钢混复习题答案
- 格式:doc
- 大小:184.50 KB
- 文档页数:12
试卷代号:5138座位号 中央广播电视大学开放教育本科2013-2014学年度第一学期期末考试钢—混凝土组合结构试题答案及评分标准(供参考)2013年12月1、能起到传递钢材与混凝土界面上纵向剪力、即粘结力的作用;还能抵抗钢材与混凝土之间掀起作用。
2、频遇组合;准永久组合。
3、栓钉本身的弯剪破坏;栓钉附近混凝土的受压或劈裂破坏。
4、弹性方法;弹性方法。
5、受拉破坏(大偏心受压破坏);受压破坏(小偏心受压破坏)。
6、2%;15%;5%~8%。
三、简答题(每小题6分,共36分)1、如何通过功能函数Z 判别结构的工作状态?答:可按下列判别结构的工作状态:?当Z >0时,结构能够完成预定功能,表示结构处于可靠状态。
?当Z <0时,结构不能完成预定功能,表示结构处于失效状态。
?当Z=0时,表示结构处于极限状态。
2、使用阶段组合板正截面受弯承载能力验算采用了哪些假定?答:使用阶段组合板正截面受弯承载能力验算,应按塑性设计法进行,计算时采用如下基本假定:?1)极限状态时,截面受压区混凝土的应力分布图可以等效为矩形,其应力值为混凝土轴心抗压强度设计值fc。
?2)承载力极限状态时,压型钢板及受拉钢筋的应力均达到各自的强度设计值。
?3)忽略中和轴附近受拉混凝土的作用和压型钢板凹槽内混凝土的作用。
?4)完全剪切连接组合板,在混凝土和压型钢板的交界面上滑移很小,混凝土与压型钢板始终保持共同工作,截面应变应符合平截面假定。
?5)考虑到受拉区压型钢板没有保护层,而且中和轴附近材料强度不能充分发挥,对压型钢板钢材强度设计值与混凝土抗压强度设计值,均乘以折减系数。
3、采用塑性分析方法计算完全抗剪连接组合梁抗弯承载力时,采用了哪些假定?答:采用塑性分析方法计算完全抗剪连接组合梁正弯矩区抗弯承载力时,采用以下计算假定:1)混凝土板与钢梁间有足够的抗剪连接件,抗剪连接件的破坏不会先于钢梁的屈服和混凝土压碎。
2)组合梁截面应变分布符合平截面假定。
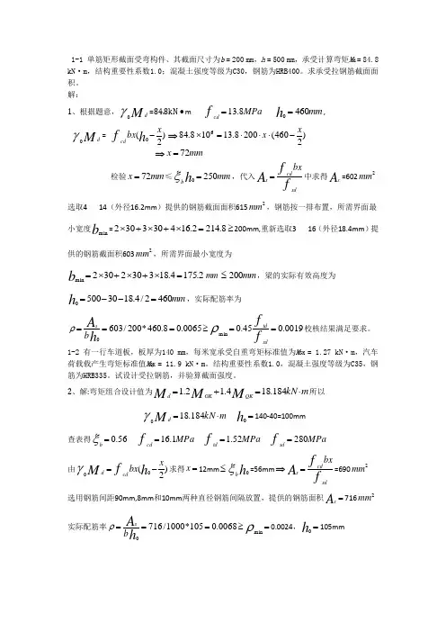
1-1 单筋矩形截面受弯构件、其截面尺寸为b = 200 mm ,h = 500 mm ,承受计算弯矩M d = 84.8 kN ·m ,结构重要性系数1.0;混凝土强度等级为C30,钢筋为HRB400。
求承受拉钢筋截面面积。
解:1、根据题意,Mdγ0=84.8kN •mMPa fcd8.13=mm h4600=,M dγ0= )2(0x bx h f cd -⇒)2460(2008.13108.846x x -⋅⋅⋅=⨯ ⇒mm x 72=检验mm x 72=≤mm hb2500=ξ,代入ffA sdcds bx=中求得A s=6022mm选取4 14(外径16.2mm )提供的钢筋截面面积6152mm ,钢筋按一排布置,所需界面最小宽度bmin=8.2142.164303302=⨯+⨯+⨯≥200mm,重新选取3 16(外径18.4mm )提供的钢筋截面积6032mm ,所需界面最小宽度为2.1754.183302302min=⨯+⨯+⨯=bmm ≤mm 200,梁的实际有效高度为mm h4602/4.18305000=--=,实际配筋率为0019.045.00065.08.460*200/603min==≥===ff hAsdtd s b ρρ校核结果满足要求。
1-2 有一行车道板,板厚为140 mm ,每米宽承受自重弯矩标准值为M GK = 1.27 kN ·m ,汽车荷载载产生弯矩标准值M QK = 11.9 kN ·m 。
结构重要性系数1.0,混凝土强度等级为C35,钢筋为HRB335。
试设计受拉钢筋,并验算截面强度。
2、解:弯矩组合设计值为m kN M M MQK GK d⋅=+=184.184.12.1所以m kN Md⋅=184.180γ=h140-40=100mm查表得56.0=ξbMPa fcd1.16=MPa ftd52.1=MPa fsd280=由)2(00xbx h fMcd d-=γ求得=x 12mm ≤h b 0ξ=56mm ⇒ffA sdcds bx==6902mm选用钢筋间距90mm,8mm 和10mm 两种直径钢筋间隔放置,提供的钢筋面积=As7162mm实际配筋率=≥===ρρmin0068.0105*1000/716hAb s 0.0024,=h 0105mm验算:=x bf A f cdssd =12.5mm ,=M du )2(0xbx h fcd -=19.9kN>18.18kN.1-3 有一矩形截面悬臂根部截面所承算弯矩M d = 30 kN ·m ,结构重要性系数1.0;截面尺寸b = 180 mm ,h = 350 mm ;混凝土强度等级为C40,钢筋为HRB400。
钢筋混凝土习题答案一、单选题1. 钢筋混凝土结构中,钢筋的主要作用是什么?- A. 提供抗压强度- B. 提供抗拉强度- C. 增加结构的美观性- D. 减少混凝土的使用量答案:B2. 钢筋混凝土梁在受力时,为什么需要设置弯起钢筋?- A. 为了增加梁的重量- B. 为了提高梁的抗弯能力- C. 为了美观- D. 因为规范要求答案:B二、简答题1. 简述混凝土的抗压强度和抗拉强度的特点。
- 混凝土是一种脆性材料,具有很高的抗压强度,但抗拉强度相对较低。
在受力过程中,混凝土主要承受压力,而钢筋则用来承受拉力,两者共同工作以提高结构的承载能力。
2. 钢筋混凝土结构设计时,为什么要进行裂缝宽度的控制?- 裂缝宽度的控制是为了确保结构的耐久性和安全性。
过大的裂缝可能导致钢筋腐蚀,影响结构的承载力和使用寿命。
通过控制裂缝宽度,可以保证结构在正常使用条件下的性能。
三、计算题1. 某简支梁的跨度为6米,承受均布荷载为10 kN/m,混凝土强度等级为C30,钢筋采用HRB400。
试计算该梁的截面尺寸和所需钢筋面积。
- 首先,根据均布荷载和跨度,计算梁的最大弯矩:\( M =\frac{qL^2}{8} \),其中 \( q = 10 \) kN/m,\( L = 6 \) m。
- 然后,根据混凝土和钢筋的强度,选择合适的截面尺寸,计算所需钢筋面积。
