数列极限证明例题
- 格式:doc
- 大小:535.00 KB
- 文档页数:4
证明数列极限的题目及答案题目:证明数列$a_n =\frac{n}{n + 1}$的极限为 1证明:首先,我们需要明确数列极限的定义。
对于数列$\{a_n\}$,如果对于任意给定的正数$\epsilon$,总存在正整数$N$,使得当$n > N$ 时,都有$|a_n L| <\epsilon$ 成立,那么就称数列$\{a_n\}$的极限为$L$。
接下来,我们来证明数列$a_n =\frac{n}{n + 1}$的极限为 1。
对于任意给定的正数$\epsilon$,要使$|a_n 1| <\epsilon$,即\\begin{align}\left|\frac{n}{n + 1} 1\right|&<\epsilon\\\left|\frac{n}{n + 1} \frac{n + 1}{n + 1}\right|&<\epsilon\\\left|\frac{-1}{n + 1}\right|&<\epsilon\\\frac{1}{n + 1}&<\epsilon\\n + 1 &>\frac{1}{\epsilon}\\n &>\frac{1}{\epsilon} 1\end{align}\所以,取$N =\left\frac{1}{\epsilon} 1\right$(这里$\cdot$ 表示取整),当$n > N$ 时,就有$|a_n 1| <\epsilon$。
因此,根据数列极限的定义,数列$a_n =\frac{n}{n + 1}$的极限为 1。
题目:证明数列$b_n =\frac{1}{n}$收敛于 0证明:给定任意正数$\epsilon$,要使$|b_n 0| <\epsilon$,即\\begin{align}\left|\frac{1}{n} 0\right|&<\epsilon\\\frac{1}{n}&<\epsilon\\n &>\frac{1}{\epsilon}\end{align}\所以,取$N =\left\frac{1}{\epsilon}\right$,当$n >N$ 时,就有$|b_n 0| <\epsilon$。
第二章 数列极限总练习题1、求下列数列的极限: (1)limn→∞√n 3+3n n;(2)limn→∞n 5e n;(3)lim n→∞(√n +2−2√n +1+√n).解:(1)当n>3时,n 3<3n ,∴3=√3n n<√n 3+3n n<√2·3n n=3√2n→3(n →∞). 由迫敛性定理可知:lim n→∞√n 3+3n n=3.(2)设a n =n 5e n ,则limn→∞a na n+1=lim n→∞e (nn+1)5=e>1,∴limn→∞n 5e n=0.(3)lim n→∞(√n +2−2√n +1+√n)=lim n→∞[(√n +2−√n +1)−(√n +1−√n)] =lim n→∞[√n+2+√n+1−√n+1+√n]=0.2、证明:(1)lim n→∞n 2q n =0(|q|<1);(2)limn→∞lgn n a=0(a ≥1);(3)lim √n!n=0.证明:(1)当q=0 时,n 2q n =0,lim n→∞n 2q n =0;当0<|q|<1时,令|q|=1p ,则p>1. 设p=1+h ,h>0. 由(1+h)n >13!n(n-1)(n-2)h 3,(n>2) 得0<|n 2q n |<n 2(1+h)n <6h 3·n 2n(n−1)(n−2)=6h 3·1n(1−1n )(1−12)→0(n →∞).由迫敛性定理可知:lim n→∞n 2q n =0 (|q|<1).(2)任给ε>0,则10ε>1,√n n→1(n →∞),故存在N ,当n>N 时,有1<√n n<10ε,取对数后得:0<lgn n<ε,∴limn→∞lgnn=0. 从而当a ≥1时,0<lgn n a ≤lgn n→0(n →∞).由迫敛性定理可知:limn→∞lgn n a=0(a ≥1).(3)任给ε>0,令M=1ε,则limn→∞M nn!=0.又对ε0=1,存在自然数N ,使得当n>N 时,M nn!<1,即1n!<εn , ∴当n>N 时,有0<√n!n <ε,∴lim√n!n=0.3、设lim n→∞a n =a ,证明:(1)limn→∞a 1+a 2+⋯+a nn=a(又问由此等式能否反过来推出lim n→∞a n =a );(2)若a n >0,(n=1,2,…),则lim n→∞√a 1a 2…a n n =a.证:(1)∵lim n→∞a n =a ,∴对任意的ε>0,必存在N 1,使当n>N 1时,|a n -a|<ε,令m=max{|a 1-a|,|a 2-a|,…,|a n -a|},于是n>N 1时, |a 1+a 2+⋯+a nn −a|=|a 1−a+a 2−a+⋯+a n −an|≤1n (|a 1-a|+|a 2-a|+…+|a N 1+1-a|+|a N 1+2-a|+…+|a n -a|)<N 1m n+(n−N 1)nε<N 1m n+ε.又limn→∞N 1m n=0. ∴对已给的ε>0,存在N 2,当n>N 2时,N 1mn<ε.取N=max{N 1,N 2},则当n>N 时,|a 1+a 2+⋯+a nn−a|<2ε,∴limn→∞a 1+a 2+⋯+a nn=a. 此等式反过来不能推出lim n→∞a n =a .例如a n =(-1)n 不收敛,但lim n→∞a 1+a 2+⋯+a nn=0.(2)对任意自然数n ,a n >0,∴当a ≠0. ∴lim n→∞1a n=1a .又11a 1+1a 2+⋯+1a nn=n1a 1+1a 2+⋯+1a n≤√a 1a 2…a n ≤a 1+a 2+⋯+a nn→a (n →∞).由迫敛性定理可知:lim n→∞√a 1a 2…a n n =a.当a=0时,对任给的ε>0,存在N 1,使当n>N 1时,0<a n <ε,于是当n>N 1时,0<√a 1a 2…a n n =√a 1a 2…a N 1n ·√a N 1+1a N 1+2…a n n<√a 1a 2…a N 1n·εn−N 1n<√a 1a 2…a N 1·ε−N 1n·ε,∵lim n→∞√a 1a 2…a N 1·ε−N 1n=1,从而存在N 2,使当n>N 2时,√a 1a 2…a N 1·ε−N 1n<2,故当n>N=max{N 1,N 2}时,必有0<√a 1a 2…a n n <2ε,∴lim n→∞√a 1a 2…a n n=a.4、应用上题的结论证明下列各题: (1)limn→∞1+12+⋯+1nn=0;(2)lim n→∞√a n =1(a>0);(3)lim n→∞√n n=1;(4)lim√n!n=0;(5)lim√n!n=e ;(6)lim n→∞1+√2+⋯+√n nn =1;(7)若limn→∞b n+1b n=a (b n >0),则lim n→∞√b n n =a ;(8)若lim n→∞(a n −a n−1)=d ,则limn→∞a nn=d .证:(1)∵lim n→∞1n =0;∴limn→∞1+12+⋯+1nn =0;(2)设a 1=a, a n =1 (n=2,3…),则lim n→∞a n =1;∴lim n→∞√a n=lim n→∞√a 1a 2…a n n =1.