正弦定理和余弦定理的综合应用
- 格式:ppt
- 大小:2.03 MB
- 文档页数:24
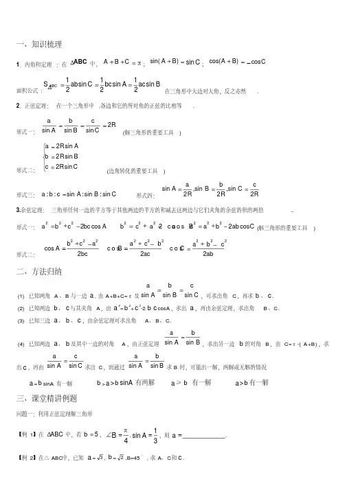
§4.7正弦定理、余弦定理及其应用1.掌握正弦定理、余弦定理,并能解决一些简单的三角形度量问题.2.能够运用正弦定理、余弦定理等知识和方法解决一些与测量和几何计算有关的实际问题.主要考查有关定理的应用、三角恒等变换的能力、运算能力及转化的数学思想.解三角形常常作为解题工具用于立体几何中的计算或证明,或与三角函数联系在一起求距离、高度以及角度等问题,且多以应用题的形式出现.1.正弦定理(1)正弦定理:在一个三角形中,各边和它所对角的正弦的比相等,即.其中R 是三角形外接圆的半径.(2)正弦定理的其他形式:①a=2R sin A,b=,c=;②sin A=a2R,sin B=,sin C=;③a∶b∶c=______________________.2.余弦定理(1)余弦定理:三角形中任何一边的平方等于其他两边的平方的和减去这两边与它们的夹角的余弦的积的两倍.即a2=,b2=,c2=.若令C=90°,则c2=,即为勾股定理.(2)余弦定理的变形:cos A=,cos B=,cos C=.若C为锐角,则cos C>0,即a2+b2______c2;若C为钝角,则cos C<0,即a2+b2______c2.故由a2+b2与c2值的大小比较,可以判断C为锐角、钝角或直角.(3)正、余弦定理的一个重要作用是实现边角____________,余弦定理亦可以写成sin2A=sin2B+sin2C-2sin B sin C cos A,类似地,sin2B=____________;sin2C=__________________.注意式中隐含条件A+B +C=π.3.解斜三角形的类型(1)已知三角形的任意两个角与一边,用____________定理.只有一解.(2)已知三角形的任意两边与其中一边的对角,用____________定理,可能有___________________.如A为锐角A为钝角或直角图形关系式a=b sin A b sin A<a<b a≥b a>b解的个数①②③④(3)已知三边,用____________定理.有解时,只有一解.(4)已知两边及夹角,用____________定理,必有一解.4.三角形中的常用公式或变式(1)三角形面积公式S△===____________=____________=____________.其中R,r分别为三角形外接圆、内切圆半径.(2)A+B+C=π,则A=__________,A2=__________,从而sin A=____________,cos A=____________,tan A=____________;sinA2=__________,cosA2=__________,tanA2=________.tan A+tan B+tan C=__________.(3)若三角形三边a,b,c成等差数列,则2b=____________⇔2sin B=____________⇔2sinB2=cosA-C2⇔2cosA+C2=cosA-C2⇔tanA2tanC2=13.【自查自纠】1.(1)asin A=bsin B=csin C=2R(2)①2R sin B2R sin C②b2Rc2R③sin A ∶sin B ∶sin C2.(1)b 2+c 2-2bc cos A c 2+a 2-2ca cos B a 2+b 2-2ab cos C a 2+b 2(2)b 2+c 2-a 22bc c 2+a 2-b 22ca a 2+b 2-c 22ab > <(3)互化 sin 2C +sin 2A -2sin C sin A cos B sin 2A +sin 2B -2sin A sin B cos C3.(1)正弦 (2)正弦 一解、两解或无解 ①一解 ②二解 ③一解 ④一解(3)余弦 (4)余弦 4.(1)12ab sin C 12bc sin A 12ac sin B abc 4R 12(a +b+c )r(2)π-(B +C ) π2-B +C 2sin(B +C ) -cos(B +C )-tan(B +C ) cos B +C 2 sin B +C21tanB +C 2tan A tan B tan C (3)a +c sin A +sin C在△ABC 中,A >B 是sin A >sin B 的( ) A .