46【提高】《整式的乘除与因式分解》全章复习与巩固(培优课程讲义例题练习含答案)
- 格式:doc
- 大小:500.72 KB
- 文档页数:11
苏教版七年级下册数学[《整式的乘除与因式分解》全章复习与巩固(基础)知识点整理及重点题型梳理]苏教版七年级下册数学重难点突破知识点梳理及重点题型巩固练习《整式的乘法与因式分解》全章复习与巩固(基础)【学习⽬标】1. 掌握整数幂的运算性质,并能运⽤它们熟练地进⾏运算;掌握单项式乘(或除以)单项式、多项式乘(或除以)单项式以及多项式乘多项式的法则,并运⽤它们进⾏运算;2. 会推导乘法公式(平⽅差公式和完全平⽅公式),了解公式的⼏何意义,能利⽤公式进⾏乘法运算;3. 掌握整式的加、减、乘、除、乘⽅的较简单的混合运算,并能灵活地运⽤运算律与乘法公式简化运算;4. 理解因式分解的意义,并感受分解因式与整式乘法是相反⽅向的运算,掌握提公因式法和公式法(直接运⽤公式不超过两次)这两种分解因式的基本⽅法,了解因式分解的⼀般步骤;能够熟练地运⽤这些⽅法进⾏多项式的因式分解.【知识⽹络】【要点梳理】要点⼀、幂的运算,为正整数);同底数幂相乘,底数不变,指数相加.1.同底数幂的乘法:(m n,为正整数);幂的乘⽅,底数不变,指数相乘.2.幂的乘⽅: (m n3.积的乘⽅:(n 为正整数);积的乘⽅,等于各因数乘⽅的积. 4.同底数幂的除法:(a ≠0, m n ,为正整数,并且m n >).同底数幂相除,底数不变,指数相减.5.零指数幂:()010.a a =≠即任何不等于零的数的零次⽅等于1. 6.负指数幂:1n n a a-=(0a ≠,n 为正整数).任何不等于0的数的-n 次幂,等于这个数的n 次幂的倒数.要点诠释:公式中的字母可以表⽰数,也可以表⽰单项式,还可以表⽰多项式;灵活地双向应⽤运算性质,使运算更加⽅便、简洁.要点⼆、整式的乘法1.单项式乘以单项式单项式与单项式相乘,把他们的系数,相同字母分别相乘,对于只在⼀个单项式⾥含有的字母,则连同它的指数作为积的⼀个因式.2.单项式乘以多项式单项式与多项式相乘,就是⽤单项式去乘多项式的每⼀项,再把所得的积相加.即mc mb ma c b a m ++=++)((c b a m ,,,都是单项式).3.多项式乘以多项式多项式与多项式相乘,先⽤⼀个多项式的每⼀项乘另⼀个多项式的每⼀项,再把所得的积相加.即()()a b m n am an bm bn++=+++.要点诠释:运算时,要注意积的符号,多项式中的每⼀项前⾯的“+”“-”号是性质符号,单项式乘以多项式各项的结果,要⽤“+”连结,最后写成省略加号的代数和的形式.根据多项式的乘法,能得出⼀个应⽤⽐较⼴泛的公式:()()()2x a x b x a b x ab ++=+++. 要点三、乘法公式1.平⽅差公式:22()()a b a b a b +-=-两个数的和与这两个数的差的积,等于这两个数的平⽅差.要点诠释:在这⾥,a b ,既可以是具体数字,也可以是单项式或多项式.平⽅差公式的典型特征:既有相同项,⼜有“相反项”,⽽结果是“相同项”的平⽅减去“相反项”的平⽅.2. 完全平⽅公式:()2222a b a ab b +=++;2222)(b ab a b a +-=-两数和 (差)的平⽅等于这两数的平⽅和加上(减去)这两数乘积的两倍.要点诠释:公式特点:左边是两数的和(或差)的平⽅,右边是⼆次三项式,是这两数的平⽅和加(或减)这两数之积的2倍.要点四、因式分解把⼀个多项式化成⼏个整式的积的形式,像这样的式⼦变形叫做把这个多项式因式分解,也叫做把这个多项式分解因式.因式分解的⽅法主要有: 提公因式法, 公式法, 分组分解法, ⼗字相乘法, 添、拆项法等.要点诠释:落实好⽅法的综合运⽤:⾸先提取公因式,然后考虑⽤公式;两项平⽅或⽴⽅,三项完全或⼗字;四项以上想分组,分组分得要合适;⼏种⽅法反复试,最后须是连乘式;因式分解要彻底,⼀次⼀次⼜⼀次.【典型例题】类型⼀、幂的运算1、计算下列各题:(1)2334(310)(10)??- (2)2332[3()][2()]m n m n +-+(3)26243(2)(3)xy x y -+- (4)63223(2)(3)[(2)]a a a ---+- 【思路点拨】按顺序进⾏计算,先算积的乘⽅,再算幂的乘⽅,最后算同底数的幂相乘.【答案与解析】解:(1)2334(310)(10)??-323343(10)(10)=??18192710 2.710=?=?.(2)2332[3()][2()]m n m n +-+36263()(2)()m n m n =?+?-?+ 661227()4()108()m n m n m n =+?+=+.(3)26243(2)(3)xy x y -+- 6661233612(1)2(1)3x y x y =-??+-?612612612642737x y x y x y =-=.(4)63223(2)(3)[(2)]a a a ---+-6662232366(1)2(1)3()(1)(2)a a a =-?--??+-? 6666649649a a a a =--=-.【总结升华】在进⾏幂的运算时,应注意符号问题,尤其要注意系数为-1时“-”号、括号⾥的“-”号及其与括号外的“-”号的区别.举⼀反三:【变式】(2016春?⽾阳市校级⽉考)82009×0.1252009= .【答案】1.82009×0.1252009=(8×0.125)2009=12009=1.类型⼆、整式的乘除法运算2、解下列不等式.(1)2(1)(25)12x x x x ---<(2)3(7)18(315)x x x x -<--【答案与解析】解:(1)22222512x x x x --+<, 312x <,4x <.(2)2221318315x x x x -<-+,618x <,3x <.【总结升华】利⽤乘法法则进⾏去括号、合并同类项,按照解⼀元⼀次不等式的⽅法求解.3、已知312326834m n ax y x y x y ÷=,求(2)n m n a +-的值.【思路点拨】利⽤除法与乘法的互逆关系,通过计算⽐较系数和相同字母的指数得到m n a 、、的值即可代⼊求值.【答案与解析】解:由已知312326834m n ax y x y x y ÷=,得31268329284312m n n ax y x y x y x y +=?=,即12a =,39m =,2812n +=,解得12a =,3m =,2n =.所以22(2)(23212)(4)16n m n a +-=?+-=-=.【总结升华】也可以直接做除法,然后⽐较系数和相同字母的指数得到m n a 、、的值. 举⼀反三:【变式】(1)已知1227327m m -÷=,求m 的值.(2)已知1020a =,1105b =,求293a b ÷的值.(3)已知23m =,24n =,求322m n -的值.【答案】解:(1)由题意,知312(3)327m m -÷=.∴ 3(1)2333m m --=.∴ 3323m m --=,解得6m =.(2)由已知1020a =,得22(10)20a =,即210400a =.由已知1105b =,得211025b =.∴ 221101040025a b ÷=÷,即2241010a b -=.∴ 224a b -= ∴ 22222493333381a b a b a b -÷=÷===.(3)由已知23m =,得3227m =.由已知24n =,得2216n =.∴ 32322722216m n m n -=÷=.类型三、乘法公式4、对任意整数n ,整式(31)(31)(3)(3)n n n n +---+是否是10的倍数?为什么?【答案与解析】解:∵(31)(31)(3)(3)n n n n +---+22222(3)1(3)919n n n n =---=--+22101010(1)n n =-=-,210(1)n -是10的倍数,∴原式是10的倍数.【总结升华】要判断整式(31)(31)(3)(3)n n n n +---+是否是10的倍数,应⽤平⽅差公式化简后,看是否有因数10.举⼀反三:【变式】解下列⽅程(组):22(2)(4)()()32x y x y x y x y ?+-+=+-?-=-?【答案】解:原⽅程组化简得2332x y x y -=??-=-?,解得135x y =??=?.5、已知3a b +=,4ab =-,求: (1)22a b +;(2)33a b +【思路点拨】在公式()2222a b a ab b +=++中能找到22,,a b ab a b ++的关系. 【答案与解析】解:(1) 222222a b a ab b ab +=++- ()22a b ab =+-∵3a b +=,4ab =-,∴()22232417a b +=-?-= (2)333223a b a a b a b b +=+-+ ()()()2a a b b a b a b =+-+-()()22a b a ab b =+-+()()2[3]a b a b ab =++-∵3a b +=,4ab =-,∴()332333463a b ??+=-?-=??.【总结升华】在⽆法直接利⽤公式的情况下,我们采取“配凑法”进⾏,通过配凑向公式过渡,架起了已知与未知之间桥梁,顺利到达“彼岸”.在解题时,善于观察,捕捉习题特点,联想公式特征,便易于点燃思维的⽕花,找到最佳思路.类型四、因式分解6、(2015春?岱岳区期末)已知x 2﹣4y 2=20,x+2y=5,求x ,y 的值.【思路点拨】直接利⽤平⽅差公式分解因式,进⽽得出x ﹣2y=4,再利⽤⼆元⼀次⽅程组的解法得出x ,y 的值.【答案与解析】解:∵ x 2﹣4y 2=(x+2y )(x ﹣2y )=20,x+2y=5,∴ 5(x ﹣2y )=20,∴ x ﹣2y=4,∴,解得:.【总结升华】此题主要考查了公式法分解因式以及⼆元⼀次⽅程组的解法,正确分解因式是解题关键.举⼀反三:【整式的乘除与因式分解单元复习例7】【变式】分解因式:(1)()()222222x x ----(2)()2224420x xx x +--- (3)2244634a ab b a b -+-+-【答案】解:(1)原式()()()()()()2222212211x x x x x x =---+=+-+- (2)原式=()()()222224(4)204544x x x x x x x x +-+-=+-++ ()()()2512x x x =+-+(3)原式=()()()()223242421a b a b a b a b ----=---+。
