第一二单元综合测试卷-推荐下载
- 格式:pdf
- 大小:318.98 KB
- 文档页数:5
五年级语文上册第一、二单元综合测评卷一、根据句子语境,看拼音,写词语。
(8分)xiàn rù1.前段时间,中国()新型冠状病毒引发的疫情中,大多数人们还是非常自 jù jué觉地在家隔离,( )外出。
bō zhǒng jiāo shuǐ2.我们姐弟几个都很高兴,买种、翻地、( ),( ),没过几个月,居然收获了。
二、给加点的字选择正确的读音,打“√”。
(6分)垂蔓.( wàn màn) 镜匣.(jiā xiá) 榨.油(zà zhà)间.隔( jiàn jiān) 划.分( huà huá) 浩瀚.( hàn hǎn)三、字组词。
(8分)幕( ) 框( ) 吩( ) 鹤( )慕( ) 诓( ) 份( ) 鹊( )兰( ) 饼( ) 捡( ) 罪( )烂( ) 拼( ) 脸( ) 韭( )四、给加点的字选择正确的解释。
(8分)1.故:(①有意,故意;②朋友,友馆;③事情,事故;④原来的,从前的,旧的。
故.乡( ) 变故.( ) 沾亲带故.( ) 明知故.犯( )2.顾:①拜;②珍惜,顾念;③注意,照管;④商店或服务行业指人前来买东西。
顾.兼( ) 光顾.( ) 三顾.茅庐( ) 奋不顾.身( )五、按要求写词语。
(6分)1.写出下列词语的近义词或反义词。
(3分)近义词:居然——( ) 体面——( ) 繁茂——( )反义词:简易——( ) 温暖——( ) 答应——( )2.照样子,写词语。
(3分)安安稳稳(AABB式) 咂咂嘴(AAB式) 六、选词填空。
(4分)贯通贯穿1.我们需要中西( ),古今( ),文理( )的人才。
2.这条公路( )十几个县市。
珍藏珍情3.外祖父( )着这幅梅花图。
4.我十分( )这次学习的机会。
七、根据课文内容填空。
(9分)1.《落花生》一文的作者是,课文告诉我们的道理是:人要做的人,不要做的人。
第一单元学业水平检测卷(时间:80分钟满分:100分)一、积累与运用(38分)1.用“√”给加点字选择正确的读音。
(4分)烟渚(zhǔ zhě)豆腐(fu fǔ)衣襟(jìn jīn)拘束(shù shú)羞涩(sāi sè)勾勒(lè lēi)苏轼(chì shì)婆娑(suō sōu)2.看拼音,写字词。
(5分)(1)在chén()巴尔虎旗草原上,先听见一阵阵鞭响,接下来就是“咿”的mǎ tí()声。
(2)yōu()静的巷口,一位dānbó()的小女孩脸上shāowēi ()带着难色,精神 huǎng hū()地望着远方,让人忍不住怜上心头。
3.把下列成语补充完整,并填空。
(6分)()芳自赏()影自怜一()千里()大无朋()色欲流心()神往(1)______和“微不足道”是反义词。
(2)______表示把自己看成一朵香花而自我欣赏,比喻自命清高。
(3)黑暗中,我们不能_______,而是要鼓起勇气走向光明。
4.补充诗句。
(3分)(1)绿树村边合,_____________________。
(2)七八个星天外,两三点雨山前。
____________,_____________。
5.写出下列诗句的意思。
(6分)(1)野旷天低树,江清月近人。
__________________________________________________________________________________________________________________________________(2)卷地风来忽吹散,望湖楼下水如天。
_________________________________________________________________________________________________________________________________________6.读句子,完成练习。
六年级语文上册第一、二单元综合测评卷考试时间:90分钟满分:100分一、读句子,看拼音,写词语。