充分不必要条件 B .必要不充分条件 C .充要条件D .既不充分也不必要条件解:因为在同一三角形中,角大则边大,边大则正弦大,反之也成立,故是充要条件.故选C .在△ABC 中,已知b =6,c =10,B =30°,则解此三角形的结果有( )A .无解B .一解C .两解D .一解或两解解:由正弦定理知sin C =c ·sin B b =56,又由c >b >c sin B知,C 有两解.也可依已知条件,画出△ABC ,由图知有两解.故选C .(2013·陕西)设△ABC 的内角A, B, C 所对的边分别为a, b, c, 若b cos C +c cos B =a sin A, 则△ABC 的形状为( )A .锐角三角形B .直角三角形C .钝角三角形D .不确定解:由已知和正弦定理可得sin B cos C +sin C cos B =sin A ·sin A ,即sin(B +C )=sin A sin A ,亦即sin A =sin A sin A .因为0<A <π,所以sin A =1,所以A =π2.所以三角形为直角三角形.故选B .(2012·陕西)在△ABC 中,角A ,B ,C 所对的边分别为a ,b ,c .若a =2,B =π6,c =23,则b =________.解:由余弦定理知b 2=a 2+c 2-2ac cos B =22+()232-2×2×23×cos π6=4,b =2.故填2.在△ABC 中,角A ,B ,C 所对的边分别为a ,b ,c ,若a =2,b =2,sin B +cos B =2,则角A 的大小为________.解:∵sin B +cos B =2,∴2sin ⎝⎛⎭⎫B +π4=2,即sin ⎝⎛⎭⎫B +π4=1. 又∵B ∈(0,π),∴B +π4=π2,B =π4.根据正弦定理a sin A =b sin B ,可得sin A =a sin B b =12.∵a <b ,∴A <B .∴A =π6.故填π6.类型一 正弦定理的应用△ABC 的内角A ,B ,C 的对边分别为a ,b ,c ,已知A -C =90°,a +c =2b ,求C .解:由a +c =2b 及正弦定理可得sin A +sin C =2sin B .又由于A -C =90°,B =180°-(A +C ),故cos C +sin C =sin A +sin C =2sin(A +C )=2sin(90°+2C )=2sin2(45°+C ).∴2sin(45°+C )=22sin(45°+C )cos(45°+C ), 即cos(45°+C )=12.又∵0°<C <90°,∴45°+C =60°,C =15°. 【评析】利用正弦定理将边边关系转化为角角关系,这是解此题的关键.(2012·江西)在△ABC 中,角A ,B ,C 的对边分别为a ,b ,c .已知A =π4,b sin ⎝⎛⎭⎫π4+C -c sin ⎝⎛⎭⎫π4+B =a . (1)求证:B -C =π2;(2)若a =2,求△ABC 的面积.解:(1)证明:对b sin ⎝⎛⎭⎫π4+C -c sin ⎝⎛⎭⎫π4+B =a 应用正弦定理得sin B sin ⎝⎛⎭⎫π4+C -sin C sin ⎝⎛⎭⎫π4+B =sin A , 即sin B ⎝⎛⎭⎫22sin C +22cos C -sin C ⎝⎛⎭⎫22sin B +22cos B =22,整理得sin B cos C -sin C cos B =1,即sin ()B -C =1.由于B ,C ∈⎝⎛⎭⎫0,3π4,∴B -C =π2. (2)∵B +C =π-A =3π4,又由(1)知B -C =π2,∴B =5π8,C =π8.∵a =2,A =π4,∴由正弦定理知b =a sin B sin A =2sin5π8,c =a sin C sin A =2sin π8. ∴S △ABC =12bc sin A =12×2sin 5π8×2sin π8×22=2sin 5π8sin π8=2cos π8sin π8=22sin π4=12.类型二 余弦定理的应用在△ABC 中,a ,b ,c 分别是角A ,B ,C 的对边,且cos B cos C =-b2a +c.(1)求B 的大小;(2)若b =13,a +c =4,求△ABC 的面积. 