假设采用T形截面,截面尺寸需满足最小配筋率要求,并进行抗弯承载力验算。
2. 设计一矩形截面柱,承受轴心压力为2000 kN,混凝土强度等级为C40,钢筋采用HRB500。
求柱的截面尺寸和所需钢筋面积。
- 根据轴心压力和混凝土、钢筋的强度,使用轴心受压构件的设计公式,计算柱的截面尺寸。
- 根据计算出的截面尺寸,确定所需纵向钢筋和横向钢筋的面积,确保满足最小配筋率和构造要求。
结束语钢筋混凝土结构设计是一个综合性强、要求精确的工程领域。
通过不断的学习和实践,可以更好地掌握钢筋混凝土结构的设计原理和计算方法,为建筑安全和工程质量提供保障。
习题辅导1.什么是钢-混凝土组合梁?答:钢-混凝土组合梁是指通过抗剪连接件将钢梁与混凝土板连成整体而共同工作的抗弯构件。
2.钢-混凝土组合梁混凝土翼缘的有效宽度是如何定义的?答:所谓有效宽度就是在这个宽度范围内,板中正应力均匀分布且其值等于混凝土板中应力的最大值,并且其合力等于实际应力分布情况下的合力。
3.什么是换算截面法?答:就是根据钢材和混凝土的弹性模量比将混凝土截面换算成钢截面来计算组合梁的变形。
4.何为组合梁的剪力连接度?答:设剪力连接件的抗剪能力等于组合梁交界面剪力时所需的剪力连接件数目为N f,最大弯矩截面到零弯矩截面的全部剪力连接件数目为N,则剪力连接度就等于N/N f。
5.按抗剪连接程度的高低组合梁可以分为哪两种?答:完全剪力连接组合梁和部分剪力连接组合梁。
6.在我国规范中规定组合梁的抗剪连接度应大于多少答:0.57.在组合梁的弹性分析法中,采用了哪些假定?答:1)钢材和混凝土均为理想的弹性体2)钢筋混凝土板与钢梁之间的滑移忽略不计,符合平截面假定3)混凝土板按实体面积计算,不考虑开裂影响4)不考虑混凝土板中的钢筋8.钢梁屈服时,组合梁的裂缝宽度计算应按哪种理论计算?答:弹性理论。
9.连续组合梁的内力分析,可以采用哪两种计算方法?答:弹性计算方法和塑性计算方法。
10.组合梁的变形均按哪种理论进行分析?答:弹性理论。
11.栓钉的主要作用是什么?答:主要是传递钢梁和混凝土板之间的纵向剪力。
12.采用栓钉作为组合梁的剪力连接件时,栓钉的极限承载力随栓钉直径,抗拉强度和混凝土强度等级的变化关系。
答:栓钉相对较弱时,极限承载力随栓钉直径和栓钉的抗拉强度增加而提高混凝土板相对较弱时,极限承载力随栓钉直径和砼强度等级增加而增加13.确定连接件受剪承载力的试验方法有哪些?答:有推出试验和梁式实验。
14、组合梁剪力连接设计的临界截面有哪些?答:1) 弯矩和竖向剪力最大处2) 所有的支点及零弯矩截面3) 很大的集中荷载作用下的截面4) 组合梁截面的突变处5)悬臂梁的自由端6)需做附加验算的其它截面15.我国现行规范中计算组合梁的弹性挠度时采用刚度折减法,其对刚度的折减是考虑了什么因素对梁挠度的增加效应来进行折减的?答:滑移16.组合梁的截面抗弯刚度沿着梁的跨度方向是发生变化的么?答:是变化的,支座处和集中荷载作用处最小。
练 习一、单项选择题1.混凝土在下列何种受力情况下强度会降低: ( )A 两向受压B 两向受拉C 一拉一压D 三向受压2.混凝土各种强度指标由大到小的次序为: ( )3.结构的 是:结构在规定的时间内,在规定的条件下,完成预定功能的能力 ( )A 安全性B 适用性C 耐久性D 可靠性4.受弯构件斜截面承载力计算公式是以 为依据的。
( )A 斜拉破坏B 剪压破坏C 斜压破坏D 斜弯破坏5.正截面承载力计算中采用等效矩形应力图形,其确定原则为:( )A.保证压应力合力的大小和作用点位置不变B.矩形面积=c f x 1α曲线面积,a x x 8.0=C.由平截面假定确定a x x 8.0=D.保证拉应力合力的大小和作用点位置不变6.大、小偏心受压破坏的根本区别在于,当截面破坏时 ( )A 受压钢筋是否能达到钢筋的抗压屈服强度B 受拉钢筋是否能达到钢筋的抗拉屈服强度C 受压混凝土是否被破坏D 受拉混凝土是否被破坏7.为设计上的便利,GB50010-2002规定,对于四边支承的板, ( )为单向板。
A 212≤l l B 212>l l C 213l l < D 213l l ≥ 8.受弯构件正截面承载力中,对于双筋截面,下面哪个条件可以满足受压钢筋的屈服。
( )A 0h x b ξ≤B 0h x b ξ>C '2s a x ≥D '2s a x < 9.混凝土保护层厚度是指 ( ) A 最外层钢筋的外边缘至混凝土表面的最小距离B 箍筋外表面至混凝土表面的垂直距离C 受力钢筋形心至混凝土表面的垂直距离D 受力钢筋合力点至混凝土表面的垂直距离10.由相关曲线可以看出,下面观点不正确的是: ( )A 小偏心受压情况下,随着N 的增加,正截面受弯承载力随之减小B 大偏心受压情况下,随着N 的增加,正截面受弯承载力随之减小C 界限破坏时,正截面受弯承载力达到最大值D 对称配筋时,如果截面尺寸和形状相同,混凝土强度等级和钢筋级别也相同,但配筋数量不同,则在界限破坏时,受压承载力相同11. 混凝土强度等级按照 确定。
长安大学土木工程专业《钢与混凝土组合结构》课程练习题第一部分(答案)一、填空题1. 抗剪连接件2. 刚性柔性3. 拉压4. 0.5mm0.75mm5. 钢板混凝土板6. 压型钢板组合板7. 50mm 75mm8. 纵向剪切垂直剪切9. 水平滑移竖向掀起10 全截面塑性塑性变形11. 斜压破坏剪压破坏剪切粘结破坏12. 良好的耐火性能13. 承载能力变形能力二、单项选择题1、C2、A3、C4、D5、C6、C7、D8、B9、B三、简答题1.答:优点:钢-混凝土组合结构可充分利用了钢(抗拉)和混凝土(抗压)的各自的材料性能,具有承载力高、刚度大、抗震性能和动力性能好、构件截面尺寸小、施工快速方便等优点。
钢-混凝土组合结构可以广泛应用于多层及高层房屋、大跨结构、高耸结构、桥梁结构、地下结构、结构改造及加固等。
同时,组合结构还非常适用于斜拉桥、悬索桥等大跨桥梁结构体系。
2.答:影响混凝土翼板有效宽度的主要因素有:梁跨与翼板宽度之比L/b;荷载类型;沿梁长度方向的位置;翼板厚度;抗剪连接程度以及混凝土翼板和钢梁的刚度比等,其中前三点是主要的影响因素。
3.答:1) 栓钉连接件钉头下表面或槽钢连接件上翼缘下表面宜高出翼板底部钢筋顶面30mm 。