整式的乘除与因式分解全章复习与巩固要点一、幂的运算1. 同底数幂的乘法:(为正整数);同底数幂相乘,底数不变,指数相加.2. 幂的乘方:(为正整数);幂的乘方,底数不变,指数相乘.3. 积的乘方:(为正整数);积的乘方,等于各因数乘方的积.4 .同底数幂的除法:(≠0, 为正整数,并且).同底数幂相除,底数不变,指数相减.5. 零指数幂:即任何不等于零的数的零次方等于1.要点诠释:公式中的字母可以表示数,也可以表示单项式,还可以表示多项式;灵活地双向应用运算性质,使运算更加方便、简洁要点二、整式的乘法和除法1. 单项式乘以单项式单项式与单项式相乘,把他们的系数,相同字母分别相乘,对于只在一个单项式里含有的字母,则连同它的指数作为积的一个因式.2. 单项式乘以多项式单项式与多项式相乘,就是用单项式去乘多项式的每一项,再把所得的积相加.即(都是单项式).3. 多项式乘以多项式多项式与多项式相乘,先用一个多项式的每一项乘另一个多项式的每一项,再把所得的积相加.即.要点诠释:运算时,要注意积的符号,多项式中的每一项前面的“+”“-”号是性质符号,单项式乘以多项式各项的结果,要用“+”连结,最后写成省略加号的代数和的形式.根据多项式的乘法,能得出一个应用比较广泛的公式:.4. 单项式相除把系数、相同字母的幂分别相除作为商的因式,对于只在被除式里出现的字母,则连同它的指数一起作为商的一个因式要点三、乘法公式1. 平方差公式:两个数的和与这两个数的差的积,等于这两个数的平方差.要点诠释:在这里,既可以是具体数字,也可以是单项式或多项式.平方差公式的典型特征:既有相同项,又有“相反项”,而结果是“相同项”的平方减去“相反项”的平方.2. 完全平方公式:;两数和(差)的平方等于这两数的平方和加上(减去)这两数乘积的两倍.要点诠释:公式特点:左边是两数的和(或差)的平方,右边是二次三项式,是这两数的平方和加(或减)这两数之积的2倍要点四、因式分解把一个多项式化成几个整式的积的形式,像这样的式子变形叫做把这个多项式因式分解,也叫做把这个多项式分解因式.因式分解的方法主要有: 提公因式法, 公式法, 分组分解法, 十字相乘法, 添、拆项法等.要点诠释:落实好方法的综合运用:首先提取公因式,然后考虑用公式;两项平方或立方,三项完全或十字;四项以上想分组,分组分得要合适;几种方法反复试,最后须是连乘式;因式分解要彻底,一次一次又一次类型一、幂的运算1、计算下列各题:(1)(2)(3)(4)【思路点拨】按顺序进行计算,先算积的乘方,再算幂的乘方,最后算同底数的幂相乘.【答案与解析】解:(1).(2).(3).(4).【总结升华】在进行幂的运算时,应注意符号问题,尤其要注意系数为-1时“-”号、括号里的“-”号及其与括号外的“-”号的区别【变式】当,=4时,求代数式的值.【答案】解:类型二、整式的乘除法运算2、解下列不等式.(1)(2)3、已知,【答案与解析】【答案与解析】解:∵,是10的倍数,∴原式是10的倍数.【总结升华】要判断整式是否是10的倍数,应用平方差公式化简后,看是否有因数10.【变式】解下列方程(组):【答案】解:原方程组化简得,解得5、已知,,求:(1);(2)【思路点拨】在公式中能找到的关系.【答案与解析】解:(1)∵,,∴(2)∵,,∴.【总结升华】在无法直接利用公式的情况下,我们采取“配凑法”进行,通过配凑向公式过渡,架起了已知与未知之间桥梁,顺利到达“彼岸”.在解题时,善于观察,捕捉习题特点,联想公式特征,便易于点燃思维的火花,找到最佳思路类型四、因式分解6、分解因式:(1);(2).【答案与解析】解:(1).(2).【总结升华】在提取公因式时要注意提取后各项字母,指数的变化,另外分解要彻底,特别是因式中含有多项式的一定要检验是否能再分,分解因式后可逆过来用整式乘法验证其正确与否【变式】分解因式:(1)(2)(3)【答案】解:(1)原式(2)原式=(3)原式=巩固练习一.选择题1.下列各式从左到右的变化中属于因式分解的是().A.B.C.D.2.下列计算正确的是().A. B.C. D.3. 若是完全平方式,则的值是()A. —10B. 10C. 5D. 10或—104. 将+分解因式,正确的是()A.B.C.D.5. 下列计算正确的是()A. B.C. D.6. 若是的因式,则为()A. -15B. -2C. 8D. 27. 因式分解的结果是()A.B.C.D.8. 下列多项式中能用平方差公式分解的有()①;②;③;④;⑤;⑥.A.1个B.2个C.3个D.4个二.填空题9.化简=______.10.如果是一个完全平方式,那么=______.11.若,化简=________.12. 若,=__________.13. 把分解因式后是___________.14. 的值是________.15. 当,时,代数式的值是________.16.下列运算中,结果正确的是___________①,②,③,④,⑤,⑥,⑦,⑧,⑨三.解答题17.分解因式:(1);(2);(3).18. 解不等式,并求出符合条件的最小整数解.19.已知:,,试用表示下列各式:(1);(2);(3).20.某种液晶电视由于原料价格波动而先后两次调价,有三种方案:(1)先提价10%,再降价10%;(2)先降价10%,再提价10%;(3)先提价20%,再降价20%.问三种方案调价的最终结果是否一样?为什么?一.选择题1. 【答案】A;【解析】因式分解是把多项式化成整式乘积的形式.2. 【答案】B;3. 【答案】D;【解析】4. 【答案】C;【解析】+==.5. 【答案】B;【解析】;;.6. 【答案】D;【解析】.7. 【答案】A【解析】=.8. 【答案】D;【解析】③④⑤⑥能用平方差公式分解.二.填空题9. 【答案】.10. 【答案】±3;【解析】.11. 【答案】1;【解析】.12. 【答案】0;【解析】.13. 【答案】;【解析】.14. 【答案】-2;【解析】.15. 【答案】19;【解析】.16. 【答案】③⑤⑥⑨;【解析】在整式的运算过程中,符号问题和去括号的问题是最常犯的错误,要保证不出现符号问题关键在于每一步的运算都要做到有根据,能够用定理法则指导运算.三.解答题17. 【解析】解:(1)=;(2);(3).18. 【解析】解:符合条件的最小整数解为0,所以.19. 【解析】解:(1);(2);(3).20.【解析】解:设为原来的价格(1)由题意得:(2)由题意得:(3)由题意得:.所以前两种调价方案一样。
《整式的乘除》全章复习与巩固(提高)【知识网络】【要点梳理】要点一、幂的运算1.同底数幂的乘法:(m n ,为正整数);同底数幂相乘,底数不变,指数相加. 2.幂的乘方:(m n ,为正整数);幂的乘方,底数不变,指数相乘. 3.积的乘方:(n 为正整数);积的乘方,等于各因数乘方的积. 4.同底数幂的除法:(a ≠0, m n ,为正整数,并且m n >).同底数幂相除,底数不变,指数相减.5.零指数幂:()010.a a =≠即任何不等于零的数的零次方等于1. 6.负指数幂:1n n a a-=(a ≠0,n 是正整数). 要点诠释:公式中的字母可以表示数,也可以表示单项式,还可以表示多项式;灵活地双向应用运算性质,使运算更加方便、简洁.要点二、整式的乘法和除法1.单项式乘以单项式单项式与单项式相乘,把他们的系数,相同字母分别相乘,对于只在一个单项式里含有的字母,则连同它的指数作为积的一个因式.2.单项式乘以多项式单项式与多项式相乘,就是用单项式去乘多项式的每一项,再把所得的积相加.即mc mb ma c b a m ++=++)((c b a m ,,,都是单项式).3.多项式乘以多项式多项式与多项式相乘,先用一个多项式的每一项乘另一个多项式的每一项,再把所得的积相加.即()()a b m n am an bm bn ++=+++.要点诠释:运算时,要注意积的符号,多项式中的每一项前面的“+”“-”号是性质符号,单项式乘以多项式各项的结果,要用“+”连结,最后写成省略加号的代数和的形式.根据多项式的乘法,能得出一个应用比较广泛的公式:()()()2x a x b x a b x ab ++=+++. 4.单项式相除把系数、相同字母的幂分别相除作为商的因式,对于只在被除式里出现的字母,则连同它的指数一起作为商的一个因式.5.多项式除以单项式先把这个多项式的每一项分别除以单项式,再把所得的商相加.即:()am bm cm m am m bm m cm m a b c ++÷=÷+÷+÷=++要点三、乘法公式1.平方差公式:22()()a b a b a b +-=-两个数的和与这两个数的差的积,等于这两个数的平方差.要点诠释:在这里,a b ,既可以是具体数字,也可以是单项式或多项式.平方差公式的典型特征:既有相同项,又有“相反项”,而结果是“相同项”的平方减去“相反项”的平方.2. 完全平方公式:()2222a b a ab b +=++;2222)(b ab a b a +-=- 两数和 (差)的平方等于这两数的平方和加上(减去)这两数乘积的两倍.要点诠释:公式特点:左边是两数的和(或差)的平方,右边是二次三项式,是这两数的平方和加(或减)这两数之积的2倍.【典型例题】类型一、幂的运算 1、已知228x y +=,993y x -=,求x+2y 的值.【思路点拨】根据原题所给的条件,列方程组求出x 、y 的值,然后代入求解.【答案与解析】解:根据3(2)22x y +=,2933y x -=, 列方程得:, 解得:, 则x+2y=11.【总结升华】本题考查了幂的乘方和积的乘方,解答本题的关键是掌握幂的乘方和积的乘方的运算法则.2、(1)已知246122,9,5===a b c ,比较,,a b c 的大小.(2)比较3020103,9,27大小。
整式的乘除与因式分解全章复习与巩固(提高)【学习目标】1. 掌握正整数幂的运算性质,并能运用它们熟练地进行运算;掌握单项式乘(或除以)单项式、多项式乘(或除以)单项式以及多项式乘多项式的法则,并运用它们进行运算;2. 会推导乘法公式(平方差公式和完全平方公式),了解公式的几何意义,能利用公式进行乘法运算;3. 掌握整式的加、减、乘、除、乘方的较简单的混合运算,并能灵活地运用运算律与乘法公式简化运算;4. 理解因式分解的意义,并感受分解因式与整式乘法是相反方向的运算,掌握提公因式法和公式法(直接运用公式不超过两次)这两种分解因式的基本方法,了解因式分解的一般步骤;能够熟练地运用这些方法进行多项式的因式分解. 【知识网络】【要点梳理】要点一、幂的运算 1.同底数幂的乘法:(m n ,为正整数);同底数幂相乘,底数不变,指数相加.2.幂的乘方: (mn ,为正整数);幂的乘方,底数不变,指数相乘. 3.积的乘方: (n 为正整数);积的乘方,等于各因数乘方的积.4.同底数幂的除法:(a ≠0, mn ,为正整数,并且m n >). 同底数幂相除,底数不变,指数相减.5.零指数幂:()010.a a =≠即任何不等于零的数的零次方等于1.要点诠释:公式中的字母可以表示数,也可以表示单项式,还可以表示多项式;灵活地双向应用运算性质,使运算更加方便、简洁. 要点二、整式的乘法和除法 1.单项式乘以单项式单项式与单项式相乘,把他们的系数,相同字母分别相乘,对于只在一个单项式里含有的字母,则连同它的指数作为积的一个因式. 2.单项式乘以多项式单项式与多项式相乘,就是用单项式去乘多项式的每一项,再把所得的积相加.即mc mb ma c b a m ++=++)((c b a m ,,,都是单项式).3.多项式乘以多项式多项式与多项式相乘,先用一个多项式的每一项乘另一个多项式的每一项,再把所得的积相加.即()()a b m n am an bm bn ++=+++.要点诠释:运算时,要注意积的符号,多项式中的每一项前面的“+”“-”号是性质符号,单项式乘以多项式各项的结果,要用“+”连结,最后写成省略加号的代数和的形式.根据多项式的乘法,能得出一个应用比较广泛的公式:()()()2x a x b x a b x ab ++=+++.4.单项式相除把系数、相同字母的幂分别相除作为商的因式,对于只在被除式里出现的字母,则连同它的指数一起作为商的一个因式. 5.多项式除以单项式先把这个多项式的每一项分别除以单项式,再把所得的商相加. 即:()am bm cm m am m bm m cm m a b c ++÷=÷+÷+÷=++ 要点三、乘法公式1.平方差公式:22()()a b a b a b +-=-两个数的和与这两个数的差的积,等于这两个数的平方差.要点诠释:在这里,a b ,既可以是具体数字,也可以是单项式或多项式.平方差公式的典型特征:既有相同项,又有“相反项”,而结果是“相同项”的平方减去“相反项”的平方.2. 完全平方公式:()2222a b a ab b +=++;2222)(b ab a b a +-=-两数和 (差)的平方等于这两数的平方和加上(减去)这两数乘积的两倍.要点诠释:公式特点:左边是两数的和(或差)的平方,右边是二次三项式,是这两数的平方和加(或减)这两数之积的2倍. 要点四、因式分解把一个多项式化成几个整式的积的形式,像这样的式子变形叫做把这个多项式因式分解,也叫做把这个多项式分解因式.因式分解的方法主要有: 提公因式法, 公式法, 分组分解法, 十字相乘法, 添、拆项法等.要点诠释:落实好方法的综合运用:首先提取公因式,然后考虑用公式;两项平方或立方,三项完全或十字; 四项以上想分组,分组分得要合适; 几种方法反复试,最后须是连乘式; 因式分解要彻底,一次一次又一次.【典型例题】类型一、幂的运算1、已知25mx=,求6155m x -的值.【思路点拨】由于已知2mx 的值,所以逆用幂的乘方把6mx变为23()m x ,再代入计算.【答案与解析】 解:∵25mx=,∴62331115()55520555m m x x -=-=⨯-=. 【总结升华】本题培养了学生的整体思想和逆向思维能力.举一反三:【变式】(1)已知246122,9,5===a b c ,比较,,a b c 的大小.(2)比较3020103,9,27大小。
