中外金属材料对照表
- 格式:pdf
- 大小:242.37 KB
- 文档页数:24
中 国英 国日 本法 国德 国原苏联GB (YB )AISI SAEB.S.JIS NFDIM(ГOCT)碳素结8EN2A/1S9CK 8构钢08FEN2A/1SPCH108КП10EN2A S10C XC10C10,CK101010FEN2ASPH210КП15EN2E S15C XC12C15,CK151515F EN2B 15КП20EN3A S20C XC18C20,C222020F EN2C SPH320КП30EN4S30CXC323045C10121010EN8S45C XC45C45,CK4545C10101010C10151015C10201020C10201020C10301030C10451045合金结15Mn C11151115En14A SB46XC1214Mn414Г构钢20MnC10221022En3C,4S21—XC18—20Г30MnC10331033En5D,En5K —XC32—30Г50MnC10521052En43A,En 43B,En43—XC48—50Г1006分类美 国1008常用金属材料中外牌号对照1.黑色金属材料牌号对照(表8—65)表8—65 黑色金属材料牌号对照20Mn2En41A,S92,S514——20Mn520Г23T35,3T4530Mn2S92,S514,3T35,3T45—32M530Mn530Г240Mn2~En15A—40M5—40Г250Mn2~55M5—50Г220MnV ———20MnV6—42MnV ———42MnV7—15Cr ~En206SCr2112C315Cr315X 20Cr En207SCr2218C320Cr420X 40Cr En18,S117SCr438C441Cr440X 50CrEn48———50X5115中 国英 国日 本法 国德 国原苏联GB (YB )AISI SAEB.S.JIS NF DIM (ГOCT)合金结15CrMn——16MC516MCr515X Г,18X Г构钢20CrMn ——20MC520MCr520X Г40CrMn ————40X Г25CrMnSi ————25X ГC 30CrMnSi————30X ГC13,201,321—13301340分类美 国—51205140—————(续)51,505,15235CrMnSiA————35XГCA 20CrV22CrV420Xф40CrV42CrV440XфA 45CrV En5018CrMnTi18XГT 30CrMnTi30XГT 40CrMnTi40XГT12CrMo1501-620CrB12CD413CrMo4412XM20CrMo CDS12,CDS110SCM2218CD420CrMo520ХM 30CrMo SCM230ХM 35CrMo En19B SCM3 35CD434CrMo435ХM22CrMnMo40CrMnMoEn19C18XГM24CrMoV24CrMoV5538XГM,40XГM35CrMoV35CrMoV535XMфA30Cr2MoV En40C,S10630CD1230CrMoV9~25X2Mф25Cr2Mo1VA ~25X2Mф30Cr2Ni2 WVA 30X2HBфA38CrMoAlAEn41B SACMI45CAD6-1234CrAlMo538XMЮA ~411938CrWVAlAEn40C38 XBфЮA 61206140—61454118 411938CrAlA 34CrAl 38X ЮAE4132E4135中 国英 国日 本法 国德 国原苏联GB (YB )AISI SAEB.S.JIS NF DIM (ГOCT)12CrNi2ASNC2116NC1114NiCr1012XH2A 12CrNi3A En36A,En36B SNC2214NC1214NiCr1412XH3A 12Cr2Ni4A En39A,En 39B12NC1512X2H4A30CrNi3A SNC230NC1128NiCr1030XH3A37CrNi3A 37XH3A18Cr2Ni4WA18XHBA 40CrNiW 40CrHBA 30Cr2Ni2WVA30X2H2B фA40CrNiMo A En110,S95,S118SNCM835NCD536CrNiMo 440XHMA40B45B40MnB45MnB20CrMnB 20X ГP40CrMnB 40X ГP65En43E SUP2,SW R7XC65CK676575SUP3,SW R9~XC70,XC80C75,MK757560Mn En43J 60Г60SiMnEn45ASUP660SiMn660C Г4130~411941406470E(AMS)分类美 国合金结构钢E3310,3310,3310H 2515,2515H 3435~TS14B35H ~TS14B50H 50B2050B40H4340~TS14B3550B46H C10651065(续)65Mn En43E65Г50Si2Mn ~45S751Si750C2106055Si2MnEn45,142955S655Si755C2C1065106550CrVAEn47SUP1050CV450CrV450X фAT7A XC65 