高中数学必修一试卷及答案
- 格式:docx
- 大小:47.99 KB
- 文档页数:6
高一数学必修一试题含答案一、选择题(每题4分,共48分)1、下列哪个选项正确地表示了直线、平面、体之间的关系?A.直线与平面是平行关系B.平面与平面是垂直关系C.两个平面可能相交也可能平行D.以上说法都不正确2、在下列四个选项中,哪个选项的图形是由旋转得到的?A.圆锥体B.正方体C.球体D.圆柱体3、下列哪个函数在区间[0, 1]上是增函数?A. y = sin(x)B. y = cos(x)C. y = x^2D. y = log(x)4、下列哪个选项能正确表示函数y = x^3在(0, + ∞)上的单调性?A.增函数B.减函数C.先增后减D.先减后增5、对于集合A和B,如果A ∪ B = A,那么下列选项中哪个是正确的?A. A ⊆ BB. B ⊆ AC. A ∩ B = ∅D. A = B6、下列哪个选项能正确表示函数y = x^2在(0, + ∞)上的单调性?A.增函数B.减函数C.先增后减D.先减后增7、下列哪个选项能正确表示函数y = log(x)在(0, + ∞)上的单调性?A.增函数B.减函数C.先增后减D.先减后增8、对于集合A和B,如果A ∩ B = B,那么下列选项中哪个是正确的?A. A ⊆ BB. B ⊆ AC. A ∪ B = BD. A = B二、填空题(每题4分,共16分)9、在空间四边形ABCD中,E、F分别是AB、AD的中点,则用符号表示空间中下列向量之间的关系:向量____________与____________是共线向量。
高一数学必修一试卷与答案一、选择题1、下列选项中,哪个选项是正确的?A. (1,2)和 (2,3)是同一个集合B. {1,2,3}和 {3,2,1}是同一个集合C. {x|x = 2n,n属于 Z}和 {x|x = 4n,n属于 Z}是同一个集合D. {x|x = 2n,n属于 Z}和 {x|x = 4n,n属于 Z}不是同一个集合答案:D. {x|x = 2n,n属于 Z}和 {x|x = 4n,n属于 Z}不是同一个集合。
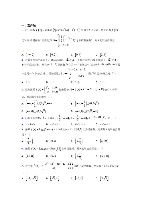
一、选择题1.对于函数()f x ﹐若集合()(){}0,x x f x f x >=-中恰有k 个元素,则称函数()f x 是“k 阶准偶函数”.若函数21,()2,xx a f x x x a ⎧⎛⎫≤⎪ ⎪=⎨⎝⎭⎪>⎩是“2阶准偶函数”,则a 的取值范围是( ) A .(),0-∞B .[)0,2C .[)0,4D .[)2,42.若直角坐标平面内A 、B 两点满足:①点A 、B 都在函数()f x 的图象上;②点A 、B 关于原点对称,则称点()A B ,是函数()f x 的一个“姊妹点对”.点对()A B ,与()B A ,可看作是同一个“姊妹点对”,已知函数220()20xx x x f x x e⎧+<⎪=⎨≥⎪⎩,则()f x 的“姊妹点对”有( )A .0个B .1个C .2个D .3个3.已知函数3,0,(),0.x x f x x x ⎧=⎨-<⎩若函数2()()2()g x f x kx xk =--∈R 恰有4个零点,则k 的取值范围是( )A .1,(22,)2⎛⎫-∞-+∞ ⎪⎝⎭B .1,(0,22)2⎛⎫-∞-⎪⎝⎭C .(,0)(0,22)-∞D .(,0)(22,)-∞+∞4.已知正实数a ,b ,c 满足:21()log 2a a =,21()log 3bb =,2log c c 1=,则( )A .a b c <<B .c b a <<C .b c a <<D .c a b <<5.函数()log (2)a f x ax =-(0a >且1a ≠)在[]0,3上为增函数,则实数a 的取值范围是( ) A .2,13⎛⎫⎪⎝⎭B .(0,1)C .20,3⎛⎫ ⎪⎝⎭D .[)3,+∞ 6.函数()log (3)a f x ax =-在[]13,上单调递增,则a 的取值范围是( ) A .()1+∞, B .()01,C .103⎛⎫ ⎪⎝⎭,D .()3+∞, 7.若函数()22(3)8,1,1x a x x f x ax x ⎧-+--≤=⎨>⎩在R 上是增函数,则实数a 的取值范围是( )A .4,⎡-⎣B .⎤⎦C .[]3,4-D .⎡⎣8.函数sin y x x =的图象可能是( )A .B .C .D .9.已知定义在R 上的函数()f x 满足:对任意的[)()1212,2,x x x x ∈+∞≠,有()()21210f x f x x x ->-,且()2f x +是偶函数,不等式()()121f m f x +≥-对任意的[]1,0x ∈-恒成立,则实数m 的取值范围是( )A .[]4,6-B .[]4,3-C .(][),46,-∞-+∞D .(][),43,-∞-⋃+∞10.若集合3| 01x A x x -=≥+⎧⎫⎨⎬⎩⎭,{|10}B x ax =+≤,若B A ⊆,则实数a 的取值范围是( ) A .1,13⎡⎫-⎪⎢⎣⎭B .1,13⎛-⎤⎥⎝⎦C .(,1)[0,)-∞-+∞ D .1[,0)(0,1)3-⋃11.已知集合()1lg 12A x x ⎧⎫=-<⎨⎬⎩⎭,{}22940B x x x =-+≥,则()RA B 为( )A .()1,4B .1,42⎛⎫⎪⎝⎭C .(4,110D .(1,11012.已知集合{}4A x a x =<<,{}2|560B x x x =-+>,若{|34}A B x x ⋂=<<,则a 的值不可能为( ) A 2B 5C 6D .3二、填空题13.若函数()23xf x x --+=的零点为0x ,满足()01x k k ∈+,且k ∈Z ,则k =_____.14.函数13()3log 1xf x x =-的零点个数为______15.已知函数()()212log 23f x x ax =-+,若函数的增区间是(),1-∞,则实数a =______.16.已知函数log (3)a y ax =-在(1,2)上单调递减,则实数a 的取值范围为___________.17.已知函数(3)5,1()2,1a x x f x a x x--≤⎧⎪=⎨->⎪⎩是R 上的增函数,则a 的取值范围是________.18.设()f x 是定义在R 上的偶函数,且()f x 在[)0,+∞上是减函数,若()()21f m f m ->,则实数m 的取值范围是__________19.若集合{}2|20N x x x a =-+=,{}1M =,且N M ⊆,则实数a 的取值范围是_________20.对于集合M ,定义函数1()1M x Mf x x M∈⎧=⎨-∉⎩,对于两个集合M 、N ,定义集合{|()()1}M N M N x f x f x *=⋅=-,用()Card M 表示有限集合M 所含元素的个数,若{1,2,4,8}A =,{2,4,6,8,10}B =,则能使()()Card X A Card X B *+*取最小值的集合X 的个数为________.三、解答题21.近年来,“共享单车”的出现为市民“绿色出行”提供了极大的方便,某共享单车公司“Mobike”计划在甲、乙两座城市共投资80万元,根据行业规定,每个城市至少要投资20万元,由前期市场调研可知:甲城市收益1y 与投入x (单位:万元)满足145040,2040{25,4060x y x x -+≤<=≤≤,乙城市收益2y 与投入x (单位:万元)满足21202y x =+(1)当甲项目的投入为25万元时,求甲乙两个项目的总收益; (2)试问如何安排甲、乙两个城市的投资,才能使总收益最大?22.某制造商为拓展业务,引进了一种生产体育器材的新型设备.通过市场分析发现,每月需投入固定成本3000元,生产x 台需另投入成本C (x )元,且210400040()100001004980040100x x x C x x x x ⎧+<<⎪=⎨+-≤≤⎪⎩,,,,若每台售价1000元,且每月生产的体育器材月内能全部售完.(1)求制造商所获月利润L (x )(元)关于月产量x (台)的函数关系式;(2)当月产量为多少台时,制造商由该设备所获的月利润最大?并求出最大月利润.23.如图,过函数()log c f x x =(1)c >的图像上的两点A ,B 作x 轴的垂线,垂足分别为M (,0)a ,(,0)N b (1)b a >>,线段BN 与函数()log m g x x =,(1)m c >>的图像交于点C ,且AC 与x 轴平行.(1)当2,4,3a b c ===时,求实数m 的值; (2)当2b a =时,求2m cb a-的最小值; (3)已知()x h x a =,()x x b ϕ=,若1x ,2x 为区间(),a b 内任意两个变量,且12x x <,求证:[][]21()()h f x f x ϕ<.24.(1)求函数()22log 32y x x =-+的定义域;(2)求函数221y x x =-+-,[]2,2x ∈-的值域;(3)求函数223y x x =--的单调递增区间.25.已知函数2()7f x x mx m =++-,m R ∈.(1)若()f x 在区间[2,4]上单调递增,求m 的取值范围; (2)求()f x 在区间[1,1]-上的最小值()g m ;26.设集合{}|36A x x =≤<,集合{}|19B x x =<≤. 求:(1)AB ;(2)()R C A B ⋃.【参考答案】***试卷处理标记,请不要删除一、选择题 1.B 解析:B 【分析】根据“2阶准偶函数”定义,分0a <,0a >,0a =三种情况分析即可得答案. 【详解】解:根据题意,函数21,()2,xx a f x x x a ⎧⎛⎫≤⎪ ⎪=⎨⎝⎭⎪>⎩是“2阶准偶函数”, 则集合()(){}0,x x f x f x >=-中恰有2个元素.当0a <时,函数21,()2,xx af x x x a ⎧⎛⎫≤⎪ ⎪=⎨⎝⎭⎪>⎩有一段部分为2,y x x a =>,注意的函数2yx 本身具有偶函数性质,故集合()(){}0,x x f x f x >=-中不止有两个元素,矛盾,当0a >时,根据“2阶准偶函数”的定义得()f x 的可能取值为2x 或12x⎛⎫ ⎪⎝⎭,()f x -为122-⎛⎫= ⎪⎝⎭xx,故当122xx ⎛⎫= ⎪⎝⎭,该方程无解,当22x x =,解得2x =或4x =,故要使得集合()(){}0,x x f x f x >=-中恰有2个元素,则需要满足2a <,即02a <<;当0a =时,函数21,0()2,0xx f x x x ⎧⎛⎫≤⎪ ⎪=⎨⎝⎭⎪>⎩,()f x 的取值为2x ,()f x -为122-⎛⎫= ⎪⎝⎭xx ,根据题意得22x x =满足恰有两个元素,故0a =满足条件. 综上,实数a 的取值范围是[)0,2. 故选:B 【点睛】本题解题的关键是根据新定义的“2阶准偶函数”,将问题转化为研究函数()f x ,()f x -可能取何值,进而根据22x x =方程有两个解2x =或4x =求解.考查运算求解能力与综合分析能力,是中档题.2.C解析:C 【解析】根据题意可知,“姊妹点对”满足两点:都在函数图象上,且关于坐标原点对称. 可作出函数()220y x x x =+<的图象关于原点对称的图象,看它与函数()20xy x e =≥ 交点个数即可.如图所示:当1x =时,201xe << 观察图象可得:它们有2个交点. 故答案选C点睛:本题主要考查了函数的性质运用,理解题目中两点都在函数图象上,且关于原点对称的意思,结合函数图象即可得出结果3.D解析:D 【分析】由(0)0g =,结合已知,将问题转化为|2|y kx =-与()()||f x h x x =有3个不同交点,分0,0,0k k k =<>三种情况,数形结合讨论即可得到答案.【详解】注意到(0)0g =,所以要使()g x 恰有4个零点,只需方程()|2|||f x kx x -=恰有3个实根 即可, 令()h x =()||f x x ,即|2|y kx =-与()()||f x h x x =的图象有3个不同交点. 因为2,0()()1,0x x f x h x x x ⎧>==⎨<⎩, 当0k =时,此时2y =,如图1,2y =与()()||f x h x x =有1个不同交点,不满足题意; 当0k <时,如图2,此时|2|y kx =-与()()||f x h x x =恒有3个不同交点,满足题意; 当0k >时,如图3,当2y kx =-与2yx 相切时,联立方程得220x kx -+=,令0∆=得280k -=,解得22k =22k > 综上,k 的取值范围为(,0)(22,)-∞+∞.故选:D.【点晴】本题主要考查函数与方程的应用,考查数形结合思想,转化与化归思想,是一道中档题.4.B解析:B 【分析】a 、b 、c 的值可以理解为图象交点的横坐标,则根据图象可判断a ,b ,c 大小关系.【详解】因为21()log 2a a =,21()log 3b b =,2log c c 1=, 所以a 、b 、c 为2log y x =与1()2x y =,1()3xy =,yx =-的交点的横坐标,如图所示:由图象知: c b a <<. 故选:B 【点睛】本题主要考查对数函数,指数函数的图象性质以及函数零点问题,还考查了数形结合的思想方法,属中挡题.5.C解析:C 【分析】根据对数函数性质与复合函数的单调性求解. 【详解】因为0a >且1a ≠,令2t ax =-,所以函数2t ax =-在[]0,3上为减函数, 所以函数log a y t =应是减函数,()f x 才可能是增函数, ∴01a <<,因为函数()f x 在[]0,3上为增函数, 由对数函数性质知230a ->,即23<a , 综上023a <<. 故选:C . 【点睛】本题考查复合函数的单调性,掌握对数函数性质是解题关键,考查逻辑思维能力和计算能力,属于常考题.6.D解析:D 【分析】由题意可得可得1a >,且30a ->,由此求得a 的范围. 【详解】解:函数()log (3)a f x ax =-在[]13,上单调递增,而函数()3t x ax =-在[]13,上单调递增,根据复合函数的单调性可得1a >,且30a ->,解得3a >,即()3a ∈+∞,故选:D . 【点睛】本题主要考查对数函数的定义域、单调性,复合函数的单调性,属于基础题.7.B解析:B 【分析】函数()f x 在R 上是增函数,则在两段上分别要单调递增,且在分界点处要满足2138a a -+--≤,从而得到答案.【详解】函数()22(3)8,1,1x a x x f x ax x ⎧-+--≤=⎨>⎩在R 上是增函数,则满足下列条件:(1)()2238y x a x =-+--在(],1-∞递增,2312a -≥,即a ≥a ≤(2)y ax =在()1,+∞递增,则0a >(3)当1x =时满足2138a a -+--≤,解得34a -≤≤综上可得函数()f x 在R 上是增函数,实数a 4a ≤≤ 故选:B. 【点睛】关键点睛:本题考查根据分段函数的单调性求参数的范围,解答本题的关键是分段函数要在定义域内单调递增,则在两段上要分别单调递增,且在分界点出满足2138a a -+--≤,这也时容易出错的地方,属于中档题.8.A解析:A 【分析】先判断函数奇偶性,排除CD ,再结合函数在()0,π的正负选出正确答案 【详解】设()sin y f x x x ==,求得()sin f x x x -=,故函数为偶函数,排除CD ,由三角函数图像特征可知在()0,π时sin 0x >,故在()0,π时()0f x >,故A 正确 故选:A 【点睛】思路点睛:函数图象的辨识可从以下方面入手:(1)从函数的定义域,判断图象的左右位置;从函数的值域,判断图象的上下位置. (2)从函数的单调性,判断图象的变化趋势; (3)从函数的奇偶性,判断图象的对称性; (4)从函数的特征点,排除不合要求的图象.9.C解析:C 【分析】根据已知条件可知()f x 在(,2]-∞上单调递减,在[2,)x ∈+∞上单调递增,由不等式在[]1,0x ∈-恒成立,结合()f x 的单调性、对称性即可求m 的取值范围.【详解】对任意的[)()1212,2,x x x x ∈+∞≠,有()()21210f x f x x x ->-,知:()f x 在[2,)x ∈+∞上单调递增,()2f x +是偶函数,知:()f x 关于2x =对称,∴()f x 在(,2]-∞上单调递减,在[2,)x ∈+∞上单调递增;∵不等式()()121f m f x +≥-对任意的[]1,0x ∈-恒成立,且3211x -≤-≤-, ∴max (1)(21)(3)f m f x f +≥-=-即可,而根据对称性有(1)(7)f m f +≥, ∴综上知:13m +≤-或17m +≥,解得(][),46,x ∈-∞-+∞,故选:C 【点睛】结论点睛:注意抽象函数单调性、对称性判断 对任意的()1212,x x x x ≠:()()21210f x f x x x ->-有()f x 单调递增;()()21210f x f x x x -<-有()f x 单调递减;当()f x n +是偶函数,则()f x 关于x n =对称;思路点睛:对称型函数不等式在一个闭区间上恒成立:在对称轴两边取大于或小于该闭区间最值即可,结合函数区间单调性求解.10.A解析:A 【分析】先根据分式不等式求解出集合A ,然后对集合B 中参数a 与0的关系作分类讨论,根据子集关系确定出a 的范围. 【详解】因为301x x -≥+,所以()()10310x x x +≠⎧⎨-+≥⎩,所以1x <-或3x ≥,所以{|1A x x =<-或}3x ≥,当0a =时,10≤不成立,所以B =∅,所以B A ⊆满足, 当0a >时,因为10ax +≤,所以1x a≤-, 又因为B A ⊆,所以11-<-a,所以01a <<, 当0a <时,因为10ax +≤,所以1x a≥-, 又因为B A ⊆,所以13a -≥,所以103a -≤<, 综上可知:1,13a ⎡⎫∈-⎪⎢⎣⎭. 故选:A. 【点睛】本题考查分式不等式的求解以及根据集合间的包含关系求解参数范围,难度一般.解分式不等式的方法:将分式不等式先转化为整式不等式,然后根据一元二次不等式的解法或者高次不等式的解法(数轴穿根法)求出解集.11.A解析:A 【分析】解对数不等式求得集合A ,解一元二次不等式求得RB ,由此求得()RAB【详解】由于()1lg 12x -<=,所以{(011,1A x x =<-<=, 依题意{}2R2940B x x x =-+<,()()22944210x x x x -+=--<,解得142x <<,即R 1,42B ⎛⎫= ⎪⎝⎭,所以()()R1,4A B ⋂=.故选:A【点睛】本小题主要考查集合交集和补集的运算,考查对数不等式和指数不等式的解法,属于中档题.12.A解析:A【分析】求出{2B x x =<或}3x >,利用{|34}A B x x ⋂=<<,得23a ≤≤. 【详解】集合{}4A x a x =<<,{}{25602B x x x x x =-+=<或}3x >,{|34}A B x x ⋂=<<,∴23a ≤≤,∴a故选:A. 【点睛】本题考查了根据集合间的基本关系求解参数范围的问题,属于中档题.解决此类问题,一般要把参与运算的集合化为最简形式,借助数轴求解参数的范围.二、填空题13.【分析】根据题意得到函数为减函数进而求得的值利用零点的存在定理即可求解【详解】由题意函数分析可得函数为减函数又由则根据零点的存在定理可得函数的零点在区间上所以故答案为【点睛】本题主要考查了函数与方程 解析:3【分析】根据题意,得到函数()f x 为减函数,进而求得()()3,4f f 的值,利用零点的存在定理,即可求解. 【详解】由题意,函数()23xf x x --+=,分析可得函数()f x 为减函数, 又由()31323308f -=+=>-,()4154243016f --=+=-<, 则()()340f f ⋅<,根据零点的存在定理,可得函数()f x 的零点在区间()3,4上, 所以3k =. 故答案为3. 【点睛】本题主要考查了函数与方程的应用,其中解答中熟记函数零点的概念,以及熟练应用零点的存在定理进行判定是解答的关键,着重考查了分析问题和解答问题的能力,属于基础题.14.2【分析】化简得到画出函数图像根据图像得到答案【详解】取则即画出函数图像如图所示:根据图像知有两个交点故函数有两个零点故答案为:【点睛】本题考查了函数零点问题画出函数图像是解题的关键解析:2 【分析】化简得到131log=3xx ⎛⎫⎪⎝⎭,画出函数图像,根据图像得到答案.【详解】取13()3log1=0xf x x=-,则133log=1x x,即131log=3xx⎛⎫⎪⎝⎭,画出函数图像,如图所示:根据图像知有两个交点,故函数有两个零点.故答案为:2.【点睛】本题考查了函数零点问题,画出函数图像是解题的关键.15.1或2【分析】因为函数在上单调递减要使的单调增区间为分两种情况讨论对称轴和对称轴分别计算可得;【详解】解:因为函数在上单调递减要使的单调增区间为①当函数对称轴为时因为所以恒成立满足条件②当函数对称轴解析:1或2【分析】因为函数12logy x=在()0,∞+上单调递减,要使()()212log23f x x ax=-+的单调增区间为(),1-∞,分两种情况讨论,对称轴1x=和对称轴1x a=>,分别计算可得;【详解】解:因为函数12logy x=在()0,∞+上单调递减,要使()()212log23f x x ax=-+的单调增区间为(),1-∞,①当函数()223g x xx a=-+对称轴为1x a==时,因为()22430∆=--⨯<,所以2230x ax-+>恒成立,满足条件,②当函数()223g x xx a=-+对称轴1x a=>时,需满足()10g=,即21230a-+=解得2a=;综上可得1a=或2故答案为:1或2【点睛】本题考查复合函数的单调性判断,已知函数的单调性求参数的取值范围,属于中档题.16.【分析】由复合函数的单调性:同增异减由于递减因此必须递增即有还要考虑函数定义域即在时恒成立【详解】∵∴是减函数又在上是减函数所以且∴故答案为:【点睛】本题考查对数型复合函数的单调性掌握复合函数单调性 解析:3(1,]2【分析】由复合函数的单调性:同增异减,由于3u ax =-递减,因此log a y u =必须递增,即有1a >,还要考虑函数定义域,即在(1,2)x ∈时,30ax ->恒成立.【详解】∵0a >,∴3u ax =-是减函数,又log (3)a y ax =-在(1,2)上是减函数,所以1a >, 且320a -≥,∴312a <≤. 故答案为:3(1,]2.【点睛】本题考查对数型复合函数的单调性,掌握复合函数单调性是解题关键,同时要考虑函数的定义域.17.【分析】函数是增函数可得且即可求解【详解】因为函数为上的增函数所以当时递增即当时递增即且解得∴综上可知实数的取值范围是故答案为:【点睛】易错点睛:本题考查根据分段函数的单调性求参数范围需满足分段函数 解析:(]0,2【分析】函数是增函数可得30a ->,0a >且2(3)151aa -⨯-≤-,即可求解. 【详解】因为函数()f x 为R 上的增函数,所以当1x ≤时,()f x 递增,即30a ->,当1x >时,()f x 递增,即0a >, 且2(3)151aa -⨯-≤-,解得2a ≤,∴02a <≤, 综上可知实数a 的取值范围是(]0,2. 故答案为:(]0,2. 【点睛】易错点睛:本题考查根据分段函数的单调性求参数范围,需满足分段函数每部分分别单调,还应注意在分段处的函数值大小问题,这是容易漏掉的地方.18.【分析】根据函数奇偶性和单调性之间的关系将不等式进行转化即可得到结论【详解】解:是定义在上的偶函数且在上是减函数不等式等价为即所以即即解得即故答案为:【点睛】本题主要考查不等式的求解根据函数奇偶性和解析:1,13⎛⎫⎪⎝⎭【分析】根据函数奇偶性和单调性之间的关系,将不等式进行转化即可得到结论. 【详解】 解:()f x 是定义在R 上的偶函数,且()f x 在[)0,+∞上是减函数,∴不等式()()21f m f m ->,等价为()()21f m f m ->,即21m m -<,所以()2221m m -<,即()22210m m --<,即()()3110m m --<,解得113m << 即1,13m ⎛⎫∈ ⎪⎝⎭故答案为:1,13⎛⎫ ⎪⎝⎭【点睛】本题主要考查不等式的求解,根据函数奇偶性和单调性之间的关系,将不等式进行等价转化是解决本题的关键,属于中档题.19.【分析】根据条件得到或分别计算得到答案【详解】则或当时解得;当时满足综上所述:故答案为:【点睛】本题考查了根据集合的包含关系求参数忽略掉空集的情况是容易发生的错误 解析:[1,)+∝【分析】根据条件得到{}1N =或N =∅,分别计算得到答案. 【详解】N M ⊆,则{}1N =或N =∅当{}1N =时,{}{}2|201N x x x a =-+==,解得1a =;当N =∅时,{}2|20N x xx a =-+=,满足4401a a ∆=-<∴>.综上所述:1a ≥ 故答案为:[1,)+∝ 【点睛】本题考查了根据集合的包含关系求参数,忽略掉空集的情况是容易发生的错误.20.【分析】通过定义可以用集合中的补集来解释再根据取最小值时所满足的条件最后可以求出集合的个数【详解】因为所以有要想最小只需最大且最小要使最小则有所以集合是集合和集合子集的并集因此集合的个数为个故答案为解析:8【分析】通过定义可以用集合中的补集来解释,再根据()()Card X A Card X B *+*取最小值时所满足的条件,最后可以求出集合X 的个数. 【详解】因为{|()()1}M N M N x f x f x *=⋅=-,所以有()MNM N C M N *=⋂,要想()Card X A *最小,只需()Card X A ⋂最大,且()Card X A ⋃最小,要使 ()()Card X A Card X B *+*最小, 则有A B X A B ⋂⊆⊆⋃,{}{}1,2,4,6,8,10,2,4,8A B A B ⋃=⋂=,所以集合X 是集合{}2,4,8和集合{}1,6,10子集的并集,因此集合X 的个数为328=个. 故答案为:8 【点睛】本题考查了新定义题,考查了集合与集合之间的关系,考查了数学阅读能力.三、解答题21.(1)1392万元 (2)甲城市的投入为30万元,乙城市的投入为50万元 【分析】(1)当甲城市的投入为25万元时,则乙城市的投入为802555-=万元,直接分别代入对应的收益表达式中,得出答案.(2)设甲城市的投入为x 万元,则乙城市的投入为80x -万元,分2040x ≤<和4060x ≤≤分别求出甲、乙两个城市的投资的总收益,再分别求出其最大值,再比较得出答案. 【详解】(1)当甲城市的投入为25万元时,则乙城市的投入为802555-=万元 则甲城市收益1450402225y =-+=万元 乙城市收益2195552022y =⨯+= 所以甲、乙两个城市的投资的总收益为951392222+=万元 (2)设甲城市的投入为x 万元,则乙城市的投入为80x -万元 当2040x ≤<时,甲、乙两个城市的投资的总收益为()45014080202y x x =-++⨯-+即4501100100702y x x⎛⎫=-+≤-= ⎪⎝⎭,当且仅当45012x x =即30x =时,取等号.当4060x ≤≤时,甲、乙两个城市的投资的总收益为()12580202y x =+⨯-+ 即()112580208522y x x =+⨯-+=- 当40x =时,1852y x =-有最小值65 综上,当30x =时,甲、乙两个城市的投资的总收益最大.