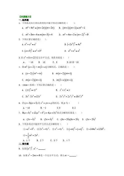
【巩固练习】 一.选择题1.下列各式从左到右的变化中属于因式分解的是( ). A .()()22422m n m n m n -=+- B .()()2111m m m +-=- C .()23434m m m m --=-- D .()224529m m m --=-- 2.下列计算正确的是( ). A.325a a a +=B.()23624aa -=C.()222a b a b +=+D. 623a a a ÷=3.若252++kx x 是完全平方式,则k 的值是( )A . —10 B. 10 C. 5 D.10或—10 4. 将2m()2a -+()2m a -分解因式,正确的是()A .()2a -()2m m - B .()()21m a m -+ C .()()21m a m -- D .()()21m a m -- 5.(2016·桂林)下列计算正确的是( )A .()33xy xy = B .55x x x ÷=C .2353515x x x ⋅= D .2323495210x y x y x y +=6. 若)5)(3(+-x x 是q px x ++2的因式,则p 为( )A.-15B.-2C.8D.2 7. 2222)(4)(12)(9b a b a b a ++-+-因式分解的结果是()A .2)5(b a - B .2)5(b a + C .)23)(23(b a b a +- D .2)25(b a - 8. 下列多项式中能用平方差公式分解的有( )①22a b --; ②2224x y -; ③224x y -; ④()()22m n ---; ⑤22144121a b -+;⑥22122m n -+. A .1个 B .2个 C .3个 D .4个 二.填空题 9.化简()2m n aa ⋅=______.10.如果229x mx -+是一个完全平方式,那么m =______.11.若221x y -=,化简()()20122012x y x y +-=________.12. 若2330x x +-=,32266x x x +-=__________. 13.把()()2011201222-+-分解因式后是___________.14.()()()()241111x x x x -++-+的值是________.15.(2016·雅安)已知8a b +=,224a b =,则222a b ab +-= .16.下列运算中,结果正确的是___________①422aa a =+,②523)(aa =, ③2aa a =⋅,④()()33x y y x -=-,⑤()x a b x a b --=-+,⑥()x a b x b a +-=--,⑦()22x x -=-, ⑧ ()()33xx -=--,⑨ ()()22x y y x -=-三.解答题 17.分解因式:(1)234()12()x x y x y ---; (2)2292416a ab b -+; (3)21840ma ma m --.18. 解不等式()()()22232336x x x x +-+->+,并求出符合条件的最小整数解.19.(2015春•盐都区期中)问题:阅读例题的解答过程,并解答(1)(2): 例:用简便方法计算195×205 解:195×205 =(200﹣5)(200+5)①=2002﹣52② =39975(1)例题求解过程中,第②步变形依据是 (填乘法公式的名称). (2)用此方法计算:99×101×10001.20.某种液晶电视由于原料价格波动而先后两次调价,有三种方案:(1)先提价10%,再降价10%;(2)先降价10%,再提价10%;(3)先提价20%,再降价20%.问三种方案调价的最终结果是否一样?为什么? 【答案与解析】 一.选择题1. 【答案】A ;【解析】因式分解是把多项式化成整式乘积的形式. 2. 【答案】B ;3. 【答案】D ;【解析】()2221055x x x ±+=± 4. 【答案】C ; 【解析】2m()2a -+()2m a -=2m ()2a -()2m a --=()()21m a m --.5. 【答案】C ;【解析】解:A 、原式=33x y ,故A 错误;B 、原式=1,故B 错误;C 、原式=515x ,故C 正确; D 、原式=237x y ,故D 错误.故选:C .6. 【答案】D ;【解析】2(3)(5)28x x x x -+=+-. 7. 【答案】A【解析】2222)(4)(12)(9b a b a b a ++-+-=()()()22325a b a b a b -++=-⎡⎤⎣⎦.8. 【答案】D ;【解析】③④⑤⑥能用平方差公式分解. 二.填空题 9. 【答案】()22m n m n aa a +⋅=.10.【答案】±3;【解析】()2222293233x mx x x x -+=±=±⨯+.11.【答案】1; 【解析】()()()()()201220122012201222201211x y x y x y x y x y +-=+-=-==⎡⎤⎣⎦.12.【答案】0;【解析】()3222662362360x x x x x x x x x +-=+-=⨯-=. 13.【答案】20112; 【解析】()()()()()201120122011201120112221222-+-=--=--=.14.【答案】-2;【解析】()()()()()()()242241111111x x x x x x x -++-+=-+-+44112x x =---=-.15.【答案】28或36;【解析】解:()()222222222a b ab a b a b ab ab ab +-++-=-=-,∵224a b =, ∴2ab =±,①当8a b +=,2ab =,()2226422228222a b a b ab ab ++-=-=-⨯=;②当8a b +=,2ab =-,()()2226422236222a b a b ab ab ++-=-=-⨯-=; 故答案为:28或36.16.【答案】③⑤⑥⑨;【解析】在整式的运算过程中,符号问题和去括号的问题是最常犯的错误,要保证不出现符号问题关键在于每一步的运算都要做到有根据,能够用定理法则指导运算.三.解答题 17.【解析】解:(1)234()12()x x y x y ---=224()[3()]4()(32)x y x x y x y y x ---=--; (2)22292416(34)a ab b a b -+=-;(3)()()()2218401840202ma ma m m a a m a a --=--=-+. 18.【解析】解:()()()22232336x x x x +-+->+2224129636139913x x x x x x x ++-++>+>->-符合条件的最小整数解为0,所以0x =. 19.【解析】 解:(1)平方差公式;(2)99×101×10001=(100﹣1)(100+1)×10001=(10000﹣1)(10000+1) =100000000﹣1 =999999920.【解析】解:设a 为原来的价格(1) 由题意得:()()110%110%0.99a a +-=(2)由题意得:()()110%110%0.99a a -+=(3)由题意得:()()120%120% 1.20.80.96a a a +-=⨯=. 所以前两种调价方案一样.。
整式的乘除与因式分解一、选择题:1.下列计算正确的是( )A .105532a a a =+B .632a a a =⋅C .532)(a a =D . 8210a a a =÷2.下列计算结果正确的是( )A .4332222y x xy y x -=⋅-B .2253xy y x -=y x 22-C .xy y x y x 4728324=÷D .49)23)(23(2-=---a a a3.两个三次多项式相加,结果一定是 ( )A .三次多项式B .六次多项式C .零次多项式D .不超过三次的多项式4.把多项式()()()111---+x x x 提取公因式()1-x 后,余下的部分是( )A .()1+xB .()1+-xC .xD .()2+-x5.计算24(1)(1)(1)(1)x x x x -++--的结果是 ( )A 、2B 、0C 、-2D 、-56.已知代数式12x a -1y 3与-3x -b y 2a+b 是同类项,那么a 、b 的值分别是( )A .2,1a b =-⎧⎨=-⎩B .2,1a b =⎧⎨=⎩C .2,1a b =⎧⎨=-⎩D .2,1a b =-⎧⎨=⎩7.已知2239494b b a b a n m =÷,则( )A .3,4==n mB .1,4==n mC .3,1==n mD .3,2==n m8.如图,是一个正方形与一个直角三角形所拼成的图形,则该图形的面积为()A .m 2+12mnB .22mn n -C .22m mn+ D .222m n +9.若2()9a b +=,2()4a b -=,则ab 的值是( )A 、54B 、-54C 、1D 、-1 二、填空题: 1.分解因式2233ax ay -= .2.分解因式ab b a 8)2(2+- =_______.3.分解因式221218x x -+= .4.若22210a b b -+-+=,则a = ,b = .5.代数式4x 2+3mx +9是完全平方式,则m =___________.6. 已知a+b=5,ab=3,求下列各式的值:(1)a 2+b 2= ;(2)-3a 2+ab-3b 2= .7. 已知522=+b a ,()()223232a b a b --+=-48,则a b +=________. 8. 已知正方形的面积是2269y xy x ++ (x >0,y >0),利用分解因式,写出表示该正方形的边长的代数式 .9.观察下列等式: 第一行 3=4-1第二行 5=9-4第三行 7=16-9第四行 9=25-16… …按照上述规律,第n 行的等式为____________ .三、解答题:1.计算题(1)(-3xy 2)3·(61x 3y )2 (2)4a 2x 2·(-52a 4x 3y 3)÷(-21a 5xy 2)(3)222)(4)(2)x y x y x y --+( (4)221(2)(2))x x x x x-+-+-(2.因式分解(1)3123x x - (2)2222)1(2ax x a -+(3)xy y x 2122--+ (4))()3()3)((22a b b a b a b a -+++-3.解方程:41)8)(12()52)(3(=-+--+x x x x4.已知x 2+x -1=0,求x 3+2x 2+3的值5.若(x 2+px +q )(x 2-2x -3)展开后不含x 2,x 3项,求p 、q 的值.四.综合拓展:1.已知c b a 、、是△ABC 的三边的长,且满足0)(22222=+-++c a b c b a ,试判断此三角形的形状.2.已知2006x+2006y=1,x+3y=2006,试求2x 2+8xy+6y 2的值五.巩固练习:1.若n221623=÷,则n 等于( )A .10B .5C .3D .62.计算:xy xy y x y x 2)232(2223÷+--的结果是( ) A .xy y x 232- B .22322+-xy y x C .1232+--xy y x D .12322+--xy y x3.下列计算正确的是( )A .x y x y x 221222223=⋅÷ B .57222257919n m n m m n n m =÷⋅ C .mn mn n m n m =⋅÷24322)(2 D .22242231043)3012(y x y x y x y x +=÷+4.已知一个多项式与单项式457y x -的积为2234775)2(72821y x y y x y x +-,则这个多项式为___5.若(a+b )2=13(a-b )2=7求a 2+b 2和ab 的值。
