北师大版七年级上数学上应用题汇集130道题
- 格式:docx
- 大小:43.71 KB
- 文档页数:21
初一数学上册应用题大全1.为节约能源,某单位按以下规定收取每月电费:用电不超过140度,按每度0.43元收费;如果超过140度,超过部分按每度0.57元收费。
若墨用电户四月费的电费平均每度0.5元,问该用电户四月份应缴电费多少元?2.某大商场家电部送货人员与销售人员人数之比为1:8。
今年夏天由于家电购买量明显增多,家电部经理从销售人员中抽调了22人去送货。
结果送货人员与销售人数之比为2:5。
求这个商场家电部原来各有多少名送货人员和销售人员?3.现对某商品降价10%促销,为了使销售金额不变,销售量要比按原价销售时增加百分之几?4.甲.乙两种商品的原单价和为100元,因市场变化,甲商品降10%,乙商品提价5%调价后两商品的单价和比原单价和提高2%,甲.乙两商品原单价各是多少/5.甲车间人数比乙车间人数的4/5少30人,如果从乙车间调10人到甲车间去,那么甲车间的人数就是乙车间的3/4。
求原来每个车间各多少人?6.甲骑自行车从A地到B地,乙骑自行车从B地到A地,两人都均速前进,以知两人在上午8时同时出发,到上午10时,两人还相距36千米,到中午12时,两人又相距36千米,求A.B两地间的路程?7.甲、乙两车长度均为180米,若两列车相对行驶,从车头相遇到车尾离开共12秒;若同向行驶,从甲车头遇到乙车尾,到甲车尾超过乙车头需60秒,二车的速度不变,求甲、乙两车的速度。
8.两根同样长的蜡烛, 粗的可燃3小时,细的可燃8 / 3小时,停电时,同时点燃两根蜡烛,来电时同时吹灭,粗的是细的长度的2倍,求停电的时间,设停电的时间是X9.某工厂今年共生产某种机器2300台,与去年相比,上半年增加25%,下半年减少15%,问今年下半年生产了多少台? 。
10.甲骑自行车从A地到B地,乙骑自行车从B地到A地两人都均速前进,以知两人在上午8时同时出发,到上午10时,两人还相距36千米,到中午12时,两人又相距36千米,求A.B两地间的路程?11.跑得快的马每天走240里,跑得慢的马每天走150里。
北师大七年级数学(上册)一元一次方程应用题1.一名学生以12千米/时的速度从队尾到队头再返回队尾,用了7.2分钟。
假设队伍长度为x米,则可列出方程12/60*(x/2)+8/60*(x/2)=7.2,解得x=1200.因此,学生队伍的长度为1200米。
2.甲、乙两人在同向跑步时,每秒相对速度为甲乙之差,即400/(200/3)=6米/秒。
因此,甲的速度为(200+6)/3=68米/分,即1.13米/秒。
3.假设甲、乙两地之间的距离为x千米,则可列出方程x/7=(x/5+20)/5,解得x=70.因此,甲、乙两地之间的距离为70千米。
4.通讯员追上队伍时,两者的路程相等。
设通讯员追了t小时,则可列出方程5*(3/10+t)=14t,解得t=3/11.因此,通讯员需要追3/11小时才能追上学生队伍。
5.轿车追上大车时,两者的路程相等。
设轿车超车t小时,则可列出方程5+110t=15+100t,解得t=1/2.因此,轿车需要半小时才能超过大车。
6.(1) 相向而行时,两人相对速度为14+18=32千米/小时,因此相遇需要64/32=2小时。
(2) 相向而行时,两人相遇时路程为64-16=48千米,因此相遇需要48/32=1.5小时。
(3) 同向而行时,两人相对速度为18-14=4千米/小时,因此乙超过甲10千米需要10/4=2.5小时。
7.假设外婆家到哥哥追上弟弟和妈妈的地点的距离为x千米,则可列出方程6*(3/4+t)=2*(3/4+x),解得x=2t。
又因为弟弟和妈妈需要1小时45分钟才能到达外婆家,即6/4.5*x=2,解得x=1.因此,哥哥能在弟弟和妈妈到达外婆家之前追上他们。
8.假设甲、乙两地的距离为x千米,则可列出方程x/10+(x+8)/12=3*365*2.7/100,解得x=238.因此,甲、乙两地的距离为238千米。
9.设去年活期存款为x万元,则定期存款为(4600-x)万元。
根据题意可列出方程1.2(4600-x)-0.75x=1.15*4600,解得x=1600,因此去年活期存款为1600万元,定期存款为3000万元。
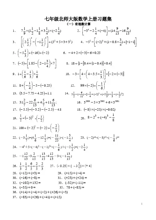
1七年级北师大版数学上册习题集(一)有理数计算1、 111117(113)(2)92844⨯-+⨯- 2、419932(4)(1416)41313⎡⎤--⨯-÷-⎢⎥⎣⎦3、 33221121(5533)22⎡⎤⎛⎫⎛⎫--÷+⨯+⎢⎥ ⎪ ⎪⎝⎭⎝⎭⎢⎥⎣⎦ 4、2335(2)(10.8)114⎡⎤---+-⨯÷--⎢⎥⎣⎦5、()()216315-÷-÷⎪⎭⎫⎝⎛- 6、()25.06324⨯--⨯+-7、()⎥⎦⎤⎢⎣⎡⨯⎪⎭⎫⎝⎛--÷-7431285.15 8、()[]{}4.04.014.0118⨯-+-÷9、6131611⨯⎪⎭⎫⎝⎛-÷ 10、()[]32315.3443-+-⨯⎥⎦⎤⎢⎣⎡⎪⎭⎫ ⎝⎛⨯----11、()25.05418---⎪⎭⎫⎝⎛-+ 12、 ()261299⎪⎭⎫ ⎝⎛-÷-⨯13、()1.125.475.75.3÷-- 14、])21(31)322()2(41[)116(21523--÷-⨯-+----15、13611754136227231++-; 16、20012002200336353⨯+⨯-17、()5.5-+()2.3-()5.2---4.8 18、()8-)02.0()25(-⨯-⨯19、21+()23-⎪⎭⎫⎝⎛-⨯21 20、81)4(2833--÷-21、100()()222---÷⎪⎭⎫⎝⎛-÷3222、(-371)÷(461-1221)÷(-2511)×(-143) 23、(-2)14×(-3)15×(-61)1424、-42+5×(-4)2-(-1)51×(-61)+(-221)÷(-241)25、-11312×3152-11513×41312-3×(-11513)26、3252562131-÷⨯- 27、()()4+×733×250)-(.-28、=++-)3()12( 29、=-++)4()15(30、=-+-)8()16( 31、=+++)24()23(32、=+-132)102( 33、=+(-11)(-32)34、=+-0)35( 35、=-+)85(7836、)3()26()2()4()14(-+++-+-++37、)15()41()26()83(++-+++-238、)2.0(3.1)9.0()7.0()8.1(-++-+++-39、)326()434()313(41-+++-+40、=+--)15()14( 41、=---)16()14(42、=--+)9()12( 43、=+-)17(1244、=+-)52(0 45、=--)11(10846、=+-)3.2(8.4 47、=--)213(248、)5()]7()4[(--+-- 49、]12)3[(3---50、)109(8-- 51、)106()53(---52、543210-+-+- 53、2.104.87.52.4+-+-54、18)12()10(1130+-+----55、)61(41)31()412(213+---+--56、2111943+-+-- 57、31211+-58、)]18()21(26[13-+--- 59、2111)43(412--+---60、=⨯(-4)3 61、=⨯(-6)2 62、=⨯0(-6)63、=-⨯)43(3264、=-⨯-)21()2( 65、=-⨯-)25.0()4( 66、)25()7()4(-⨯-⨯- 67、)34(8)53(-⨯⨯-68、)1514348(43--⨯ 69、)8(45)201(-⨯⨯-70、53)8()92()4()52(8⨯-+-⨯---⨯71、)8(12)11(9-⨯-+⨯-72、=÷(-3)36 73、=÷21(-2) 74、=÷(-5)075、=÷(-0.2)8 76、=÷)43(-)87(- 77、6.018÷-78、)412()21()43(-÷-⨯- 79、2411)25.0(6⨯-÷-80、)21(31)32(-÷÷- 81、)2(48-÷+-82、)51(250-⨯÷- 83、)3(4)2(817-⨯+-÷-384、1)101(250322-⨯÷+ 85、911)325.0(321÷-⨯-86、1)51(25032--⨯÷+ 87、])3(2[)]215.01(1[2--⨯⨯--88、)145()2(52825-⨯-÷+- 89、6)3(5)3(42+-⨯--⨯90、)25.0(5)41(8----+ 91、)48()1214361(-⨯-+-92、31)321()1(⨯-÷- 93、)199(41212+-÷⨯94、)16(94412)81(-÷+÷- 95、)]21541(43[21----96、13+(+7)-(-20)-(-40)-(+6) 97、)2(9449344-÷+÷-98、22)36()33(24)12581(÷-÷---⨯- 99、13)18()14(20----+-100、 8+(―41)―5―(―0.25) 101、 (-12)÷4×(-6)÷2 102、 )1279543(+--÷361103、 2)5()2(10-⨯-+ 104、 (7)(5)90-⨯--÷(15)-105、 721×143÷(-9+19) 106 、25×43―(―25)×21+25×(-41)107、 ()1-⎪⎭⎫⎝⎛-÷2131108、(-81)÷241+94÷(-16)109、 2(x-3)-3(-x+1) 110、-4÷32-(-32)×(-30)111、 3223121213+⎪⎭⎫⎝⎛--⎪⎭⎫⎝⎛-+ 112、 47÷)6(3287-⨯-113、48245834132⨯⎪⎭⎫⎝⎛+-- 114、|97|-÷2)4(31)5132(-⨯--115、 -22 -〔-32 + (- 2)4 ÷23 〕 116、235(4)0.25(5)(4)8⎛⎫-⨯--⨯-⨯- ⎪⎝⎭117、 200423)1()2(161)1()21()21(-÷-⨯⎥⎦⎤⎢⎣⎡--÷--118、 100()()222---÷3)2(32-+⎪⎭⎫⎝⎛-÷ 119、 ―22+41×(-2)2120、 322)43(6)12(7311-⨯⎥⎦⎤⎢⎣⎡÷-+-- 121、 111117(113)(2)92844⨯-+⨯-122、419932(4)(1416)41313⎡⎤--⨯-÷-⎢⎥⎣⎦ 123、(-36)-[(-54)-(+32)]4124、 (+3.74)-[(-5.91)-(-2.74)+(-2.78)]125、 (-0.4)÷0.02×(-5) 126、)—()—)+(—(25.0433242÷⨯ 127、 75)21(212)75(75211⨯-+⨯--⨯ 128、11)()+(2532.015[3-÷⨯----] 129 、12(4)4⎡⎤-|-16|-⨯-⎢⎥⎣⎦÷⎥⎦⎤⎢⎣⎡--)813(41 130、 2335(2)(10.8)114⎡⎤---+-⨯÷--⎢⎥⎣⎦ 131.()8-)02.0()25(-⨯-⨯ 132. ⎪⎭⎫⎝⎛-+-127659521()36-⨯(二)有理数1、12的相反数与-7的绝对值的和是____________________。