fins C70W1у7A T8D1SKU3XC85coura ntsC85W2у8XC85 fins T8AXC85 fins C85W1у8A T10D1SK3XC95finsC100W2у10中 国英 国日 本法 国德 国原苏联GB (YB )AISI SAE B.S.JISNF DIM (ГOCT)碳素工T10A XC95extra -fins C100W1у10A 具钢T12D1SK2,SKU2XC120fins C115W2у12T12A XC120extr a-fins C110W1у12A T8MnA SK5C85WSу8ГA 合金工9Mn2V 80M890MnV8具钢6SiCr 64SiCr56XC 9SiCr 90CrSi59XC 4SiCrV 45SiCrV64XC Cr2100C6105Cr5X Cr06SKS8110Cr2X05Cr12Steel for clod SKD1Z200C12X210Cr12X12working AlCrMn80M8145Cr6X Г5CrMnMo SKT555NCD7-0340CrMnM o75X ГM 5CrNiMo SKT465NCDV06-0255NiCrMo V65XHMCrWS SKS1120WC45-02X130W5XB5Cr12WSKD 2~X210CrW 123Cr2W8V AlW-Cr SKD5Z30WC09-03X30WCrV 9-33X2B8CrWMnSteel for clod SKS3180M8105WCr6working CXB Г5CrW2Si SKS41~45WC20-405XB2CCr12MoV Type (A)2SKD11Z200C12X165CrMoV12X12MWSKU8100WC15-04~120W4B1弹簧钢1074926092556150碳素工具钢W1-0.8C W1-0.8C-Special W1-1.0CW1-1.2C- Special2分类美 国W1-1.0C-Special W1-1.2C L4V1G(AMS)L1D3L6D 6~H21F1(续)W2SKS7115W8B2W9Cr4V2(A)14%W SKH6Z70WD12ABCP9W18Cr4V (A)18%W SKH2Z80W18S18-0-1,B18P18,P ф1W12Cr4V 4MoZ125WV,15-W S112-1-4,EV4P9ф5,P14ф4W6Mo5Cr4V2SKH93343W2Mn9Cr 4VCo8中 国英 国日 本法 国德 国原苏联GB (YB )AISI SAE B.S.JIS NFDIM(ГOCT)1Cr17Mn6Ni5NSUS20112X17Г9AH41Cr18Mn8Ni4284S16SUS20212X17Г9AH42Cr13Mn9Ni420X13H4Г91Cr17Ni7301S21SUS301Z12CN17.071Cr17Ni8SUS301JI X12CrNi1771Cr18Ni9302S25SUS302Z10CN18.09X12CrNi18812X18H91Cr18Ni9S i3SUS302B 0Cr19Ni9304S15SUS304Z6CN18.0X5CrNi1808X18H1000Cr9Ni11304S12SUS304L Z2CN18.0X2CrNi1803X18H110Cr19Ni9SUS304N10Cr19Ni10NbNSUS304N200Cr18Ni10N SUS304LN Z2CN18.10NX2CrNiN18101Cr18Ni12305S19SUS305Z18CN18.12X5CrNi181112X18H12T0Cr23Ni13SUS309S 0Cr25Ni20SUS310S0Cr17Ni12Mo2316S16SUS316Z6CND17.12X5CrNiMo 181008X17H13M2T00Cr17Ni14Mo2316S12SUS316L Z2CND17.12X2CrNiMo 181003X17H13M20Cr17Ni12Mo2N SUS316N00Cr17Ni13Mo2N SUS316LN Z2CND17.12NX2CrNiMo N18120Cr18Ni12Mo2Ti 320S17Z6CNDT17-12X10CrNiM oTi181008X17H13M2T1Cr18Ni12Mo2Ti 10X17H13M2T 0Cr18Ni12Mo2Cu2SUS316JI 00Cr18Ni14Mo2Cu2SUS316JIL高速钢T7T1M2M42分类美 国 锈201,S2*******,S2*******,S3*******B,S3*******,S3*******L,S0*******N,S30451XM21,S30452305,S30500301,S3*******S,S3*******S,S3*******,S3*******L,S31603(续)316N,S316510Cr18Ni12Mo3Ti Z6CNDT17-1308X17H15M3T1Cr18Ni12Mo3Ti 10X17H13M3T0Cr19Ni13Mo3317S16SUS31708X17H15M3T00Cr19Ni13Mo3317S12SUS317LZ2CND19.15X2CrNiMo 181603X16H15M3中 国英 国日 本法 国德 国原苏联GB (YB )AISI SAEB.S.JIS NFDIM(ГOCT)0Cr18Ni16Mo5SUS317JI0Cr18Ni11Ti321S20SUS321Z6CNT18.10X10CrNiTi 18908X18H10T1Cr18Ni9T iX10CrNiTi 18912X18H10T0Cr18Ni11N6347S17SUS347Z6CNNb18.10X10CrNiN b18908X18H12T 0Cr18Ni13Si4SUSXM15JI00Cr18Ni5Mo3Si21Cr18Ni11Si4AlTi 15X18H12-C4T101Cr21Ni5T 1X21H5T0Cr21Ni5Mo2SUS329JI 0Cr13Al 405S17SUS405Z6CA13X7CrA11300Cr12SUS410L 1Cr15SUS4291Cr17430S15SUS430Z8C17X8Cr1712X1700Cr17434S19SUS430LX 1Cr17Mo SUS434Z8CD17.0X6CrMo1700Cr17Mo SUS436L 00Cr18Mo 2SUS44400Cr30Mo 2SUS447J100Cr27Mo SUSXM27Z01CD26.1Cr12403S17SUS4031Cr13410S21SUS410Z12C13X10Cr1312X130Cr13SUS410S Z6C13X7Cr1308X132Cr13420S37SUS420J1Z20C13X20Cr1320X133Cr13420S45SUS420J230X133Cr16SUS429J1分中 国美 国英 国日 本法 国德 国原苏联不 锈 钢分类美 国317,S3*******L,S31703405,S4*******,S4*******,S43000不 锈 钢321,S32100347,S34700XM15,S38100XM27,S4*******,S40300410434,S4340018Cr2Mo410S,S4*******,S42000(续)2.有色金属材料牌号对照(表8—66)表8—66 有色金属材料牌号对照类GB(YB)ASTM,(SAE) B.S.JIS NF DIMГOCT工1070A10801A A1080A00业106010,701,060A1070(A199.6)A0纯1050A EC10501B A105A5A199.5A1铝10351030AД1 120011001C A1100A4A99A2 8A061200A1200AД防5040Д12锈5A025052N4A-5052A-G2AlMg2AMГ铝5A035154N5A-5154A-G3AlMg3AMГ3 5A055056N6A-5056A-G5AlMg5AMГ55A06AMГ6N7AMГ75056N6A-5056A-G5AlMg5AMГ5П5356AMГ5B 3A213003N3A-3003A-M1AlMn AMЦ硬2A012117L86A2117A-U2G AlCuMg0.5Д18П铝2A02BД17Д3П2A04Д19П2A06Д19Д2 2B112017A2017A-U4G AlCuMg1Д1П2B122024H14A2024A-U4G1AlCuMg2Д16П2A10B652A112017DTD A2017A-U4G AlCuMg1Д12A122024A2024A-U4G1AlCuMg2Д162A13AM42A162219A-U6MTД202A172021Д21锻6063H9A6063A-GS AlMgSi0.5AЛД铝6A026061H20A6061AlMgSiCu AB 2A50AK62B50H11AK6-12618H16A2N01A-U2GN AK4-1 2A80A-U2N AK42A902018A2018A-U4N AK22A142014H15A2014A-U4SG AlCuSiMg AK8超7A03B94硬7A047075A7075A-Z5GU AlZnMg1.5B95铝7076B95-17049A-Z8GU B967A097075A7075A-Z5GU AlZnMgC u1.5变MB1AIMIA DTD737,142,118MA1形MB2AZ31C MAG111M1MgAl3Zn MA2镁MB3MA2-1合MB4AZ61A MAG121M2MgAl6Zn MA3金MB6MA4 MB7A280X88B AZ61A MgAl7Zn MA5MB8AZ80A AM537MA8MB15AK60A DTD5031,5041AK60A BM65-1工TA1Ti-35A IMI115KS50BT1-0业TA2Ti-50A IMI125KS60BT1-1纯TA3Ti-65A IMI135KS85BT1-2钛钛TA4Ti-2Al48-T2合TA548-OT3金TA6BT5 TA7Ti-5Al-2Sn IMIB6KS115AS BT5-1TA8BT10TB1BT15钛TB2合TC1IMI315OT4-1金TC2OT4 TC3BT6CTC4Ti-6A-4V IMI137T-A6V BT6TC5BT3TC6BT3-1TC7AT6TC8BT8TC9BT9TC10Ti-6A-6V-2SnT-A6V6Sn2T3M2 T4M3 TU1101EOFCuP MB1 TU2102C103OF-CuP