《整式的乘除》全章复习与巩固—知识讲解(提高)【学习目标】1. 理解正整数幂的运算性质,并能运用它们熟练地进行运算;掌握单项式乘(或除以)单项式、多项式乘(或除以)单项式以及多项式乘多项式的法则,并运用它们进行运算;2. 会推导乘法公式(平方差公式和完全平方公式),了解公式的几何意义,能利用公式进行乘法运算;3. 掌握整式的加、减、乘、除、乘方的较简单的混合运算,并能灵活地运用运算律与乘法公式简化运算;4. 理解因式分解的意义,并感受分解因式与整式乘法是相反方向的运算,掌握提公因式法和公式法(直接运用公式不超过两次)这两种分解因式的基本方法,了解因式分解的一般步骤;能够熟练地运用这些方法进行多项式的因式分解.【知识网络】【要点梳理】要点一、幂的运算1.同底数幂的乘法:(m n ,为正整数);同底数幂相乘,底数不变,指数相加. 2.幂的乘方:(m n ,为正整数);幂的乘方,底数不变,指数相乘. 3.积的乘方:(n 为正整数);积的乘方,等于各因数乘方的积. 4.同底数幂的除法:(a ≠0, m n ,为正整数,并且m n >). 同底数幂相除,底数不变,指数相减.5.零指数幂:()010.a a =≠即任何不等于零的数的零次方等于1.要点诠释:公式中的字母可以表示数,也可以表示单项式,还可以表示多项式;灵活地双向应用运算性质,使运算更加方便、简洁.要点二、整式的乘法和除法1.单项式乘以单项式单项式与单项式相乘,把他们的系数,相同字母分别相乘,对于只在一个单项式里含有的字母,则连同它的指数作为积的一个因式.2.单项式乘以多项式单项式与多项式相乘,就是用单项式去乘多项式的每一项,再把所得的积相加.即mc mb ma c b a m ++=++)((c b a m ,,,都是单项式).3.多项式乘以多项式多项式与多项式相乘,先用一个多项式的每一项乘另一个多项式的每一项,再把所得的积相加.即()()a b m n am an bm bn ++=+++.要点诠释:运算时,要注意积的符号,多项式中的每一项前面的“+”“-”号是性质符号,单项式乘以多项式各项的结果,要用“+”连结,最后写成省略加号的代数和的形式.根据多项式的乘法,能得出一个应用比较广泛的公式:()()()2x a x b x a b x ab ++=+++. 4.单项式相除把系数、相同字母的幂分别相除作为商的因式,对于只在被除式里出现的字母,则连同它的指数一起作为商的一个因式.5.多项式除以单项式先把这个多项式的每一项分别除以单项式,再把所得的商相加.即:()am bm cm m am m bm m cm m a b c ++÷=÷+÷+÷=++要点三、乘法公式1.平方差公式: 两个数的和与这两个数的差的积,等于这两个数的平方差.22()()a b a b a b +-=-要点诠释:在这里,a b ,既可以是具体数字,也可以是单项式或多项式.平方差公式的典型特征:既有相同项,又有“相反项”,而结果是“相同项”的平方减去“相反项”的平方.2. 完全平方公式:两数和 (差)的平方等于这两数的平方和加上(减去)这两数乘积的两倍. ()2222a b a ab b +=++;2222)(b ab a b a +-=- 要点诠释:公式特点:左边是两数的和(或差)的平方,右边是二次三项式,是这两数的平方和加(或减)这两数之积的2倍.要点四、因式分解把一个多项式化成几个整式的积的形式,像这样的式子变形叫做把这个多项式因式分解,也叫做把这个多项式分解因式.因式分解的方法主要有: 提公因式法, 公式法等.要点诠释:落实好方法的综合运用:首先提取公因式,然后考虑用公式;两项平方或立方,三项考虑完全平方;四项以上想分组,分组分得要合适;几种方法反复试,最后须是连乘式;因式分解要彻底,一次一次又一次.【典型例题】类型一、幂的运算1、(2016春•东台市期中)已知:5a =4,5b =6,5c =9,(1)52a +b 的值;(2)5b -2c 的值;(3)试说明:2b =a +c .【思路点拨】根据同底数幂的乘法、幂的乘方、同底数幂的除法等即可得答案.【答案与解析】解:(1)52a +b =52a ×5b =(5a )2×5b =42×6=96(2)5b ﹣2c =5b ÷(5c )2=6÷92=6÷81=227(3)5a +c =5a ×5c =4×9=3652b =62=36,因此5a +c =52b 所以a +c =2b .【总结升华】本题考查了幂的相关运算,熟记法则的同时要注意逆用公式才是解题关键. 举一反三:【变式】(1)已知246122,9,5===a b c ,比较,,a b c 的大小.(2)比较3020103,9,27大小。
新人教版八年级上册数学知识点梳理及巩固练习重难点突破课外机构补习优秀资料整式的乘除与因式分解全章复习与巩固(提高)【学习目标】1. 掌握正整数幂的运算性质,并能运用它们熟练地进行运算;掌握单项式乘(或除以)单项式、多项式乘(或除以)单项式以及多项式乘多项式的法则,并运用它们进行运算;2. 会推导乘法公式(平方差公式和完全平方公式),了解公式的几何意义,能利用公式进行乘法运算;3. 掌握整式的加、减、乘、除、乘方的较简单的混合运算,并能灵活地运用运算律与乘法公式简化运算;4. 理解因式分解的意义,并感受分解因式与整式乘法是相反方向的运算,掌握提公因式法和公式法(直接运用公式不超过两次)这两种分解因式的基本方法,了解因式分解的一般步骤;能够熟练地运用这些方法进行多项式的因式分解.【知识网络】【要点梳理】【整式的乘除与因式分解单元复习知识要点】要点一、幂的运算,为正整数);同底数幂相乘,底数不变,指数相加.1.同底数幂的乘法:(m n,为正整数);幂的乘方,底数不变,指数相乘.2.幂的乘方: (m n3.积的乘方:(n 为正整数);积的乘方,等于各因数乘方的积. 4.同底数幂的除法:(a ≠0, m n ,为正整数,并且m n >).同底数幂相除,底数不变,指数相减.5.零指数幂:()010.a a =≠即任何不等于零的数的零次方等于1. 要点诠释:公式中的字母可以表示数,也可以表示单项式,还可以表示多项式;灵活地双向应用运算性质,使运算更加方便、简洁.要点二、整式的乘法和除法1.单项式乘以单项式单项式与单项式相乘,把他们的系数,相同字母分别相乘,对于只在一个单项式里含有的字母,则连同它的指数作为积的一个因式.2.单项式乘以多项式单项式与多项式相乘,就是用单项式去乘多项式的每一项,再把所得的积相加.即mc mb ma c b a m ++=++)((c b a m ,,,都是单项式).3.多项式乘以多项式多项式与多项式相乘,先用一个多项式的每一项乘另一个多项式的每一项,再把所得的积相加.即()()a b m n am an bm bn ++=+++.要点诠释:运算时,要注意积的符号,多项式中的每一项前面的“+”“-”号是性质符号,单项式乘以多项式各项的结果,要用“+”连结,最后写成省略加号的代数和的形式.根据多项式的乘法,能得出一个应用比较广泛的公式:()()()2x a x b x a b x ab ++=+++. 4.单项式相除把系数、相同字母的幂分别相除作为商的因式,对于只在被除式里出现的字母,则连同它的指数一起作为商的一个因式.5.多项式除以单项式先把这个多项式的每一项分别除以单项式,再把所得的商相加.即:()am bm cm m am m bm m cm m a b c ++÷=÷+÷+÷=++要点三、乘法公式1.平方差公式:22()()a b a b a b +-=-两个数的和与这两个数的差的积,等于这两个数的平方差.要点诠释:在这里,a b ,既可以是具体数字,也可以是单项式或多项式.平方差公式的典型特征:既有相同项,又有“相反项”,而结果是“相同项”的平方减去“相反项”的平方.2. 完全平方公式:()2222a b a ab b +=++;2222)(b ab a b a +-=-两数和 (差)的平方等于这两数的平方和加上(减去)这两数乘积的两倍.要点诠释:公式特点:左边是两数的和(或差)的平方,右边是二次三项式,是这两数的平方和加(或减)这两数之积的2倍.要点四、因式分解把一个多项式化成几个整式的积的形式,像这样的式子变形叫做把这个多项式因式分解,也叫做把这个多项式分解因式.因式分解的方法主要有: 提公因式法, 公式法, 分组分解法, 十字相乘法, 添、拆项法等.要点诠释:落实好方法的综合运用:首先提取公因式,然后考虑用公式;两项平方或立方,三项完全或十字;四项以上想分组,分组分得要合适;几种方法反复试,最后须是连乘式;因式分解要彻底,一次一次又一次.【典型例题】类型一、幂的运算1、已知25m x =,求6155m x -的值. 【思路点拨】由于已知2m x的值,所以逆用幂的乘方把6m x 变为23()m x ,再代入计算. 【答案与解析】解:∵25m x=, ∴62331115()55520555m m x x -=-=⨯-=. 【总结升华】本题培养了学生的整体思想和逆向思维能力.举一反三:【 整式的乘除与因式分解单元复习 例1】【变式】(1)已知246122,9,5===a b c ,比较,,a b c 的大小.(2)比较3020103,9,27大小。
整式的乘除与因式分解全章复习与巩固(提高)撰稿:康红梅 责编:吴婷婷【学习目标】1. 掌握正整数幂的运算性质,并能运用它们熟练地进行运算;掌握单项式乘(或除以)单项式、多项式乘(或除以)单项式以及多项式乘多项式的法则,并运用它们进行运算;2. 会推导乘法公式(平方差公式和完全平方公式),了解公式的几何意义,能利用公式进行乘法运算;3. 掌握整式的加、减、乘、除、乘方的较简单的混合运算,并能灵活地运用运算律与乘法公式简化运算;4. 理解因式分解的意义,并感受分解因式与整式乘法是相反方向的运算,掌握提公因式法和公式法(直接运用公式不超过两次)这两种分解因式的基本方法,了解因式分解的一般步骤;能够熟练地运用这些方法进行多项式的因式分解.【知识网络】【要点梳理】【高清课堂 整式的乘除与因式分解单元复习 知识要点】要点一、幂的运算1.同底数幂的乘法:(m n ,为正整数);同底数幂相乘,底数不变,指数相加. 2.幂的乘方:(m n ,为正整数);幂的乘方,底数不变,指数相乘. 3.积的乘方:(n 为正整数);积的乘方,等于各因数乘方的积. 4.同底数幂的除法:(a ≠0, m n ,为正整数,并且m n >). 同底数幂相除,底数不变,指数相减.5.零指数幂:()010.a a =≠即任何不等于零的数的零次方等于1.要点诠释:公式中的字母可以表示数,也可以表示单项式,还可以表示多项式;灵活地双向应用运算性质,使运算更加方便、简洁.要点二、整式的乘法和除法1.单项式乘以单项式单项式与单项式相乘,把他们的系数,相同字母分别相乘,对于只在一个单项式里含有的字母,则连同它的指数作为积的一个因式.2.单项式乘以多项式单项式与多项式相乘,就是用单项式去乘多项式的每一项,再把所得的积相加.即mc mb ma c b a m ++=++)((c b a m ,,,都是单项式).3.多项式乘以多项式多项式与多项式相乘,先用一个多项式的每一项乘另一个多项式的每一项,再把所得的积相加.即()()a b m n am an bm bn ++=+++.要点诠释:运算时,要注意积的符号,多项式中的每一项前面的“+”“-”号是性质符号,单项式乘以多项式各项的结果,要用“+”连结,最后写成省略加号的代数和的形式.