最新实例一(初步设计概算)
- 格式:doc
- 大小:194.50 KB
- 文档页数:12
设计概算范本1.什么是设计概算设计概算亦称“初步设计概算”,简称“概算”。
是初步设计阶段概略地计算建设项目所需全部建设费用的文件。
是初步设计和技术设计阶段设计文件的组成部分。
包括:建设项目总概算、单项工程综合概算、单位工程概算、其他工程和费用概算等。
这些概算,由设计单位根据设计图纸、设计说明和概算定额、概算指标、各项费用标准等进行编制。
批准的设计概算,是确定和控制建设项目造价,编制固定资产投资计划,签订总包合同,实行投资包干的依据,也是考核设计方案的经济合理性和建设成本的依据。
扩展资料:作用1、设计概算是编制建设项目投资计划、确定和控制建设项目投资的依据。
2、设计概算是签订建设工程合同和贷款合同的依据。
3、设计概算是控制施工图设计和施工图预算的依据。
4、设计概算是衡量设计方案技术经济合理性和选择最佳设计方案的依据。
参考资料:搜狗百科--设计概算2.设计概算的内容采用两阶段设计的建设项目,初步设计阶段必须编制设计概算;采用三阶段设计的建设项目,技术设计阶段必须编制修正概算。
设计概算可分为单位工程概算、单项工程综合概算和建设项目总概算三级。
建设项目总概算是确定整个建设项目从筹建到竣工验收所需全部费用文件,它是由各单项工程综合概算、工程建设其他费用概算、预备费、建设期贷款利息和投资方向调节税概算汇总编制而成的。
以工业建设项目为例,包括:①生产项目、附属生产及服务用工程项目、生活福利设施等项目的单项工程综合概算;②建设单位管理费和生产人员培训费的单项费用概算;③为施工服务的临时性生产和生活福利设施、特殊施工机械购置费用概算等。
单项工程综合概算是指在一个建设项目中,具有独立的设计文件,建成后可以独立发挥生产能力或工程效益的项目。
单项工程是一个复杂的综合体,是具有独立存在意义的一个完整工程,由各单位工程概算汇总编制而成,是建设项目总概算的组成部分。
其内容包括:各功能单元的综合概算例如输水工程、净水工程、管网建设工程。
初步设计概算
初步设计概算是对一个建筑项目的大致造价进行估算和预算。
这个概算是在项目初期进行的,用于评估和决策项目的可行性和预算控制。
以下是进行初步设计概算的一般步骤:
1. 确定项目需求和要求:了解项目的功能、规模、用途以及其他特殊要求。
2. 进行初步设计:根据项目需求和要求,制定初步设计方案。
3. 决定建筑材料和构造:根据设计方案,决定使用的建筑材料和构造方法。
4. 分析和计算建筑量:根据设计方案和选定的材料,计算建筑的实际量(如墙体面积、楼板面积、屋顶面积等)。
5. 估算单价:根据材料和劳务市场的情况,估算每个单位的价格(如每平方米的砖块价格、每平方米的油漆工程价格等)。
6. 计算总造价:将建筑量与单价相乘,得出各项工程的预算。
7. 添加其他费用:除了建筑本身的造价之外,还需要考虑一些其他费用,如设计费、监理费、税费等。
8. 进行预算控制:根据项目预算和要求,对造价进行调整和优化,确保在可接受范围内。
需要注意的是,初步设计概算只是一个估算和预测,实际
造价还会受到很多因素的影响,如市场变动、施工进度等。
因此,在项目进行中可能需要进行多次概算和预算的调整。
第1篇一、项目背景某市新建一座商业综合体项目,总建筑面积为10万平方米,包括地上5层、地下2层。
项目包括商业、办公、酒店和地下车库等功能区域。
为了确保项目顺利实施,我们需要对整个工程进行详细的概预算编制。
二、工程概况1. 地上建筑:包括商业、办公和酒店三个区域,总建筑面积为6.5万平方米。
2. 地下建筑:包括地下车库和设备用房,总建筑面积为3.5万平方米。
3. 主要结构:框架-剪力墙结构,抗震设防烈度为7度。
