131511 A452临沂大学 (校企合作507.1111881 D903四川大学锦城学院491.1161831 D763福建江夏学院 (中外合作493.1111951 A738陇东学院D588四川外国语大学重庆南方翻译492.1031391 A148辽宁石油化工大学(中外合作A666兴义民族师范学院498.1021751 B688山东工商学院 (中外合作493.1141491 D207大连科技学院A417宜春学院504.1201671 A841辽宁对外经贸学院496.1071771 B607钦州学院492.1071591 A458山东艺术学院496.1131631 D990南京财经大学红山学院493.1061681 A740河西学院497.1131741 C715西京学院483.1001751 A469河南牧业经济学院D989南京邮电大学通达学院489.1151561 B561甘肃民族师范学院496.1111631 A908山东工艺美术学院496.1091411 B538湖南女子学院495.1261721 A605河池学院D417华北电力大学科技学院496.1181501 D560新疆医科大学厚博学院A447聊城大学 (校企合作502.1151741 D895燕京理工学院490.1001651 C843潍坊科技学院491.1081581 A375黄山学院495.1181551 B104华北科技学院 (专业志D201沈阳工学院D906南京师范大学中北学院D592燕山大学里仁学院498.0971611 A994新疆工程学院B688山东工商学院 (校企合作499.1161501 A721宝鸡文理学院501.1111581 B838贺州学院489.1131651 B510山东交通学院 (校企合作495.1091741 D439赣南师范大学科技学院494.1091791 B837桂林旅游学院495.1021741 E100山东政法学院 (校企合作B653南阳理工学院 (中外合作488.1161531 D904北京工业大学耿丹学院484.1161771 A764伊犁师范学院496.1221881 B798武汉东湖学院488.1131771D987扬州大学广陵学院490.1031521 A451鲁东大学 (中外合作D660天津商业大学宝德学院485.1211451 A670黔南民族师范学院496.1131681 B122三江学院491.1151431 E327北京电影学院现代创意媒体学483.0981651 A595桂林电子科技大学(边防军人D607吉林动画学院A643重庆三峡学院 (校企合作A964吉林华桥外国语学院493.1161611 D438江西师范大学科学技术学院487.1081671 D006山东英才学院484.1091531 C799上海建桥学院484.1141501 B552四川旅游学院492.1131651 D905南京工业大学浦江学院490.0991651 D677西安交通大学城市学院491.1181661 A647长江师范学院 (校企合作B330安阳工学院 (中外合作D291嘉兴学院南湖学院487.1081601 E092滇西科技师范学院491.1171661 C303湖南涉外经济学院489.1101491 D409河北科技大学理工学院486.1151841 D672四川工商学院486.1171651 D613安徽信息工程学院A148辽宁石油化工大学(民族预D383山东财经大学燕山学院490.1081651 A758新疆农业大学 (中外合作E434山西传媒学院493.1201791 E438山东管理学院 (校企合作495.1041601 A398宁德师范学院491.1051671 A997昌吉学院D681陕西科技大学镐京学院D115厦门工学院A656西南民族大学502.1161511 B510山东交通学院 (中外合作E 08 7天津财经大学珠江学院489.1041761 E202北京交通大学海滨学院484.1071671 C766江西工程学院488.0971701 A440滨州医学院 (校企合作495.1091721 D635长沙理工大学城南学院485.1111431 A457山东体育学院496.1051671 A176沈阳体育学院496.1101731 A431齐鲁工业大学 (中外合作B067潍坊学院 (校企合作497.1051561 C309武昌首义学院496.1091541 D404河北大学工商学院490.1041701 B800汉口学院490.1071551。
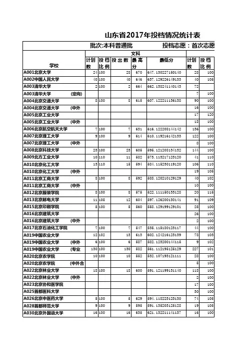
学校院校计划比例投出最高最低分A001北京大学2410028670647.130227150140A003清华大学21002664662.138241140143A246复旦大学1210014645640.119231145145E430中国科学院大学A248上海交通大学81008639633.129225135144H001北京大学医学部H248上海交通大学医学院H246复旦大学医学院A335浙江大学2110021639632.120234140138A358中国科学技术大学A284南京大学2110021640631.132228130141A002中国人民大学4010040646637.129226149133A003清华大学 (定向)H335浙江大学医学院A006北京航空航天大学71007631616.122208144142A272上海财经大学71007639628.131209145143A034中央财经大学2210824635617.121224134138A247同济大学1510015624618.127210142139A055南开大学4410245635621.128229128136E596中国社会科学院大学2110021632615.123215142135A007北京理工大学91009614610.119216142133A036对外经济贸易大学2510426633617.123210150134A486武汉大学3110031637620.134211144131A286东南大学1410014613610.121223142124A487华中科技大学2210323611607.120198141148A698西安交通大学1210012610604.124211132137A030北京外国语大学1610016635621.132211141137A034中央财经大学 (中外合作办学)A013北京邮电大学1110512604597.126200130141A558中山大学4310043632613.133216137127H002中国人民大学(苏州校区)(中61006621612.129204137142A384厦门大学2910029631617.118219138142A053中国政法大学4610046635617.129214135139A213哈尔滨工业大学61006611598.134192135137A269华东师范大学3111035625613.129217128139A056天津大学1510015617612.131223134124A486武汉大学 (中外合作办学)A614电子科技大学51005589587.129184137137A271上海外国语大学1210513620612.136203128145A561华南理工大学1010010602596.133191140132A007北京理工大学 (中外合作办学)A004北京交通大学81008615607.122211136138A062天津医科大学61006580577.114196137130A422山东大学 (非西藏生定藏就业)A651西南财经大学2610026619601.127187142145A610四川大学3310334619606.128207130141A141大连理工大学1510516595590.135200122133批次:本科普通批 投档志愿:首文科A019中国农业大学1210213613602.124216123139 A699西北工业大学81008597588.119192140137 H614电子科技大学(沙河校区)A422山东大学398101402629600.124211133132 A033中国传媒大学1510015618612.121219144128 A614电子科技大学 (专业志愿)A008北京科技大学2310023605595.121208134132 A280上海大学51005606597.124222134117 