根据多项式的乘法,能得出一个应用比较广泛的公式:()()()2x a x b x a b x ab ++=+++. 4.单项式相除把系数、相同字母的幂分别相除作为商的因式,对于只在被除式里出现的字母,则连同它的指数一起作为商的一个因式.5.多项式除以单项式先把这个多项式的每一项分别除以单项式,再把所得的商相加.即:()am bm cm m am m bm m cm m a b c ++÷=÷+÷+÷=++要点三、乘法公式1.平方差公式:22()()a b a b a b +-=-两个数的和与这两个数的差的积,等于这两个数的平方差.要点诠释:在这里,a b ,既可以是具体数字,也可以是单项式或多项式.平方差公式的典型特征:既有相同项,又有“相反项”,而结果是“相同项”的平方减去“相反项”的平方.2. 完全平方公式:()2222a b a ab b +=++;2222)(b ab a b a +-=-两数和 (差)的平方等于这两数的平方和加上(减去)这两数乘积的两倍.要点诠释:公式特点:左边是两数的和(或差)的平方,右边是二次三项式,是这两数的平方和加(或减)这两数之积的2倍.要点四、因式分解把一个多项式化成几个整式的积的形式,像这样的式子变形叫做把这个多项式因式分解,也叫做把这个多项式分解因式.因式分解的方法主要有: 提公因式法, 公式法, 分组分解法, 十字相乘法, 添、拆项法等.要点诠释:落实好方法的综合运用:首先提取公因式,然后考虑用公式;两项平方或立方,三项完全或十字;四项以上想分组,分组分得要合适;几种方法反复试,最后须是连乘式;因式分解要彻底,一次一次又一次.【典型例题】类型一、幂的运算 1、已知25m x =,求6155m x -的值. 【思路点拨】由于已知2m x的值,所以逆用幂的乘方把6m x 变为23()m x ,再代入计算. 【答案与解析】解:∵25m x=, ∴62331115()55520555m m x x -=-=⨯-=. 【总结升华】本题培养了学生的整体思想和逆向思维能力.举一反三:【高清课堂 整式的乘除与因式分解单元复习 例1】【变式】(1)已知246122,9,5===a b c ,比较,,a b c 的大小.(2)比较3020103,9,27大小。
2020年人教版八年级数学上册 章节专项提高练习《整式的乘除与因式分解》1.若(x ﹣2)(x 2+ax+b)的积中不含x 的二次项和一次项,求(2a+b+1)(2a ﹣b ﹣1)﹣(a+2b)(﹣2b+a)+2b 的值.2.(1)如图是用4个全等的长方形拼成的一个“回形”正方形,图中阴影部分面积用2种方法表示可得一个等式,这个等式为 .(2)若(4x ﹣y)2=9,(4x+y)2=169,求xy 的值.3.比较下列四个算式结果的大小(在横线上填“>”“<”或“=”).(1)42+52_______2×4×5;(2)(-1)2+22_______2×(-1)×2;(3)(-3)2+312______2×(-3)×31; (4)32+32_______2×3×3;(5)请通过观察归纳,写出反映这种规律的一般结论.4.观察下列各式的规律:(a﹣b)(a+b)=a2﹣b2(a﹣b)(a2+ab+b2)=a3﹣b3(a﹣b)(a3+a2b+ab2+b3)=a4﹣b4…可得到(a﹣b)(a2016+a2015b+…+ab2015+b2016)= .5.在日历上,我们发现某些数会满足一定的規律,比如2016年1月份的日历,我们设计这样的算法:任意选择其中的2×2方框,将方框中4个位置上的数先平方,然后交叉求和,再相减请你按照这个算法完成下列计算,并回答以下问题[2016年1月份的日历](1)计算:(12+92)﹣(22+82)= ,﹣= ,自己任选一个有4个数的方框进行计算(2)通过计算你发现什么规律,并说明理由.6.阅读:已知x2y=3,求2xy(x5y2-3x3y-4x)的值.分析:考虑到x,y的可能值较多,不能逐一代入求解,故考虑整体思想,将x2y=3整体代入.解:2xy(x5y2-3x3y-4x)=2x6y3-6x4y2-8x2y=2(x2y)3-6(x2y)2-8x2y=2×33-6×32-8×3=-24.你能用上述方法解决以下问题吗?试一试!已知ab=3,求(2a3b2-3a2b+4a)·(-2b)的值.7.如果一个正整数能表示为两个连续偶数的平方差,那么称这个正整数为“神秘数”.如:4=22-02,12=42-22,20=62-42,因此4,12,20这三个数都是神秘数.(1)28和2012这两个数是神秘数吗?为什么?(2)设两个连续偶数为2k+2和2k(其中k取非负整数),由这两个连续偶数构造的神秘数是4的倍数吗?为什么?(3)两个连续奇数的平方差(取正数)是神秘数吗?为什么?8.从边长为a的正方形中剪掉一个边长为b的正方形(如图1),然后将剩余部分拼成一个长方形(如图2).(1)图1中阴影部分面积为,图2中阴影部分面积为,对照两个图形的面积可以验证公式(填公式名称)请写出这个乘法公式.(2)应用(1)中的公式,完成下列各题:①已知x2﹣4y2=15,x+2y=3,求x﹣2y的值;②计算:(2+1)(22+1)(24+1)(28+1)……(264+1)+1.9.在形如a b=N的式子中,我们已经研究过两种情况:已知a和b求N,这是乘方运算:已知b和N求a,这是开方运算,现在我们研究第三种情况:已知a和N求b,我们称这种运算为对数运算.定义:如果23=8,所以log28=3:因为32=9,所以log39=2,根据以上信息回答下列问题:(1)计算:log381= ,log33= ,log636= ,log x16=4,则x= .(2)设a x=M,a y=N(a>0,且a≠1,M>0,N>0),猜想log a MN和log a的结果,并证明.(3)计算:①log2(2×4×8×16×32×64);②log3;③log93+log927.10.阅读材料:若m2﹣2mn+2n2﹣8n+16=0,求m、n的值.解:∵m2﹣2mn+2n2﹣8n+16=0,∴(m2﹣2mn+n2)+(n2﹣8n+16)=0∴(m﹣n)2+(n﹣4)2=0,∴(m﹣n)2=0,(n﹣4)2=0,∴n=4,m=4.根据你的观察,探究下面的问题:(1)已知a2+6ab+10b2+2b+1=0,求a﹣b的值;(2)已知△ABC的三边长a、b、c都是正整数,且满足2a2+b2﹣4a﹣6b+11=0,求△ABC的周长;(3)已知x+y=2,xy﹣z2﹣4z=5,求xyz的值.参考答案1.解:(x﹣2)(x2+ax+b)=x3+ax2+bx﹣2x2﹣2ax﹣2b=x3+(a﹣2)x2+(b﹣2a)x﹣2b,∵(x﹣2)(x2+ax+b)的积中不含x的二次项和一次项,∴a﹣2=0且b﹣2a=0,解得:a=2、b=4,(2a+b+1)(2a﹣b﹣1)﹣(a+2b)(﹣2b+a)+2b=(2a)2﹣(b+1)2﹣(a2﹣4b2)+2b=4a2﹣b2﹣2b﹣1﹣a2+4b2+2b=3a2+3b2﹣1,当a=2、b=4时,原式=3×22+3×42﹣1=12+48﹣1=59.2.解:(1)(b+a)2﹣(b﹣a)2=4ab(2)(4x+y)2﹣(4x﹣y)2=16xy=160,∴xy=10.3.解:(1)>.(2)>.(3)>.(4)=.(5)结论:对于任意有理数a,b,都有a2+b2≥2ab.当a≠b时,a2+b2>2ab;当a=b时,a2+b2=2ab.4.解:(a﹣b)(a+b)=a2﹣b2;(a﹣b)(a2+ab+b2)=a3﹣b3;(a﹣b)(a3+a2b+ab2+b3)=a4﹣b4;…可得到(a﹣b)(a2016+a2015b+…+ab2015+b2016)=a2017﹣b2017,故答案为:a2017﹣b20175.解:(1)(12+92)﹣(22+82)=1+81﹣4﹣64=14﹣=100+324﹣121﹣289=14,(32+112)﹣(42+102)=9+121﹣16﹣100=14,故答案为:14;(2)计算结果等于14,理由是:设最小的数字为n,则其余三个分别为n+8,n+1,n+7,所以[n2+(n+8)2]﹣[(n+1)2+(n+7)2]=n2+n2+16n+64﹣n2﹣2n﹣1﹣n2﹣14n﹣49=14.6.原式=-4a3b3+6a2b2-8ab=-4(ab)3+6(ab)2-8ab,7.解:(1)找规律:2244120=⨯=-,22124342=⨯=-,22204564=⨯=-,22284786=⨯=-,…… 2220124503504502=⨯=- ,所以28和2012 都是神秘数.(2)()()()22222421k k k +-=+,因此由这两个连续偶数22k +和2k 构造的神秘数是4的倍数.(3)由(2)知,神秘数可以表示成()421k +,因为21k +是奇数,因此神秘数是4的倍数,但一定不是8的倍数.另一方面,设两个连续奇数为21n +和21n -,则()()2221218n n n +--=,即两个连续奇数的平方差是8的倍数. 因此,两个连续奇数的平方差不是神秘数.8.解:(1)图1中阴影部分面积为a 2﹣b 2,图2中阴影部分面积为(a+b)(a ﹣b), 对照两个图形的面积可以验证平方差公式:a 2﹣b 2=(a+b)(a ﹣b).故答案为:a 2﹣b 2,(a+b)(a ﹣b),平方差,a 2﹣b 2=(a+b)(a ﹣b).(2)①∵x 2﹣4y 2=(x+2y)(x ﹣2y),∴15=3(x ﹣2y),∴x ﹣2y=5;②(2+1)(22+1)(24+1)(28+1)……(264+1)+1=(2﹣1)(2+1)(22+1)(24+1)(28+1)……(264+1)+1=(22﹣1)(22+1)(24+1)(28+1)……(264+1)+1=(24﹣1)(24+1)(28+1)……(264+1)+1=(28﹣1)(28+1)……(264+1)+1=(264﹣1)(264+1)+1=2128﹣1+1=2128.9.解:(1)log 381=log 334=4,log 33=1,log 636=log 662=2,log x 16=4,则x=2;答案为:4;1;2;2;(2)log a MN=log a M+log a N ;log a =log a M ﹣log a N ;证明:log a MN=log a a x •a y =log a a x+y =x+y ;log a M+log a N=x+y ,则log a MN=log a M+log a N ; log a =log a =log a a x ﹣y =x ﹣y ;log a M ﹣log a N=x ﹣y ,则log a =log a M ﹣log a N ;(3)①原式=log22+log24+log28+log216+log232+log264=1+2+3+4+5+6=21;②原式=log3243﹣log381=5﹣4=1;③原式=log93×27=log981=2.一、综合题10.解:(1)∵a2+6ab+10b2+2b+1=0,∴a2+6ab+9b2+b2+2b+1=0,∴(a+3b)2+(b+1)2=0,∴a+3b=0,b+1=0,解得b=﹣1,a=3,则a﹣b=4;(2)∵2a2+b2﹣4a﹣6b+11=0,∴2a2﹣4a++2+b2﹣6b+9=0,∴2(a﹣1)2+(b﹣3)2=0,则a﹣1=0,b﹣3=0,解得,a=1,b=3,由三角形三边关系可知,三角形三边分别为1、3、3,∴△ABC的周长为1+3+3=7;(2)∵x+y=2,∴y=2﹣x,则x(2﹣x)﹣z2﹣4z=5,∴x2﹣2x+1+z2+4z+4=0,∴(x﹣1)2+(z+2)2=0,则x﹣1=0,z+2=0,解得x=1,y=1,z=﹣2,∴xyz=2.。
《整式的乘除》全章复习与巩固(浩锋专用)
【知识网络】
【要点梳理】
要点一、幂的运算
1.同底数幂的乘法:
(m n ,为正整数);同底数幂相乘,底数不变,指数相加. 2.幂的乘方:
(m n ,为正整数);幂的乘方,底数不变,指数相乘. 3.积的乘方: (n 为正整数);积的乘方,等于各因数乘方的积.