4. 工程造价:根据市场行情和项目特点,预计工程造价为5亿元。
三、概预算编制1. 工程量计算(1)地上建筑:主要包括土建工程、装饰装修工程、电气工程、给排水工程、暖通空调工程等。
(2)地下建筑:主要包括土建工程、装饰装修工程、电气工程、给排水工程、暖通空调工程、消防工程等。
2. 材料价格查询(1)根据市场行情,查询各类建筑材料、设备、安装工程等价格。
(2)结合项目特点,确定材料价格。
3. 人工费计算(1)根据工程特点和施工工艺,确定各类人工工种及工资标准。
(2)计算人工费。
4. 施工机械费计算(1)根据工程特点和施工工艺,确定各类施工机械及设备。
(2)计算施工机械费。
5. 管理费计算(1)根据工程特点和施工工艺,确定各类管理费用。
(2)计算管理费。
6. 利润及税金计算(1)根据国家相关政策,确定利润及税金。
(2)计算利润及税金。
四、概预算结果根据以上计算,本项目概预算如下:1. 地上建筑概预算:2.5亿元。
2. 地下建筑概预算:1.5亿元。
3. 工程总概预算:4亿元。
4. 利润及税金:5000万元。
5. 工程总概预算(含利润及税金):4.5亿元。
五、总结通过对本项目的工程施工概预算编制,我们可以明确项目投资规模、工程量、材料价格、人工费、施工机械费、管理费、利润及税金等关键指标。
这有助于项目管理者合理控制工程成本,确保项目顺利实施。
同时,为项目融资、招标、合同签订等环节提供有力支持。
第2篇一、项目背景某市某区一住宅小区项目,占地面积约10万平方米,总建筑面积约20万平方米,包含住宅、商业、地下车库等配套设施。
铁路工程概算案例咱就说有这么一个铁路工程,从A城到B城,这可不是个小工程啊。
一、工程概况。
这条铁路全长大概200公里,中间还设了好几个站点呢。
有那种大型的中转枢纽站点,也有一些小的停靠站,方便沿线的居民出行。
二、工程费用的大头土地征用与拆迁补偿。
首先呢,这铁路得有地儿建对吧。
沿着这200公里的线路,有些地方是农田,有些地方是居民的房子啥的。
为了让铁路顺利通过,就得跟老乡们商量征地的事儿。
比如说,有一块10亩的农田,按照当地的地价,每亩得补偿个5万块钱,这一下就是50万没了。
还有些居民的房子,这拆迁补偿就更复杂了。
有的房子大,有的房子装修得好,得请专业的评估人员来评估。
像老李家那两层小楼,又新又漂亮,评估下来拆迁补偿得给个80万。
这一路算下来,光是土地征用和拆迁补偿,就花了差不多3000万。
这可真是一笔不小的开支啊,就像你要去人家家里做客,还得先给人家一笔“入场费”似的。
三、路基工程费用。
接下来就是路基工程了。
这就好比是铁路的地基,得打得稳稳当当的。
路基工程包括挖土方、填土方,还有一些加固处理。
就说挖土方吧,这么长的铁路线,得挖好多好多土。
雇了好多工程车和挖掘机,那挖掘机的大铲子一挥,“哐哐”地挖土。
按照工程量算下来,每立方米挖土的成本是30元,总共要挖50万立方米的土,这挖土方就得花1500万。
填土方也不简单呢。
有些地方地势低,得把土填起来。
这填土还得有讲究,不是随便填填就行的,得一层一层压实,保证质量。
每立方米填土算上运费、压实的费用啥的,大概是50元。
总共要填30万立方米的土,这填土方的费用就是1500万。
还有路基的加固处理,像一些软土地基,得打桩啊、做一些特殊的处理。
这部分费用又花了2000万。
所以这路基工程总共的费用就是1500 + 1500 + 2000 = 5000万。
四、轨道工程费用。
轨道可是铁路的关键部分啊,就像火车的“专用跑道”。
钢轨的采购就是一大笔钱。
这钢轨得质量好啊,毕竟火车那么重,在上面跑来跑去的。
初步设计概算范文初步设计概算是在建筑或工程项目初步设计阶段,通过对项目的设计方案、规模、功能、造价等进行评估和分析,估算项目所需的基本投资费用和造价,为后续的工程建设和实施提供合理的经济预算依据。