(3)设a 1=1, a n =nn−1 (n=2,3…),则lim n→∞a n =1;∴lim n→∞√n n=lim n→∞√a 1a 2…a n n =1.(4)lim√n!n=lim n→∞√11·12···1n n=limn→∞1n=0.(5)设a n =n nn! (n=1,2…),则a 1=1;lim√n!n=lim n→∞√a n n=lim n→∞√a 2a 1·a 3a 2···a nan−1n=limn→∞a na n−1=lim n→∞(1+1n−1)n−1=e.(6)lim n→∞1+√2+⋯+√n nn =lim n→∞√n n=1. (7)令b 0=1,则lim n→∞√b n n =lim n→∞√b 1b 0·b 2b 1·b3b 2···b nbn−1n=limn→∞b n+1b n=a (b n >0).(8) lim n→∞a nn=lim n→∞[(a 2−a 1)+(a 3−a 2)+⋯+(a n −a n−1)n+a1n ]=lim n→∞(a n −a n−1)=d .5、证明:若{a n }为递增数列,{b n }为递减数列,且lim n→∞(a n −b n )=0,则lim n→∞a n 与lim n→∞b n 都存在且相等.证:∵lim n→∞(a n −b n )=0,∴{a n -b n }有界,不妨设A ≤a n -b n ≤B ,A,B 为常数. ∵{a n }递增,{b n }递减,∴a n ≤B+b n ≤B+b 1,b n ≥a n -B ≥a 1-B. ∴{a n }{b n }单调有界 ∴{a n }{b n }都有极限. 而lim n→∞(a n −b n )= lim n→∞a n −lim n→∞b n =0,∴lim n→∞a n =lim n→∞b n .6、设数列{a n }满足:存在正数M ,对一切n 有: A n =|a 2-a 1|+|a 3-a 2|+…+|a n -a n-1|≤M 证明:{a n }与{A n }都收敛。
例题1.在数列{a n}中,a1=1,当n≥2时,a n,S n,成等比数列。
(1)求a2,a3,a4;(2)猜想a n的表达式并用数学归纳法证明;(3)求;(4)(思考题)不使用猜想a n的表达式并用数学归纳法证明的方法直接求a n。
1..解析:∵a n,S n,成等比数列,∴(n≥2)(*)(1)把a1=1,S2=a1+a2=1+a2代入(*)式得:把a1=1,,代入(*)得:。
同理可得:由此可以推出:(2)(i)当n=1,2,3,4时,由(*)知猜想成立。
(ii)假设n=k(k≥2)时,成立。
故∴或(舍去)由得即n=k+1时,命题也成立。
由(i)(ii)可知,对一切n∈N成立。
(3)由(2)得数列前n项的和,所有项和(4)对于{a n}的通项还可以这样来求:∵,∴,故是以为首项,为公差的等差数列故,注:对于含有a n,S n的关系式中,常将a n用S n-S n-1(n≥2)代(或S n+1-S n用a n+1代),化成S n,S n+1(或a n,a n+1)的递归关系式。
例1.数列{a n}满足下列条件,求其通项公式a n。
(1)a1=1,(2)a1=2,(3)a1=2,{a n}的前n项和S n满足解:(1)……将以上各式叠加,得∴又n=1时,(2)……将以上各式叠乘,得∴a n=n(n+1)(n≥2)当n=1时,1×(1+1)=2 = a1∴a n=n(n+1)(n∈N*)(3)∴2S n-1S n=S n-1-S n(n≥2)在上式两边同除以S n S n-1,得∴数列为首项,公差为2的等差数列。
例2、在等差数列{a n}中(1)若a p=q,a q=p(p、q∈N*且q≠p),求a p+q;(2){a n}共有n项,其前四项之和为124,其最后四项之和为156,其所有项之和为210,求项数n;(3)若{a n}前n项和记为S n,且有,求S m+n的范围解:(1)∵a q=a p+(q-p)d∴a p+q=a p+(q+p-p)d=q+q×(-1)=0(2)∵a1+a2+a3+a4=124a n+a n-1+a n-2+a n-3=156∴(a1+a n)+(a2+a n-1)+(a3+a n-2)+(a4+a n-3)=280∴4(a1+a n)=280∴a1+a n=70∴n=6(3)设前n项和将以上两式相减得:两边同除以m-n,得例3、在数列{a n}中,S n是其前n项和,a1=1,S n+1=4a n+2(n∈N*) (1)设b n=a n+1-2a n,求证数列{b n}为等比数列并求其通项公式;(2)设,求证数列{C n}是等差数列并求其通项解:(1)∵S n+1=4a n+2∴S n+2=4a n+1+2将以上两式相减,得a n+2=4a n+1-4a n∴a n+2-2a n+1=2(a n+1-2a n)又s2=4a1+2=a1 +a2∴a2 =5∴数列{b n}是以b1=a2-2a1=5-2=3为首项,q=2为公比的等比数列。
第1-7节 数列极限的例题和习题下面的例题和习题都是数列极限理论中的著名习题,初学者能够完全读懂其中例题的证明是不容易的,能够独立完成后面那些习题就更不容易.因此,你可以先粗读一下(因为不管你读懂多少,都暂时不会影响到你学习微积分),有兴趣的读者等有空时或假期中再去细读它.读一读它,你会在做题方法上受到严格的训练.称一个数列),2,1( =n x n 为无穷小量,即lim 0n n x →∞=,用“N ε-”说法,就是它满足条件:称一个数列),2,1( =n x n 为无穷大量,即lim n n x →∞=∞,用“M N -”说法,就是它满足条件:特别,lim n n x=+∞,就是它满足条件:而lim n n x →∞=-∞,就是它满足条件:无穷大量与无穷小量是两个对偶的概念,即当0(1,2,)n x n ≠= 时,若n x 是无穷大量,则1n x 是无穷小量;若n x 是无穷小量,则1nx 是无穷大量. 在第0章(看我做题)中,那些有关数列极限的习题,如果说可以凭借直觉和四则运算规则能够做出来的话,那么下面这些结论,就必须用“N -ε”说法才能够证明.你看一看其中的证明,可以学习到如何用“N -ε”说法做数列极限证明题的方法.例1 设有数列),2,1( =n x n .证明:若有极限n n x ∞→lim ,则算术平均值的数列12(1,2,)nn x x x y n n+++==也有极限且12limlim nn n n x x x x n→∞→∞+++= .证 设lim n n x a →∞=. 考虑1212()()()n n n x x x x a x a x a y a a n n+++-+-++--=-=任意给定正数ε. 因为lim n n x a →∞=,所以有正整数1N 使1||()2n x a n N ε-≤≥. 于是,第1章 函数的极限和连续函数25251212()()()n n n x x x x a x a x a y a a n n+++-+-++--=-= 11121()()()()()N N n x a x a x a x a x a n--+-++-+-++-=11211()()()(1)2N x a x a x a n N n n ε--+-++--+≤+⋅1121()()()2N x a x a x a n ε--+-++-≤+再取正整数1N N ≥足够大,使当N n ≥时,右边第一项也小于2ε. 