所以甲城市的投入为30万元,乙城市的投入为50万元,甲、乙两个城市的投资的总收益最大 【点睛】关键点睛:本题考查函数的实际应用问题,解答的关键是分段得出甲、乙两个城市的投资的总收益的表达式,当2040x ≤<时,甲、乙两个城市的投资的总收益为()45014080202y x x =-++⨯-+,当4060x ≤≤时,甲、乙两个城市的投资的总收益为()12580202y x =+⨯-+,分别求出最大值,从而可解,属于中档题. 22.(1)2106003000040()100006800(4)40100.x x x L x x x x ⎧-+-<<⎪=⎨-+≤≤⎪⎩,,,;(2)月产量为50台时,所获的月利润最大,最大月利润为6400元. 【分析】(1)分040x <<和40100x ≤≤时两种情况,利用利润=销售额-成本列式即可;(2)利用二次函数求040x <<时的最大值,利用基本不等式求40100x ≤≤时的最大值,取最大即可. 【详解】(1)当0<x <40时,L (x )=1000x -10x 2-400x -3000=-10x 2+600x -3000; 当40≤x ≤100时,L (x )=100001000100498003000x x x--+- 10000=6800(4)x x-+. 所以2106003000040()100006800(4)40100.x x x L x x x x ⎧-+-<<⎪=⎨-+≤≤⎪⎩,,, (2)①当0<x <40时,L (x )=-10(x -30)2+6000, 所以当x =30时,L (x )max =L (30)=6000. ②当40≤x ≤100时,10000()6800(4)L x x x =-+68006400-=≤, 当且仅当100004x x=,即x =50时取等号.因为6400>6000,所以x =50时,L (x )最大.答:月产量为50台时,所获的月利润最大,最大月利润为6400元. 【点睛】本题主要考查了分段函数的实际应用,涉及二次函数求最值和基本不等式求最值,属于基础题.23.(1)9;(2)1-;(3)证明见解析. 【分析】(1)将2a =,4b =,3c =代入,然后分别得出点A ,C 的坐标,使点A 与点C 的纵坐标相等求解m 的值;(2)用含a ,b 的式子表示出点A ,B ,C 的坐标,再利用AC 与x 轴平行得到m 与a ,b ,c 的关系式,代入2m cb a-中,运用函数知识处理最值即可; (3)当12a x x b <<<,且1c >时可推出12log log log log c c c c a x x b <<<,则有2log log c c x b a a <,1log logcc a x b b <成立,又log log log log c c c c b a a b =即log log log log c c b a c c a b =,则可证明出log log c c b a a b =,则可证明出21log log c c x x a b <,即[][]21()()h f x f x ϕ<成立.【详解】解:(1)由题意得A 3(2,log 2),B 3(4,log 4) ,C (4,log 4)m , 因为AC 与x 轴平行,所以3log 4log 2m = 所以9m =.(2)由题意得A (,log )c a a ,B (,log )c b b ,C (,log )m b b 因为AC 与x 轴平行,所以log log m c b a =, 因为2b a =,所以2m c =.所以22222(1)1m c c c cb a a a a-=-=--,所以1c a =时,达到最小值1-,(3)证明:因为12a x x b <<<,且1c >, 所以12log log log log c c c c a x x b <<<, 又因为1a >,1b >, 所以2log log c c x b a a <,1log logcc a x b b <,又因为log log log log c c c c b a a b =, 所以log log log log c c ba c c ab =,所以log logc c b a a b =,所以21log log c c x x a b <,即21[()][()]h f x f x ϕ<.24.(1)()(),12,-∞⋃+∞;(2)[]9,0-;(3)[]1,1-,[)3,+∞.【分析】(1)解不等式2320x x -+>可求得函数()22log 32y x x =-+的定义域;(2)利用二次函数的基本性质可求得函数221y x x =-+-,[]2,2x ∈-的值域;(3)将函数223y x x =--的解析式表示为分段函数,利用二次函数的基本性质可求得原函数的单调递增区间. 【详解】(1)对于函数()22log 32y x x =-+,有2320x x -+>,解得1x <或2x >. 因此,函数()22log 32y x x =-+的定义域为()(),12,-∞⋃+∞;(2)当[]2,2x ∈-时,()[]222119,0y x x x =-+-=--∈-,因此,函数221y x x =-+-,[]2,2x ∈-的值域为[]9,0-; (3)解不等式2230x x -->,解得1x <-或3x >,所以,222223,12323,1323,3x x x y x x x x x x x x ⎧--<-⎪=--=-++-≤≤⎨⎪-->⎩.二次函数223y x x =--的图象开口向上,对称轴为直线1x =. 当1x <-时,函数223y x x =--单调递减;当13x -≤≤时,函数2y x 2x 3=-++在区间[]1,1-上单调递增,在区间[]1,3上单调递减;当3x >时,函数223y x x =--单调递增.综上所述,函数223y x x =--的单调递增区间为[]1,1-,[)3,+∞.【点睛】本题考查与二次函数相关问题的求解,考查了对数型复合函数的定义域、二次函数的值域以及含绝对值的二次函数单调区间的求解,考查计算能力,属于中等题.25.(1)[4,)-+∞;(2)226,27(),2246,2m m m m g m m m -≤-⎧⎪+-⎪=--<<⎨⎪-≥⎪⎩. 【分析】(1)计算二次函数的对称轴,然后根据单调性可得122m -≤,计算即可. (2)分类讨论112m -≤-,1112m -<-<,112m -≥,分别计算即可. 【详解】(1)由题可知,函数2()7f x x mx m =++-()m R ∈开口向上,对称轴的方程为2mx =-,若使得函数()f x 在[2,4]上单调递增, 则满足122m -≤,解得4m ≥-,即实数m 的取值范围[4,)-+∞. (2)①当112m -≤-即2m ≥时, 函数()y f x =在区间[1,1]-单调递增,所以函数()y f x =的最小值为()(1)6g m f =-=-; ②当1112m -<-<,即22m -<<时, 函数()y f x =在区间11,2m ⎡⎤--⎢⎥⎣⎦单调递减,在区间1,12m ⎡-⎤⎢⎥⎣⎦上单调递增, 所以函数()y f x =的最小值为21()724m g m f m m ⎛⎫=-=-+- ⎪⎝⎭; ③当112m -≥即2m ≤-时, 函数()y f x =在区间[1,1]-单调递减,所以函数()y f x =的最小值为()(1)26g m g m ==-,综上可得,函数的最小值为226,27(),2246,2m m m m g m m m -≤-⎧⎪+-⎪=--<<⎨⎪-≥⎪⎩. 【点睛】结论点睛:二次函数在区间上的最值问题:(1)动轴定区间;(2)定轴动区间;(3)动轴动区间;对本题属于动轴动区间问题需要讨论对称轴与所给区间位置关系. 26.(1){}|36A B x x ⋂=≤<;(2)()R C A B R ⋃= 【分析】(1)根据集合的交集运算即可(2)根据集合的补集、并集运算. 【详解】因为集合{}|36A x x =≤<,集合{}|19B x x =<≤ 所以{}|36A B x x ⋂=≤<. 所以{|3R C A x x =<或}6x ≥, ∴R C A B R ⋃=. 【点睛】本题主要考查了集合的交集,补集,并集运算,属于容易题.。
高中数学集合检测题本试卷分第Ⅰ卷(选择题)和第Ⅱ150分;考试时间90分钟.第Ⅰ卷(选择题;共60分)一、选择题:本大题共12小题;每小题5分;共60分. 在每小题给出的四个选项中;只有一项是符合题目要求的.1.已知集合M={x N|4-x N}∈∈;则集合M 中元素个数是( ) A .3 B .4 C .5 D .62.下列集合中;能表示由1、2、3组成的集合是( ) A .{6的质因数} B .{x|x<4;*x N ∈} C .{y||y |<4;y N ∈} D .{连续三个自然数} 3. 已知集合{}1,0,1-=A ;则如下关系式正确的是 A A A ∈ B 0A C A ∈}0{ D ∅A4.集合}22{<<-=x x A ;}31{<≤-=x x B ;那么=⋃B A ( )A. }32{<<-x xB.}21{<≤x xC.}12{≤<-x xD.}32{<<x x 5.已知集合}01|{2=-=x x A ;则下列式子表示正确的有( ) ①A ∈1 ②A ∈-}1{ ③A ⊆φ ④A ⊆-}1,1{A .1个B .2个C .3个D .4个6.已知2U U={1,2,23},A={|a-2|,2},C {0}a a A +-=;则a 的值为( ) A .-3或1 B .2 C .3或1 D .17. 若集合}8,7,6{=A ;则满足A B A =⋃的集合B 的个数是( )A. 1B. 2C. 7D. 88. 定义A —B={x|x A x B ∈∉且};若A={1;3;5;7;9};B={2;3;5};则A —B 等于( ) A .A B .B C .{2} D .{1;7;9}9.设I 为全集;1S ;2S ;3S 是I 的三个非空子集;且123S S S I ⋃⋃=;则下面论断正确的是( )A .()I 123(C S )S S ⋂⋃= φB .()1I 2I 3S [C S )(C S ]⊆⋂C .I 1I 2I 3(C S )(C S )(C S )⋂⋂=∅D .()1I 2I 3S [C S )(C S ]⊆⋃ 10.如图所示;I 是全集;M ;P ;S 是I 的三个子集;则阴影部分所表示的集合是( )A .()M P S ⋂⋂B .()M P S ⋂⋃C .()I (C )M P S ⋂⋂D .()I (C )M P S ⋂⋃11. 设},2|{R x y y M x ∈==;},|{2R x x y y N ∈==;则( )A. )}4,2{(=⋂N MB. )}16,4(),4,2{(=⋂N MC. N M =D. N M ≠⊂12.已知集合M={x|x 1},N={x|x>}a ≤-;若M N ≠∅;则有( ) A .1a <- B .1a >- C . 1a ≤- D .1a ≥-第Ⅱ卷(非选择题 共90分)二、填空题:本大题6小题;每小题5分;共30分. 把正确答案填在题中横线上13.用描述法表示右侧图中阴影部分的点(含边界上的点)组成的集合M 是___________________________.14. 如果全集}6,5,4,3,2,1{=U 且}2,1{)(=⋂B C A U ;}5,4{)()(=⋂B C A C U U ;}6{=⋂B A ;则A 等于_________15. 若集合{}2,12,4a a A --=;{}9,1,5a a B --=;且{}9=B A ;则a 的值是________; 16.设全集{|230}U x N x =∈≤≤;集合*{|2,,15}A x x n n N n ==∈≤且;*{|31,,9}B x x n n N n ==+∈≤且;C={x|x 是小于30的质数};则[()]U C A B C =________________________.17.设全集R B C A x x B a x x A R =⋃<<-=<=)(},31{},{且;则实数a 的取值范围是________________18.某城市数、理、化竞赛时;高一某班有24名学生参加数学竞赛;28名学生参加物理竞赛;19名学生参加化学竞赛;其中参加数、理、化三科竞赛的有7名;只参加数、物两科的有5名;只参加物、化两科的有3名;只参加数、化两科的有4名;若该班学生共有48名;则没有参加任何一科竞赛的学生有____________名三、解答题:本大题共5小题;共60分;解答应写出文字说明;证明过程或演算步骤.19. 已知:集合{|A x y ==;集合2{|23[03]}B y y x x x ==-+∈,,; 求A B (本小题8分)20.若A={3;5};2{|0}B x x mx n =++=;A B A =;{5}A B =;求m 、n 的值。
数学高中必修一试题及答案一、选择题(每题3分,共30分)1. 下列函数中,哪一个是一次函数?A. y = x^2B. y = 3x + 5C. y = √xD. y = log(x)答案:B2. 如果a > 0,b < 0,且|a| < |b|,那么a + b的符号是:A. 正B. 负C. 零D. 不确定答案:B3. 已知等差数列的首项a1=2,公差d=3,求第10项a10的值:A. 17B. 29C. 35D. 38答案:B4. 圆的半径为5,圆心到直线的距离为3,那么直线与圆的位置关系是:A. 相切B. 相交C. 相离D. 内切答案:B5. 函数f(x) = 2x - 3在点x=1处的导数是:A. 2B. -3C. -2D. 1答案:A6. 已知三角形ABC的三边长分别为a, b, c,且满足a^2 + b^2 = c^2,那么这个三角形是:A. 锐角三角形B. 直角三角形C. 钝角三角形D. 等边三角形答案:B7. 集合A={1, 2, 3},B={2, 3, 4},求A∪B:A. {1, 2, 3}B. {1, 2, 3, 4}C. {2, 3}D. {1, 4}答案:B8. 已知等比数列的首项a1=2,公比q=2,求第5项a5的值:A. 16B. 32C. 64D. 128答案:C9. 函数y = x^3 - 3x^2 + 2在点x=1处的极值情况是:A. 极大值B. 极小值C. 无极值D. 不确定答案:B10. 已知向量a=(2, -1),b=(-3, 4),求向量a与b的点积:A. 5B. -5C. -10D. 10答案:B二、填空题(每题2分,共20分)11. 已知函数f(x) = x^2 + 2x + 1,求f(-1)的值。
答案:012. 一个直角三角形的两条直角边分别为3和4,求斜边的长度。
答案:513. 已知集合M={x | x < 5},N={x | x > 3},求M∩N。
一.选择题(共36小题)1.设集合A={y|y=2x,x∈R},B={x|x2﹣1<0},则A∪B=()A.(﹣1,1)B.(0,1) C.(﹣1,+∞)D.(0,+∞)2.若全集U=R,集合M={x|lg(x﹣1)<0},则∁U M为()A.[2,+∞)B.(﹣∞,1]∪[2,+∞)C.(2,+∞)D.(﹣∞,1)∪(2,+∞)3.已知集合A={x|﹣2<x<4},B={x|y=lg(x﹣2)},则A∩(∁R B)=()A.(2,4) B.(﹣2,4)C.(﹣2,2)D.(﹣2,2]4.已知集合M={x|≤0},N={x|y=log3(﹣6x2+11x﹣4)},则M∩N=()A.[1,] B.(,3] C.(1,)D.(,2)5.已知集合A={x|x2﹣x﹣6<0},B={x|3x>1},则A∩B=()A.(1,2) B.(1,3) C.(0,2) D.(0,3)6.已知集合A={x|x2﹣2x﹣3<0},,则A∩B=()A.{x|1<x<3}B.{x|﹣1<x<3}C.{x|﹣1<x<0或0<x<3}D.{x|﹣1<x<0或1<x<3}7.已知集合A={0,1,2,3,4,5},集合B={x|x2<10},则A∩B=()A.{0,2,4}B.{3}C.{0,1,2,3}D.{1,2,3}8.设集合A={x∈N||x|≤2},B={y|y=1﹣x2},则A∩B=()A.{x|﹣2≤x≤1}B.{0,1}C.{1,2}D.{x|0≤x≤1}9.已知集合A={x∈Z||x|<4},B={x|x﹣1≥0},则A∩B等于()A.(1,4) B.[1,4) C.{1,2,3}D.{2,3,4}10.已知全集U=R,集合A={x|y=lg(x﹣1)},集合,则A ∩B=()A.∅B.(1,2]C.[2,+∞)D.(1,+∞)11.已知集合A={x∈Z|(x+1)(x﹣2)≤0},B={x|﹣2<x<2},则A∩B=()A.{x|﹣1≤x<2}B.{﹣1,0,1}C.{0,1,2}D.{﹣1,1}12.命题“∀x∈[1,2],x2﹣3x+2≤0”的否定是()A.∀x∈[1,2],x2﹣3x+2>0 B.∀x∉[1,2],x2﹣3x+2>0C. D.13.下列有关命题的说法正确的是()A.命题“若x2=1,则x=1”的否命题为:“若x2=1,则x≠1”B.“x=﹣1”是“x2﹣5x﹣6=0”的必要不充分条件C.命题“∃x∈R,使得x2+x+1<0”的否定是:“∀x∈R,均有x2+x+1<0”D.命题“若x=y,则sinx=siny”的逆否命题为真命题14.已知命题p:∀x>1,log2x+4log x2>4,则¬p为()A.¬p:∀x≤1,log2x+4log x2≤4 B.¬p:∃x≤1,log2x+4log x2≤4C.¬p:∃x>1,log2x+4log x2=4 D.¬p:∃x>1,log2x+4log x2≤415.下列说法错误的是()A.命题“若x2﹣4x+3=0,则x=3”的逆否命题是“若x≠3,则x2﹣4x+3≠0”B.“x>1”是“|x|>0”的充分不必要条件C.命题p:“∃x∈R,使得x2+x+1<0”,则綈p:“∀x∈R,x2+x+1≥0”D.若p∧q为假命题,则p、q均为假命题16.下列说法中,正确的是()A.命题“若am2<bm2,则a<b”的逆命题是真命题B.命题“∃x∈R,x2﹣x>0”的否定是“∀x∈R,x2﹣x≤0”C.命题“p∨q”为真命题,则命题“p”和命题“q”均为真命题D.已知x∈R,则“x>1”是“x>2”的充分不必要条件17.命题P:“若x>1,则x2>1”,则命题P:以及它的否命题、逆命题、逆否命题这四个命题中真命题的个数为()A.1 B.2 C.3 D.418.下列四组函数中,表示同一函数的是()A.f(x)=|x|,g(x)=B.f(x)=lg x2,g(x)=2lg xC.f(x)=,g(x)=x+1 D.f(x)=•,g(x)=19.函数f(x)=+的定义域是()A.[﹣2,2]B.(﹣1,2]C.[﹣2,0)∪(0,2]D.(﹣1,0)∪(0,2]20.函数f(x)=的定义域为()A.{x|x>0}B.{x|x>1}C.{x|x≥1}D.{x|0<x≤1}21.函数定义域为()A.(0,1000]B.[3,1000]C.D.22.要得到函数y=log3(1﹣x)的图象,只需将函数y=log3x的图象()A.先关于x轴对称,再向右平移1个单位B.先关于x轴对称,再向左平移1个单位C.先关于y轴对称,再向右平移1个单位D.先关于y轴对称,再向左平移1个单位23.若函数y=f(x)的图象如图所示,则函数y=f(1﹣x)的图象大致为()A.B.C.D.24.函数f(x)=2|x|﹣x2的图象为()A.B.C.D.25.已知图①中的图象对应的函数y=f(x),则图②中的图象对应的函数是()A.y=f(|x|)B.y=|f(x)|C.y=f(﹣|x|)D.y=﹣f(|x|)26.函数f(x)的导函数f′(x)的图象如图所示,则下列说法正确的是()A.函数f(x)在(﹣2,3)内单调递减B.函数f(x)在x=3处取极小值C.函数f(x)在(﹣4,0)内单调递增D.函数f(x)在x=4处取极大值27.函数,满足f(x)>1的x的取值范围()A.(﹣1,1)B.(﹣1,+∞)C.{x|x>0或x<﹣2}D.{x|x>1或x<﹣1}28.函数y=的递增区间是()A.(﹣∞,﹣2)B.[﹣5,﹣2]C.[﹣2,1]D.[1,+∞)29.函数的单调递增区间是()A.[﹣1,+∞)B.(﹣∞,﹣1]C.[1,+∞)D.(﹣∞,1]30.函数f(x)=|x2﹣6x+8|的单调递增区间为()A.[3,+∞)B.(﹣∞,2),(4,+∞)C.(2,3),(4,+∞)D.(﹣∞,2],[3,4]31.函数f(x)=ln(x2﹣2x﹣8)的单调递增区间是()A.(﹣∞,﹣2)B.(﹣∞,﹣1)C.(1,+∞)D.(4,+∞)32.函数y=log(2x﹣x2)的单调减区间为()A.(0,1]B.(0,2) C.(1,2) D.[0,2]33.若函数f(x)=是奇函数,则使f(x)>3成立的x的取值范围为()A.(﹣∞,﹣1)B.(﹣1,0)C.(0,1) D.(1,+∞)34.若函数y=(x+1)(x﹣a)为偶函数,则a=()A.﹣2 B.﹣1 C.1 D.235.下列函数中,既不是奇函数,也不是偶函数的是()A.y=x+sin2x B.y=x2﹣cosx C.y=2x+D.y=x2+sinx36.已知函数f(x)为奇函数,且当x>0时,f(x)=x2+,则f(﹣1)=()A.2 B.1 C.0 D.﹣2二.填空题(共4小题)37.已知全集U=R,集合,则集合∁U A=.38.函数f(x)=lgx2的单调递减区间是.39.已知函数f(x)=a﹣,若f(x)为奇函数,则a=.40.若函数f(x)=x2﹣|x+a|为偶函数,则实数a=.参考答案与试题解析一.选择题(共36小题)1.设集合A={y|y=2x,x∈R},B={x|x2﹣1<0},则A∪B=()A.(﹣1,1)B.(0,1) C.(﹣1,+∞)D.(0,+∞)【专题】11 :计算题;37 :集合思想;4A :数学模型法;5J :集合.【解答】解:∵A={y|y=2x,x∈R}=(0,+∞),B={x|x2﹣1<0}=(﹣1,1),∴A∪B=(0,+∞)∪(﹣1,1)=(﹣1,+∞).故选:C.2.若全集U=R,集合M={x|lg(x﹣1)<0},则∁U M为()A.[2,+∞)B.(﹣∞,1]∪[2,+∞)C.(2,+∞)D.(﹣∞,1)∪(2,+∞)【专题】5J :集合.【解答】解:集合M={x|lg(x﹣1)<0}={x|0<x﹣1<1}={x|1<x<2},∴则∁U M=(﹣∞,1]∪[2,+∞},故选:B.3.已知集合A={x|﹣2<x<4},B={x|y=lg(x﹣2)},则A∩(∁R B)=()A.(2,4) B.(﹣2,4)C.(﹣2,2)D.(﹣2,2]【专题】11 :计算题;37 :集合思想;49 :综合法;5J :集合.【解答】解:B={x|x>2};∴∁R B={x|x≤2};∴A∩(∁R B)=(﹣2,2].故选:D.4.已知集合M={x|≤0},N={x|y=log3(﹣6x2+11x﹣4)},则M∩N=()A.[1,] B.(,3] C.(1,)D.(,2)【专题】37 :集合思想;4O:定义法;5J :集合.【解答】解:∵集合M={x|≤0}={x|1<x≤3},N={x|y=log3(﹣6x2+11x﹣4)}={x|﹣6x2+11x﹣4>0}={x|},∴M∩N={x|1<x≤3}∩{x|}=(1,).故选:C.5.已知集合A={x|x2﹣x﹣6<0},B={x|3x>1},则A∩B=()A.(1,2) B.(1,3) C.(0,2) D.(0,3)【专题】35 :转化思想;4O:定义法;59 :不等式的解法及应用.【解答】解:集合A={x|x2﹣x﹣6<0}={x|﹣2<x<3},B={x|3x>1}={x|x>0},∴A∩B={x|0<x<3}=(0,3).故选:D.6.已知集合A={x|x2﹣2x﹣3<0},,则A∩B=()A.{x|1<x<3}B.{x|﹣1<x<3}C.{x|﹣1<x<0或0<x<3}D.{x|﹣1<x<0或1<x<3}【专题】11 :计算题;35 :转化思想;4O:定义法;5J :集合.【解答】解:由A={x|﹣1<x<3},B={x|x<0,或x>1},故A∩B={x|﹣1<x<0,或1<x<3}.故选:D.7.已知集合A={0,1,2,3,4,5},集合B={x|x2<10},则A∩B=()A.{0,2,4}B.{3}C.{0,1,2,3}D.{1,2,3}【专题】11 :计算题;37 :集合思想;4O:定义法;5J :集合.【解答】解:∵集合A={0,1,2,3,4,5},集合B={x|x2<10}={x|﹣},∴A∩B={0,1,2,3}.故选:C.8.设集合A={x∈N||x|≤2},B={y|y=1﹣x2},则A∩B=()A.{x|﹣2≤x≤1}B.{0,1}C.{1,2}D.{x|0≤x≤1}【专题】11 :计算题;37 :集合思想;4O:定义法;5J :集合.【解答】解:∵集合A={x∈N||x|≤2}={x∈N|﹣2≤x≤2}={0,1,2},B={y|y=1﹣x2}={y|y≤1},∴A∩B={0,1}.故选:B.9.已知集合A={x∈Z||x|<4},B={x|x﹣1≥0},则A∩B等于()A.(1,4) B.[1,4) C.{1,2,3}D.{2,3,4}【专题】11 :计算题;37 :集合思想;4O:定义法;5J :集合.【解答】解:∵A={x∈Z||x|<4}={x∈Z|﹣4<x<4}={﹣3,﹣2,﹣1,0,1,2,3},B={x|x﹣1≥0}={x|x≥1},∴A∩B={1,2,3},故选:C.10.已知全集U=R,集合A={x|y=lg(x﹣1)},集合,则A ∩B=()A.∅B.(1,2]C.[2,+∞)D.(1,+∞)【专题】11 :计算题;37 :集合思想;4O:定义法;5J :集合.【解答】解:由A中y=lg(x﹣1),得到x﹣1>0,即x>1,∴A=(1,+∞),由B中y==≥=2,得到B=[2,+∞),则A∩B=[2,+∞),故选:C.11.已知集合A={x∈Z|(x+1)(x﹣2)≤0},B={x|﹣2<x<2},则A∩B=()A.{x|﹣1≤x<2}B.{﹣1,0,1}C.{0,1,2}D.{﹣1,1}【专题】11 :计算题;37 :集合思想;4O:定义法;5J :集合.【解答】解:由A中不等式解得:﹣1≤x≤2,x∈Z,即A={﹣1,0,1,2},∵B={x|﹣2<x<2},∴A∩B={﹣1,0,1},故选:B.12.命题“∀x∈[1,2],x2﹣3x+2≤0”的否定是()A.∀x∈[1,2],x2﹣3x+2>0 B.∀x∉[1,2],x2﹣3x+2>0C. D.【专题】11 :计算题;38 :对应思想;4O:定义法;5L :简易逻辑.【解答】解:命题:“∀x∈[1,2],x2﹣3x+2≤0的否定是,故选:C.13.下列有关命题的说法正确的是()A.命题“若x2=1,则x=1”的否命题为:“若x2=1,则x≠1”B.“x=﹣1”是“x2﹣5x﹣6=0”的必要不充分条件C.命题“∃x∈R,使得x2+x+1<0”的否定是:“∀x∈R,均有x2+x+1<0”D.命题“若x=y,则sinx=siny”的逆否命题为真命题【解答】解:对于A:命题“若x2=1,则x=1”的否命题为:“若x2=1,则x≠1”.因为否命题应为“若x2≠1,则x≠1”,故错误.对于B:“x=﹣1”是“x2﹣5x﹣6=0”的必要不充分条件.因为x=﹣1⇒x2﹣5x﹣6=0,应为充分条件,故错误.对于C:命题“∃x∈R,使得x2+x+1<0”的否定是:“∀x∈R,均有x2+x+1<0”.因为命题的否定应为∀x∈R,均有x2+x+1≥0.故错误.由排除法得到D正确.故选:D.14.已知命题p:∀x>1,log2x+4log x2>4,则¬p为()A.¬p:∀x≤1,log2x+4log x2≤4 B.¬p:∃x≤1,log2x+4log x2≤4C.¬p:∃x>1,log2x+4log x2=4 D.