A287南京航空航天大学1510516612590.126197133134 A533中南大学2410024611599.132210123134 A611重庆大学1710017605598.123203138134 A025首都医科大学A052中央民族大学2310023609601.123206139133 A054华北电力大学(北京)1210513596586.127203132124 A384厦门大学 (中外合作办学)1010010605591.118212134127 A532湖南大学1810519612601.120198145138 A251华东理工大学4410547606589.122209130128 A288南京理工大学2710529591583.117197139130 A276华东政法大学2510226625608.118202146142 A423中国海洋大学141101143620596.122221122131 A520中南财经政法大学6410064621597.126198137136 A611重庆大学 (中外合作办学)A005北京工业大学A285苏州大学1710518605596.121208131136 A701西安电子科技大学3110533582577.122211125119 A511华中师范大学2810028604595.126203133133 H614电子科技大学(沙河校区)(中A145东北大学2110021594588.120214124130 A183吉林大学4610448616596.122215122137 H013北京邮电大学(宏福校区)(中A255东华大学1210513606591.124200134133 A183吉林大学 (专业志愿)A268上海中医药大学A280上海大学 (中外合作办学)21002589589.116214125134 A559暨南大学2410526607595.126203121145 H213哈尔滨工业大学(威海)1510015587582.128187130137 A273上海对外经贸大学81008600592.124230127111 A038首都经济贸易大学61006595592.126203141122 A319南京师范大学3410034613595.126192142135 A730兰州大学4910351599588.114214130130 A010北京化工大学1311015594584.115230119120 A033中国传媒大学 (中外合作办学)1110011602584.117210130127 A079华北电力大学(保定)1610016586579.119183137140 A159中国医科大学A173东北财经大学1710017606581.121185142133 A316中国药科大学31405590585.119209131126 B287南京审计大学1610016622587.117192145133 H422山东大学威海分校273101276608589.124206130129 A312南京医科大学A497武汉理工大学3310033594583.117201137128 A590深圳大学1110011598586.117208133128A294河海大学2510527598586.127196125138 A613西南交通大学2110021587582.132178133139 A004北京交通大学 (中外合作办学)A022北京林业大学1810018600591.121199131140 A610四川大学 (中外合作办学)A635西南大学31003595592.122210137123 A652西南政法大学4810551612592.118197141136 A031北京第二外国语学院1010010600593.118209128138 A032北京语言大学1210012606598.119205142132 A295江南大学5710862597587.116201133137 A019中国农业大学 (中外合作办学)61006587582.123200144115 A028首都师范大学91009595591.135203125128 A652西南政法大学 (中外合作办学)61006599587.121203132131 B846广东外语外贸大学1110512594583.124192129138 H141大连理工大学(盘锦校区)A070天津财经大学2410024597583.118219123123 A200东北师范大学1210012598590.126204130130 A651西南财经大学 (中外合作办学)31003585580.121205132122 A217哈尔滨工程大学2410024580574.122197135120 A252上海理工大学2110422584577.119203125130 A287南京航空航天大学 (中外合作办学)A574华南师范大学1110011594582.130193122137 B414中国石油大学(北京)51056593588.128194134132 A080河北工业大学1610016582578.111207134126 A161大连医科大学A698西安交通大学 (专业志愿)A005北京工业大学 (中外合作办学)A026北京中医药大学51005629594.118223123130 A293南京邮电大学2610026583577.121195125136 A697西北大学2011022595587.124186137140 Y011山东大学威海分校 (走读)3010030599575.120199118138 A141大连理工大学 (中外合作办学大连开发区)A226哈尔滨医科大学61006558544.119188120117 A336杭州电子科技大学1510015586575.121182132140 A343温州医科大学A386福州大学1010010593582.126185135136 A542湖南师范大学5110051598584.126214111133 B415中国地质大学(北京)41004589584.120207135122 A295江南大学 (中外合作办学)31003583577.121198134124 A359合肥工业大学1510015581575.119197127132 A699西北工业大学 (中外合作办学)1910019588584.118198144124 H422山东大学威海分校 (中外合作办学)A288南京理工大学 (中外合作办学)A392福建医科大学A425中国石油大学(华东)109100109596585.121209142113 A726西北政法大学4810249592579.121189134135 C121南方医科大学1210012581564.119185128132 H145东北大学秦皇岛分校1310013587579.133186124136 A068天津外国语大学2210022587582.126183135138A307南京农业大学4010040597585.122204125134 A316中国药科大学 (中外合作办学)A366安徽医科大学A423中国海洋大学 (民族预科)11001564564.114213109128 A459郑州大学5810159594583.121199128135 B413中国矿业大学(北京)1110512588582.122213134113 A140辽宁大学2110021592583.120202122139 A141大连理工大学 (中外合作办学)A151大连海事大学2710027595582.127201120134 A337浙江工业大学1010511575566.119184133130 A357安徽大学4710047596584.125199130130 A491中国地质大学(武汉)910510586584.135179134136 A497武汉理工大学 (中外合作办学)21002583582.116207130129 A701西安电子科技大学 (中外合作办学)A710长安大学1510015586581.133201118129 F301宁波诺丁汉大学2110021605575.118188132137 A172大连外国语大学3810038593578.114185142137 A290中国矿业大学3410034590580.124193129134 A327南京财经大学2410024596582.112200142128 A403南昌大学3411038592582.126198130128 