解:(1)由余弦定理知,cos B =a 2+c 2-b 22ac ,cos C=a 2+b 2-c 22ab ,将上式代入cos B cos C =-b 2a +c得a 2+c 2-b 22ac ·2ab a 2+b 2-c 2=-b2a +c , 整理得a 2+c 2-b 2=-ac . ∴cos B =a 2+c 2-b 22ac =-ac 2ac =-12.∵B 为三角形的内角,∴B =23π.(2)将b =13,a +c =4,B =23π代入b 2=a 2+c 2-2ac cos B ,得13=42-2ac -2ac cos 23π,解得ac =3.∴S △ABC =12ac sin B =334.【评析】①根据所给等式的结构特点利用余弦定理将角化边进行变形是迅速解答本题的关键.②熟练运用余弦定理及其推论,同时还要注意整体思想、方程思想在解题过程中的运用.若△ABC 的内角A ,B ,C 所对的边a ,b ,c 满足(a +b )2-c 2=4,且C =60°,则ab 的值为( )A.43 B .8-4 3 C .1 D.23解:由余弦定理得c 2=a 2+b 2-2ab cos C =a 2+b 2-ab ,代入(a +b )2-c 2=4中得(a +b )2-(a 2+b 2-ab )=4,即3ab =4,∴ab =43.故选A .类型三 正、余弦定理的综合应用(2013·全国新课标Ⅱ)△ABC 的内角A 、B 、C 的对边分别为a ,b ,c ,已知a =b cos C +c sin B .(1)求B ;(2)若b =2,求△ABC 面积的最大值.解:(1)由已知及正弦定理得sin A =sin B cos C +sin C sin B .①又A =π-(B +C ),故sin A =sin(B +C )=sin B cos C +cos B sin C .② 由①,②和C ∈(0,π)得sin B =cos B . 又B ∈(0,π),所以B =π4.(2)△ABC 的面积S =12ac sin B =24ac .由已知及余弦定理得4=a 2+c 2-2ac cos π4.又a 2+c 2≥2ac ,故ac ≤42-2,当且仅当a =c 时,等号成立. 因此△ABC 面积的最大值为2+1.【评析】(1)化边为角与和角或差角公式的正向或反向多次联用是常用的技巧;(2)已知边及其对角求三角形面积最值是高考中考过多次的问题,既可用三角函数求最值,也可以用余弦定理化边后用不等式求最值.(2013·山东)设△ABC 的内角A ,B ,C 所对的边分别为a ,b ,c ,且a +c =6,b =2,cos B=79. (1)求a ,c 的值; (2)求sin(A -B )的值.解:(1)由余弦定理b 2=a 2+c 2-2ac cos B ,得b 2=(a +c )2-2ac (1+cos B ),又a +c =6,b =2, cos B =79,所以ac =9,解得a =3,c =3.(2)在△ABC 中,sin B =1-cos 2B =429, 由正弦定理得sin A =a sin B b =223.因为a =c ,所以A 为锐角, 所以cos A =1-sin 2A =13.因此sin(A -B )=sin A cos B -cos A sin B =10227.类型四 判断三角形的形状在三角形ABC 中,若tan A ∶tan B =a 2∶b 2,试判断三角形ABC 的形状.解法一:由正弦定理,得a 2b 2=sin 2Asin 2B ,所以tan A tan B =sin 2A sin 2B,所以sin A cos B cos A sin B =sin 2A sin 2B ,即sin2A =sin2B .所以2A =2B ,或2A +2B =π,因此A =B 或A +B =π2,从而△ABC 是等腰三角形或直角三角形.解法二:由正弦定理,得a 2b 2=sin 2A sin 2B ,所以tan Atan B =sin 2A sin 2B ,所以cos B cos A =sin Asin B ,再由正、余弦定理,得a 2+c 2-b 22acb 2+c 2-a22bc=a b ,化简得(a 2-b 2)(c 2-a 2-b 2)=0,即a 2=b 2或c 2=a 2+b 2.从而△ABC 是等腰三角形或直角三角形. 【评析】由已知条件,可先将切化弦,再结合正弦定理,将该恒等式的边都化为角,然后进行三角函数式的恒等变形,找出角之间的关系;或将角都化成边,然后进行代数恒等变形,可一题多解,多角度思考问题,从而达到对知识的熟练掌握.