各种规格螺旋焊管在不同标准下管径范围
- 格式:pdf
- 大小:196.62 KB
- 文档页数:1
螺旋焊管执行标准螺旋焊管是指采用螺旋成型技术制成的焊管,其执行标准在不同国家和地区有所不同。
下面介绍几个常见的螺旋焊管执行标准:1.中国国家标准GB/T 9711-2017中国国家标准GB/T 9711-2017是针对石油天然气工业用焊接钢管的标准,其中包括了螺旋焊管的相关规定。
该标准对螺旋焊管的材料、尺寸、外观、性能等方面都作出了具体要求。
例如,对于用于输送石油天然气的螺旋焊管,其管径范围为DN25~DN400,壁厚范围为2.5~25毫米。
在性能方面,标准要求螺旋焊管应具有良好的冲击韧性、弯曲性能和焊接性能。
此外,该标准还对螺旋焊管的制造、检验和试验方法等作出了具体规定。
1.美国石油学会标准API 5L美国石油学会标准API 5L是针对石油天然气输送用钢管的标准,其中包括了螺旋焊管的相关规定。
API 5L标准对螺旋焊管的材料、尺寸、外观、性能等方面都作出了具体要求。
例如,对于用于输送石油天然气的螺旋焊管,其管径范围为DN20~DN400,壁厚范围为2.5~37毫米。
在性能方面,标准要求螺旋焊管应具有良好的冲击韧性、弯曲性能和焊接性能。
此外,该标准还对螺旋焊管的制造、检验和试验方法等作出了具体规定。
1.欧洲标准EN 10216-2欧洲标准EN 10216-2是针对压力用途的钢管标准,其中包括了螺旋焊管的相关规定。
该标准对螺旋焊管的材料、尺寸、外观、性能等方面都作出了具体要求。
例如,对于用于输送石油天然气的螺旋焊管,其管径范围为DN25~DN400,壁厚范围为2.5~37毫米。
在性能方面,标准要求螺旋焊管应具有良好的冲击韧性、弯曲性能和焊接性能。
此外,该标准还对螺旋焊管的制造、检验和试验方法等作出了具体规定。
1.日本工业标准JIS G3456日本工业标准JIS G3456是针对高强度结构用碳素钢钢管的标准,其中包括了螺旋焊管的相关规定。
该标准对螺旋焊管的材料、尺寸、外观、性能等方面都作出了具体要求。
螺旋管是以带钢卷板为原材料,经常温挤压成型,以自动双丝双面埋弧焊工艺焊接而成的螺旋缝钢管直缝焊管生产工艺简单,生产效率高,成本低,发展较快。
螺旋焊管的强度一般比直缝焊管高,能用较窄的坯料生产管径较大的焊管,还可以用同样宽度的坯料生产管径不同的焊管。
聊城市嘉斌钢管有限公司供应螺旋管。
但是与相同长度的直缝管相比,焊缝长度增加30~100%,而且生产速度较低。
因此,较小口径的焊管大都采用直缝焊,大口径焊管则大多采用螺旋焊。
螺旋管及其标准分类:承压流体输送用螺旋缝埋弧焊钢管(SY5036-83)主要用于输送石油、天然气的管线;承压流体输送用螺旋缝高频焊钢管(SY5038-83),用高频搭接焊法焊接的,用于承压流体输送的螺旋缝高频焊钢管。
钢管承压能力强,塑性好,便于焊接和加工成型;一般低压流体输送用螺旋缝埋弧焊钢管(SY5037-83),采用双面自动埋弧焊或单面焊法制成的用于水、煤气、空气和蒸汽等一般低压流体输送用埋弧焊钢管。
螺旋管规格表:螺旋管的常用标准一般分为:SY/T5037 -2000 (部标、也叫普通流体输送管道用螺旋缝埋弧焊钢管)、GB/T9711.1-1997 (国标、也叫石油天然气I业输送钢管交货技术条件部分: A级钢管(要求严格的有GB/T9711.2 B级钢管))、API-5L (美国石油协会、也叫管线钢管;中分PSL1和PSL2两个级别)、SY/T5040-92(桩用螺旋缝埋弧焊钢管)。