MB2黄H90220DTD713,CZ101RBs2Ms90Л90铜H80240DTD711,CZ103RBs4Ms80Л80H70260CZ106BsP1Ms70Л70H62280CZ119Bs3Л62 HPb63-3353216Ms63PЛC63-3 HPb59-1CZ111PbBs13Ms58ЛC59-1 HSn70-1443CZ112BsTF1SoMs71ЛO70-1 HSn62-1462NbsBE1ЛO62-1HAl60-1-1ЛAЖ60-1-1HMn58-2ЛMЦ58-2HFe59-1-1ЛЖМЦ59-1-1青QSn4-3MSnBZ4БРОЦ4-3铜QSn4-4-4B139BZ BC6MSnBZ4PbБРОЦC4-4-4QSn6.5-0.1B139,B159407-3SnBZ6БРОФ6.5-0.15QSn6.5-0.4519PBB2БРОФ6.5-0.4QSn7-0.2БРОФ7-0.2铜QAl9-2БРAMЦ9-2QAl9-4AB1БРAЖ9-4QAl10-3-1.5БРAЖM Ц10-3-1.5QAl10-4-4AMS46402033AB5NiAlBZ БРAЖH10-4-4QBe2172BeCu2БРБ2QBe1.7170BeCuP1БРБHT1.7QBe1.9БРБHT1.9序号中日板材类别日本标准牌号备注SPCSPCC普通用途冷轧板或带SPCD拉深用深拉深用SPCEN深拉深用(无时效)SPHSPHC普通用途热轧钢板(带)SPHD拉深用SPHE深拉深用冷轧不锈钢板(带)SUS××CP(SUS××CS)××为具体钢种代号数热轧不锈钢板(带)SUS××HP(SUS××HS)字(下同)SPGSPG1一般用途SPG2弯曲加工用SPG3拉深用SPG4结构件用SPTSPTE电镀锡板SPTE-D差后电镀锡板1冷轧薄钢板2热轧薄钢板(带)表8—67 中日板(带)材表示方法对照34镀锌薄钢板5镀锡薄钢板3. 中日板(带)材表示方法对照(表8—67)SPTH 热电镀锡板冷轧电工钢板S ××热轧电工钢板S ××F 铝板A ××P 铝带A ××R-0材软质-硬H 材硬-硬H 材铝板-硬质铝带H 材冷轧后自然时效-H 材-R 材铜板(带)纯铜板(带)RBSP (RBSR )黄铜板(带)BSP (BSR )磷青铜板(带)PBP (PBR )锌白铜板(带)NSP (NSR )白铜板(带)CNP (CNR )9钛板TP 678板。
常用金属材料七国牌号对照表常用金属材料七国牌号对照表材料对照表材料对照表(不锈钢)工件材料组加工特性组国家和标准德国中国英国法国意大利比利时瑞典西班牙日本美国材料编号 DIN GB BS EN AFNOR UNI NBN SS UNE JIS AISI/SAE ====================================== ========================================= ==============================12/13 1.4000/X6Cr13 0Cr13;1Cr12 403S17 Z6C13 X6Cr13 2301 F.3110 SUS403 40312/13 1.4001/X7Cr14 - - - - - - F.8401 - -12/13 1.4006/X10Cr13 1Cr13 410S21/56A Z10C14 X12Cr13 2302 F.3401 SUS410 41012/13 1.4016/X6Cr17 1Cr17 430S15/60 Z8C17 X8Cr17 220 - F.3113 SUS430 43012/13 1.4021/X20Cr13 2Cr13 S62/56B/56C Z20C13 X20C13 - - F.3401 SUS410 41012/13 1.4027/G-X20Cr14 - 420C29/56B Z20C13M - - - - SCS2 -12/13 1.4034/X46Cr13 4Cr13 420S45/56D Z40CM/Z38C13M X40Cr14 - 2304 F.3405 SUS420J2 -12/13 1.4057/X20CrNi172 1Cr17Ni2 431S29/57 Z15CNi6.02 X16CNi16 - 2321 F.3427 SUS431 43112/13 1.4104/X12CrMoS17 Y1Cr17 - Z10CF17 X10CrS17 - 2383 F.3117 SUS430F 430F12/13 1.4113/X6CrMo171 1Cr17Mo 434S17 Z8CD17.01 X8CrMo17 - 2325 - SUS434 43412/13 1.4313/X5CrNi134 - 425C11 Z4CND13.4M - - - - SCS5 -12/13 1.4408/G-X6CrNiMo1810 - 316C16 - - - - F.8414 SCS14 -12/13 1.4718/X45CrSi93 4Cr9Si2 401S45/52 Z45CS9 X45CrSi8 - - F.322 SUH1 HW312/13 1.4724/X10CrAl13 0Cr13Al 403S17 Z10C13 X10CrAl12 - - F.311 SUS405 40512 