北师大版七年级数学一元一次方程应用题精品型一、一般行程问题(相遇与追击问题)1、从甲地到乙地,某人步行比乘公交车多用3.6小时,已知步行速度为每小时8千米,公交车的速度为每小时40千米,设甲、乙两地相距x千米,则列方程为。
2、甲、乙两人在相距18千米的两地同时出发,相向而行,1小时48分相遇,如果甲比乙早出发40分钟,那么在乙出发1小时30分相遇,当甲比乙每小时快1千米时,求甲、乙两人的速度。
3、某人从家里骑自行车到学校。
若每小时行15千米,可比预定时间早到15分钟;若每小时行9千米,可比预定时间晚到15分钟;求从家里到学校的路程有多少千米?4、在800米跑道上有两人练习中长跑,甲每分钟跑320米,乙每分钟跑280米,两人同时同地同向起跑,t分钟后第一次相遇,t等于分钟。
5、一列客车车长200米,一列货车车长280米,在平行的轨道上相向行驶,从两车头相遇到两车车尾完全离开经过16秒,已知客车与货车的速度之比是3:2,问两车每秒各行驶多少米?6、与铁路平行的一条公路上有一行人与骑自行车的人同时向南行进。
行人的速度是每小时3.6km,骑自行车的人的速度是每小时10.8km。
如果一列火车从他们背后开来,它通过行人的时间是22秒,通过骑自行车的人的时间是26秒。
7、⑴行人的速度为每秒多少米?8、⑵这列火车的车长是多少米?7、休息日我和妈妈从家里出发一同去外婆家,我们走了1小时后,爸爸发现带给外婆的礼品忘在家里,便立刻带上礼品以每小时6千米的速度去追我们,如果我和妈妈每小时行2千米,从家里到外婆家需要1小时45分钟,问爸爸能在我和妈妈到外婆家之前追上我们吗?(提示:此题为典型的追击问题)8、一次远足活动中,一部分人步行,另一部分乘一辆汽车,两部分人同地出发。
汽车速度是60千米/时,步行的速度是5千米/时,步行者比汽车提前1小时出发,这辆汽车到达目的地后,再回头接步行的这部分人。
出发地到目的地的距离是60千米。
有理数专项应用题1、2021年“十一”国庆假期间,万彬和温权听到各自的父母都将带他们去黄山旅游,他们听到后立即上网查资料,资料显示:高山气温一般每上升100 m ,气温就下降0.8 ℃.10月2日上午10点,万彬在黄山顶,温权在黄山脚下.他们用手机通话,同时测出他们所在位置气温,分别是13.2 ℃和28.2 ℃,因而,他们就推算出这时候彼此所在地的海拔差.你知道他们是怎么算出的吗?他们的海拔差是多少?2、一辆货车从超市出发送货,先向南行驶30 km 到达A 单位,继续向南行驶20 km 到达B 单位.回到超市后,又给向北15 km 处的C 单位送了3次货,然后回到超市休息.(1)C 单位离A 单位有多远?(2)该货车一共行驶了多少千米?3、出租车司机小李某天下午在东西走向的中山东路上进行运营,如果规定向东为正,向西为负,这天下午他的行程如下(单位:km):+15,-2,+5,-1,+10,-3,-2,+12,+4,-5,+6.(1)将最后一名乘客送到目的地时,小李距下午出车时的出发点多少千米? (2)若汽车耗油量0.4 L/km ,这天下午小李的车共耗油多少升?4、某人用400元购买了8套儿童服装,准备以一定价格出售.如果以每套儿童服装55元的价格为标准,超出的记作正数,不足的记作负数,记录如下:2+,3-,2+,1+,2-,1-,0,3-(单位:元); 请通过计算说明:(1)当他卖完这八套儿童服装后是盈利还是亏损?盈利(或亏损)了多少钱?(2)每套儿童服装的平均售价是多少元?5、有20箱橘子,以每箱25 kg 为标准,超过或不足的千克数分别用正、负数来表示,记录如下:(1) 20箱橘子中,最重的一箱比最轻的一箱多重多少kg?(2) 与标准重量比较,20箱橘子总计超过或不足多少kg?(3) 若橘子每kg售价2元,则出售这20箱橘子可卖多少元?6、新华文具用品店最近购进了一批钢笔,进价为每支6元,为了合理定价,在销售前五天试行机动价格,卖出时每支以10元为标准,超过10元的部分记为正,不足10元的部分记为负.文具店记录了这五天该钢笔的售价情况和售出情况,如下表所示:第1天第2天第3天第4天第5天每支价格相对标准价格(元)+3 +2 +1 ﹣1 ﹣2 售出支数(支)7 12 15 32 34 (1)填空:这五天中赚钱最多的是第天,这天赚了元钱;(2)求新华文具用品店这五天出售这种钢笔一共赚了多少钱;(3)新华文具用品店准备用这五天赚的钱全部购进这种钢笔,进价仍为每支6元为了促销这种钢笔,每只钢笔的售价在10元的基础上打九折,本次购进的这种钢笔全部售出后共赚了多少钱?7、某出租车驾驶员从公司出发,在南北向的人民路上连续接送5批客人,行驶路程记录如下(规定向南为正,向北为负,单位:km):第1批第2批第3批第4批第5批5km2km﹣4km﹣3km10km(1)接送完第5批客人后,该驾驶员在公司什么方向,距离公司多少千米?(2)若该出租车每千米耗油0.2升,那么在这过程中共耗油多少升?(3)若该出租车的计价标准为:行驶路程不超过3km收费10元,超过3km的部分按每千米加1.8元收费,在这过程中该驾驶员共收到车费多少元?8、实际测量一座山的高度时,可在若干个观测点中测量每两个相邻可视观测点的相对高度,然后用这些相对高度计算出山的高度.下表是某次测量数据的部分记录(用A﹣C表示观测点A相对观测点C的高度)A﹣C C﹣D E﹣D F﹣E G﹣F B﹣G90米80米﹣60米50米﹣70米40米根据这次测量的数据,可得观测点A相对观测点B的高度是()米.A.210B.170C.130D.509、某天早上,一辆交通巡逻车从A地出发,在东西向的马路上巡视,中午到达B地,如果规定向东行驶为正,向西行驶为负,行驶纪录如下.(单位:km)第一次第二次第三次第四次第五次第六次第七次+15﹣8+6+12﹣4+5﹣10(1)巡逻车在巡逻过程中,第次离A地最远.(2)B地在A地哪个方向,与A地相距多少千米?(3)若每千米耗油0.2升,每升汽油需7元,问这一天交通巡逻车所需汽油费多少元?10、在抗洪抢险中,解放军战士的冲锋舟加满油沿东西方向的河流抢救灾民,早晨从A地出发,晚上到达B地,约定向东为正方向,当天的航行路程记录如下(单位:千米):+15,﹣8,+9,﹣6,+14,﹣5,+13,﹣4.(1)B地位于A地的什么方向?距离A地多少千米?(2)若冲锋舟每千米耗油0.6升,油箱容量为30升,求冲锋舟当天救灾过程中至少还需补充多少升油?(3)救灾过程中,冲锋舟离出发点A最远时,距A地多少千米?11、汽油价格的毎一次调整影响着有车一族的汽车用油的费用.王旭驾驶的汽车毎一次都加92号汽油,他时刻关注92汽油的价格变化.2018年12月20日92号汽油的价格为6.74元/升,下表是92号汽油价格在6.74元/升基础上连续七次调整的变化情况,其中在上一次价格的基础上涨价记为正数,降价记为负数,如表中的﹣0.12表示第四次调整是在第三次调整后的92号汽油价格基础上毎升降0.12元.调整次数第一次第二次第三次第四次第五次第六次第七次价格变化﹣0.30+0.27+0.27﹣0.12+0.18﹣0.05﹣0.10 (1)在这七次调整中,哪次调整后92号汽油的价格最高,每升多少元?哪次调整后92号汽油的价格最低,每升多少元?(2)王旭一家在五一期间自驾游玩,他驾驶的汽车毎行驶100km耗油8升,如果在这次游玩中他驾驶的汽车一共行驶600km,92号汽油价格按第六次调整的价格计算,那么在这次游玩中王旭驾驶汽车的用油费用是多少元?12、某自行车厂一周内计划平均每天生产200辆自行车,由于种种原因,实际每天生产量与计划量相比有出入.下表是某周的生产情况(超产记为正,减产记为负):星期一二三四五六日增减产量/辆+5﹣2﹣4+13﹣10+16﹣9(1)根据记录的数据可知,该厂星期五生产自行车辆.(2)根据上表记录的数据可知,该厂本周实际生产自行车辆.(3)该厂实行每日计件工资制,每生产一辆自行车可得60元,若超额完成任务,则超过部分每辆另外奖励15元,若完不成每天的计划量,则少生产一辆扣20元,那么该厂工人这一周的工资总额是多少元?(4)若该厂实行每周计件工资制,每生产一辆自行车可得60元,若超额完成周计划工作量,则超过部分每辆另外奖励15元,若完不成每周的计划量,则少生产一辆扣20元,那么该厂工人这一周的工资总额是多少元?有理数专项应用题1、2021年“十一”国庆假期间,万彬和温权听到各自的父母都将带他们去黄山旅游,他们听到后立即上网查资料,资料显示:高山气温一般每上升100 m,气温就下降0.8 ℃.10月2日上午10点,万彬在黄山顶,温权在黄山脚下.他们用手机通话,同时测出他们所在位置气温,分别是13.2 ℃和28.2 ℃,因而,他们就推算出这时候彼此所在地的海拔差.你知道他们是怎么算出的吗?他们的海拔差是多少?解:根据题意,得(28.2-13.2)÷0.8×100 =15×1.25×100=1 875(m).答:他们的海拔差是1 875 m .2、一辆货车从超市出发送货,先向南行驶30 km 到达A 单位,继续向南行驶20 km 到达B 单位.回到超市后,又给向北15 km 处的C 单位送了3次货,然后回到超市休息.(1)C 单位离A 单位有多远?(2)该货车一共行驶了多少千米? 解:(1)规定超市为原点,向南为正,向北为负, 依题意,得C 单位离A 单位有30+||-15=45(km), ∴C 单位离A 单位45 km.4分(2)该货车一共行驶了(30+20)×2+||-15×6 =190(km).7分答:该货车一共行驶了190 km.3、出租车司机小李某天下午在东西走向的中山东路上进行运营,如果规定向东为正,向西为负,这天下午他的行程如下(单位:km):+15,-2,+5,-1,+10,-3,-2,+12,+4,-5,+6.(1)将最后一名乘客送到目的地时,小李距下午出车时的出发点多少千米? (2)若汽车耗油量0.4 L/km ,这天下午小李的车共耗油多少升? 解:(1)39 km (2)26L4、某人用400元购买了8套儿童服装,准备以一定价格出售.如果以每套儿童服装55元的价格为标准,超出的记作正数,不足的记作负数,记录如下:2+,3-,2+,1+,2-,1-,0,3-(单位:元); 请通过计算说明:(1)当他卖完这八套儿童服装后是盈利还是亏损?盈利(或亏损)了多少钱?(2)每套儿童服装的平均售价是多少元?解:(1)23212134-++---=-(元),(554008)8436-÷⨯-=(元),所以盈利了36元. (2)55(4)854.5+-÷=(元),答:平均售价为54.5元.5、有20箱橘子,以每箱25 kg为标准,超过或不足的千克数分别用正、负数来表示,记录如下:(1) 20箱橘子中,最重的一箱比最轻的一箱多重多少kg?