¬p:∃x>1,log2x+4log x2≤4【专题】38 :对应思想;4O:定义法;5L :简易逻辑.【解答】解:命题是全称命题,则命题的否定是特称命题,即:¬p:∃x>1,log2x+4log x2≤4,故选:D.15.下列说法错误的是()A.命题“若x2﹣4x+3=0,则x=3”的逆否命题是“若x≠3,则x2﹣4x+3≠0”B.“x>1”是“|x|>0”的充分不必要条件C.命题p:“∃x∈R,使得x2+x+1<0”,则綈p:“∀x∈R,x2+x+1≥0”D.若p∧q为假命题,则p、q均为假命题【专题】15 :综合题;38 :对应思想;49 :综合法;5L :简易逻辑.【解答】解:命题“若x2﹣4x+3=0,则x=3”的逆否命题是“若x≠3,则x2﹣4x+3≠0”,故A正确;由x>1,可得|x|>1>0,反之,由|x|>0,不一定有x>1,如x=﹣1,∴“x>1”是“|x|>0”的充分不必要条件,故B正确;命题p:“∃x∈R,使得x2+x+1<0”,则¬p:“∀x∈R,x2+x+1≥0”,故C正确;若p∧q为假命题,则p、q中至少有一个为假命题,故D错误.故选:D.16.下列说法中,正确的是()A.命题“若am2<bm2,则a<b”的逆命题是真命题B.命题“∃x∈R,x2﹣x>0”的否定是“∀x∈R,x2﹣x≤0”C.命题“p∨q”为真命题,则命题“p”和命题“q”均为真命题D.已知x∈R,则“x>1”是“x>2”的充分不必要条件【解答】A“若am2<bm2,则a<b”的逆命题是“若a<b,则am2<bm2”,m=0时不正确;B中“∃x∈R,x2﹣x>0”为特称命题,否定时为全称命题,结论正确;C命题“p∨q”为真命题指命题“p”或命题“q”为真命题,只要有一个为真即可,错误;D应为必要不充分条件.故选:B.17.命题P:“若x>1,则x2>1”,则命题P:以及它的否命题、逆命题、逆否命题这四个命题中真命题的个数为()A.1 B.2 C.3 D.4【专题】38 :对应思想;4O:定义法;5L :简易逻辑.【解答】解:命题P:“若x>1,则x2>1”,它是真命题;它的否命题是:“若x≤1,则x2≤1”,它是假命题;逆命题是:“若x2>1,则x>1”,它是假命题;逆否命题是:“若x2≤1,则x≤1”,它是真命题;综上,这四个命题中真命题的个数为2.故选:B.18.下列四组函数中,表示同一函数的是()A.f(x)=|x|,g(x)=B.f(x)=lg x2,g(x)=2lg xC.f(x)=,g(x)=x+1 D.f(x)=•,g(x)=【专题】51 :函数的性质及应用.【解答】解:对于A,∵g(x)=,f(x)=|x|,∴两函数为同一函数;对于B,函数f(x)的定义域为{x|x≠0},而函数g(x)的定义域为{x|x>0},两函数定义域不同,∴两函数为不同函数;对于C,函数f(x)的定义域为{x|x≠1},而函数g(x)的定义域为R,两函数定义域不同,∴两函数为不同函数;对于D,函数f(x)的定义域为{x|x>1},而函数g(x)的定义域为{x|x<﹣1或x>1},两函数定义域不同,∴两函数为不同函数.故选:A.19.函数f(x)=+的定义域是()A.[﹣2,2]B.(﹣1,2]C.[﹣2,0)∪(0,2]D.(﹣1,0)∪(0,2]【专题】33 :函数思想;4O:定义法;51 :函数的性质及应用.【解答】解:f(x)=+有意义,可得,即为,解得﹣1<x<0或0<x≤2,则定义域为(﹣1,0)∪(0,2].故选:D.20.函数f(x)=的定义域为()A.{x|x>0}B.{x|x>1}C.{x|x≥1}D.{x|0<x≤1}【专题】33 :函数思想;4A :数学模型法;51 :函数的性质及应用.【解答】解:由log3x≥0,得x≥1.∴函数f(x)=的定义域为{x|x≥1}.故选:C.21.函数定义域为()A.(0,1000]B.[3,1000]C.D.【专题】33 :函数思想;4O:定义法;51 :函数的性质及应用.【解答】解:函数有意义,可得3﹣lgx≥0,且x>0,解得0<x≤1000,则定义域为(0,1000].故选:A.22.要得到函数y=log3(1﹣x)的图象,只需将函数y=log3x的图象()A.先关于x轴对称,再向右平移1个单位B.先关于x轴对称,再向左平移1个单位C.先关于y轴对称,再向右平移1个单位D.先关于y轴对称,再向左平移1个单位【专题】11 :计算题;33 :函数思想;4O:定义法;51 :函数的性质及应用.【解答】解:得到函数y=log3(1﹣x)的图象,只需将函数y=log3x的图象先关于y轴对称,再向右平移1个单位,故选:C.23.若函数y=f(x)的图象如图所示,则函数y=f(1﹣x)的图象大致为()A.B.C.D.【专题】16 :压轴题;31 :数形结合.【解答】解:因为从函数y=f(x)到函数y=f(1﹣x)的平移变换规律是:先关于y轴对称得到y=f(﹣x),再整体向右平移1个单位即可得到.即图象变换规律是:①→②.故选:A.24.函数f(x)=2|x|﹣x2的图象为()A.B.C.D.【专题】51 :函数的性质及应用.【解答】解:∵函数f(x)是偶函数,图象关于y轴对称,∴排除B,D.∵f(0)=1﹣0=0>0,∴排除C,故选:A.25.已知图①中的图象对应的函数y=f(x),则图②中的图象对应的函数是()A.y=f(|x|)B.y=|f(x)|C.y=f(﹣|x|)D.y=﹣f(|x|)【专题】11 :计算题.【解答】解:设所求函数为g(x),g(x)==f(﹣|x|),C选项符合题意.故选:C.26.函数f(x)的导函数f′(x)的图象如图所示,则下列说法正确的是()A.函数f(x)在(﹣2,3)内单调递减B.函数f(x)在x=3处取极小值C.函数f(x)在(﹣4,0)内单调递增D.函数f(x)在x=4处取极大值【专题】53 :导数的综合应用.【解答】解:函数f(x)的导函数f′(x)的图象如图所示,可得x∈(﹣4,0),f′(x)>0,函数是增函数.x∈(0,4),f′(x)<0,函数是减函数.x=4时,f′(4)=0,函数取得极小值,所以选项C正确.故选:C.27.函数,满足f(x)>1的x的取值范围()A.(﹣1,1)B.(﹣1,+∞)C.{x|x>0或x<﹣2}D.{x|x>1或x<﹣1}【专题】11 :计算题;32 :分类讨论.【解答】解:当x≤0时,f(x)>1 即2﹣x﹣1>1,2﹣x>2=21,∴﹣x>1,x<﹣1,当x>0时,f(x)>1 即>1,x>1,综上,x<﹣1 或x>1,故选:D.28.函数y=的递增区间是()A.(﹣∞,﹣2)B.[﹣5,﹣2]C.[﹣2,1]D.[1,+∞)【专题】51 :函数的性质及应用.【解答】解:由5﹣4x﹣x2≥0,得函数的定义域为{x|﹣5≤x≤1}.∵t=5﹣4x﹣x2=﹣(x2+4x+4)+9=﹣(x+2)2+9,对称轴方程为x=﹣2,拋物线开口向下,∴函数t的递增区间为[﹣5,﹣2],故函数y=的增区间为[﹣5,﹣2],故选:B.29.函数的单调递增区间是()A.[﹣1,+∞)B.(﹣∞,﹣1]C.[1,+∞)D.(﹣∞,1]【专题】33 :函数思想;4J :换元法;51 :函数的性质及应用.【解答】解:令t=﹣x2+2x,则y=()t,由t=﹣x2+2x的对称轴为x=1,可得函数t在(﹣∞,1)递增,[1,+∞)递减,而y=()t在R上递减,由复合函数的单调性:同增异减,可得函数的单调递增区间是[1,+∞),故选:C.30.函数f(x)=|x2﹣6x+8|的单调递增区间为()A.[3,+∞)B.(﹣∞,2),(4,+∞)C.(2,3),(4,+∞)D.(﹣∞,2],[3,4]【专题】35 :转化思想;48 :分析法;51 :函数的性质及应用.【解答】解:函数f(x)=|x2﹣6x+8|,当x2﹣6x+8>0即x>4或x<2,可得f(x)=x2﹣6x+8=(x﹣3)2﹣1,即有f(x)在(4,+∞)递增;当x2﹣6x+8<0即2<x<4,可得f(x)=﹣x2+6x﹣8=﹣(x﹣3)2+1,即有f(x)在(2,3)递增;则f(x)的增区间为(4,+∞),(2,3).故选:C.31.函数f(x)=ln(x2﹣2x﹣8)的单调递增区间是()A.(﹣∞,﹣2)B.(﹣∞,﹣1)C.(1,+∞)D.(4,+∞)【专题】35 :转化思想;4R:转化法;51 :函数的性质及应用.【解答】解:由x2﹣2x﹣8>0得:x∈(﹣∞,﹣2)∪(4,+∞),令t=x2﹣2x﹣8,则y=lnt,∵x∈(﹣∞,﹣2)时,t=x2﹣2x﹣8为减函数;x∈(4,+∞)时,t=x2﹣2x﹣8为增函数;y=lnt为增函数,故函数f(x)=ln(x2﹣2x﹣8)的单调递增区间是(4,+∞),故选:D.32.函数y=log(2x﹣x2)的单调减区间为()A.(0,1]B.(0,2) C.(1,2) D.[0,2]【专题】35 :转化思想;49 :综合法;51 :函数的性质及应用.【解答】解:令t=2x﹣x2>0,求得0<x<2,可得函数的定义域为{x|0<x<2},且y=log t,本题即求函数t在定义域内的增区间,再利用二次函数的性质可得函数t在定义域内的增区间为(0,1],故选:A.33.若函数f(x)=是奇函数,则使f(x)>3成立的x的取值范围为()A.(﹣∞,﹣1)B.(﹣1,0)C.(0,1) D.(1,+∞)【专题】11 :计算题;59 :不等式的解法及应用.【解答】解:∵f(x)=是奇函数,∴f(﹣x)=﹣f(x)即整理可得,∴1﹣a•2x=a﹣2x∴a=1,∴f(x)=∵f(x))=>3∴﹣3=>0,整理可得,,∴1<2x<2解可得,0<x<1故选:C.34.若函数y=(x+1)(x﹣a)为偶函数,则a=()A.﹣2 B.﹣1 C.1 D.2【解答】解:f(1)=2(1﹣a),f(﹣1)=0∵f(x)是偶函数∴2(1﹣a)=0,∴a=1,故选:C.35.下列函数中,既不是奇函数,也不是偶函数的是()A.y=x+sin2x B.y=x2﹣cosx C.y=2x+D.y=x2+sinx【专题】51 :函数的性质及应用.【解答】解:四个选项中,函数的定义域都是R,对于A,﹣x+sin(﹣2x)=﹣(x+sin2x);是奇函数;对于B,(﹣x)2﹣cos(﹣x)=x2﹣cosx;是偶函数;对于C,,是偶函数;对于D,(﹣x)2+sin(﹣x)=x2﹣sinx≠x2+sinx,x2﹣sinx≠﹣(x2+sinx);所以是非奇非偶的函数;故选:D.36.已知函数f(x)为奇函数,且当x>0时,f(x)=x2+,则f(﹣1)=()A.2 B.1 C.0 D.﹣2【专题】51 :函数的性质及应用.【解答】解:∵已知函数f(x)为奇函数,且当x>0时,f(x)=x2+,则f(﹣1)=﹣f(1)=﹣(1+1)=﹣2,故选:D.二.填空题(共4小题)37.已知全集U=R,集合,则集合∁U A={x|x<﹣1或x≥2} .【专题】11 :计算题;5J :集合.【解答】解:由A中不等式变形得:(x+1)(x﹣2)≤0,且x﹣2≠0,解得:﹣1≤x<2,即A={x|﹣1≤x<2},∵全集U=R,∴∁U A={x|x<﹣1或x≥2},故答案为:{x|x<﹣1或x≥2}38.函数f(x)=lgx2的单调递减区间是(﹣∞,0).【专题】51 :函数的性质及应用.【解答】解:方法一:y=lgx2=2lg|x|,∴当x>0时,f(x)=2lgx在(0,+∞)上是增函数;当x<0时,f(x)=2lg(﹣x)在(﹣∞,0)上是减函数.∴函数f(x)=lgx2的单调递减区间是(﹣∞,0).故答案为:(﹣∞,0).方法二:原函数是由复合而成,∵t=x2在(﹣∞,0)上是减函数,在(0,+∞)为增函数;又y=lgt在其定义域上为增函数,∴f(x)=lgx2在(﹣∞,0)上是减函数,在(0,+∞)为增函数,∴函数f(x)=lgx2的单调递减区间是(﹣∞,0).故答案为:(﹣∞,0).39.已知函数f(x)=a﹣,若f(x)为奇函数,则a=.【解答】解:函数.若f(x)为奇函数,则f(0)=0,即,a=.故答案为40.若函数f(x)=x2﹣|x+a|为偶函数,则实数a=0.【专题】51 :函数的性质及应用.【解答】解:∵f(x)为偶函数∴f(﹣x)=f(x)恒成立即x2﹣|x+a|=x2﹣|x﹣a|恒成立即|x+a|=|x﹣a|恒成立所以a=0故答案为:0.第21页(共21页)。
高中数学试卷必修一基础50题一、单选题(共15题;共30分)1.已知函数y=sinx的定义域为值域为,则的值不可能是( )A. B. C. D.2.已知集合, ,则()A. B. C. D.3.设集合是锐角,,从集合到的映射是“求正弦值”,则与中元素相对应的中元素是()A. B. C. D.4.设f(x)为周期是2的奇函数,当时,f(x)=x(x+1),则当时,f(x)的表达式为( )A. (x-5)(x-4)B. (x-6)(x-5)C. (x-6)(5-x)D. (x-6)(7-x)5.已知集合A={x|x<a},B={x|1<x<2},且A∪(∁R B)=R,则实数a的取值范围是()A. a≤1B. a<1C. a≥2D. a>26.已知集合,,则()A. B. C. D.7.已知函数的定义域为,的定义域为()A. B. C. D.8.已知偶函数在区间上是增函数,如果,则x的取值范围是()A. B. C. D.9.二次函数图象的对称轴方程为()A. B. C. D.10.下列函数中,既是偶函数,又在区间(0,+∞)单调递减的函数是()A. y=﹣x3B. y=ln|x|C. y=cosxD. y=2﹣|x|11.函数f(x)=a x﹣1+2的图象恒过定点()A. (3,1)B. (0,2)C. (1,3)D. (0,1)12.集合,,若,则实数a的取值范围是()A. B. C. D.13.若一系列函数的解析式相同,值域相同,但定义域不同,则称这些函数为“合一函数”,那么函数解析式为y=2x2﹣1,值域为{1,7}的“合一函数”共有()A. 10个B. 9个C. 8个D. 4个14.已知,b=0.53,,则a,b,c三者的大小关系是()A. b<a<cB. c<a<bC. a<c<bD. a<b<c15.若全集U=R,集合A={x|0<x<2},B={x|x﹣1>0},则A∩∁U B=()A. {x|0<x≤1}B. {x|1<x<2}C. {x|0<x<1}D. {x|1≤x<2}二、填空题(共20题;共21分)16.已知A={x|x<2},B={x|x<m},若B是A的子集,则实数m的取值范围为________.17.若二次函数的图象经过点,则代数式的值等于________.18.已知集合A={x|y=lg(2﹣x)},集合B=[y|y= },则A∩B=________.19.已知函数f(x)=2x﹣3,x∈N且1≤x≤5,则函数的值域为________.20.设集合M={x|﹣1<x<1},N={x|0≤x<2},则M∪N=________.21.设函数在区间上的最大值为,则________.22.函数的定义域为________.23.若函数f(x)= 在(﹣1,+∞)上的值域为________.24.已知幂函数的图象过点,则的单调减区间为________.25.设函数f(x)=(x﹣4)0+ ,则函数f(x)的定义域为________.26.若f(x)=2x+2﹣x lga是奇函数,则实数a=________.27.已知函数是奇函数,则=________.28.已知全集U={﹣1,0,2,4},集合A={0,2},则________.29.函数的单调递增区间为________.30.已知函数f(x)=,则f[f(-2)]=________ ,f(x)的最小值是________.31.设函数,若,则________.32.计算:的结果是________ .33.函数的单调增区间为________.34.化简:+=________35.已知集合,,若存在非零整数k,满足,则________.三、解答题(共15题;共135分)36.设,求证:(1);(2).37.设A={x|﹣1≤x≤a},(a>﹣1),B={y|y=x+1,x∈A}.C={y|y=x2,x∈A},若B=C,求a的值.38.(1)计算:;(2)已知( ) ,求的值.39.已知集合A={x|x<﹣1或x>4},B={x|2a≤x≤a+3},若B⊆A,求实数a的取值范围.40.已知集合A={x|﹣3<x≤4},集合B={x|k+1≤x≤2k﹣1},且A∪B=A,试求k的取值范围.41.比较下列各题中两个值的大小.(1)1.82.2,1.83;(2)0.7-0.3,0.7-0.4;(3)1.90.4,0.92.4.42.已知函数f(x)= 的定义域为(﹣1,1),满足f(﹣x)=﹣f(x),且f()= .(1)求函数f(x)的解析式;(2)证明f(x)在(﹣1,1)上是增函数;(3)解不等式f(x2﹣1)+f(x)<0.43.已知函数.(1)求函数的定义域;(2)是否存在实数a,使得为奇函数.44.已知全集U={x|﹣5≤x≤3},集合A={x|﹣5≤x<﹣1},B={x|﹣1≤x≤1}.(1)求A∩B,A∪B;(2)求(∁U A)∩(∁U B),(∁U A)∪(∁U B).45.设集合,.若,求的值46.设函数f(x)=ax2+(b﹣8)x﹣a﹣ab的两个零点分别是﹣3和2.(Ⅰ)求f(x);(Ⅱ)当函数f(x)的定义域是[0,1]时,求函数f(x)的值域.47.已知全集,若集合,B={x|x-m<0} .(1)若,求;(2)若, 求实数的取值范围.48.已知集合,.(1)当m=4时,求,;(2)若,求实数m的取值范围.49.已知A={x|x2﹣2x﹣3<0},B={x||x﹣1|<a}.(1)若A⊊B,求实数a的取值范围;(2)若B⊊A,求实数a的取值范围.50.已知,,全集.(1)求和;(2)已知非空集合,若,求实数的取值范围.答案解析部分一、单选题1.【答案】B2.【答案】D3.【答案】A4.【答案】B5.【答案】D6.【答案】B7.【答案】C8.【答案】A9.【答案】D10.【答案】B11.【答案】D12.【答案】C13.【答案】A14.【答案】B15.【答案】C二、填空题16.【答案】17.【答案】[ ,1]18.【答案】{2,4}19.【答案】;20.【答案】821.【答案】b<a<c22.【答案】23.【答案】24.【答案】25.【答案】26.【答案】27.【答案】028.【答案】{0,2,6,10}29.【答案】30.【答案】231.【答案】②③32.【答案】33.【答案】[2,5)34.【答案】35.【答案】三、解答题36.【答案】(1)解:(2)。
高中数学必修1检测题本试卷分第Ⅰ卷(选择题)与第Ⅱ卷(非选择题)两部分、共120分,考试时间90分钟、第Ⅰ卷(选择题,共48分) 一、选择题:本大题共12小题,每小题4分,共48分、 在每小题给出得四个选项中,只有一项就是符合题目要求得、1.已知全集(}.7,5,3,1{},6,4,2{},7.6,5,4,3,2,1{ A B A U 则===B C U )等于 ( )A .{2,4,6}B .{1,3,5}C .{2,4,5}D .{2,5}2.已知集合}01|{2=-=x x A ,则下列式子表示正确得有( ) ①A ∈1 ②A ∈-}1{ ③A ⊆φ ④A ⊆-}1,1{A .1个B .2个C .3个D .4个3.若:f A B →能构成映射,下列说法正确得有 ( ) (1)A 中得任一元素在B 中必须有像且唯一; (2)A 中得多个元素可以在B 中有相同得像; (3)B 中得多个元素可以在A 中有相同得原像; (4)像得集合就就是集合B 、A 、1个B 、2个C 、3个D 、4个4、如果函数2()2(1)2f x x a x =+-+在区间(],4-∞上单调递减,那么实数a 得取值范围就是 ( )A 、3a -≤B 、3a -≥C 、a ≤5D 、a ≥5 5、下列各组函数就是同一函数得就是 ( )①()f x =()g x =()f x x =与()g x =; ③0()f x x =与01()g x x=;④2()21f x x x =--与2()21g t t t =--。
A 、①② B 、①③ C 、③④ D 、①④6.根据表格中得数据,可以断定方程02=--x e x 得一个根所在得区间就是 ( )A .(-1,0)B .(0,1)C .(1,2)D .(2,3)7.若=-=-33)2lg()2lg(,lg lg yx a y x 则 ( )A .a 3B .a 23C .aD .2a 8、 若定义运算ba ba b aa b<⎧⊕=⎨≥⎩,则函数()212log log f x x x =⊕得值域就是( ) A [)0,+∞ B (]0,1 C [)1,+∞ D R9.函数]1,0[在x a y =上得最大值与最小值得与为3,则=a ( )A .21 B .2 C .4 D .41 10、 下列函数中,在()0,2上为增函数得就是( )A 、12log (1)y x =+ B、2log y =C 、21log y x = D、2log (45)y x x =-+ 11.下表显示出函数值y 随自变量x 变化得一组数据,判断它最可能得函数模型就是( )A .一次函数模型B .二次函数模型C .指数函数模型D .对数函数模型12、下列所给4个图象中,与所给3件事吻合最好得顺序为 ( )(1)我离开家不久,发现自己把作业本忘在家里了,于就是立刻返回家里取了作业本再上学; (2)我骑着车一路以常速行驶,只就是在途中遇到一次交通堵塞,耽搁了一些时间; (3)我出发后,心情轻松,缓缓行进,后来为了赶时间开始加速。
高一数学必修一综合测试卷一、选择题(本大题共12小题,每小题5分,在每小题给出的四个选项中,只有一项是符合题目要求的)1.若集合}1,1{-=A ,}1|{==mx x B ,且A B A =⋃,则m 的值为( ) A .1 B .1- C .1或1- D .1或1-或02、函数1()(0)f x x x x =+≠是( )A 、奇函数,且在(0,1)上是增函数B 、奇函数,且在(0,1)上是减函数C 、偶函数,且在(0,1)上是增函数D 、偶函数,且在(0,1)上是减函数3。
已知b ax y x f B y A x R B A +=→∈∈==:,,,是从A 到B 的映射,若1和8的原象分别是3和10,则5在f 下的象是( )A .3B .4C 。
5D .6 4。
下列各组函数中表示同一函数的是( )⑴3)5)(3(1+-+=x x x y ,52-=x y ; ⑵111-+=x x y , )1)(1(2-+=x x y ;⑶x x f =)(, 2)(x x g = ; ⑷x x f =)(, ()g x =; ⑸21)52()(-=x x f ,52)(2-=x x fA 、⑴、⑵B 、 ⑵、⑶C 、 ⑷D 、 ⑶、⑸5.若)(x f 是偶函数,其定义域为()+∞∞-,,且在[)+∞,0上是减函数,则)252()23(2++-a a f f 与的大小关系是( )A .)23(-f >)252(2++a a f B .)23(-f <)252(2++a a f C .)23(-f ≥)252(2++a a f D .)23(-f ≤)252(2++a a f6。
设⎪⎩⎪⎨⎧-=-)1(log 2)(231x ex f x )2()2(≥<x x 则[])2(f f =( ) A 。
2 B .3 C .9 D 。
187.函数1(0,1)x y a a a a=->≠的图象可能是( )8。
高中数学必修一测试题及答案一. 选择题(4×10=40分)1. 若集合}8,7,6{=A ,则满足A B A =⋃的集合B 的个数是( )A. 1B. 2C. 7D. 8 2. 如果全集}6,5,4,3,2,1{=U 且}2,1{)(=⋂B C A U ,}5,4{)()(=⋂B C A C U U ,}6{=⋂B A ,则A 等于( )A. }2,1{B. }6,2,1{C. }3,2,1{D. }4,2,1{ 3. 设},2|{R x y y M x∈==,},|{2R x x y y N ∈==,则( ) A. )}4,2{(=⋂N M B.)}16,4(),4,2{(=⋂N MC.NM = D.NM ≠⊂4. 已知函数)3(log )(22a ax x x f +-=在),2[+∞上是增函数,则实数a 的取值范围是( )A. )4,(-∞ B.]4,4(- C.),2()4,(+∞⋃--∞ D.)2,4[- 5. 32)1(2++-=mx x m y 是偶函数,则)1(-f ,)2(-f ,)3(f 的大小关系为( )A. )1()2()3(->->f f fB. )1()2()3(-<-<f f fC. )1()3()2(-<<-f f fD.)2()3()1(-<<-f f f6. 函数)(x f y =在区间),(b a )(b a <内有零点,则( ) A. 0)()(<b f a f B. 0)()(=b f a fC.)()(>b f a f D.)()(b f a f 的符号不定7. 设)(x f 为奇函数且在)0,(-∞内是减函数,0)2(=-f ,且0)(>⋅x f x 的解集为( )A. ),2()0,2(+∞⋃- B. )2,0()2,(⋃--∞C.),2()2,(+∞⋃--∞ D.)2,0()0,2(⋃-8. 已知函数⎩⎨⎧≤>=0,30,log )(2x x x x f x,则)]41([f f 的值是( ) A. 91 B. 9 C. 9- D.91-9. 已知Ab a==53,且211=+ba ,则A 的值是( ) A. 15 B. 15C.15± D. 22510. 设10<<a ,在同一直角坐标系中,函数xay -=与)(logx y a-=的图象是( )二. 填空题(4×4=16分) 11.方程2)23(log )59(log 22+-=-x x 的解是 。