分类承鈺流体输送用螺旋缝埋弧焊管主要用于输送石油、天然气的管线,钢管承压能力强,塑性好,便于焊接和咖工成型;-般低压流体输送用螺旋缝埋弧焊钢管用双面自动埋弧焊或单面焊法制成的用于水、煤气、气和蒸汽等般低压流体输送用埋弧焊钢管。
国标螺旋钢管简称9711.1螺旋钢管, 9711.2螺旋钢管,材质分类: 16Mn材质螺旋钢管,Q345B螺旋钢管, L245螺旋钢管,L360螺旋钢管,X40-X80螺旋钢管,主要用途,污水处理用螺旋钢管,水净化用螺旋钢管,水厂用螺旋钢管,旷化工企业用螺旋钢管钢管,核电用螺旋钢管,输送可燃性流体用螺旋钢管,输送非可燃性流体用螺旋钢管,国标螺旋钢管,石油部标SY/T5037螺旋钢管。
螺旋管及其标准分类承压流体输送用螺旋缝埋弧焊钢管SY5036-83主要用于输送石油、天然气的管线;承压流体输送用螺旋缝高频焊钢管SY5038-83,用高频搭接焊法焊接的,用于承压流体输送的螺旋缝高频焊钢管。
钢管承压能力强,塑性好,便于焊接和加工成型;一般低压流体输送用螺旋缝埋弧焊钢管SY5037-83,采用双面自动埋弧焊或单面焊法制成的用于水、煤气、空气和蒸汽等一般低压流体输送用埋弧焊钢管现在螺旋钢管的常用标准一般分为:SY/T5037-2000(部标、也叫普通流体输送管道用螺旋缝埋弧焊钢管)、GB/T9711.1-1997(国标、也叫石油天然气工业输送钢管交货技术条件第一部分:A级钢管(到目前要求严格的有GB/T9711.2 B级钢管))、API-5L(美国石油协会、也叫管线钢管;其中分为PSL1和PSL2两个级别)、SY/T5040-92(桩用螺旋缝埋弧焊钢管)螺旋管材质Q235A,Q235B.Q23b,0Cr13、1Cr17、00Cr19Ni11、1Cr18Ni9、0Cr18Ni11Nb. Q345 L245 L290 X42 X46 X70 X80螺旋管的工艺性能1)弯曲性能按下表规定的弯心直径弯曲180度后,钢筋受弯曲部位表面不得产生裂纹。
根据需方要求,钢筋可进行反向弯曲性能试验。
反向弯曲试验的弯心直径比弯曲试验相应增加一个钢筋直径。
先正向弯曲45度,后反向弯曲23度,后反向弯曲23度。
经反向弯曲试验后,钢筋受弯曲部位表面不得产生裂纹。
4.表面质量:钢筋表面允许不得有裂纹、结疤和折叠。
钢筋表面允许有凸块,但不得超过横肋的高度,钢筋表面上其他缺陷的深度和高度不得大于所在部位尺寸的允许偏差。
5.尺寸、外形、重量和允许偏差:1)公称直径范围及推荐直径钢筋的公称直径范围为6~25mm,标准推荐的钢筋公称直径为6、8、10、12、16、20、25、32、40、50mm。
2)带肋钢盘的表面形状及尺寸允许偏差带肋钢筋横肋应符合下列基本规定:横肋与钢盘轴线的夹角β不应小于45度,当该夹角不大于70度时,钢筋相对两面上横肋的方向应相反;横肋与间距l不得大于钢筋公称直径的0.7倍;横肋侧面与钢筋表面的夹角α不得小于45度;钢筋相对两面上横肋末端之间的间隙(包括纵肋宽度)总和不应大于钢筋公称周长的20%;当钢筋公称直径不大于12mm时,相对肋面积不应小于0.055;•公称直径为14 mm和16mm,相对肋面积不应小于0.060;公称直径大于16mm时,相对肋面积不应小于0.065。