这样,当N n ≥时,就会有||22n y a εεε-≤+=,即证明了有极限12limlim nn n n x x x a x n →∞→∞+++==请注意...:有极限12lim n n x x x n→∞+++ ,不一定有极限lim n n x →∞!考虑数列 1(1):1,0,1,0,1,0,,,2nn x --【应用】作为例1的应用,例如⑴ 1111123lim lim 0n n n n n →∞→∞++++== ; ⑵lim lim 1n n →∞=. 例2 若),2,1(0 =>n x n 且有极限lim n n x →∞,则几何平均值的数列),2,1(21 ==n x x x z n n n也有极限且lim n n n x →∞=.证 根据极限单调性,必有lim 0n n x →∞≥. 首先设lim 0n n x →∞=,ε为任意给定的正数.先取正整数1N 使12()n x n N ηε≤=>,则1()2n N nn εηη-≤=→=→∞(你知道为什么吗?见第0章题33)因此,必有正整数1N N ≥,使当N n ≥ε≤,即0lim n n n x →∞==【注】假若你知道“几何平均值不超过算术平均值”的话, 根据例1的结论, 则有1200()nx x x n n+++→→∞26所以0lim n n n x →∞==.其次,设lim 0n n x a →∞=>,ε为任意给定的正数(不妨认为1<ε).因为lim1nn x a→∞=,所以有正整数N 使11()nx n N aεε-≤≤+> 从而有(1)(1)n N n Nn n n z a εε---≤=≤+ 让∞→n ,则得1lim1nn z aεε→∞-≤≤+ (你知道为什么吗?见第0章题33)由于正数ε可以任意地小,故有lim 1n n za →∞=,即lim n n n a x →∞==【应用】作为上述结论的应用,若0(1,2,)n x n >= 且有极限1lim n n nxx +→∞,则也有极限lim nlim n 1limn n nx x +→∞=这是因为12)1lim lim n n n n n n n nx x x x +→∞→∞-==例 请你根据lim n 1limn n nx x +→∞=,求极限:⑴n (答案:e ); ⑵n (答案:e 4).例3 设有数列),2,1( =n x n .⑴ 若lim 0n n x →∞=,则必有单调增大数列n y ,使lim n n y →∞=+∞且lim()0n n n y x →∞=;⑵ 若lim n n x →∞=+∞,则必有单调减小数列n y ,使lim 0n n y →∞=且lim()n n n y x →∞=+∞.证 下面证明⑴.你可用类似的方法证明⑵.设lim 0n n x →∞=. 根据数列极限的定义,必有正整数1N 使11||()2n x n N ≤≥;同理,必有正整数12N N >使221||()2n x n N ≤≥. 一般地,必有正整数1k k N N +>使第1章 函数的极限和连续函数2727111(;1,2,)2n k k x n N k ++≤≥= 现在,当1n N <时,取0n y =;当12N n N ≤<时,取1=n y ;一般地,当1k k N n N +≤<时,取),2,1( ==k k y n .显然,数列n y 是单调增大的且lim n n y →∞=+∞; 另一方面,由于1||||||(;1,2,)2n n n n k k kky x y x N n N k +=≤≤<= 所以有0lim ||lim02n n kn k ky x →∞→∞≤≤=(见第0章题32)即lim()0n n n y x →∞=.【注】这里是根据数列极限的定义, 构造出了一个满足题中要求的数列n y .在数学中, 称这种证明方法为“构造性证明”.例4 海因定理(函数极限与数列极限的关系)(1)有极限lim ()x af x A →=的充分必要条件是:对于以a 为极限的任何数列()n x a ≠,都有极限lim ()n n f x A →∞=;(2)有极限lim ()x f x A →∞=的充分必要条件是:对于任何数列()n x n →∞→∞,都有极限lim ()n n f x A →∞=.证 为简单起见,下面证明结论(1).你可用类似的方法证明结论(2).设ε为给定的任意正数.若lim ()x af x A →=,则有正数δ,(※) 当0||x a δ<-≤时,有|()|f x A ε-≤又因为n x a ≠且lim n n x a →∞=,所以有正整数N ,当N n ≥时,0||n x a δ<-≤;根据结论(※),|()|n f x A ε-≤即lim ()n n f x A →∞=.反之,设上面(1)中的条件满足.(反证法)假若A 不是函数()f x 在点a 的极限,用“δε-”的话说,就是:至少有一个正数0ε,不论取正数δ多么小,总有对应的点δx ,使 0||x a δδ<-≤,但0|()|f x A δε->.于是,当取正数1(1,2,)n n n δ==时,就会有相对应的点),2,1( =n x n ,使 10||n x a n<-≤,但0()0n f x A ε->>. 这说明,虽然有lim n n x a →∞=,但A 不是数列)(n x f 的极限,这与假设lim ()n n f x A →∞=矛盾.【注】海因定理就像是架在函数极限与数列极限之间的一座“桥梁”,沟通了两者之间的关系.因此,不仅可以把数列极限看作函数极限的特例,而且函数极限的某些结论,根据海因定理,28可以用数列极限的相应结论来证明.在有的微积分教科书中,先讲数列极限的理论,然后根据海因定理,把有关数列极限的结论转移到函数极限上.回答问题⑴ 一个数列),2,1( =n x n 的前面有限个项(如),,,21m x x x ,对该数列是否有极限或有极限时的极限值有影响吗?⑵ 正数数列的极限一定是正数吗?⑶若),2,1( =>n y x n n 且有极限n n x ∞→l i m 与n n y ∞→lim ,则有>∞→n n x l i m n n y ∞→lim 还是有n n n n y x ∞→∞→≥lim lim ?⑷ 有界数列一定有极限吗?无界数列一定没有极限吗?⑸ 若数列n x 和n y 都没有极限,那么数列)(n n y x +与n n y x 一定也没有极限吗? ⑹ 若数列n x 有极限,而数列n y 没有极限,那么你对数列)(n n y x +是否有极限,可以做出什么结论?⑺ 若lim n n x c →∞=,则必有lim n n x c →∞=吗?反之如何?答案:⑴没有;⑵不一定,例如正数数列1n的极限是0;⑶n n n n y x ∞→∞→≥lim lim ;⑷有界数列不一定有极限,例如n n x )1(-=就没有极限;无界数列一定没有极限,因为有极限的数列是有界数列;⑸不一定,例如1)1(,)1(--=-=n n n n y x ,则)(n n y x +与n n y x 都有极限;⑹一定没有极限.