以下是一个超过1200字的初步设计概算的例子:1.项目背景介绍项目名称:XXX商业综合体建设项目项目地点:XXX市区南部2.设计方案本项目拟采用商业综合体的设计方案,包括商业中心、办公楼和公寓楼三个主要功能区。
商业中心主要包括商场、超市、餐饮区等,办公楼主要用于租赁给企业办公,公寓楼主要用于出租给个人居住。
3.设计概算内容3.1土建工程部分项目土地平整费用:根据用地面积和土方开挖量,估算土地平整费用为XXX万元。
主体建筑费用:根据建筑面积和建筑造价指标,按每平方米XXX万元计算,预计主体建筑费用为XXX万元。
装饰装修费用:根据建筑面积和装饰装修费用指标,按每平方米XXX 万元计算,预计装饰装修费用为XXX万元。
3.2安装工程部分机电设备费用:根据设备种类和数量,预计机电设备费用为XXX万元。
给排水设备费用:根据设备种类和数量,预计给排水设备费用为XXX万元。
消防设备费用:根据设备种类和数量,预计消防设备费用为XXX万元。
通风设备费用:根据设备种类和数量,预计通风设备费用为XXX万元。
3.3基础设施部分道路改建费用:根据道路长度和改建标准,预计道路改建费用为XXX万元。
停车场建设费用:根据停车位数和建设标准,预计停车场建设费用为XXX万元。
绿化美化费用:根据绿化面积和美化费用标准,预计绿化美化费用为XXX万元。
3.4其他费用文化宣传费用:根据项目宣传需要,预计文化宣传费用为XXX万元。
4.总费用根据以上各项费用的估算值,计算总费用为XXX万元。
5.经济分析根据项目总费用和预计年租金收入,计算投资回收期和利润率,并进行经济可行性分析。
根据初步预算,预计项目的投资回收期为X年,利润率为X%。
总结:本初步设计概算对XXX商业综合体建设项目按照设计方案和项目规模进行了初步的费用估算,为后续的工程建设和实施提供了合理的经济预算依据。
初步设计概算1. 背景在进行项目开发或工程建设前,通常需要进行初步设计概算,以确定项目的预算范围和资金需求,为后续的实施阶段提供参考依据。
初步设计概算是根据已有的设计方案和相关数据,对项目的各项工程量和费用进行估算和预测。
本文将介绍初步设计概算的步骤和要点,并提供相关的计算公式和实例计算。
2. 步骤2.1 收集工程量数据在进行初步设计概算之前,需要首先收集项目所涉及的各项工程量数据,包括土建工程、设备安装、物料采购等方面的数据。
可以根据已有的设计方案和相关资料,结合实地勘察和测量,确定各项工程量。
2.2 估算单价和费用根据收集的工程量数据,需要对各项工程的单价进行估算,以确定每项工程的费用。
单价估算可以参考历史数据、市场行情和专业人士的建议。
根据单价和工程量,可以计算出各项工程的费用。
2.3 汇总和总计在完成各项工程的费用估算后,需要对各项费用进行汇总和总计。
可以按照工程的类型、性质或其他方式,将各项费用进行分类汇总,并计算出总体的费用预算。
2.4 编制初步设计概算报告最后,需要将以上的步骤和计算结果整理成初步设计概算报告。
报告应包括项目的基本信息、工程量数据、费用估算、汇总和总计等内容。
报告的格式可以采用Markdown文本格式,以便于阅读和分享。
3. 计算公式和实例计算以下是一些常用的计算公式和实例计算,供初步设计概算时参考:3.1 工程量估算公式•土建工程量估算公式:总工程量 = 长度 × 宽度 × 高度•设备安装工程量估算公式:总工程量 = 设备数量 × 设备重量•物料采购工程量估算公式:总工程量 = 物料单价 × 物料数量3.2 费用估算公式•土建工程费用估算公式:总费用 = 单价 × 总工程量•设备安装费用估算公式:总费用 = 单价 × 总工程量•物料采购费用估算公式:总费用 = 单价 × 总工程量以下是一个实例计算:假设某项目的土建工程长度为50米,宽度为10米,高度为5米,单价为200元/米,设备数量为100台,设备重量为50吨,设备安装费用单价为500元/吨。