介绍各类焊管的适用范围以及应用状况焊管生产工艺简单、生产效率高、成本低、发展速度快。
用途广泛,品种规格多,一般我们根据焊缝的形式,可以把它划分为螺旋焊管、精益管、直缝焊管等不同的类型,它们制作流程、材质选择不一样,因此适用的范围也不一样。
在我国经济发展的推动下,不知道它们的应用状况如何呢?下面就一起来了解下吧。
1、螺旋焊管的适用范围及应用1.一般低压流体输送用缝埋弧螺旋焊管尺度(SY5037-2000)是以热轧钢带卷作管坯,常常温螺旋成型,采用双面自动埋弧焊或单面焊法制成的用于水、煤气、空气和蒸汽等一般低压流体输送用埋弧焊钢管。
2.一般低压流体输送用高频螺旋管尺度(SY5039-83)是以热轧钢带卷作管坯,常常温螺旋成型,采用高频搭接焊法焊接用于一般低压流体输送用螺旋缝高频焊钢管。
3.桩用螺旋管尺度(SY5040-2000)是以热轧钢带卷作管坯,常常温螺旋成型,采用双面埋弧焊接或高频焊接制成的,用于土木建筑结构、码头、桥梁等基础桩用钢管。
4.低压流体输送用螺旋焊管钢管(GB/T3092-1993)也称一般焊管,俗称黑管。
是用于输送水、煤气、空气、油和取暖蒸汽等一般较低压力流体和其他用途的焊接钢管。
钢管接壁厚分为普通钢管和加厚钢管;接管端形式分为不带螺纹钢管(光管)和带螺纹钢管。
钢管的规格用公称口径(mm)表示,公称口径是内径的近似值。
5.低压流体输送用镀锌焊接钢管(GB/T3091-1993)也称镀锌电焊钢管,俗称白管。
是用于输送水、煤气、空气油及取暖蒸汽、暖水等一般较低压力流体或其他用途的热浸镀锌焊接(炉焊或电焊)钢管。
钢管接壁厚分为普通镀锌钢管和加厚镀锌钢管;接管端形式分为不带螺纹镀锌钢管和带螺纹镀锌钢管。
钢管的规格用公称口径(mm)表示,公称口径是内径的近似值。
6.普通碳素钢电线套管(GB3640-88)是产业与民用建筑、安装机器设备等电气安装工程顶用于保护电线的钢管。
7.直缝螺旋焊管(YB242-63)是焊缝与钢管纵向平行的钢管。
文章标题:螺旋缝埋弧焊钢管的管径规格标准及应用一、引言螺旋缝埋弧焊钢管是一种常见的钢管产品,被广泛应用于石油、天然气、化工、电力、暖通等行业。
在使用螺旋缝埋弧焊钢管时,管径规格标准的选择对工程建设具有重要意义。
本文将围绕螺旋缝埋弧焊钢管的管径规格标准及应用展开探讨,并结合个人实际经验共享观点和理解。
二、螺旋缝埋弧焊钢管的管径规格标准1. 国际标准根据国际标准,螺旋缝埋弧焊钢管的管径规格主要包括直径和壁厚两个指标。
直径一般采用英制或公制标准,常见的直径规格包括8英寸、10英寸、12英寸等;壁厚则一般以毫米为单位,如5.0mm、6.0mm 等。
国际标准的管径规格标准是在不同国家和地区之间具有通用性的参考标准,有利于提高产品的国际竞争力。
2. 国家标准在不同国家和地区,针对特定行业和工程建设的需要,会有相应的国家标准来规定螺旋缝埋弧焊钢管的管径规格标准。
例如在我国,国家标准GB/T9711-2011规定了石油天然气输送用螺旋缝埋弧焊钢管的直径和壁厚等技术要求,为相关行业提供了具体的规范指导。
三、螺旋缝埋弧焊钢管管径规格标准的应用1. 工程设计在进行工程设计时,根据具体的输送介质、工作压力、环境条件等因素,需要选择符合规范的螺旋缝埋弧焊钢管的管径规格标准。