(2) 与标准重量比较,20箱橘子总计超过或不足多少kg?(3) 若橘子每kg售价2元,则出售这20箱橘子可卖多少元?解:(1)5.5 kg (2)超8 kg (3)1016元6、新华文具用品店最近购进了一批钢笔,进价为每支6元,为了合理定价,在销售前五天试行机动价格,卖出时每支以10元为标准,超过10元的部分记为正,不足10元的部分记为负.文具店记录了这五天该钢笔的售价情况和售出情况,如下表所示:第1天第2天第3天第4天第5天每支价格相对标准价格(元)+3 +2 +1 ﹣1 ﹣2 售出支数(支)7 12 15 32 34 (1)填空:这五天中赚钱最多的是第天,这天赚了元钱;(2)求新华文具用品店这五天出售这种钢笔一共赚了多少钱;(3)新华文具用品店准备用这五天赚的钱全部购进这种钢笔,进价仍为每支6元为了促销这种钢笔,每只钢笔的售价在10元的基础上打九折,本次购进的这种钢笔全部售出后共赚了多少钱?解:(1)第1天:(13﹣6)×7=49(元),第2天:(12﹣6)×12=72(元),第3天:(11﹣6)×15=75(元),第4天:(9﹣6)×32=96(元),第5天:(8﹣6)×34=68(元),则这五天中赚钱最多的是第4天,这天赚了96元钱;故答案为:4,96;(2)49+72+75+96+68=360,答:新华文具用品店这五天出售这种钢笔一共赚了360元钱;(3)360÷6×(10×90%﹣6)=60×(9﹣6)=180,答:本次购进的这种钢笔全部售出后共赚了180元.7、某出租车驾驶员从公司出发,在南北向的人民路上连续接送5批客人,行驶路程记录如下(规定向南为正,向北为负,单位:km):第1批第2批第3批第4批第5批5km2km﹣4km﹣3km10km(1)接送完第5批客人后,该驾驶员在公司什么方向,距离公司多少千米?(2)若该出租车每千米耗油0.2升,那么在这过程中共耗油多少升?(3)若该出租车的计价标准为:行驶路程不超过3km收费10元,超过3km的部分按每千米加1.8元收费,在这过程中该驾驶员共收到车费多少元?解:(1)5+2+(﹣4)+(﹣3)+10=10(km)答:接送完第五批客人后,该驾驶员在公司的南边10千米处.(2)(5+2+|﹣4|+|﹣3|+10)×0.2=24×0.2=4.8(升)答:在这个过程中共耗油4.8升.(3)[10+(5﹣3)×1.8]+10+[10+(4﹣3)×1.8]+10+[10+(10﹣3)×1.8]=68(元)答:在这个过程中该驾驶员共收到车费68元.8、实际测量一座山的高度时,可在若干个观测点中测量每两个相邻可视观测点的相对高度,然后用这些相对高度计算出山的高度.下表是某次测量数据的部分记录(用A﹣C表示观测点A相对观测点C的高度)A﹣C C﹣D E﹣D F﹣E G﹣F B﹣G90米80米﹣60米50米﹣70米40米根据这次测量的数据,可得观测点A相对观测点B的高度是()米.A.210B.170C.130D.50解:由表中数据可知:A﹣C=90①C﹣D=80②D﹣E=60③E﹣F=﹣50④F﹣G=70⑤G﹣B=﹣40⑥①+②+③+④+⑤+⑥得:(A﹣C)+(C﹣D)+(D﹣E)+(E﹣F)+(F﹣G)+(G﹣B)=A﹣B=90+80+60﹣50+70﹣40=210∴观测点A相对观测点B的高度是210米.故选:A.9、某天早上,一辆交通巡逻车从A地出发,在东西向的马路上巡视,中午到达B地,如果规定向东行驶为正,向西行驶为负,行驶纪录如下.(单位:km)第一次第二次第三次第四次第五次第六次第七次+15﹣8+6+12﹣4+5﹣10(1)巡逻车在巡逻过程中,第次离A地最远.(2)B地在A地哪个方向,与A地相距多少千米?(3)若每千米耗油0.2升,每升汽油需7元,问这一天交通巡逻车所需汽油费多少元?解:(1)第一次距A地:15千米,第二次距A地:15﹣8=7千米,第三次距A地:7+6=13千米,第四次距A地:13+12=25千米,第五次距A地:25﹣4=21千米,第六次距A地:21+5=26千米,第七次距A地:26﹣10=16千米,26>25>21>16>15>13>7,答:巡逻车在巡逻过程中,第6次离A地最远;(2)15﹣8+6+12﹣4+5﹣10=16(千米),答:B地在A地东方,与A地相距16千米;(3)|+15|+|﹣8|+|+6|+|+12|+|﹣4|+|+5|+|﹣10|=60(千米),60×0.2=12(升),12×7=84(元).答:这一天交通巡逻车所需汽油费84元.故答案为:6.10、在抗洪抢险中,解放军战士的冲锋舟加满油沿东西方向的河流抢救灾民,早晨从A地出发,晚上到达B地,约定向东为正方向,当天的航行路程记录如下(单位:千米):+15,﹣8,+9,﹣6,+14,﹣5,+13,﹣4.(1)B地位于A地的什么方向?距离A地多少千米?(2)若冲锋舟每千米耗油0.6升,油箱容量为30升,求冲锋舟当天救灾过程中至少还需补充多少升油?(3)救灾过程中,冲锋舟离出发点A最远时,距A地多少千米?解:(1)∵15﹣8+9﹣6+14﹣5+13﹣4=28,∴B地在A地的东边28千米;(2)这一天走的总路程为:15+|﹣8|+9+|﹣6|+14+|﹣5|+13|+|﹣4|=74千米,应耗油74×0.6=44.4(升),故还需补充的油量为:44.4﹣30=14.4(升),答:冲锋舟当天救灾过程中至少还需补充14.4升油;(3)∵路程记录中各点离出发点的距离分别为:15千米;15﹣8=7千米;7+9=16千米;16﹣6=10千米;10+14=24千米;24﹣5=19千米;19+13=32千米;32﹣4=28千米.∴冲锋舟离出发点A最远时,距A地32千米.11、汽油价格的毎一次调整影响着有车一族的汽车用油的费用.王旭驾驶的汽车毎一次都加92号汽油,他时刻关注92汽油的价格变化.2018年12月20日92号汽油的价格为6.74元/升,下表是92号汽油价格在6.74元/升基础上连续七次调整的变化情况,其中在上一次价格的基础上涨价记为正数,降价记为负数,如表中的﹣0.12表示第四次调整是在第三次调整后的92号汽油价格基础上毎升降0.12元.调整次数第一次第二次第三次第四次第五次第六次第七次价格变化﹣0.30+0.27+0.27﹣0.12+0.18﹣0.05﹣0.10 (1)在这七次调整中,哪次调整后92号汽油的价格最高,每升多少元?哪次调整后92号汽油的价格最低,每升多少元?(2)王旭一家在五一期间自驾游玩,他驾驶的汽车毎行驶100km耗油8升,如果在这次游玩中他驾驶的汽车一共行驶600km,92号汽油价格按第六次调整的价格计算,那么在这次游玩中王旭驾驶汽车的用油费用是多少元?解:(1)第一次价格:6.74﹣0.30=6.44(元),第二次价格:6.44+0.27=6.71(元),第三次价格:6.71+0.27=6.98(元),第四次价格:6.98﹣0.12=6.86(元),第五次价格:6.86+0.18=7.04(元),第六次价格:7.04﹣0.05=6.99(元),第七次价格:6.99﹣0.10=6.89(元),∵6.44<6.71<6.86<6.89<6.98<6.99<7.04,∴第五次调整后92号汽油的价格最高,每升7.04元,第一次调整后92号汽油的价格最低,每升6.44元;(2)600÷100×8=48(升),6.99×48=335.52(元),答:在这次游玩中王旭驾驶汽车的用油费用是335.52元.12、某自行车厂一周内计划平均每天生产200辆自行车,由于种种原因,实际每天生产量与计划量相比有出入.下表是某周的生产情况(超产记为正,减产记为负):星期一二三四五六日增减产量/辆+5﹣2﹣4+13﹣10+16﹣9(1)根据记录的数据可知,该厂星期五生产自行车辆.(2)根据上表记录的数据可知,该厂本周实际生产自行车辆.(3)该厂实行每日计件工资制,每生产一辆自行车可得60元,若超额完成任务,则超过部分每辆另外奖励15元,若完不成每天的计划量,则少生产一辆扣20元,那么该厂工人这一周的工资总额是多少元?(4)若该厂实行每周计件工资制,每生产一辆自行车可得60元,若超额完成周计划工作量,则超过部分每辆另外奖励15元,若完不成每周的计划量,则少生产一辆扣20元,那么该厂工人这一周的工资总额是多少元?解:(1)∵超产记为正、减产记为负,∴星期五生产自行车200﹣10=190(辆),故答案为:190;(2)该厂本周实际生产自行车200×7+(+5)+(﹣2)+(﹣4)+(+13)+(﹣10)+(+16)+(﹣9)=1409(辆),故答案为:1409;(3)200×7+(+5)+(﹣2)+(﹣4)+(+13)+(﹣10)+(+16)+(﹣9)=1409(辆),1409×60+(5+13+16)×15+(﹣2﹣4﹣10﹣9)×20=84550(元),答:该厂工人这一周的工资总额是84550 元;(4)实行每周计件工资制的工资为1409×60+9×15=84675(元),答:该厂工人这一周的工资总额是84675元.。
一元一次方程应用题专项训练一、体积(周长)问题(变化前=变化后)1、某居民楼顶有一个直径和高均为4m的圆柱形的储水箱,现该楼进行维修改造,为减少楼顶原有储水箱的占地面积,需要将它的底面直径由4m 减少为3.2m。
那么在容积不变的前提下水箱的高度将由原先的4m增高为多少m?2、某钢铁厂计划把一个地面直径为6cm,高为30cm的“瘦长”形圆柱钢材,锻压成底面直径是12cm的“矮胖”形圆柱零件, 求锻压后圆柱零件的高?3.用一个底面半径40毫米,高120毫米的圆柱形玻璃杯向一个底面半径100毫米的大圆柱形玻璃杯中倒水,倒了满满10杯水后,大玻璃杯的液面离杯口还有10毫米,求大玻璃杯的高度。
4.两个圆柱形容器,他们的直径分别为4cm和8cm,高分别为39cm和10cm .我们现在第二个容器里倒满水,然后再将其倒入第一个容器中。
问:倒完以后,第一个容器的水面离容器口有多少厘米?小刚是这样做的:设倒完以后,第一个容器里的水面离容器口有xcm.列方程ㄫ×22×(39—x)=ㄫ×42×10.解得x=—1.你能对他的结果做出合理的解释吗?5.用一根长为10米的铁丝围成一个长方形(1)使得这个长方形的长比宽多1.4米,此时长方形的长、宽各为多少米?面积呢?(2)使得该长方形的长比宽多0.8米,此时长方形的长和宽各是多少米?面积多少平方米?(3)使得该长方形的长与宽相等,即围成一个正方形,此时正方形的边长是多少米? 面积呢?(4)填写表格并思考你有什么发现?6.用一根长10米铁线在墙边围成一个鸡棚,使长比宽大4米,问围成的鸡棚的长和宽各是多少呢?若墙长5米,这样设计合理吗?7.墙上钉着用一根彩绳围成的梯形形状的饰物,如图实线所示。
小颖将梯形下底的钉子去掉,并将这条彩绳钉成一个长方形,如图虚线所示。