(8分)1.在草原上,羊群走在哪里,都像给无边的lǜ tǎn( )绣上了白色的大花。
人骑在马背上也似乎轻灵得多,不那么 bèn zhuō( )了。
2.今年的一次春雨,我久立窗前,望着斜伸过来的丁香枝条上一柄 huā lěi( ),不禁多出了一丝 chóu yuán( )。
3.明月别枝 jīng què( ),清风半夜 míng chán( ),这是多么富有诗意的景色啊!4.五位壮士yì lì( )在狼牙山顶峰, tiào wàng( )着群众和部队主力远去的方向。
二、在下列加点字的正确的读音下画“√”。
(6分)衣襟.( jīng jīn) 擎.着( qíng qín) 宾.客( bīng bīn)控制.( zhì zhi) 憧.憬( chōng tóng) 旗.子(qí qǐ)三、比一比,再组词。
(8分)钮( ) 诞( ) 律( ) 振( )扭( ) 延( ) 津( ) 震( )抡( ) 栏( ) 射( ) 崖( ) 论( ) 拦( ) 谢( ) 涯( )四、写出下列词语的近义词或反义词。
(3分)近义词:热闹---( ) 飞驰---( ) 舒服---( )反义词:雄伟---( ) 完毕---( ) 一致---( )五、选词填空。
(4分)虽然……但是……因为……所以……宁可……也不……不但……而且……1.( )郝副营长只有二十二岁,( )他有着丰富的战斗经验。
2.红军战士( )死( )把机密告诉敌人。
3.革命胜利后,我们( )能用上电灯,( )能用上各种现代化的家用电器。
4.( )战士们在黑暗中找不到突破口,( )和突击队失去了联系。
六、按要求写句子。
(5分)1.石头带着五位壮土的决心,带着中国人民的仇根,向敌人头上碰去。
可能用到的相对原子质量:K-39Mn-55O-16Cl-35.5一、选择题(每个小题只有一个正确选项,15分)1.下列变化过程中,既有物理变化又有化学变化的是()A 冰雪融化B 干冰升华C 蜡烛燃烧D 玻璃破碎2.化学变化的本质特征是()A 颜色变化B 有新物质生成C 放出气体D 发光放热3.普通食醋中含3%---5%的醋酸,下列属于醋酸化学性质的是( )A 无色液体B 能溶于水C 易挥发D 能使紫色石蕊溶液变红4.下列物质的用途是由其物理性质决定的是()A 乙醇可作燃料B 氧气可用于炼钢C 金刚石用来裁玻璃D 盐酸作除锈剂5.下列有关空气成分的说法错误的是()A空气的成分按体积计算氧气约占21%B稀有气体常用于医疗急救C焊接金属时常用氮气作保护气D二氧化碳是植物进行光合作用的主要原料6.在空气中含量较多且化学性质不活泼的气体是()A氧气B二氧化碳C氮气D水蒸气7.早起科学家对空气做了大量的研究,最后确认空气中约有1/5的气体比较活泼即氧气,这位科学家是()A拉瓦锡B道尔顿C舍勒D普利斯特里8.下列关于氮气用途的叙述中,不正确的是()A食品防腐B制成各种电光源C医疗防冻麻醉D制成化肥的重要原料9.在下列变化中,属于分解反应的是()A硫在氧气中燃烧B石蜡在空气中燃烧C高锰酸钾加热D红磷在空气中燃烧10.下列关于催化剂的认识完全正确的是()A催化剂的作用是加快其它物质的化学反应速率B催化剂的性质在化学反应前后都不发生改变C催化剂能改变其它物质的化学反应速率D使用催化剂能提高生成物的产量11.鉴别空气、氧气和氮气三瓶气体的最佳方法是()A测量三种气体的密度B用燃着的木条分别伸入三瓶气体中C用带火星的木条分别伸入三瓶气体中D测量三种气体的溶解度12.实验室用高锰酸钾加热制取氧气,有如下操作步骤:①加热②检查装置的气密性③装药品④用排水法收集氧气⑤从水槽中取出导管⑥熄灭酒精灯⑦连接装置。
