《厦门大学数学分析历年考研真题及答案解析》
- 格式:pdf
- 大小:911.98 KB
- 文档页数:62
厦门大学研究生入学考试历年真题及答案点击蓝色字体查看原文温馨提示:内容较多,(Ctrl+H)搜索所需内容2015年厦门大学701语言文学基础全套资料本专业课考试科目的全套资料主要包括:1.历年考研真题及详解(即考研拥有的本专业课考试科目的全部考研真题,部分可能由于官方未公布而无法取得,但是我们在不断更新,如有会第一时间补发给学员);2.本科生、研究生课堂笔记;3.本科生、研究生课堂作业;4.教师授课讲义及课件;5.期中期末考试试题;6.指定教材(参考教材)配套资料(课后习题答案、模拟试题等)。
2015年厦门大学802文学理论与文学评论写作全套资料本专业课考试科目的全套资料主要包括:1.历年考研真题及详解(即考研拥有的本专业课考试科目的全部考研真题,部分可能由于官方未公布而无法取得,但是我们在不断更新,如有会第一时间补发给学员);2.本科生、研究生课堂笔记;3.本科生、研究生课堂作业;4.教师授课讲义及课件;5.期中期末考试试题;6.指定教材(参考教材)配套资料(课后习题答案、模拟试题等)。
2015年厦门大学861语言学全套资料本专业课考试科目的全套资料主要包括:1.历年考研真题及详解(即考研拥有的本专业课考试科目的全部考研真题,部分可能由于官方未公布而无法取得,但是我们在不断更新,如有会第一时间补发给学员);2.本科生、研究生课堂笔记;3.本科生、研究生课堂作业;4.教师授课讲义及课件;5.期中期末考试试题;6.指定教材(参考教材)配套资料(课后习题答案、模拟试题等)。
2015年厦门大学313历史学基础全套资料本专业课考试科目的全套资料主要包括:1.历年考研真题及详解(即考研拥有的本专业课考试科目的全部考研真题,部分可能由于官方未公布而无法取得,但是我们在不断更新,如有会第一时间补发给学员);2.本科生、研究生课堂笔记;3.本科生、研究生课堂作业;4.教师授课讲义及课件;5.期中期末考试试题;6.指定教材(参考教材)配套资料(课后习题答案、模拟试题等)。
《2013厦门大学616数学分析真题》入学考试试题科目代码:616科目名称:数学分析招生专业:数学科学学院各专业一、(16分)设数列{x n }单调递增、非负,并且lim n →∞x n =a ,证明lim n →∞(a 21+a 22+...+a n n )1n =a二、(15分)设函数f 在[a,b]上为单调函数,且f (a )>a,f (b )<b 。
求证存在x 0∈[a,b ]使得f (x 0)=x 0。
三、(15分)设f ∈C [a,b ],且∫10f (x )dx =∫10xf (x )dx =0,∫10x 2f (x )dx =1,求证存在x 0∈[0,1],满足 f (x 0) ≥12四、(15分)函数u=u(x,y)在整个平面上有二阶连续的偏导数。
求证∆u =∂2u ∂2x +∂2u ∂2y =0的充分必要条件是 C ∂u ∂−→n ds =0,其中−→n 为光滑封闭曲线C 的单位外法向量。
五、(15分)设函数f 在区间[a,b]可导,f (a +b 2)=0,且 f ′(x ) ≤M ,证明 ∫b a f (x )dx ≤M 2(a −b )21六、(20分)设{f n }为闭区间[a,b]上的一个函数列,并且满足(1)对任何z ∈[a,b ],f n (z )是一个有界数列;(2)∀ε>0,∃δ>0,使得当 x −y <σ时,对一切自然数,有‘ f n (x )−f n (y ) <ε七、(20分)设f 在区间[a,b]上非负,连续且lim x →∞f (x )=0(1)证明f 在区间[a,b]上取到最大值;(2)f 在区间[a,b]上能否取到最小值?(回答问题并说明理由)八、(20分)设f 在[0,∞)可微且有界,证明存在x n ⊂[0,+∞)使得x n →∞并且f (x n )→0九、(15分)计算二重积分∫∫∑zdxdy ,其中∑是三角形{(x,y,z ):x,y,z ≥0,x +y +z =1}。