4.同底数幂的除法:(a ≠0, m n ,为正整数,并且m n >).
同底数幂相除,底数不变,指数相减.
5.零指数幂:()0
10.a a =≠即任何不等于零的数的零次方等于1. 6.负指数幂:1n n a a
-=(a ≠0,n 是正整数). 要点诠释:公式中的字母可以表示数,也可以表示单项式,还可以表示多项式;灵活地双向应用运算性质,使运算更加方便、简洁.
要点二、整式的乘法和除法
1.单项式乘以单项式
单项式与单项式相乘,把他们的系数,相同字母分别相乘,对于只在一个单项式里含有的字母,则连同它的指数作为积的一个因式.
2.单项式乘以多项式
单项式与多项式相乘,就是用单项式去乘多项式的每一项,再把所得的积相加.即都是单项式.
3.多项式乘以多项式
多项式与多项式相乘,先用一个多项式的每一项乘另一个多项式的每一项,再把所得的积相加.即()()a b m n am an bm bn ++=+++.。
⼈教版数学⼋年级上册整式的乘除与因式分解复习与巩固提⾼整式的乘除与因式分解全章复习与巩固(基础)【学习⽬标】1. 掌握正整数幂的运算性质,并能运⽤它们熟练地进⾏运算;掌握单项式乘(或除以)单项式、多项式乘(或除以)单项式以及多项式乘多项式的法则,并运⽤它们进⾏运算;2. 会推导乘法公式(平⽅差公式和完全平⽅公式),了解公式的⼏何意义,能利⽤公式进⾏乘法运算;3. 掌握整式的加、减、乘、除、乘⽅的较简单的混合运算,并能灵活地运⽤运算律与乘法公式简化运算;4. 理解因式分解的意义,并感受分解因式与整式乘法是相反⽅向的运算,掌握提公因式法和公式法(直接运⽤公式不超过两次)这两种分解因式的基本⽅法,了解因式分解的⼀般步骤;能够熟练地运⽤这些⽅法进⾏多项式的因式分解. 【知识⽹络】【要点梳理】【⾼清课堂整式的乘除与因式分解单元复习知识要点】要点⼀、幂的运算 1.同底数幂的乘法:(为正整数);同底数幂相乘,底数不变,指数相加.2.幂的乘⽅: (为正整数);幂的乘⽅,底数不变,指数相乘.3.积的乘⽅: (为正整数);积的乘⽅,等于各因数乘⽅的积.4.同底数幂的除法:(≠0, 为正整数,并且).同底数幂相除,底数不变,指数相减.5.零指数幂:即任何不等于零的数的零次⽅等于1.m n ,m n ,n a m n ,m n >()010.a a =≠要点诠释:公式中的字母可以表⽰数,也可以表⽰单项式,还可以表⽰多项式;灵活地双向应⽤运算性质,使运算更加⽅便、简洁. 要点⼆、整式的乘法和除法 1.单项式乘以单项式单项式与单项式相乘,把他们的系数,相同字母分别相乘,对于只在⼀个单项式⾥含有的字母,则连同它的指数作为积的⼀个因式. 2.单项式乘以多项式单项式与多项式相乘,就是⽤单项式去乘多项式的每⼀项,再把所得的积相加.即(都是单项式).3.多项式乘以多项式多项式与多项式相乘,先⽤⼀个多项式的每⼀项乘另⼀个多项式的每⼀项,再把所得的积相加.即.要点诠释:运算时,要注意积的符号,多项式中的每⼀项前⾯的“+”“-”号是性质符号,单项式乘以多项式各项的结果,要⽤“+”连结,最后写成省略加号的代数和的形式.根据多项式的乘法,能得出⼀个应⽤⽐较⼴泛的公式:.4.单项式相除把系数、相同字母的幂分别相除作为商的因式,对于只在被除式⾥出现的字母,则连同它的指数⼀起作为商的⼀个因式. 5.多项式除以单项式先把这个多项式的每⼀项分别除以单项式,再把所得的商相加. 即:要点三、乘法公式1.平⽅差公式:两个数的和与这两个数的差的积,等于这两个数的平⽅差.要点诠释:在这⾥,既可以是具体数字,也可以是单项式或多项式.平⽅差公式的典型特征:既有相同项,⼜有“相反项”,⽽结果是“相同项”的平⽅减去“相反项”的平⽅.2. 完全平⽅公式:;两数和 (差)的平⽅等于这两数的平⽅和加上(减去)这两数乘积的两倍.要点诠释:公式特点:左边是两数的和(或差)的平⽅,右边是⼆次三项式,是这两数的平⽅和加(或减)这两数之积的2倍.要点四、因式分解把⼀个多项式化成⼏个整式的积的形式,像这样的式⼦变形叫做把这个多项式因式分解,也叫做把这个多项式分解因式.因式分解的⽅法主要有: 提公因式法, 公式法, 分组分解法, ⼗字相乘法, 添、拆项法等.要点诠释:落实好⽅法的综合运⽤:⾸先提取公因式,然后考虑⽤公式;mc mb ma c b a m ++=++)(c b a m ,,,()()a b m n am an bm bn ++=+++()()()2x a x b x a b x ab ++=+++()am bm cm m am m bm m cm m a b c ++÷=÷+÷+÷=++22()()a b a b a b +-=-a b ,()2222a b a ab b +=++2222)(b ab a b a +-=-两项平⽅或⽴⽅,三项完全或⼗字;四项以上想分组,分组分得要合适;⼏种⽅法反复试,最后须是连乘式;因式分解要彻底,⼀次⼀次⼜⼀次.【典型例题】类型⼀、幂的运算1、计算下列各题:(1)(2)(3)(4)【思路点拨】按顺序进⾏计算,先算积的乘⽅,再算幂的乘⽅,最后算同底数的幂相乘. 【答案与解析】解:(1).(2).(3).(4).【总结升华】在进⾏幂的运算时,应注意符号问题,尤其要注意系数为-1时“-”号、括号⾥的“-”号及其与括号外的“-”号的区别.举⼀反三:【变式】当,=4时,求代数式的值.【答案】解:.类型⼆、整式的乘除法运算2、(2015秋?闵⾏区期中)解不等式:(x ﹣6)(x ﹣9)﹣(x ﹣7)(x ﹣1)<7(2x ﹣5)【答案与解析】解:原不等可化为:x ﹣15x+54﹣x +8x ﹣7<14x ﹣35,2334(310)(10)??-2332[3()][2()]m n m n +-+26243(2)(3)xy x y -+-63223(2)(3)[(2)]a a a ---+-2334(310)(10)??-323343(10)(10)=??18192710 2.710=?=?2332[3()][2()]m n m n +-+36263()(2)()m n m n =?+?-?+661227()4()108()m n m n m n =+?+=+26243(2)(3)xy x y -+-6661233612(1)2(1)3x y x y =-??+-?612612612642737x y x y x y =-=63223(2)(3)[(2)]a a a ---+-6662232366(1)2(1)3()(1)(2)a a a =-?--??+-?6666649649a a a a =--=-41=a b 32233)21()(ab b a -+-333223363636611771()()45628884a b ab a b a b a b ??-+-=-==??= 22整理得:﹣21x <﹣82,解得:x >.则原不等式的解集是x >.【总结升华】此题考查了多项式乘多项式,以及解⼀元⼀次不等式,熟练掌握运算法则是解本题的关键.3、已知,求的值.【思路点拨】利⽤除法与乘法的互逆关系,通过计算⽐较系数和相同字母的指数得到的值即可代⼊求值.【答案与解析】解:由已知,得,即,,,解得,,.所以.【总结升华】也可以直接做除法,然后⽐较系数和相同字母的指数得到的值. 举⼀反三:【变式】(1)已知,求的值.(2)已知,,求的值.(3)已知,,求的值.【答案】解:(1)由题意,知.∴.∴,解得.(2)由已知,得,即.由已知,得.∴,即.∴∴.(3)由已知,得.由已知,得.∴.类型三、乘法公式4、对任意整数,整式是否是10的倍数?为什么?82218221312326834mn axy x y x y ÷=(2)n m n a +-m n a 、、312326834mn axy x y x y ÷=31268329284312m n n ax y x y x y x y +=?=12a =39m =2812n +=12a =3m =2n =22(2)(23212)(4)16n m n a +-=?+-=-=m n a 、、1227327m m -÷=m 1020a=1105b =293a b÷23m=24n=322m n-312(3)327m m -÷=3(1)2333m m --=3323m m --=6m =1020a =22(10)20a =210400a=1105b =211025b =221101040025a b ÷=÷2241010a b-=224a b -=22222493333381a b a b a b-÷=÷===23m =3227m =24n=2216n=32322722216m nm n -=÷=n (31)(31)(3)(3)n n n n +---+【答案与解析】解:∵,是10的倍数,∴原式是10的倍数.【总结升华】要判断整式是否是10的倍数,应⽤平⽅差公式化简后,看是否有因数10.举⼀反三:【变式】解下列⽅程(组):【答案】解:原⽅程组化简得,解得.5、已知,,求: (1);(2)【思路点拨】在公式中能找到的关系.【答案与解析】解:(1)∵,,∴(2)∵,,∴.(31)(31)(3)(3)n n n n +---+22222(3)1(3)919n n n n =---=--+22101010(1)n n =-=-210(1)n -(31)(31)(3)(3)n n n n +---+22(2)(4)() ()32x y x y x y x y ?+-+=+-?-=-?2332x y x y -=??-=-?135x y =??=?3a b +=4ab =-22a b +33a b +()2222a b a ab b +=++22,,a b ab a b ++222222a b a ab b ab +=++-()22a b ab =+-3a b +=4ab =-()22232417a b +=-?-=333223a b a a b a b b +=+-+()()()2a a b b a b a b =+-+-()()22a b a ab b =+-+()()2[3]a b a b ab =++-3a b +=4ab =-()332333463a b ??+=-?-=??【总结升华】在⽆法直接利⽤公式的情况下,我们采取“配凑法”进⾏,通过配凑向公式过渡,架起了已知与未知之间桥梁,顺利到达“彼岸”.在解题时,善于观察,捕捉习题特点,联想公式特征,便易于点燃思维的⽕花,找到最佳思路.类型四、因式分解6、分解因式:(1);(2).【答案与解析】解:(1). (2).【总结升华】在提取公因式时要注意提取后各项字母,指数的变化,另外分解要彻底,特别是因式中含有多项式的⼀定要检验是否能再分,分解因式后可逆过来⽤整式乘法验证其正确与否.举⼀反三:【变式】(2016春·⽯景⼭区期末)分解因式:(1)316x x - (2)()()2221236x x x x ---+.【答案】解:(1)316x x -=()216x x -=()()44x x x +-;(2)()()2221236x xx x ---+=()226x x --=()()2223x x +-.整式的乘除与因式分解全章复习与巩固(提⾼)【学习⽬标】1. 掌握正整数幂的运算性质,并能运⽤它们熟练地进⾏运算;掌握单项式乘(或除以)单项式、多项式乘(或除以)单项式以及多项式乘多项式的法则,并运⽤它们进⾏运算;2. 会推导乘法公式(平⽅差公式和完全平⽅公式),了解公式的⼏何意义,能利⽤公式进⾏乘法运算;3. 掌握整式的加、减、乘、除、乘⽅的较简单的混合运算,并能灵活地运⽤运算律与乘法公式简化运算;4. 