(2012·上海)在△ABC 中,若sin 2A +sin 2B <sin 2C ,则△ABC 的形状是( )A .锐角三角形B .直角三角形C .钝角三角形D .不能确定解:在△ABC 中,∵sin 2A +sin 2B <sin 2C ,∴由正弦定理知a 2+b 2<c 2.∴cos C =a 2+b 2-c 22ab <0,即∠C 为钝角,△ABC 为钝角三角形.故选C .类型五 解三角形应用举例某港口O 要将一件重要物品用小艇送到一艘正在航行的轮船上.在小艇出发时,轮船位于港口O 北偏西30°且与该港口相距20 n mile 的A 处,并以30 n mile/h 的航行速度沿正东方向匀速行驶.假设该小艇沿直线方向以v n mile/h 的航行速度匀速行驶,经过t h 与轮船相遇.(1)若希望相遇时小艇的航行距离最小,则小艇航行速度的大小应为多少?(2)假设小艇的最高航行速度只能达到30 n mile/h ,试设计航行方案(即确定航行方向和航行速度的大小),使得小艇能以最短时间与轮船相遇,并说明理由.解法一:(1)设相遇时小艇航行的距离为S n mile ,则S =900t 2+400-2·30t ·20·cos (90°-30°) =900t 2-600t +400=900⎝⎛⎭⎫t -132+300, 故当t =13时,S min =103,此时v =10313=30 3.即小艇以30 3 n mile/h 的速度航行,相遇时小艇的航行距离最小.(2)设小艇与轮船在B 处相遇,则v 2t 2=400+900t 2-2·20·30t ·cos(90°-30°), 故v 2=900-600t +400t2.∵0<v ≤30,∴900-600t +400t 2≤900,即2t 2-3t ≤0,解得t ≥23.又t =23时,v =30.故v =30时,t 取得最小值,且最小值等于23.此时,在△OAB 中,有OA =OB =AB =20,故可设计航行方案如下:航行方向为北偏东30°,航行速度为30 n mile/h ,小艇能以最短时间与轮船相遇.解法二:(1)若相遇时小艇的航行距离最小,又轮船沿正东方向匀速行驶,则小艇航行方向为正北方向.设小艇与轮船在C 处相遇.在Rt △OAC 中,OC =20cos30°=103,AC =20sin30°=10.又AC =30t ,OC =vt ,此时,轮船航行时间t =1030=13,v =10313=30 3.即小艇以30 3 n mile/h 的速度航行,相遇时小艇的航行距离最小.(2)假设v =30时,小艇能以最短时间与轮船在D 处相遇,此时AD =DO =30t .又∠OAD =60°,所以AD =DO =OA =20,解得t =23. 据此可设计航行方案如下:航行方向为北偏东30°,航行速度的大小为30 n mile/h.这样,小艇能以最短时间与轮船相遇.证明如下:如图,由(1)得OC =103,AC =10,故OC >AC ,且对于线段AC 上任意点P ,有OP ≥OC >AC .而小艇的最高航行速度只能达到30 n mile/h ,故小艇与轮船不可能在A ,C 之间(包含C )的任意位置相遇.设∠COD =θ(0°<θ<90°),则在Rt △COD 中, CD =103tan θ,OD =103cos θ.由于从出发到相遇,轮船与小艇所需要的时间分别为t =10+103tan θ30和t =103v cos θ,所以10+103tan θ30=103v cos θ. 由此可得,v =153sin (θ+30°).又v ≤30,故sin(θ+30°)≥32,从而,30°≤θ<90°. 由于θ=30°时,tan θ取得最小值,且最小值为33. 于是,当θ=30°时,t =10+103tan θ30取得最小值,且最小值为23.【评析】①这是一道有关解三角形的实际应用题,解题的关键是把实际问题抽象成纯数学问题,根据题目提供的信息,找出三角形中的数量关系,然后利用正、余弦定理求解.②解三角形的方法在实际问题中,有广泛的应用.在物理学中,有关向量的计算也要用到解三角形的方法.近年的高考中我们发现以解三角形为背景的应用题开始成为热点问题之一.③不管是什么类型的三角应用问题,解决的关键都是充分理解题意,将问题中的语言叙述弄明白,画出帮助分析问题的草图,再将其归结为属于哪类可解的三角形.④本题用几何方法求解也较简便.