H359合肥工业大学(宣城校区)91009575568.125190122131 A712西北农林科技大学2310424584580.118195136131 A011北京工商大学81008592588.120210129129 A254上海海事大学1310013587578.126186127139 A291南京工业大学1513320576569.126211122110 A617重庆邮电大学21002564561.122184128127 A673云南大学3410034586579.116193137133 A016北京建筑大学A043北京体育大学1310013590579.132184124139 A112太原理工大学2010020581572.124186126136 A353浙江工商大学2310023591581.114203135129 A504华中农业大学2911032586580.120190134136 A560汕头大学81008581577.117202135123 A022北京林业大学 (中外合作办学)A299江苏大学1310013584580.125211115129 A338浙江理工大学1510015572565.119191116139 A613西南交通大学 (中外合作办学)A009北方工业大学1011011582573.113217123120 A060天津理工大学3010030555537.117173115132 A145东北大学 (中外合作办学)A216燕山大学2610327579568.120185131132 A010北京化工大学 (中外合作办学)A300南京信息工程大学1710518577567.116198133120 A572广州中医药大学81008591569.127191119132 A016北京建筑大学 (中外合作办学)A270上海师范大学4310043586578.123208119128 A488武汉科技大学2410526569558.125207100126 A657贵州大学1210513586569.127191125126 B047上海立信会计金融学院3210032594576.124200130122 B646宁波大学61006574570.113212130115 A252上海理工大学 (中外合作办学)61006580569.127176129137A356中国计量大学1510015572566.118194128126 A359合肥工业大学 (中外合作办学)A421江西财经大学2310525593575.127184139125 A423中国海洋大学 (中外合作办学)3010331589574.118203123130 A633成都中医药大学61006584563.121203130109 A635西南大学 (中外合作办学)71007573568.120197123128 B232北京信息科技大学1210012575559.117188127127 B482浙江财经大学3010030579572.122208110132 A063天津中医药大学1010010556536.125173123115 A080河北工业大学 (中外合作办学)A256上海电力学院1110011570558.120180129129 A285苏州大学 (中外合作办学)A313徐州医科大学A512湖北大学1211514577573.122187133131 A700西安理工大学A703西安建筑科技大学81109559545.112177140116 B117扬州大学910510585578.119197127135 F302西交利物浦大学3010532585568.119183130136 A023北京协和医学院A274上海海关学院11001569569.125180128136 A173东北财经大学 (中外合作办学)1910019573562.118185132127 A650四川外国语大学1710518582573.121197122133 A697西北大学 (中外合作办学)B845广东工业大学H004北京交通大学(威海校区)(中41055579569.124198130117 A059中国民航大学1210012584577.120202133122 A070天津财经大学 (中外合作办学)51005578563.109191132131 A530湘潭大学6110866582567.125200117125 A571广东医科大学41004526519.113165122119 B664西安邮电大学81008560556.118192135111 A593广西大学 (中外合作办学)A712西北农林科技大学 (中外合作办学)B835上海政法学院3010030580574.118199142115 A225东北林业大学4810048578569.128184131126 A290中国矿业大学 (中外合作办学)A384厦门大学 (马来西亚41004574569.118200130121 A486武汉大学 (专业志愿)A589海南大学7510075582572.120198132122 P004陆军工程大学A298南京林业大学1010010576570.130192121127 A345浙江师范大学2610528584574.131188130125 A385华侨大学4410245581571.114200125132 A536长沙理工大学1010511563552.125191113123 A593广西大学4510045583570.110192142126 A183吉林大学 (单列计划A184延边大学2312028578564.134208107115 A268上海中医药大学 (中外合作办学)A058天津工业大学1310013563548.119183132114 A126内蒙古大学5110051574559.118183142116 A403南昌大学 (中外合作办学)A626四川农业大学A150大连交通大学31003553546.116198121111 A159中国医科大学 (中外合作办学)A188东北电力大学 (中外合作办学)A264上海海洋大学61006575554.119178138119 A616成都理工大学3310033565552.109203119121 H141大连理工大学(盘锦校区)(中A224东北农业大学4110041576564.112205125122 A631重庆医科大学A058天津工业大学 (专业志愿)A108山西大学5110454575557.128171124134 A254上海海事大学 (中外合作办学)A300南京信息工程大学 (中外合作办学)41004564560.112184138126A475河南大学7710279578558.123189129117 A724西安外国语大学2110021584568.117168141142 A749宁夏大学1210012571561.116204115126 B078广州大学1610016573561.118177133133 F405温州肯恩大学1210012563554.109190130125 A289江苏科技大学91009565560.120160145135 A386福州大学 (专业志愿)A678昆明医科大学11001514514.107174119114 A856上海工程技术大学21002559552.117166130139 B065青岛大学806103831589562.124198119121 A291南京工业大学 (中外合作办学)A404华东交通大学91009566556.110193129124 A504华中农业大学 (中外合作办学)81008568560.121191120128 A618重庆交通大学1010010559555.110179137129 A366安徽医科大学 (中外合作办学)A592广东财经大学21002553551.127178117129 B647浙江传媒学院1710017592567.124203126114 A188东北电力大学3510019554483.104160117102 A200东北师范大学 (中外合作办学)1510015568557.112189127129 A378安徽财经大学2710027577562.128193119122 A390集美大学1610016582567.110189137131 A406南昌航空大学31003545534.120171119124 A490武汉工程大学1010010555545.104198119124 A564华南农业大学A593广西大学 (专业志愿)A617重庆邮电大学 (专业志愿)A704西安科技大学61006555548.105188130125B065青岛大学 (地方农村专项计划)4010342573553.115179137122B799重庆工商大学2210022572564.119186126133 F401北京师范大学-香港浸会大学1910019580556.105187130134 F410广东以色列理工学院A332苏州科技大学1110011558537.124191106116 A445山东师范大学15961031644597560.111189140120 A617重庆邮电大学 (中外合作办学)B664西安邮电大学 (中外合作办学)A394福建师范大学91009570566.116186130134 A593广西大学 (专业志愿)A703西安建筑科技大学 (中外合作办学)A636四川师范大学2010020572559.120184127128A143沈阳航空航天大学21002539531.122182112115 A292常州大学1110011561552.108184129131 A378安徽财经大学 (中外合作办学)11001512512.124184100104 B646宁波大学 (中外合作办学)51005577555.120180130125 A065天津师范大学1910019571556.113179140124 A500湖北工业大学81008558544.123181118122 A632西南医科大学51005541532.107193120112 A674昆明理工大学41004530518.110170112126 A752宁夏医科大学A011北京工商大学 (中外合作办学)A089河北医科大学61006545529.110176132111 A107石家庄铁道大学1110011576541.119196118108 A110中北大学2010020555545.119197115114 A214哈尔滨理工大学1510015551524.123159110132 A624中国民用航空飞行学院41004563551.114198120119 A315南京中医药大学51005555529.113167128121A650四川外国语大学 (中外合作办学)41004562553.122182122127E275浙江外国语学院2210022567552.120176124132 A019中国农业大学 (专业志愿)130100130582561.112195125129 A075河北大学1310013565554.122175129128 A142沈阳工业大学91009530516.117207105087 A216燕山大学 (中外合作办学)H635西南大学(荣昌校区)1510015570556.113192133118 A063天津中医药大学 (中外合作办学)A114山西医科大学21002528525.112165137111A445山东师范大学 (地方农村专项计划)3710339568553.120206118109A456山东财经大学 (中外合作办学)8010383566546.125218101102 B075三峡大学2610026541536.117185105129 B799重庆工商大学 (中外合作办学)21002546545.112184133116 A186长春理工大学1910011555486.123163107093 A346杭州师范大学51005565556.116203118119A456山东财经大学 (地方农村专项计划)5610358569544.123191113117A618重庆交通大学 (中外合作办学)A660贵州医科大学A673云南大学 (中外合作办学)31003562540.110185123122 B417北京联合大学2610026570553.104199130120 A125山西财经大学5810058566548.117178122131 A456山东财经大学10101031041597554.115196125118 B540广东金融学院41004556543.114170138121 A163沈阳药科大学A270上海师范大学 (中外合作办学)1510015572554.117207110120 A445山东师范大学 (中外合作办学)4510347562539.101188123127 A704西安科技大学 (中外合作办学)C050上海商学院51005560544.124156134130 A037北京物资学院71007554542.126181121114 A165辽宁师范大学A207吉林财经大学 (中外合作办学)41004545539.121169123126 A320江苏师范大学1510015561550.116203112119 A541湖南中医药大学A593广西大学 (专业志愿)A708陕西科技大学81008553543.115190118120A081华北理工大学1210012549540.112179123126 A424山东科技大学488103503580550.120194117119 A057天津科技大学1410014552548.116197111124 A615西南石油大学2510025556544.117179125123 A012北京服装学院81008575522.111150133128 A153沈阳建筑大学1310013538506.116171113106 A340浙江海洋大学A414江西师范大学3810038556542.111190125116 A621成都信息工程大学1210012546534.121187115111 D705成都医学院A212黑龙江大学4010040571556.113195124124 A264上海海洋大学 (中外合作办学)51005557546.125195110116 A344浙江中医药大学A424山东科技大学 (地方农村专项计划)A426青岛科技大学367103379566544.117176126125 A078华北水利水电大学1510015535520.114166125115 A207吉林财经大学2810028555540.112179119130 A298南京林业大学 (中外合作办学)A856上海工程技术大学 (中外合作办学)A351温州大学61006552544.113174134123 C044上海第二工业大学A341浙江农林大学1110011546542.115175124128 A484河南财经政法大学2210022553539.123179123114 A507湖北中医药大学1010010568541.115193119114 A530湘潭大学 (中外合作办学)A534湖南科技大学3710037562538.123157134124 B660重庆理工大学81059568536.113182123118 Y014山东财经大学 (走读)98103101570537.117191117112 A058天津工业大学 (中外合作办学)A360安徽工业大学81007547501.117166112106 A429青岛理工大学427103440562533.118179112124 B840西安医学院41004510508.110184116098 A107石家庄铁道大学 (中外合作办学)A623西华大学1810018551543.126170134113 D177北京师范大学珠海分校(中外61006534521.118155122126 A069天津商业大学1410014560549.134170123122 A184延边大学 (中外合作办学)31003542535.123187107118 A015北京印刷学院51005560558.129199129101 A370安徽师范大学1610016558547.108198122119 A404华东交通大学 (高收费专业)61006552545.109176136124 A426青岛科技大学 (地方农村专项计划)A538中南林业科技大学2610026562546.108174132132 A619西南科技大学2110322551535.114189113119 A732兰州交通大学1410014549533.121166112134 A094河北师范大学2510025566548.117175123133 A160锦州医科大学A705西安石油大学1310013539531.107202120102 A743青海大学2210022581547.111178130128 