2) 连接件的纵向最大间距不应大于混凝土翼板(包括托板)厚度4倍,且不大于400mm 。
3) 连接件的外侧边缘与梁翼边缘之间的距离不应小于20mm 。
4) 连接件的外侧边缘至混凝土翼板边缘之间的距离不应小于100mm 。
5) 连接件顶面的混凝土保护层厚度不应小于15mm 。
4.答:应采取如下的一种或几种措施1) 在压型钢板上设置压痕,以增加叠合面上的机械粘结。
2) 改变压型钢板截面形式,以增加叠合面上的摩擦粘结。
3) 在压型钢板上翼缘焊接横向钢筋。
4) 在压型钢板端部设置栓钉连接件,增加组合板端部锚固,通常与措施1、2、3组合使用。
5.答:1) 当仅考虑压型钢板时组合板的承载力不满足设计要求时,应在板内混凝土中配置附加的抗拉钢筋。
钢筋混泥土考试题及答案钢筋混凝土考试题及答案一、单项选择题(每题2分,共20分)1. 钢筋混凝土结构中,钢筋的主要作用是()。
A. 提供抗压强度B. 提供抗拉强度C. 提供抗剪强度D. 提供抗弯强度答案:B2. 混凝土的抗压强度等级通常用()表示。
A. CB. FC. PD. S答案:A3. 钢筋混凝土梁的受力特点中,以下说法正确的是()。
A. 受压区混凝土承担全部压力B. 受拉区钢筋承担全部拉力C. 受压区混凝土和受拉区钢筋共同承担压力D. 受拉区混凝土和受压区钢筋共同承担拉力答案:B4. 混凝土的耐久性主要取决于()。
A. 强度B. 密实度C. 骨料D. 配合比答案:B5. 钢筋混凝土柱的轴心受压承载力计算公式为()。
A. N = f_c * A_cB. N = f_y * A_sC. N = f_c * A_c + f_y * A_sD. N = f_y * A_c + f_c * A_s答案:C6. 混凝土的徐变是指在持续不变的荷载作用下,混凝土随时间()。
A. 发生弹性变形B. 发生塑性变形C. 发生蠕变D. 发生脆性破坏答案:C7. 钢筋混凝土梁的受弯承载力计算中,以下哪个参数是不需要考虑的()。
A. 混凝土的抗压强度B. 钢筋的抗拉强度C. 混凝土的抗拉强度D. 梁的截面尺寸答案:C8. 混凝土的抗渗等级用()表示。
A. WB. SC. PD. F答案:A9. 钢筋混凝土结构中,钢筋的保护层厚度的主要作用是()。
A. 防止钢筋锈蚀B. 提高结构的美观性C. 增加结构的重量D. 增加结构的刚度答案:A10. 混凝土的抗冻等级用()表示。
A. FB. DC. SD. W答案:B二、多项选择题(每题3分,共15分)1. 钢筋混凝土梁的受力特点包括()。
A. 受压区混凝土承担压力B. 受拉区钢筋承担拉力C. 受压区钢筋承担压力D. 受拉区混凝土承担拉力答案:A, B2. 影响混凝土强度的因素包括()。
5.方茴说:“那时候我们不说爱,爱是多么遥远、多么沉重的字眼啊。
我们只说喜欢,就算喜欢也是偷偷摸摸的。
”6.方茴说:“我觉得之所以说相见不如怀念,是因为相见只能让人在现实面前无奈地哀悼伤痛,而怀念却可以把已经注定的谎言变成童话。
”7.在村头有一截巨大的雷击木,直径十几米,此时主干上唯一的柳条已经在朝霞中掩去了莹光,变得普普通通了。
8.这些孩子都很活泼与好动,即便吃饭时也都不太老实,不少人抱着陶碗从自家出来,凑到了一起。
9.石村周围草木丰茂,猛兽众多,可守着大山,村人的食物相对来说却算不上丰盛,只是一些粗麦饼、野果以及孩子们碗中少量的肉食。
1.“噢,居然有土龙肉,给我一块!”2.老人们都笑了,自巨石上起身。
而那些身材健壮如虎的成年人则是一阵笑骂,数落着自己的孩子,拎着骨棒与阔剑也快步向自家中走去。
钢筋混凝土结构练习题A 答案一. 填空题1. 钢材含碳量越高,其强度就越 高 ,其变形能力就越 差 。
2. 在钢筋混凝土结构构件中,钢筋和混凝土共同工作的基础是存在粘结作用和相近的线膨胀系数。
3. 钢筋混凝土受扭构件计算中应满足10.6 1.7stl y st yv cor A f sA f u ζ⋅⋅≤=≤⋅⋅,其中0.6ζ≤的目的是保证受扭箍筋在极限状态时屈服, 1.7ζ≤的目的是保证受扭纵筋在极限状态时屈服。
4. 受弯构件受压区混凝土应力图形的等效原则是压应力的合力不变和压应力合力作用点不变。
5. 根据功能要求,结构极限状态可分为正常使用极限状态和承载能力极限状态两大类,在按承载能力极限状态进行设计时,荷载效应及结构抗力需采用设计值。
6. 结构构件正常使用极限状态的要求主要是指在各种作用下裂缝宽度和变形值不超过规定的限值。
7.平均裂缝宽度是指受拉钢筋合力重心位置处构件的裂缝宽度。
8. 梁内配置了足够的抗弯受力纵筋和足够的抗剪箍筋、弯起筋后,该梁并不意味着安全,因为还有可能发生斜截面受弯破坏、支座锚固不足、支座负纵筋的截断位置不合理,这些都需要通过绘制材料图,满足一定的构造要求来加以解决。
习题参考答案第3章 抗弯强度理论3-1.12122332c a P P a c-=- 第4章 受弯构件4-1 in lb M n ⋅⨯=61072.1φ; 4-2 226.2in A s =; 4-3 in d 7.16=,259.4in A s =For personal use only in study and research; not for commercial use4-4 (1)in lb M n ⋅⨯=61076.1,(2)in lb M n ⋅⨯=61071.2,(3)in lb M n ⋅⨯=61080.3双筋截面:4-5 (1)in lb M u ⋅⨯=61051.2,(2)in lb M u ⋅⨯=61025.14-6 2'57.4in A s =,288.11in A s =4-7 (a )in lb M u ⋅⨯=61026.3,(b )in lb M u ⋅⨯=61021.4,(c )in lb M u ⋅⨯=61074.54-8 2'76.3in A s =,249.9in A s =4-9 (a )in lb M n ⋅⨯=61072.3,in lb M u ⋅⨯=61034.3,(b )in lb M n ⋅⨯=61098.3,in lb M u ⋅⨯=61058.3,(c )in lb M n ⋅⨯=61092.3,in lb M