其操作顺序正确的是()A⑦②③①④⑤⑥B①⑦③②⑤④⑥C⑤⑦③②①④⑥D⑦③①②④⑥⑤13.空气是一种宝贵的自然资源,下列措施中不利于提高空气质量的是()A开发新能源代替化石燃料B改进汽车尾气的净化技术C节假日燃放烟花爆竹D控制PM2.5的排放以减少雾霾天气14.酒精(C2H5OH)属于()A混合物B氧化物C单质D有机物15.下列物质在氧气中燃烧,火星四射有黑色固体生成的是()A硫B木炭C铁丝D红磷二、填空与简答(每空1分,共11分)16.把某种金属用小刀轻轻切下一小块放入盛水的烧杯中,观察到该金属能与水剧烈反应,并放出热,本身熔化成银白色的小圆球,浮在水面上,根据以上叙述推断:⑴该金属的物理性质有:①硬度:__②熔点:___③密度:___④颜色___⑵该金属的化学性质有:___________17.写出下列反应的化学方程式,并在括号内注明基本反应类型:⑴碳在氧气中完全燃烧__________()⑵氯酸钾在二氧化锰催化下制氧气________________()18.从氮气、氧气、氖气、二氧化碳中,选择符合下列题意的气体填空:⑴太空飞行人员需要携带的气体是______⑵白炽灯泡内含有的气体是________⑶电工测电笔内充有的气体是______⑷植物光合作用需要的气体是__________三、实验与探究(每空1分,共16分)19.图1是某元素的原子结构示意图,利用该元素组成的单质可测定空气中氧气的含量,实验装置如图2所示。
人教版六年级(五四学制)道德与法治第一、二单元综合测试卷(时间:60分钟满分:100分)一、选择题1. 今天,互联网已经深刻影响我们的生活,在网络上交朋友、发祝福、抢红包、学习、购物……我们越来越离不开网络。
但同时,网络诈骗、网络售假、网银被盗等也随之出现。
对此,我们应该( )①充分享受网络交往带来的乐趣,把网络作为我们生活的全部②正确认识网络的两面性,用其所长,避其所短③提高自己的安全防范意识,学会自我保护④拒绝使用网络,避免受到伤害A.①②B.①③C.②③D.③④2. 小红进入初中后,认为自己应该把更多的精力投入到学习中去,于是她不再与同学交往。
渐渐地,她变得孤僻起来,做事独来独往。
对于她的这种做法,你的认识是( )A.为了赢得更多的学习时间,她必须这样做B.她的做法,将会得到老师的表扬和同学的欣赏C.不与他人交往,虽然有时会有孤独感,但有利于自己和他人的健康成长D.她需要开放自我,友谊之树才会枝繁叶茂,性格才会更开朗,人生才能更精彩3. 我们可以从图中得到的启示是( )①有了竞争对手,我们就一定能成功②竞争并不必然伤害友谊③在竞争中坦然接受并欣赏朋友的成就,就不会沉溺于失利的痛苦④在竞争中自我反省和激励,我们会收获更多A.①②③B.②③④C.①③④D.①②④4. 有一个寓言故事:一天,孔雀向喜鹊哭诉:“我的声音太难听了。
人家夜莺的声音多美妙啊。
”喜鹊安慰道:“可是你有美丽的羽毛,这是别的鸟儿都不能比的。
”这告诉我们( )A.美丽的羽毛比美妙的声音更重要B.他人对自己的评价最客观C.要正确认识自己的优点与不足D.从外在形象认识自己最重要5. 以下朋友圈信息,你认为值得转发的有( )①“测测你还能活多久,特别准!”②“八旬老人走失,朋友圈寻人爱心大接力……”③“出大事了,上访村民猛砸政府大院,大快人心……”④“花海盛景现菏泽,八方宾朋齐点赞!(航拍视频)……”A.①②B.①③C.②④D.③④6. 努力才能实现梦想。
人教版三年级数学下册第一二单元综合检测题三年级数学下册第一、二单元检测题一、填空。
(每空1分,共5分)1、51 2÷4的商是(1)位数,3 3 9÷6的商是(2)位数。
2、把手表平放在桌面上,用数字12正对着北方。
正对着南方的是数字(6);3、XXX家到学校有540米,他每天上学大约走9分钟,他每分钟大走(60)米。
4、把723盆花平均放进6个花坛,平均每个花坛放(120)盆,还剩(3)盆。
5、8元7元,XXX用217元买了一样物品,他买的是(7元的),买了(31)个。
6、XXX面向西站立,向右转动两周半,面向(南);向左转动l周半,面向(西)。
二、判断题。
(共9分)1、在有余数的除法中,除数是3,余数一定是1.(错)2、除以任何数都得。
(错)3、□25÷5,商是两位数,□里的数只能填 4.(对)4、5704商的最高位是百位,而且中间有(5)。
(错)5、三位数除以一位数,商可能是三位数,也可能是两位数。
(对)6、人的影子在西方,太阳应在东方。
(错)7、和西北相对的方向是西南。