小颖所钉长方形的长、宽各为多少厘米?二、总数之间的等量关系1.某市对城区主干道进行绿化,计划把某一段公路的一侧全部栽上桂花树,要求路的两端各栽一棵,并且每两棵树的间隔相等,如果每隔5米栽1棵,则树苗缺21棵;如果每隔6米栽1棵,则树苗正好用完,原有树苗多少棵?2.某小组计划做一批中国结,如果每人做6个,那么比计划多做了9个,如果每人做4个,那么比计划少7个.计划做多少个“中国结”3、“某幼儿园给小朋友分苹果,若每个小朋友分3个则剩1个;若每个小朋友分4个则少2个,问苹果有多少个?4.某工程,甲单独做12天完成,乙单独做8天完成.现在由甲先做3天,乙再参加做,求完成这项工程乙还需要几天?5.一艘轮船从甲码头到乙码头顺流行驶用3小时,从乙码头到甲码头逆流行驶用4小时,已知轮船在静水中的速度为30千米/时,求水流的速度6、一个两位数,个位上的数是十位上的数的2倍,如果把十位与个位上的数对调,那么所得的两位数比原两位数大36,求原来的两位数。
1.有一根铁丝,第一次用去了他的一半少1米,第二次用去了剩余铁丝的一半还多1米,结果这根铁丝还剩余2.5米,问这根铁丝原来长多少米?2.将内径为200mm的圆柱形水桶中的满桶水倒入一个内部长\宽\高分别为300mm.300mm.80mm的长方形铁盒中,正好倒满,求圆柱形水桶中的水高?3.列车在中途受阻,耽误了6分钟,然后将时速由原来的每小时40千米提高到每小时50千米,问这样走多少千米,就可以将耽误的时间补上?4.某学校七年级(1)班组织课外活动,准备举行一次羽毛球比赛,去商店购买羽毛球拍和羽毛球,每副球拍25元,每只球2元,甲商店说:"羽毛球及球拍都打9折优惠",乙商店说"买一副球拍赠送2只羽毛球,(1)学校准备花90元钱全部用于买2副羽毛球拍及羽毛球若干只,问到哪家商店购买更合算?(2)若必须买2副羽毛球拍,则应当买多少只羽毛球时到两家商店才一样合算?5.甲\乙\丙三位同学向贫困地区的少年儿童捐赠图书,已知这三位同学捐赠图书的册数的比是5:6:9 ,如果甲\丙两位同学捐书册数的和是乙捐书册数的2倍还多12册,那么他们各捐书多少:6.为节约能源,某单位按以下规定收取每月电费:用电不超过140度,按每度0.43元收费;如果超过140度,超过部分按每度0.57元收费.若墨用电户四月费的电费平均每度0.5元,问该用电户四月份应缴电费多少元?7.某大商场家电部送货人员与销售人员人数之比为1:8.今年夏天由于家电购买量明显增多,家电部经理从销售人员中抽调了22人去送货.结果送货人员与销售人数之比为2:5.求这个商场家电部原来各有多少名送货人员和销售人员?8.现对某商品降价10%促销,为了使销售金额不变,销售量要比按原价销售时增加百分之几?9.甲.乙两种商品的原单价和为100元,因市场变化,甲商品降10%,乙商品提价5%调价后两商品的单价和比原单价和提高2%,甲.乙两商品原单价各是多少/10.甲车间人数比乙车间人数的4/5少30人,如果从乙车间调10人到甲车间去,那么甲车间的人数就是乙车间的3/4.求原来每个车间的人数.11.甲骑自行车从A地到B地,乙骑自行车从B地到A地,两人都均速前进,以知两人在上午8时同时出发,到上午10时,两人还相距36千米,到中午12时,两人又相距36千米,求A.B两地间的路程?(列方程)12.甲、乙两车长度均为180米,若两列车相对行驶,从车头相遇到车尾离开共12秒;若同向行驶,从甲车头遇到乙车尾,到甲车尾超过乙车头需60秒,车的速度不变,求甲、乙两车的速度.13.两根同样长的蜡烛,粗的可燃3小时,细的可燃8/3小时,停电时,同时点燃两根蜡烛,来电时同时吹灭,粗的是细的长度的2倍,求停电的时间.14.某工厂今年共生产某种机器2300台,与去年相比,上半年增加25%,下半年减少15%,问今年下半年生产了多少台?15.甲骑自行车从A地到B地,乙骑自行车从B地到A地,两人都均速前进,以知两人在上午8时同时出发,到上午10时,两人还相距36千米,到中午12时,两人又相距36千米,求A.B两地间的路程?]16.跑得快的马每天走240里,跑得慢的马每天走150里.慢马先走12天,快马几天可以追上慢马?17.已知5台A型机器一天的产品装满8箱后还剩4个,7台B型机器一天的产品装满11箱后还剩1个,每台A型机器比B型机器一天多生产1个产品,求每箱有多少个产品.18.父子二人在同一工厂工作,父亲从家走到工厂要用30分钟,儿子走这段路只需20分钟,父亲比儿子早5分钟动身,问过多少分钟而字能追上父亲?19.要加工200个零件.甲先单独加工了5小时,然后又与乙一起加工了4小时,完成了任务.已知甲每小时比乙多加工2个零件,求甲、乙每小时各加工多少个零件?20.一大桥总长1000米,一列火车从桥上通过,测得火车从开始上桥到完全过桥共用1分钟,整列火车完全在桥上时间为40秒,求火车速度和长度?21.某车间每个工人能生产12个螺栓或18个螺母,每个螺栓要有两个螺母配套,现有共人28人,怎样分配工人数,才能使每天产量刚好配套?22.在若干个小方格中放糖,第1格1粒,第2格2粒,第3格4粒,第4格8粒……如此类推,从几格开始的连续三个中共有448粒?23.要加工200个零件.甲先单独加工了5小时,然后又与乙一起加工了4小时,完成了任务.已知甲每小时比乙多加工2个零件,求甲、乙每小时各加工多少个零件?24.有30位游客,其中10人既不懂汉语又不懂英语,懂英语得比懂汉语的3倍多3人,问懂英语的而不懂汉语的有几人?25.丽丽的妈妈到百盛商场给她买一件漂亮毛衣,售货员说:“这毛衣前两天打八折,今天又在八折的基础上降价10%,只卖144元,丽丽很快算出了这件毛衣的原标价,你知道是多少元吗?26.一种商品,甲提出按原价降低10元后卖掉,用售价的10%作积累;乙提出将原价降低20元卖掉,用售价的20%仍做积累,经测算两种积累一样多.则这种商品的原价是多少?27.某种商品因换季准备打折出售,如果按定价的七五折出售,将赔25元,而按定价的九折出售,将赚20元,这种商品的定价为多少元?28.某商品的进价是2000元,标价为3000元,商店要求以利润率不低于5%的售价打折出售,售货员最低可以打几折出售此商品?29.某服装商店以135元的价格售出两件衣服,按成本计算,第一件盈利25%,第二件亏损25 %,则该商店卖这两件衣服总体上是赚了,还是亏了?这二件衣服的成本价会一样吗?算一算30.某厂一车间有64人,二车间有56人。
北师大版七年级数学上册第五章列一元一次方程解应用题专题练习题1、某校七年级社会实践小组去某商场调查商品的销售情况,了解到该商场以每件80元的价格购进了某品牌衬衫500件,并以每件120元的价格销售了400件,商场准备采取促销措施,将剩下的衬衫降价销售.(1)每件衬衫降价多少元时,销售完这批衬衫正好达到盈利45%的预期目标?(2)在(1)的条件下,某公司给员工发福利,在该商场促销钱购买了20件该品牌的衬衫发给员工,后因为有新员工加入,又要购买5件该衬衫,购买这5件衬衫时恰好赶上该商场进行促销活动,求该公司购买这25件衬衫的平均价格.2、采摘茶叶是茶农一项很繁重的劳动,利用单人便携式采茶机能大大提高生产效率.实践证明,一台采茶机每天可采茶60公斤,是人手工采摘的5倍,购买一台采茶机需2400元.茶园雇人采摘茶叶,按每采摘1公斤茶叶m元的标准支付雇工工资,一个雇工手工采摘茶叶20天获得的全部工钱正好购买一台采茶机.(1)求m的值;(2)有两家茶叶种植户王家和顾家均雇人采摘茶叶,王家雇用的人数是顾家的2倍.王家所雇的人中有的人自带采茶机采摘,的人手工采摘,顾家所雇的人全部自带采茶机采摘.某一天,王家付给雇工的工资总额比顾家付给雇工的工资总额少600元.问顾家当天采摘了多少公斤茶叶?3、某市城市居民用电收费方式有以下两种:(甲)普通电价:全天0.53元/度;(乙)峰谷电价:峰时(早8:00﹣晚21:00)0.56元/度;谷时(晚21:00﹣早8:00)0.36元/度.估计小明家下月总用电量为200度.(1)若其中峰时电量为50度,则小明家按照哪种方式付电费比较合适?能省多少元?(2)到下月付费时,小明发现那月总用电量为200度,用峰谷电费付费方式比普通电价付费方式省了14元,求那月的峰时电量为多少度?4、在手工制作课上,老师组织七年级2班的学生用硬纸制作圆柱形茶叶筒.七年级2班共有学生50人,其中男生人数比女生人数少2人,并且每名学生每小时剪筒身40个或剪筒底120个.(1)七年级2班有男生、女生各多少人?(2)原计划男生负责剪筒底,女生负责剪筒身,要求一个筒身配两个筒底,那么每小时剪出的筒身与筒底能配套吗?如果不配套,那么男生应向女生支援多少人时,才能使每小时剪出的筒身与筒底相同.5、盈盈超市第一次用6000元购进甲,乙两种商品,其中乙商品的件数比甲商品件数的多15件,甲,乙两种商品的进价和零售价如下表(注:获利=售价﹣进价):甲乙进价(件/元)2230售价(件/元)2940(1)第一次进货时甲,乙两种商品各购进多少件?(2)该超市第二次以第一次的进价又购进甲,乙两种商品,其中甲种商品的件数不变,乙种商品的件数是第一次的3倍,甲商品按原价销售,乙商品打折销售.第二次两种商品都销售完后盈利2130元,求第二次乙种商品是按原价打几折销售的.6、国庆期间,某公园门票规定如下表:购票人数1﹣50张51~100张100张以上每人门票价13元11元9元某校七年级(1)(2)两个班共104人去游园,如果以班为单位购票,共付1240元,其中(1)班人数大于40人小于50人,试问:(1)这两班各有多少学生?(2)如果两班联合起来,作为一个团体购票,可省多少钱?(3)如果七年级(1)班单独组织去游园,作为组织者的你如何购票最省钱?7、某租赁公司拥有100辆轿车,当每辆轿车的月租金为3000元时,可全部租出,当每辆轿车的月租金每增加50元时,未租出的轿车将会增加一辆,租出的轿车每辆每月公司需要保养费150元,未租出的轿车每辆每月公司需要保养费50元.(1)已知10月份每辆轿车的月租金为3600元时,能租出多少辆轿车?(2)已知11月份的保养费开支为12900元,问该月租出了多少辆轿车?(3)比较10、11两月的月收益,哪个月的月收益多?多多少?8、为了进行资源的再利用,学校准备针对库存的桌椅进行维修,现有甲、乙两木工组,甲每天修桌凳14套,乙每天比甲多7套,甲单独修完这些桌凳比乙单独修完多用20天.学校每天付甲组80元修理费,付乙组120元修理费.(1)请问学校库存多少套桌凳?(2)在修理过程中,学校要派一名工人进行质量监督,学校负担他每天10元生活补助费,现有三种修理方案:①由甲单独修理;②由乙单独修理;③甲、乙合作同时修理.你选哪种方案,为什么?9、请根据图中提供的信息,回答下列问题:(1)一个暖瓶与一个水杯分别是多少元?(2)甲、乙两家商场同时出售同样的暖瓶和水杯.为了迎接新年,两家商场都在搞促销活动.甲商场规定:这两种商品都打九折;乙商场规定:买一个暖瓶赠送一个水杯.若某单位想要买4个暖瓶和15个水杯,请问选择哪家商场购买更合算,并说明理由.10、某校计划添置20张办公桌和一批椅子(椅子不少于20把),现从A、B两家家具公司了解到:同一款式的产品价格相同,办公桌每张210元,椅子每把70元.A公司的优惠政策为:每买一张办公桌赠送一把椅子;B公司的优惠政策为:办公桌和椅子都实行八折优惠.(1)若到A公司买办公桌的同时买m把椅子,则应付多少钱?(2)若规定只能选择一家公司购买桌椅,什么情况下到任意一家公司购买付款一样多?