(反证法)若)(n n y x +有极限,则n n n n x x y y -+=)(也有极限,与数列n y 没有极限矛盾.⑺是,因为||||n n x c x c -≤-;反之不成立.习题·提示和选解1.下面的习题都出现在第0章(看我做题)中,你不会做时,可去再看一下那里的做法.证明: ⑴lim 1n →∞⎛⎫++= ; ⑵ {}b a b a nnnn ,max lim =+∞→(其中0,0>>b a ); ⑶ 1lim =∞→nn n ; ⑷lim 0!nn a n →∞=;⑸135(21)lim 0246(2)n n n →∞⋅⋅⋅⋅-=⋅⋅⋅⋅; ⑹ 1n .2.证明:⑴ 211lim 36k nn k k n k =→∞==+∑; ⑵ 2311lim 39k nn k k n k=→∞==+∑;⑶lim 1k n n k =→∞==∑; ⑷ lim 1k n n k =→∞==.提示:用夹挤规则证.第1章 函数的极限和连续函数29293.证明:若lim n n x →∞=+∞,则也有12limnn x x x n→∞+++=+∞ .提示:参考例1的证明.4.设有lim ,lim n n n n x a y b →∞→∞==. 证明:1211limn n n n x y x y x y ab n -→∞+++=提示:设(lim 0),(lim 0)n n n n n n n n x a y b ααββ→∞→∞=+==+=,则 1111()()k n k k n k n k k k n k x y a b ab a b αββααβ-+-+-+-+=++=+++于是,121111k nn n n k n k k x y x y x y x y =--+=+++=∑ 11111k nk nk nn k k k n k k k k nab a b βααβ===-+-+====+++∑∑∑5.设0(1,2,)n y n >= 且12()n n y y y s n +++=→+∞→∞ .证明:若有极限lim n n x →∞,则也有极限112212limlim n nn n n n x y x y x y x y y y →∞→∞+++=+++提示:设lim n n x c →∞=,则(lim 0)n n n n x c αα→∞=+=. 于是,11221112()k nk n k kk kn nk k nnnx y c y x y x y x y y y y s s α====++++==+++∑∑ 1k nk kk ny c s α===+∑6.设0(1,2,)n y n >= 且12()n n y y y s n +++=→+∞→∞证明:若有极限limnn nx y →∞,则也有极限 1212limlim n n n n n nx x x xy y y y →∞→∞+++=+++提示:用n n x y 替换上一题中的n x .7.施笃兹(Stolz)定理 若数列n x 与n y 满足条件: (i)-<<<<< 121n n y y y y , 且lim n n y →∞=+∞;(ii)有极限11lim n n n n n x x y y -→∞---;则也有极限limn n nx y →∞,且11lim lim n n n n n n n n x x x y y y -→∞→∞--=-.证 令111,(2,)n n n z y z y y n -==-= ,则0(2)n z n >≥且3012()n n n s z z z y n =+++=→+∞→∞再令111,(2,3,)n n n w x w x x n -==-= ,则1212n nn n w w w x z z z y +++=+++ (※)根据假设条件(ii),有极限lim n n nw z →∞11lim n n n n n x x y y -→∞--=-,而根据上式(※)和题6,则有极限121121lim lim lim lim n n n n n n n n n n n n n n x w w w w x x y z z z z y y -→∞→∞→∞→∞-+++-===+++- 【注】作为施笃兹定理的应用,则有112limp p pp n n n +→∞+++ (p 为正整数)11lim (1)p p p n n n n ++→∞=-- 1111lim(1)(1)(1)2!pn p p p p p n p p n n p n n →∞++-+=+⎡⎤--++-+-⎢⎥⎣⎦11p =+ 8.设有数列(1,2,)n x n = .证明:若2lim()0n n n x x -→∞-=,则1lim0n n n x x n-→∞-=证 设ε为任意给定的正数.因为2lim()0n n n x x -→∞-=,所以有正整数K ,使22n n x x ε--≤(n K ≥)于是,当n K ≥时,1212()()n n n n n n x x x x x x -----=---[]21323()(1)()()n n n n n n x x x x x x -----=-+----221323()(1)()(1)()n n n n n n x x x x x x -----=-+--+--213()(1)()n n n n x x x x ---=-+--[]22434(1)()()n n n n x x x x ----+----221324()(1)()(1)()n n n n n n x x x x x x -----=-+--+--+1111(1)()(1)()n K n K K K K K x x x x ---+--+--+--因此,当n K ≥时,11()2n n K K x x n K x x ε---≤-+-,从而有11122n n K K K K x x x x x x n K n n n nεε-------≤+≤+()n K ≥ 再取正整数N ()K ≥足够大,使当n N ≥时,12K K x x n ε--≤. 于是,当n N ≥()K ≥时, 11222n n K K x x x x n n εεεε----≤+≤+= 即1lim 0n n n x x n-→∞-=.第1章 函数的极限和连续函数 31319.若正项级数1(0)n n n n x x =∞=≥∑收敛,且通项n x 单调减小,证明lim 0n n n x →∞=.证 因为1(0)n n n n x x =∞=≥∑收敛,所以余和120()m m m r x x m ++=++→→∞ (见下注)对于m n >,由于通项n x 单调减小,所以有12()n m m n m n m x x x x r ++-≤+++≤ ,即 ()mn r x n m n m≤>- 于是,当m n 2≥时,02()222n m m m m n nnn x r r r r n n n n m m ≤≤=≤=-+- 任意给定正数ε,先取m 足够大,使2m r ε≤,再取正整数m N2≥,则当N n ≥时,02n m n x r ε≤≤≤即lim 0n n n x →∞=【注】设级数1n n n x s =∞==∑,余和12,m m m m r x x s s ++=++=- 则lim lim 0m m m m r s s s s →∞→∞=-=-=在求方程的近似解时,常常会得到叠代数列(逐次逼近数列).