合理选择管径规格,可有效提高工程建设的安全性和可靠性,降低投资成本,提高运行效率。
2. 施工安装在螺旋缝埋弧焊钢管的施工安装过程中,管径规格标准的选择直接影响工程质量和施工进度。
需按照标准要求进行管道布置、连接及焊接等工艺,确保管道系统的密封性和稳定性。
四、个人观点和理解针对螺旋缝埋弧焊钢管的管径规格标准,我个人认为在选择时需要充分考虑工程实际需求,并结合国际标准和国家标准进行综合评估。
对于不同行业和环境条件下的应用,也需要根据具体情况进行合理的选择和调整。
在实际工程项目中,我深切体会到管径规格标准的选择对工程质量和安全具有重要意义,因此需要充分了解和掌握相关标准,并结合经验进行合理运用。
螺旋焊管详解作者:佚名来源:本站原创点击数: 6 更新时间:2009年10月22【字体:大中小】螺旋焊管焊缝相对管体轴线成螺旋分布的管材。
主要用作输送管道、管桩和一些结构用管等。
产品规格:外径300~3660mm,壁厚3.2~25.4m m.螺旋焊管生产的特点是:(1) 螺旋焊管可用同一宽度的带材生产多种外径的管材;(2) 螺旋焊管管材的平直度好,尺寸较精确,内外螺旋焊缝增加了管体刚性,所以焊后无需定径、矫直工序;(3) 螺旋焊管易于实现机械化、自动化和连续化生产;(4)与相近规模的其他装备比,外形尺寸小,占地和投资少,建设快;(5) 螺旋焊管与同尺寸的直缝焊管比,管材单位长度上的焊缝较长,因而生产力较低.螺旋焊管的生产工艺流程螺旋焊管的原料有带材和板材,厚度在19mm以上用板材。
用带材时为保证前后板卷首尾对焊时连续供料,可用活套装置,也可用飞焊小车对焊连接螺旋焊管,飞焊小车上可将从开卷到对焊的整个备料操作在其沿轨道移动过程中完成。
当前卷带钢的尾部被对焊机的后夹紧器咬住时,小车则以与成形一预焊机的同步速度拉向前进,对焊结束后,松开后夹紧器,小车自行回到原位。
用板材时需先在作业线外将单张钢板对焊成板条,然后送上作业流程线用飞焊小车对焊连接。
对焊皆用自动埋弧焊,在相当于管体内表面进行,未焊透的地方于成形、预焊后,再在管体外表面补焊,然后才对螺旋焊缝进行内、外焊。
板带进入成形机前,必须根据管径、壁厚和成形角将板边预弯一定曲率,使得成形后边部与中部的变形曲率一致,防止螺旋焊管出现焊缝区突起的“竹节”缺陷。
预弯后进入螺旋成形器成形(见螺旋成形)、预焊。
为提高生产力,螺旋焊管多采用一条成形一预焊线与多条内外本焊线相配合。
这样既能提高螺旋焊管焊缝质量,又能大幅度增加产量。
预焊一般采用焊接速度较快的保护气体电弧焊或高频电阻焊,全长焊接,本焊采用多极自动埋弧焊.。
焊接钢管也称焊管,是用钢板或钢带经过卷曲成型后焊接制成的钢管。
焊接钢管生产工艺简单,生产效率高,品种规格多,设备资少,但一般强度低于无缝钢管。
20世纪30年代以来,随着优质带钢连轧生产的迅速发展以及焊接和检验技术的进步,焊缝质量不断提高,焊接钢管的品种规格日益增多,并在越来越多的领域代替了无缝钢管。
焊接钢管按焊缝的形式分为直缝焊管和螺旋焊管。
直缝焊管生产工艺简单,生产效率高,成本低,发展较快。
螺旋焊管的强度一般比直缝焊管高,能用较窄的坯料生产管径较大的焊管,还可以用同样宽度的坯料生产管径不同的焊管。
但是与相同长度的直缝管相比,焊缝长度增加30~100%,而且生产速度较低。
因此,较小口径的焊管大都采用直缝焊,大口径焊管则大多采用螺旋焊。