u ⋅⨯=61053.3 T 形截面:4-10 in lb M u ⋅⨯=61007.5;4-11 (1)in lb M u ⋅⨯=61021.2,(2)in lb M u ⋅⨯=61025.4,(3)in lb M u ⋅⨯=61044.5(4)in lb M u ⋅⨯=61055.74-12 (1)2513.0in A s =,(2)277.2in A s = 4-13 in lb M u ⋅⨯=61053.4第5章 受压构件5-1 21818in h b ⨯=⨯,则284.4in A st =; 5-2 kips P u 5.271=, in lb e P u⋅⨯=610025.1 5-3 (1)2'39.5in A A s s ==,(2)201.4in A st = 5-4 kips P u 25.140=; 5-5 kips P u 0.123=; 5-6 kips P u 0.1728=;5-7 (1)218.5in A st =,(2)232.6in A st =,(3)238.6in A st =5-8 225.4in A st = 第6章 受弯构件的延性6-1 (1)in lb M crack ⋅⨯=610743.0,in rad crack /10123.15-⨯=ϕ(2)in lb M y ⋅⨯=61085.1,in rad y /1088.85-⨯=ϕ(3)in lb M u ⋅⨯=61097.1,in rad u /101825-⨯=ϕ6-2 in lb M u ⋅⨯=61079.1,in rad u /1067.23-⨯=ϕ6-3 in lb M u ⋅⨯=61077.5,in rad u /001.0=ϕ6-4 rad total 0323.0=θ,in AB 47.3=∆第7章 受剪构件7-1 式(7.15):p s i v c 9.138=,式(7.16):p s i v c 5.126=,式(7.17):p s i v c 3.183=,式(7.17a ):p s i v c 2.229=,SL/T191-96公式:psi v c 0.226=,7-2 (a )in in s A v /0757.02=,(b )in in sA v /0619.02= 7-3 in in sA v /0181.02=; 7-4 (a )in s 09.15=,(b )in s 50.33= 7-5in L v 0866.021=θ 第8章 受扭构件8-1 不需按计算配置抗扭钢筋。
《钢筋砼与砌体结构》一、单选题1.混凝土若处于三向应力作用下,当( )。
A.横向受拉,纵向受压,可提高抗压强度B.横向受压,纵向受拉,可提高抗压强度C.三向受压会降低抗压强度D.三向受压会提高抗压强度2.规范规定的受拉钢筋锚固长度a l 为( )。
A.随混凝土强度等级的提高而增大B.随钢筋等级提高而降低C.随混凝土强度等级的提高而减少,随钢筋等级提高而增大D.随混凝土及钢筋等级提高而减小3.结构在规定时间内,在规定条件下完成预定功能的概率称为()。
A.安全度B.可靠度C.可靠性D.耐久性4.属于有明显屈服点的钢筋有()。
A.冷拉钢筋B.钢丝C.热处理钢筋D.硬钢5.能同时提高钢筋的抗拉和抗压强度的冷加工方法是()。
A.冷拉B.冷拔C.热处理D.淬火6.钢筋与混凝土能共同工作的主要原因是( )。
A.防火、防锈B.混凝土对钢筋的握裹及保护C.混凝土对钢筋的握裹,两者线膨胀系数接近D. 两者线膨胀系数接近7.结构在使用年限超过设计基准期后( )。
A.结构立即丧失其功能B.可靠度减小C.不失效D.可靠度不变8.钢材的含碳量越低,则( )。
A.屈服台阶越短,伸长率也越短,塑性越差B.屈服台阶越长,伸长率也越大,塑性越好C.强度越高,塑性越好D.强度越低,塑性越差9.规范确定k cu f ,所用试块的边长是( )。
A.150mmB.200mmC.100mmD.300mm10.指出下列关于荷载分项系数的叙述()为错误的。
γ为荷载分项系数A.Gγ用于计算活载效应的设计值B.Qγ不分场合均取1.2C.Gγ取1.4;对楼面结构,当活载标准值不小于4kN/m2时取1.3D.Q11.钢筋的屈服强度是指()。
A.比例极限B.弹性极限C.屈服上限D.屈服下限12.与混凝土梁相比,钢筋混凝土梁抵抗开裂的能力()。
A.提高不多B.提高许多C.完全相同D.不能确定13.我国现行规范是以何种概率为基础的()。
A.半概率B.全概率C.近似概率D.半经验半概率14.混凝土的弹性模量是指()。
钢筋混凝土试题及答案一、单项选择题(每题2分,共20分)1. 钢筋混凝土结构中,钢筋的主要作用是什么?A. 承受压力B. 承受拉力C. 承受剪力D. 承受弯矩答案:B2. 混凝土的强度等级是如何划分的?A. 按抗压强度B. 按抗拉强度C. 按抗剪强度D. 按抗弯强度答案:A3. 钢筋混凝土梁的受力特点是什么?A. 受压B. 受拉C. 受弯D. 受剪答案:C4. 下列哪项不是钢筋混凝土的优点?A. 耐久性好B. 耐火性好C. 抗裂性好D. 施工速度快答案:C5. 钢筋混凝土结构中,混凝土保护层的作用是什么?A. 提高混凝土强度B. 保护钢筋免受腐蚀C. 增加结构重量D. 提高结构美观答案:B二、多项选择题(每题3分,共15分)1. 钢筋混凝土结构设计时需要考虑的因素包括哪些?A. 荷载B. 材料性能C. 施工方法D. 经济成本答案:ABCD2. 钢筋混凝土梁的受力特点包括哪些?A. 受弯B. 受压C. 受拉D. 受剪答案:ACD3. 钢筋混凝土结构的耐久性主要取决于哪些因素?A. 混凝土的强度B. 钢筋的保护层厚度C. 环境条件D. 施工质量答案:BCD三、简答题(每题5分,共20分)1. 简述钢筋混凝土结构的优缺点。
答案:优点包括耐久性好、耐火性好、施工速度快;缺点包括自重较大、抗裂性差。
2. 钢筋混凝土梁在受弯时,钢筋和混凝土分别承受什么应力?答案:钢筋承受拉应力,混凝土承受压应力。
3. 钢筋混凝土结构设计时,为什么要考虑材料性能?答案:材料性能直接影响结构的承载能力、稳定性和耐久性。
4. 钢筋混凝土结构中,保护层厚度对结构性能有何影响?答案:保护层厚度过小会增加钢筋腐蚀的风险,过大会降低结构的承载能力。