第一章 集合与函数概念一、选择题1.已知全集U ={0,1,2}且U A ={2},则集合A 的真子集共有( ). A .3个B .4个C .5个D .6个2.设集合A ={x |1<x ≤2},B ={ x |x <a },若A ⊆B ,则a 的取值范围是( ). A .{a |a ≥1}B .{a |a ≤1}C .{a |a ≥2}D .{a |a >2}3.A ={x |x 2+x -6=0},B ={x |mx +1=0},且A B A =,则m 的取值集合是( ).A .⎭⎬⎫⎩⎨⎧21- ,31B .⎭⎬⎫⎩⎨⎧21- ,31- ,0C .⎭⎬⎫⎩⎨⎧21- ,31 ,0 D .⎭⎬⎫⎩⎨⎧21 ,31 4.设I 为全集,集合M ,N ,P 都是其子集,则图中的阴影部分表示的集合为( ). A .M ∩(N ∪P )B .M ∩(P ∩I N )C .P ∩(I N ∩I M )D .(M ∩N )∪(M ∩P )5.设全集U ={(x ,y )| x ∈R ,y ∈R },集合M =⎭⎬⎫⎩⎨⎧1=2-3-,x y y x |)(, P ={(x ,y )|y ≠x +1},那么U (M ∪P )等于( ).A .∅B .{(2,3)}C .(2,3)D .{(x ,y )| y =x +1}6.下列四组中的f (x ),g (x ),表示同一个函数的是( ). A .f (x )=1,g (x )=x 0B .f (x )=x -1,g (x )=xx 2-1C .f (x )=x 2,g (x )=(x )4D .f (x )=x 3,g (x )=39x7.函数f (x )=x 1-x 的图象关于( ). A .y 轴对称B .直线y =-x 对称C .坐标原点对称D .直线y =x 对称8.函数f (x )=11+x 2(x ∈R )的值域是( ).A .(0,1)B .(0,1]C .[0,1)D .[0,1]9.已知f (x )在R 上是奇函数,f (x +4)=f (x ),当x ∈(0,2)时,f (x )=2x 2,则f (7)=( ). A .-2B .2C .-98D .98(第4题)10.定义在区间(-∞,+∞)的奇函数f (x )为增函数;偶函数g (x )在区间[0,+∞)的图象与f (x )的图象重合.设a >b >0,给出下列不等式:①f (b )-f (-a )>g (a )-g (-b );②f (b )-f (-a )<g (a )-g (-b ); ③f (a )-f (-b )>g (b )-g (-a );④f (a )-f (-b )<g (b )-g (-a ). 其中成立的是( ).A .①与④B .②与③C .①与③D .②与④二、填空题11.函数x x y +-=1的定义域是 .12.若f (x )=ax +b (a >0),且f (f (x ))=4x +1,则f (3)= .13.已知函数f (x )=ax +2a -1在区间[0,1]上的值恒正,则实数a 的取值范围是 . 14.已知I ={不大于15的正奇数},集合M ∩N ={5,15},(I M )∩(I N )={3,13},M ∩(I N )={1,7},则M = ,N = .15.已知集合A ={x |-2≤x ≤7},B ={x |m +1<x <2m -1}且B ≠∅,若A ∪B =A ,则m 的取值范围是_________.16.设f (x )是R 上的奇函数,且当x ∈[0,+∞)时,f (x )=x (1+x 3),那么当x ∈(-∞,0]时,f (x )= .三、解答题17.已知A ={x |x 2-ax +a 2-19=0},B ={ x |x 2-5x +6=0},C ={x |x 2+2x -8=0},且∅(A ∩B ),A ∩C =∅,求a 的值.18.设A 是实数集,满足若a ∈A ,则a-11∈A ,a ≠1且1 A . (1)若2∈A ,则A 中至少还有几个元素?求出这几个元素. (2)A 能否为单元素集合?请说明理由. (3)若a ∈A ,证明:1-a1∈A .∈19.求函数f(x)=2x2-2ax+3在区间[-1,1]上的最小值.20.已知定义域为R 的函数f (x )=ab-x x +2+21+是奇函数.(1)求a ,b 的值;(2)若对任意的t ∈R ,不等式f (t 2-2t )+f (2t 2-k )<0恒成立,求k 的取值范围.第二章 基本初等函数(Ⅰ)一、选择题 1.对数式log 32-(2+3)的值是( ). A .-1B .0C .1D .不存在2.当a >1时,在同一坐标系中,函数y =a -x 与y =log a x 的图象是( ).A B C D 3.如果0<a <1,那么下列不等式中正确的是( ). A .(1-a )31>(1-a )21 B .log 1-a (1+a )>0 C .(1-a )3>(1+a )2D .(1-a )1+a >14.函数y =log a x ,y =log b x ,y =log c x ,y =log d x 的图象如图所示,则a ,b ,c ,d 的大小顺序是( ).A .1<d <c <a <bB .c <d <1<a <bC .c <d <1<b <aD .d <c <1<a <b5.已知f (x 6)=log 2 x ,那么f (8)等于( ). A .34 B .8 C .18 D .21 6.如果函数f (x )=x 2-(a -1)x +5在区间⎪⎭⎫⎝⎛121 ,上是减函数,那么实数a 的取值范围是( ). A . a ≤2B .a >3C .2≤a ≤3D .a ≥37.函数f (x )=2-x -1的定义域、值域是( ). A .定义域是R ,值域是RB .定义域是R ,值域为(0,+∞)C .定义域是R ,值域是(-1,+∞)D .定义域是(0,+∞),值域为R8.已知-1<a <0,则( ).A .(0.2)a <a⎪⎭⎫⎝⎛21<2aB .2a <a⎪⎭⎫⎝⎛21<(0.2)aC .2a <(0.2)a <a⎪⎭⎫⎝⎛21D .a⎪⎭⎫⎝⎛21<(0.2)a <2a9.已知函数f (x )=⎩⎨⎧+-1 log 1≤413> ,,)(x x x a x a a是(-∞,+∞)上的减函数,那么a 的取值范围是( ).A .(0,1)B .⎪⎭⎫ ⎝⎛310,C .⎪⎭⎫⎢⎣⎡3171,D .⎪⎭⎫⎢⎣⎡171, 10.已知y =log a (2-ax )在[0,1]上是x 的减函数,则a 的取值范围是( ). A .(0,1) B .(1,2) C .(0,2) D .[2,+∞)二、填空题11.满足2-x >2x 的 x 的取值范围是 .12.已知函数f (x )=log 0.5(-x 2+4x +5),则f (3)与f (4)的大小关系为 . 13.64log 2log 273的值为_____.14.已知函数f (x )=⎪⎩⎪⎨⎧,≤ ,,>,020log 3x x x x 则⎪⎪⎭⎫ ⎝⎛⎪⎭⎫ ⎝⎛91f f 的值为_____.15.函数y =)-(34log 5.0x 的定义域为 . 16.已知函数f (x )=a -121+x,若f (x )为奇函数,则a =________. 三、解答题17.设函数f(x)=x2+(lg a+2)x+lg b,满足f(-1)=-2,且任取x∈R,都有f(x)≥2x,求实数a,b的值.18.已知函数f(x)=lg(ax2+2x+1).(1)若函数f(x)的定义域为R,求实数a的取值范围;(2)若函数f(x)的值域为R,求实数a的取值范围.19.求下列函数的定义域、值域、单调区间:(1)y=4x+2x+1+1;(2)y=2+3231x-x⎪⎭⎫⎝⎛.20.已知函数f(x)=log a(x+1),g(x)=log a(1-x),其中a>0,a≠1.(1)求函数f(x)-g(x)的定义域;(2)判断f(x)-g(x)的奇偶性,并说明理由;(3)求使f(x)-g(x)>0成立的x的集合.第三章 函数的应用一、选择题1.下列方程在(0,1)内存在实数解的是( ). A .x 2+x -3=0B .x1+1=0 C .21x +ln x =0D .x 2-lg x =02.若函数f (x )是定义在R 上的偶函数,在(-∞,0]上是减函数,且一个零点是2,则使得f (x )<0的x 的取值范围是( ).A .(-∞,-2]B .(-∞,-2)∪(2,+∞)C .(2,+∞)D .(-2,2)3. 若函数f (x )=a x -x -a (a >0且a ≠1)有两个零点,则实数a 的取值范围是( ). A .{a |a >1}B .{a |a ≥2}C .{a |0<a <1}D .{a |1<a <2}4.若函数f (x )的图象是连续不断的,且f (0)>0,f (1)f (2)f (4)<0,则下列命题正确的是( ). A .函数f (x )在区间(0,1)内有零点 B .函数f (x )在区间(1,2)内有零点 C .函数f (x )在区间(0,2)内有零点 D .函数f (x )在区间(0,4)内有零点5. 函数f (x )=⎩⎨⎧0>,ln +2-0 ,3-2+2x x x x x ≤的零点个数为( ).A .0B .1C .2D .36. 图中的图象所表示的函数的解析式为( ).A .y =23|x -1|(0≤x ≤2) B .y =23-23|x -1|(0≤x ≤2)C .y =23-|x -1|(0≤x ≤2)D .y =1-|x -1|(0≤x ≤2)7.当x ∈(2,4)时,下列关系正确的是( ).A .x 2<2xB .log 2 x <x 2C .log 2 x <x1 D .2x <log2 x 8.某种动物繁殖数量y (只)与时间x (年)的关系为y =a log 2(x +1),设这种动物第1年有100只,则第7年它们繁殖到( ).A.300只B.400只C.500只D.600只9.某商场出售一种商品,每天可卖1 000件,每件可获利4元.据经验,若这种商品每件每降价0.1元,则比降价前每天可多卖出100件,为获得最好的经济效益每件单价应降低( )元.A.2元B.2.5元C.1元D.1.5元10.某市的一家报刊摊点,从报社买进一种晚报的价格是每份是0.20元,卖出的价格是每份0.30元,卖不掉的报纸可以以每份0.05元的价格退回报社.在一个月(30天计算)里,有20天每天卖出量可达400份,其余10天每天只能卖出250份,但每天从报社买进的份数必须相同,为使每月所获利润最大,这个摊主每天从报社买进()份晚报.A.250 B.400 C.300 D.350二、填空题11.已知函数f(x)=x2+ax+a-1的两个零点一个大于2,一个小于2,则实数a的取值范围是.12.用100米扎篱笆墙的材料扎一个矩形羊圈,欲使羊的活动范围最大,则应取矩形长米,宽米.13.在国内投寄平信,将每封信不超过20克重付邮资80分,超过20克重而不超过40克重付邮资160分,将每封信的应付邮资(分)表示为信重x(0<x≤40)(克)的函数,其表达式为.14.为了预防流感,某学校对教室用药熏消毒法进行消毒.已知药物释放过程中,室内每立方米空气中的含药量y(毫克)与时间t(小时)成正比;药物释放完毕后,y与t的函数关系式为aty-⎪⎭⎫⎝⎛=161(a为常数),如图所示,根据图中提供的信息,回答下列问题:(1)从药物释放开始,每立方米空气中的含药量y(毫克)与时间t(小时)之间的函数关系式为.(2)据测定,当空气中每立方米的含药量降低到0.25毫克以下时,学生方可进教室,那从药物释放开始,至少需要经过小时后,学生才能回到教室.15.已知f(x)=(x+1)·|x-1|,若关于x的方程f(x)=x+m有三个不同的实数解,则实数m的取值范围.16.设正△ABC边长为2a,点M是边AB上自左至右的一个动点,过点M的直线l垂直与AB,设AM=x,△ABC内位于直线l左侧的阴影面积为y,y表示成x的函数表达式为.(第14题)三、解答题17.某农家旅游公司有客房300间,日房租每间为20元,每天都客满.公司欲提高档次,并提高租金,如果每间客房日房租每增加2元,客房出租数就会减少10间.若不考虑其他因素,旅社将房间租金提高到多少时,每天客房的租金总收入最高?18.A市和B市分别有某种库存机器12台和6台,现决定支援C市10台机器,D市8台机器.已知从A市调运一台机器到C市的运费为400元,到D市的运费为800元;从B市调运一台机器到C市的运费为300元,到D市的运费为500元.(1)若要求总运费不超过9 000元,共有几种调运方案?(2)求出总运费最低的调运方案,最低运费是多少?19.某地西红柿从2月1号起开始上市,通过市场调查,得到西红柿种植成本Q(单位:元/100 kg)与上市时间t(距2月1日的天数,单位:天)的数据如下表:(1)根据上表数据,从下列函数中选取一个函数描述西红柿种植成本Q与上市时间t的变化关系:Q=at+b,Q=at2+bt+c,Q=a·b t,Q=a·log b t;(2)利用你选取的函数,求西红柿种植成本Q最低时的上市天数及最低种植成本.20.设计一幅宣传画,要求画面面积为4 840 cm2,画面的宽与高的比为λ(λ<1 ),画面的上、下各留8 cm空白,左、右各留5 cm空白.怎样确定画面的高与宽尺寸,能使宣传画所用纸张面积最小?期末测试题考试时间:90分钟试卷满分:100分一、选择题:本大题共14小题,每小题4分,共56分.在每小题的4个选项中,只有一项是符合题目要求的.1.设全集U=R,A={x|x>0},B={x|x>1},则A∩U B=().A.{x|0≤x<1}B.{x|0<x≤1}C.{x|x<0}D.{x|x>1}2.下列四个图形中,不是..以x为自变量的函数的图象是().A B C D 3.已知函数 f (x )=x 2+1,那么f (a +1)的值为( ). A .a 2+a +2B .a 2+1C .a 2+2a +2D .a 2+2a +14.下列等式成立的是( ). A .log 2(8-4)=log 2 8-log 2 4 B .4log 8log 22=48log 2 C .log 2 23=3log 2 2D .log 2(8+4)=log 2 8+log 2 45.下列四组函数中,表示同一函数的是( ). A .f (x )=|x |,g (x )=2x B .f (x )=lg x 2,g (x )=2lg xC .f (x )=1-1-2x x ,g (x )=x +1D .f (x )=1+x ·1-x ,g (x )=1-2x 6.幂函数y =x α(α是常数)的图象( ). A .一定经过点(0,0) B .一定经过点(1,1) C .一定经过点(-1,1)D .一定经过点(1,-1)7.国内快递重量在1 000克以内的包裹邮资标准如下表:运送距离x (km ) O <x ≤500 500<x ≤1 000 1 000<x ≤1 500 1 500<x ≤2 000 …邮资y (元)5.006.007.008.00…如果某人从北京快递900克的包裹到距北京1 300 km 的某地,他应付的邮资是( ). A .5.00元B .6.00元C .7.00元D .8.00元8.方程2x =2-x 的根所在区间是( ). A .(-1,0)B .(2,3)C .(1,2)D .(0,1)9.若log 2 a <0,b⎪⎭⎫⎝⎛21>1,则( ).A .a >1,b >0B .a >1,b <0C .0<a <1,b >0D .0<a <1,b <010.函数y =x 416-的值域是( ). A .[0,+∞)B .[0,4]C .[0,4)D .(0,4)11.下列函数f (x )中,满足“对任意x 1,x 2∈(0,+∞),当x 1<x 2时,都有f (x 1)>f (x 2)的是( ). A .f (x )=x1B .f (x )=(x -1)2C .f (x )=e xD .f (x )=ln (x +1)12.奇函数f (x )在(-∞,0)上单调递增,若f (-1)=0,则不等式f (x )<0的解集是( ). A .(-∞,-1)∪(0,1) B .(-∞,-1)∪(1,+∞) C .(-1,0)∪(0,1)D .(-1,0)∪(1,+∞)13.已知函数f (x )=⎩⎨⎧0≤ 30log 2x x f x x ),+(>,,则f (-10)的值是( ).A .-2B .-1C .0D .114.已知x 0是函数f (x )=2x +x -11的一个零点.若x 1∈(1,x 0),x 2∈(x 0,+∞),则有( ). A .f (x 1)<0,f (x 2)<0 B .f (x 1)<0,f (x 2)>0 C .f (x 1)>0,f (x 2)<0D .f (x 1)>0,f (x 2)>0二、填空题:本大题共4小题,每小题4分,共16分.将答案填在题中横线上. 15.A ={x |-2≤x ≤5},B ={x |x >a },若A ⊆B ,则a 取值范围是 . 16.若f (x )=(a -2)x 2+(a -1)x +3是偶函数,则函数f (x )的增区间是 . 17.函数y =2-log 2x 的定义域是 . 18.求满足8241-x ⎪⎭⎫⎝⎛>x -24的x 的取值集合是 .三、解答题:本大题共3小题,共28分.解答应写出文字说明、证明过程或演算步骤. 19.(8分) 已知函数f (x )=lg (3+x )+lg (3-x ). (1)求函数f (x )的定义域;(2)判断函数f (x )的奇偶性,并说明理由.20.(10分)已知函数f(x)=2|x+1|+ax(x∈R).(1)证明:当a>2时,f(x)在R上是增函数.(2)若函数f(x)存在两个零点,求a的取值范围.21.(10分)某租赁公司拥有汽车100辆.当每辆车的月租金为3 000元时,可全部租出.当每辆车的月租金每增加50元时,未租出的车将会增加一辆.租出的车每辆每月需要维护费150元,未租出的车每辆每月需要维护费50元.(1)当每辆车的月租金定为3 600元时,能租出多少辆车?(2)当每辆车的月租金定为多少元时,租赁公司的月收益最大?最大月收益是多少?参考答案第一章 集合与函数的概念一、选择题1.A 解析:条件U A ={2}决定了集合A ={0,1},所以A 的真子集有∅,{0},{1},故正确选项为A .2.D 解析:在数轴上画出集合A ,B 的示意图,极易否定A ,B .当a =2时,2 B ,故不满足条件A ⊆B ,所以,正确选项为D .3.C 解析:据条件A ∪B =A ,得B ⊆A ,而A ={-3,2},所以B 只可能是集合∅,{-3},{2},所以,m 的取值集合是C .4.B 解析:阴影部分在集合N 外,可否A ,D ,阴影部分在集合M 内,可否C ,所以,正确选项为B .5.B 解析:集合M 是由直线y =x +1上除去点(2,3)之后,其余点组成的集合.集合P 是坐标平面上不在直线y =x +1上的点组成的集合,那么M P 就是坐标平面上除去点(2,3)外的所有点组成的集合.由此U (M P )就是点(2,3)的集合,即U (M P )={(2,3)}.故正确选项为B .6.D 解析:判断同一函数的标准是两函数的定义域与对应关系相同,选项A ,B ,C 中,两函数的定义域不同,正确选项为D .7.C 解析:函数f (x )显然是奇函数,所以不难确定正确选项为C .取特殊值不难否定其它选项.如取x =1,-1,函数值不等,故否A ;点(1,0)在函数图象上,而点(0,1)不在图象上,否选项D ,点(0,-1)也不在图象上,否选项B .8.B 解析:当x =0时,分母最小,函数值最大为1,所以否定选项A ,C ;当x 的绝对值取值越大时,函数值越小,但永远大于0,所以否定选项D .故正确选项为B .9.A 解析:利用条件f (x +4)=f (x )可得,f (7)=f (3+4)=f (3)=f (-1+4)=f (-1),再根据f (x )在R 上是奇函数得,f (7)=-f (1)=-2×12=-2,故正确选项为A .10.C 解析:由为奇函数图像关于原点对称,偶函数图象关于y 轴对称,函数f (x ),g (x )在区间[0,+∞)上图象重合且均为增函数,据此我们可以勾画两函数的草图,进而显见①与③正确.故正确选项为C .二、填空题11.参考答案:{x | x ≥1}.解析:由x -1≥0且x ≥0,得函数定义域是{x |x ≥1}. 12.参考答案:319.解析:由f (f (x ))=af (x )+b =a 2x +ab +b =4x +1,所以a 2=4,ab +b =1(a ∈>0),解得a =2,b =31,所以f (x )=2x +31,于是f (3)=319.13.参考答案:⎪⎭⎫⎝⎛ 21,.解析:a =0时不满足条件,所以a ≠0.(1)当a >0时,只需f (0)=2a -1>0; (2)当a <0时,只需f (1)=3a -1>0. 综上得实数a 的取值范围是⎪⎭⎫⎝⎛ 21,.14.参考答案:{1,5,7,15},{5,9,11,15}.解析:根据条件I ={1,3,5,7,9,11,13,15},M ∩N ={5,15},M ∩(I N )={1,7},得集合M ={1,5,7,15},再根据条件(I M )∩(I N )={3,13},得N ={5,9,11,15}.15.参考答案:(2,4].解析:据题意得-2≤m +1<2m -1≤7,转化为不等式组⎪⎩⎪⎨⎧7 ≤1-21-2<1+2- ≥1+m m m m ,解得m 的取值范围是(2,4].16.参考答案:x (1-x 3). 解析:∵任取x ∈(-∞,0],有-x ∈[0,+∞), ∴ f (-x )=-x [1+(-x )3]=-x (1-x 3), ∵ f (x )是奇函数,∴ f (-x )=-f (x ). ∴ f (x )=-f (-x )=x (1-x 3),即当x ∈(-∞,0]时,f (x )的表达式为f (x )=x (1-x 3). 三、解答题17.参考答案:∵B ={x |x 2-5x +6=0}={2,3}, C ={x |x 2+2x -8=0}={-4,2}, ∴由A ∩C =∅知,-4 ,2 A ; 由∅(A ∩B )知,3∈A .∴32-3a +a 2-19=0,解得a =5或a =-2.当a =5时,A ={x |x 2-5x +6=0}=B ,与A ∩C =∅矛盾. 当a =-2时,经检验,符合题意. 18.参考答案:(1)∵ 2∈A ,∴a -11=2-11=-1∈A ; ∴a -11=1+11=21∈A ; ∈A ∈ +∞ +∞∴a -11=21-11=2∈A .因此,A 中至少还有两个元素:-1和21. (2)如果A 为单元素集合,则a =a-11,整理得a 2-a +1=0,该方程无实数解,故在实数范围内,A 不可能是单元素集.(3)证明: a ∈A ⇒a -11∈A ⇒ a1-1-11∈A ⇒1+-1-1a a ∈A ,即1-a 1∈A .19.参考答案: f (x )=222⎪⎭⎫ ⎝⎛a x -+3-22a .(1)当2a<-1,即a <-2时,f (x )的最小值为f (-1)=5+2a ; (2)当-1≤2a ≤1,即-2≤a ≤2时,f (x )的最小值为⎪⎭⎫⎝⎛2a f =3-22a ;(3)当2a>1,即a >2时,f (x )的最小值为f (1)=5-2a . 综上可知,f (x )的最小值为⎪⎪⎪⎩⎪⎪⎪⎨⎧.> ,-,≤≤ ,-,<- ,+22522232252a a a a a a - 20.参考答案:(1)∵函数f (x )为R 上的奇函数,∴ f (0)=0,即a b2+-1+=0,解得b =1,a ≠-2, 从而有f (x )=ax x +21+2-+1.又由f (1)=-f (-1)知a4++12-=-a 1++121-,解得a =2.(2)先讨论函数f (x )=2+21+2-+1x x =-21+1+21x 的增减性.任取x 1,x 2∈R ,且x 1<x 2,f (x 2)-f (x 1)=1+212x -1+211x =))((1+21+22-21221x x x x ,∵指数函数2x 为增函数,∴212-2x x <0,∴ f (x 2)<f (x 1), ∴函数f (x )=2+21+2-+1x x 是定义域R 上的减函数.由f (t 2-2t )+f (2t 2-k )<0得f (t 2-2t )<-f (2t 2-k ),∴ f (t 2-2t )<f (-2t 2+k ),∴ t 2-2t >-2t 2+k (*). 由(*)式得k <3t 2-2t .又3t 2-2t =3(t -31)2-31≥-31,∴只需k <-31,即得k 的取值范围是⎪⎭⎫ ⎝⎛31- -∞,.第二章 初等函数一、选择题1.A 解析:log 32-(2+3)=log 32-(2-3)-1,故选A .2.A 解析:当a >1时,y =log a x 单调递增,y =a -x 单调递减,故选A . 3.A 解析:取特殊值a =21,可立否选项B ,C ,D ,所以正确选项是A .4.B 解析:画出直线y =1与四个函数图象的交点,它们的横坐标的值,分别为a ,b ,c ,d 的值,由图形可得正确结果为B .5.D 解析:解法一:8=(2)6,∴ f (26)=log 22=21. 解法二:f (x 6)=log 2 x ,∴ f (x )=log 26x =61log 2 x ,f (8)=61log 28=21. 6.D 解析:由函数f (x )在⎪⎭⎫⎝⎛121 ,上是减函数,于是有21-a ≥1,解得a ≥3. 7.C 解析:函数f (x )=2-x-1=x ⎪⎭⎫ ⎝⎛21-1的图象是函数g (x )=x⎪⎭⎫ ⎝⎛21图象向下平移一个单位所得,据函数g (x )=x⎪⎭⎫⎝⎛21定义域和值域,不难得到函数f (x )定义域是R ,值域是(-1,+∞).8.B 解析:由-1<a <0,得0<2a <1,0.2a >1,a⎪⎭⎫⎝⎛21>1,知A ,D 不正确.当a =-21时,2121-⎪⎭⎫⎝⎛=501.<201.=2120-.,知C 不正确. ∴ 2a<a⎪⎭⎫⎝⎛21<0.2a .9.C 解析:由f (x )在R 上是减函数,∴ f (x )在(1,+∞)上单减,由对数函数单调性,即0<a <1 ①,又由f (x )在(-∞,1]上单减,∴ 3a -1<0,∴ a <31②,又由于由f (x )在R 上是减函数,为了满足单调区间的定义,f (x )在(-∞,1]上的最小值7a -1要大于等于f (x )在[1,+∞)上的最大值0,才能保证f (x )在R 上是减函数.∴ 7a -1≥0,即a ≥71③.由①②③可得71≤a <31,故选C .10.B 解析:先求函数的定义域,由2-ax >0,有ax <2,因为a 是对数的底,故有a >0且a ≠1,于是得函数的定义域x <a 2.又函数的递减区间[0,1]必须在函数的定义域内,故有1<a2,从而0<a <2且a ≠1.若0<a <1,当x 在[0,1]上增大时,2-ax 减小,从而log a (2-ax )增大,即函数 y =log a (2-ax )在[0,1]上是单调递增的,这与题意不符.若1<a <2,当x 在[0,1]上增大时,2-ax 减小,从而log a (2-ax )减小,即函数 y =log a (2-ax )在[0,1]上是单调递减的.所以a 的取值范围应是(1,2),故选择B . 二、填空题11.参考答案:(-∞,0). 解析:∵ -x >x ,∴ x <0.12.参考答案:f (3)<f (4). 解析:∵ f (3)=log 0.5 8,f (4)=log 0.5 5,∴ f (3)<f (4). 13.参考答案:21. 解析:64log 2log 273=3lg 2lg ·64lg 27lg =63=21.14.参考答案:41. 解析:⎪⎭⎫⎝⎛91f =log 391=-2,⎪⎪⎭⎫ ⎝⎛⎪⎭⎫ ⎝⎛91f f =f (-2)=2-2=41. 15.参考答案:⎥⎦⎤ ⎝⎛143 ,. 解析:由题意,得 ⎪⎩⎪⎨⎧0 34log 0345.0≥)-(>-x x ⇔ ⎪⎩⎪⎨⎧13443 ≤->x x ∴ 所求函数的定义域为⎥⎦⎤⎝⎛143 ,. 16.参考答案:a =21. 解析:∵ f (x )为奇函数, ∴ f (x )+f (-x )=2a -121+x -121+x -=2a -1212++x x =2a -1=0,∴ a =21. 三、解答题17.参考答案:a =100,b =10. 解析:由f (-1)=-2,得1-lg a +lg b =0 ①,由f (x )≥2x ,得x 2+x lg a +lg b ≥0(x ∈R ).∴Δ=(lg a )2-4lg b ≤0 ②.联立①②,得(1-lg b )2≤0,∴ lg b =1,即b =10,代入①,即得a =100. 18.参考答案:(1) a 的取值范围是(1,+∞) ,(2) a 的取值范围是[0,1].解析:(1)欲使函数f (x )的定义域为R ,只须ax 2+2x +1>0对x ∈R 恒成立,所以有⎩⎨⎧0 <440a -a >,解得a >1,即得a 的取值范围是(1,+∞);(2)欲使函数 f (x )的值域为R ,即要ax 2+2x +1 能够取到(0,+∞) 的所有值. ①当a =0时,a x 2+2x +1=2x +1,当x ∈(-21,+∞)时满足要求; ②当a ≠0时,应有⎩⎨⎧0 ≥440a -a =>Δ⇒ 0<a ≤1.当x ∈(-∞,x 1)∪(x 2,+∞)时满足要求(其中x 1,x 2是方程ax 2+2x +1=0的二根).综上,a 的取值范围是[0,1].19.参考答案:(1)定义域为R .令t =2x (t >0),y =t 2+2t +1=(t +1)2>1, ∴ 值域为{y | y >1}.t =2x 的底数2>1,故t =2x 在x ∈R 上单调递增;而 y =t 2+2t +1在t ∈(0,+∞)上单调递增,故函数y =4x +2x +1+1在(-∞,+∞)上单调递增.