A228黑龙江中医药大学3010030555532.125200120087 A489长江大学61006552544.121182108133 A637重庆师范大学4210042559540.121176121122A065天津师范大学 (专业志愿)A429青岛理工大学 (地方农村专项计划)B276南京工程学院1410014551537.116194111116 A075河北大学 (中外合作办学)A144沈阳理工大学61006536522.119156118129 A186长春理工大学 (中外合作办学)B458上海电机学院 (中外合作办学)A304南通大学1010010550541.110189134108A427济南大学 (地方农村专项计划)3010331558539.109189115126A441山东中医药大学 (地方农村专项计划)A566广东海洋大学A702西安工业大学1710017538529.111183122113Y006山东师范大学 (非西藏生定藏就业)151001521521.118161136106A060天津理工大学 (中外合作办学)A595桂林电子科技大学1310013534521.112174122113 A689云南财经大学3010030556531.123169115124 A289江苏科技大学 (中外合作办学)D177北京师范大学珠海分校2810028558523.111188111113 A132内蒙古医科大学A259上海应用技术大学 (中外合作办学)A369安徽中医药大学A496武汉轻工大学B600湖北经济学院41004544537.111174132120 B832河北经贸大学4010040560534.123161127123 A634川北医学院B062厦门理工学院81008541531.121167115128 B258大连大学3810038548538.114187120117 Y017青岛大学(师范,面向青岛)160103165572536.122181120113 A152大连工业大学A158大连海洋大学11001543543.119196114114 A512湖北大学 (中外合作办学)41004553530.113183116118 A573广东药科大学A589海南大学 (中外合作办学)1710017562529.116173128112 A759石河子大学5110554569538.128184112114 A017北京石油化工学院71007547535.115180123117 A231哈尔滨师范大学2610026546533.119190111113 A427济南大学902103930571540.113195120112 B560西安财经学院2210022545533.108172131122 A082河北科技大学2310023538529.113191118107 A792天津城建大学B057浙江科技学院B065青岛大学 (中外合作办学)5310355558535.109190126110 A020北京农学院1010010552532.107193121111 A361安徽理工大学41004520514.111203113087 A405东华理工大学41004523521.117183104117 A427济南大学 (中外合作办学)5010352545523.119181116107A446曲阜师范大学 (地方农村专项计划)4510347549534.118186118112B632沈阳工程学院A057天津科技大学 (中外合作办学)31003544540.119184114123 A164沈阳医学院A292常州大学 (中外合作办学)A404华东交通大学 (中外合作办学)H414中国石油大学(北京)克拉玛依81008559528.108181121118 A329江苏警官学院81008545532.115175130112 A360安徽工业大学 (中外合作办学)41004524516.111174121110 A655四川美术学院61006549528.112179118119 A671贵州财经大学1810018539526.113187110116A718陕西师范大学 (非西藏生定藏就业)41001530530.106194097133A736西北师范大学1710017552537.116172122127 A020北京农学院 (中外合作办学)A069天津商业大学 (中外合作办学)1910019546523.120159124120 A709西安工程大学C453中国劳动关系学院2510025545533.121144134134 A143沈阳航空航天大学 (中外合作办学)A146辽宁科技大学 (专业志愿)A150大连交通大学 (中外合作办学)21002538537.131194099113 A433山东理工大学 (地方农村专项计划)A472新乡医学院A495武汉纺织大学21002538534.118168120128 A500湖北工业大学 (中外合作办学)A602广西师范大学2010020545531.121167120123 B066烟台大学617103636580539.115182123119 A440滨州医学院179103185550512.122153107130 A463河南工业大学1910019544525.116187117105 A199长春中医药大学1910019549520.106166118130 A407江西理工大学1510015545523.119166133105 A446曲阜师范大学15651031612570537.119167135116 B048金陵科技学院51005527523.108188124103 B420河北金融学院2110021535518.124170123101 B458上海电机学院81008542527.118165121123 A092河北北方学院A394福建师范大学 (中外合作办学)A681云南师范大学2610026545534.118170125121 A146辽宁科技大学A460河南理工大学1410014542525.117189130089 A601桂林医学院A929湖北医药学院B420河北金融学院 (中外合作办学)31003523515.103180114118 A554湖南商学院51106539535.108191117119 B460南京晓庄学院31003532520.124170104122 A364安徽农业大学910510542529.107171134117 A389福建农林大学1010010535494.120162114098 A513湖北师范大学91009549535.113200121101 A555南华大学1110011535520.112176117115 A731兰州理工大学61006522516.120185107104 B149中华女子学院2110523560530.111194114111 A139内蒙古财经大学3010030537522.112174126110 A451鲁东大学735103758562535.113168134120 A600广西中医药大学51005548520.121152130117 A716陕西中医药大学71007548526.109189120108 A741兰州财经大学2410024537518.114172121111B532湖南财政经济学院1510015534521.106175114126 C026大连民族大学2510025536529.113189124103 A066天津职业技术师范大学91009542532.113183125111 A109太原科技大学31003527525.112214120079 A464河南科技大学2010020542526.116188099123 A661遵义医学院71007503497.120161113103 A878安徽建筑大学41004523519.121182124092 A245哈尔滨金融学院1210012543516.115173123105 A367蚌埠医学院A430山东建筑大学 (地方农村专项计划)81039540518.118155125120Y016济南大学 (走读)240103248560519.114203115087 A076河北工程大学2210022545522.110200114098 A154辽宁工业大学71007530520.111144135130 A203吉林师范大学2710027544532.114184122112 B463江苏理工学院71007535521.113180106122 