四、计算题(每题10分,共20分)1. 已知一钢筋混凝土梁,截面尺寸为200mm×500mm,混凝土强度等级为C30,钢筋直径为20mm,钢筋面积为500mm²。
试计算该梁的抗弯承载力。
钢筋混凝土结构练习题一1.绘制有明显屈服点钢筋的应力应变曲线,并指出各个阶段的特征以及特征点所对应的应力名称?答:从拉伸应力-应变曲线中可以看出,应力值在a点以前,应力与应变按比例增加,其关系符合虎克定律,a点对应的应力称为比例极限;过a点以后,应变增长速度比应力快,到达b点后钢筋开始流塑,进入屈服阶段,b点称屈服上限点,它与加载速度、断面形式、试件表面光洁度等因素有关,故显不稳定状态。
过了b点后,应力与应变曲线出现上下波动,即应力不再增加,而应变且迅速发展,形成一个明显的屈服台阶,整个屈服台阶的下限点c 所对应的应力称为“屈服强度”。
当钢筋屈服塑流到一定程度,即到达c点以后,应力-应变曲线又开始上升,说明经过流幅后,其内部结构重新排列,抗拉能力有所提高,随着曲线上升到最高点d,相应的应力称为钢筋的极限强度,cd段称为钢筋的强化阶段。
过了d点以后,钢筋在薄弱处的断面将显著缩小,发生局部颈缩现象,变形迅速增加,应力随之下降,到过e点时试件被拉断。
2.无明显屈服点的钢筋(也称硬钢),其应力-应变曲线的特点,其屈服强度如何取值?答:从高强度碳素钢丝的应力-应变曲线可以看出,这类钢筋没有明显的屈服台阶(流幅),其强度很高,但伸长率小,塑性较差,破坏时呈脆性。
对该类钢筋通常取相应于残余应变为0.2%的应力0.85b σ作为假想屈服点(或称条件屈服点),其值约为0.85倍抗拉强度值。
3.混凝土轴心抗压强度、轴心抗拉强度是什么?它们与混凝土立方体抗压强度的关系是什么?答:按照与立方体试件相同条件下制作和试验方法测得的棱柱体试件(150×150×300)的极限抗压强度值,称为混凝土轴心抗压强度。
混凝土轴心抗拉强度t f 通常采用100×100×500mm 3的两端预埋钢筋的棱柱体在试验机上受拉,当试件拉裂时测得的平均拉应力即为混凝土的轴心抗拉强度。
混凝土的轴心抗压强度是立方体抗压强度的0.7倍。
1-1 单筋矩形截面受弯构件、其截面尺寸为b = 200 mm ,h = 500 mm ,承受计算弯矩M d = 84.8 kN ·m ,结构重要性系数1.0;混凝土强度等级为C30,钢筋为HRB400。
求承受拉钢筋截面面积。
解:1、根据题意,Mdγ0=84.8kN •mMPa fcd8.13=mm h4600=,M dγ0= )2(0x bx h f cd -⇒)2460(2008.13108.846x x -⋅⋅⋅=⨯ ⇒mm x 72=检验mm x 72=≤mm hb2500=ξ,代入ffA sdcds bx=中求得A s=6022mm选取4 14(外径16.2mm )提供的钢筋截面面积6152mm ,钢筋按一排布置,所需界面最小宽度bmin=8.2142.164303302=⨯+⨯+⨯≥200mm,重新选取3 16(外径18.4mm )提供的钢筋截面积6032mm ,所需界面最小宽度为2.1754.183302302min=⨯+⨯+⨯=bmm ≤mm 200,梁的实际有效高度为mm h4602/4.18305000=--=,实际配筋率为0019.045.00065.08.460*200/603min==≥===ff hAsdtd s b ρρ校核结果满足要求。
1-2 有一行车道板,板厚为140 mm ,每米宽承受自重弯矩标准值为M GK = 1.27 kN ·m ,汽车荷载载产生弯矩标准值M QK = 11.9 kN ·m 。
结构重要性系数1.0,混凝土强度等级为C35,钢筋为HRB335。
试设计受拉钢筋,并验算截面强度。
2、解:弯矩组合设计值为m kN M M MQK GK d⋅=+=184.184.12.1所以m kN Md⋅=184.180γ=h140-40=100mm查表得56.0=ξbMPa fcd1.16=MPa ftd52.1=MPa fsd280=由)2(00xbx h fMcd d-=γ求得=x 12mm ≤h b 0ξ=56mm ⇒ffA sdcds bx==6902mm选用钢筋间距90mm,8mm 和10mm 两种直径钢筋间隔放置,提供的钢筋面积=As7162mm实际配筋率=≥===ρρmin0068.0105*1000/716hAb s 0.0024,=h 0105mm验算:=x bf A f cdssd =12.5mm ,=M du )2(0xbx h fcd -=19.9kN>18.18kN.1-3 有一矩形截面悬臂根部截面所承算弯矩M d = 30 kN ·m ,结构重要性系数1.0;截面尺寸b = 180 mm ,h = 350 mm ;混凝土强度等级为C40,钢筋为HRB400。
钢混老师复习题答案#1 钢筋与混凝土为什么能够长期共同工作?影响粘结强度的因素有哪些?粘结应力是怎样分布?(分别以光面钢筋和变形钢筋为例加以说明)答:钢筋与混凝土能够长期工作原因:1.主要是由于它们之间有良好的粘结力,能牢固的结成整体2.钢筋与混凝土的温度线性膨胀系数又接近相等,当温度变化时,这两种材料不至产生相对的温度变形而破坏它们之间的结合影响粘结强度的因素:1.钢筋表面形状 2.混凝土抗拉强度(大体上成正比)3,钢筋周围混凝土的密实性4,对于变形钢筋来说,混凝土保护层厚度也有影响5,横向箍筋粘结应力分布:1.光面钢筋:水泥胶体与钢筋表面之间的胶着力;2,混凝土收缩,将钢筋紧紧握固而产生的摩擦力;3,钢筋表面不平整与混凝土之间产生的机械咬合力。
2.变形钢筋:水泥胶体和钢筋表面的胶结力;混凝土收缩,将钢筋紧紧握固产生的摩擦力;最主要的是钢筋表面凸出的横肋对混凝土的挤压力。
#2 影响钢筋与混凝土粘结强度的主要因素有哪些?它们是如何影响的。
答:影响粘结强度的因素:1.钢筋表面形状见上一题粘结应力的分布;2.混凝土抗拉强度随混凝土抗拉强度的提高而提高,大体上与混凝土的抗拉强度成正比3,浇筑混凝土时钢筋的位置周围混凝土的密实性越大,粘结强度也提高4.钢筋周围混凝土的厚度如果钢筋周围的混凝土土层过薄,也就会发生由于混凝土撕裂裂缝的延展而导致破坏。