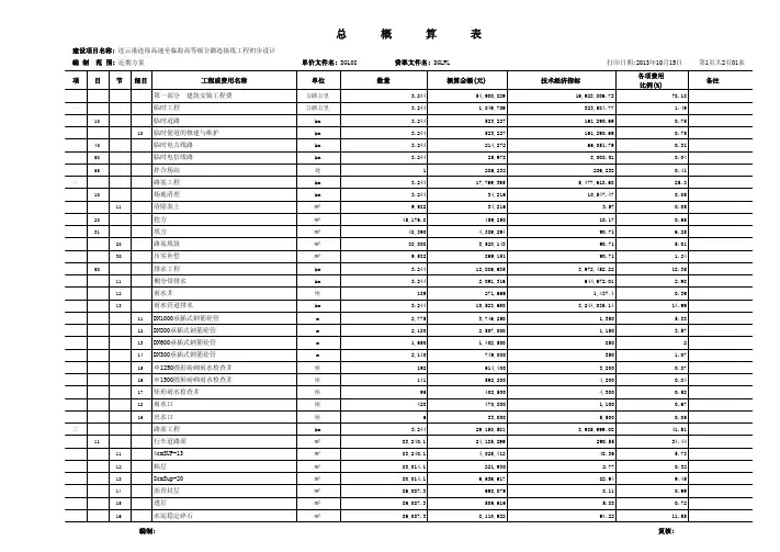
重庆江北港城工业园区码头工程
初步设计概算
1 概算编制说明
1.1 概述
工程位于江北区唐家沱至寸滩间,长江左岸。
拟建2个3000吨级泊位。
设计方案一为半直立半斜坡式,设计方案二为斜坡式缆车方案。
推荐方案为一方案,概算工投资为10129.53万元。
1.2
1.3 主要依据和原则
编制规定;采用定额;人工工资;取费标准(考虑100公里以内的施工队伍进退场费及企业管理费);材料设备价格;土地征用及拆迁补偿费。
1.4 资金来源及构成情况
2 编制成果
总概算表
单位工程概算表等等
主要材料价格表
注:砼(定额配合比仅有中粗砂)采用特细砂,水泥价格上浮12%。
总概算表/一、工程费用/(一)主体工程
单位工程概算表/一、港池开挖二类工程
单位工程概算表/二、陆域形成 1. 大型土石方二类工程
(注:本资料素材和资料部分来自网络,仅供参考。
请预览后才下载,期待您的好评与关注!)。
初步设计概算超可研投资估算原因分析摘要:随着市场经济的快速发展,政府投资项目的数量及规模日益增大,建设项目投资超标的现象也不断增加。
而在建设工程中,容易出现工程初步设计概算超过已批复的可研投资估算,概算超过批复可研估算的10%以上就需要重新申报可研。
以下将结合实例项目进行超可研投资的原因分析,希望通过分析,可以在后续项目可研投资估算的编制过程中,关注到一些关键点问题,同时在初步设计阶段,尽可能地优化设计,做好投资控制工作。
关键词:可研投资估算,初步设计概算,建设投资1工程概况某科研教学楼项目总建筑面积29 715.11 m2,地上面积9 511 m2,地下面积20 204.11 m2,建筑基底面积为2 785.41 m2。
地上5层,地下4层。
建筑高度24 m/-21 m。
项目设置下沉庭院,设置窗井为4层深。
根据项目规划,本项目配建的人防工程6 075.76 m2。
项目以科研教学实验,科研教学办公,科研教学管理服务等用房为主要的功能空间与布局,地下结合人防设施为实验室、公共交流空间及机电设备用房等功能。
2初步设计概算与可研估算对比表情况项目的初步设计概算编制完成后,与可研投资估算进行对比(各专业的对比数据详见表1)。
表1中各专业的投资规模各有增减,但单体建安投资费用增加比例较高,达到35.43%。
表1投资规模对比分析表3初步设计概算超可研估算原因分析依据表1数据对初步设计概算超可研估算的主要原因进行分析可以看出,其中建筑面积的增加、基坑支护及降水项是主要增加项,增加额合计为6 216.99万元(见表2),占到单体建安投资增加额的较大比重。
以下将结合本项目的特点,分析各专业差异产生的主要原因。
表2主要增加项分析3.1建设规模的调整从表2可看出,可研批复面积为28 245 m2,初步设计阶段的面积调整为29 515.11 m2,增加1 470.11 m2,增加的面积均为地下面积。
依据可研批复的地下面积单方指标,因增加面积导致投资增加1 226.81万元。
建筑单位工程设计概算编制实例一、概算定额法某市拟建一座12000m2教学楼,请按给出的工程量和扩大单价表1-1编制出该教学楼土建工程设计概算造价和平方米造价。
企业管理费费率为人工、材料、机械费用之和的15%,利润为人工、材料、机械费用与企业管理费之和的8%,增值税税率为10%。
注:表中价格的人、材、机费用,均不含管理费、利润、增值税。
解:根据已知条件和表1-1数据及扩大单价,求得该教学楼土建工程概算造价如表1-2所示。