(2012·武汉5月模拟)如图,渔船甲位于岛屿A 的南偏西60°方向的B 处,且与岛屿A 相距12海里,渔船乙以10海里/小时的速度从岛屿A 出发沿正北方向航行,若渔船甲同时从B 处出发沿北偏东α的方向追赶渔船乙,刚好用2小时追上.(1)求渔船甲的速度; (2)求sin α的值.解:(1)依题意,∠BAC =120°,AB =12,AC =10×2=20,在△ABC 中,由余弦定理知BC 2=AB 2+AC 2-2AB ·AC ·cos ∠BAC =122+202-2×12×20×cos120°=784,BC =28.所以渔船甲的速度为v =282=14(海里/小时).(2)在△ABC 中,AB =12,∠BAC =120°,BC =28,∠BCA =α,由正弦定理得AB sin α=BC sin ∠BAC ,即12sin α=28sin120°,从而sin α=12sin120°28=3314.1.已知两边及其中一边的对角解三角形时,要注意解的情况,谨防漏解.2.在判断三角形的形状时,一般将已知条件中的边角关系利用正弦定理或余弦定理转化为角角关系(注意应用A +B +C =π这个结论)或边边关系,再用三角变换或代数式的恒等变形(如因式分解、配方等)求解,注意等式两边的公因式不要约掉,要移项提取公因式,否则有可能漏掉一种形状.3.要熟记一些常见结论,如三内角成等差数列,则必有一角为60°;若三内角的正弦值成等差数列,则三边也成等差数列;内角和定理与诱导公式结合产生的结论:sin A =sin(B +C ),cos A =-cos(B +C ),sinA2=cosB +C2,sin2A =-sin2(B +C ),cos2A =cos2(B +C )等.4.应用正、余弦定理解斜三角形应用题的一般步骤:(1)分析:理解题意,分清已知与未知,画出示意图;(2)建模:根据已知条件与求解目标,把已知量与求解量尽量集中到一个三角形中,建立一个解斜三角形的模型;(3)求解:利用正、余弦定理有序地解出三角形,求得数学模型的解;(4)检验:检验上述所求得的解是否符合实际意义,从而得出实际问题的解.5.正、余弦定理是应用极为广泛的两个定理,它将三角形的边和角有机地联系起来,从而使三角与几何产生联系,为求与三角形有关的量(如面积、外接圆、内切圆半径和面积等)提供了理论依据,也是判断三角形形状、证明三角形中有关等式的重要依据.主要方法有:化角法,化边法,面积法,运用初等几何法.注意体会其中蕴涵的函数与方程思想、等价转化思想及分类讨论思想.。
课后限时集训(三十二)正弦定理、余弦定理的综合应用建议用时:40分钟一、选择题1.若点A在点C的北偏东30°,点B在点C的南偏东60°,且AC=BC,则点A在点B的()A.北偏东15°B.北偏西15°C.北偏东10°D.北偏西10°B[如图所示,由AC=BC得∠CAB=∠CBA=45°.利用内错角相等可知,点A位于点B的北偏西15°,故选B.]2.在200 m高的山顶上,测得山下一塔顶与塔底俯角分别为30°,60°,则塔高为()A.错误!m B.错误!mC.错误!m D.错误!mA[如图,由已知可得∠BAC=30°,∠CAD=30°,∴∠BCA=60°,∴∠ACD=30°,∴∠ADC=120°,又AB=200 m,∴AC=错误!m。
在△ACD中,由正弦定理,得错误!=错误!,即DC=AC·sin 30°sin 120°=错误!(m).]3.(2020·武昌区模拟)一艘海轮从A处出发,以每小时24海里的速度沿南偏东40°的方向直线航行,30分钟后到达B处,在C 处有一座灯塔,海轮在A处观察灯塔,其方向是南偏东70°,在B 处观察灯塔,其方向是北偏东65°,那么B,C两点间的距离是()A.62海里B.6错误!海里C.8错误!海里D.8错误!海里A[由题意可知:∠BAC=70°-40°=30°,∠ACD=110°,∴∠ACB=110°-65°=45°,∴∠ABC=180°-30°-45°=105°。
又AB=24×0。
5=12,在△ABC中,由正弦定理得错误!=错误!,即错误!=错误!,∴BC=6错误!,故选A.]4.已知△ABC的内角A,B,C的对边分别为a,b,c,且cos 2A+cos 2B=2cos 2C,则cos C的最小值为()A.错误!B.错误!C.错误!D.-错误!C[因为cos 2A+cos 2B=2cos 2C,所以1-2sin2A+1-2sin2B=2-4sin2C,得a2+b2=2c2,cos C=错误!=错误!≥错误!=错误!,当且仅当a=b时等号成立,故选C.]5.在△ABC中,内角A,B,C所对的边分别为a,b,c,已知(a+b-c)(a+b+c)=3ab,且c=4,则△ABC面积的最大值为()A.8错误!B.4错误!C.2错误!D.错误!B[由已知等式得a2+b2-c2=ab,则cos C=错误!=错误!=错误!。