(对)8、在森林中可以利用树叶的疏密来识别方向。
(对)9、面对早晨的太阳,你的右手边是南方。
(对)三、选择题。
(共12分)1、根据下面的信息,你知道哪个商店的饮料最便宜(利民商店)幸福商店民生商店数量(箱)6 7 8总价(元)66 84 104选项:①利民商店②幸福商店③民生商店2、(380)÷8=47……6,当余数最大时,被除数是(380+7=387)。
选项:①376②378③380④3833、三(1)班教室的黑板在教室的西面,那么老师讲课时面向(东)面。
选项:A.东B.南C.西D.北4、XXX今年5岁,爷爷今年65岁,明年爷爷的年龄是小聪的(13)倍。
选项:①10②11③12④135、XXX座位的西南方向是XXX的座位,那么XXX在XXX的(东北)方向。
选项:A.东南B.西北C.东北6、XXX面向南站立,当她向后转之后,她的左面是(西)。
部编版2023年四年级语文下册第二单元综合测试卷可下载打印(附答案)_小学试卷第1部分积累与运用(57分)一、字词积累。
(28分)1.写出下列句子中加点字的正确读音。
(8分)(1)它们前俯后仰地挣扎( )了一番,终于不动了。
(2)老师强调,我们应该学得更扎( )实一些。
(3)10月16日早晨6时23分,飞船在环绕地球十四圈后成功返回着( )陆场。
(4)天气干旱,森林更容易着( )火。
2.读拼音,写字词。
(8分)(1)要多吃富含维生素的shū cài( ),这对预防jí bìng( )很有帮助。
(2)要想身体jiàn kāng( ),不jǐn( )要按时就cān( ),还需要适量运动。
(3)bèn zhòng( )的恐龙和小巧的gē zi( )之间究竟有什么联系呢?对此,这本书中有xiáng xì( )的介绍。
3.选择题,将正确答案的序号填入括号里。
(12分)(1)根据形声字的特点,我猜“氤氲(yīn yūn)”的意思可能与( )有关。
A.草木B.气体C.水D.土壤(2)下列没有错别字的一项是( )A.碳火烤羊肉B.天然琥泊C. 自助午餐D. 杀菌防嗅袜(3)下列词语搭配全部恰当的一项是( )A.沾满灰尘发明化石提出假说B.澎湃的波涛辽阔的太空神气的材料C.行动敏捷身高轻盈性情温顺D.快乐地飞舞渐渐地下沉慢慢地腐烂(4)上网只看帖子却不发表意见的行为被称为( );可用计算机处理的多种信息载体的统称是( )。
A.自媒体B.多媒体C.潜水D.灌水(5)下列加点的成语运用不恰当的一项是( )A.随着一声震耳欲聋的巨响,我国自行研制的“神舟五号”飞船被送上太空。
B.与其为无能为力的事懊恼,不如着手去做力所能及的事。
C.姿态万千的牡丹花展吸引了成千上万的游客。
D.老师气急败坏地说:“你们怎能乱扔垃圾?”二、句段运用。
(16分)4.对下列句子使用的说明方法判断有误的一项是( )(2分)A.纳米是非常非常小的长度单位,1纳米等于十亿分之一米。
(北师大版)六年级数学上册第一、二、三单元综合试卷班级_______姓名_______分数_______一、请你填一填。
(22分 第5小题2分)1.214小时=( )小时( )分 3040立方厘米=( )立方分米 2.( )72=15÷( )=( )÷30=七五折=( )% 3.一个圆的周长是50.24厘米,它的半径是( )厘米,面积是( )平方厘米。
4.圆的周长是6.28分米,那么半圆的周长是( )分米。
5.把3.14、31.4%、3950、三成四、π五个数从大到小排列。
( )6.一个环形铁片,内圆直径是8厘米,环宽2厘米,外圆的周长是( )厘米,这个环形铁片的面积是( )平方厘米。
7.甲数是415,比乙数少20%,乙数是( )。
8.六年级(一)班男生有24人,女生有30人,女生是全班的( )%,女生比男生多( )%,男生比女生少( )%。
9.六(3)班今天有50人到校上课,有2人请假,六(3)班今天的出勤率是( )%。
10.一根绳子第一次用去20%,第二次又用去余下的20%,两次相差2米。
这根绳原来的长( )米。
11.六年级6个班要进行羽毛球比赛,每两个班要比赛一场,一共要赛( )场。