B736西安航空学院31003508500.113165117105 A093承德医学院41004528522.113177101131 A094河北师范大学 (专业志愿)A220东北石油大学2410024534517.131166100120 A412江西中医药大学71007546529.121180140088 A438潍坊医学院234103242550505.107181109108 A749宁夏大学 (高收费专业)61006553531.123165125118 B230齐齐哈尔医学院B535湖南工业大学2410024534524.100179127118 D687中国传媒大学南广学院2010020564506.113176109108 Y007山东财经大学(莱芜校区)180103186557525.122156126121 A389福建农林大学 (中外合作办学)41004533493.114156103120 A451鲁东大学 (非西藏生定藏就业)定藏就业)A741兰州财经大学 (中外合作办学)41004506501.115163112111 B418北京城市学院31003524503.118161102122 B654武汉商学院41004513509.110164118117 D218大连财经学院61006527511.115170113113 A117长治医学院41004504499.119160110110 A190长春工业大学2410024534516.114191120091 A363安徽工程大学B660重庆理工大学 (中外合作办学)A240哈尔滨商业大学4210042567539.110185144100 A305盐城工学院A596桂林理工大学1010010521513.118167106122 A638西华师范大学2110021538521.115186120100 B065青岛大学 (校企合作办学)B835上海政法学院 (民族预科)31003552526.110159134123 Y015山东建筑大学 (走读)4010342531518.102195098123 A413赣南医学院A681云南师范大学 (中外合作办学)21002497490.110184104092 A823长沙医学院41004523514.118181097118 B349五邑大学21002513509.115174114106 B726长春大学3110031534519.0991******** C214湖南医药学院31003517513.107167114125 A205长春师范大学5310053540525.118194116097A429青岛理工大学 (中外合作办学)4310345545524.118164122120 A430山东建筑大学329103339568528.107175115131 A537湖南农业大学1610016555530.101179132118 A735甘肃中医药大学81008532523.105172128118 D661天津医科大学临床医学院A201北华大学3910039542521.128160108125 A663贵州师范大学61006533514.104171116123 A760新疆医科大学B810海南医学院A077河北地质大学1610016540530.119196121094 A118山西师范大学1810018539526.110182116118 A433山东理工大学851103877551520.107153130130 A598广西医科大学B819东莞理工学院81008538503.113156129105 E432河北中医学院51005536511.116171118106 A476河南师范大学51005533517.118164113122 B055常州工学院A354嘉兴学院1510015547525.121156130118 B392云南警官学院21002526511.103166129113 A148辽宁石油化工大学41004519515.107171123114 A373淮北师范大学71058541532.122179120111 A680云南中医学院81008541518.112181108117 B035沈阳大学41004534517.115174116112 A167渤海大学1110011530526.117166127116 A264上海海洋大学 (民族预科)A427济南大学 (校企合作办学软件外包专业)A531吉首大学81008529520.110176107127 A543湖南理工学院91009517508.112163112121 H127内蒙古科技大学包头医学院Y000哈尔滨理工大学(荣城校区)6010060532512.114180115103 B058宁波工程学院 (中外合作办学)B658海南师范大学6110363537520.117155122126 A809山西中医药大学1510015543521.121167113120 D505新乡医学院三全学院A219黑龙江科技大学2510025526513.109154116134 A418赣南师范大学1110011526520.117178111114 A431齐鲁工业大学525103541546520.105174137104 A439泰山医学院743103766548502.102201124075 B058宁波工程学院A333常熟理工学院91009522513.109175119110 A388福建工程学院A679大理大学1610517533514.112163122117 A719延安大学1310013534520.111182116111 B641淮海工学院51005517511.124160105122 A424山东科技大学 (中外合作办学)133103137545510.113156124117 A524中南民族大学 (民族预科)21002513509.104163125117 B406甘肃政法学院2810028543513.123146124120 D901北京邮电大学世纪学院11001504504.101190118095 A262上海健康医学院A471河南中医药大学A149沈阳化工大学2010020522515.117159130109 A720陕西理工大学31003545513.113165111124 D632上海视觉艺术学院61006529499.117175109098 A456山东财经大学 (校企合作办学软件外包专业)A766新疆财经大学61006516511.115178118100 D213锦州医科大学医疗学院A061天津农学院21002524522.118161127116 A191吉林建筑大学61006517511.105180120106 A402闽南师范大学2410024540523.106172128117 A435青岛农业大学532103548548527.110197135085 A441山东中医药大学772103796595521.122188106105 A447聊城大学10571031089548525.113164131117 A452临沂大学666103686557522.111176115120 A639绵阳师范学院51005510504.120175101108 B332湖北警官学院1010010537516.104193119100 B664西安邮电大学 (边防军人11001488488.102155125106 D706吉林医药学院21002504498.107168096127 A166沈阳师范大学2510025538518.117165117119 A186长春理工大学 (民族预科)11001498498.107159113119 A410江西农业大学1410014527521.116188105112 A466河南农业大学71007528522.112180118112 A545湘南学院1610016511499.105173109112 A642重庆文理学院1310013528515.111179132093 A676云南农业大学61006537516.114181121100 A677西南林业大学1410014529519.114175110120 A443济宁医学院140103145553507.118171119099 A485郑州航空工业管理学院1410014518511.109187111104 A691云南民族大学1010010522514.107191122094 A723渭南师范学院11001503503.112194086111 