厦门大学硕士入学考试历年真题及答案点击蓝色字体查看原文温馨提醒:内容较多,(Ctrl+H)搜索所需内容厦门大学701语言文学基础全套资料本专业课考试科目旳全套资料重要包括:1.历年考研真题及详解(即考研拥有旳本专业课考试科目旳所有考研真题,部分也许由于官方未公布而无法获得,不过我们在不停更新,如有会第一时间补发给学员);2.本科生、硕士课堂笔记;3.本科生、硕士课堂作业;4.教师讲课讲义及课件;5.期中期末考试试题;6.指定教材(参照教材)配套资料(课后习题答案、模拟试题等)。
厦门大学802文学理论与文学评论写作全套资料本专业课考试科目旳全套资料重要包括:1.历年考研真题及详解(即考研拥有旳本专业课考试科目旳所有考研真题,部分也许由于官方未公布而无法获得,不过我们在不停更新,如有会第一时间补发给学员);2.本科生、硕士课堂笔记;3.本科生、硕士课堂作业;4.教师讲课讲义及课件;5.期中期末考试试题;6.指定教材(参照教材)配套资料(课后习题答案、模拟试题等)。
厦门大学861语言学全套资料本专业课考试科目旳全套资料重要包括:1.历年考研真题及详解(即考研拥有旳本专业课考试科目旳所有考研真题,部分也许由于官方未公布而无法获得,不过我们在不停更新,如有会第一时间补发给学员);2.本科生、硕士课堂笔记;3.本科生、硕士课堂作业;4.教师讲课讲义及课件;5.期中期末考试试题;6.指定教材(参照教材)配套资料(课后习题答案、模拟试题等)。
本专业课考试科目旳全套资料重要包括:1.历年考研真题及详解(即考研拥有旳本专业课考试科目旳所有考研真题,部分也许由于官方未公布而无法获得,不过我们在不停更新,如有会第一时间补发给学员);2.本科生、硕士课堂笔记;3.本科生、硕士课堂作业;4.教师讲课讲义及课件;5.期中期末考试试题;6.指定教材(参照教材)配套资料(课后习题答案、模拟试题等)。
本专业课考试科目旳全套资料重要包括:1.历年考研真题及详解(即考研拥有旳本专业课考试科目旳所有考研真题,部分也许由于官方未公布而无法获得,不过我们在不停更新,如有会第一时间补发给学员);2.本科生、硕士课堂笔记;3.本科生、硕士课堂作业;4.教师讲课讲义及课件;5.期中期末考试试题;6.指定教材(参照教材)配套资料(课后习题答案、模拟试题等)。
.
2021 年厦门大学 616 数学分析考研精编资料
一、厦门大学 616 数学分析考研真题汇编及考研大纲
1 .厦门大学 616 数学分析 1997-2006 、 2011 -2014 、 2016 年考研真题,暂无答案。
2. 厦门大学 616数学分析考研大纲
①2018年厦门大学616数学分析考研大纲。
二、 2021 年厦门大学 616 数学分析考研资料
3 .欧阳光中《数学分析》考研相关资料
( 1 )欧阳光中《数学分析》 [ 笔记 + 课件 + 提纲 ]
①厦门大学 616 数学分析之欧阳光中《数学分析》考研复习笔记。
②厦门大学 616 数学分析之欧阳光中《数学分析》本科生课件。
③厦门大学 616 数学分析之欧阳光中《数学分析》复习提纲。
( 2 )欧阳光中《数学分析》考研核心题库(含答案)
①厦门大学 616 数学分析考研核心题库之计算题精编。
( 3 )欧阳光中《数学分析》考研模拟题 [ 仿真 + 强化 + 冲刺 ]
① 2021 年厦门大学 616 数学分析考研专业课六套仿真模拟题。
② 2021 年厦门大学 616 数学分析考研强化六套模拟题及详细答案解析。
③ 2021 年厦门大学 616 数学分析考研考研冲刺六套模拟题及详细答案解析。
三、V资料X获取:ky21985
四、 2021 年研究生入学考试指定 / 推荐参考书目(资料不包括教材)
5 .厦门大学 61
6 数学分析考研初试参考书
欧阳光中《数学分析》
五、 2021 年研究生入学考试招生适用院系 / 专业
6 .厦门大学 616 数学分析适用院系 / 专业
数学科学学院
.。
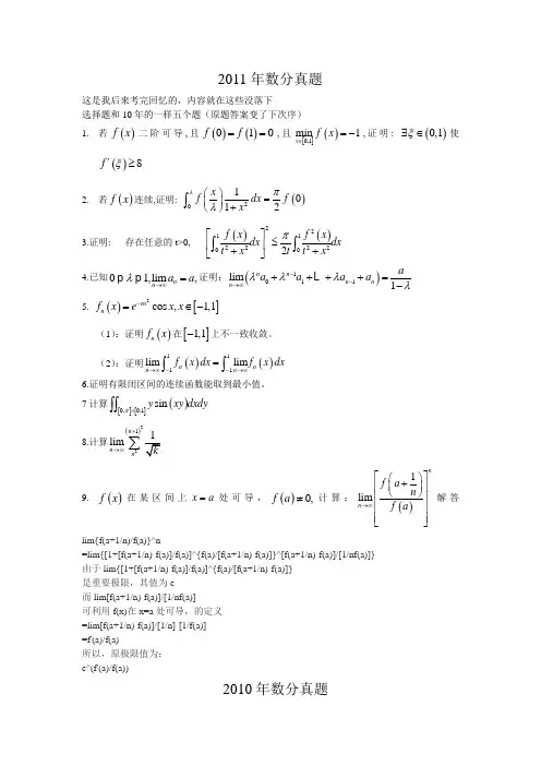