理解因式分解的意义,并感受分解因式与整式乘法是相反⽅向的运算,掌握提公因式法和公式法(直接运⽤公式不超过两次)这两种分解因式的基本⽅法,了解因式分解的⼀222284a bc ac abc +-32()()()()m m n m m n m m n m n +++-+-2222842(42)a bc ac acb ac abc c b +-=+-32()()()()m m n m m n m m n m n +++-+-2()[()()()]m m n m n m n m n =++++--22()(22)m m n m mn n n =++++般步骤;能够熟练地运⽤这些⽅法进⾏多项式的因式分解. 【知识⽹络】【要点梳理】【⾼清课堂整式的乘除与因式分解单元复习知识要点】要点⼀、幂的运算 1.同底数幂的乘法:(为正整数);同底数幂相乘,底数不变,指数相加.2.幂的乘⽅: (为正整数);幂的乘⽅,底数不变,指数相乘.3.积的乘⽅: (为正整数);积的乘⽅,等于各因数乘⽅的积.4.同底数幂的除法:(≠0, 为正整数,并且).同底数幂相除,底数不变,指数相减.5.零指数幂:即任何不等于零的数的零次⽅等于1.要点诠释:公式中的字母可以表⽰数,也可以表⽰单项式,还可以表⽰多项式;灵活地双向应⽤运算性质,使运算更加⽅便、简洁. 要点⼆、整式的乘法和除法 1.单项式乘以单项式单项式与单项式相乘,把他们的系数,相同字母分别相乘,对于只在⼀个单项式⾥含有的字母,则连同它的指数作为积的⼀个因式. 2.单项式乘以多项式单项式与多项式相乘,就是⽤单项式去乘多项式的每⼀项,再把所得的积相加.即(都是单项式).3.多项式乘以多项式m n ,m n ,n a m n ,m n >()010.a a =≠mc mb ma c b a m ++=++)(c b a m ,,,多项式与多项式相乘,先⽤⼀个多项式的每⼀项乘另⼀个多项式的每⼀项,再把所得的积相加.即.要点诠释:运算时,要注意积的符号,多项式中的每⼀项前⾯的“+”“-”号是性质符号,单项式乘以多项式各项的结果,要⽤“+”连结,最后写成省略加号的代数和的形式.根据多项式的乘法,能得出⼀个应⽤⽐较⼴泛的公式:.4.单项式相除把系数、相同字母的幂分别相除作为商的因式,对于只在被除式⾥出现的字母,则连同它的指数⼀起作为商的⼀个因式. 5.多项式除以单项式先把这个多项式的每⼀项分别除以单项式,再把所得的商相加. 即:要点三、乘法公式1.平⽅差公式:两个数的和与这两个数的差的积,等于这两个数的平⽅差.要点诠释:在这⾥,既可以是具体数字,也可以是单项式或多项式.平⽅差公式的典型特征:既有相同项,⼜有“相反项”,⽽结果是“相同项”的平⽅减去“相反项”的平⽅.2. 完全平⽅公式:;两数和 (差)的平⽅等于这两数的平⽅和加上(减去)这两数乘积的两倍.要点诠释:公式特点:左边是两数的和(或差)的平⽅,右边是⼆次三项式,是这两数的平⽅和加(或减)这两数之积的2倍.要点四、因式分解把⼀个多项式化成⼏个整式的积的形式,像这样的式⼦变形叫做把这个多项式因式分解,也叫做把这个多项式分解因式.因式分解的⽅法主要有: 提公因式法, 公式法, 分组分解法, ⼗字相乘法, 添、拆项法等.要点诠释:落实好⽅法的综合运⽤:⾸先提取公因式,然后考虑⽤公式;两项平⽅或⽴⽅,三项完全或⼗字;四项以上想分组,分组分得要合适;⼏种⽅法反复试,最后须是连乘式;因式分解要彻底,⼀次⼀次⼜⼀次.【典型例题】类型⼀、幂的运算1、已知,求的值.【思路点拨】由于已知的值,所以逆⽤幂的乘⽅把变为,再代⼊计算.()()a b m n am an bm bn ++=+++()()()2x a x b x a b x ab ++=+++()am bm cm m am m bm m cm m a b c ++÷=÷+÷+÷=++22()()a b a b a b +-=-a b ,()2222a b a ab b +=++2222)(b ab a b a +-=-25mx=6155m x -2mx6mx23()m x【答案与解析】解:∵,∴.【总结升华】本题培养了学⽣的整体思想和逆向思维能⼒.举⼀反三:【⾼清课堂整式的乘除与因式分解单元复习例1】【变式】(1)已知,⽐较的⼤⼩.(2)⽐较⼤⼩。
整式的乘除与因式分解 全章复习与巩固(提高)【学习目标】1. 掌握正整数幂的运算性质,并能运用它们熟练地进行运算;掌握单项式乘(或除以)单项式、多项式乘(或除以)单项式以及多项式乘多项式的法则,并运用它们进行运算;2. 会推导乘法公式(平方差公式和完全平方公式),了解公式的几何意义,能利用公式进行乘法运算;3. 掌握整式的加、减、乘、除、乘方的较简单的混合运算,并能灵活地运用运算律与乘法公式简化运算;4. 理解因式分解的意义,并感受分解因式与整式乘法是相反方向的运算,掌握提公因式法和公式法(直接运用公式不超过两次)这两种分解因式的基本方法,了解因式分解的一般步骤;能够熟练地运用这些方法进行多项式的因式分解. 【知识网络】【要点梳理】【高清课堂 整式的乘除与因式分解单元复习 知识要点】 要点一、幂的运算 1.同底数幂的乘法:(m n ,为正整数);同底数幂相乘,底数不变,指数相加.2.幂的乘方: (m n ,为正整数);幂的乘方,底数不变,指数相乘.3.积的乘方: (n 为正整数);积的乘方,等于各因数乘方的积.4.同底数幂的除法:(a ≠0, m n ,为正整数,并且m n >).同底数幂相除,底数不变,指数相减.5.零指数幂:()010.a a =≠即任何不等于零的数的零次方等于1.要点诠释:公式中的字母可以表示数,也可以表示单项式,还可以表示多项式;灵活地双向应用运算性质,使运算更加方便、简洁. 要点二、整式的乘法和除法 1.单项式乘以单项式单项式与单项式相乘,把他们的系数,相同字母分别相乘,对于只在一个单项式里含有的字母,则连同它的指数作为积的一个因式. 2.单项式乘以多项式单项式与多项式相乘,就是用单项式去乘多项式的每一项,再把所得的积相加.即mc mb ma c b a m ++=++)((c b a m ,,,都是单项式).3.多项式乘以多项式多项式与多项式相乘,先用一个多项式的每一项乘另一个多项式的每一项,再把所得的积相加.即()()a b m n am an bm bn ++=+++.要点诠释:运算时,要注意积的符号,多项式中的每一项前面的“+”“-”号是性质符号,单项式乘以多项式各项的结果,要用“+”连结,最后写成省略加号的代数和的形式.根据多项式的乘法,能得出一个应用比较广泛的公式:()()()2x a x b x a b x ab ++=+++.4.单项式相除把系数、相同字母的幂分别相除作为商的因式,对于只在被除式里出现的字母,则连同它的指数一起作为商的一个因式. 5.多项式除以单项式先把这个多项式的每一项分别除以单项式,再把所得的商相加. 即:()am bm cm m am m bm m cm m a b c ++÷=÷+÷+÷=++ 要点三、乘法公式1.平方差公式:22()()a b a b a b +-=-两个数的和与这两个数的差的积,等于这两个数的平方差.要点诠释:在这里,a b ,既可以是具体数字,也可以是单项式或多项式.平方差公式的典型特征:既有相同项,又有“相反项”,而结果是“相同项”的平方减去“相反项”的平方.2. 完全平方公式:()2222a b a ab b +=++;2222)(b ab a b a +-=-两数和 (差)的平方等于这两数的平方和加上(减去)这两数乘积的两倍.要点诠释:公式特点:左边是两数的和(或差)的平方,右边是二次三项式,是这两数的平方和加(或减)这两数之积的2倍. 要点四、因式分解把一个多项式化成几个整式的积的形式,像这样的式子变形叫做把这个多项式因式分解,也叫做把这个多项式分解因式.因式分解的方法主要有: 提公因式法, 公式法, 分组分解法, 十字相乘法, 添、拆项法等.要点诠释:落实好方法的综合运用:首先提取公因式,然后考虑用公式;两项平方或立方,三项完全或十字; 四项以上想分组,分组分得要合适; 几种方法反复试,最后须是连乘式; 因式分解要彻底,一次一次又一次.【典型例题】类型一、幂的运算1、已知25mx=,求6155m x -的值.【思路点拨】由于已知2mx 的值,所以逆用幂的乘方把6mx变为23()m x,再代入计算.【答案与解析】 解:∵25mx=,∴62331115()55520555m m x x -=-=⨯-=. 【总结升华】本题培养了学生的整体思想和逆向思维能力.举一反三:【高清课堂 整式的乘除与因式分解单元复习 例1】【变式】(1)已知246122,9,5===a b c ,比较,,a b c 的大小.(2)比较3020103,9,27大小。
【答案】解:(1)<<b a c ; (2)3010203279=<提示:(1)转化为同指数不同底数的情况进行比较,指数转化为12;(2)转化成比较同底数不同指数,底数转化为3. 类型二、整式的乘除法运算2、(•杭州模拟)已知代数式(mx 2+2mx ﹣1)(x m+3nx+2)化简以后是一个四次多项式,并且不含二次项,请分别求出m ,n 的值,并求出一次项系数.【思路点拨】先把代数式按照多项式乘以多项式展开,因为化简后是一个四次多项式,所以x 的最高指数m+2=4;不含二次项,即二次项的系数为0,即可解答. 【答案与解析】解:(mx 2+2mx ﹣1)(x m+3nx+2)=mx m+2+3mnx 3+2mx 2+2mx m+1+6mnx 2+4mx ﹣x m﹣3nx ﹣2,因为该多项式是四次多项式, 所以m+2=4, 解得:m=2,原式=2x 4+(6n+4)x 3+(3+12n )x 2+(8﹣3n )x ﹣2 ∵多项式不含二次项, ∴3+12n=0, 解得:n=,所以一次项系数8﹣3n=8+34=354. 【总结升华】本题考查了多项式乘以多项式,解决本题的关键是明确化简后是一个四次多项式,所以x 的最高指数m+2=4;不含二次项,即二次项的系数为0,即可解答. 举一反三:【变式】若()13x m x ⎛⎫++ ⎪⎝⎭的乘积中不含x 的一次项,则m 等于______. 【答案】13-; 类型三、乘法公式3、计算:(1)()()a b c d a b c d -+---+;(2)()()231235x y x y ----+. 【思路点拨】(1)中可以将两因式变成a b -与c d -的和差.(2)中可将两因式变成23y -与23x -的和差. 【答案与解析】解:(1)原式22[()()][()()]()()a b c d a b c d a b c d =-+----=---222222a ab b c cd d =-+-+-.(2)原式[(23)(23)][(23)(23)]y x y x =-+---- ()()222323y x =--- 229412125y x y x =--+-.【总结升华】(1)在乘法计算中,经常同时应用平方差公式和完全平方公式.(2)当两个因式中的项非常接近时,有时通过拆项用平方差公式会达到意想不到的效果. 举一反三:【变式】计算:2483(21)(21)(21)1++++. 【答案】解:24822483(21)(21)(21)1(21)(21)(21)(21)1++++=-++++448(21)(21)(21)1=-+++881616(21)(21)12112=-++=-+=.4、已知222246140x y z x y z ++-+-+=,求代数式2012()x y z --的值.