当它收敛时,它能够逐步接近精确解.因此,就需要研究叠代数列的收敛性(不必求出数列的极限值),有时还可以进一步求出叠代数列的极限值.例如,10.研究数列n x 的收敛性.若收敛,试求极限lim n n x →∞.⑴ 设0x a =和1x b =为已知实数.令11(1,2,)2n nn x x x n -++== 解 0101211(1)222x x x x b ax x x +---=-==-, 121232222x x x x x x x +--=-=22(1)2b a-=-,323234333(1)222x x x x b ax x x +---=-==-,一般地, 111(1)2n n n n b a x x -----=-. 将以上这些等式依次相加,则得3223112311(1)(1)(1)()2222n n n x x b a --⎡⎤-----=++++-⎢⎥⎣⎦111(1)11(1)11222222()()()()131222n n n nb a b a b a a b -------⋅+=-=--→--=--⎛⎫- ⎪⎝⎭即1lim()3n n a bx x →∞--=. 因此, 12lim 333n n a b a b a bx x b →∞--+=+=+= ⑵ 设10x c =>. 13(1)(1,2,)3n n nx x n x ++==+提示:一方面,103(1,2,)n x n +<<= ;另一方面,对于任何2n ≥,111113(1)3(1)6()33(3)(3)n n n n n n n n n n x x x x x x x x x x --+--++--=-=++++ 即1()n n x x +-与1()n n x x --具有相同的符号.因此,数列(2)n x n ≥是单调增大或单调减小的有界数列.答案:lim n n x →∞=.⑶ 设实数0c ≥.211,(1,2,)222nn x c c x x n +==+= 提示:首先指出,假如有极限lim n n x a →∞=,在2122nn x c x +=+两端取极限,则得二次方程220a a c -+=解得1a =因此,当1c >时,数列n x 没有极限.剩下来就是讨论01c ≤≤的情形.在这种情形下,01(1,2,)n x n ≤≤= 且1(1,2,)n n x x n +≥=.答案:lim 1n n x →∞=-11.设0b a >>. 数列n x 和(1,2,)n y n= 由下式所确定:1111,,2n nn n x y x a y b x y +++====证明它们有公共极限lim lim (,)n n n n x y a b μ→∞→∞== [称它为数a 和b 的算术-几何平均数]证 因为0ba >>,所以21x a x ==>==, 1121222x y a b b by b y +++==<==第1章 函数的极限和连续函数 33332a b+,因此得1221x x y y <<<. 我们用相同的方法,可以证明一般的不等式 11(1,2,)n n n n x x y y n ++<<<=根据单调有界原理,有极限lim n n x α→∞= 和 lim n n y β→∞=在12n n n x y y ++=两端让n →∞,则得2αββ+=. 因此,αβ=,即 lim lim n n n n x y αβ→∞→∞===我们就把这个公共极限值记成(,)a b μ.【注】德国数学家高斯(Gauss)求出了这个极限值(,)a b μ,即(,)a b μ2Gπ=,其中2G x π=⎰(椭圆积分,见第6章)12.证明数列1n x =++- 有极限.证 根据单调有界原理,只要证明它是单调减小有下界就行了.事实上,11n n x x +⎛-=+++- ⎝1⎛-+++- ⎝2=-=0=< 即1(1,2,)n n x x n +<= .其次,因为)2(1,2,)k k =<= ,所以22,2<<<把这些同向不等式依次相加,则得不等式12++> 因此,()12n x =>-222>->-13.证明:数列1111ln (1,2,3,)23n x n n n=++++-=有极限.此时,设lim n n x C →∞=,则34 1111ln (lim 0)23n n n n x n C n εε→∞=++++-=+= 因此, 1111ln (lim 0)23n n n n C n εε→∞++++=++= 其中常数C 称为“欧拉常数”.证 我们要证明数列n x 单调减小且0(1,2,)n x n >= .事实上,11111ln 23n n x x n n +⎛⎫-=++++- ⎪⎝⎭ 1111ln(1)231n n ⎛⎫-++++-+ ⎪+⎝⎭111ln(1)ln ln 1011n n n n n ⎛⎫=+--=+-> ⎪++⎝⎭(见第1-6节) 即1(1,2,)n n x x n +>= . 另一方面,根据[]111111111ln(1)ln(1)ln 23k n k n k n k k k k k n k k ======++++=>+=+-∑∑∑ ln(1)ln n n =+> [11ln 1k k ⎛⎫≥+ ⎪⎝⎭,见第1-6节] 则有0(1,2,)n x n >= . 根据单调有界原理,必有极限lim n n x C →∞=. 14.证明:[]lim sin(2e !)2n n n →∞π=π.证 因为1111e 11!2!3!!!n n n nθ=++++++ (01)n θ<<,所以 111111e 11!2!3!!(1)!(1)!(1)n n n n n θ+=++++++++++ 1(01)n θ+<< 因此,121111!e !11!2!!1(1)n n n n n n θ+⎡⎤⎛⎫=++++++⎢⎥ ⎪++⎝⎭⎣⎦ 上式右端第一项是正整数,而第二项1211(1)n n R n n θ+=+++满足lim 0,n n R →∞=lim()1n n nR →∞=.注意到sin x 是以2π为周期的周期函数,所以[][]lim sin(2e !)lim sin(2)n n n n n n R →∞→∞π=πsin 22lim 2n n n n R nR R →∞⎡⎤π=π⎢⎥π⎣⎦2=π [注意,lim()1n n nR →∞=,0sin lim 1x x x→=]。
极限证明(精选多篇)第一篇:极限证明极限证明1.设f(x)在(??,??)上无穷次可微,且f(x)??(xn)(n???),求证当k?n?1时,?x,limf(k)(x)?0.x???2.设f(x)??0sinntdt,求证:当n为奇数时,f(x)是以2?为周期的周期函数;当n为偶数时f(x)是一线性函数与一以2?为周期的周期函数之和.xf(n)(x)?0.?{xn}?3.设f(x)在(??,??)上无穷次可微;f(0)f?(0)?0xlim求证:n?1,????n,0?xn?xn?1,使f(n)(xn)?0.sin(f(x))?1.求证limf(x)存在.4.设f(x)在(a,??)上连续,且xlim???x???5.设a?0,x1?2?a,xn?1?2?xn,n?1,2?,证明权限limn??xn存在并求极限值。
6.设xn?0,n?1,2,?.证明:若limxn?1?x,则limxn?x.n??xn??n7.用肯定语气叙述:limx???f?x????.8.a1?1,an?1?1,求证:ai有极限存在。