二、概算指标法新建职工宿舍一座,其建筑面积为3500m2,按当地概算指标手册查出同类土建工程单位造价880元/m2(其中人、材、机费为650元/m2),采暖工程95元/m2,给排水工程72元/m2,照明工程180元/m2。
但新建职工宿舍设计资料与概算指标相比较,其结构构件有部分变更。
设计资料表明,外墙为1.5砖外墙,而概算指标中外墙为1砖墙。
根据概算指标手册编制期采用的当地土建工程预算价格,外墙带形毛石基础的预算单价为425.43元/m3,1砖外墙的预算单价为642.50元/m3,1.5砖外墙的预算单价为662.74元/m3;概算指标中每100m2中含外墙带形毛石基础为3m3,1砖外墙14.93m3。
新建工程设计资料表明,每100m2中含外墙带形毛石基础4m3,1.5砖外墙为22.7m3。
根据当地造价主管部门颁布的新建项目土建、采暖、给排水、照明等专业工程造价综合调整系数分别为:1.25、1.28、1.23、1.3。
试计算:每平方米土建工程修正概算指标,该新建职工宿舍设计概算金额。
解:(1)土建工程结构变更人、材、机费用修正指标计算,如表2-1所示。
土建工程单位面积人、材、机费用修正指标:650-108.69+167.46=708.77(元/m2)(2)每平方米土建工程修正概算指标:708.77×880/650×1.25=1199.46(元/m2)(3)该新建职工宿舍设计概算金额:(1199.46+95×1.28+72×1.23+180×1.30)×3500=5752670(元)三、类似工程法新建一幢教学大楼,建筑面积6000m2,根据下列类似工程施工图预算的有关数据,试用类似工程预算编制概算。
史上最正规初步设计概算编制模板一、引言初步设计概算编制是建设项目开展前的重要环节,旨在对项目进行初步规划和预算,为项目的顺利实施提供参考依据。
本文将介绍史上最正规的初步设计概算编制模板,以帮助各位项目经理和设计人员进行高效准确的预算工作。
二、项目信息1.项目名称:(填写项目的名称)2.项目地点:(填写项目所在地)3.项目范围:(简要描述项目的范围)三、项目概述1.项目目标:(明确项目的主要目标)2.项目背景:(解释项目的背景和动机)3.项目需求:(列举项目的主要需求和功能)四、设计概述1.设计原则:(总结项目的设计原则和理念)2.设计要素:(列举项目的主要设计要素)3.设计方案:(描述项目的主要设计方案)五、工程数量1.建筑面积:(填写项目的总建筑面积)2.建筑数量:(列举项目的建筑数量)3.房间数量:(填写各建筑的房间数量)4.设备数量:(列举项目需要的主要设备数量)5.劳动力数量:(估算项目所需的劳动力数量)六、资源投入1.人力资源:(详细说明项目所需的各类人力资源及其费用)2.材料资源:(列举项目所需的主要材料及其费用)3.设备资源:(明确项目所需要的主要设备及其费用)4.资金资源:(估算项目的全部投资额)七、成本估算1.工程造价:(根据项目的资源投入和工程数量计算工程造价)2.设备费用:(根据项目所需的设备数量和设备资源计算设备费用)3.人力成本:(根据劳动力数量和人力资源计算人力成本)4.材料费用:(根据项目所需材料数量和材料资源计算材料费用)5.合计费用:(将以上各项费用相加得出项目的合计费用)八、质量控制1.质量要求:(明确项目的主要质量要求)2.质量控制措施:(列举项目质量控制的主要措施)3.质量保证计划:(制定质量保证计划,确保项目按时按质完成)九、风险管理1.风险识别:(列举项目的主要风险因素)2.风险评估:(评估各项风险的潜在影响和可能发生的概率)3.风险控制策略:(制定应对各项风险的策略和措施)十、项目进度1.开工日期:(确定项目的开工日期)2.完工日期:(确定项目的完工日期)3.里程碑节点:(确定项目的主要里程碑节点)十一、总结1.初步设计概算编制是项目前期的重要环节,需认真对待。