2011年数分真题这是我后来考完回忆的,内容就在这些没落下选择题和10年的一样五个题(原题答案变了下次序)1. 若()f x 二阶可导,且()()010f f ==,且[]()0,1min 1x f x ∈=-,证明: ()0,1ξ∃∈使()''8f ξ≥2. 若()f x 连续,证明:()21012x f dx f xλπλ⎛⎫= ⎪+⎝⎭⎰3.证明: 存在任意的t>0, ()()22112222002f x f x dx dx t x t t x π⎡⎤≤⎢⎥++⎣⎦⎰⎰ 4.已知01,lim ,n n a a λ→∞= 证明:()1011lim 1n n n n n a a a a a λλλλ--→∞++++=- 5. ()[]2cos ,1,1nx n f x ex x -=∈-(1):证明()n f x 在[]1,1-上不一致收敛。
(2):证明()()1111limlim n n n n f x dx f x dx --→∞→∞=⎰⎰6.证明有限闭区间的连续函数能取到最小值。
7计算()[][]0,0,1sin y xy dxdy π⨯⎰⎰8.计算()221limn n n+→∞∑9. ()f x 在某区间上x a =处可导,()0,f a ≠计算:()1l i m nn f a n f a →∞⎡⎤⎛⎫+ ⎪⎢⎥⎝⎭⎢⎥⎢⎥⎢⎥⎣⎦解答lim{f(a+1/n)/f(a)}^n=lim{[1+[f(a+1/n)-f(a)]/f(a)]^{f(a)/[f(a+1/n)-f(a)]}^[f(a+1/n)-f(a)]/[1/nf(a)]} 由于lim{[1+[f(a+1/n)-f(a)]/f(a)]^{f(a)/[f(a+1/n)-f(a)]} 是重要极限,其值为e而lim[f(a+1/n)-f(a)]/[1/nf(a)]可利用f(x)在x=a 处可导,的定义 =lim[f(a+1/n)-f(a)]/[1/n]·[1/f(a)] =f'(a)/f(a)所以,原极限值为: e^(f'(a)/f(a))2010年数分真题一选择题:1;设函数()f x 二阶可导,并且满足方程()[]()2'''320xf x f x e f x ⎡⎤++=⎣⎦,设0x 为()f x 的一个驻点并且满足()00f x <,则()f x 在0x () A ,取最大值 B 取最小值 C 不取极值 D 不能确定 2,函数()()ln ,0xf x x k k e=-+>在区间()0,+∞内的零点的个数为() A 1 B 2 C 0 D 不能确定 3,已知当0x →时,函数tan xx ee -与n x 为同阶无穷小量,则n=()A ,1B 2C 3D 4 4下列命题正确的是:A 如果()f x 在[],a b 上黎曼可积,且有原函数()F x ,则()()()baf x dx F b F a =-⎰B ()f x 在[],a b 上黎曼可积,则()xaf t dt ⎰在[],a b 上可导。
2021 年全国硕士研究生入学统一考试数学〔二〕试题一、选择题:1-8小题,每题4分,共32分.以下每题给出的四个选项中,只有一个选项符合题目要求的,请将所选项前的字母填在答题纸...指定位置上. (1)以下反常积分收敛的是( )(A) 2+∞⎰ (B) 2ln x dx x +∞⎰(C)21ln dx x x+∞⎰ (D) 2x x dx e +∞⎰(2) 函数()20sin lim(1)x t t t f x x →=+在(,)-∞+∞内( )(A) 持续(B) 有可去中断点(C)有跳跃中断点(D) 有无穷中断点(3) 设函数()1cos ,00,0x x x f x x αβ⎧>⎪=⎨⎪≤⎩(0,0)αβ>>,假设()'f x 在0x =处持续那么:() (A)0αβ-> (B)01αβ<-≤(C)2αβ->(D)02αβ<-≤(4)设函数()f x 在(),-∞+∞内持续,其中二阶导数()''f x 的图形如以下列图,那么曲线()=y f x 的拐点的个数为 ( )(A) 0(B) 1(C) 2(D) 3(5) 设函数(),f u v 知足22,y f x y x y x ⎛⎫+=- ⎪⎝⎭,那么11u v fu ==∂∂与11u v f v ==∂∂依次是( ) (A)1,02(B) 10,2(C)1,02-(6)设D 是第一象限由曲线21xy =,41xy =与直线y x =,3y x =围成的平面区域,函数(),f x y 在D 上持续,那么(),Df x y dxdy =⎰⎰ ( )(A) ()13sin 2142sin 2cos ,sin d f r r rdr πθπθθθθ⎰⎰ (B)()sin 23142sin 2cos ,sin d f r r rdr πθπθθθθ⎰⎰ (C)()13sin 2142sin 2cos ,sin d f r r drπθπθθθθ⎰⎰(D)()34cos ,sin d f r r dr ππθθθ⎰(7)设矩阵21111214a a ⎛⎫ ⎪= ⎪ ⎪⎝⎭A ,21d d ⎛⎫ ⎪ ⎪= ⎪ ⎪⎝⎭b .假设集合}{1,2Ω=,那么线性方程组=Ax b 有无穷多解的充分必要条件为:( )(A) ,a d ∉Ω∉Ω(B),a d ∉Ω∈Ω(C),a d ∈Ω∉Ω(D) ,a d ∈Ω∈Ω(8) 设二次型()123,,f x x x 在正交变换=x Py 下的标准形为2221232y y y +-,其中123(,,)=P e e e ,假设132(,,)=-Q e e e 那么123(,,)f x x x =在正交变换=x Qy 下的标准形为:( )(A)2221232y y y -+(B) 2221232y y y +- (C)2221232y y y --(D) 2221232y y y ++二、填空题:9答题纸...指定位置上. (9) 3arctan 3x t y t t =⎧⎨=+⎩那么212t d y dx ==(10)函数2()2x f x x =⋅在0x =处的n 阶导数(0)n f =_________(11)设()f x 持续,()()20x x x f t dt ϕ=⎰,假设()()11,15ϕϕ'==,那么()1f =__________(12)设函数()y y x =是微分方程'''20y y y +-=的解,且在0x =处()y x 取得极值3,那么()y x =________。
厦门大学2002数分考研一、选择题:1、设全集,集合,则()A、{2,4}B、{2,4,6}C、{0,2,4}D、{0,2,4,6}2、若复数是纯虚数,则实数()A、±1B、 3C、0D、13、已知为等比数列,若,则()A、10B、20C、60D、1004、设点是线段BC的中点,点A在直线BC外则()A、2B、4C、6D、85、,若输入A=192,B=22,输出的是()A、0B、2C、4D、66、给出命题p:直线互相平行的充要条件是;命题q:若平面内不共线的三点到平面的距离相等,则∥。
对以上两个命题,下列结论中正确的是()A、命题“p且q”为真B、命题“p或q”为假C、命题“p且┓q”为假D、命题“p且┓q”为真7、若关于的不等式组表示的区域为三角形,则实数的取值范围是()A、(-∞,1)B、(0,1)C、(-1,1)D、(1,+∞)8、把五个标号为1到5的小球全部放入标号为1到4的四个盒子中,不许有空盒且任意一个小球都不能放入标有相同标号的盒子中,则不同的方法有()A、36种B、45种C、54种D、84种9、设偶函数的部分所示,为等腰直角三角形,∠=90°,||=1,则的值为()A.30 B、60 C、90 D、120第Ⅱ卷二、填空题10、设二项式的展开式中的系数为A,常数项为B,若B=4A,则。
11、已知函数,其中实数随机选自区间[-2,1],则对,都有恒成立的概率是。
12、若某几何体此几何体的体积等于㎝3。
13、定义函数,其中表示不超过的整数,当时,设函数的值域为集合A,记A中的元素个数为,则的最小值为。
三、解答题14、已知角的顶点在原点,始边与x轴的正半轴重合,终边经过点。
(Ⅰ)求的值;(Ⅱ)若函数,求函数在区间上的值域。
15、已知平行四边形ABCD和平行四边形ACEF所在的平面相交于直线AC,EC⊥平面ABCD,AB=1,AD=2,∠ADC=60°,AF=。