an?1t?x9.设函数f定义在?a,b?上,如果对每点x??a,b?,极限limf?t?存在且有限(当x?a或b时,为单侧极限)。
证明:函数f在?a,b?上有界。
10.设limn??an?a,证明:lima1?2a2???nana?.n??2n211.叙述数列?an?发散的定义,并证明数列?cosn?发散。
12.证明:若???af?x?dx收敛且limx???f?x???,则??0.11?an?收敛。
?,n?1,2,?.求证:22an?1an13.a?0,b?0.a1?a,a2?b,an?2?2?n14.证明公式?k?11k?2n?c??n,其中c是与n无关的常数,limn???n?0.15.设f?x?在[a,??)上可微且有界。
证明存在一个数列?xn??[a,?),使得limn??xn???且limn??f'?xn??0.16.设f?u?具有连续的导函数,且limu???f'?u??a?0,d??x,y?|x2?y2?r2,x,y?0???r?0?.i?1?证明:limu??f?u????;?2?求ir???f'?x2?y2?dxdy;?3?求limr2r??dr17.设f?x?于[a,??)可导,且f'?x??c?0?c为常数?,证明:?1?limx???f?x????;?2?f?x?于[a,??)必有最小值。
这里就有几个这样做法的例题,均为采用加1 的做法。
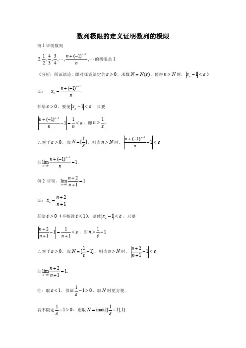
就只想弄懂一定:到底有没有必要“+1”?• 26 •例1证明数列的极限是1.亠n为了使上-“I 小于任总给定的正数£(设£<1),只要 丄<e或”〉丄.n e所以,W E >0 .取N= [ + ] •则当>/>N 时•就有即1屛4(一门"—.不等式|匸・tl|<E 必定成立•所以•取N= --1,则当 矶已知•"倍•证砲列G 的扱限是。
・(-!)•5"厂° Vc>0 (ift Y1)■只枣或”洱・1证lx (n + i)}<VTT->N 时就有(-D" n /(7ny° 5|叫([爲=().. • 26 •*…仆十I)-*3-根据数列极限的定义证明:(2)(3) Hrn /2±Z =1ITY >n ⑷亞0. 999^=1.证 ⑴ 因为要使|+一0|=+<@,只要几>卡,所以办>0,取N=[打 则当n>N 时,就有怜一0 <e» ffllim^=0.⑵因为IlSbi •卜总师<羔要使|鶉-引0只要 即"〉右所以Ve>0,取N=[打则当 QN 时.就有|1|<€, 注 本题中所采用的证明方法是:先将比一川等价变形,然后适当放大•使N 容 易由放大后的世小于€的不等式中求出•这竝定义证明极限的问题中是经常采用的.要使 血吾| <c ■只要磊即”〉場.所以Ve>0,取N=[熾]则 当”〉N 时,就有 血王疋_1 <€,即lim 坐土艺=1. n LOO n即lim JT 3并+1 2刀+1 3 2* (3)因为I n 2n 2(4)因为|0. 999^9-l|=y~,要使|0・ 999^?-l|<e,只要^<e.即n>lg-,所以Ve>0(不妨设€<1),取N=)g丄],则当n>N时,就有C L. €」。
例1、用数列极限定义证明:22lim 07n n n →∞+=- (1)(2)(3)(4)222222222224|0|77712n n n n n n n n n n n n nn ε>++-=<<=<=<------时 上面的系列式子要想成立,需要第一个等号和不等号(1)、(2)、(3)均成立方可。
第一个等号成立的条件是n>2;不等号(1)成立的条件是2<n ;不等号(2)成立的条件是7<n ;不等号(3)成立的条件是12n <,即n>2;不等号(4)成立的条件是4[]n ε>,故取N=max{7, 4[]ε}。
这样当n>N 时,有n>7,4[]n ε>。
因为n>7,所以等号第一个等号、不等式(1)、(2)、(3)能成立;因为4[]n ε>,所以不等式(4)能成立,因此当n>N 时,上述系列不等式均成立,亦即当n>N 时,22|0|7n n ε+-<-。
在这个例题中,大量使用了把一个数字放大为n 或2n 的方法,因此,对于具体的数,.......可.把它放大为.....kn ..(.k .为大于零的常数)的形式...........例2、用数列极限定义证明:24lim 01n n n n →∞+=++ (1)422224422|0|111n n n n n n n n n n n n n nε>+++-=<<=<++++++时 不等号(1)成立的条件是2[]n ε>,故取N=max{4, 2[]ε},则当n>N 时,上面的不等式都成立。
注:对于一个由若干项组成的代数式,可放大或缩小为这个代数式的一部分...............................。
.如: 22222211(1)1n n n n n nn n n n n n ++>++>-<+>+例3、已知2(1)(1)nn a n -=+,证明数列a n 的极限是零。
数列极限的定义证明数列的极限例1证明数列,)1(,,43,34,21,21nn n --+的极限是1.(分析:所证结论,即对任意给定的0>ε,求数)(εN N =,使得N n >时,ε<-1n x )证:nn x n n 1)1(--+=任给0>ε,要使ε<-1n x ,只要1(1)11n n n n ε-+--=<,即ε1>n ,∴对于0>ε,取]1[ε=N ,则当N n >时,1(1)1n n n ε-+--<即10(1)lim 1.n n n n-→+-=例2证明:02lim 1.1n n n →+=+证:21n n x n +=+任给0>ε(不妨设1ε<),要使ε<-1n x ,只要21111n n n ε+-=<++,即11n ε>-∴对于0>ε,取1[1]N ε=-,则当N n >时,211n n ε+-<+即02lim 1.1n n n →+=+注:取1ε<,保证110ε->,取N 时更方便.若不限定110ε->,则取1max{[1],1}.N ε=-例3已知2(1)(1)nn x n -=+,证明数列的极限是0.证:任给0>ε,要使ε<-1n x ,只要22(1)1110(1)(1)1n n n n nε--=<<<+++,即即ε1>n ,∴对于0>ε,取]1[ε=N ,则当N n >时,2(1)0(1)nn ε--=<+即20(1)lim 0.(1)nn n →-=+在利用数列极限的定义来论证某个数是数列的极限是,重要的是对任意给定的正数ε,定义中的正整数N 确实存在,但没有必要求最小的N .如果知道n x a -小于某个量,(这个量是n 的一个函数),那么当这个量小于ε时,ε<-a x n 当然也成立.若令这个量小于ε来定出N 比较方便的话,就可以采用这种方法(称为放大法).例4证明221lim .292n n n n n →∞+=++证222192922(29)n n n n n n n +--=++++当9n ≥时,有2229912(29)2(29)4n n n n n n n n n--=<<++++取1max{[],9}.N ε=注:第一个不等式是有条件放大(即9n ≥);第二个不等式是无条件放大,由此可知放大不等式一般有下列要求:(1)放大后的式子应该随着n 的增大而减小,能使该式小于ε.