所以钢筋之间的间距和混凝土保护层都不能太小。
#3 钢筋在混凝土中的锚固有什么作用?确定锚固的长度要考虑哪些因素.为什么光面钢筋末端要加弯钩,变形钢筋末端可不加弯钩?答:锚固的作用:使钢筋被混凝土更加坚固的包裹在混凝土中,使钢筋和混凝土能共同工作以承担各种应力。
确定锚固长度考虑的因素:钢筋强度越高,直径越粗,混凝土强度越低,则锚固长度要求越长。
变形钢筋末端不加弯钩的原因:由于带肋钢筋及焊接骨架中的光圆钢筋由于其粘结力较好,所以可以不做弯钩。
#4 混凝土有哪几种强度,它们之间有何关系?答:混凝土立方体抗压强度f cu;轴心抗压强度f c;轴心抗拉强度f t;关系:f c=0.67f cu;f t=0.23f cu2/3#5 什么是混凝土的强度等级,是如何表示的?水工混凝土的强度等级分为多少级?答:定义:用标准试验方法测得具有95%保证率的抗压强度标准值作为混凝土强度等级,以符号C表示分级:水利分为十个等级:C15,C20,C25,C30,C35,C40,C45,C50,C55,C60.#6 加载速度如何影响混凝土强度的?混凝土强度等级与应变的关系怎样?答:试验加载速度越快则强度越高。
.判断题(请在你认为正确陈述的各题干后的括号内打“寸,,否则打“X”。
每小题1.5分,共15分)1.预应力混凝土构件制作后可以取下重复使用的称为锚具。
(X )2.凝土构件变形和裂缝验算中荷载、材料强度都取设计值。
(X )3.混凝土构件在弯矩、剪力和扭矩共同作用下的承载力计算时,其所需要的箍筋由受弯构件斜截面承载力计算所得的箍筋与纯剪构件承载力计算所得箍筋叠加,且两种公式中均不考虑剪扭的相互影响。
(x )4.土预压前发生的预应力损失称为第一批预应力损失组合(V )5.是由于混凝土的回缩,钢筋的伸长,导致混凝土与钢筋之间产生相对滑移的结果。
(V )6.小偏心受拉构件的判断是依据纵向拉力N的作用点的位置。
(V )7.受压破坏的本质条件是羿〉0.3/v(X )8.于偏心受压构件的斜截面抗剪能力是有提高的,但是不是无限制的。
( V )9.分布钢筋布置在受力钢筋的下面。
(x )10.截面复核中,如果S〉或,说明梁发生破坏,承载力为0。
( X )二、单选题(请把正确选项的字母代号填入题中括号内,每题2分,共20分)1.与素混凝土梁相比,适量配筋的钢混凝土梁的承载力和抵抗开裂的能力(B )。
A.均提I W J很多;B.7我载力提I W J很多,抗裂提I W J不多;C.抗裂提I W J很多,7我载力提I W J不多;D.均提I W J不多2.钢筋与混凝土能共同工作的主要原因是(C )A.防火、防锈B.混凝土对钢筋的握裹及保护C.混凝土与钢筋有足够的粘结力,两者线膨胀系数接近D.钢筋抗拉而混凝土抗压3.混凝土的弹性模量是指(A )。
A.原点弹性模量B切线模量;C割线模量;D.变形模量;4.钢材的含碳量越低,贝IJ (B )。
A.屈服台阶越短,伸长率也越短,塑性越差B.屈服台阶越长,伸长率越大,塑性越好C.强度越高,塑性越好D.强度越低,塑性越差5.边长为100mm的非标准立方体试块的强度换算成标准试块的强度,则需乘以换算系数(C )。
《钢-混凝土组合结构》模拟试题参考答案2008年6月一、填空题(每小题2分,共20分)1. 应力,结构抗力和作用效应;2. 传递纵向剪力,抵抗掀起作用3.剪切粘结,弯剪破坏;4.钢材种类,偏心距大小5.栓钉直径,混凝土强度;6.两个,一个7.不需要,不需要; 8.弹性,塑性9.形心,砼受压边缘; 10.支座截面,跨中截面二、选择题(每小题3分,共18分)1.C2.D3.D4.C5.AD6. D三、判断题题(每小题2分,共12分)1.×2.√3. √4. √5. √6. √四、计算题(共50分)1、(15分)m kN ql ⋅=⨯⨯=125.28325818122 kN N bh f F kNN A f F c c c p p p 8.8568568001000909.1118.08.02.37737720023002058.08.01==⨯⨯⨯⨯====⨯⨯=⋅=αFp<Fc ,塑性中和轴位于混凝土板内mkN m kN mm N x h F M mm b f A f x p u c pp ⋅>⋅=⋅⨯=-⨯=-==⨯⨯⨯==125.2814.321014.32)2/6.39105(377200)2/(6.3910009.110.12300205601α承载力满足要求2、(15分)kN N Nf A NE f A N s v u d c c d s v 6.56107.57410164/7.07.0106.56300003.14164/43.043.03232=⨯=⨯⨯⨯=<⨯=⨯⨯⨯⨯==取ππ纵向界面单位长度的剪力设计值为mm N Ac u A n v l c t ll /8.205120200022080012010006.562N 1s v =⨯⨯⨯⨯⨯⨯== 纵向界面上单位长度的受剪承载力为ll e st ull v mm N A f u v >=+⨯⨯+⨯⨯=+=/67.334)140.1402.0(2107.012019.07.09.0ξ所以纵向界面a-a 的受剪承载力满足要求3、(20分)计算截面受压区高度mm b f A f A f A f x c s y s y ss y a 2112503.14122621022621040002109.0''9.01=⨯⨯⨯-⨯+⨯⨯=-+=α <230m ,中和轴在型钢上翼缘以上,属于第一种情况有效高度的计算:mm A A a h A r A h s ss s s ss 2.3372264000)35500(2263304000)(0=+-⨯+⨯=+-+=ξb h 0=0.629×337.2=212.1mm>x=211mm截面能够承担的极限弯距M u 为mkN mm N a h A f x h bx f Mu s s y c ⋅=⋅⨯=-⨯⨯+-⨯⨯⨯⨯=-+-=1.189101.189)352.337(226210)2/2112.337(2112503.141)'('')2/(6001α<230 kN ·m ,极限承载力不满足要求。
钢-混凝土组合结构复习题一、填空题1. 按照是否对组合梁施加预应力,组合梁可以分为________________和________________。