1.低压流体输送用焊接钢管(GB/T3092-1993)也称一般焊管,俗称黑管。
是用于输送水、煤气、空气、油和取暖蒸汽等一般较低压力流体和其他用途的焊接钢管。
钢管接壁厚分为普通钢管和加厚钢管;接管端形式分为不带螺纹钢管(光管)和带螺纹钢管。
钢管的规格用公称口径(mm)表示,公称口径是内径的近似值。
习惯上常用英寸表示,如11/2 等。
低压流体输送用焊接钢管除直接用于输送流体外,还大量用作低压流体输送用镀锌焊接钢管的原管。
2.低压流体输送用镀锌焊接钢管(GB/T3091-1993)也称镀锌电焊钢管,俗称白管。
是用于输送水、煤气、空气油及取暖蒸汽、暖水等一般较低压力流体或其他用途的热浸镀锌焊接(炉焊或电焊)钢管。
钢管接壁厚分为普通镀锌钢管和加厚镀锌钢管;接管端形式分为不带螺纹镀锌钢管和带螺纹镀锌钢管。
钢管的规格用公称口径(mm)表示,公称口径是内径的近似值。
习惯上常用英寸表示,如11/2 等。
3.普通碳素钢电线套管(GB3640-88)是工业与民用建筑、安装机器设备等电气安装工程中用于保护电线的钢管。
4.直缝电焊钢管(YB242-63)是焊缝与钢管纵向平行的钢管。
通常分为公制电焊钢管、电焊薄壁管、变压器冷却油管等等。
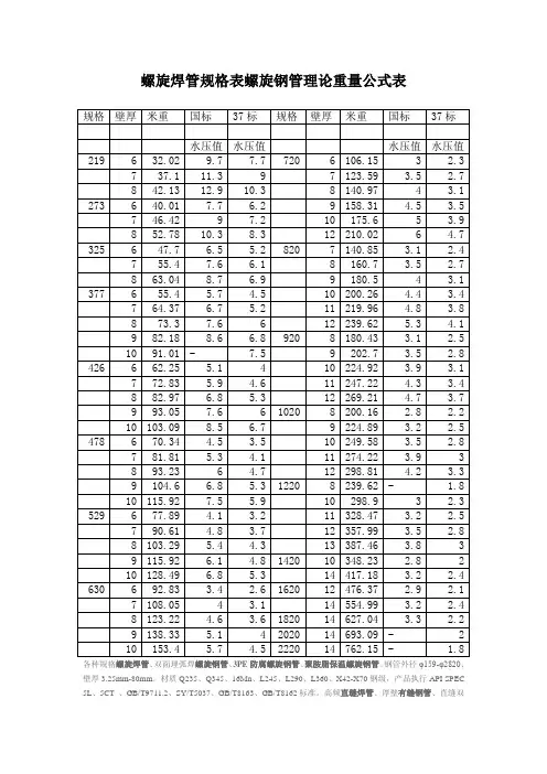
螺旋焊管主要质量指标对照表
钢管规格重量钢管静水压值钢管功用成份
螺旋钢管规格钢管尺寸钢管型号
钢管的规格普通以钢管的外径 D 、内径和壁厚 S 的毫米〔 mm 〕数标定。
钢管尺寸分不定尺和定尺:不定尺〔通常长度〕凡产品尺寸〔长度或宽度〕,在规范规则范围内,而又不要求固定尺寸的叫不定尺。
定尺按订货要求切成固定尺寸的称为定尺。
按定尺长度交货时,所交金属资料必需具有需方在订货合同中指定的长度。
因此规则了允许有偏向。
钢管实际重量
注:绿色局部是钢管的消费范围
5-18mm是钢管壁厚,219-2020mm是钢管外径
数值是钢管实际重量
螺旋钢管静水压实验压力
沧州市鑫宜达钢管,以优质的原资料,严厉的工艺流程,完善的检测设备,消费水电站用压力钢管,小水电用螺旋钢管,为您的工程提供牢靠的保证。
公式:2ST÷D
钢管规格重量钢管规范对比钢管功用成份
Q235B 16MN钢管 L245 L290 Q345钢管的力学功用和化学成份。
螺旋管及其标准分类承压流体输送用螺旋缝埋弧焊钢管SY5036-83主要用于输送石油、天然气的管线;承压流体输送用螺旋缝高频焊钢管SY5038-83,用高频搭接焊法焊接的,用于承压流体输送的螺旋缝高频焊钢管。
钢管承压能力强,塑性好,便于焊接和加工成型;一般低压流体输送用螺旋缝埋弧焊钢管SY5037-83,采用双面自动埋弧焊或单面焊法制成的用于水、煤气、空气和蒸汽等一般低压流体输送用埋弧焊钢管现在螺旋钢管的常用标准一般分为:SY/T5037-2000(部标、也叫普通流体输送管道用螺旋缝埋弧焊钢管)、GB/T9711.1-1997(国标、也叫石油天然气工业输送钢管交货技术条件第一部分:A级钢管(到目前要求严格的有GB/T9711.2 B级钢管))、API-5L(美国石油协会、也叫管线钢管;其中分为PSL1和PSL2两个级别)、SY/T5040-92(桩用螺旋缝埋弧焊钢管)螺旋管材质Q235A,Q235B.Q23b,0Cr13、1Cr17、00Cr19Ni11、1Cr18Ni9、0Cr18Ni11Nb. Q345 L245 L290 X42 X46 X70 X80螺旋管的工艺性能1)弯曲性能按下表规定的弯心直径弯曲180度后,钢筋受弯曲部位表面不得产生裂纹。