【思路点拨】将原式配方,变成几个非负数的和为零的形式,这样就能解出,,x y z .【答案与解析】解:222246140x y z x y z ++-+-+=()()()2221230x y z -+++-=所以1,2,3x y z ==-= 所以20122012()00x y z --==.【总结升华】一个方程,三个未知数,从理论上不可能解出方程,尝试将原式配方过后就能得出正确答案. 举一反三:【变式1】如果22462130x x y y z -+++++=,则()zxy 的值为 .【答案】解:∵22462130x x y y z -+++++=,∴()()222320x y z -++++=,解得232x ,y ,z ==-=- ∴()()21636zxy -=-=. 【变式2】(春•祁阳县期末)课堂上老师指出:若a ,b ,c 是△ABC 的三边长,且满足a 2+b 2+c 2﹣ab ﹣bc ﹣ac=0,请判断该三角形的形状.小明在与同学一起合作探究这个问题时,说出了自己的猜想及理由,得到了老师的赞扬.请你写出小明的猜想和理由. 【答案】 解:依题意得:所以(a ﹣b )2+(b ﹣c )2+(c ﹣a )2=0 所以a=b ,b=c ,c=a . 故△ABC 是等边三角形.5、求证:无论x y ,为何有理数,多项式222616x y x y +-++的值恒为正数. 【答案与解析】解:原式=()()221360x y -+++>所以多项式的值恒为正数.【总结升华】通过配方,将原式变成非负数+正数的形式,这样可以判断多项式的正负. 举一反三:【变式】证明:不论,a b 为何值 , 多项式2222354a b a b ab -----的值一定小于0.【答案】证明:2222354a b a b ab ----- = 2222[(1)(2)4]4a b ab a b ab -++++++ =()22(1)42ab a b -+-+- ∵ 0)12(2≥+ab ,()02≥+b a∴2(1)02ab -+≤, ()20a b -+≤∴ 原式一定小于0. 类型四、因式分解6、分解因式:(1)()()222222x x----(2)()2224420x xx x +---(3)2244634a ab b a b -+-+-【答案与解析】解:(1)原式()()()()()()2222212211x xx x x x =---+=+-+-(2)原式=()()()222224(4)204544x xx x x x x x +-+-=+-++()()()2512x x x =+-+(3)原式=()()()()223242421a b a b a b a b ----=---+ 【总结升华】做题之前要仔细观察,注意从整体的角度看待问题.【巩固练习】 一.选择题1.(•邵阳)已知a+b=3,ab=2,则a 2+b 2的值为( ) A .3 B .4 C .5 D .62. 已知:△ABC 的三边长分别为a b c 、、,那么代数式2222b c ac a -+-的值( )A.大于零B.等于零C.小于零 D 不能确定 3.已知31216x x -+有一个因式是4x +,把它分解因式后应当是( )A .2(4)(2)x x +- B .2(4)(1)x x x +++ C .2(4)(2)x x ++ D .2(4)(1)x x x +-+4.若()()2x a x b x px q ++=++,且0p >,0q <,那么a b ,必须满足条件( ).A.a b ,都是正数B. a b ,异号,且正数的绝对值较大C.a b ,都是负数D. a b ,异号,且负数的绝对值较大5.化简222222(53)2(53)(52)(52)x x x x x x x x ++-+++-++-的结果是( )A .101x +B .25C .22101x x ++ D .以上都不对 6.将下述多项式分解后,有相同因式1x -的多项式有 ( )①; ②; ③; ④;⑤; ⑥A .2个B .3个C .4个D .5个 7. 下列各式中正确的有( )个:①a b b a -=-;② ()()22a b b a -=-; ③()()22a b b a -=--;④()()33a b b a -=--;⑤()()()()a b a b a b a b +-=---+;⑥ ()()22a b a b +=-- A. 1 B. 2 C. 3 D. 48. 将3223x x y xy y --+分组分解,下列的分组方法不恰当的是( )A. 3223()()x x y xy y -+-+ B. 3223()()x xy x y y -+-+ C. 3322()()x y x y xy ++-- D. 3223()x x y xy y --+ 二.填空题9.(·富顺县校级模拟)若()2419a k a --+是一个关于a 的完全平方式,则k = .10.若21=+m x ,34=+my ,则用含x 的代数式表示y 为______.11.已知2226100m m n n ++-+=,则mn = . 12.若230x y <,化简|)(21|276y x xy --⋅-=_________. 13.若32213x x x k --+有一个因式为21x +,则k 的值应当是_________. 14. 设实数x ,y 满足2214202x y xy y ++--=,则x =_________,y =__________. 15.已知5,3a b ab +==,则32232a b a b ab -+= .16.分解因式:(1)4254x x -+=________;(2)3322a m a m am +--=________.三.解答题17.(春•禅城区校级期末)请你说明:当n 为自然数时,(n+7)2﹣(n ﹣5)2能被24整除. 18.(春·工业园区期中)如图1是一个长为4a 、宽为b 的长方形,沿图中虚线用剪刀平均分成四块小长方形,然后用四块小长方形拼成的一个“回形”正方形(如图2).(1)图2中的阴影部分的面积为 ;(2)观察图2,请你写出()2a b +、()2a b -、ab 之间的等量关系 ; (3)根据(2)中的结论,若5x y +=,94xy =,则x y -= ; (4)实际上通过计算图形的面积可以探求相应的等式.如图3,你有什么发现? . 19.计算).1011()911()411()311()211(22222-⨯-⨯⨯-⨯-⨯-20.下面是某同学对多项式()()642422+-+-x x x x +4进行因式分解的过程: 解:设y x x =-42原式=()()264y y +++ (第一步) =2816y y ++ (第二步)=()24+y (第三步)=()2244+-x x (第四步)回答下列问题:(1)该同学第二步到第三步运用了因式分解的( )A .提取公因式 B.平方差公式C.两数和的完全平方公式D.两数差的完全平方公式(2)该同学因式分解的结果是否彻底?______________(填彻底或不彻底)若不彻底,请直接写出因式分解的最后结果_______________. (3)请你模仿以上方法尝试对多项式()()122222++--x x x x 进行因式分解. 【答案与解析】 一.选择题1. 【答案】C ;【解析】解:∵a+b=3,ab=2, ∴a 2+b 2=(a+b )2﹣2ab =32﹣2×2 =5, 故选C.2. 【答案】C ;【解析】()()()222222a ac c b a c b a c b a c b -+-=--=-+--,因为a b c 、、为三角形三边长,所以0,0a b c a b c +->--<,所以原式小于零.3. 【答案】A【解析】代入答案检验. 4. 【答案】B ;【解析】由题意00a b ab +><,,所以选B. 5. 【答案】B ;【解析】原式=()22225352525x x x x ++--+==.6. 【答案】C ;【解析】①,③,⑤,⑥分解后有因式1x -. 7. 【答案】D ;【解析】②④⑤⑥正确. 8. 【答案】D ;【解析】A 、B 各组提公因式后,又有公因式可提取分解,所以分组合理,C 第一组运用立方和公式,第二组提取公因式后,有公因式x y +,所以分组合理,D 第一组提取公因式后与第二组无公因式且又不符公式,所以分解不恰当.二.填空题9. 【答案】13或-11;【解析】解:∵()2419a k a --+是一个关于a 的完全平方式,∴112k -=±, ∴k =13或-11,故答案为:13或-11.10.【答案】224y x x =-+【解析】∵21=-mx ,∴222234323(2)3(1)24=+=+=+=+-=-+mmm y x x x .11.【答案】-3;【解析】()()22222610130,1,3m m n n m n m n ++-+=++-==-=.12.【答案】78x y【解析】因为230x y <,所以0y <,原式=676778112||222xy x y xy x y x y ⎛⎫-=-⨯-= ⎪⎝⎭. 13.【答案】-6;【解析】由题意,当12x =-时,322130x x x k --+=,解得k =-6. 14.【答案】2;4;【解析】等式两边同乘以4,得:224216480x y xy y ++--=222448160x xy y y y -++-+=()()22240x y y -+-=∴2,4,x y y ==∴ 2x =.15.【答案】39;【解析】原式=()()()2224353439ab a b ab a b ab ⎡⎤-=+-=⨯-⨯=⎣⎦.16.【答案】()()()()1122x x x x +-+-;()()2a m a m -+;【解析】()()()()()()422254141122x x x x x x x x -+=--=+-+-;()()332222a m a m am a a m m a m +--=---()()()()222a m a m a m a m =--=-+.三.解答题 17.【解析】解:原式=(n+7+n ﹣5)(n+7﹣n+5)=24(n+1),则当n 为自然数时,(n+7)2﹣(n ﹣5)2能被24整除. 18.【解析】解:(1)阴影部分的边长为()b a -,所以阴影部分的面积为()2b a -,故答案为:()2b a -;(2)()()224a b a b ab +--=,故答案为:()()224a b a b ab +--=;(3)∵()()224x y x y xy +--=,5x y +=,94xy =, ∴()229544x y --=⨯, ∴()216x y -=∴4x y -=±;(4)边长为()a b +与()3a b +的矩形面积为()a b +()3a b +,它由3个边长为a 的正方形、4个边长为a b 、的矩形和一个边长为b 的正方形组成,∴()a b +()3a b +=2234a ab b ++. 19.【解析】 解:原式=11111111111111112233441010⎛⎫⎛⎫⎛⎫⎛⎫⎛⎫⎛⎫⎛⎫⎛⎫+-+-+-+- ⎪⎪⎪⎪⎪⎪ ⎪⎪⎝⎭⎝⎭⎝⎭⎝⎭⎝⎭⎝⎭⎝⎭⎝⎭...... 314253119 (2233441010)=⨯⨯⨯⨯⨯⨯⨯⨯ 1120=. 20.【解析】解:(1)C ;(2)不彻底;()42x -;(3)设22x x y -=,原式=()22121y y y y ++=++ ()()()22421211y x x x =+=-+=-.。