例如,式子如果是关于n 的有理分式,则要求分母n 的次数高于分子n 的次数.(2)使最后一个式子小于ε的不等式容易解出n .例5利用数列极限的定义证明1lim 1n n n →∞=(或1lim 1,0n n a a →∞=>).分析:由于1n n x n =,底数与指数都随着n 而变化,故不好直接求解不等式11nn ε-<.需将不等式用其它方法化简放大,使得关于解n 更容易证一:令111nn a a -==+,即222(1)(1)(1)12222n n n n n n n n n a na a a a a --=+=++++>>⋅ (当2n >)即224n a n <,亦即a <1-<ε<,即24n ε>取24max{[],2}N ε=证2依据几何平均不超过算术平均不等式12n a a a n+++≤11(2)1)1n n n n +++++--=≤==+2(1)21n n --≤<=ε<,即24n ε>,故取24[N ε=.。
求极限的方法及例题总结1.定义:说明:(1)一些最简单的数列或函数的极限(极限值可以观察得到)都可以用上面的极限严格定义证明,例如:;(2)在后面求极限时,(1)中提到的简单极限作为已知结果直接运用,而不需再用极限严格定义证明。
利用导数的定义求极限这种方法要求熟练的掌握导数的定义。
2.极限运算法则定理1 已知limf(x),limg(x)都存在,极限值分别为A,B,则下面极限都存在,且有(1)(2)(3)limf(x)A此时需成立)g(x)B说明:极限号下面的极限过程是一致的;同时注意法则成立的条件,当条件不满足时,不能用。
. 利用极限的四则运算法求极限这种方法主要应用于求一些简单函数的和、乘、积、商的极限。
通常情况下,要使用这些法则,往往需要根据具体情况先对函数做某些恒等变形或化简。
8.用初等方法变形后,再利用极限运算法则求极限lim例1解:原式=。
注:本题也可以用洛比达法则。
例2n分子分母同除以lim2132解:原式=n例。
上下同除以3n解:原式1。
3.两个重要极限sinx(1)lim(2)1x;说明:不仅要能够运用这两个重要极限本身,还应能够熟练运用它们的变形形式,例如:,,;等等。
1x利用两个重要极限求极限例5limxx2sin22解:原式=。
2sin2注:本题也可以用洛比达法则。
2x例6解:原式1]。
例7lim(解:原式。
4.等价无穷小定理2 无穷小与有界函数的乘积仍然是无穷小(即极限是0)。
定理3 当时,下列函数都是无穷小(即极限是0),且相互等价,即有:x~sinx~tanx~arcsin面的等价x~arctanx~~。
说明:当上面每个函数中的自变量x换成g(x)时(),仍有上关系成立,例如:当时,e3x~3x;~。
f1(x)f(x)limg1(x)存在时,也存在且定理4 如果函数f(x),g(x),f1(x),g1(x)都是时的无穷小,且f(x)~f1(x),g(x)~g1(x),则当lim等于,即=。
证明数列极限的题目及答案关键信息项:1、数列的表达式:____________________2、所给定的极限值:____________________3、证明所使用的方法:____________________4、证明过程中的关键步骤和推理:____________________5、最终得出结论的依据:____________________11 题目设数列{an} 满足 an =(n + 1) / n ,证明当 n 趋向于无穷大时,数列{an} 的极限为 1 。
111 证明对于任意给定的正数ε ,要找到一个正整数 N ,使得当 n > N 时,|an 1| <ε 成立。
\\begin{align}|an 1| &=\left|\frac{n + 1}{n} 1\right|\\&=\left|\frac{n + 1 n}{n}\right|\\&=\frac{1}{n}\end{align}\为了使\(\frac{1}{n} <ε\),即\(n >\frac{1}{ε}\)。
所以取\(N =\left\frac{1}{ε}\right + 1\)(其中\(\cdot\)表示取整函数),当\(n > N\)时,有\(n >\frac{1}{ε}\),即\(\frac{1}{n} <ε\),所以\(|an 1| <ε\)。
综上,根据数列极限的定义,当 n 趋向于无穷大时,数列{an} 的极限为 1 。
12 题目设数列{bn} 满足\(bn =\frac{1}{n}\),证明当 n 趋向于无穷大时,数列{bn} 的极限为 0 。
121 证明对于任意给定的正数ε ,要找到一个正整数 N ,使得当 n > N 时,\(|bn 0| <ε\)成立。
\|bn 0| =\left|\frac{1}{n} 0\right| =\frac{1}{n}\为了使\(\frac{1}{n} <ε\),即\(n >\frac{1}{ε}\)。
高等数学典型例题与解法(一)第4讲用数列极限定义证题理学院李建平教授内容提要典型例题解析主要内容【注】用这个定义证题的关键是通过解不等式找出合适的.→是指:当无限增大时,无限接近于常数.其严格的形式化定义为:,当时,恒有.数列极限的定义例4.1 试用数列极限定义证明【分析】 →这里加1是为了保证是正整数,对于任意给定的正数,要找到正整数,使得当时,只要取定一个满足不等式取可大不可小因为如果,如例4.1 试用数列极限定义证明【证】所以,→当时,恒有→例4.2试用数列极限定义证明【分析】 →解不等式如果取那么当时,,所以,为保证为正整数,可以取例4.2试用数列极限定义证明【证1】→当时,恒有所以,→【注】取亦可.例4.2试用数列极限定义证明【证2】→当时,恒有所以,→考虑则且【注】引入较小的 保证了为正整数。
可小不可大例4.2试用数列极限定义证明 →【证3】所以,→不妨设,【注】数列极限的语言中:“可小不可大,可大不可小”.当时,恒有例4.3试用数列极限定义证明→【分析】解不等式适当放大不易求解容易求解例4.3试用数列极限定义证明 →【证】当时,恒有所以,→那也必须要求要多么小就多么小.【注】“适当放大”包含两层意思:第一,是放大.要保持不等式的方向,就是将误差量放大到一个合适的水平,即,使得容易求解不等式得出一个简洁的第二,是适当.要保持任意小的性质,即本意要求要多么小就多么小,例4.4试用数列极限定义证明【证1】当时,恒有所以, →于是,取要使,因为,只要,即,亦即→例4.4试用数列极限定义证明【证2】当时,恒有所以, →→则记因为,则,于是有适当放大例4.5若→,【证】并举例说明其反之不真.证明→.但→ 不存在若→,则 ,当时,恒有,从而当时,由三角不等式,有所以→反之不真事实上,取 ,则→ ,例4.5若→,并举例说明其反之不真.证明→.如果学习了连续函数和极限的复合运算,【思考】如果,那么上述结论就成立了请证明:→的充要条件是→然后,对照其证明过程,体会两者的差别正确性作出解释请重新对题中结论的例4.6 设数列 有界,【证】证明→(2) 如果学习了无穷小的性质,请思考这些结论如何解释?因数列有界,则存在正数,使得当时,恒有所以,→【思考】(1) 拓展:设数列有界, →,证明→再见!。