(2)定义域为R .令t =x 2-3x +2=223⎪⎭⎫ ⎝⎛x --41⎪⎪⎭⎫⎝⎛⎪⎭⎫⎢⎣⎡,+∞41-t ∈. ∴ 值域为(0,43].∵ y =t⎪⎭⎫⎝⎛31在t ∈R 时为减函数,∴ y =2+3-231x x ⎪⎭⎫⎝⎛在 ⎝⎛-∞,⎪⎭⎫23上单调增函数,在 ⎝⎛23,+∞⎪⎪⎭⎫为单调减函数. 20.参考答案:(1){x |-1<x <1}; (2)奇函数;(3)当0<a <1时,-1<x <0;当a >1时,0<x <1.解析:(1)f (x )-g (x )=log a (x +1)-log a (1-x ),若要式子有意义,则 即-1<x <1,所以定义域为{x |-1<x <1}.(2)设F (x )=f (x )-g (x ),其定义域为(-1,1),且F (-x )=f (-x )-g (-x )=log a (-x +1)-log a (1+x )=-[log a (1+x )-log a (1-x )]=-F (x ),所以f (x )-g (x )是奇函数.(3)f (x )-g (x )>0即log a (x +1)-log a (1-x )>0有log a (x +1)>log a (1-x ).x +1>01-x >0x +1>0当0<a <1时,上述不等式 解得-1<x <0;当a >1时,上述不等式 解得0<x <1. 第三章 函数的应用 参考答案一、选择题1.C 解析:易知A ,B ,D 选项对应的函数在区间(0,1)内的函数值恒为负或恒为正,当x 是接近0的正数时,21x +ln x <0;当x 接近1时,21x +ln x >0. 所以选C . 2.D 解析:因为函数f (x )是定义在R 上的偶函数且一个零点是2,则另一个零点为-2,又在(-∞,0]上是减函数,则f (x )<0的x 的取值范围是(-2,2).3.A 解析:设函数y =a x (a >0,且a ≠1)和函数y =x +a ,则函数f (x )=a x -x -a (a >0且a 1)有两个零点, 就是函数y =a x (a >0,且a ≠1)与函数y =x +a 的图象有两个交点,由图象可知当0<a <1时两函数只有一个交点,不符合,当a >1时,因为函数y =a x (a >1)的图象过点(0,1),而直线y =x +a 所过的点(0,a )一定在点(0,1)的上方,所以一定有两个交点.所以实数a 的取值范围是{a |a >1}.4.D 解析:因为f (0)>0,f (1)f (2)f (4)<0,则f (1),f (2),f (4)恰有一负两正或三个都是负的,函数的图象与x 轴相交有多种可能.例如,所以函数f (x )必在区间(0,4)内有零点,正确选项为D . 5. C 解析:当x ≤0时,令x 2+2x -3=0解得x =-3;当x >0时,令-2+ln x =0,得x =100,所以已知函数有两个零点,选C .x +1>01-x >0 x +1>1-x(第4题)还可以作出f (x )的图象,依图判断.6. B 解析:取特殊值x =1,由图象知y =f (1)=32,据此否定A ,D ,在取x =0, 由图象知y =f (0)=0,据此否C ,故正确选项是B.或者勾画选项B 的函数图象亦可判断.7.B 解析:当x ∈(2,4)时,x 2∈(4,16),2x ∈(4,16),log 2 x ∈(1,2),x 1∈⎪⎭⎫ ⎝⎛2141 ,,显然C 、D 不正确,但对于选项A ,若x =3时,x 2=9>23=8,故A 也不正确,只有选项B 正确.8.A 解析:由题意知100=a log 2(1+1),得a =100,则当x =7时,y =100 log 2(7+1)=100×3=300.9.D 解析:设每件降价0.1x 元,则每件获利(4-0.1x )元,每天卖出商品件数为(1 000+100x ). 经济效益:y =(4-0.1x )(1 000+100x )=-10x 2+300x +4 000=-10(x 2-30x +225-225)+4 000 =-10(x -15)2+6 250.x =15时,y max =6 250.每件单价降低1.5元,可获得最好的经济效益.10.B 解析:若设每天从报社买进x (250≤x ≤400,x ∈N )份,则每月共可销售(20x +10×250)份,每份可获利润0.10元,退回报社10(x -250)份,每份亏损0.15元,建立月纯利润函数f (x ),再求f (x )的最大值,可得一个月的最大利润.设每天从报社买进x 份报纸,每月获得的总利润为y 元,则依题意,得 y =0.10(20x +10×250)-0.15×10(x -250)=0.5x +625,x ∈[250,400]. ∵ 函数y 在[250,400]上单调递增,∴ x =400时,y max =825(元). 即摊主每天从报社买进400份时,每月所获得的利润最大,最大利润为825元. 二、填空题11.参考答案:(-∞,-1).解析:函数f (x )=x 2+ax +a -1的两个零点一个大于2,一个小于2,即f (2)<0,可求实数a 的取值范围是(-∞,-1).12.参考答案:长宽分别为25米. 解析:设矩形长x 米,则宽为21(100-2x )=(50-x )米,所以矩形面积y =x (50-x )=-x 2+50 x =-(x -25)2+625,矩形长宽都为25米时,矩形羊圈面积最大.13.参考答案:f (x )=⎩⎨⎧)<( )<(40≤ 20 16020≤ 008x x解析:在信件不超过20克重时,付邮资80分,应视为自变量在0<x ≤20范围内,函数值是80分;在信件超过20克重而不超过40克重时,付邮资160分,应视为自变量在20<x ≤40范围内,函数值是160分,遂得分段函数.14.参考答案:(1) y =⎪⎩⎪⎨⎧⎪⎭⎫ ⎝⎛- )>( )(1.01611.0≤ ≤ 0101.0t t t t ; (2)0.6.解析:(1)据图象0≤t ≤0.1时,正比例函数y =k t 图象过点(0.1,1),所以,k =10, 即y =10t ;当t >0.1时,y 与t 的函数y =at -⎪⎭⎫⎝⎛161(a 为常数)的图像过点(0.1,1),即得1=a-⎪⎭⎫ ⎝⎛1.0161,所以a =0.1,即y =1.0161-⎪⎭⎫⎝⎛t .(2)依题意得1.0161-⎪⎭⎫⎝⎛t ≤0.25,再由y =lg x 是增函数,得(t -0.1)lg161≤lg 41,∵ lg 41<0,即得t -0.1≥0.5,所以,t ≥0.6. 15.参考答案:-1<m <45. 解析:由f (x )=(x +1)|x -1|=得函数y =f (x )的图象(如图).按题意,直线y =x +m 与曲线y =(x +1)|x -1|有三个不同的公共点,求直线y =x +m 在y 轴上的截距m 的取值范围.由 得x 2+x +m -1=0.Δ=1-4(m -1)=5-4m ,由Δ=0,得m =45,易得实数m 的取值范围是-1<m <45.16.参考答案:y =⎪⎪⎩⎪⎪⎨⎧)<( -+- )<( a x a a ax x a x x 2≤ 33223≤ 023222解析:当直线l 平移过程中,分过AB 中点前、后两段建立y 与x 的函数表达式. (1)当0<x ≤a 时,y =21x ·3x =23 x 2;x 2-1,x ≥11-x 2,x <1 y =1-x 2,y =x +m(第15题)(2)当a <x ≤2a 时,y =21·2a ·3a -21(2a -x )·3(2a -x )=-23x 2+23ax -3a 2.所以,y =⎪⎪⎩⎪⎪⎨⎧)<( -+- )<( a x a a ax x a x x 2≤ 33223≤ 023222三、解答题17.参考答案:每间客房日租金提高到40元.解析:设客房日租金每间提高2x 元,则每天客房出租数为300-10x , 由x >0,且300-10x >0,得0<x <30.设客房租金总收入y 元,y =(20+2x )(300-10x )=-20(x -10)2 +8 000(0<x <30), 当x =10时,y max =8 000.即当每间客房日租金提高到20+10×2=40元时,客房租金总收入最高,为每天8 000元.18.参考答案:设从B 市调运x (0≤x ≤6)台到C 市,则总运费y =300x +500(6-x )+400(10-x )+800[8-(6-x )]=200x +8 600(0≤x ≤6). (1)若200x +8 600≤9 000,则x ≤2. 所以x =0,1,2,故共有三种调运方案.(2)由y =200x +8 600(0≤x ≤6)可知,当x =0时,总运费最低,最低费用是8 600元. 19.参考答案:(1)根据表中数据,表述西红柿种植成本Q 与上市时间t 的变化关系的函数决不是单调函数,这与函数Q =at +b ,Q =a ·b t ,Q =a ·log b t 均具有单调性不符,所以,在a ≠0的前提下,可选取二次函数Q =at 2+bt +c 进行描述.把表格提供的三对数据代入该解析式得到: 150250500 62108110100 1215050500 2=++=++=++c b a c b a c b a 解得a =2001,b =-23,c =2425.所以,西红柿种植成本Q 与上市时间t 的函数关系是Q =2001t 2-23t +2425.(2)当t =-2001223-⨯=150天时,西红柿种植成本Q 最低为Q =2001×1502-23×150+2425=100(元/100 kg ).20.参考答案:高为88 cm ,宽为55 cm .解析:设画面高为x cm ,宽为λx cm ,λx 2=4 840,设纸张面积为S ,有 S =(x +16)( λx +10)=λx 2+(16 λ+10)x +160,将λ=28404x 代入上式可得,S =10(x +x 48416⨯)+5 000=10(x -x88)2+6 760,所以,x =x88,即x =88 cm 时,宽为λx =55 cm ,所用纸张面积最小.期末测试 参考答案一、选择题1.B 解析:U B ={x |x ≤1},因此A ∩U B ={x |0<x ≤1}. 2.C 3.C 4.C 5. A 6.B 7.C 8.D9.D 解析:由log 2 a <0,得0<a <1,由b⎪⎭⎫⎝⎛21>1,得b <0,所以选D 项.10.C 解析:∵ 4x >0,∴0≤16- 4x <16,∴x416-∈[0,4).11.A 解析:依题意可得函数应在(0,+∞)上单调递减,故由选项可得A 正确. 12.A13.D 14.B解析:当x =x 1从1的右侧足够接近1时,x-11是一个绝对值很大的负数,从而保证 f (x 1)<0;当x =x 2足够大时,x-11可以是一个接近0的负数,从而保证f (x 2)>0.故正确选项是B . 二、填空题15.参考答案:(-∞,-2). 16.参考答案:(-∞,0). 17.参考答案:[4,+∞).18.参考答案:(-8,+∞). 三、解答题19.参考答案:(1)由⎩⎨⎧0303>->+x x ,得-3<x <3,∴ 函数f (x )的定义域为(-3,3). (2)函数f (x )是偶函数,理由如下:由(1)知,函数f (x )的定义域关于原点对称, 且f (-x )=lg (3-x )+lg (3+x )=f (x ), ∴ 函数f (x )为偶函数.20.参考答案:(1)证明:化简f (x )=⎩⎨⎧1221 ≥22<-,-)-(-,+)+(x x a x x a因为a >2,所以,y 1=(a +2)x +2 (x ≥-1)是增函数,且y 1≥f (-1)=-a ; 另外,y 2=(a -2)x -2 (x <-1)也是增函数,且y 2<f (-1)=-a . 所以,当a >2时,函数f (x )在R 上是增函数.(2)若函数f (x )存在两个零点,则函数f (x )在R 上不单调,且点(-1,-a )在x 轴下方,所以a 的取值应满足⎩⎨⎧0022<-)<-)(+(a a a 解得a 的取值范围是(0,2).21.参考答案:(1)当每辆车的月租金定为3 600元时,未租出的车辆数为500003600 3-=12,所以这时租出了100-12=88辆车.(2)设每辆车的月租金定为x 元,则租赁公司的月收益为f (x )=⎪⎭⎫ ⎝⎛50000 3100--x (x -150)-50000 3-x ×50=-501(x -4 050)2+307 050. 所以,当x =4 050 时,f (x )最大,其最大值为f (4 050)=307 050. 当每辆车的月租金定为4 050元时,月收益最大,其值为307 050元.。
必修一数学练习题及解析第一章练习一、选择题(每小题5分,共60分)1.集合{1,2,3}的所有真子集的个数为()A.3 B.6C.7 D.8解析:含一个元素的有{1},{2},{3},共3个;含两个元素的有{1,2},{1,3},{2,3},共3个;空集是任何非空集合的真子集,故有7个.答案:C2.下列五个写法,其中错误..写法的个数为()①{0}∈{0,2,3};②Ø{0};③{0,1,2}⊆{1,2,0};④0∈Ø;⑤0∩Ø=ØA.1 B.2C.3 D.4解析:②③正确.答案:C3.使根式x-1与x-2分别有意义的x的允许值集合依次为M、F,则使根式x-1+x-2有意义的x的允许值集合可表示为()A.M∪F B.M∩F C.∁M F D.∁F M解析:根式x-1+x-2有意义,必须x-1与x-2同时有意义才可.答案:B4.已知M={x|y=x2-2},N={y|y=x2-2},则M∩N等于()A.N B.M C.R D.Ø解析:M={x|y=x2-2}=R,N={y|y=x2-2}={y|y≥-2},故M∩N=N.答案:A5.函数y=x2+2x+3(x≥0)的值域为()A.R B.[0,+∞) C.[2,+∞) D.[3,+∞)解析:y=x2+2x+3=(x+1)2+2,∴函数在区间[0,+∞)上为增函数,故y≥(0+1)2+2=3.答案:D6.等腰三角形的周长是20,底边长y是一腰的长x的函数,则y等于()A.20-2x(0<x≤10) B.20-2x(0<x<10)C.20-2x(5≤x≤10) D.20-2x(5<x<10)解析:C=20=y+2x,由三角形两边之和大于第三边可知2x>y=20-2x,x>5.答案:D7.用固定的速度向图1甲形状的瓶子注水,则水面的高度h和时间t之间的关系是图1乙中的()甲乙图1解析:水面升高的速度由慢逐渐加快.答案:B8.已知y=f(x)是定义在R上的奇函数,则下列函数中为奇函数的是()①y=f(|x|) ②y=f(-x) ③y=xf(x) ④y=f(x)+xA.①③B.②③C.①④D.②④解析:因为y=f(x)是定义在R上的奇函数,所以f(-x)=-f(x).①y=f(|x|)为偶函数;②y =f(-x)为奇函数;③令F(x)=xf(x),所以F(-x)=(-x)f(-x)=(-x)·[-f(x)]=xf(x).所以F(-x)=F(x).所以y=xf(x)为偶函数;④令F(x)=f(x)+x,所以F(-x)=f(-x)+(-x)=-f(x)-x =-[f(x)+x].所以F(-x)=-F(x).所以y=f(x)+x为奇函数.答案:D9.已知0≤x ≤32,则函数f (x )=x 2+x +1( ) A .有最小值-34,无最大值B .有最小值34,最大值1C .有最小值1,最大值194D .无最小值和最大值解析:f (x )=x 2+x +1=(x +12)2+34,画出该函数的图象知,f (x )在区间[0,32]上是增函数,所以f (x )min =f (0)=1,f (x )max =f (32)=194.答案:C10.已知函数f (x )的定义域为[a ,b ],函数y =f (x )的图象如图2甲所示,则函数f (|x |)的图象是图2乙中的( )甲乙图2解析:因为y =f (|x |)是偶函数,所以y =f (|x |)的图象是由y =f (x )把x ≥0的图象保留,再关于y 轴对称得到的.答案:B11.若偶函数f (x )在区间(-∞,-1]上是增函数,则( ) A .f (-32)<f (-1)<f (2) B .f (-1)<f (-32)<f (2) C .f (2)<f (-1)<f (-32)D .f (2)<f (-32)<f (-1)解析:由f (x )是偶函数,得f (2)=f (-2),又f (x )在区间(-∞,-1]上是增函数,且-2<-32<-1,则f (2)<f (-32)<f (-1).答案:D12.已知函数f (x )是定义在实数集R 上的不恒为零的偶函数,且对任意实数x 都有xf (x +1)=(1+x )f (x ),则f ⎣⎢⎡⎦⎥⎤f (52)的值是( )A .0 B.12 C .1 D.52解析:令x =-12,则-12f (12)=12f (-12),又∵f (12)=f (-12),∴f (12)=0;令x =12,12f (32)=32f (12),得f (32)=0;令x =32,32f (52)=52f (32),得f (52)=0;而0·f (1)=f (0)=0,∴f ⎣⎢⎡⎦⎥⎤f (52)=f (0)=0,故选A.答案:A第Ⅱ卷(非选择题,共90分) 二、填空题(每小题5分,共20分)13.设全集U ={a ,b ,c ,d ,e },A ={a ,c ,d },B ={b ,d ,e },则∁U A ∩∁U B =________. 解析:∁U A ∩∁U B =∁U (A ∪B ),而A ∪B ={a ,b ,c ,d ,e }=U . 答案:Ø14.设全集U =R ,A ={x |x ≥1},B ={x |-1≤x <2},则∁U (A ∩B )=________. 解析:A ∩B ={x |1≤x <2},∴∁R (A ∩B )={x |x <1或x ≥2}. 答案:{x |x <1或x ≥2}15.已知函数f (x )=x 2+2(a -1)x +2在区间(-∞,3]上为减函数,求实数a 的取值范围为________.解析:函数f (x )的对称轴为x =1-a ,则由题知:1-a ≥3即a ≤-2. 答案:a ≤-216.若f (x )=(m -1)x 2+6mx +2是偶函数,则f (0)、f (1)、f (-2)从小到大的顺序是__________.解析:∵f (x )=(m -1)x 2+6mx +2是偶函数,∴m =0.∴f (x )=-x 2+2.∴f (0)=2,f (1)=1,f (-2)=-2,∴f (-2)<f (1)<f (0). 答案:f (-2)<f (1)<f (0)三、解答题(写出必要的计算步骤,只写最后结果不得分,共70分) 17.(10分)设A ={x |-2≤x ≤5},B ={x |m -1≤x ≤2m +1}, (1)当x ∈N *时,求A 的子集的个数;(2)当x ∈R 且A ∩B =Ø时,求m 的取值范围. 解:(1)∵x ∈N *且A ={x |-2≤x ≤5},∴A ={1,2,3,4,5}.故A 的子集个数为25=32个. (2)∵A ∩B =Ø,∴m -1>2m +1或2m +1<-2或m -1>5, ∴m <-2或m >6.18.(12分)已知集合A ={-1,1},B ={x |x 2-2ax +b =0},若B ≠Ø且B ⊆A ,求a ,b 的值.解:(1)当B =A ={-1,1}时,易得a =0,b =-1; (2)当B 含有一个元素时,由Δ=0得a 2=b , 当B ={1}时,由1-2a +b =0,得a =1,b =1 当B ={-1}时,由1+2a +b =0,得a =-1,b =1.19.(12分)已知函数f (x )=xax +b(a ,b 为常数,且a ≠0),满足f (2)=1,方程f (x )=x 有唯一实数解,求函数f (x )的解析式和f [f (-4)]的值.解:∵f (x )=xax +b且f (2)=1,∴2=2a +b . 又∵方程f (x )=x 有唯一实数解. ∴ax 2+(b -1)x =0(a ≠0)有唯一实数解.故(b -1)2-4a ×0=0,即b =1,又上式2a +b =2,可得:a =12,从而f (x )=x 12x +1=2xx +2,∴f (-4)=2×(-4)-4+2=4,f (4)=86=43,即f [f (-4)]=43.20.(12分)已知函数f (x )=4x 2-4ax +(a 2-2a +2)在闭区间[0,2]上有最小值3,求实数a 的值.解:f (x )=4⎝ ⎛⎭⎪⎫x -a 22+2-2a .(1)当a2<0即a <0时,f (x )min =f (0)=a 2-2a +2=3,解得:a =1- 2. (2)0≤a 2≤2即0≤a ≤4时,f (x )min =f ⎝ ⎛⎭⎪⎫a 2=2-2a =3,解得:a =-12(舍去).(3)a2>2即a >4时,f (x )min =f (2)=a 2-10a +18=3,解得:a =5+10, 综上可知:a 的值为1-2或5+10.21.(12分)某公司需将一批货物从甲地运到乙地,现有汽车、火车两种运输工具可供选择.若该货物在运输过程中(含装卸时间)的损耗为300元/小时,其他主要参考数据如下:问:如何根据运输距离的远近选择运输工具,使运输过程中的费用与损耗之和最小? 解:设甲、乙两地距离为x 千米(x >0),选用汽车、火车运输时的总支出分别为y 1和y 2. 由题意得两种工具在运输过程中(含装卸)的费用与时间如下表:于是y 1=8x +1000+(x50+2)×300=14x +1600, y 2=4x +1800+(x100+4)×300=7x +3000. 令y 1-y 2<0得x <200.①当0<x <200时,y 1<y 2,此时应选用汽车; ②当x =200时,y 1=y 2,此时选用汽车或火车均可; ③当x >200时,y 1>y 2,此时应选用火车.故当距离小于200千米时,选用汽车较好;当距离等于200千米时,选用汽车或火车均可;当距离大于200千米时,选用火车较好.22.(12分)已知f (x )的定义域为(0,+∞),且满足f (2)=1,f (xy )=f (x )+f (y ),又当x 2>x 1>0时,f (x 2)>f (x 1).(1)求f (1)、f (4)、f (8)的值;(2)若有f (x )+f (x -2)≤3成立,求x 的取值范围.解:(1)f (1)=f (1)+f (1),∴f (1)=0,f (4)=f (2)+f (2)=1+1=2,f (8)=f (2)+f (4)=2+1=3. (2)∵f (x )+f (x -2)≤3,∴f [x (x -2)]≤f (8),又∵对于函数f (x )有x 2>x 1>0时f (x 2)>f (x 1),∴f (x )在(0,+∞)上为增函数.∴⎩⎨⎧x >0x -2>0x (x -2)≤8⇒2<x ≤4.∴x 的取值范围为(2,4].第二章 练习一、选择题(每小题5分,共60分)1.计算log 225·log 322·log 59的结果为( ) A .3 B .4 C .5D .6解析:原式=lg25lg2·lg22lg3·lg9lg5=2lg5lg2·32lg2lg3·2lg3lg5=6. 答案:D2.设f (x )=⎩⎨⎧2e x -1,x <2,log 3(x 2-1),x ≥2,则f (f (2))的值为( ) A .0 B .1 C .2D .3解析:f (2)=log 3(22-1)=1,f (f (2))=2e 1-1=2e 0=2. 答案:C3.如果log 12x >0成立,则x 应满足的条件是( ) A .x >12 B.12<x <1 C .x <1D .0<x <1解析:由对数函数的图象可得. 答案:D4.函数f (x )=log 3(2-x )在定义域区间上是( ) A .增函数B .减函数C .有时是增函数有时是减函数D .无法确定其单调解析:由复合函数的单调性可以判断,内外两层单调性相同则为增函数,内外两层的单调性相反则为减函数.答案:B5.某种放射性元素,100年后只剩原来的一半,现有这种元素1克,3年后剩下( ) A .0.015克B .(1-0.5%)3克C .0.925克D.1000.125克解析:设该放射性元素满足y =a x (a >0且a ≠1),则有12=a 100得a =(12)1100.可得放射性元素满足y =[(12)1100]x =(12)x 100.当x =3时,y =(12)3100=100(12)3=1000.125. 答案:D6.函数y =log 2x 与y =log 12x 的图象( ) A .关于原点对称 B .关于x 轴对称 C .关于y 轴对称D .关于y =x 对称解析:据图象和代入式判定都可以做出判断,故选B. 答案:B 7.函数y =lg(21-x -1)的图象关于( ) A .x 轴对称B .y 轴对称C .原点对称D .y =x 对称解析:f (x )=lg(21-x -1)=lg 1+x 1-x ,f (-x )=lg 1-x 1+x =-f (x ),所以y =lg(21-x-1)关于原点对称,故选C.答案:C8.设a >b >c >1,则下列不等式中不正确的是( ) A .a c >b c B .log a b >log a c C .c a >c bD .log b c <log a c解析:y =x c 在(0,+∞)上递增,因为a >b ,则a c >b c ;y =log a x 在(0,+∞)上递增,因为b>c,则log a b>log a c;y=c x在(-∞,+∞)上递增,因为a>b,则c a>c b.故选D.答案:D9.已知f(x)=log a(x+1)(a>0且a≠1),若当x∈(-1,0)时,f(x)<0,则f(x)是() A.增函数B.减函数C.常数函数D.不单调的函数解析:由于x∈(-1,0),则x+1∈(0,1),所以a>1.因而f(x)在(-1,+∞)上是增函数.答案:A10.设a=424,b=312,c=6,则a,b,c的大小关系是()A.a>b>c B.b<c<a C.b>c>a D.a<b<c解析:a=424=12243,b=12124,c=6=1266.∵243<124<66,∴12243<12124<1266,即a<b<c.答案:D11.若方程a x=x+a有两解,则a的取值范围为() A.(1,+∞) B.(0,1)C.(0,+∞) D.Ø解析:分别作出当a>1与0<a<1时的图象.(1)当a>1时,图象如下图1,满足题意.图1图2 (2)当0<a<1时,图象如上图2,不满足题意.答案:A1112.已知f (x )是偶函数,它在(0,+∞)上是减函数,若f (lg x )>f (1),则x 的取值范围是( ) A .(110,1)B .(0,110)∪(1,+∞) C .(110,10)D .(0,1)∪(0,+∞)解析:由于f (x )是偶函数且在(0,+∞)上是减函数,所以f (-1)=f (1),且f (x )在(-∞,0)上是增函数,应有⎩⎨⎧x >0,-1<lg x <1,解得110<x <10.答案:C第Ⅱ卷(非选择题,共90分) 二、填空题(每小题5分,共20分)13.若函数f (x )=a x (a >0,且a ≠1)的反函数的图象过点(2,-1),则a =________. 解析:由互为反函数关系知,f (x )过点(-1,2),代入得a -1=2⇒a =12. 答案:1214.方程log 2(x -1)=2-log 2(x +1)的解为________. 解析:log 2(x -1)=2-log 2(x +1)⇔log 2(x -1)=log 24x +1,即x -1=4x +1,解得x =±5(负值舍去),∴x = 5.