12.从12:40到13:10,钟表的分针转动的角度为( )。
二、我是小法官,对错我来断。
(10分)1.所有圆的半径都相等,直径都相等。
……………………( )2.10克糖溶于100克水中,糖占糖水的10%。
………………( )3.质检部门在市场上抽查时发现:40箱苹果汁中只有30箱合格,50箱荔枝汁中只有35箱合格,因此,荔枝汁的合格率高于苹果汁。
……( )4.张倩、刘青、郭旋三人互送照片一张,他们一共要送9张照片。
…………………( )5.甲数比乙数多20%,乙数就比甲数少20%………… ( )三、请你选一选。
(把正确答案的序号填入括号里)(10分)1.用一块长12米、宽8米的长方形铁皮剪成半径是1.5米的小圆(不能剪拼),至多能做( )个。
第一、二单元综合能力测试卷(时间:60分钟满分:100分)一、填空。
(第9小题3分,其余每小题2分,共21分)1. 如果规定向银行存入钱为正,那么向银行存入800元,记作( +800或800 )元,“-1500元”表示( 取出1500元)。
2. 一种盒装饼干的标准净重为300 g,质检工作人员为了解该饼干每袋净重与标准的误差,把饼干净重306 g记为+6 g,那么饼干净重296 g就记为( -4 )g。
3. 南极洲的最低气温可达零下八十九摄氏度,记作( -89 )℃;非洲的最高气温可达五十五摄氏度,记作( 55 )℃。
4. 一辆自行车,原价960元,现在商店打八折出售。
这辆自行车的现价是原价的( 80 )%,现价比原价便宜了( 20 )%。
5. 把下面各数填在适当的括号里。
-5+312-1.56. 我市去年出境游人数为40万人次,今年出境游人数比去年增长了三成。
今年出境游的人数是去年的( 130 )%,今年出境游人数为( 52 )万人次。
7. 小明把1000元存入银行,存期3年,年利率是2.75%,到期后小明可得到利息( 82.5 )元。
8. 一家酒店2月份的营业额中应纳税部分是90万元。
如果按照应纳税部分的3%缴纳增值税,这家酒店2月份应缴纳增值税( 2.7 )万元。
9. 直线上每相邻两个数之间的距离表示1 m,规定向东为正。
已知小红从0处出发,先向东走3 m到达A点,再向西走7 m到达B点,请在直线上分别标出A 点和B 点的位置。
10. 纺织厂今年1月份用电600万千瓦时,2月份的用电量比1月份节约了二成。
2月份的用电量比1月份节约了( 120 )万千瓦时,2月份用电( 480 )万千瓦时。
二、选择正确答案的字母序号填在括号里。
(每小题1分,共10分)1. 甲地的海拔是-30 m ,乙地的海拔是48 m 。
甲、乙两地的海拔相差( D )。
A. 48 mB. 30 mC. 18 mD. 78 m2. 一件衣服,打折后的价格是原价的70%,说明这件衣服是打( A )出售。
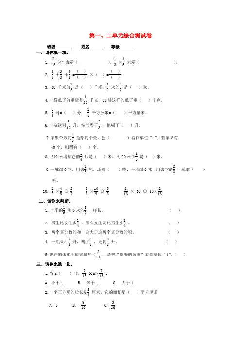
第一、二单元综合测试卷班级 姓名 等级 一、请你填一填。
1. 215 ×7表示( )。
13 ×45 表示( )。
2. 38 +38 +38 =( )( ) ×( )=( )( )3. 20 千米的25 是( )千米,12 米的47 是( )米。
4.一袋瓜子的重量是120 千克,15袋这样的瓜子重( )千克。
5. 14 时=( )分 25 平方分米=( )平方厘米。
6.一瓶饮料310 升,淘气喝了23,他喝了( )升。
7.苹果个数的45 是梨的个数,把( )看作单位“1”;若苹果有40个,则梨有( )个。
8. 240米增加它的14 后是( )米,比20米少15是( )米。
9.一堆煤9吨,用去23 吨,还剩( )吨;一堆煤9吨,用去它的23 ,还剩( )吨。
10. 27 ×45 ○ 27 58 ×109 ○ 58 213 × 10 ○ 10×213二、请你来判断。
1. 7米的16 和6米的17 一样长。
( )2. 男生比女生多14 ,那么女生就比男生少14 。
( )3. 两个真分数的和一定大于这两个真分数的积。