2. 钢-混凝土组合构件主要有钢-混凝土组合_____和钢-混凝土组合_____。
3. 对连续组合梁的计算可进行简化,可用________________为基础采用承载力极限状态设计方法,截面特性计算简单,对静载荷和活载荷处理,不需考虑承载力极限状态下的混凝土徐变效应和施工方法。
4. 当钢梁的腹板和下翼缘宽厚比较大时,组合截面在达到塑性抵抗弯矩之前,可能导致钢梁局部屈曲二破坏,因此。
这种梁必须进行_______________分析。
5. 抗剪连接件的形式很多,按照变形能力可分为为两类:_________连接件,_________连接件。
6. 压型钢板的截面特征随着受压翼缘宽厚比不同而变化。
当宽厚比大于极限宽厚比时,截面特征按_________________计算;当宽厚比小于极限宽厚比时,截面特征按_______________计算。
7. 组合楼板的破坏模式主要有弯曲破坏、________________和_____________破坏。
8. 我国现行的《建筑结构可靠度设计统一标准》把极限状态分为两类,_____________极限状态和_____________极限状态。
9. 连续组合梁在极限状态下,各剪跨段内的弯矩均由组合截面承担。
正弯矩区内的组合作用表现为钢梁受___拉__和混凝土受__压___。
10. 钢-混凝土组合梁由钢梁、_____混凝土翼板_____及抗剪连接件所构成。
11. 钢管混凝土除了具有一般套箍混凝土的强度高、重量轻、塑性好、耐疲劳、耐冲击等优点外,还具有施工方便、___良好的耐火性能__、经济效果好的优点。
12. 钢管混凝土材料是由钢管和混凝土两种性质完全不同的材料组成,由于钢管混凝土的核心混凝土受到钢管的约束,因而具有比普通钢筋混凝土大得多的_________和_________ 。
钢混老师复习题答案#1 钢筋与混凝土为什么能够长期共同工作?影响粘结强度的因素有哪些?粘结应力是怎样分布?(分别以光面钢筋和变形钢筋为例加以说明)答:钢筋与混凝土能够长期工作原因:1.主要是由于它们之间有良好的粘结力,能牢固的结成整体2.钢筋与混凝土的温度线性膨胀系数又接近相等,当温度变化时,这两种材料不至产生相对的温度变形而破坏它们之间的结合影响粘结强度的因素:1.钢筋表面形状 2.混凝土抗拉强度(大体上成正比)3,钢筋周围混凝土的密实性4,对于变形钢筋来说,混凝土保护层厚度也有影响5,横向箍筋粘结应力分布:1.光面钢筋:水泥胶体与钢筋表面之间的胶着力;2,混凝土收缩,将钢筋紧紧握固而产生的摩擦力;3,钢筋表面不平整与混凝土之间产生的机械咬合力。
2.变形钢筋:水泥胶体和钢筋表面的胶结力;混凝土收缩,将钢筋紧紧握固产生的摩擦力;最主要的是钢筋表面凸出的横肋对混凝土的挤压力。
#2 影响钢筋与混凝土粘结强度的主要因素有哪些?它们是如何影响的。
答:影响粘结强度的因素:1.钢筋表面形状见上一题粘结应力的分布;2.混凝土抗拉强度随混凝土抗拉强度的提高而提高,大体上与混凝土的抗拉强度成正比3,浇筑混凝土时钢筋的位置周围混凝土的密实性越大,粘结强度也提高4.钢筋周围混凝土的厚度如果钢筋周围的混凝土土层过薄,也就会发生由于混凝土撕裂裂缝的延展而导致破坏。
所以钢筋之间的间距和混凝土保护层都不能太小。
#3 钢筋在混凝土中的锚固有什么作用?确定锚固的长度要考虑哪些因素.为什么光面钢筋末端要加弯钩,变形钢筋末端可不加弯钩?答:锚固的作用:使钢筋被混凝土更加坚固的包裹在混凝土中,使钢筋和混凝土能共同工作以承担各种应力。
确定锚固长度考虑的因素:钢筋强度越高,直径越粗,混凝土强度越低,则锚固长度要求越长。
变形钢筋末端不加弯钩的原因:由于带肋钢筋及焊接骨架中的光圆钢筋由于其粘结力较好,所以可以不做弯钩。
#4 混凝土有哪几种强度,它们之间有何关系?答:混凝土立方体抗压强度f cu;轴心抗压强度f c;轴心抗拉强度f t;关系:f c=0.67f cu;f t=0.23f cu2/3#5 什么是混凝土的强度等级,是如何表示的?水工混凝土的强度等级分为多少级?答:定义:用标准试验方法测得具有95%保证率的抗压强度标准值作为混凝土强度等级,以符号C表示分级:水利分为十个等级:C15,C20,C25,C30,C35,C40,C45,C50,C55,C60.#6 加载速度如何影响混凝土强度的?混凝土强度等级与应变的关系怎样?答:试验加载速度越快则强度越高。
不同强度的混凝土的应力—应变曲线有着相似的形状,但也有着实质性的区别。
随着混凝土强度的提高,曲线上升段和峰值应变的变化不是很显著,而下降段形状有较大的差异。
强度越高,下降段越陡,材料的延性越差。
#8 什么是混凝土的徐变?徐变对工程有何利弊?答:定义:混凝土在荷载长期作用下,应力不变,变形也会随着时间而增长。
这种现象,称为混凝土的徐变。
对工程的影响:1.因徐变引起的应力变化,对于水工结构来说不少情况下是有利的。
例如,局部应力的集中可以因为徐变而得到缓和;支座沉陷引起的内力及温度湿度应力也可由于徐变而得到松弛。
2. 混凝土的徐变还能使钢筋混凝土的结构中的混凝土应力与钢筋应力重新分布。
3. 混凝土的一个不利作用是会使结构的变形增大。
另外,在预应力混凝土结构中,它还会造成较大的预应力损失。
#9 什么是“协定流限”?是如何表示的?答:由于硬钢没有明确的屈服台阶,所以设计中一般以“协定流限”作为强度标准,所谓协定流限是指硬钢经过加载及卸载后尚存0.2%永久残余变形的应力,用σ0.2 表示.#11 什么是结构的极限状态?请用函数关系和图形表示这一状态。
结构的极限状态分为哪两大类,分别满足结构的什么功能?答:结构的极限状态:结构或结构的一部分超过某一特定状态就不能满足设计规定的某一功能要求,此特定状态称为该功能的极限状态。
结构的极限状态可用极限状态函数Z 来描述。
设影响结构极限状态的有n 个独立变量X i (i=1,2,。
,n ),函数Z 可表示为 Z=g (X 1,X 2,….,X n )也可将影响极限状态的众多因素用荷载效应S 和结构抗力R 连个变量来代表,则 Z=g(R,S)=R-S; 结构极限状态分类:1)承载能力极限状态:对应于结构或结构构件达到最大承载力或达到不适于继续承载的变形。