(3)如果添置的20张办公桌和30把椅子,可到一家公司购买或A、B公司分开购买,请你设计一种购买方案,使所付款额最少,最少付款额是多少?(可不说明理由)11、现在,某商场进行元旦促销活动,出售一种优惠购物卡(注:此卡只作为购物优惠凭证不能顶替货款),花300元买这种卡后,凭卡可在这家商场按标价的8折购物.(1)顾客购买多少元金额的商品时,买卡与不买卡花钱相等?(2)小张要买一台标价为3500元的冰箱,如何购买合算?小张能节省多少元钱?(3)小张按合算的方案,把这台冰箱买下,如果该商场还能盈利25%,那么这台冰箱的进价是多少元?12、某数学兴趣小组研究我国古代《算法统宗》里这样一首诗:我问开店李三公,众客都来到店中,一房七客多七客,一房九客一房空.诗中后两句的意思是:如果每一间客房住7人,那么有7人无房可住;如果每一间客房住9人,那么就空出一间房.(1)求该店有客房多少间?房客多少人?(2)假设店主李三公将客房进行改造后,房间数大大增加.每间客房收费20钱,且每间客房最多入住4人,一次性定客房18间以上(含18间),房费按8折优惠.若诗中“众客”再次一起入住,他们如何订房更合算?请写出你作出这种决策的理由.13、一队学生从学校出发去骑行,整个队伍以30千米/时的速度前进.(1)骑行了半小时,突然发现有东西遗忘在学校,一名队员马上以50千米/时的速度返回学校,取到东西后仍以50千米/时的速度追赶队伍,求这名队员从掉头返校到追上队伍,经过了多长时间?(取东西的时间忽略不计)(2)突然前方有事需要接应,派出一名队员前往,如果这名队员以40千米/时的速度独自行进7千米,接应后掉转车头,仍以40千米/时的速度往回骑,直到与其他队员会合.问这名队员从离队开始到与队员重新会合,经过了多长时间?(接应时间忽略不计).解:设这名队员从离队开始到与队员重新会合,经过了x小时,根据题意,可得方程.(本小题只需要列出方程,不用解)14、某公司要把240吨白砂糖运往A、B两地,用大、小两种货车共20辆,恰好一次可以运完.已知大、小货车的载重量分别为15吨/辆和10吨/辆,运往A 地的运费为大货车630元/辆,小货车420元/辆,运往B地的运费为大货车750元/辆,小货车550元/辆.(1)求两种货车各用多少辆;(2)如果安排10辆货车前往A地,剩下的货车前往B地,那么当前往A地的大货车有多少辆时,总运费为11350元.15、为赴某地考察学习,小颖的爸爸在元旦节的早晨7点自驾一辆轿车(平均速度为60千米/小时)从家里出发赶往距家45千米的某机场,此时距规定到达机场的时间仅剩90分钟,7点30分小颖发现爸爸忘了带身份证,急忙通知爸爸返回,同时她乘坐出租车以40千米/小时的平均速度直奔机场,与此同时,爸爸接到通知后继续往机场方向行驶了5分钟后返回,结果不到30分钟就遇上小颖(打电话,拿身份证及上出租车的时间忽略不计),并立即按原速赶往机场,请问:(1)设小颖从7点30分出发经过x小时与爸爸相遇,则与爸爸相遇时小颖行驶了千米,爸爸返回了千米(均用含x的代数式表示);(2)求小颖从7点30分出发经过多少时间与爸爸相遇;(3)小颖的爸爸能否在规定的时间内赶到机场?16、某中学举行数学竞赛,计划用A,B两台复印机复印试卷.如果单独用A机器需要90分钟印完,如果单独用B机器需要60分钟印完,为了保密的需要,不能过早复印试卷,学校决定在考试前由两台复印机同时复印.(1)两台复印机同时复印,共需多少分钟才能印完?(2)若两台复印机同时复印30分钟后,B机出了故障,暂时不能复印,此时离发卷还有13分钟.请你算一下,如果由A机单独完成剩下的复印任务,会不会影响按时发卷考试?(3)在(2)的问题中,B机经过紧急抢修,9分钟后修好恢复正常使用,请你再计算一下,学校能否按时发卷考试?17、A、B两城相距600千米,一辆客车从A城开往B城,车速为每小时80千米,同时一辆出租车从B城开往A城,车速为毎小时100千米,设客车出时间为t.探究若客车、出租车距B城的距离分别为y1、y2,写出y1、y2关于t的函数关系式,并计算当y1=200千米时y2的値.发现设点C是A城与B城的中点,(1)哪个车会先到达C?该车到达C后再经过多少小时,另一个车会到达C?(2)若两车扣相距100千米时,求时间t.决策己知客车和出租车正好在A,B之间的服务站D处相遇,此时出租车乘客小王突然接到开会通知,需要立即返回,此时小王有两种选择返回B城的方案:方案一:继续乘坐出租车,到达A城后立刻返回B城(设出租车调头时间忽略不计);方案二:乘坐客车返回城.试通过计算,分析小王选择哪种方式能更快到达B城?35.甲、乙两地的路程为600km,一辆客车从甲地开往乙地.从甲地到乙地的最高速度是每小时120km,最低速度是每小时60km.(1)这辆客车从甲地开往乙地的最短时间是h,最长时间是h.(2)一辆货车从乙地出发前往甲地,与客车同时出发,客车比货车平均每小时多行驶20km,3h两车相遇,相遇后两车继续行驶,各自到达目的地停止.求两车各自的平均速度.(3)在(2)的条件下,甲、乙两地间有两个加油站A、B,加油站A、B相距200km,当客车进入B加油站时,货车恰好进入A加油站(两车加油的时间忽略不计),求甲地与加油站B的路程.参考答案1、某校七年级社会实践小组去某商场调查商品的销售情况,了解到该商场以每件80元的价格购进了某品牌衬衫500件,并以每件120元的价格销售了400件,商场准备采取促销措施,将剩下的衬衫降价销售.(1)每件衬衫降价多少元时,销售完这批衬衫正好达到盈利45%的预期目标?(2)在(1)的条件下,某公司给员工发福利,在该商场促销钱购买了20件该品牌的衬衫发给员工,后因为有新员工加入,又要购买5件该衬衫,购买这5件衬衫时恰好赶上该商场进行促销活动,求该公司购买这25件衬衫的平均价格.【解答】解:(1)设每件衬衫降价x元,根据题意可得:(120﹣80)×400+(500﹣400)(120﹣x﹣80)=80×500×45%,解得:x=20,答:每件衬衫降价20元时,销售完这批衬衫正好达到盈利45%的预期目标;(2)由题意可得:[20×120+5×(120﹣20)]÷25=116(元),答:该公司购买这25件衬衫的平均价格是116元.2、采摘茶叶是茶农一项很繁重的劳动,利用单人便携式采茶机能大大提高生产效率.实践证明,一台采茶机每天可采茶60公斤,是人手工采摘的5倍,购买一台采茶机需2400元.茶园雇人采摘茶叶,按每采摘1公斤茶叶m元的标准支付雇工工资,一个雇工手工采摘茶叶20天获得的全部工钱正好购买一台采茶机.(1)求m的值;(2)有两家茶叶种植户王家和顾家均雇人采摘茶叶,王家雇用的人数是顾家的2倍.王家所雇的人中有的人自带采茶机采摘,的人手工采摘,顾家所雇的人全部自带采茶机采摘.某一天,王家付给雇工的工资总额比顾家付给雇工的工资总额少600元.问顾家当天采摘了多少公斤茶叶?【解答】解:(1)由题意:×20×m=2400,解得:m=10;(2)设顾家雇了x人,则王家雇了2x人,其中:人自带采茶机采摘,人人手工采摘,由题意得:60x×10=×x×10+60×x×10+600解得:x=15 (人)所以,顾家当天采摘了共采摘了15×60=900(公斤),答:顾家当天采摘了900公斤茶叶.3、某市城市居民用电收费方式有以下两种:(甲)普通电价:全天0.53元/度;(乙)峰谷电价:峰时(早8:00﹣晚21:00)0.56元/度;谷时(晚21:00﹣早8:00)0.36元/度.估计小明家下月总用电量为200度.(1)若其中峰时电量为50度,则小明家按照哪种方式付电费比较合适?能省多少元?(2)到下月付费时,小明发现那月总用电量为200度,用峰谷电费付费方式比普通电价付费方式省了14元,求那月的峰时电量为多少度?【解答】解:(1)按普通电价付费:200×0.53=106元,按峰谷电价付费:50×0.56+150×0.36=82元.所以按峰谷电价付电费合算,能省106﹣82=24元;(2)设那月的峰时电量为x度,根据题意得:0.53×200﹣[0.56x+0.36(200﹣x)]=14,解得x=100.答:那月的峰时电量为100度.4、在手工制作课上,老师组织七年级2班的学生用硬纸制作圆柱形茶叶筒.七年级2班共有学生50人,其中男生人数比女生人数少2人,并且每名学生每小时剪筒身40个或剪筒底120个.(1)七年级2班有男生、女生各多少人?(2)原计划男生负责剪筒底,女生负责剪筒身,要求一个筒身配两个筒底,那么每小时剪出的筒身与筒底能配套吗?如果不配套,那么男生应向女生支援多少人时,才能使每小时剪出的筒身与筒底相同.【解答】解:(1)设七年级2班有男生有x人,则女生有(x+2)人,由题意得:x+x+2=50,解得:x=24,女生:24+2=26(人),答:七年级2班有男生有24人,则女生有26人;(2)男生剪筒底的数量:24×120=2880(个),女生剪筒身的数量:26×40=1040(个),因为一个筒身配两个筒底,1880:1040≠2:1,所以原计划男生负责箭筒底,女生负责剪筒身,每小时剪出的筒身与筒底不能配套,设男生应向女生支援y人,由题意得:120(24﹣y)=(26+y)×40×2,解得:y=4,答:男生应向女生支援4人时,才能使每小时剪出的筒身与筒底相同.5、盈盈超市第一次用6000元购进甲,乙两种商品,其中乙商品的件数比甲商品件数的多15件,甲,乙两种商品的进价和零售价如下表(注:获利=售价﹣进价):甲乙进价(件/元)2230售价(件/元)2940(1)第一次进货时甲,乙两种商品各购进多少件?(2)该超市第二次以第一次的进价又购进甲,乙两种商品,其中甲种商品的件数不变,乙种商品的件数是第一次的3倍,甲商品按原价销售,乙商品打折销售.第二次两种商品都销售完后盈利2130元,求第二次乙种商品是按原价打几折销售的.【解答】解:(1)设第一次甲种商品购进x件,依题意:22x+30(x+15)=6000,解此方程:x=150;(x+15)=90,答:第一次甲,乙两种商品分别购进150件和90件;(2)设第二次乙种商品按打y折销售,依题意:(29﹣22)×150+(40×﹣30)×90×3=2130,解此方程:y=8.5,答:第二次乙种商品是按原价打8.5折销售的.6、国庆期间,某公园门票规定如下表:购票人数1﹣50张51~100张100张以上每人门票价13元11元9元某校七年级(1)(2)两个班共104人去游园,如果以班为单位购票,共付1240元,其中(1)班人数大于40人小于50人,试问:(1)这两班各有多少学生?(2)如果两班联合起来,作为一个团体购票,可省多少钱?(3)如果七年级(1)班单独组织去游园,作为组织者的你如何购票最省钱?【解答】解:(1)设(1)班有x人,则(1)班有(104﹣x)人,根据题意得13x+11(104﹣x)=1240,解得x=48,104﹣x=104﹣48=56.答:(1)班有48人,(2)班有56人;(2)104×9=936(元),1240﹣936=304(元).答:两班联合起来,作为一个团体购票,可省304元;(3)13×48=624(元),11×51=561(元).