答案: 515.设函数f 1(x )=x 12,f 2(x )=x -1,f 3(x )=x 2,则f 1(f 2(f 3(2007)))=________. 解析:f 1(f 2(f 3(2007)))=f 1(f 2(20072))=f 1((20072)-1)=[(20072)-1]12=2007-1.答案:1200716.设0≤x ≤2,则函数y =4x -12-3·2x +5的最大值是________,最小值是________. 解析:设2x =t (1≤t ≤4),则y =12·4x -3·2x +5=12t 2-3t +5=12(t -3)2+12.12 当t =3时,y min =12;当t =1时,y max =12×4+12=52. 答案:52 12三、解答题(写出必要的计算步骤,只写最后结果不得分,共70分) 17.(10分)已知a =(2+3)-1,b =(2-3)-1,求(a +1)-2+(b +1)-2的值. 解:(a +1)-2+(b +1)-2=(12+3+1)-2+(12-3+1)-2=(3+32+3)-2+(3-32-3)-2=16(7+432+3+7-432-3)=16[(7+43)(2-3)+(7-43)(2+3)]=16×4=23. 18.(12分)已知关于x 的方程4x ·a -(8+2)·2x +42=0有一个根为2,求a 的值和方程其余的根.解:将x =2代入方程中,得42·a -(8+2)·22+42=0,解得a =2. 当a =2时,原方程为 4x ·2-(8+2)2x +42=0,将此方程变形化为2·(2x )2-(8+2)·2x +42=0. 令2x =y ,得2y 2-(8+2)y +42=0. 解得y =4或y =22.当y =4时,即2x =4,解得x =2; 当y =22时,2x =22,解得x =-12. 综上,a =2,方程其余的根为-12.19.(12分)已知f (x )=2x -12x +1,证明:f (x )在区间(-∞,+∞)上是增函数.证明:设任意x 1,x 2∈(-∞,+∞)且x 1<x 2,则13f (x 1)-f (x 2)=2x 1-12x 1+1-2x 2-12x 2+1=(2x 1-1)(2x 2+1)-(2x 2-1)(2x 1+1)(2x 1+1)(2x 2+1)=2x 1-2x 2-(2x 2-2x 1)(2x 1+1)(2x 2+1)=2(2x 1-2x 2)(2x 1+1)(2x 2+1).∵x 1<x 2,∴2x 1<2x 2,即2x 1-2x 2<0.∴f (x 1)<f (x 2).∴f (x )在区间(-∞,+∞)上是增函数.20.(12分)已知偶函数f (x )在x ∈[0,+∞)上是增函数,且f (12)=0,求不等式f (log a x )>0(a >0,且a ≠1)的解集.解:f (x )是偶函数,且f (x )在[0,+∞)上递增,f (12)=0,∴f (x )在(-∞,0)上递减,f (-12)=0,则有log a x >12,或log a x <-12. (1)当a >1时,log a x >12,或log a x <-12,可得x >a ,或0<x <aa ; (2)当0<a <1时,log a x >12,或log a x <-12,可得0<x <a ,或x >aa . 综上可知,当a >1时,f (log a x )>0的解集为(0,aa )∪(a ,+∞); 当0<a <1时,f (log a x )>0的解集为(0,a )∪(aa ,+∞).21.(12分)已知函数f (x )对一切实数x ,y 都满足f (x +y )=f (y )+(x +2y +1)x ,且f (1)=0, (1)求f (0)的值; (2)求f (x )的解析式;(3)当x ∈[0,12]时,f (x )+3<2x +a 恒成立,求a 的范围.解:(1)令x =1,y =0,则f (1)=f (0)+(1+1)×1,∴f (0)=f (1)-2=-2. (2)令y =0,则f (x )=f (0)+(x +1)x ,∴f (x )=x 2+x -2.(3)由f (x )+3<2x +a ,得a >x 2-x +1.设y =x 2-x +1,则y =x 2-x +1在(-∞,12]上是减函数,所以y =x 2-x +1在[0,12]上的范围为34≤y ≤1,从而可得a >1.22.(12分)设函数f (x )=log a (1-ax ),其中0<a <1.14 (1)求证:f (x )是(a ,+∞)上的减函数; (2)解不等式f (x )>1.解:(1)证明:设任意x 1,x 2∈(a ,+∞)且x 1<x 2,则f (x 1)-f (x 2)=log a (1-a x 1)-log a (1-ax 2)=log a1-ax11-a x 2=log a 1-a x 2+a x 2-a x11-a x2=log a ⎣⎢⎡⎦⎥⎤1+a x 2-a x 11-a x 2=log a (1+ax 1-ax 2x 1x 2-ax 1)=log a [1+a (x 1-x 2)x 1(x 2-a )].∵x 1,x 2∈(a ,+∞)且x 1<x 2,∴x 1-x 2<0,0<a <x 1<x 2,x 2-a >0.∴a (x 1-x 2)x 1(x 2-a )<0,∴1+a (x 1-x 2)x 1(x 2-a )<1,又∵0<a <1,∴log a [1+a (x 1-x 2)x 1(x 2-a )]>0,∴f (x 1)>f (x 2),所以f (x )=log a (1-a x )在(a ,+∞)上为减函数.(2)因为0<a <1,所以f (x )>1⇔log a (1-ax )>log a a ⇔⎩⎪⎨⎪⎧1-a x >0,①1-ax <a .②解不等式①,得x >a 或x <0.解不等式②,得0<x <a 1-a .因为0<a <1,故x <a 1-a ,所以原不等式的解集为{x |a <x <a 1-a}.15第三章 练习一、选择题(每小题5分,共60分)1.二次函数f (x )=2x 2+bx -3(b ∈R )的零点个数是( ) A .0 B .1 C .2D .4解析:∵Δ=b 2+4×2×3=b 2+24>0,∴函数图象与x 轴有两个不同的交点,从而函数有2个零点. 答案:C2.函数y =1+1x 的零点是( ) A .(-1,0) B .-1 C .1D .0解析:令1+1x =0,得x =-1,即为函数零点. 答案:B3.下列给出的四个函数f (x )的图象中能使函数y =f (x )-1没有零点的是( )解析:把y =f (x )的图象向下平移1个单位后,只有C 图中图象与x 轴无交点. 答案:C4.若函数y =f (x )在区间(-2,2)上的图象是连续不断的曲线,且方程f (x )=0在(-2,2)上仅有一个实数根,则f (-1)·f (1)的值( )A .大于0B .小于0C .无法判断D .等于零解析:由题意不能断定零点在区间(-1,1)内部还是外部.16 答案:C5.函数f (x )=e x -1x 的零点所在的区间是( ) A .(0,12) B .(12,1) C .(1,32)D .(32,2)解析:f (12)=e -2<0, f (1)=e -1>0,∵f (12)·f (1)<0,∴f (x )的零点在区间(12,1)内. 答案:B6.方程log 12x =2x -1的实根个数是( ) A .0 B .1 C .2D .无穷多个解析:方程log 12x =2x -1的实根个数只有一个,可以画出f (x )=log 12x 及g (x )=2x -1的图象,两曲线仅一个交点,故应选B.答案:B7.某产品的总成本y (万元)与产量x (台)之间的函数关系式是y =0.1x 2-11x +3000,若每台产品的售价为25万元,则生产者的利润取最大值时,产量x 等于( )A .55台B .120台C .150台D .180台解析:设产量为x 台,利润为S 万元,则S =25x -y =25x -(0.1x 2-11x +3000) =-0.1x 2+36x -3000=-0.1(x -180)2+240,则当x =180时,生产者的利润取得最大值. 答案:D8.已知α是函数f (x )的一个零点,且x 1<α<x 2,则( ) A .f (x 1)f (x 2)>0 B .f (x 1)f (x 2)<0 C .f (x 1)f (x 2)≥0D .以上答案都不对17解析:定理的逆定理不成立,故f (x 1)f (x 2)的值不确定. 答案:D9.某城市为保护环境,维护水资源,鼓励职工节约用水,作出了如下规定:每月用水不超过8吨,按每吨2元收取水费,每月超过8吨,超过部分加倍收费,某职工某月缴费20元,则该职工这个月实际用水( )A .10吨B .13吨C .11吨D .9吨解析:设该职工该月实际用水为x 吨,易知x >8. 则水费y =16+2×2(x -8)=4x -16=20, ∴x =9. 答案:D10.某工厂6年来生产甲种产品的情况是:前3年年产量的增大速度越来越快,后3年年产量保持不变,则该厂6年来生产甲种产品的总产量C 与时间t (年)的函数关系图象为( )答案:A11.函数f (x )=|x 2-6x +8|-k 只有两个零点,则( ) A .k =0B .k >1C .0≤k <1D .k >1,或k =0解析:令y 1=|x 2-6x +8|,y 2=k ,由题意即要求两函数图象有两交点,利用数形结合思想,作出两函数图象可得选D.答案:D12.利用计算器,算出自变量和函数值的对应值如下表:x0.20.61.0 1.41.82.22.63.0 3.4 … y =2x 1.149 1.516 2.0 2.639 3.4824.595 6.063 8.0 10.556 … y =x 20.04 0.361.01.963.244.846.769.011.56…18 那么方程2x=x2的一个根所在区间为()A.(0.6,1.0) B.(1.4,1.8)C.(1.8,2.2) D.(2.6,3.0)解析:设f(x)=2x-x2,由表格观察出x=1.8时,2x>x2,即f(1.8)>0;在x=2.2时,2x<x2,即f(2.2)<0.综上知f(1.8)·f(2.2)<0,所以方程2x=x2的一个根位于区间(1.8,2.2)内.答案:C第Ⅱ卷(非选择题,共90分)二、填空题(每小题5分,共20分)13.用二分法求方程x3-2x-5=0在区间(2,4)上的实数根时,取中点x1=3,则下一个有根区间是__________.解析:设f(x)=x3-2x-5,则f(2)<0,f(3)>0,f(4)>0,有f(2)f(3)<0,则下一个有根区间是(2,3).答案:(2,3)14.已知函数f(x)=ax2-bx+1的零点为-12,13,则a=__________,b=__________.解析:由韦达定理得-12+13=ba,且-12×13=1a.解得a=-6,b=1.答案:-6 115.以墙为一边,用篱笆围成一长方形的场地,如图1.已知篱笆的总长为定值l,则这块场地面积y与场地一边长x的关系为________.图1解析:由题意知场地的另一边长为l-2x,则y=x(l-2x),且l-2x>0,即0<x<l 2.19答案:y =x (l -2x )(0<x <l2)16.某化工厂生产一种溶液,按市场要求杂质含量不超过0.1%,若初时含杂质2%,每过滤一次可使杂质含量减少13,至少应过滤________次才能达到市场要求?(已知lg2=0.3010,lg3=0.4771)解析:设过滤n 次才能达到市场要求,则2%(1-13)n≤0.1% 即(23)n ≤0.12,∴n lg 23≤-1-lg2, ∴n ≥7.39,∴n =8. 答案:8三、解答题(写出必要的计算步骤,只写最后结果不得分,共70分)17.(10分)已知二次函数f (x )的图象过点(0,3),它的图象的对称轴为x =2,且f (x )的两个零点的平方和为10,求f (x )的解析式.解:设二次函数f (x )=ax 2+bx +c (a ≠0).由题意知:c =3,-b2a =2.设x 1,x 2是方程ax 2+bx +c =0的两根,则x 21+x 22=10,∴(x 1+x 2)2-2x 1x 2=10,∴(-b a )2-2c a =10,∴16-6a =10, ∴a =1.代入-b2a =2中,得b =-4.∴f (x )=x 2-4x +3. 18.(12分)求方程x 2+2x =5(x >0)的近似解(精确度0.1). 解:令f (x )=x 2+2x -5(x >0). ∵f (1)=-2,f (2)=3,∴函数f (x )的正零点在区间(1,2)内.取(1,2)中点x 1=1.5,f (1.5)>0.取(1,1.5)中点x 2=1.25,f (1.25)<0. 取(1.25,1.5)中点x 3=1.375,f (1.375)<0.取(1.375,1.5)中点x 4=1.4375,f (1.4375)<0.取(1.4375,1.5). ∵|1.5-1.4375|=0.0625<0.1,20 ∴方程x 2+2x =5(x >0)的近似解为x =1.5(或1.4375).19.(12分)要挖一个面积为800 m 2的矩形鱼池,并在四周修出宽分别为1 m,2 m 的小路,试求鱼池与路的占地总面积的最小值.解:设所建矩形鱼池的长为x m ,则宽为800x m ,于是鱼池与路的占地面积为 y =(x +2)(800x +4)=808+4x +1600x =808+4(x +400x )=808+4[(x -20x )2+40].当x =20x,即x =20时,y 取最小值为968 m 2. 答:鱼池与路的占地最小面积是968 m 2.20.(12分)某农工贸集团开发的养殖业和养殖加工生产的年利润分别为P 和Q (万元),这两项利润与投入的资金x (万元)的关系是P =x 3,Q =103x ,该集团今年计划对这两项生产共投入资金60万元,其中投入养殖业为x 万元,获得总利润y (万元),写出y 关于x 的函数关系式及其定义域.解:投入养殖加工生产业为60-x 万元.由题意可得,y =P +Q =x 3+10360-x , 由60-x ≥0得x ≤60,∴0≤x ≤60,即函数的定义域是[0,60].21.(12分)已知某种产品的数量x (百件)与其成本y (千元)之间的函数关系可以近似用y =ax 2+bx +c 表示,其中a ,b ,c 为待定常数,今有实际统计数据如下表:(1)试确定成本函数y =f (x );(2)已知每件这种产品的销售价为200元,求利润函数p =p (x );(3)据利润函数p =p (x )确定盈亏转折时的产品数量.(即产品数量等于多少时,能扭亏为盈或由盈转亏)解:(1)将表格中相关数据代入y =ax 2+bx +c ,得⎩⎨⎧36a +6b +c =104100a +10b +c =160,400a +20b +c =370解得a =12,b =6,c =50.所以y =f (x )=12x 2+6x +50(x ≥0).(2)p =p (x )=-12x 2+14x -50(x ≥0). (3)令p (x )=0,即-12x 2+14x -50=0, 解得x =14±46,即x 1=4.2,x 2=23.8,故4.2<x <23.8时,p (x )>0;x <4.2或x >23.8时,p (x )<0, 所以当产品数量为420件时,能扭亏为盈; 当产品数量为2380件时由盈变亏.22.(12分)某企业常年生产一种出口产品,根据需求预测:进入21世纪以来,前8年在正常情况下,该产品产量将平衡增长.已知2000年为第一年,头4年年产量f (x )(万件)如表所示:x 1 2 3 4 f (x )4.005.587.008.44(1)画出2000~2003年该企业年产量的散点图;(2)建立一个能基本反映(误差小于0.1)这一时期该企业年产量发展变化的函数模型,并求之.(3)2006年(即x =7)因受到某外国对我国该产品反倾销的影响,年产量应减少30%,试根据所建立的函数模型,确定2006年的年产量应该约为多少?解:图2(1)散点图如图2:(2)设f (x )=ax +b .由已知得⎩⎨⎧a +b =43a +b =7,解得a =32,b =52,∴f(x)=32x+52.检验:f(2)=5.5,|5.58-5.5|=0.08<0.1;f(4)=8.5,|8.44-8.5|=0.06<0.1.∴模型f(x)=32x+52能基本反映产量变化.(3)f(7)=32×7+52=13,由题意知,2006年的年产量约为13×70%=9.1(万件),即2006年的年产量应约为9.1万件.全册书综合练习题及解析一、选择题(每小题5分,共60分)1.集合A={1,2},B={1,2,3},C={2,3,4},则(A∩B)∪C=() A.{1,2,3} B.{1,2,4}C.{2,3,4} D.{1,2,3,4}解析:∵A∩B={1,2},∴(A∩B)∪C={1,2,3,4}.答案:D2.如图1所示,U表示全集,用A,B表示阴影部分正确的是()图1A.A∪B B.(∁U A)∪(∁U B)C.A∩B D.(∁U A)∩(∁U B)解析:由集合之间的包含关系及补集的定义易得阴影部分为(∁U A)∩(∁U B).答案:D3.若f(x)=1-2x,g(1-2x)=1-x2x2(x≠0),则g⎝⎛⎭⎪⎫12的值为()A.1 B.3C.15 D.30解析:g(1-2x)=1-x2x2,令12=1-2x,则x=14,∴g⎝⎛⎭⎪⎫12=1-116116=15,故选C. 答案:C4.设函数f (x )=⎩⎨⎧(x +1)2(x <1),4-x -1(x ≥1),则使得f (-1)+f (m -1)=1成立的m 的值为( )A .10B .0,-2C .0,-2,10D .1,-1,11解析:因为x <1时,f (x )=(x +1)2,所以f (-1)=0.当m -1<1,即m <2时,f (m -1)=m 2=1,m =±1.当m -1≥1,即m ≥2时,f (m -1)=4-m -2=1,所以m =11.答案:D5.若x =6是不等式log a (x 2-2x -15)>log a (x +13)的一个解,则该不等式的解集为( ) A .(-4,7)B .(5,7)C .(-4,-3)∪(5,7)D .(-∞,-4)∪(5,+∞)解析:将x =6代入不等式,得log a 9>log a 19,所以a ∈(0,1).则⎩⎨⎧x 2-2x -15>0,x +13>0,x 2-2x -15<x +13.解得x ∈(-4,-3)∪(5,7).答案:C6.若函数f (x )=12x +1,则该函数在(-∞,+∞)上是( )A .单调递减无最小值B .单调递减有最大值C .单调递增无最大值D .单调递增有最大值解析:2x +1在(-∞,+∞)上递增,且2x +1>0, ∴12x +1在(-∞,+∞)上递减且无最小值. 答案:A7.方程(13)x =|log 3x |的解的个数是( ) A .0 B .1 C .2D .3解析:图2在平面坐标系中,画出函数y 1=(13)x 和y 2=|log 3x |的图象,如图2所示,可知方程有两个解.答案:C8.下列各式中,正确的是( ) A .(-43)23<(-54)23B .(-45)13<(-56)13C .(12)12>(13)12D .(-32)3>(-43)3解析:函数y =x 23在(-∞,0)上是减函数,而-43<-54,∴(-43)23>(-54)23,故A 错; 函数y =x 13在(-∞,+∞)上是增函数,而-45>-56,∴(-45)13>(-56)13,故B 错,同理D 错.答案:C9.生物学指出:生态系统在输入一个营养级的能量中,大约10%的能量能够流到下一个营养级,在H 1→H 2→H 3这个食物链中,若能使H 3获得10 kJ 的能量,则需H 1提供的能量为( )A .105 kJB .104 kJC .103 kJD .102 kJ解析:H 1⎝ ⎛⎭⎪⎫1102=10,∴H 1=103.答案:C10.如图3(1)所示,阴影部分的面积S 是h 的函数(0≤h ≤H ),则该函数的图象是如图3(2)所示的( )图3解析:当h =H2时,对应阴影部分的面积小于整个图形面积的一半,且随着h 的增大,S 随之减小,故排除A ,B ,D.答案:C11.函数f (x )在(-1,1)上是奇函数,且在(-1,1)上是减函数,若f (1-m )+f (-m )<0,则m 的取值范围是( )A .(0,12) B .(-1,1) C .(-1,12)D .(-1,0)∪(1,12)解析:f (1-m )<-f (-m ),∵f (x )在(-1,1)上是奇函数,∴f (1-m )<f (m ),∴1>1-m >m >-1, 解得0<m <12,即m ∈(0,12). 答案:A12.定义在R 上的函数f (x )满足f (x )=⎩⎨⎧ log 2(1-x ),f (x -1)-f (x -2),x ≤0x >0,则f (2009)的值为( )A .-1B .0C .1D .2解析:由题意可得:x >0时,f (x )=f (x -1)-f (x -2),从而f (x -1)=f (x -2)-f (x -3). 两式相加得f (x )=-f (x -3),f (x -6)=f [(x -3)-3]=-f (x -3)=f (x ), ∴f (2009)=f (2003)=f (1997)=…=f (5)=f (-1)=log 22=1. 答案:C第Ⅱ卷(非选择题,共90分) 二、填空题(每小题5分,共20分) 13.log 2716log 34的值是________.解析:log 2716log 34=23log 34log 34=23.答案:23 14.若函数y =kx +5kx 2+4kx +3的定义域为R ,则实数k 的取值范围为__________.解析:kx 2+4kx +3恒不为零.若k =0,符合题意,k ≠0,Δ<0,也符合题意.所以0≤k <34.答案:⎩⎪⎨⎪⎧⎭⎪⎬⎪⎫k ⎪⎪⎪0≤k <34 15.已知全集U ={x |x ∈R },集合A ={x |x ≤1或x ≥3},集合B ={x |k <x <k +1,k ∈R },且(∁U A )∩B =Ø,则实数k 的取值范围是________.解析:∁U A ={x |1<x <3},又(∁U A )∩B =Ø, ∴k +1≤1或k ≥3, ∴k ≤0或k ≥3.答案:(-∞,0]∪[3,+∞)16.麋鹿是国家一级保护动物,位于江苏省中部黄海之滨的江苏大丰麋鹿国家级自然保护区成立于1986年,第一年(即1986年)只有麋鹿100头,由于科学的人工培育,这种当初快要灭绝的动物只数y (只)与时间x (年)的关系可近似地由关系式y =a log 2(x +1)给出,则到2016年时,预测麋鹿的只数约为________.解析:当x =1时,y =a log 22=a =100,∴y =100log 2(x +1), ∵2016-1986+1=31,即2016年为第31年, ∴y =100log 2(31+1)=500, ∴2016年麋鹿的只数约为500. 答案:500三、解答题(写出必要的计算步骤,只写最后结果不得分,共70分)17.(10分)用定义证明:函数g (x )=kx (k <0,k 为常数)在(-∞,0)上为增函数. 证明:设x 1<x 2<0,则g (x 1)-g (x 2)=k x 1-k x 2=k (x 2-x 1)x 1x 2.∵x 1<x 2<0,∴x 1x 2>0,x 2-x 1>0,又∵k <0,∴g (x 1)-g (x 2)<0,即g (x 1)<g (x 2),∴g (x )=kx (k <0,k 为常数)在(-∞,0)上为增函数.18.(12分)已知集合P ={x |2≤x ≤5},Q ={x |k +1≤x ≤2k -1},当P ∩Q =Ø时,求实数k 的取值范围.解:当Q ≠Ø,且P ∩Q =Ø时,⎩⎨⎧ 2k -1<2,2k -1≥k +1,或⎩⎨⎧k +1>5,2k -1≥k +1.解得k >4;当Q =Ø时,即2k -1<k +1,即k <2时,P ∩Q =Ø.综上可知,当P ∩Q =Ø时,k <2或k >4.19.(12分)已知f (x )为一次函数,且满足4f (1-x )-2f (x -1)=3x +18,求函数f (x )在[-1,1]上的最大值,并比较f (2007)和f (2008)的大小.解:因为函数f (x )为一次函数,所以f (x )在[-1,1]上是单调函数,f (x )在[-1,1]上的最大值为max{f (-1),f (1)}.分别取x =0和x =2,得⎩⎨⎧4f (1)-2f (-1)=18,4f (-1)-2f (1)=24,解得f (1)=10,f (-1)=11,所以函数f (x )在[-1,1]上的最大值为f (-1)=11.又因为f (1)<f (-1),所以f (x )在R 上是减函数,所以f (2007)>f (2008).20.(12分)已知函数f (x )=ax 2-2ax +2+b (a ≠0),若f (x )在区间[2,3]上有最大值5,最小值2.(1)求a ,b 的值;(2)若b <1,g (x )=f (x )-mx 在[2,4]上单调,求m 的取值范围. 解:(1)f (x )=a (x -1)2+2+b -a . ①当a >0时,f (x )在[2,3]上单调递增.故⎩⎨⎧ f (2)=2f (3)=5,即⎩⎨⎧ 4a -4a +2+b =29a -6a +2+b =5,解得⎩⎨⎧a =1b =0 ②当a <0时,f (x )在[2,3]上单调递减.故⎩⎨⎧ f (2)=5f (3)=2,即⎩⎨⎧ 4a -4a +2+b =59a -6a +2+b =2,解得⎩⎨⎧a =-1b =3. (2)∵b <1,∴a =1,b =0,即f (x )=x 2-2x +2,g (x )=x 2-2x +2-mx =x 2-(2+m )x +2, 由题意知2+m 2≤2或2+m2≥4,∴m ≤2或m ≥6. 21.(12分)设函数y =f (x ),且lg(lg y )=lg3x +lg(3-x ). (1)求f (x )的解析式和定义域; (2)求f (x )的值域; (3)讨论f (x )的单调性.解:(1)lg(lg y )=lg[3x ·(3-x )],即lg y =3x (3-x ),y =103x (3-x ).又⎩⎨⎧3x >0,3-x >0,所以0<x <3,所以f (x )=103x (3-x )(0<x <3).(2)y =103x (3-x ),设u =3x (3-x )=-3x 2+9x =-3⎝⎛⎭⎪⎫x 2-3x +94+274=-3(x -32)2+274.当x =32∈(0,3)时,u 取得最大值274,所以u ∈(0,274],y ∈(1,10274].(3)当0<x ≤32时,u =-3⎝ ⎛⎭⎪⎫x -322+274是增函数,而y =10u 是增函数,所以在⎝ ⎛⎦⎥⎤0,32上f (x )是递增的;当32<x <3时,u 是减函数,y =10u 是增函数,所以f (x )是减函数.22.(12分)已知函数f (x )=lg(4-k ·2x )(其中k 为实数), (1)求函数f (x )的定义域;(2)若f (x )在(-∞,2]上有意义,试求实数k 的取值范围. 解:(1)由题意可知:4-k ·2x >0,即解不等式:k ·2x <4, ①当k ≤0时,不等式的解为R ,②当k >0时,不等式的解为x <log 24k ,所以当k ≤0时,f (x )的定义域为R ; 当k >0时,f (x )的定义域为(-∞,log 24k ).(2)由题意可知:对任意x ∈(-∞,2],不等式4-k ·2x >0恒成立.得k <42x ,设u =42x ,4又x∈(-∞,2],u=2x的最小值1.所以符合题意的实数k的范围是(-∞,1).。