根据需方要求,钢筋可进行反向弯曲性能试验。
反向弯曲试验的弯心直径比弯曲试验相应增加一个钢筋直径。
先正向弯曲45度,后反向弯曲23度,后反向弯曲23度。
经反向弯曲试验后,钢筋受弯曲部位表面不得产生裂纹。
4.表面质量:钢筋表面允许不得有裂纹、结疤和折叠。
钢筋表面允许有凸块,但不得超过横肋的高度,钢筋表面上其他缺陷的深度和高度不得大于所在部位尺寸的允许偏差。
5.尺寸、外形、重量和允许偏差:1)公称直径范围及推荐直径钢筋的公称直径范围为6~25mm,标准推荐的钢筋公称直径为6、8、10、12、16、20、25、32、40、50mm。
2)带肋钢盘的表面形状及尺寸允许偏差带肋钢筋横肋应符合下列基本规定:横肋与钢盘轴线的夹角β不应小于45度,当该夹角不大于70度时,钢筋相对两面上横肋的方向应相反;横肋与间距l不得大于钢筋公称直径的0.7倍;横肋侧面与钢筋表面的夹角α不得小于45度;钢筋相对两面上横肋末端之间的间隙(包括纵肋宽度)总和不应大于钢筋公称周长的20%;当钢筋公称直径不大于12mm时,相对肋面积不应小于0.055;•公称直径为14m m和16mm,相对肋面积不应小于0.060;公称直径大于16mm时,相对肋面积不应小于0.065。
. ;:空调专业常用管材的国家标准一、焊接钢管1. 低压流体输送用焊接钢管,国标编号:GB/T 3092-1993.工程直径6~150mm,使用温度0~200°C,普通管道用于PN≤1.0MPa,加厚管用于PN≤1.6MPa.2. 低压流体输送用镀锌焊接钢管,国标编号:GB/T 3091-1993.工程直径6~150mm,使用温度0~200°C,普通管道用于PN≤1.0MPa,加厚管用于PN≤1.6M Pa.3. 直缝电焊钢管,国标编号:GB/T 13793-1992.工程直径200~2000mm,使用温度-15~300°C,管道压力用于PN≤1.6MPa.4. 螺旋缝焊接钢管,国标编号:SYS5036~5039-93.工程直径200~2000mm,使用温度-15~3 00°C,管道压力用于PN≤1.6MPa.5. 流体输送用不锈钢焊接钢管,国标编号:GB 12771-1991.二、无缝钢管1. 无缝钢管尺寸、外形、重量及允许偏差,国标编号:GB/T 17395-1998.2. 结构用无缝钢管,国标编号:GB 8162-1999.工程直径5~6000mm,使用温度-40~475°C,管道压力用于PN≤10MPa.何谓焊接钢管?焊接钢管也称焊管,是用钢板或钢带经过卷曲成型后焊接制成的钢管.焊接钢管生产工艺简单,生产效率高,品种规格多,设备资少,但一般强度低于无缝钢管.20世纪30年代以来,随着优质带钢连轧生产的迅速发展以及焊接和检验技术的进步,焊缝质量不断提高,焊接钢管的品种规格日益增多,并在越来越多的领域代替了无缝钢管.焊接钢管按焊缝的形式分为直缝焊管和螺旋焊管.直缝焊管生产工艺简单,生产效率高,成本低,发展较快.螺旋焊管的强度一般比直缝焊管高,能用较窄的坯料生产管径较大的焊管,还可以用同样宽度的坯料生产管径不同的焊管.