答:(1)班买51张票最省钱.7、某租赁公司拥有100辆轿车,当每辆轿车的月租金为3000元时,可全部租出,当每辆轿车的月租金每增加50元时,未租出的轿车将会增加一辆,租出的轿车每辆每月公司需要保养费150元,未租出的轿车每辆每月公司需要保养费50元.(1)已知10月份每辆轿车的月租金为3600元时,能租出多少辆轿车?(2)已知11月份的保养费开支为12900元,问该月租出了多少辆轿车?(3)比较10、11两月的月收益,哪个月的月收益多?多多少?【解答】解:(1)设10月份未租出x辆轿车,依题意得,50x=3600﹣3000,解得x=12.所以,租出的轿车为100﹣12=88(辆).答:10月份能租出88辆轿车;(2)设11月份租出y辆轿车,依题意得:150y+50(100﹣y)=12900解得y=79.答:11月份租出79辆轿车;(3)10月份收益:(3600﹣150)×88﹣50×12=303000(元).11月份收益:[3000+50(100﹣79)]×79﹣12900=307050(元).因为307050﹣303000=4050(元),所以11月份收益多,多4050元.8、为了进行资源的再利用,学校准备针对库存的桌椅进行维修,现有甲、乙两木工组,甲每天修桌凳14套,乙每天比甲多7套,甲单独修完这些桌凳比乙单独修完多用20天.学校每天付甲组80元修理费,付乙组120元修理费.(1)请问学校库存多少套桌凳?(2)在修理过程中,学校要派一名工人进行质量监督,学校负担他每天10元生活补助费,现有三种修理方案:①由甲单独修理;②由乙单独修理;③甲、乙合作同时修理.你选哪种方案,为什么?【解答】解:(1)设乙单独做需要x天完成,则甲单独做需要(x+20)天,由题意可得:14(x+20)=21x,解得:x=40,总数:21×40=840(套),答:乙单独做需要40天完成,甲单独做需要60天,一共有840套桌椅;(2)方案一:甲单独完成:60×80+60×10=5400(元),方案二:乙单独完成:40×120+40×10=5200(元),方案三:甲、乙合作完成:840÷(14+21)=24(天),则一共需要:24×(120+80)+24×10=5040(元),故选择方案三合算.9、请根据图中提供的信息,回答下列问题:(1)一个暖瓶与一个水杯分别是多少元?(2)甲、乙两家商场同时出售同样的暖瓶和水杯.为了迎接新年,两家商场都在搞促销活动.甲商场规定:这两种商品都打九折;乙商场规定:买一个暖瓶赠送一个水杯.若某单位想要买4个暖瓶和15个水杯,请问选择哪家商场购买更合算,并说明理由.【解答】解:(1)设一个暖瓶x元,则一个水杯(38﹣x)元,根据题意得:2x+3(38﹣x)=84.解得:x=30.一个水杯=38﹣30=8.故一个暖瓶30元,一个水杯8元;(2)若到甲商场购买,则所需的钱数为:(4×30+15×8)×90%=216元.若到乙商场购买,则所需的钱数为:4×30+(15﹣4)×8=208元.因为208<216.所以到乙家商场购买更合算.10、某校计划添置20张办公桌和一批椅子(椅子不少于20把),现从A、B两家家具公司了解到:同一款式的产品价格相同,办公桌每张210元,椅子每把70元.A公司的优惠政策为:每买一张办公桌赠送一把椅子;B公司的优惠政策为:办公桌和椅子都实行八折优惠.(1)若到A公司买办公桌的同时买m把椅子,则应付多少钱?(2)若规定只能选择一家公司购买桌椅,什么情况下到任意一家公司购买付款一样多?(3)如果添置的20张办公桌和30把椅子,可到一家公司购买或A、B公司分开购买,请你设计一种购买方案,使所付款额最少,最少付款额是多少?(可不说明理由)【解答】解:(1)210×20+70×(m﹣20)=70m+2800(元).答:若到A公司买办公桌的同时买m把椅子,则应付(70m+2800)元钱.(2)设买x把椅子,到任意一家公司购买付款一样多,根据题意得:210×20+70(x﹣20)=80%(210×20+70x),解得:x=40.答:买40把椅子时,到任意一家公司购买付款一样多.(3)购买方案为:到A公司购买20张办公桌,A公司赠送20把椅子,再到B 公司购买10把椅子.最少付款额为210×20+80%×70×10=4760元.11、现在,某商场进行元旦促销活动,出售一种优惠购物卡(注:此卡只作为购物优惠凭证不能顶替货款),花300元买这种卡后,凭卡可在这家商场按标价的8折购物.(1)顾客购买多少元金额的商品时,买卡与不买卡花钱相等?(2)小张要买一台标价为3500元的冰箱,如何购买合算?小张能节省多少元钱?(3)小张按合算的方案,把这台冰箱买下,如果该商场还能盈利25%,那么这台冰箱的进价是多少元?【解答】解:设顾客购买x元金额的商品时,买卡与不买卡花钱相等.根据题意,得300+0.8x=x,解得x=1500,所以,顾客购买1500元金额的商品时,买卡与不买卡花钱相等;(2)小张买卡合算,3500﹣(300+3500×0.8)=400,所以,小张能节省400元钱;(3)设进价为y元,根据题意,得(300+3500×0.8)﹣y=25%y,解得y=2480答:这台冰箱的进价是2480元.12、某数学兴趣小组研究我国古代《算法统宗》里这样一首诗:我问开店李三公,众客都来到店中,一房七客多七客,一房九客一房空.诗中后两句的意思是:如果每一间客房住7人,那么有7人无房可住;如果每一间客房住9人,那么就空出一间房.(1)求该店有客房多少间?房客多少人?(2)假设店主李三公将客房进行改造后,房间数大大增加.每间客房收费20钱,且每间客房最多入住4人,一次性定客房18间以上(含18间),房费按8折优惠.若诗中“众客”再次一起入住,他们如何订房更合算?请写出你作出这种决策的理由.【解答】解:(1)设客房有x间,则根据题意可得:7x+7=9x﹣9,解得x=8;即客人有7×8+7=63(人);答:客人有63人.(2)如果每4人一个房间,需要63÷4=15,需要16间客房,总费用为16×20=320(钱),如果定18间,其中有四个人一起住,有三个人一起住,则总费用=18×20×0.8=288(钱)<320钱,所以他们再次入住定18间房时更合算.答:他们再次入住定18间房时更合算.13、一队学生从学校出发去骑行,整个队伍以30千米/时的速度前进.(1)骑行了半小时,突然发现有东西遗忘在学校,一名队员马上以50千米/时的速度返回学校,取到东西后仍以50千米/时的速度追赶队伍,求这名队员从掉头返校到追上队伍,经过了多长时间?(取东西的时间忽略不计)(2)突然前方有事需要接应,派出一名队员前往,如果这名队员以40千米/时的速度独自行进7千米,接应后掉转车头,仍以40千米/时的速度往回骑,直到与其他队员会合.问这名队员从离队开始到与队员重新会合,经过了多长时间?(接应时间忽略不计).解:设这名队员从离队开始到与队员重新会合,经过了x小时,根据题意,可得方程40x+30x=7×2.(本小题只需要列出方程,不用解)【解答】解:(1)设这名队员从掉头返校到追上队伍,经过了y小时,根据题意得:50y﹣30y=30××2,解得:y=1.5.答:这名队员从掉头返校到追上队伍,经过了1.5小时.(2)设这名队员从离队开始到与队员重新会合,经过了x小时,根据题意得:40x+30x=7×2.故答案为:40x+30x=7×2.14、某公司要把240吨白砂糖运往A、B两地,用大、小两种货车共20辆,恰好一次可以运完.已知大、小货车的载重量分别为15吨/辆和10吨/辆,运往A 地的运费为大货车630元/辆,小货车420元/辆,运往B地的运费为大货车750元/辆,小货车550元/辆.(1)求两种货车各用多少辆;(2)如果安排10辆货车前往A地,剩下的货车前往B地,那么当前往A地的大货车有多少辆时,总运费为11350元.【解答】解:(1)设大货车用x辆,则小货车用(20﹣x)辆,根据题意得:15x+10(20﹣x)=240,解得:x=8,∴20﹣x=20﹣8=12.答:大货车用8辆.小货车用12辆.(2)设前往A地的大货车有a辆,那么到A地的小货车有(10﹣a)辆,到B 地的大货车(8﹣a)辆,到B的小货车有12﹣(10﹣a)=a+2辆,根据题意得:630a+420(10﹣a)+750(8﹣a)+550(2+a)=11350,即10a+11300=11350,解得:a=5.答:当前往A地的大货车有5辆时,总运费为11350元.15、为赴某地考察学习,小颖的爸爸在元旦节的早晨7点自驾一辆轿车(平均速度为60千米/小时)从家里出发赶往距家45千米的某机场,此时距规定到达机。
2022北师大新版数学七年级上册一元一次方程应用题分类练习1、相遇问题应用题:总的等量关系式:路程=速度某时间,可能在一个题目中反复应用多次。
(1)普通相遇问题:甲走的路程+乙走的路程=全路程例:A、B两站间的路程为448km,一列慢车从A站出发,每小时行驶60km,一列快车从B站出发,每小时行驶80km,问:两车同时开出相向而行,出发后多少小时相遇(2)追赶问题(追及问题):一定是同向而行;总的关系式:追及时间某速度差=需要追及的距离①同时不同地:甲的时间=乙的时间甲走的路程-乙走的路程=原来甲、乙相距的路程例:A、B两站间的路程为448km,一列慢车从A站出发,每小时行驶60km,一列快车从B站出发,每小时行驶80km,问:两车沿BA方向相向而行,快车开出后多少小时两车相遇②同地不同时:甲的时间=乙的时间-时间差甲的路程=乙的路程例:甲乙两人同住一处,一天乙骑自行车到县城,速度为20km/h,出发3小时后,甲骑摩托车也去县城,速度为60km/h;如果路程足够远,问:甲经过多长时间能追上乙③环形跑道上的相遇和追及问题:这种问题有两种类型:同向和异向。
当同向出发时,相当于追及问题;当异向出发时,相当于相遇问题.假设甲、乙两人同时从A地出发,同向而行,则快者第一次追上慢者时,快者比慢者多跑一圈路程,即S甲-S乙=1圈长假设甲、乙两人同时从A地出发,异向而行,则两人第一次相遇时,两人所走路程之和等于一圈长,即S甲+S乙=1圈长例:甲、己两人环湖散步,环湖一周是400m,甲每分钟走80m,乙速是甲速的(1)甲,乙两人在同地背向而行,多长时间后两人相遇?5。
4(2)甲,己两人在同地同向而行,多长时间后两人向遇1、甲、乙两人练习赛跑,甲每秒跑7米,乙每秒跑6.5米,甲让乙先跑5米然后奋力去追,设某秒钟后,甲便追上了乙,则可列方程:2、甲乙两人在400米的环形跑道上跑步,从同一起点同时出发,甲的速度是5米/秒,乙的速度是3米/秒。
2015-2016年北师大版初一数学上册应用题大全1.某单位的电费收费规定是:超过140度的电费按每度0.57元收费,不超过140度的电费按每度0.43元收费。
如果一个用电户四月份的电费平均每度0.5元,那么该用电户四月份应该缴纳多少电费?2.一个大商场的家电部门有送货人员和销售人员,他们的人数比例为1:8.今年夏天,由于家电购买量增加,家电部经理从销售人员中抽调了22人去送货。