一、选择题1.函数 f ( x ) =x|x+a|+b 是奇函数的充要条件是( )A . ab=0B . a+b=0C . a=bD . a 2+b 2 =01 x 1(x 0)12.设函数 f (x)2若f ( f (a))则实数 a ( )1,( x 0)2xA.4B.-2C.4或1 D.4或 -223.已知集合 A { y | yln( x 2 1), x R} ,则 C R A()A.B.(,0]C.( ,0)D.[0, )4.已知集合 M{ x |x1 1} ,集合 N { x | 2x 3 0} ,则 (C R M )N ( )x 1A . (3,1) B . (3,1] C .[3,1) D . [3,1]22225.设 a log 2.8 3.1,b log e, c log e ,则()A . a c bB . c a bC . b a cD . b c a6.函数 f ( x)1 x log2 x 的零点所在区间是()A .(1,1)B. (1 ,1)C. (1,2) D. (2,3)4 22A( 1 , 1) ,则它在 A 点处的切线方程为7.若幂函数f (x) 的图象经过点4 2( A ) 4 x 4y 1 0( B ) 4x 4 y 1 0( C ) 2x y 0( D ) 2x y 08. y= ( 1) x - 3x 在区间 [-1,1] 上的最大值等于()51416A.3B.C.5D.339.已知幂函数 f ( x)x m 的图象经过点( 4, 2),则 f (16)( )A. 22B.4C.4 2D.810.设 f ( x) 是定义在 R 上的奇函数,当 x0时 f( x)2x 2x ,则 f (1) = ()A.—3B. — 1C.1D.311.已知125 ()log 2 5 a,log 2 7b, 则 log 2 7A . a3b B . 3a b C . a 3D .3abb12.设集合 M22 x3 0,Nx 2 x2 ,则 MC R N 等于(x x)A .1,1B. ( 1,0) C . 1,3 D. (0,1)13.若 x log 3 4 1 ,则 4x 4 x()A. 1B. 2C. 8D.1033二、填空题14.若 f (x)3x sinx ,则满足不等式 f (2m1)f (3 m)0 的m的取值范围为.115. lg 4 lg 254 2 (4.16.已知函数 f ( x) ( 1) x , x 4log 2 3) 的值为2,则 f (2f ( x 1), x 417.函数 f ( x) sin( x) 的图象为 C , 有如下结论 : ①图象 C5 3 关于直线 x对称 ;②图象C 关于点 (4, 56,0) 对称 ; ③函数 f ( x) 在区间 [ ] 内是增函数。
必修1 第一章 集合测试一、选择题(共12小题,每题5分,四个选项中只有一个符合要求)1.下列选项中元素的全体可以组成集合的是 ( ) A.学校篮球水平较高的学生B.校园中长的高大的树木C.2007年所有的欧盟国家D.中国经济发达的城市2.方程组20{=+=-y x y x 的解构成的集合是( )A .)}1,1{(B .}1,1{C .(1,1)D .}1{3.已知集合A ={a ,b ,c },下列可以作为集合A 的子集的是 ( ) A. a B. {a ,c } C. {a ,e } D.{a ,b ,c ,d } 4.下列图形中,表示N M ⊆的是 ( )5.下列表述正确的是 ( ) A.}0{=∅ B. }0{⊆∅ C. }0{⊇∅ D. }0{∈∅ 6、设集合A ={x|x 参加自由泳的运动员},B ={x|x 参加蛙泳的运动员},对于“既参加自由泳又参加蛙泳的运动员”用集合运算表示为 ( ) A.A∩B B.A ⊇B C.A ∪B D.A ⊆B 7.集合A={x Z k k x ∈=,2} ,B={Z k k x x ∈+=,12} ,C={Z k k x x ∈+=,14} 又,,B b A a ∈∈则有 ( ) A.(a+b )∈ A B. (a+b) ∈B C.(a+b) ∈ C D. (a+b) ∈ A 、B 、C 任一个8.集合A ={1,2,x },集合B ={2,4,5},若B A ={1,2,3,4,5},则x =( ) A. 1 B. 3 C. 4 D. 59.满足条件{1,2,3}⊂≠M ⊂≠{1,2,3,4,5,6}的集合M 的个数是( )A. 8 B . 7C. 6D. 5MNAMNBNMCMND10.全集U = {1 ,2 ,3 ,4 ,5 ,6 ,7 ,8 }, A= {3 ,4 ,5 }, B= {1 ,3 , 6 },那么集合 { 2 ,7 ,8}是 ( )A. A BB. B AC. B C A C U UD. B C A C U U11.设集合{|32}M m m =∈-<<Z ,{|13}N n n MN =∈-=Z 则,≤≤ ( )A .{}01,B .{}101-,,C .{}012,, D .{}1012-,,, 12. 如果集合A={x |ax 2+2x +1=0}中只有一个元素,则a 的值是 ( )A .0B .0 或1C .1D .不能确定二、填空题(共4小题,每题4分,把答案填在题中横线上)13.用描述法表示被3除余1的集合 . 14.用适当的符号填空:(1)∅ }01{2=-x x ; (2){1,2,3} N ; (3){1} }{2x x x =; (4)0 }2{2x x x =. 15.含有三个实数的集合既可表示成}1,,{aba ,又可表示成}0,,{2b a a +,则=+20042003b a .16.已知集合}33|{≤≤-=x x U ,}11|{<<-=x x M ,}20|{<<=x x N C U 那么集合=N ,=⋂)(N C M U ,=⋃N M . 三、解答题(共4小题,共44分,解答应写出文字说明,证明过程或演算步骤)17. 已知集合}04{2=-=x x A ,集合}02{=-=ax x B ,若A B ⊆,求实数a 的取值集合.18. 已知集合}71{<<=x x A ,集合}521{+<<+=a x a x B ,若满足 }73{<<=x x B A ,求实数a 的值.19. 已知方程02=++b ax x .(1)若方程的解集只有一个元素,求实数a ,b 满足的关系式; (2)若方程的解集有两个元素分别为1,3,求实数a ,b 的值20. 已知集合}31{≤≤-=x x A ,},{2A x y x y B ∈==,},2{A x a x y y C ∈+==,若满足B C ⊆,求实数a 的取值范围.必修1 函数的性质一、选择题:1.在区间(0,+∞)上不是增函数的函数是( )A .y =2x +1B .y =3x 2+ 1C .y =x2D .y =2x 2+x +1 2.函数f (x )=4x 2-mx +5在区间[-2,+∞]上是增函数,在区间(-∞,-2)上是减函数,则f (1)等于 ( )A .-7B .1C .17D .253.函数f (x )在区间(-2,3)上是增函数,则y =f (x +5)的递增区间是 ( )A .(3,8)B .(-7,-2)C .(-2,3)D .(0,5) 4.函数f (x )=21++x ax 在区间(-2,+∞)上单调递增,则实数a 的取值范围是 ( ) A .(0,21) B .( 21,+∞) C .(-2,+∞) D .(-∞,-1)∪(1,+∞)5.函数f (x )在区间[a ,b ]上单调,且f (a )f (b )<0,则方程f (x )=0在区间[a ,b ]内 ( )A .至少有一实根B .至多有一实根C .没有实根D .必有唯一的实根6.若q px x x f ++=2)(满足0)2()1(==f f ,则)1(f 的值是 ( )A 5B 5-C 6D 6-7.若集合}|{},21|{a x x B x x A ≤=<<=,且Φ≠B A ,则实数a 的集合( )A }2|{<a aB }1|{≥a aC }1|{>a aD }21|{≤≤a a8.已知定义域为R 的函数f (x )在区间(-∞,5)上单调递减,对任意实数t ,都有f (5+t ) =f (5-t ),那么下列式子一定成立的是 ( ) A .f (-1)<f (9)<f (13) B .f (13)<f (9)<f (-1) C .f (9)<f (-1)<f (13) D .f (13)<f (-1)<f (9) 9.函数)2()(||)(x x x g x x f -==和的递增区间依次是 ( )A .]1,(],0,(-∞-∞B .),1[],0,(+∞-∞C .]1,(),,0[-∞+∞D ),1[),,0[+∞+∞10.若函数()()2212f x x a x =+-+在区间(]4,∞-上是减函数,则实数a 的取值范围 ( ) A .a ≤3 B .a ≥-3 C .a ≤5 D .a ≥311. 函数c x x y ++=42,则 ( )A )2()1(-<<f c fB )2()1(->>f c fC )2()1(->>f f cD )1()2(f f c <-<12.已知定义在R 上的偶函数()f x 满足(4)()f x f x +=-,且在区间[0,4]上是减函数则( )A .(10)(13)(15)f f f <<B .(13)(10)(15)f f f <<C .(15)(10)(13)f f f <<D .(15)(13)(10)f f f <<.二、填空题:13.函数y =(x -1)-2的减区间是___ _.14.函数f (x )=2x 2-mx +3,当x ∈[-2,+∞)时是增函数,当x ∈(-∞,-2]时是减函数,则f (1)= 。
一、选择题1.设()31xf x =-,若关于x 的函数2()()(1)()g x f x t f x t =-++有三个不同的零点,则实数t 的取值范围为( ) A .102⎛⎫ ⎪⎝⎭, B .()0,2 C .()0,1 D .(]0,12.设函数3,()log ,x x a f x x x a⎧≤=⎨>⎩()0a >, 若函数()2y f x =-有且仅有两个零点,则a的取值范围是( ) A .. ()0,2B .()0,9C .()9,+∞D .()()0,29,⋃+∞3.已知函数()22,0log ,0x x f x x x ⎧≤⎪=⎨>⎪⎩若a b c <<,且满足()()()f a f b f c ==,则abc 的取值范围为( ) A .(],0-∞B .(],1-∞-C .[]2,0-D .[]4,0-4.下列等式成立的是( ) A .222log (35)log 3log 5+=+ B .2221log 3log 32-= C .222log 3log 5log (35)⋅=+D .231log 3log 2= 5.在数学史上,一般认为对数的发明者是苏格兰数学家——纳皮尔(Napier ,1550-1617年).在纳皮尔所处的年代,哥白尼的“太阳中心说”刚刚开始流行,这导致天文学成为当时的热门学科.可是由于当时常量数学的局限性,天文学家们不得不花费很大的精力去计算那些繁杂的“天文数字”,因此浪费了若干年甚至毕生的宝贵时间.纳皮尔也是当时的一位天文爱好者,为了简化计算,他多年潜心研究大数字的计算技术,终于独立发明了对数.在那个时代,计算多位数之间的乘积,还是十分复杂的运算,因此纳皮尔首先发明了一种计算特殊多位数之间乘积的方法.让我们来看看下面这个例子:这两行数字之间的关系是极为明确的:第一行表示2的指数,第二行表示2的对应幂.如果我们要计算第二行中两个数的乘积,可以通过第一行对应数字的和来实现. 比如,计算64×256的值,就可以先查第一行的对应数字:64对应6,256对应8,然后再把第一行中的对应数字加和起来:6+8=14;第一行中的14,对应第二行中的16384,所以有:64×256=16384,按照这样的方法计算:16384×32768=( ) A .134217728B .268435356C .536870912D .5137658026.若函数112xy m -⎛⎫=+ ⎪⎝⎭的图象与x 轴有公共点,则m 的取值范围是( )A .1m ≤-B .10m -≤<C .m 1≥D .01m <≤7.已知函数223,()11,x x x af x ax x a⎧--≥⎪=⎨-<⎪⎩,对于任意两个不相等的实数1x ,2x R ∈,都有不等式()()()12120x x f x f x -->⎡⎤⎣⎦成立,则实数a 取值范围是( ) A .[)3,+∞B .[]0,3C .[]3,4D .[]2,48.符号[]x 表示不超过x 的最大整数,如[]3π=,[]1.082-=-,定义函数{}[]x x x =-.给出下列结论:①函数{}x 的定义域是R ,值域为0,1;②方程{}12x =有无数个解;③函数{}x 是增函数;④函数{}x 为奇函数,其中正确结论的个数是( )A .0B .1C .2D .39.已知函数()f x 的定义域为R ,()0f x >且满足()()()f x y f x f y +=⋅,且()112f =,如果对任意的x 、y ,都有()()()0x y f x f y ⎡⎤--<⎣⎦,那么不等式()()234f x f x -⋅≥的解集为( )A .(][),12,-∞+∞ B .[]1,2 C .()1,2 D .(],1-∞10.已知x ,y 都是非零实数,||||||x y xy z x y xy =++可能的取值组成的集合为A ,则下列判断正确的是( ) A .3A ∈,1A -∉B .3A ∈,1A -∈C .3A ∉,1A -∈D .3A ∉,1A -∉11.已知}{|21M x x =-<<,3|0x N x x ⎧-⎫=≤⎨⎬⎭⎩,则M N ⋂=( ) A .()0,1 B .[)0,1C .(]1,3D .[]0,312.如果集合{}2210A x ax x =--=只有一个元素,则a 的值是( ) A .0B .0或1C .1-D .0或1-二、填空题13.已知函数()22,0,0x x x f x x x ⎧--≤=⎨>⎩,若函数()()g x f x m =-与x 轴有3个交点,则实数m 的取值范围是_________.14.若y a x =的图象与直线y x a =+(0a >)有两个不同交点,则a 的取值范围是__________.15.方程()()122log 44log 23xx x ++=+-的解为____;16.已知函数2,0()ln(1),0x x x f x x x ⎧-+≤=⎨+>⎩,若|()|f x ax ≥恒成立,则a 的取值范围是________.17.关于函数()11f x x =+-的性质描述,正确的是_________.①()f x 的定义域为[-1,0)∪(0,1]; ②()f x 的值域为R ; ③在定义域上是减函数; ④()f x 的图象关于原点对称.18.已知函数()2f x x =,()1g x a x =-,a 为常数,若对于任意1x ,[]20,2x ∈,且12x x <,都有()()()()1212f x f x g x g x -<-则实数a 的取值范围为________.19.已知集合2|230A x x x ,{}|0B x x a =-=,若B A ≠⊂,则实数a 的值为______.20.设a ,b ,c 为实数,()()()2f x x a x bx c =+++,()()()211g x ax cx bx =+++,记集合(){}|0,S x f x x R ==∈,(){}|0,T x g x x R ==∈,若S ,T 分别为集合S ,T 的元素个数,则下列结论可能成立的是________.①1S =,0T =;②1S =,1T =;③2S =,2T =;④2S =,3T =.三、解答题21.新冠肺炎疫情发生后,某公司生产A 型抗疫商品,第一个月是为国内生产,当地政府决定对该型商品免税,该型商品出厂价为每件20元,月销售量为12万件;后来国内疫情得到有效控制,从第二个月开始,该公司为国外生产该型抗疫商品,当地政府开始对该型抗疫商品征收税率为%p (0100p <<,即销售1元要征收100p元)的税,于是该型抗疫商品出厂价就上升到每件100202p-元,预计月销售量将减少2p 万件.(1)将第二个月政府对该商品征收的税y (万元)表示成p 的函数,并指出这个函数的定义域;(2)要使第二个月该公司缴纳的税额不少于1万元的前提下,又要让该公司当月获得最大销售金额,p 应为多少?22.已知函数22,01,()ln ,1x x f x x x e-≤<⎧=⎨≤≤⎩,其中e 为自然对数的底数.(1)求(f f 的值;(2)作出函数()()1F x f x =-的图象,并指出单调递减区间(无需证明) ;(3)若实数0x 满足00(())f f x x =,则称0x 为()f x 的二阶不动点,求函数()f x 的二阶不动点的个数.23.已知函数35()log 5xf x x-=+. (1)求函数()f x 的定义域;(2)判断函数()f x 奇偶性,并证明你的结论.24.已知函数()f x ()()4log 41xkx k R =++∈的图象关于y 轴对称.(1)求实数k 的值(2)设函数()g x 12421f x xx m +=+⋅-(),[]20log 3x ∈,,是否存在实数m , 使得()g x 的最小值为0?若存在, 求出m 的值,若不存在说明理由.25.对于函数()f x ,若在定义域内存在实数0x ,满足()()00f x f x -=-,则称()f x 为“M 类函数”(1)已知函数()23f x cos x π⎛⎫=- ⎪⎝⎭,试判断()f x 是否为“M 类函数”,并说明理由;(2)设()1423xx f x m +=-⋅-是定义域R 上的“M 类函数”,求实数m 的取值范围26.已知集合{|A x y ==,{}22|60B x x ax a =--<,其中0a ≥.(1)当1a =时,求集合A B ⋃,()R C A B ⋂; (2)若()R C A B B ⋂=,求实数a 的取值范围.【参考答案】***试卷处理标记,请不要删除一、选择题 1.C 解析:C 【分析】由()0g x =得()1f x =或()f x t =,作出函数()f x 的图象,可得()f x t =需有两解,有此可得t 的范围. 【详解】据题意()0g x =有三个解.由()0g x =得()1f x =或()f x t =,易知()1f x =只有一个解, ∴()f x t =必须有两解, 由图象知01t <<. 故选:C .【点睛】关键点点睛:本题考查函数零点个数问题,解题时根据零点的定义化为方程()0g x =的解的个数,进而转化为()f x t =的解的个数,再利用数形结合思想,考虑函数()y f x =的图象与直线y t =的交点个数问题.掌握转化思想是解题关键.2.D解析:D 【分析】函数()2y f x =-有且仅有两个零点等价于()y f x =与2y =两个函数图象有且仅有两个交点,数形结合即可求出a 的取值范围. 【详解】令2x =可得12x =-,22x =;令3log 2x =得39x =函数()2y f x =-有且仅有两个零点等价于()y f x =与2y =两个函数图象有且仅有两个交点,作3,()log ,x x a f x x x a ⎧≤=⎨>⎩()0a >图象如图:当02a <<时,()y f x =与2y =两个函数图象有且仅有两个交点,交点横坐标为12x =-,39x =,符合题意;当29a ≤≤时,()y f x =与2y =两个函数图象有且仅有3个交点,交点横坐标为12x =-,22x =,39x =,不符合题意;当9a >时,()y f x =与2y =两个函数图象有且仅有2个交点,交点横坐标为12x =-,22x =,不符合题意;所以a 的取值范围是:()()0,29,⋃+∞, 故选:D 【点睛】本题主要考查了已知函数的零点个数求参数的范围,函数的零点转化为对应方程的根,转化为函数图象的交点,属于中档题.3.A解析:A 【分析】画出()f x 的图象结合图象,求得1bc =、求得a 的取值范围,由此求得abc 的取值范围. 【详解】由函数()f x 的图象(如图),可知1022a b c ≤<≤<≤,由22log log b c =得22log log b c -=,所以1bc =,所以(],0abc a =∈-∞.故选:A【点睛】本小题主要考查分段函数的图象与性质,属于中档题.4.D解析:D 【分析】根据对数的运算法则和换底公式判断. 【详解】22222log 3log 5log (35)log 15log (35)+=⨯=≠+,A 错误;22221log 32log 3log 32-=-≠,B 错误;222log 3log 5log (35)⋅≠+,C 错误; 3233log 31log 3log 2log 2==,D 正确. 故选:D . 【点睛】关键点点睛:本题考查对数的运算法则.log log log ()a a a M N MN +=,log log n a a b n b =,一般log ()log log a a a M N M N +≠+.log ()log log a a a MN M N ≠⋅, 1log log n a a b b n≠. 5.C解析:C 【分析】先找到16384与32768在第一行中的对应数字,进行相加运算,再找和对应第二行中的数字即可. 【详解】由已知可知,要计算16384×32768,先查第一行的对应数字: 16384对应14,32768对应15,然后再把第一行中的对应数字加起来:14+15=29,对应第二行中的536870912, 所以有:16384×32768=536870912, 故选C. 【点睛】本题考查了指数运算的另外一种算法,关键是认真审题,理解题意,属于简单题.6.B解析:B 【分析】11()+2x y m -=与x 有公共点,转化为11()2xy -=与y m =-有公共点,结合函数图象,可得结果. 【详解】11()+2x y m -=与x 有公共点,即11()2x y -=与y m =-有公共点,11()2xy -=图象如图可知0110m m <-≤⇒-≤< 故选:B 【点睛】本题考查了函数的交点问题,考查了运算求解能力和数形结合思想,属于基础题目.7.C解析:C 【分析】根据题意,可得()f x 在R 上为单调递增函数,若x a ≥时为增函数,则3a ≥,若x a <时为增函数,则0a >,比较x=a 处两函数值的大小,即可求得答案, 【详解】因为()()()12120x x f x f x -->⎡⎤⎣⎦,所以()f x 在R 上为单调递增函数, 当x a ≥时,2()23f x x x =--的图象如图所示:因为()f x 在R 上为单调递增函数,所以3a ≥, 当x a <时,()11f x ax =-为增函数,所以0a >, 且在x=a 处222311a a a --≥-,解得4a ≤, 综上34a ≤≤, 故选:C. 【点睛】解题的关键是熟悉分段函数单调性的求法,根据单调性,先分析分段点两侧单调性,再比较分段点处函数值的大小即可,考查推理分析,化简计算的能力,属中档题.8.B解析:B 【分析】根据函数性质判断[]x 是一个常见的新定义的形式,按照新定义,符号[]x 表示不超过x 的最大整数,由此可以得到函数的性质,又定义函数{}[]x x x =-,当0x ≥时,表示x 的小数部分,由于①③是错误的,举例可判断②,根据单调性定义可判断④. 【详解】①函数{}x 的定义域是R ,但[]01x x ≤-<,其值域为)01⎡⎣,,故错误; ②由{}[]12x x x =-=,可得[]12x x =+,则 1.52.5x =,……都是方程的解,故正确; ③由②可得{}11.52=,{}12.52=……当 1.52.5x =,……时,函数{}x 的值都为12,故不是增函数,故错误; ④函数{}x 的定义域是R ,而{}[]{}x x x x -=---≠-,故函数不是奇函数,故错误;综上,故正确的是②. 故选:B. 【点睛】本题以新定义函数{}[]x x x =-的意义为载体,考查了分段函数和函数的值域、单调性等性质得综合类问题,在解答的过程中体现了分类讨论和数形结合的思想,还可以利用函数的图象进行解题.9.B解析:B 【分析】计算出()24f -=,并由()()()0x y f x f y ⎡⎤--<⎣⎦可得出函数()y f x =在R 上为减函数,再由()()234f x f x-⋅≥,可得出()()232f xx f -≥-,再由函数()y f x =在R 上的单调性可得出232x x -≤-,解出该不等式即可. 【详解】由于对任意的实数x 、y ,()()()f x y f x f y +=⋅且()0f x >. 令0x y ==,可得()()()000f f f =⋅,且()00f >,解得()01f =. 令y x =-,则()()()01f x f x f ⋅-==,()()1f x f x -=,()()1121f f -==. ()()()211224f f f ∴-=-⋅-=⨯=.设x y <,则0x y -<,由()()()0x y f x f y ⎡⎤--<⎣⎦,得()()f x f y >. 所以,函数()y f x =在R 上为减函数,由()()234f x f x-⋅≥,可得()()232f x x f -≥-.所以232x x -≤-,即2320x x -+≤,解得12x ≤≤. 因此,不等式()()234f x f x -⋅≥的解集为[]1,2.故选B. 【点睛】本题考查抽象函数的单调性解不等式,解题的关键就是将不等式左右两边转化为函数的两个函数值,并利用函数的单调性进行求解,考查分析问题和解决问题的能力,属于中等题.10.B解析:B 【分析】分别讨论,x y 的符号,然后对||||||x y xyz x y xy =++进行化简,进而求出集合A ,最后根据集合元素的确定性即可得出答案. 【详解】当0x >,0y >时,1113z =++=; 当0x >,0y <时,1111z =--=-; 当0x <,0y >时,1111z =-+-=-; 当0x <,0y <时,1111z =--+=-. 所以3A ∈,1A -∈. 故选:B. 【点睛】本题考查了对含有绝对值符号的式子的化简,考查了集合元素的特点,考查了分类讨论思想,属于一般难度的题.11.A解析:A 【分析】根据分式不等式的解法,求得{}03N x x =<≤,再结合集合的交集的运算,即可求解. 【详解】由题意,集合{}3|003x N x x x x ⎧-⎫=≤=<≤⎨⎬⎭⎩, 又由}{|21M x x =-<<,所以{}()010,1M N x x ⋂=<<=. 故选:A. 【点睛】本题主要考查了集合交集的概念及运算,以及分式不等式的求解,其中解答中正确求解集合N 是解答的关键,着重考查运算与求解能力.12.D解析:D 【分析】由题意得知关于x 的方程2210ax x --=只有一个实数解,分0a =和00a ≠⎧⎨∆=⎩两种情况讨论,可得出实数a 的值. 【详解】由题意得知关于x 的方程2210ax x --=只有一个实数解.当0a =,{}12102A x x ⎧⎫=--==-⎨⎬⎩⎭,合乎题意;当0a ≠时,则440a ∆=+=,解得1a =-. 综上所述:0a =或1-,故选D. 【点睛】本题考查集合的元素个数,本质上考查变系数的二次方程的根的个数,解题要注意对首项系数为零和非零两种情况讨论,考查分类讨论思想,属于中等题.二、填空题13.