斐波那契数列是一个著名的数列,由0和1开始,之后的斐波那契数是前两个数的和。
数列如下:0、1、1、2、3、5、8、13、21、34、……
对于斐波那契数列的极限,我们可以这样证明:
首先,我们观察到,随着数列的递增,每一个后续的斐波那契数与前一个数之差越来越接近于黄金分割比(φ = (1 + √5) / 2)。
事实上,我们可以看到,随着数列的增加,相邻两个斐波那契数之间的比值越来越接近于黄金分割比。
假设我们有一个斐波那契数列中的两个相邻的数,F(n) 和 F(n+1),那么他们的比值就是:
F(n+1) / F(n) = F(n) / F(n-1) * F(n-1) / F(n-2) * … * F(2) / F(1) * F(1) / F(0)
根据斐波那契数列的定义,我们知道每一个相邻两个数的比值都接近于黄金分割比。
因此,随着n的增大,F(n+1) / F(n)的值将越来越接近于黄金分割比。
进一步,我们知道黄金分割比是一个无理数,这意味着它不能被一个有限的分数所表示。
因此,斐波那契数列的每一个相邻两个数的比值随着n的增大而越来越接近于一个无理数,这个无理数就是黄金分割比。
所以,我们可以证明斐波那契数列的极限是黄金分割比。
用数列极限的定义证明极限的例题1. 引言:极限,这是什么鬼?嘿,朋友们!今天我们来聊聊一个数学里的“小妖怪”——极限。
听到“极限”,大家可能会觉得心里一紧,像是看到一只可怕的蜘蛛,但其实它并没有那么可怕。
我们只需要用点小技巧,就能把它变成温顺的小猫咪。
极限的定义其实就像是一把钥匙,可以打开理解数列行为的神秘大门。
那么,准备好了吗?让我们一起探个究竟!2. 极限的定义:简单明了,没啥难的2.1 数列和极限首先,极限是个啥?简单说,就是数列在无限接近某个值的时候的“最终状态”。
比如说,想象一下你在海边,海浪一波接一波,你在等着最后一波冲到脚边。
那个脚边的水位,就是极限了。
更具体一点,假设我们有一个数列 ( a_n ),它的极限是 ( L ),那就意味着当 ( n ) 越来越大,( a_n ) 就会越来越接近 ( L )。
这就好比是你一路向前跑,目标就是那棵大树,跑得越快,你离树就越近。
2.2 形式化的定义现在我们把这个概念再说得正式一点。
根据极限的定义,如果对每一个小于( epsilon ) 的正数(就是一个小数,比如0.01,0.001啥的),都能找到一个正整数( N ),使得当 ( n > N ) 时,( |a_n L| < epsilon )。
哎呀,听上去有点复杂,但只要你理解了“接近”的感觉,就没问题了。
这就像是在说,只要我足够努力,就一定能让我的距离越来越小,直到几乎碰到目标。
3. 例子时间:举个栗子3.1 经典数列好了,咱们来个具体的例子吧,帮大家消化一下。
考虑数列 ( a_n = frac{1{n )。
那么,这个数列的极限是啥呢?从名字上看,它好像越来越小,越来越小。
其实没错,随着 ( n ) 的增加,( a_n ) 确实是往0靠近的。
那么,按照咱们刚才说的定义,咱们得找个 ( epsilon > 0 ),比如说 ( epsilon =0.01 )。
接下来,我们要找一个 ( N ),使得当 ( n > N ) 时,( |a_n 0| < 0.01 )。
利用数列极限定义证明数列极限定义是数学中非常重要的概念,它是解决各种数学问题的关键。
数列极限定义是指当数列的项数趋近于无穷大时,数列中的每一项都趋近于一个常数。
利用数列极限定义可以证明各种数学定理,如函数极限、微积分等。
首先,我们来看一个简单的例子。
设数列$a_n$为$frac{1}{n}$,我们要证明$limlimits_{ntoinfty}a_n=0$。
根据数列极限定义,我们需要证明对于任意的$epsilon>0$,存在一个正整数$N$,使得当$n>N$时,$|a_n-0|<epsilon$。
我们可以假设$epsilon=frac{1}{k}$,其中$k$是任意正整数。
根据这个假设,我们需要找到一个正整数$N$,使得当$n>N$时,$|frac{1}{n}-0|<epsilon$,即$frac{1}{n}<frac{1}{k}$,从而得到$n>k$。
因此,我们可以取$N=k$,那么当$n>N$时,$|frac{1}{n}-0|<epsilon$成立,也就是$limlimits_{ntoinfty}frac{1}{n}=0$。
接下来,我们来看一个稍微复杂一些的例子。
设数列$a_n$为$sqrt{n^2+n}-n$,我们要证明$limlimits_{ntoinfty}a_n=frac{1}{2}$。
根据数列极限定义,我们需要证明对于任意的$epsilon>0$,存在一个正整数$N$,使得当$n>N$时,$|a_n-frac{1}{2}|<epsilon$。
我们可以将$a_n$化简为$frac{1}{sqrt{n^2+n}+n}$。
因为$n^2<n^2+n<(n+1)^2$,所以$2n<(n^2+n)+nsqrt{n^2+n}<(n+1)^2+nsqrt{n^2+n}$。
由于$sqrt{n^2+n}<sqrt{n^2+n^2}=nsqrt{2}$,所以$2n<frac{1}{sqrt{n^2+n}+n}<frac{1}{nsqrt{2}}+frac{1}{n}$。
归纳法证明数列极限的例题大家好,今天我们聊点看似复杂,但其实很简单的东西——数列的极限证明。
别慌,别慌,虽然听上去像是某种高级数学题目,其实只要弄清楚几个小窍门,搞定它一点不难。
其实这玩意儿就像是在找一个数列的“归宿”一样,数列在一堆数字中晃来晃去,最终总会收敛到某个固定的数值。
就像是你走了好久的路,最后终于找到了一个舒服的地方坐下来,休息了。
明白了吗?那么我们今天就聊聊怎么用“归纳法”来证明这些数列的极限问题。
你可能会问:啥是归纳法?这听上去有点复杂。
哈哈,别担心,归纳法其实就是“从小到大”的推理法,打个比方,像是我们看电影,前面的情节铺得好,最后的结局自然水到渠成。
你先验证一个简单的情况,然后一步一步推到更复杂的情形。
就像你玩跳远一样,先从小跳开始,跳得越来越远,最后跳得远得不行。
这个思路很简单,就是“从已知推到未知”。
你只要找到一个最简单的、能推得出来的情况,然后慢慢扩大范围,直到推到你想要的结果。
那么接下来我们看看怎么用归纳法证明数列的极限。
假设我们有一个数列 ( a_1,a_2, a_3, dots ),我们知道,这个数列最终会收敛到某个数 ( L ),也就是数列的极限。
那怎么证明这个极限呢?好啦,我们就用归纳法。
你得做第一步,找到一个基础情况。
就好像你做饭,第一步得先准备好材料,才能开始做菜。
比如,我们设 ( a_1 ) 是一个已经知道的值,接着假设 ( a_n ) 是符合某个规律的,那我们就可以猜测 ( a_{n+1 ) 也会接近这个极限。
然后,我们用数学推理一步一步证明,最后你就能得出结论:这个数列的极限就是 ( L )。
但问题来了,归纳法在数学上有点讲究。
你得确保你的假设是对的。
如果你说“从( a_1 ) 推到( a_n )”,你得确认 ( a_n ) 真的能代表数列的趋势。
举个例子,就像你说要把一个大西瓜分给大家,结果一刀下去,发现里面全是水,根本没肉。
这可就麻烦了。
所以,在归纳法中,你得小心,不要乱猜。