结果,送货人员和销售人员的比例变成了2:5.请问这个商场家电部门原来有多少名送货人员和销售人员?3.现在某商品降价10%促销,为了保持销售金额不变,销售量需要增加多少百分比?4.甲和乙两种商品的原单价之和为100元。
因为市场变化,甲商品降价10%,乙商品涨价5%。
调价后,两种商品的单价之和比原单价之和提高了2%。
请问甲和乙两种商品的原单价各是多少?5.甲车间的人数比乙车间的人数少4:5,少了30人。
如果从乙车间调动10人到甲车间,那么甲车间的人数就是乙车间人数的3:4.请问原来每个车间各有多少人?6.甲骑自行车从A地到B地,乙骑自行车从B地到A地,两人都以相同的速度前进。
已知两人在上午8时同时出发,到上午10时,两人还相距36千米;到中午12时,两人又相距36千米。
请问A和B两地之间的路程是多少?7.甲和乙两列火车的长度都是180米。
如果两列火车相向而行,从车头相遇到车尾离开共需要12秒。
如果两列火车同向行驶,从甲车头遇到乙车尾到甲车尾超过乙车头需要60秒。
假设两列火车的速度不变,请问甲和乙两列火车的速度各是多少?8.有两根蜡烛,长度相等。
粗的蜡烛可以燃烧3个小时,细的蜡烛可以燃烧8/3个小时。
如果停电时同时点燃两根蜡烛,来电时同时吹灭,假设粗的蜡烛的长度是细的蜡烛长度的2倍,那么停电的时间是多少?9.某工厂今年共生产某种机器2300台。
与去年相比,上半年增加了25%,下半年减少了15%。
请问今年下半年生产了多少台?10.甲骑自行车从A地到B地,乙骑自行车从B地到A地,两人都以相同的速度前进。
北师大七年级数学上册一元一次方程应用题1.某校学生列队以8千米/时的速度前进,在队尾,校长让一名学生跑步到队伍的最前面找带队老师传达一个指示,然后立即返回队尾,这位学生的速度为12千米/时,从队尾出发赶到排头又回到队尾共用了7.2分钟,问学生队伍的长是多少米?2.甲,乙二人在400米的环形跑道上跑步,已知甲的速度比乙快,如果二人在同一地方出发,同向跑,则3分20秒,相遇一次,若反向跑,则40秒相遇,求甲跑步的速度每秒跑多少米?3.从甲地到乙地,公共汽车原需行驶7个小时,开通高速公路后,车速平均每时增加了20千米,只需5个小时即可到达,求甲.乙两地的路程.4.一队学生去校外进行训练,他们以5千米/时的速度行进,走了18分的时候,学校要将一个紧急通知传给队长,通讯员从学校出发,骑自行车以14千米/时的速度按原路追上去,通讯员需多少时间可以追上学生队伍?5.在高速公路上,一辆长5m,速度为110km/h的轿车准备超越一辆长为15m,速度为100km/h的大车,轿车能超过大车吗?若能,用多长时间?6.A.B两地相距64千米,甲从A地出发,每小时行14千米,乙从B地出发,每小时行18千米,(1)若两人同时出发相向而行,则需经过几小时两人相遇?(2)若两人同时出发相向而行,则需几小时两人相距16千米?(3)若甲在前,乙在后,两人同时同向而行,则几小时后乙超过甲10千米?7.休息日弟弟和妈妈从家里出发一同去外婆家,他们走了1小时后,哥哥发现带给外婆的礼品忘在家里,便立刻带上礼品以每小时6千米的速度去追,如果弟弟和妈妈每小时行2千米,他们从家里到外婆家需要1小时45分钟,问哥哥能在弟弟和妈妈到外婆家之前追上他们吗?8.某人骑车以每小时10千米的速度从甲地到乙地,返回时因事绕道而行,比去时多走8千米,虽然速度增加到了每小时12千米,但比去时还多用了10分钟,求甲.乙两地的距离.9.某储蓄所去年储户存款为4600万元,今年与去年相比,定期存款增加20%,而活期存款减少25%,但总存款增加15%,问今年定期,活期存款各是多少?10.爸爸为小明存了一个3年期的教育储蓄(3年期的年利率为2.7﹪),3年后能取5405元,那么刚开始他存入了多少元?11.小丽的爸爸前年存了年利率为2.25%的二年期定储蓄,今年到期后,扣除利息的20%作为利息税,所得利息正好为小丽买了一只价值36元的计算器,问小丽爸爸前年存了多少元钱?12.某商店选用两种价格分别为每千克28元和每千克20元的糖果混合成杂拌糖果后出售,为使这种杂拌糖果的售价是每千克25元,要配置这种杂拌糖过100千克,问要用这两种糖果多少千克?13.某种商品进货后,零售价定为每件900元,为了适应市场竞争,商店按零售价的九折降价,并让利40元销售,仍可获利10%(相对于进价),问这种商品的进价为多少元?14.商店对某种商品进行调价,按标价的8折出售,此时商品的利润率是10%,此商品进价是1600元,求商品的标价是多少元?15.某人在广州以每件15元的价格购进某种商品10件,后来又从深圳以每件12.5元的价格购进同种商品40件.如果商店销售这些商品时要获得12%的利润,那么这种商品每件的销售价应该是多少元?16.一家商店将某种型号的彩电先按原价提高40%,然后在广告中写上“大酬宾,八折优惠”.经顾客投诉后,执法部门按已得非法收入的10倍处以每台2700元的罚款.求每台彩电的价格.17.甲现有的练习本比乙现有的练习本的2倍还多8本,如果甲把自己的练习本的三分之一送给乙,那么甲将比乙少4本,问甲.乙两人现有练习本各几本?18.本市中学生足球赛中,某队共参加了8场比赛,保持不败的记录,积18分.记分规则是:胜一场得3分,平一场得1分,负一场得0分.你知道这个胜了几场?又平了几场吗?19. 3月12日是植树节,某校在植树活动中种了杨树和杉树两类树种,已知种植杨树的棵数比总数的一半多56棵,杉树的棵数比总数的三分之一少14棵.两类树种各种了多少棵?20.某城市按以下规定收取煤气费:用煤气如果不超过60立方米,按每立方米0.8元收费;如果超过60立方米,超过部分按每立方米1.2元收费.已知小明家2月份的煤气费平均每立方米0.88元,那么他家该月应交煤气费多少元?21.某人承做一批零件,原计划每天做40个,可按期完成任务,由于改进工艺,工作效率提高了20%,结果不但提前了16天完成,而且超额完成了32件,求原来预定几天完成?原计划共做多少零件?22.在一张日历表中,用正方形圈出4个数,这4个数的和可以是78吗?23.下表为某照相馆的价目表,今逢开业周年庆,底片冲洗与照片冲洗皆打八折,小颖带了一卷底片去冲洗相纸为“布纹”的照片若干张,打折后共付了16.8元.请问小颖洗了多少张照片?24.某市的出租车因车型不同,收费标准也不同:A型车的起步价10元,3千米后每千米价为1.2元;B型车的起步价8元,3千米后每千米价为1.4元.(1)如果你要乘坐出租车到20千米处的地方,从节省费用的角度,你应该乘坐哪种型号的出租车?(2)请你计算乘坐A型与B型出租车x(x>3)千米的价差是多少元?25.某学校组织学生春游,如果租用若干辆45座的客车,则有15个人没有座位,如果租用同数量的60座的客车,则多出1辆,其余车恰好坐满,已知租用45座的客车日租金为每辆车250元,60座的客车日租金为300元,问租用哪种客车更合算,租几辆车?26.小明的爸爸与人合写了一本书,稿费通知单的一部分信息如下表:聪明的同学,你能算算这笔稿费所缴的税费率是多少吗?。
(1)和、差、倍、分问题 此问题中常用“多、少、大、小、几分之几”或“增加、减少、缩小”等等词语体现等量关系。
审题时要抓住关键词,确定标准量与比校量,并注意每个词的细微差别。
例:把一些图书分给某班学生阅读,如果每人分3本,则剩余20本;如果每人分4本,则还缺25本.问这个班有多少学生?变式1:某水利工地派48人去挖土和运土,如果每人每天平均挖土5方或运土3方,那么应怎样安排人员,正好能使挖出的土及时运走?变式2:某校组织师生春游,如果只租用45座客车,刚好坐满;如果只租用60座客车,可少租一辆,且余30个座位.请问参加春游的师生共有多少人?(2)等积变形问题 此类问题的关键在“等积”上,是等量关系的所在,必须掌握常见几何图形的面积、体积公式。
“等积变形”是以形状改变而体积不变为前提。
常用等量关系为:①形状面积变了,周长没变;②原体积=变形体积。
例:要锻造一个半径为5cm,高为8cm的圆柱形毛坯,应截取截面半径为4cm的圆钢多长?变式1:直径为30 cm,高为50cm的圆柱形瓶里放满了饮料,现把饮料倒入底面直径为10cm 的圆柱形小杯,刚好倒满30杯,求小杯的高变式2:用一根长为10米的铁丝围成一个长方形,(1)使得长方形的长比宽多1.4米,此时长方形的长、宽各为多少米?(2)使得长方形的长比宽多0.8米,此时长方形的长、宽各为多少米?它所围成的长方形与(1)中所围长方形相比,面积有什么变化?(3)调配问题。
从调配后的数量关系中找等量关系,常见是“和、差、倍、分”关系,要注意调配对象流动的方向和数量。
常见题型有:①既有调入又有调出;②只有调入没有调出,调入部分变化,其余不变;③只有调出没有调入,调出部分变化,其余不变。
例:甲、乙两个仓库要向A、B两地运送水泥,已知甲仓库可调100吨水泥乙仓库可调水泥80吨,A地需70吨水泥,B地需 110吨水泥,两仓库到A,B两地的路程和运费如下表路程(千米)运费(元/千米.吨)甲仓库乙仓库甲仓库乙仓库A地 20 25 12 12B地 25 20 10 8(1)设甲仓库运往A地水泥x 吨,试用x的一次式表示总运费W?(2)你能确定当甲、乙两仓库各运往A,B多少吨水泥时,总运费461000元?最省的总运费是多少?变式1:甲仓库有存粮120吨,乙仓库有存粮食80吨,现从甲库调部分到乙库,若要求调运后甲库的存粮是乙库的 2/3 ,问应从甲库调多少吨粮食到乙库?变式2:某公司原有职员60名,其中女职员占20%,今年又有几位男职员辞职,公司又补招了3名女职员,女职员的比例提高到25%,问公司离开公司的男职员一共有几人?(4)行程问题。
新,北师大,版,数学,七年级,上册,一元,A.3x+2y,A.3x+2y=0 B.3+m=10 C.2+=x D.a2=16A.由5÷x=13,可得x=13÷5 B.由5 x=3 x+7,可得5 x+3 x=7A.3x=x+3 B.-x+3=0 C.2x=6 D.5x-2=8A.4(x+1)=x-3(5x-1) B.x+1=12x-(5x-1)A.-2 B.2 C. D.-A.-2 B. C.2 D.-8.小华在某月的月历中圈出几个数,算出这三个数的和是36,那么这个数阵的形式可能是( )A.28元 B.32元 C.36元 D.40元A.28.5cm B.42cm C.21cm D.33.5cm二、填空题:14.若与互为倒数,则x=______.16.一件商品的成本是200元,提高30%后标价,然后打九折销售,则这件商品的利润为______元.18.单项式-3ax+1b4与9a2x-1b4是同类项,则x=______.19.一只轮船在A、B两码头间航行,从A到B顺流需4小时,已知A、B间的路程是80千米,水流速度是2千米/时,则从B返回A用______小时.三、解方程:(1)9-10x=10-9x (2) 2(x+3)-5(1-x)=3(x-1) (3)=+1(4)(5)(6)(1)和、差、倍、分问题此问题中常用“多、少、大、小、几分之几”或“增加、减少、缩小”等等词语体现等量关系。