但是与相同长度的直缝管相比,焊缝长度增加30~100%,而且生产速度较低.因此,较小口径的焊管大都采用直缝焊,大口径焊管那么大多采用螺旋焊.1.低压流体输送用焊接钢管〔GB/T3092-1993〕也称一般焊管,俗称黑管.是用于输送水、煤气、空气、油和取暖蒸汽等一般较低压力流体和其他用途的焊接钢管.钢管接壁厚分为普通钢管和加厚钢管;接管端形式分为不带螺纹钢管〔光管〕和带螺纹钢管.钢管的规格用公称口径〔mm〕表示,公称口径是内径的近似值.习惯上常用英寸表示,如11/2 等.低压流体输送用焊接钢管除直接用于输送流体外,还大量用作低压流体输送用镀锌焊接钢管的原管.2.低压流体输送用镀锌焊接钢管〔GB/T3091-1993〕也称镀锌电焊钢管,俗称白管.是用于输送水、煤气、空气油及取暖蒸汽、暖水等一般较低压力流体或其他用途的热浸镀锌焊接〔炉焊或电焊〕钢管.钢管接壁厚分为普通镀锌钢管和加厚镀锌钢管;接管端形式分为不带螺纹镀锌钢管和带螺纹镀锌钢管.钢管的规格用公称口径〔mm〕表示,公称口径是内径的近似值.习惯上常用英寸表示,如11/2 等.3.普通碳素钢电线套管〔GB3640-88〕是工业与民用建筑、安装机器设备等电气安装工程中用于保护电线的钢管.4.直缝电焊钢管〔YB242-63〕是焊缝与钢管纵向平行的钢管.通常分为公制电焊钢管、电焊薄壁管、变压器冷却油管等等.5.承压流体输送用螺旋缝埋弧焊钢管〔SY5036-83〕是以热轧钢带卷作管坯,经常温螺旋成型,用双面埋弧焊法焊接,用于承压流体输送的螺旋缝钢管.钢管承压能力强,焊接性能好,经过各种严格的科学检验和测试,使用安全可靠.钢管口径大,输送效率高,并可节约铺设管线的投资.主要用于输送石油、天然气的管线.6.承压流体输送用螺旋缝高频焊钢管〔SY5038-83〕是以热轧钢带卷作管坯,经常温螺旋成型,采用高频搭接焊法焊接的,用于承压流体输送的螺旋旄咂岛父止堋8止艹醒鼓芰η浚苄院茫阌诤附雍图庸こ尚停痪髦盅细窈涂蒲Ъ煅楹筒馐裕褂冒踩煽浚止芸诰洞螅渌托矢撸⒖山谑∑躺韫芟叩耐蹲省V饕糜谄躺枋渌褪汀⑻烊黄鹊墓芟摺?7.一般低压流体输送用螺旋缝埋弧焊钢管〔SY5037-83〕是以热轧钢带卷作管坯,经常温螺旋成型,采用双面自动埋弧焊或单面焊法制成的用于水、煤气、空气和蒸汽等一般低压流体输送用埋弧焊钢管.8.一般低压流体输送用螺旋缝高频焊钢管〔SY5039-83〕是以热轧钢带卷作管坯,经常温螺旋成型,采用高频搭接焊法焊接用于一般低压流体输送用螺旋缝高频焊钢管.9.桩用螺旋焊缝钢管〔SY5040-83〕是以热轧钢带卷作管坯,经常温螺旋成型,采用双面埋弧焊接或高频焊接制成的,用于土木建筑结构、码头、桥梁等基础桩用钢管.无缝钢管的知识是一种具有中空截面、周边没有接缝的长条钢材.钢管具有中空截面,大量用作输送流体的管道,如输送石油、天然气、煤气、水及某些固体物料的管道等.钢管与圆钢等实心钢材相比,在抗弯抗扭强度相同时,重量较轻,是一种经济截面钢材,广泛用于制造结构件和机械零件,如石油钻杆、汽车传动轴、自行车架以及建筑施工中用的钢脚手架等.用钢管制造环形零件,可提高材料利用率,简化制造工序,节约材料和加工工时,如滚动轴承套圈、千斤顶套等,目前已广泛用钢管来制造.钢管还是各种常规武器不可缺少的材料,枪管、炮筒等都要钢管来制造.钢管按横截面积形状的不同可分为圆管和异型管.由于在周长相等的条件下,圆面积最大,用圆形管可以输送更多的流体.