建筑工程概算案例一、案例背景。
咱就说有这么一个小型住宅建筑工程的项目,甲方爸爸想先大概知道这个房子盖起来得花多少钱,这时候就得用到工程概算啦。
这个住宅呢,是个三层小楼,建筑面积大概1500平方米。
二、工程费用概算。
# (一)基础工程。
1. 土方开挖。
这房子的基础得先挖个坑吧。
根据经验和初步测量,大概需要开挖500立方米的土方。
现在市场上土方开挖的单价,咱就算是50块钱一立方米,这一项就得花500×50 = 25000元。
2. 基础混凝土浇筑。
基础用的混凝土量大概是300立方米,混凝土每立方米的价格是400元,那基础混凝土浇筑就得花300×400 = 120000元。
基础工程总共大概就是25000+120000 = 145000元。
# (二)主体结构工程。
1. 混凝土框架结构。
这三层小楼是混凝土框架结构的。
框架柱、梁、板的混凝土量总共大约1000立方米,每立方米混凝土按400元算,这部分混凝土就得花1000×400 = 400000元。
钢筋用量呢,大概是150吨,每吨钢筋的价格是5000元,钢筋的费用就是150×5000 = 750000元。
模板的费用,按照建筑面积算,每平方米模板费用大概是50元,1500平方米就是1500×50 = 75000元。
主体结构工程中的混凝土、钢筋和模板加起来就是400000 + 750000+75000 = 1225000元。
# (三)砌筑工程。
1. 砖墙砌筑。
外墙和内墙的砌筑量大概是800立方米,每立方米砖砌体的材料和人工费用大概是300元,那砖墙砌筑就得花800×300 = 240000元。
# (四)屋面及防水工程。
1. 屋面工程。
屋面面积大概500平方米,用的屋面瓦每平方米100元,屋面瓦就得花500×100 = 50000元。
保温隔热材料,大概需要20立方米,每立方米800元,保温隔热材料费用就是20×800 = 16000元。
一、案例分析目的:通过该案例使学员撑握概算的编制方法。
二、案例背景: 2*600MW扩建燃煤发电机组,建设地点天津,我公司承包一台机汽轮发电机基础工程量为4900M3,设计含筋为156KG/M3(不包括措施用钢筋及损耗,按6%计算),基础垫层为82M3.计算该汽机基础的概算造价。
(1)计算钢筋工程量及需调整量:4900*156/1000=764T764*(1+6%)=810T定额钢筋含量:4900*137.487/1000=674T需调整工程量为:810-674=136T(2)定的工程量套定额(3)取费三、讨论问题:1、如何编制正确的概算2、费率如何取定3、依据预规正确归项四、案例讲评要点:1、本案例中的垫层是干扰项,这就要求大家熟知概算定额子项包含的内容,避免重复计算或漏算。
汽机基础定额中已包含垫层费用,计算工程量时只计算设备基础的体积。
2、对于钢筋要注意实际钢筋超出定额含量时,要另计算超出工程量的费用。
并且钢筋工程量的计算要与定额包含内容一致。
即包括结构钢筋、构造钢筋、措施钢筋、钢筋连接用量。
3.取费时要注意费用之间的逻辑关系、计算基础、相对于各专业应计取的费用项目。
本案例为建筑工程热力系统设备基础,特殊工程技术培训费不计取,天津不属于特殊地区定义范围,不计取特殊地区施工增加费。
另以费率计取的项目除利润和税金外均以直接工程费为基数计算,不要与安装工程以人工费为基数计取混淆。
五、总结要点:1、在编制概算时要首先搜集初步设计的相关资料及图纸、变更的相关资料等。
2、熟知概算定额每一子项目包含的工作内容及工程量计算规则。
3、掌握编制的流程;4、找出初步设计与施工图概算的差异,做好记录为索赔做准备。
5、要对施工图概算与投标报价做比较分析找出差异,分析原因,寻找索赔点。