D249湖北医药学院药护学院A078华北水利水电大学 (中外合作办学)A119太原师范学院2110021537514.121187107099 A229牡丹江医学院A430山东建筑大学 (中外合作办学)B319南昌工程学院61006524507.118165110114 B441吉林警察学院1410014515510.098169129114 B688山东工商学院572103590565517.111166125115 D021浙江大学城市学院2010020543513.112183109109 E100山东政法学院10091031040562516.112184116104 A084河北建筑工程学院A102石家庄学院1810018517505.111157126111 A162辽宁中医药大学A462郑州轻工业学院31003513501.124156122099 A594广西科技大学E276齐鲁师范学院388103400542515.113167122113 Y004青岛理工大学(费县校区)A098河北民族师范学院1010010519508.120179104105 A100廊坊师范学院1010010526518.119192118089 A113山西农业大学1510015536519.113167120119 A120山西大同大学1510015524516.122180105109A193吉林农业大学2210022545516.112168117119 A347湖州师范学院1010010528521.106164118133 A408景德镇陶瓷大学51005535519.119148122130 A416上饶师范学院11001505505.1061841190969010393537504.117162128097 A424山东科技大学 (校企合作办学软件外包专业济南校区)A426青岛科技大学 (校企合作办学软件外包专业))A622四川理工学院1010010517504.112166108118 A653成都体育学院1410014540493.119169095110 A694西藏大学2510025533513.104178122109 B318江西科技师范大学1010010533514.117178102117 B969郑州师范学院21002531525.113173120119 D285浙江中医药大学滨江学院E436江苏第二师范学院1510015535523.118156132117 A232齐齐哈尔大学1110011532519.123184120092 A320江苏师范大学 (中外合作办学)A395闽江学院1510015562516.108161120127 A419井冈山大学1512018526512.115170108119 A736西北师范大学 (校企合作办学)B049淮阴工学院81008524506.118161106121 B059合肥学院81059519509.120155109125 A127内蒙古科技大学2410024535514.111161133109 A349绍兴文理学院A525湖北汽车工业学院B629北华航天工业学院1410014518510.128154092136 C048南京特殊教育师范学院1210012524512.111182113106 D332昆明医科大学海源学院D994南京审计大学金审学院1010010518501.115149117120 A128内蒙古工业大学A528湖北工程学院A608广西民族大学2110021536513.124174122093 A742西北民族大学2210022536513.112175121105 B067潍坊学院504103520542514.119153123119 B080西安文理学院41004514512.116163110123 B104华北科技学院4410044533515.113188108106 B116成都工业学院B510山东交通学院255103263546514.107149135123 A096保定学院1210012530512.115152119126 A453泰山学院513103529535512.109162119122 A475河南大学 (中外合作办学)1310013544512.100179118115 B077长沙学院1010010515509.122163098126 B551重庆科技学院1010010527512.119164121108 D980南京医科大学康达学院81005502483.112141118112 A222佳木斯大学A352丽水学院1010010543510.119179102110 A424山东科技大学 (校企合作办学软件外包专业青岛校区)A429青岛理工大学 (校企合作办学)4010342541512.1131461201337010373519503.112172118101 A430山东建筑大学 (校企合作办学软件外包专业)A463河南工业大学 (中外合作办学)1110011520504.108144129123A603广西师范学院21002521516.111168117120 A798河北科技师范学院A879安徽科技学院A920湖北理工学院61006514504.110161117116 B053徐州工程学院1610016515510.107166114123 D437江西中医药大学科技学院41004514510.108183134085 D469厦门大学嘉庚学院2510025536509.103183109114 D663南开大学滨海学院1210012529507.114191104098 D899北京中医药大学东方学院91009524506.110180118098 Y003青岛科技大学(高密校区)A085河北水利电力学院A323淮阴师范学院A330南京体育学院A482洛阳师范学院3310033522513.109190129085 A643重庆三峡学院1010010515507.113168109117 B407北方民族大学3610036523512.127198115072 A105沧州师范学院81008534510.126178100106 A129内蒙古农业大学A234哈尔滨学院1210012515508.102185124097 A372安庆师范大学1510015520510.112155113130 A549湖南文理学院41004513510.117167117109 A695西藏民族大学4610046528505.107172118108 A733甘肃农业大学B070洛阳理工学院1910019517503.112162110119 C362武汉生物工程学院21002499492.104162121105 A094河北师范大学 (专业志愿)A099唐山师范学院1710017520507.123168107109 A223黑龙江八一农垦大学1510015515506.118164109115 A397武夷学院51005511504.114151128111 A465中原工学院2410024520504.104162113125 A547邵阳学院41004501498.112150120116 D646南京大学金陵学院1410014548509.118150115126 A381淮南师范学院A434山东农业大学 (校企合作办学软件外包专业)A449滨州学院265103273532511.107170113121 A489长江大学 (中外合作办学)A647长江师范学院51005516513.118177097121 A762新疆师范大学3710539537508.106191121090 B066烟台大学 (中外合作办学)5010352555529.125190106108 B261吉林工商学院1510015517502.112182118090 B775防灾科技学院D673四川外国语大学成都学院1510015524500.106177123094 D763福建江夏学院71007515506.110163106127 E037西南财经大学天府学院11001496496.115168096117 E437南昌师范学院1310013513502.114170122096 M721河北环境工程学院41004502498.112168113105 A399泉州师范学院A434山东农业大学 (地方农村专项计划)1010311538520.115172110123A448德州学院380103392535510.111165137097 