( )4. 一瓶果汁58 升,喝了38 ,还剩28升。
( )5.现在的体重比原来增加了211 ,是把“原来的体重”看作单位“1”。
( )三、请你来选一选。
1.当a ( )时,715 ×a >715。
A. 小于1B. 等于1C. 大于12.一个正方形的边长是34 厘米,它的面积是( )平方厘米A. 3B. 916C. 3163.一双鞋的价格是200元,先涨价15 ,又降价15 ,现在的价格( )。
A. 比原价高B. 与原价相等C. 比原价低4.有34 吨水果,卖了23 ,还剩( )吨。
A. 14 B. 112 C. 125.鸡场养公鸡400只,母鸡比公鸡的只数多58 ,母鸡比公鸡多( )只。
A. 400×(1-58 ) B. 400×58 C. 400×(1+58) 四、请你仔细算。
七年级生物上册第一、二单元综合测试卷-人教版(含答案)一、选择题(每小题2分,共50分)1.下列所示都不属于生物的一组是()①蝴蝶②珊瑚③珊瑚虫④黑木耳⑤智能机器人⑥青苔⑦流星A.①③⑤B.②⑤⑥⑦C.③⑤⑥⑦D.②⑤⑦2.[2020·天水]“苔花如米小,也学牡丹开”,其中包含的生物基本特征是()A.生物能进行呼吸B.生物有变异的特性C.生物能繁殖D.生物能排出体内产生的废物3.为了解某省生产、销售和使用一次性不可降解塑料用品的情况,通常采用的方法是()A.观察法B.实验法C.分析法D.调查法4.某小组同学将调查到的生物进行了分类,他们将水绵、金鱼、水草、荷花、鸭子、蟹等生物归为一类;将雪松、银杏、蝴蝶、玫瑰、兔、麻雀等生物归为一类,则他们归类的标准是() A.生物的形态结构特点 B.生物的用途C.生物的数量D.生物的生活环境5.[2020·宜昌]能依次体现温度、水分、光、生物等因素对生物生活的影响的顺序是()①荒漠中仙人掌叶片退化为刺②草尽狐兔愁③春江水暖鸭先知④蟑螂喜欢在夜间活动A.①③②④B.①③④②C.③①②④D.③①④②6.[2020·海南]下列生物与环境的关系实例中,哪项描述与其他三项不同()A.仙人掌叶退化为刺B.竹节虫与竹枝相似C.蚯蚓改良土壤D.企鹅皮下脂肪很厚7.蚂蚁等昆虫往往成百上千只一起生活,这种生物与生物之间的关系是()A.合作B.捕食C.竞争D.寄生8.某草原生态系统中,一条食物链中三种生物的数量比例如图1所示。
若丙被人类大量捕杀,一段时间内乙的数量变化曲线是()图1图29.如图3表示某生态系统中各种成分之间的关系,据图分析下列说法正确的是()图3A.图中包含三条食物链B.它能表示一个小型生态系统C.其中的②是生产者D.②中的能量直接来源于阳光10.地球是人类赖以生存的家园,有生物生存的圈层叫生物圈。
下列有关生物圈的说法不正确的是()A.生物圈是最大的生态系统B.生物圈是由全部动物、植物和微生物构成的统一整体C.生物圈包括大气圈的底部、水圈的大部和岩石圈的表面D.绝大多数生物生活在陆地以上和海洋表面以下各约100米的范围内11.科学家通过分析蜂蜜样品发现除南极洲外,其他地区的蜜蜂几乎都面临杀虫剂的危害。
九年级道德与法治上册第一、二单元综合练测试卷-带含有答案一、单选题(共15小题,共45分)1.深圳是一座因改革而生、因创新而兴的城市。
下列观点能体现创新与改革的关系的是()A.创新是一个国家兴旺发达的不竭源泉B.创新已经成为世界主要国家发展战略的重心C.当今社会,大众创业、万众创新的理念深入人心D.创新是改革开放的生命,改革之手激活创新引擎2.到20世纪末,我国人民生活()A.解决了温饱问题B.总体上达到小康水平C.达到了全面小康D.比较富裕3.四十载惊涛拍岸,九万里风鹏正举。
改革开放四十周年之际,国家主席习近平代表全党全国人民发出不忘初心、牢记使命,将改革开放进行到底,不断实现人民对美好生活的向往,在新的时代创造中华民族新的更大奇迹的时代强音。
我国之所以要将改革开放进行到底,是因为()A.改革开放是决定社会主义新中国命运的关键抉择B.中国未来发展只须依靠坚定不移的改革开放C.改革开放是解决新时代社会主要矛盾的最主要手段D.改革开放影响中国的同时也影响着世界4.图一显示的是“橄榄型”收入分配结构,这种低收入者和高收入者相对较少、中等收入者占绝大多数的结构比图二显示的“倒金字塔型”收入分配结构要稳定得多。