6、工程量计算要准确。
7、费用的取定要准确。
8、掌握预规项目划分。
初步设计概算书(一)、工程概况:本工程为“锦泰嘉苑”住宅小区,用地位于甘肃省临夏州积石山县,其北侧为学校,东侧为新寺街及民房,南面是北滨河路及河道,西侧为民房。
本建设工程,总建筑面积为37366.39平方米。
所有住宅楼均为筏板基础,1#~3#楼为框剪构造。
建筑类别:住宅楼为二类高层建筑。
耐火等级为二级(地下室为一级)。
设计使用年限为50年;抗震设防烈度七度。
墙体:外墙为钢筋砼及空心砖,外贴90厚岩棉板,内墙为200厚空心砖和100厚多孔砖,电梯筒及楼梯间部分采用钢筋砼墙体。
本工程屋面为70厚挤塑聚苯板,2道4厚SBS 防水卷材;楼地面为水泥砂浆,卫生间地砖楼地面;住宅内门采用木质板门,入户门为三防门,管道井旳门为防火门,窗为中空玻璃铝合金窗。
内外墙面刷涂料。
给水采用铝塑复合管,热熔连接;消防管道用焊接钢管,刷油保温;排水采用铸铁排水管,卡箍连接;采暖采用集中供暖,户内为RPAP管构成旳地暖管,主管道采用焊接钢管,刷油保温;电气分为强电、弱电及消防用电;重要照明灯具为白炽灯、荧光灯、吸顶灯、防水灯、导线管钢管。
室外马路为砼路面。
概算总投资5715.09万元。
为自筹资金。
(二)、编制根据:1、根据本院初步设计图纸;2、采用定额;1)、甘肃省建筑工程概算定额地区基价();2)、甘肃省安装工程概算定额地区基价();3)、甘肃省预算材料价格汇编();4)、本工程取费原则:住宅楼按二类取费,地下汽车库、商铺、室外工程按三类取费。
(三)、编制措施:采用工程量定额编制法编制。
(四)、编制范围:包括建筑、构造、采暖、给排水、电气及消防、通风、电梯设备及室外工程。
(五)、三材用量表:(六)、其他需要阐明旳问题1、本概算建筑、安装部分设备主材价部分为市场价和指导价。
人工费部分按甘建价[]286号文献。
2、三材指标仅供参照。
3、本概算指标根据住宅楼单位工程概算表编制。
二、小区概算书建设单位:甘肃恒隆房地产开发有限企业下面是赠送旳保安部制度范本,不需要旳可以编辑删除谢谢!保安部工作制度一、认真贯彻党旳路线、方针政策和国家旳法津法规,按照####年度目旳旳规定,做好####旳安全保卫工作,保护全体人员和公私财物旳安全,保持####正常旳经营秩序和工作秩序。
建筑工程估算案例咱就说盖个小两层的住宅吧,就像那种温馨的小别墅似的。
一、基础工程估算。
1. 土方开挖。
首先得把地挖开,做基础嘛。
这房子大概长10米,宽8米,那面积就是80平方米。
按照经验呢,咱得挖个大概1米深(考虑到基础的埋深啥的)。
土方量就是面积乘以深度,80×1 = 80立方米。
现在请个小挖机来挖土方,大概每立方米20块钱(这是比较便宜的行情啦),那土方开挖这一项就得80×20 = 1600元。
2. 基础混凝土。
基础咱就做个简单的条形基础。
基础的宽度大概0.6米,长度嘛沿着房子的周长来算,(10 + 8)×2 = 36米。
那基础的体积就是0.6×36×1(高度1米,前面挖了1米深嘛) = 21.6立方米。
混凝土一方算上人工、材料啥的大概500元,这基础混凝土就得21.6×500 = 10800元。
二、主体结构工程估算。
1. 砖墙。
一层的墙高算3米吧,房子周长是36米,墙厚0.24米(普通砖墙厚度)。
那一层的墙体积就是36×3×0.24 = 25.92立方米。
两层就是25.92×2 = 51.84立方米。
砖加上砌筑的人工,一立方米大概800元,这砖墙的费用就是51.84×800 = 41472元。
2. 楼板。
每层楼板面积80平方米,两层就是160平方米。
楼板厚度咱按0.1米算。
那楼板的混凝土体积就是160×0.1 = 16立方米。