审题时要抓住关键词,确定标准量与比校量,并注意每个词的细微差别。
例:把一些图书分给某班学生阅读,如果每人分3本,则剩余20本;如果每人分4本,则还缺25本.问这个班有多少学生?变式1:某水利工地派48人去挖土和运土,如果每人每天平均挖土5方或运土3方,那么应怎样安排人员,正好能使挖出的土及时运走?变式2:某校组织师生春游,如果只租用45座客车,刚好坐满;如果只租用60座客车,可少租一辆,且余30个座位.请问参加春游的师生共有多少人?(2)等积变形问题此类问题的关键在“等积”上,是等量关系的所在,必须掌握常见几何图形的面积、体积公式。
1.有一根铁丝,第一次用去了他的一半少1米,第二次用去了剩余铁丝的一半还多1米,结果这根铁丝还剩余2.5米,问这根铁丝原来长多少米?2.将内径为200mm的圆柱形水桶中的满桶水倒入一个内部长\宽\高分别为300mm.300mm.80mm的长方形铁盒中,正好倒满,求圆柱形水桶中的水高?3.列车在中途受阻,耽误了6分钟,然后将时速由原来的每小时40千米提高到每小时50千米,问这样走多少千米,就可以将耽误的时间补上?4.某学校七年级(1)班组织课外活动,准备举行一次羽毛球比赛,去商店购买羽毛球拍和羽毛球,每副球拍25元,每只球2元,甲商店说:"羽毛球及球拍都打9折优惠",乙商店说"买一副球拍赠送2只羽毛球,(1)学校准备花90元钱全部用于买2副羽毛球拍及羽毛球若干只,问到哪家商店购买更合算?(2)若必须买2副羽毛球拍,则应当买多少只羽毛球时到两家商店才一样合算?5.甲\乙\丙三位同学向贫困地区的少年儿童捐赠图书,已知这三位同学捐赠图书的册数的比是5:6:9 ,如果甲\丙两位同学捐书册数的和是乙捐书册数的2倍还多12册,那么他们各捐书多少:6.为节约能源,某单位按以下规定收取每月电费:用电不超过140度,按每度0.43元收费;如果超过140度,超过部分按每度0.57元收费.若墨用电户四月费的电费平均每度0.5元,问该用电户四月份应缴电费多少元?7.某大商场家电部送货人员与销售人员人数之比为1:8.今年夏天由于家电购买量明显增多,家电部经理从销售人员中抽调了22人去送货.结果送货人员与销售人数之比为2:5.求这个商场家电部原来各有多少名送货人员和销售人员?8.现对某商品降价10%促销,为了使销售金额不变,销售量要比按原价销售时增加百分之几?9.甲.乙两种商品的原单价和为100元,因市场变化,甲商品降10%,乙商品提价5%调价后两商品的单价和比原单价和提高2%,甲.乙两商品原单价各是多少/10.甲车间人数比乙车间人数的4/5少30人,如果从乙车间调10人到甲车间去,那么甲车间的人数就是乙车间的3/4.求原来每个车间的人数.11.甲骑自行车从A地到B地,乙骑自行车从B地到A地,两人都均速前进,以知两人在上午8时同时出发,到上午10时,两人还相距36千米,到中午12时,两人又相距36千米,求A.B两地间的路程?(列方程)12.甲、乙两车长度均为180米,若两列车相对行驶,从车头相遇到车尾离开共12秒;若同向行驶,从甲车头遇到乙车尾,到甲车尾超过乙车头需60秒,车的速度不变,求甲、乙两车的速度.13.两根同样长的蜡烛,粗的可燃3小时,细的可燃8/3小时,停电时,同时点燃两根蜡烛,来电时同时吹灭,粗的是细的长度的2倍,求停电的时间.14.某工厂今年共生产某种机器2300台,与去年相比,上半年增加25%,下半年减少15%,问今年下半年生产了多少台?15.甲骑自行车从A地到B地,乙骑自行车从B地到A地,两人都均速前进,以知两人在上午8时同时出发,到上午10时,两人还相距36千米,到中午12时,两人又相距36千米,求A.B两地间的路程?]16.跑得快的马每天走240里,跑得慢的马每天走150里.慢马先走12天,快马几天可以追上慢马?17.已知5台A型机器一天的产品装满8箱后还剩4个,7台B型机器一天的产品装满11箱后还剩1个,每台A型机器比B型机器一天多生产1个产品,求每箱有多少个产品.18.父子二人在同一工厂工作,父亲从家走到工厂要用30分钟,儿子走这段路只需20分钟,父亲比儿子早5分钟动身,问过多少分钟而字能追上父亲?19.要加工200个零件.甲先单独加工了5小时,然后又与乙一起加工了4小时,完成了任务.已知甲每小时比乙多加工2个零件,求甲、乙每小时各加工多少个零件?20.一大桥总长1000米,一列火车从桥上通过,测得火车从开始上桥到完全过桥共用1分钟,整列火车完全在桥上时间为40秒,求火车速度和长度?21.某车间每个工人能生产12个螺栓或18个螺母,每个螺栓要有两个螺母配套,现有共人28人,怎样分配工人数,才能使每天产量刚好配套?22.在若干个小方格中放糖,第1格1粒,第2格2粒,第3格4粒,第4格8粒……如此类推,从几格开始的连续三个中共有448粒?23.要加工200个零件.甲先单独加工了5小时,然后又与乙一起加工了4小时,完成了任务.已知甲每小时比乙多加工2个零件,求甲、乙每小时各加工多少个零件?24.有30位游客,其中10人既不懂汉语又不懂英语,懂英语得比懂汉语的3倍多3人,问懂英语的而不懂汉语的有几人?25.丽丽的妈妈到百盛商场给她买一件漂亮毛衣,售货员说:“这毛衣前两天打八折,今天又在八折的基础上降价10%,只卖144元,丽丽很快算出了这件毛衣的原标价,你知道是多少元吗?26.一种商品,甲提出按原价降低10元后卖掉,用售价的10%作积累;乙提出将原价降低20元卖掉,用售价的20%仍做积累,经测算两种积累一样多.则这种商品的原价是多少?27.某种商品因换季准备打折出售,如果按定价的七五折出售,将赔25元,而按定价的九折出售,将赚20元,这种商品的定价为多少元?28.某商品的进价是2000元,标价为3000元,商店要求以利润率不低于5%的售价打折出售,售货员最低可以打几折出售此商品?29.某服装商店以135元的价格售出两件衣服,按成本计算,第一件盈利25 %,第二件亏损25 %,则该商店卖这两件衣服总体上是赚了,还是亏了?这二件衣服的成本价会一样吗?算一算30.某厂一车间有64人,二车间有56人。
现因工作需要,要求第一车间人数是第二车间人数的一半。
问需从第一车间调多少人到第二车间?31.甲乙两车间各有工人若干,如果从乙车间调100人到甲车间,那么甲车间的人数是乙车间剩余人数的6倍;如果从甲车间调100人到乙车间,这时两车间的人数相等,求原来甲乙车间的人数。
32.在甲处劳动的有27人,在乙处劳动的有19人.现在另调20人去支援,使在甲处的人数为在乙处的人数的2倍,应调往甲、乙两处各多少人?33.学校分配学生住宿,如果每室住8人,还少12个床位,如果每室住9人,则空出两个房间。
求房间的个数和学生的人数。
34.A、B两地相距150千米。
一辆汽车以每小时50千米的速度从A地出发,另一辆汽车以每小时40千米的速度从B地出发,两车同时出发,相向而行,问经过几小时,两车相距30千米?35.甲、乙两人练习100米赛跑,甲每秒跑7米,乙每秒跑6.5米,如果甲让乙先跑1秒,那么甲经过几秒可以追上乙?36.一架飞机飞行在两个城市之间,顺风要2小时45分,逆风要3小时,已知风速是20千米/小时,则两城市间的距离为多少?37.一列火车以每分钟1千米的速度通过一座长400米的桥,用了半分钟,则火车本身的长度为多少米?38.火车用26秒的时间通过一个长256米的隧道(即从车头进入入口到车尾离开出口),这列火车又以16秒的时间通过了长96米的隧道,求列车的长度。
39.一件工程,甲、乙、丙队单独做各需10天、12天、15天才能完成,现在计划开工7天完成,乙、丙先合做3天,乙队因事离去,由甲队代替,在各队工作效率都不变的情况下,能否按计划完成此工程?40.水池有一个进水管,6小时可注满空池,池底有一个出水管,8小时可放完满池的水,如果同时打开进水管和出水管,那么多少小时可以把空池注满?41.某地下管道由甲队单独铺设需要3天完成,乙队单独铺设要5天完成,甲队铺设了1/5的工作量后,为了加快进度,乙队加入,从另一端铺设,问管道铺好,乙队做了多少天?42.一件工程,甲、乙、丙队单独做各需10天、12天、15天才能完成,现在计划开工7天完成,乙、丙先合做3天,乙队因事离去,由甲队代替,在各队工作效率都不变的情况下,能否按计划完成此工程43.将一批工业最新动态信息输入管理储存网络,甲独做需6小时,乙独做需4小时,甲先做30分钟,然后甲、乙一起做,则甲、乙一起做还需多少小时才能完成工作?44.兄弟二人今年分别为15岁和9岁,多少年后兄的年龄是弟的年龄的2倍?45.将一个装满水的内部长、宽、高分别为300毫米,300毫米和80•毫米的长方体铁盒中的水,倒入一个内径为200毫米的圆柱形水桶中,正好倒满,求圆柱形水桶的高(精确到0.1毫米, ≈3.14).46.有一火车以每分钟600米的速度要过完第一、第二两座铁桥,过第二铁桥比过第一铁桥需多5秒,又知第二铁桥的长度比第一铁桥长度的2倍短50米,试求各铁桥的长.47.有某种三色冰淇淋50克,咖啡色、红色和白色配料的比是2:3:5,•这种三色冰淇淋中咖啡色、红色和白色配料分别是多少克?48.某车间有16名工人,每人每天可加工甲种零件5个或乙种零件4个.在这16名工人中,一部分人加工甲种零件,其余的加工乙种零件.•已知每加工一个甲种零件可获利16元,每加工一个乙种零件可获利24元.若此车间一共获利1440元,•求这一天有几个工人加工甲种零件.49.某地区居民生活用电基本价格为每千瓦时0.40元,若每月用电量超过a千瓦时,则超过部分按基本电价的70%收费.(1)某户八月份用电84千瓦时,共交电费30.72元,求a.(2)若该用户九月份的平均电费为0.36元,则九月份共用电多少千瓦?•应交电费是多少元?50.一块正方形铁皮,四角截去4个一样的小正方形,折成底面边长是50cm的无盖长方体cm.求原来正方形铁皮的边长。
盒子,容积是45000351.用直径为4cm的圆钢,锻造一个重0.62kg的零件毛坯,如果这种钢每立方厘米重7.8g,应截圆钢多长?52.把直径6cm,长16cm的圆钢锻造成半径为4cm的圆钢。
求锻造后的圆钢的长。
53.鱼儿离不开水,用一个底面半径为20厘米,高为45厘米的圆柱形的塑料桶给一个长方形的玻璃养鱼缸倒水,养鱼缸的长为120厘米、宽为40厘米、高为1米,将满满一桶水倒下去,鱼缸里的水会升高多少?54.直径为30厘米,高为50厘米的圆柱形瓶里存满了饮料,现把饮料倒入底面直径为10厘米的圆柱形小杯中,刚好倒满20杯,求小杯子的高。
55.为节约能源,某单位按以下规定收取每月电费:用电不超过140度,按每度0.43元收费;如果超过140度,超过部分按每度0.57元收费。
若墨用电户四月费的电费平均每度0.5元,问该用电户四月份应缴电费多少元?56.某大商场家电部送货人员与销售人员人数之比为1:8。
今年夏天由于家电购买量明显增多,家电部经理从销售人员中抽调了22人去送货。
结果送货人员与销售人数之比为2:5。
求这个商场家电部原来各有多少名送货人员和销售人员?57.某大商场家电部送货人员与销售人员人数之比为1:8。
今年夏天由于家电购买量明显增多,家电部经理从销售人员中抽调了22人去送货。