2)正常使用极限状态:对应于结构或构件达到影响正常使用或耐久性能的某项规定限值。
#12 出现哪些情况属于承载力极限状态?出现哪些情况属于正常使用极限状态?答:承载力极限状态:1)结构或结构的一部分丧失稳定。
2)结构形成机动体系丧失承载能力。
3)结构发生滑移,上浮或倾覆。
4)结构截面因材料强度不足而破坏 5)结构或构件产生过大的塑性变形而不适于继续承载。
正常使用极限状态:1)产生过大的变形,影响正常使用或外观。
2)产生过宽的裂缝,影响正常使用或外观,产生人们心理上不能接受的感觉,对耐久性也有一定的影响。
3)产生过大的振动,影响正常使用。
#13 什么是结构的可靠度,什么是结构的可靠度指标,可靠度指标β如何计算?可靠度与失效概率的关系如何?目标可靠度指标是如何确定的?答:结构可靠度:结构在规定时间内,在规定条件下,完成预定功能的概率。
β表示。
结构的可靠度指标:22SR S R σσμμβ+-=可靠度与失效概率的关系:β小时,pf 就大;β大时,pf 就小。
目标可靠度指标确定方法:根据结构的重要性,破坏后果的严重程度以及社会经济等条件,以优化方法综合分析得出。
目前采用“校准法”来确定目标可靠指标。
校准法的实质就是认为:由原有的设计规范所设计出来的大量结构构件反映了长期工程实践的经验,其可靠度水平在总体上是可以接受的。
所以可以运用前述“概率极限状态理论”反酸楚由原有设计规范设计出的各类结构构件在不同材料和不同荷载组合下的一系列可靠指标βi ,再在分析的基础上把这些βi 综合成为一个较为合理的目标可靠指标βT 。
#15 《水工混凝土设计规范》DL/T5057-2009是采用分项系数得表达式,隐含其可靠指标β 不小于目标可靠指标βT 的要求,试解释分项系数,并指出规范中采取哪几种分项系数,各分项系数的作用是什么?《水工混凝土设计规范》SL191-2008采用安全系数k 法,隐含其可靠指标β 不小于目标可靠指标βT 的要求,试比较两个规范的相同点和不同点。
答:分项系数:分项系数极限状态设计中,考虑工程结构安全级别,设计状况作用和材料性能的变异性以及计算模式不定性等与目标可靠指标相联系的系数。
1) 结构重要性系数0γ:建筑物的结构构件安全级别不同,所要求的目标可靠指标也不同,为反映这种要求,可在计算出的荷载效应值上再乘以结构重要性系数。
2) 设计状况系数ψ:结构在施工,安装,运行,检修等不同阶段可能出现不同的结构体系,不同的荷载及不同的工作条件,该系数便是用以分别考虑不同的设计状况。
3) 荷载分项系数Q γγ和G :结构在其运行使用期间,实际作用的荷载仍有可能超过规定的荷载标准值。
未考虑这一超载的可能性,在承载能力极限状态设计中还规定对荷载标准值还应乘以相应的分项系数。
4) 材料分项系数S γγ和C :为了充分考虑材料强度的离散性及不可避免的施工误差等因素带来的使材料实际强度低于材料强度标准值的可能,在承载能力计算时,规定对混凝土与钢筋的强度标准值还应分别除以混凝土材料分项系数C γ和钢筋材料分项系数S γ。
5) 结构系数d γ:反映以上四个系数未能涵盖到的其他因素对结构可靠度的影响,例如荷载效应计算时的计算模式的不正确,结构抗力计算时的计算模式的不正确以及尚未被人们认知和掌握的其他一些对可靠度有关的因素。
相同点:仍是以多个分项系数作为分析基础;材料强度标准值和材料强度设计值的取值两者完全相同; 不同点:SL 不再那么突出“概率”两字,也不再像DL 的条文说明中那样强调“以可靠指标度量结构构件的可靠度水平”。
DL 对各种荷载规定可相应不同的荷载分项系数,应用比较繁琐,SL 只采用《水工建筑物荷载设计规范》对荷载标准值桂殿兰宫,而不采用其分项系数的规定。
#16 写出《水工混凝土结构设计规范》DL/T5057-2009和SL191-2008的实用表达式,解释其中个系数的实际含义和取值,试比较两个规范的相同点和不同点。
答:DL/T5057-2009 R S d γψγ10≤; k Q Q k Q Q Gk G S S S S 2211γγγ++=;从左往右依次是结构重要性系数,设计状况系数,荷载效应组合设计值,结构系数,结构构件抗力设计值,荷载效应组合设计值,永久荷载分项系数,永久荷载标准值产生的荷载效应,一般可变荷载分项系数,一般可变荷载产生的荷载效应,可控制的可变荷载的荷载分项系数,可控制的可变荷载标准值产生的荷载效应;SL191-2008 R KS ≤; k Q Q k Q Q k G G k G G S S S S S 22112211γγγγ+++=;从左往右依次是安全系数,荷载效应组合设计值,结构构件抗力设计值,第一类永久荷载分项系数,第一类永久荷载产生的荷载效应,第二类永久荷载分项系数,第二类永久荷载产生的荷载效应,一般可变荷载分项系数,一般可变荷载产生的荷载效应,可控制的可变荷载的荷载分项系数,可控制的可变荷载标准值产生的荷载效应;#17 什么是荷载标准值,什么是荷载设计值?荷载标准值和设计值有什么关系?请用公式表示。
答:荷载标准值:结构构件在使用期间的正常情况下可能出现的最大荷载值。
荷载设计值:荷载标准值乘以相应的荷载分项系数后,称为荷载设计值。
标设S S γ=#18 什么是材料强度的标准值,什么是材料强度的设计值?混凝土钢筋强度的标准值与设计值的关系怎么样?请用公式表示?答:材料强度标准值:由材料概率分布的0.05分位值确定,即材料的实际强度小于强度标准值的可能性只有5%,也就是强度标准值具有95%的保证率 材料强度设计值:材料强度标准值除以相应的材料分项系数后,称为材料强度的设计值。
γ标设y y f f = #19 如果设计中已经给出了截面弯矩设计值,是否已经考虑了除结构系数(或安全系数)和材料分项以外的其他分项系数?答:否,还有设计状况系数和结构重要性系数没有考虑。
#20 混凝土保护层和钢筋的最小净距的作用是什么?保护层的选择主要与哪些因素有关?梁内钢筋的直径如何选择?梁内钢筋如何布置?并请画出布置示意图。
答:混凝土保护层和钢筋最小间距作用:带肋钢筋受力时,在钢筋凸肋的较短上,混凝土会发生裂缝,如果钢筋周围混凝土层过薄,也就会发生由于混凝土撕裂裂缝的延展而导致破坏。