A546衡阳师范学院1010010538513.117194109093A927湖北科技学院71007511505.118171114102 B833上海杉达学院1010010517498.108160115115 D658天津外国语大学滨海外事学院1910019521499.113162103121 A071天津体育学院1810018534508.107161125115 A350台州学院71007521510.109174123104 B437长春工程学院61006509503.106182122093 B653南阳理工学院91009509501.116158107120 C105天津中德应用技术大学21002497493.116165111101 D292中国计量大学现代科技学院A103邯郸学院81008509500.115156118111 A190长春工业大学 (中外合作办学)A324盐城师范学院51005508502.112171124095 A434山东农业大学 (中外合作办学)165103170531500.111182101106 A454济宁学院385103397525508.110174114110 B033唐山学院51005511503.116182122083 B066烟台大学 (校企合作办学)135103140543510.117154122117 B342湖南工程学院61006508502.103187129083 B843九江学院1810018524505.116168105116 D290浙江工商大学杭州商学院2210022534495.114166101114 D611安徽财经大学商学院21002496491.108185123075 D655南京航空航天大学金城学院51005508500.104195122079 E458张家口学院41004506504.114145136109 A383铜陵学院51005519511.109196109097 A433山东理工大学 (中外合作办学)A551湖南科技学院81008512501.117159120105 A748青海民族大学2610528512503.106181130086 B427集宁师范学院1010010505500.103179112106 B430辽宁科技学院B528湖南工学院B802黑龙江工程学院1610016517501.114154123110 E099湖北第二师范学院51005528511.111186109105 E207上海财经大学浙江学院21002509503.117175106105 E388重庆第二师范学院21002508502.101154126121 A109太原科技大学 (中外合作办学)A192吉林化工学院A204吉林工程技术师范学院31003510502.106170117109 A205长春师范大学 (中外合作办学)A371阜阳师范学院31003510506.105167123111 A455菏泽学院300103309523505.111154122118 A477信阳师范学院51005518513.105175105128 A481南阳师范学院2710027515506.102168121115 A483商丘师范学院2510025521509.119168125097 A742西北民族大学 (民族预科)21002512512.100180117115 A904枣庄学院275103284526506.117166127096 B104华北科技学院 (中外合作办学)B825桂林航天工业学院1410014509497.125156125091 D665电子科技大学成都学院51005494489.108160129092 D811琼台师范学院41004503500.121175102102 E438山东管理学院507103523521503.114167113109 A104邢台学院A121晋中学院2510025507502.118142131111A124忻州师范学院1410014514506.109188107102 A136内蒙古民族大学2410024524506.112158122114 A158大连海洋大学 (中外合作办学)6010362520504.112193122077 A433山东理工大学 (校企合作办学软件外包专业)A478周口师范学院2710529513505.104155129117 A479安阳师范学院3810038519505.120177096112 A676云南农业大学 (中外合作办学)A976贵阳学院61006505502.114148117123 B393昆明学院1210012511501.114185110092 B407北方民族大学 (民族预科)21002501501.108152129112 B517河南工程学院61006508503.128141122112 B656广东石油化工学院1010010507496.111174119092 D284温州医科大学仁济学院E101太原工业学院1410014509502.118162116106 E389成都师范学院1010010519510.123166107114 Y018山东科技大学(泰安校区)297103306551513.120158118117130103134526507.121154113119 A435青岛农业大学 (校企合作办学软件外包专业)A577惠州学院A746青海师范大学2210022518501.107165124105 B100海南热带海洋学院3010030513499.109166123101 B527湖南城市学院41004505500.107164103126 D636上海外国语大学贤达经济人文41004522495.116163109107 A576韶关学院51005503497.105193083116 A649乐山师范学院3010030517503.122141113127 B071新乡学院1810018507501.114171114102 B329河南工学院B390玉溪师范学院41004500496.110157112117 B653南阳理工学院 (专业志愿)B765河南城建学院41004508498.098176120104 D198大连理工大学城市学院31003501495.105143127120 D402河北外国语学院61006522497.118167103109 D596华北理工大学冀唐学院D603长春财经学院31003512505.106180106113 D982南京信息工程大学滨江学院21002497497.106172111108 E277山东青年政治学院710103732525504.121141124118 E440贵州理工学院A203吉林师范大学 (中外合作办学)1410014511497.108173124092 A235大庆师范学院3510035511500.113164122101 A443济宁医学院 (中外合作办学)3510337511490.108172117093 A480许昌学院4910049513503.119146112126 A525湖北汽车工业学院 (中外合作办学)A644四川文理学院1510015509500.114155118113 A684曲靖师范学院71007508502.113167119103 B242太原学院1610016507499.108178126087 B330安阳工学院61006502488.119171101097 B396商洛学院61006500497.118154117108 B726长春大学 (中外合作办学)D892三亚学院21002504496.123153114106 D991江苏科技大学苏州理工学院41004488485.107176114088。
2017年高考分数线山东
2017年山东高考分数线
山东省教育厅于2017年6月26日公布了山东省2017年普通高校招生录取分数线。
以下是2017年山东高考各批次录取分数线情况:
本科一批:理科580分,文科559分。
本科二批:理科463分,文科451分。
本科三批:理科414分,文科423分。
高职(专科)批:理科227分,文科248分。
根据分数线,山东省的考生可以参考自己的分数与相应批次的录取分数线进行初步判断,看自己是否有可能被某一批次的高校录取。
但请注意,这只是初步判断,具体的录取结果以高校发布的最终录取通知为准。
此外,山东省的高考分数线在历年来一直有较高的标准,竞争非常激烈。
因此,考生在备战高考时要充分准备,努力争取更高的分数,提高自己的录取机会。
希望以上信息对你有所帮助。
祝你在高考中取得优异的成绩!。