正弦定理和余弦定理综合应用1.在△ABC 中,a =λ,b =λ,A =45°,则满足此条件的三角形的个数是A.0 B .1 C.2 D.无数个 2. 已知△ABC 中,a=1,b=3,A=︒30,则角B 等于( )A.︒60 B. ︒60或︒120 C. ︒30或︒150 D. ︒1203.如图,在△ABC 中,D 是边AC 上的点,且,23,2AB AD AB BD BC BD ===,则sin C的值为( ) A .33B .36 C .63 D .664、在△ABC 中,已知222c bc b a ++=,则角A 为( )A.3π B. 6π C. 32π D.3π或32π5.在∆ABC 222sin sin sin sin sin A B C B C ≤+-..则A 的取值范围是( )(A)(0,6π] (B)[6π,π) (C)(0,3π] (D) [3π,π)6. 在△ABC 中,已知a=7,b=10,c=6,则△ABC 的形状是( )A. 钝角三角形B. 锐角三角形C. 直角三角形D. 等边三角形 7. 在△ABC 中,若CcB b A a cos cos cos ==,则△ABC 是( )A. 直角三角形B. 等边三角形C. 钝角三角形D. 等腰直角三角形 8. 在△ABC 中,2cosBsinA=sinC,则△ABC 的形状一定是 ( )A. 等腰直角三角形B. 直角三角形C. 等腰三角形D. 等边三角形 9、在△ABC 中,内角A,B,C 的对边分别是a,b,c ,若223a b bc -=,sin 23sin C B =,则A=( )A 030 B 060 C 0120 D 015010.在△ABC 中,若b 2sin 2C +c 2sin 2B =2bc cos B cos C ,则此三角形为A.直角三角形B.等腰三角形C.等边三角形D.等腰直角三角形11. 5.在△ABC 中,=1,=2,(+)·(+)=5+2则边||等于A.B .5-2C.D.12.在△ABC 中,A=︒60,b=1,且面积为3,则=++++CB A cb a sin sin sin ( )A. 338 B.3392 C.3326 D. 3213、在△ABC 中,b sin A <a <b ,则此三角形有( ) A.一解 B .两解 C.无解 D.不确定14、在△ABC 中,= .15、在△ABC 中,化简b cos C +c cos B = . 16、 在△ABC 中,若B=︒30,AB=32,AC=2,则△ABC 的面积是 .17. 在△ABC 中,已知BC=8,AC=5,△ABC 的面积为12,则cos2C= . 18.在相距2千米的A .B 两点处测量目标C ,若0075,60CAB CBA ∠=∠=,则A .C 两点之间的距离是______ 千米。
解三角形正,余弦定理在现实生活中的应用解三角形的正弦定理和余弦定理在现实生活中有广泛的应用。
例如,测量距离、测量高度、航海模型、物理问题等都与这些定理有关。
以下是一些例子:
1. 测量距离
利用正弦定理和余弦定理可以测量出无法直接测量的距离。
假设你想知道两个建筑物之间的距离,但你不能直接测量它们之间的直线距离。
你可以站在其中一个建筑物旁边,用一个工具测量你与另一个建筑物之间的角度和高度差,然后使用正弦定理或余弦定理计算出两个建筑物之间的直线距离。
2. 测量高度
同样可以利用正弦定理和余弦定理测量出无法直接测量的高度。
假设你想知道一个树的高度,但你只能在地面附近测量树的影子长度。
你可以使用正弦定理或余弦定理计算出树的高度。
3. 航海模型
在航海中,可以利用正弦定理和余弦定理计算船只的位置。
假设你知道船只在某个时间点的位置和朝向,以及它的速度和方向,你可以使用正弦定理和余弦定理计算出船只在任何其他时间点的位置和朝向。
这对于导航非常重要。
4. 物理问题
在物理学中,正弦定理和余弦定理也有很多应用,例如在振
动、波动等问题中。
例如,当一个弹簧上放置一个小球时,小球会以一定的频率来回摆动。
通过测量小球的振幅、周期等参数,可以使用正弦定理和余弦定理计算出小球的运动轨迹和速度。