混凝土楼板每立方米算600元(包含钢筋啥的简单估算),这楼板就得16×600 = 9600元。
三、屋面工程估算。
1. 屋面防水。
屋面面积就是80平方米。
做个简单的卷材防水,一平方米大概50元,那屋面防水就是80×50 = 4000元。
2. 屋面瓦。
屋面瓦的话,同样80平方米。
普通的那种瓦一平方米算80元,这屋面瓦就得80×80 = 6400元。
编制说明一、投资范围该露天矿设计生产能力0.9Mt/a,投资范围包括设计提供的矿建工程、土建工程、设备及工器具购置及工程建设其他费用和工程预备费等全部投资。
二、编制依据1、矿建剥离工程:参照《煤炭露天剥离工程综合预算定额》并结合当地露天煤矿的实际剥离总价确定。
2、土建工程:参照《煤炭建设地面建筑工程概算指标》(99统一基价)并结合当地建筑平米造价指标确定。
3、机电设备安装工程:采用煤规字〔2000〕183号文颁发的《煤炭建设机电设备及安装工程概算指标》(99统一基价)。
4、费用指标(1)各类工程费用定额依据煤规字〔2000〕第48号文有关费用标准计取。
(2)工程建设其他费用依据煤规字〔2000〕第48号文颁发的《煤炭工程建设其他费用指标》。
5、设备价格:甲方已有设备按评概价列入,露天采剥设备采用询价,其他设备依据国家煤炭工业部颁发的《煤炭工业常用设备价格汇编》(一九九九版)。
6、材料预算价格:按当地建筑材料市场信息价计算。
7、工程预备费:按6%计取。
三、投资构成及分析根据设计提供的工程数量及上述编制依据计算,本露天矿达到设计规模0.9Mt/a时,建设项目总造价为8116.81万元,吨煤投资90.19元/吨.其中,基建剥离工程4981.45万元,土建工程526.39万元,设备及工器具购置707.48万元,安装工程248.57万元,工程建设其他费用1193.48万元,基本预备费459.44万元.建设项目总资金8440.81万元,其中铺底流动资金324万元.见投资构成及汇总分析表。
工程费用定额标准表表一单位(%)投资构成及汇总分析表矿建剥离工程概算表金额单位:元土建工程概算表土建工程概算表土建工程概算表机电设备及安装工程概算表金额单位:元机电设备及安装工程概算表金额单位:元机电设备及安装工程概算表金额单位:元机电设备及安装工程概算表金额单位:元机电设备及安装工程概算表金额单位:元机电设备及安装工程概算表金额单位:元机电设备及安装工程概算表金额单位:元机电设备及安装工程概算表金额单位:元工程建设其它费用概算表金额单位:万元主要机电设备及器材清册主要机电设备及器材清册主要机电设备及器材清册主要机电设备及器材清册主要机电设备及器材清册。
实例一(初步设计概算)
重庆江北港城工业园区码头工程
初步设计概算
1 概算编制说明
1.1 概述
工程位于江北区唐家沱至寸滩间,长江左岸。
拟建2个3000吨级泊位。
设计方案一为半直立半斜坡式,设计方案二为斜坡式缆车方案。
推荐方案为一方案,概算工投资为10129.53万元。
1.2 主要工程量
1.3 主要依据和原则
编制规定;采用定额;人工工资;取费标准(考虑100公里以内的施工队伍进退场费及企业管理费);材料设备价格;土地征用及拆迁补偿费。
1.4 资金来源及构成情况
2 编制成果
总概算表
单位工程概算表等等
主要材料价格表
注:砼(定额配合比仅有中粗砂)采用特细砂,水泥价格上浮12%。
总概算表/一、工程费用/(一)主体工程
单位工程概算表/一、港池开挖二类工程
单位工程概算表/二、陆域形成 1. 大型土石方二类工程
单位工程概算表/二、陆域形成 2. 挡墙及护坡一类工程
单位工程概算表/三、183架空平台一类工程
单位工程概算表/四、前沿工程 1.大型土石方二类工程
单位工程概算表/四、前沿工程 2. 挡墙及护坡一类工程
单位工程概算表/五、下河架空道路一类工程。