我国构建社会主义和谐社会,就必须构建“橄榄型”收入分配结构。
为此,以下可以选择的对策有()①大力发展经济,实现同步富裕②确立劳动、资本、技术和管理等生产要素按贡献参与分配的原则③以经济建设为中心,大力发展生产力④健全社会保障体系A.①②B.①③④C.②③④D.①②③④5.这是小聪运用老师在道德与法治课堂上教给大家的方法做的一个知识梳理表。
他不能确定①②两个方框的内容,请你帮他补充完整。
()A.①以人民为中心②坚持计划生育的基本国策B.①坚持依法治国②实施乡村振兴发展战略C.①实现共同富裕②实施创新驱动发展战略D.①实现共同富裕②实施科教兴国.人才强国战略6.2022年春运,北京火车站特别加入了全新的“黑科技”,保障旅客出行。
第1-2单元月考测试(三)-2022-2023学年五年级语文下册(部编版)班级姓名成绩第一部分积累运用一、看拼音,写词语。
dùjìchéng fáléi gǔnàhǎn()()( )()gēng yún pòxiǎo zhòu yèyīng huā()()( )()二、读每组中加点字的读音,完全正确的打“√”,错误的用“ ”画出来并改正。
(1)茧.子(jiǎn)耽.误(dān)龟.裂(guī)恍惚.(hū)()(2)枉.费(wàng)苔藓.(xiǎn)酬.谢(chóu)抵御.(yù)()(3)游隼.(sǔn)瞌.睡(kē)酿.酒(liàng)大臣.(chén)()(4)船桨.(jiǎng)书刊.(kān)罕.见(hǎn)拘.束(jū)()三、给下列汉字加偏旁变成新字,再组词。
婴—____()____()害—____()____()全—____()____()票—____()____()尧—____()____()胡—____()____()四、把下列词语补充完整,并按要求完成练习。
()书()画顶天()()良()美()()()浩渺乐()不()()()旖旎()()胜数美妙()()(1)含有反义词的词是___________,我也可以写一个这样的词:___________。
(2)形容“非常美妙,没有什么可以相比”的词是____________。
形容“美好的时光和景物”的词是____________。
与“不计其数”意思相近的词是_________________________。
(3)请任选上面两个词语写一段话。
__________________________________________________________________________________________________________五、课文中出现了很多带“然”的词,选择带“然”的词填入下面各句中。
五年级(上册)数学第一、二单元综合测试卷班级: 姓名: 得分: 一、认真读题,谨慎填写。
(每空1分,共21分)1、一个三角形和一个平行四边形等底等高,如果平行四边形的面积是20平方厘米,那么三角形的面积是( )平方厘米;如果三角形的面积是24平方厘米,那么平行四边形的面积是( )平方厘米。
2、梯形上下底的和是20米,高是7米,梯形的面积是( )平方米。
3、甲处海拔-180米,乙处海拔-160米,两处相比,( )处比较低一点。
4、在 - 76、0、+6、-3.2、+15、9.8、-4这些数中,正数有( ),负数有( )。
5、用正负数表示下面的数量。
(1)如果小明向东走500米,可以记作+500米,那么-200米,表示向( )走了( )米。
(2)汽车到站后下去10人记作-10人,那么上来20人记作( )。
(3)如果-20元表示亏本20元,那么盈利100元记作( )。
(4)世界最高城市拉萨的平均高度高于海平面3658米,记作( )米;太平洋的马里亚纳海沟最深处低于海平面11034米,记作( )米。
(5)比零下3摄氏度高6摄氏度记作( )摄氏度。
6、一个直角三角形的三条边分别是6厘米、8厘米和10厘米,它的面积是( )平方厘米。