此外,圆环截面在承受内部或外部径向压力时,受力较均匀,因此,绝大多数钢管是圆管.但是,圆管也有一定的局限性,如在受平面弯曲的条件下,圆管就不如方、矩形管抗弯强度大,一些农机具骨架、钢木家具等就常用方、矩形管.根据不同用途还需有其他截面形状的异型钢管.1.结构用无缝钢管〔GB/T8162-1999〕是用于一般结构和机械结构的无缝钢管.2.流体输送用无缝钢管〔GB/T8163-1999〕是用于输送水、油、气等流体的一般无缝钢管.3.低中压锅炉用无缝钢管〔GB3087-1999〕是用于制造各种结构低中压锅炉过热蒸汽管、沸水管及机车锅炉用过热蒸汽管、大烟管、小烟管和拱砖管用的优质碳素结构钢热轧和冷拔〔轧〕无缝钢管.4.高压锅炉用无缝钢管〔GB5310-1995〕是用于制造高压及其以上压力的水管锅炉受热面用的优质碳素钢、合金钢和不锈耐热钢无缝钢管.5.化肥设备用高压无缝钢管〔GB6479-86〕是适用于工作温度为-40~400℃、工作压力为10~30Ma的化工设备和管道的优质碳素结构钢和合金钢无缝钢管.6.石油裂化用无缝钢管〔GB9948-88〕是适用于石油精炼厂的炉管、热交换器和管道无缝钢管.7.地质钻探用钢管〔YB235-70〕是供地质部门进行岩心钻探使用的钢管,按用途可分为钻杆、钻铤、岩心管、套管和沉淀管等.8.金刚石岩芯钻探用无缝钢管〔GB3423-82〕是用于金刚石岩芯钻探的钻杆、岩心杆、套管的无缝钢管.9.石油钻探管〔YB528-65〕是用于石油钻探两端内加厚或外加厚的无缝钢管.钢管分车丝和不车丝两种,车丝管用接头联结,不车丝管用对焊的方法与工具接头联结.10.船舶用碳钢无缝钢管〔GB5213-85〕是制造船舶I级耐压管系、Ⅱ级耐压管系、锅炉及过热器用的碳素钢无缝钢管.碳素钢无缝钢管管壁工作温度不超过450℃,合金钢无缝钢管管壁工作温度超过450℃.11.汽车半轴套管用无缝钢管〔GB3088-82〕是制造汽车半轴套管及驱动桥桥壳轴管用的优质碳素结构钢和合金结构钢热轧无缝钢管.12.柴油机用高压油管〔GB3093-86〕是制造柴油机喷射系统高压管用的冷拔无缝钢管.13.液压和气动缸筒用精密内径无缝钢管〔GB8713-88〕是制造液压和气动缸筒用的具有精密内径尺寸的冷拔或冷轧精密无缝钢管.14.冷拔或冷轧精密无缝钢管〔GB3639-83〕是用于机械结构、液压设备的尺寸精度高和表面光洁度好的冷拔或冷轧精密无缝钢管.选用精密无缝钢管制造机械结构或液压设备等,可以大大节约机械加工工时,提高材料利用率,同时有利于提高产品质量.15.结构用不锈钢无缝钢管〔GB/T14975-1994〕是广泛用于化工、石油、轻纺、医疗、食品、机械等工业的耐腐蚀管道和结构件及零件的不锈钢制成的热轧〔挤、扩〕和冷拔〔轧〕无缝钢管.16.流体输送用不锈钢无缝钢管〔GB/T14976-1994〕是用于输送流体的不锈钢制成的热轧〔挤、扩〕和冷拔〔轧〕无缝钢管.17.异型无缝钢管是除了圆管以外的其他截面形状的无缝钢管的总称.按钢管截面形状尺寸的不同又可分为等壁厚异型无缝钢管〔代号为D〕、不等壁厚异型无缝钢管〔代号为BD〕、变直径异型无缝钢管〔代号为BJ〕.异型无缝钢管广泛用于各种结构件、工具和机械零部件.和圆管相比,异型管一般都有较大的惯性矩和截面模数,有较大的抗弯抗扭能力,可以大大减轻结构重量,节约钢材.。