【分析】先将函数与轴有个交点转化成与的交点问题再作出分段函数的图像利用数形结合求得范围即可【详解】依题意函数与轴有个交点即与有3个交点作分段函数的图像如下由图可知的取值范围为故答案为:【点睛】方法点 解析:()0,1【分析】先将函数()()g x f x m =-与x 轴有3个交点,转化成()y f x =与y m =的交点问题,再作出分段函数()y f x =的图像,利用数形结合求得m 范围即可. 【详解】依题意,函数()()g x f x m =-与x 轴有3个交点, 即()y f x =与y m =有3个交点,作分段函数()22,0,0x x x f x x x ⎧--≤=⎨>⎩的图像如下,由图可知,m 的取值范围为()0,1. 故答案为:()0,1. 【点睛】方法点睛:已知函数有零点(方程有根)求参数值(取值范围)常用的方法: (1)直接法:直接求解方程得到方程的根,再通过解不等式确定参数范围; (2)分离参数法:先将参数分离,转化成求函数的值域问题加以解决;(3)数形结合法:先对解析式变形,进而构造两个函数,然后在同一平面直角坐标系中画出函数的图像,利用数形结合的方法求解.14.【分析】首先根据已知题意画出图形然后根据数形结合分析的取值范围需要注意为的斜率【详解】根据题意的图象如图:结合图象知要想有两个不同交点的斜率要大于的斜率的取值范围是故答案为:【点睛】本题考查函数图象 解析:()1,+∞【分析】首先根据已知题意画出图形,然后根据数形结合分析a 的取值范围,需要注意a 为y ax =的斜率. 【详解】根据题意y a x =的图象如图:()0a >,结合图象知,要想有两个不同交点y ax ∴=的斜率要大于y x a =+的斜率a ∴的取值范围是1a >.故答案为:()1,+∞ 【点睛】本题考查函数图象的交点问题,考查数形结合能力,属于中等题型.15.【分析】直接利用对数的运算法则化简求解即可【详解】解:可得即:解得(舍去)可得经检验是方程的解故答案为:【点睛】本题考查方程的解的求法对数的运算法则的应用考查计算能力 解析:2【分析】直接利用对数的运算法则化简求解即可. 【详解】 解:()()122log 44log 23x x x ++=+-()()1222log 44log log 232x x x +∴+=+-可得()()122log 44log 232x x x++=-⎡⎤⎣⎦, 即:()144232x x x++=-,()223240xx -⋅-=,解得21x =-(舍去)24x =,可得2x =.经检验2x =是方程的解. 故答案为:2. 【点睛】本题考查方程的解的求法,对数的运算法则的应用,考查计算能力.16.【分析】分两种情况讨论当时结合图象可知;当时再分两种情况讨论分离参数后化为函数的最值可解得结果【详解】当时则恒成立等价于恒成立函数的图象如图:由图可知;当时所以恒成立等价于恒成立若则若则恒成立所以综 解析:10a -≤≤【分析】分0x >,0x ≤两种情况讨论,当0x >时,结合图象可知0a ≤;当0x ≤时,再分0x =,0x <两种情况讨论,分离参数后化为函数的最值可解得结果. 【详解】当0x >时,()ln(1)0f x x =+>,则|()|f x ax ≥恒成立等价于ln(1)x ax +≥恒成立,函数ln(1)y x =+的图象如图:由图可知0a ≤;当0x ≤时,2()0f x x x =-+≤,所以|()|f x ax ≥恒成立等价于2x x ax -≥恒成立,若0x =,则a R ∈,若0x <,则1a x ≥-恒成立,所以1a ≥-, 综上所述:10a -≤≤. 故答案为:10a -≤≤ 【点睛】结论点睛:本题考查不等式的恒成立与有解问题,可按如下规则转化: ①若()k f x ≥在[,]a b 上恒成立,则max ()k f x ≥; ②若()k f x ≤在[,]a b 上恒成立,则min ()k f x ≤; ③若()k f x ≥在[,]a b 上有解,则min ()k f x ≥; ④若()k f x ≤在[,]a b 上有解,则max ()k f x ≤;17.①②④【分析】求出函数的定义域值域判断①②根据单调性的定义判断③根据奇偶性的定义与性质判断④【详解】函数满足解得或故函数的定义域为故①正确当时当时所以函数值域为故②正确③虽然时函数单调递减当时函数单解析:①②④ 【分析】求出函数的定义域,值域判断①②,根据单调性的定义判断③,根据奇偶性的定义与性质判断④. 【详解】函数()f x =21011x x ⎧-⎪⎨+≠⎪⎩,解得10x -<或01x <,故函数的定义域为[1-,0)(0⋃,1].故①正确.当[1x ∈-,0)时(][)(]2211,(),00,1x f x x ∈+∞⇒===-∞∈⇒,当(0x ∈,1]时,(][)220,,111x x ∈∈⇒+∞⇒()[0f x ===,)+∞,所以函数值域为R ,故②正确.③虽然[1x ∈-,0)时,函数单调递减,当(0x ∈,1]时,函数单调递减,但在定义域上不是减函数,故③错误.④由于定义域为[1-,0)(0⋃,1],()11f x x x==+-,则()()f x f x -=-,()f x 是奇函数,其图象关于原点对称,故④正确.故答案为:①②④. 【点睛】本题通过对多个命题真假的判断,综合考查函数的单调性、值域、函数的定义域与对称性,属于难题.这种题型综合性较强,也是高考的命题热点,同学们往往因为某一处知识点掌握不好而导致“全盘皆输”,因此做这类题目更要细心、多读题,尽量挖掘出题目中的隐含条件,另外,要注意从简单的自己已经掌握的知识点入手,然后集中精力突破较难的命题.18.02【分析】构造函数F (x )=f (x )﹣g (x )利用F (x )的单调性求出a 【详解】解:对于任意x1x2∈02且x1<x2都有f (x1)﹣f (x2)<g (x1)﹣g (x2)即f (x1)﹣g (x1)<f解析:[0,2] 【分析】构造函数F (x )=f (x )﹣g (x ),利用F (x )的单调性求出a 【详解】解:对于任意x 1,x 2∈[0,2],且x 1<x 2,都有f (x 1)﹣f (x 2)<g (x 1)﹣g (x 2),即f (x 1)﹣g (x 1)<f (x 2)﹣g (x 2),令F (x )=f (x )﹣g (x )=x 2﹣a |x ﹣1|,即F (x 1)<F (x 2),只需F (x )在[0,2]单调递增即可,当x =1时,F (x )=0,图象恒过(1,0)点, 当x >1时,F (x )=x 2﹣ax +a , 当x <1时,F (x )=x 2+ax ﹣a , 要使F (x )在[0,2]递增,则当1<x ≤2时,F (x )=x 2﹣ax +a 的对称轴x =12a≤,即a ≤2, 当0≤x <1时,F (x )=x 2+ax ﹣a 的对称轴x =02a-≤,即a ≥0, 故a ∈[0,2], 故答案为:[0,2] 【点睛】考查恒成立问题,函数的单调性问题,利用了构造函数法,属于中档题.19.-1或3【分析】解方程用列举法表示集合AB 由即得解【详解】集合若故a=-1或3故答案为:-1或3【点睛】本题考查了集合的包含关系考查了学生概念理解数学运算能力属于基础题解析:-1或3 【分析】解方程,用列举法表示集合A ,B ,由B A ≠⊂,即得解. 【详解】 集合2|230{1,3}Ax x x ,{}|0{}B x x a a =-==若B A ≠⊂,故a =-1或3 故答案为:-1或3 【点睛】本题考查了集合的包含关系,考查了学生概念理解,数学运算能力,属于基础题.20.①②③【分析】①根据得到方程无实根推出或;再由此判断根的个数即可判断①;②取分别判断根的个数即可判断②;③取分别判断根的个数即可判断③;④当时方程有三个根所以由此求根的个数即可判断④【详解】①当时方解析:①②③ 【分析】①根据0T =,得到方程()()()2110=+++=g x ax cx bx 无实根,推出0a =,240b c -<或0a b c ===;再由此判断()0f x =根的个数,即可判断①;②取240a b c ≠⎧⎨-<⎩,分别判断()0f x =,()0g x =根的个数,即可判断②;③取20040a c b c ≠⎧⎪≠⎨⎪-=⎩分别判断()0f x =,()0g x =根的个数,即可判断③;④当3T =时,方程()()()2110=+++=g x ax cx bx 有三个根,所以0a ≠,0c ≠,240b c ->,由此求()0f x =根的个数,即可判断④.【详解】①当0T =时,方程()()()2110=+++=g x ax cx bx 无实根,所以0a =,240b c -<或0a b c ===;当0a b c ===时,()3f x x =,由()0f x =得0x =,此时1S =;当0a =,240b c -<时,()()2=++f x x x bx c ,由()0f x =得0x =,此时1S =;故①成立; ②当2040a b c ≠⎧⎨-<⎩时,由()()()20=+++=f x x a x bx c 得x a =-,即1S =;由()()()2110=+++=g x ax cx bx 得1x a=-;即1T =;存在②成立;③当20040a cbc ≠⎧⎪≠⎨⎪-=⎩时,由()()()20=+++=f x x a x bx c 得x a =-或2b x =-;由()()()2110=+++=g x ax cx bx 得 1x a =-或2=-x b;只需2b a ≠,即可满足2S =,2T =;故存在③成立;④当3T =时,方程()()()2110=+++=g x ax cx bx 有三个根,所以0a ≠,0c ≠,240b c ->,设0x 为()0g x =的一个根,则00x ≠,且200001111f a b c x x x x ⎛⎫⎛⎫⎛⎫=+++ ⎪ ⎪⎪⎝⎭⎝⎭⎝⎭()03010g x x ==,故01x 为方程()0f x =的根.此时()0f x =有三个根,即3T =时,必有3S =,故不可能是2S =,3T =;④错;故答案为:①②③ 【点睛】本题主要考查方程根的个数与集合的综合,会判断方程根的个数即可,属于常考题型.三、解答题21.(1)2610p p y p-=-,定义域为()0,6;(2)2p =时,公司销售金额最大.【分析】(1)由题可得第二个月该商品销量为()122p -万件,月销售收入为100(122)202p p-⋅-万元,则可得出对该商品征收的税; (2)由1y ≥可得25p ≤≤,销售收入()100(6)()2510p g p p p-=≤≤-单调递减,即可求出最值. 【详解】解:(1)依题意,第二个月该商品销量为()122p -万件, 月销售收入为100(122)202p p-⋅-万元,当地政府对该商品征收的税为100(122)(6)20210010p py p p p p=-⋅⋅=-⋅--(万元).所以所求函数为2610p p y p-=-. 由60p ->及0p >得,所求函数的定义域为()0,6.(2)由1y ≥得26110p p p-≥-化简得27100p p -+≤, 即(2)(5)0p p --≤,解得25p ≤≤, 所以当25p ≤≤,税收不少于1万元;第二个月,当税收不少于1万元时,公司的销售收入为()100(6)()2510p g p p p-=≤≤-,因为100(6)400()1001010p g p p p -==+--在区间[]2,5上是减函数,所以max ()(2)50g p g ==(万元). 所以当2p =时,公司销售金额最大.【点睛】本题考查函数的实际应用,解题的关键是正确理解题目,建立正确的函数关系式,根据函数的单调性求最值.22.(1)(())1f f e =;(2)图象见解析,递减区间为10,2⎡⎤⎢⎥⎣⎦,[]1,e .(3)3【分析】(1)分段函数求值,根据x 的范围代入即可;(2)画出函数图象,结合图象求出函数单调性;(3)写出(())f f x 分段函数,根据(())f f x x =,求出解的个数 【详解】解:(1)因为1e >,所以1()2f e ln e ==,所以1(())()12f f e f ==. (2)()|()1|F x f x =-,所以函数图象如下所示:递减区间为10,2⎡⎤⎢⎥⎣⎦,[]1,e .(3)根据题意,012x,(())(22)f f x ln x =-,当112x <<,(())42f f x x =-,当1x e ,(())22f f x lnx =-,当012x时,由(())(22)f f x ln x x =-=,记()(22)g x ln x x =--,则()g x 在1[0,]2上单调递减,且(0)20g ln =>,11()022g =-<, 故()g x 在1[0,]2上有唯一零点1x ,即函数()f x 在1[0,]2上有唯一的二阶不动点1x . 当112x <<时,由(())42f f x x x =-=,得到方程的根为223x =,即函数()f x 在1(,1)2上有唯一的二阶不动点223x =. 当1x e 时,由(())22f f x lnx x =-=,记()22h x lnx x =--,则()h x 在[1,]e 上单调递减,且()110h =>, ()0h e e =-<,故()h x 在[1,]e 上有唯一零点3x ,即函数()f x 在[1,]e 上有唯一的二阶不动点3x . 综上所述,函数()f x 的二阶不动点有3个. 【点睛】(1)这是分段函数求值,基础题;(2)含绝对值的函数单调性的判断,比较容易;(3)这道题难点是要写出(())f f x 分段函数,根据(())f f x x =,求出解的个数,一定注意x 的范围.23.(1)(5,5)- (2)奇函数,见解析 【分析】(1)若()f x 有意义,则需满足505xx->+,进而求解即可; (2)由(1),先判断定义域是否关于原点对称,再判断()f x -与()f x 的关系即可. 【详解】 (1)由题,则505xx->+,解得55x -<<,故定义域为()5,5- (2)奇函数,证明:由(1),()f x 的定义域关于原点对称, 因为()()33355log log log 1055x xf x f x x x+--+=+==-+,即()()f x f x -=-, 所以()f x 是奇函数 【点睛】本题考查具体函数的定义域,考查函数的奇偶性的证明. 24.(1)12-;(2)1-. 【分析】(1)根据()()()4log 41xf x kx k R =++∈的图象关于y 轴对称.得到()()f x f x -=,再利用待定系数法法求解.(2)由(1)知()42=+⋅xx g x m ,[]20log 3x ∈,,令2x t =,[]13t ∈,得到2=+⋅y t m t ,然后利用二次函数的图象和性质求解.【详解】 (1)()()()4log 41x f x kx k R =++∈的图象关于y 轴对称.∴函数()f x 是偶函数.()()f x f x ∴-=,即()()44log 41log 41xx kx kx -+-=++,即()()()44log 411log 41xxk x kx +-+=++,即210k +=,12k ∴=-;(2)()1242142()+=+⋅-=+⋅f x xx x x g x m m ,[]20log 3x ∈,,设2x t =,则[]13t ∈,, 2∴=+⋅y t m t 在[]13t ∈,上最小值为0,又22()24m m y t =+-,[]13t ∈,,当12m-≤ 即2m ≥-时,1t =时10min y m =+=, 1m ∴=-,符合,当132m -<-< 即62m -<<-时,2m t =-时,204min m y =-=,0m ∴= 不符合,当32m-≥ 即6m ≤-时,3t =时,930min y m =+=, 3m ∴=-,不符合, 综上所述m 的值为1-. 【点睛】本题主要考查偶函数的应用,对数运算以及二次函数的图象和性质的应用,还考查了分类讨论的思想和运算求解的能力,属于中档题. 25.(1)是;答案见解析;(2)1m -. 【分析】(1)特殊值验证使得()()f x f x -=-即可;(2)因为函数满足新定义,则问题由存在问题转化为求函数值域问题,进而可以求解.【详解】解:(1)因为()2cos()2cos()2(22323f πππππ-=--=+=⨯=()2cos()2223f πππ=-==()()22f f ππ-=-, 所以存在02=x π使得函数()f x 为“M 类函数”;(2)由已知函数1()423x x f x m +=--满足:()()f x f x -=-,则化简可得:442(22)60x x x x m --+-+-=⋯①令222x x t -=+,则2442x x t -+=-,所以①可化为:2280t mt --=在区间[2,)+∞上有解可使得函数()f x 为“M 类函数”, 即18()2m t t=-在[2,)+∞有解, 而函数18()2t t -在[2,)+∞上单调递增,所以当2t =时,有最小值为18(2)122-=-, 所以1m -,故实数m 的取值范围为:[1-,)+∞.【点睛】本题考查了新定义的函数问题以及函数的有解问题,涉及到求函数的值域问题. 求函数最值和值域的常用方法:(1)单调性法:先确定函数的单调性,再由单调性求最值;(2)图象法:先作出函数的图象,再观察其最高点、最低点,求出最值;(3)基本不等式法:先对解析式变形,使之具备“一正二定三相等”的条件后用基本不等式求出最值;(4)导数法:先求导,然后求出在给定区间上的极值,最后结合端点值,求出最值;(5)换元法:对比较复杂的函数可通过换元转化为熟悉的函数,再用相应的方法求最值. 26.()[)()13,3,()1,3R A B C A B ⋃=-⋂= ()20a =【分析】(1)先求集合B,再根据交集、并集以及补集得定义求结果,(2)先根据条件化为集合关系,再结合数轴求实数a 的取值范围.【详解】(1){()(){}[]||3103,1A x y x x x ===+-≥=-当1a =时,{}{}()222|60|602,3B x x ax a x x x =--<=--<=-, 所以[)3,3,A B ⋃=-因为()()(),31,R C A =-∞-⋃+∞,所以()()1,3R C A B ⋂=(2)因为()R C A B B ⋂=,所以R B C A ⊆,当B =∅时,0a =,满足条件,{}()220|602,3a B x x ax a a a >=--<=-当时,不满足条件,因此0a =.【点睛】防范空集.在解决有关,A B A B ⋂=∅⊆等集合问题时,往往忽略空集的情况,一定先考虑∅是否成立,以防漏解.。
人教版高中数学必修一测试题一一、选择题(本大题共10小题,每小题5分,共60分)1.已知A ={x |y =x ,x ∈R },B ={y |y =x 2,x ∈R },则A ∩B 等于 ( )A.{x |x ∈R }B.{y |y ≥0}C.{(0,0),(1,1)}D.∅2. 函数2x y -=的单调递增区间为 ( )A .]0,(-∞B .),0[+∞C .),0(+∞D .),(+∞-∞ 3. 下列四个函数中,在(0,+∞)上为增函数的是 ( )A.f (x )=3-xB.f (x )=x 2-3xC.f (x )=-11+xD.f (x )=-|x |4.函数f (x )=x 2+2(a -1)x +2在区间(-∞,4]上递减,则a 的取值范围是 ( )A.[-3,+∞]B.(-∞,-3)C.(-∞,5]D.[3,+∞)5..当10<<a 时,在同一坐标系中,函数x y a y a xlog ==-与的图象是 ( ).A B C D 6. 函数y =1-x +1(x ≥1)的反函数是 ( )A.y =x 2-2x +2(x <1)B.y =x 2-2x +2(x ≥1)C.y =x 2-2x (x <1)D.y =x 2-2x (x ≥1)7. 已知函数f (x )=12++mx mx 的定义域是一切实数,则m 的取值范围是 ( )A.0<m ≤4B.0≤m ≤1C.m ≥4D.0≤m ≤48.某商场对顾客实行购物优惠活动,规定一次购物付款总额:(1)如果不超过200元,则不给予优惠;(2)如果超过200元但不超过500元,则按标价给予9折优惠;(3)如果超过500元,其500元内的按第(2)条给予优惠,超过500元的部分给予7折 优惠.某人两次去购物,分别付款168元和423元,假设他一次性购买上述两次同样的商品,则应付款是 ( )A.413.7元B.513.7元C.546.6元D.548.7元9. 二次函数y =ax 2+bx 与指数函数y =(ab )x的图象只可能是 ( )D10. 已知函数f (n )=⎩⎨⎧<+≥-),10)](5([),10(3n n f f n n 其中n ∈N ,则f (8)等于 ( )A.2B.4C.6D.711、如图,设a,b,c,d>0,且不等于1,y=ax , y=bx , y=cx ,y=dx 在同一坐标系中的图象如图, 则a,b,c,d 的大小顺序( ) A 、a<b<c<d B 、a<b<d<cC 、b<a<d<cD 、b<a<c<d12.已知0<a<1,b<-1,函数f(x)=a x +b 的图象不经过: ( )A.第一象限;B.第二象限;C.第三象限;D.第四象限二、填空题(本大题共4小题,每小题5分,共20分) 13.已知f (x )=x 2-1(x <0),则f -1(3)=_______. 14. 函数)23(log 32-=x y 的定义域为______________15.某工厂8年来某产品产量y 与时间t 年的函数关系如下图,则:①前3年总产量增长速度增长速度越来越快; ②前3年中总产量增长速度越来越慢; ③第3年后,这种产品停止生产; ④第3年后,这种产品年产量保持不变. 以上说法中正确的是_______.16. 函数y =⎪⎩⎪⎨⎧>+≤<+≤+1)( 5-1),(030),(32x x x x x x 的最大值是_______.三、解答题。
高一数学试卷
一、选择题: ( 本大题 10 小题,每小题 5 分,满分 50 分。
)
1、已知全集
I{0,1,2,3,4},集合
M{ 1,2,3}
,
N{0,3,4}
,则 e I M N
()
等于 ()
A.{0,4}
B.{3,4}
C. {1,2}
D.
2、设集合M{ x x26x 5 0} , N { x x25x0},则M N 等于()
A. {0}
B.{0,5}
C. {0,1,5}
D.{0,-1,-5}
3、计算:log29log 38=()
A12B10 C 8 D 6
4、函数y a x2(a 0且
a1)图象一定过点()
A (0,1 )B(0,3 )C(1,0 )D(3,0 )
5.下列函数中,在其定义域内既是奇函数又是减函数的是()
A. y x ( x R)
B. y x3x( x R)
C. y (1
)x( x R) D. y
1
(x R,且 x 0) 2x
6、函数y
log 1 x的定义域是()
2
A {x |x>0}
B {x|x≥1}
C {x |x≤1}
D {x|0<x≤1}
7、把函数 y
1
的图象向左平移 1 个单位,再向上平移 2 个单位
x
后,所得函数的解析式应为
( )
A
y
2x 3
B
y
2x 1 x 1
x 1
C y
2x 1
D
y
2x 3
x 1
x
1
8、设 f (x ) lg
x
1
, g(x)
e x
1x ,则( )
x 1
e
A f(x) 与 g(x) 都是奇函数 ;
B f(x) 是奇函数, g(x) 是偶函数 ;
C f(x) 与 g(x) 都是偶函数 ;
D f(x)
是偶函数, g(x) 是奇函数 .
9、使得函数 f (x ) ln x 1 x 2 有零点的一个区间是 ( )
2
A (0 ,1)
B (1 ,2)
C (2 ,3) D
(3 ,4)
10、若 a
20.5 , b log π3 , c log 2 0.5 ,则(
)
A a b c B
b a c
C
c a b
D
b c a
二、填空题:本大题共 4 小题,每小题 5 分,满分 20 分
11、函数 f (x) 2 log 5 (x 3) 在区间 [-2 ,2] 上的值域是 ______ 12、计算:
1
- 3
2
2
+ 643
=______ 9
13、函数 y
x 2
4 x
5 的递减区间为 ______
x 2
14、函数f (x )
的定义域是 ______
2x1
三、解答题 :
15.计算 2 log 3 2 log 332log 3 8 5log53
9
x 2( x1)
16、已知函数 f (x) x2( 1x 2) 。
2x( x2)
(1)求f ( 4)、f (3)、f [ f ( 2)]的值;
(2)若f (a) 10,求a的值 .
17、已知函数f (x)lg(2 x), g( x) lg(2 x), 设h( x) f ( x)g( x).
(1)求函数h(x)的定义域
(2)判断函数h( x)的奇偶性,并说明理由 .
18、已知函数 f (x)=5x
1 。
x
51
(1)写出f ( x)的定义域;
(2)判断f ( x)的奇偶性;
19、某旅游商品生产企业,2012 年某商品生产的投入成本为1 元/件,出厂价为 1.2 元/ 件,年销售量为 10000 件,因 2013 年调整黄金周的影响,此企业为适应市场需求,计划提高产品档次,适度增
加投入成本.若每件投入成本增加的比例为x (0x 1 ),则出厂价相应提高的比例为0.75 x ,同时预计销售量增加的比例为
0.8x .已知得利润(出厂价投入成本)年销售量.
(1)2012 年该企业的利润是多少?
(2)写出 2013 年预计的年利润y与投入成本增加的比例x的关系式;(3)为使 2013 年的年利润达到最大值,则每件投入成本增加的比例
x 应是多少?此时最大利润是多少?
试题答案
一.选择题
1-5:ACDBB6-10:DCBCA
二.填空题
11:[2,3]12:4313:(5,)14:( ,2]三.简答题
15:解:原试=2log32(log332-log39)log 3 235log 5 3
= 2log 3 2(5 log3 2 -2log 3 3 )3log 3 23
= 3log3 2 +2 3log3 2 3 =-1
16、解:(1)f ( 4)=- 2,f (3)=6,f [ f ( 2)]=f (0)0
(2)当a≤- 1 时,a+2=10,得:a=8,不符合;
当- 1<a< 2 时,a2=10,得:a=10 ,不符合;
a ≥2时,2 a =10,得 a=5,所以, a=5
17、解:(1)h( x) f ( x)g( x)lg( x2)lg(2x)
由
x20
得 2 x 2所以,f ( x)
x0
2
h( x)的定义域是(- 2,2)
f( x)的定义域关于原点对称
h( x) f ( x) g ( x) lg(2 x) lg(2 x) g( x) f ( x) h( x)h(x)为偶函数
18、解:(1)R
(2) f ( x) =
5 x
1 = 1 5 x =- 5 x
1
= f ( x) , 所以 f (x) 为奇
x
x x
5
1 1 5 5
1
函数。
(3) f ( x) = 5 x
x
1 2
=1-
x 2
, 因为 5x > 0,所以, 5 x + 1
5 1 5
1
>1,即 0<
2 <2,
x
1
5
2
2
即- 2<-
<0,即- 1<1-
<1
所以, f ( x) 的值
5
x
1 5 x
1
域为(- 1,1 )。
19、解:(1)2000 元
(2)依题意,得
y [1.2 (1
0.75x) 1 (1 x)] 10000 (1 0.8 x)
800x 2
600x 2000 ( 0
x 1 );
( 3 ) 当 x = -
6 0 0 = 0.375 时,达到最大利润为:
4
800 2000
360000 1600
3200
= 2112.5 元。