7、一个三角形的面积是42平方分米,底是12分米,高是( )分米。
8、一个边长4分米的正方形是由两个完全相同的直角梯形拼成的,其中一个梯形的面积是( )平方分米。
9、如果每分钟跳绳100个或以上的为达标,超过100个的部分用正数表示,不足100个的部分用负数表示,李明的记录是-14个,李明实际跳了( )个。
10、右图中阴影部分的面积是16平方厘米, 则长方形的面积是( )平方厘米。
11、用一块边长60厘米的正方形红纸,做底和高都是 6厘米的直角三角形小红旗,最多可以做( )面。
12、一个梯形的上底与下底的平均长度是40厘米,高是12厘米,这个梯形的面积是( )平方厘米。
北师大版五年级上册数学第1-2单元综合培优A卷(月考)(考试时间:90分钟总分:100分)班级______ 姓名______ 考号______一、填空题1.圆有条对称轴,将圆对折一次得到一个半圆,它有条对称轴。
2.1元港币可以兑换人民币0.80元,1美元可以兑换人民币6.25元,用32美元可以兑换人民币元,如果兑换成港币约是元港币。
(保留整数)3.已知两个数的商是0.12,如果把这两个数同时扩大100倍,那么商是。
4.一个三位小数保留两位小数约是6.58,这个三位小数最小是,最大是。
5.3÷7=0.428571428571…,这个商的小数部分第2021位的数字是。
6.轴对称图形的各组对应点到对称轴的距离。
7.27元能买5支笔,43.2元能买支笔,买10支笔应付元。
8.如果912÷24=38,那么请你直接写出下面算式结果:912÷2.4=,912÷0.24=,0.912÷0.24=。
9.甲数除以乙数的商是2.5,当甲数和乙数同时扩大100倍时,商是。
10.下图是围棋棋盘的一部分,在这个4×4的方格图中已经放置了5枚棋子,若要将它变为上下左右都对称的图,则至少还要在棋盘上摆放枚棋子。
二、选择题11.下面图形一定不是轴对称图形的是()。
A.等腰梯形B.平行四边形C.等边三角形12.图形平移后,()发生了改变。
A.形状B.大小C.位置13.一瓶酸奶4.5元,笑笑带了30元,最多能买()瓶酸奶。
A.5B.6C.714.与4.2÷0.06的商相等的算式是()A.4.2÷6B.42÷0.06C.42÷0.615.笑笑在一张对折一次的纸上剪了两个圆,展开后得到的图案是()。
A.B.C.三、判断题16.0.602保留一位小数与保留两位小数的大小相同。
()17.一个数除以小于1的数(0除外),商一定大于这个数。
()18.下图是轴对称图形。
部编版三年级语文下册一二单元综合检测试卷考试时间:(120分钟)学校: 班级: 姓名: 得分:亲爱的同学们,经过这段时间的学习,相信大家一定学了很多知识,让我们练一练吧!加油哦!一、看拼音,写词语。
(每个词语1分,共18分)jù lǒng chuī fú ǒu ěr xián sǎn fǎng fú qiān xū ( ) ( ) ( )( ) ( ) ( ) nuò ruò huā bàn lián péng z ī shì huó pō gǎn jí ( ) ( ) ( )( ) ( ) ( ) xīn shǎng bié zhì jià zhí ào màn yún chèn zhù zuǐ ( ) ( )( ) ( ) ( ) ( )二、用“ ”画出带点字的正确读音。
(每题1分,共8分)吹拂.(fú fó) 伶.俐(lín líng ) 痕.迹(h éng h én ) 纤.细(qi ān xi ān ) 随.风(suí sh uí) 聚.拢(j ù ju è ) 破裂.(liè l ì) 花瓣.(bàn bàn g )三、比一比,再组词。
(每空0.5分,共8分)拂( ) 瓣( ) 沾( ) 掠( ) 佛( ) 辨( ) 粘( ) 凉( ) 胀( ) 虚( ) 陶( ) 偶( ) 帐( ) 虑( ) 淘( ) 遇( )四、词句段运用。
(4分)1、读一读,照样子写一种小动物的外形特点。
(2分)一身乌黑的羽毛,一对轻快有力的翅膀,加上剪刀似的尾巴,凑成了那样可爱的活泼的小燕子。