1.4742/X10CrAl18 Cr17 430S15/60 Z10CAS18 X8Cr17 - -F.3113 SUS430 43012/13 1.4757/X80CrNiSi20 8Cr20Si2Ni 443S65/59 Z80CSN20.02 X80CrSiNi20 - - F.320V SUH4 HNV612 1.4762/X10CrAl24 2Cr25N - Z10CAS24 X16Cr26 - 2322 - SUH446 446M/14 1.4301/X5CrNi1810 0Cr18Ni9 304S15/58E Z6CN18.09 X5CrNi1810 - 2332 F.3551;F.3541;F.3504 SUS304 30414 1.4305/X10CrNiS189 1Cr18Ni9MoZr 303S21/58M Z10CNF18.09 X10CrNiS18.09 - 2346 F.3508 SUS303 30314 1.4306/X2CrNi1911 0Cr19Ni10 304S12 Z2CN18.10X2CrNi18.11 - 2352 F.3503 SCS19 304L14 1.4308/G-X6CrNi189 - 304C15 Z6CN18.10M - - - - SCS13 -14 1.4310/X12CrNi177 Cr17Ni7 - Z12CN17.07 X12CrNi1707 - 2331 F.3517 SUS301 30114 1.4311/X2CrNiN1810 - 304S62 Z2CN18.10 - - 2371 - SUS304LN 304LN14 1.4350/X5CrNi189 0Cr19Ni9 304S31/58E Z6CN18.09 X5CrNi1810 - - - SUS304 30414 1.4401/X5CrNiMo1712 0Cr17Ni11Mo2 316S16 Z6CND17.11 X5CrNiMo1712 - 2347 F.3543 SUS316 31614 1.4429/X2CrNiMoN17133 00Cr17Ni13Mo2 - Z2CND17.13 - - 2375 - SUS316LN 316LN14 1.4435/X2CrNiMo18143 0Cr27Ni12Mo3 316S12 Z2CDN17.13 X2CrNiMo1713 - 2353 - SCS16 316L14 1.4438/X2CrNiMo17133 00Cr19Ni13Mo3 317S12 Z2CND19.15 X2CrNiMo18.16 - 2367 - SUS317L 317L14 1.4460/X8CrNiMo275 - - - - - 2324 - SUS329L;SCH11;SCS11 329L12/13 1.4541/X6CrNiTi1810 1Cr18Ni9Ti 321S12/58B Z6CNT18.10 X6CrNiTi1811 F.3553 SUS321 32112/13 1.4550/X6CrNiNb1810 1Cr18Ni11Nb 347S17/58F Z6CNNb18.1 X6CrNiTi1811 - 2338 F.3552 SUS347 347 12/13 1.4571 X6CrNiMoTi17122 Cr18Ni12Mo2Ti 320S17/58J Z6NDT17.12 X6CrNiMoTi17 - 2350 F.3535 - 316Ti12/13 1.4581/G-X5CrNiMoNb1810 - 318C7 Z4CNDNb1812M XG8CrNiMo18 - - - SCS22 -12/13 1.4583/X10CrNiMoNb1812 Cr17Ni12Mo3Nb - Z6CNDNb1713B X6CrNiMoTiNb17 - - - - 31814 1.4828/X15CrNiSi2012 1Cr23Ni13 309S24 Z15CNS20.1 - - - - SUH309 30914 1.4845/X12CrNi2521 0Cr25Ni20 310S24 Z12CN2520X6CrNi2520 - 2361 F.331 SUH310 310S14 1.4864/X12NiCrSi3616 Cr15Ni36W3Ti - Z12CNS35.1 - - - - SUH330 33014 1.4865/G-X40NiCrSi3818 - 330C11 - XG50NiCr3919 - - - SCH15 -14 1.4871/X53CrMnNiN219 5Cr2Mn9Ni4N 349S54/321S12/58B Z52CMN21.0 X53CrMnNiN219 - - - SUH35 EV814 1.4878/X12CrNiTi189 1Cr18Ni9Ti 321S320/58C Z6CNT18.12 X6CrNiTi1811 - - F.3523 SU321 321材料对照表(结构钢)工件材料组加工特性组国家和标准德国中国英国法国意大利比利时瑞典西班牙日本美国材料编号 DIN GB BS EN AFNOR UNI NBN SS UNE JIS AISI/SAE P 1 1.0401 C15 15 080M15 - CC12 C15C16 - 1350 F.111 - 10151 1.0402 C22 20 050A20 2C CC20 C20C21 C25-1 1450 F.112 - 10201/2 1.0501 C35 35 060A35 - CC35 C35 C35-1 1550 F.113 - 10352 1.0503 C45 45 080M40 - CC45 C45 C45-1 1650 F.114 - 10452/3 1.0535 C55 55 070M55 - - C55 C55-1 1655 - - 10553 1.0601 C60 60 080A62 43D CC55 C60 C60-1 - - - 10601 1.7015 9SMn28 Y15 230M07 - S250 CF9SMn28 - 1912 11SMn28 SUM22 12131 1.0718 9SMnPb28 - - - S250Pb CF9MnPb28 - 1914 11SMnPb28 SUM22L 12L131 1.0722 10SPb20 - - - 10PbF2 CF10Pb20 - - 10SPb20 - -2 1.0726 35S20 - 212M36 8M 35MF4 - - 1957 F210G - 11401/2 1.0736 9SMn36 Y13 240M07 1B S300 CF9SMn36 - - 12SMn35 - 12151/2 1.0737 9SMnPb36 - - - S300Pb CF9SMnPb36 - 1926 12SMnP35 - 12L142/3 1.0904 55Si9 55Si2Mn 250A53 45 55S7 55Si8 55Si7 2085 56Si7 - 92552/3 1.0961 60SiCr7 - - - 60SC7 60SiCr8 60SiCr8 - 60SiCr8 - 92621 1.1141 Ck15 15 080M15 32C XC12 C16 C16-2 1370 C15K S15C 10152 1.1157 40Mn4 40Mn 150M36 15 35M5 - - - - - 10391/2 1.1158 Ck25 25 - - - - C25-2 - - S25C 10252/3 1.1167 36Mn5 35Mn2 - - 40Mn5 - - 2120 36Mn5 SMn438(H) 13352/3 1.1170 28Mn6 30Mn 150M28 14A 20M5 C28Mn 28Mn6 - - SCMn1 13302/3 1.1183 Cf35 35Mn 060A35 - XS38TS C36 C36 1572 - S35C 10352/3 1.1191 45 Ck45 080M46 - XC42 C45 C45-2 1672 C45K S45C 10452/3 1.1203 Ck55 55 070M55 - XC45 C50 C55-2 - C55K S55C 10553/4 1.1213 Cf53 50 060A52 - XC48TS C53 C53 1674 - S50C 10503/4 1.1221 Ck60 60Mn 080A62 43D XC60 C60 C60-2 1678 - S58C 10609 1.1274 Ck101 - 060A96 - - - - 1870 - SUP4 109510 1.3401 X120Mn12 - Z120M12 - X120M12 XG120Mn12 - - X120Mn12 SCMnH/1 -9 1.3505 100Cr6 Gr15;45Gr 534A99 31 100C6 100Cr6 - 2258F.131 SUJ2 521009 1.5415 15Mo3 - 1501-240 - 15D3 16Mo3KW 16Mo3 2912 16Mo3 - ASTM A20Gr.A8 1.5426 16Mo5 - 1503-245-420 - - 16Mo5 16Mo5 - 16Mo5 - 45205 1.5622 14Ni6 - - - 16N6 14Ni6 18Ni6 - 15Ni6 - ASTM A350LF59 1.5662 X8Ni9 - 1501-509;510 - - X10Ni9 10Ni36 - XBNi09 - ASTM A3539 1.5680 12Ni19 - - - Z18N5 - 12Ni20 - - - 25156 1.5710 36NiCr6 - 640A35 111A 35NC6 - - - - SNC236 31356 1.5732 14NiCr10 - - - 14NC11 16NiCr11 - - 15NiCr11 SNC415(H) 34156 1.5752 14NiCr14 - 655M13;655A12 36A 12NC15 - 13NiCr12 - - SNC815(H) 3415;33106 1.6511 36CrNiMo4 - 816M40 110 40NCD3 38CrNiMo4(KB) - - 35CrNiMo4 - 98406 1.6523 21NiCrMo2 - 850M20 362 20NCD2 20NiCrMo2 - 2503 20NiCrMo2 SNCCM220(H) 86206 1.6546 40NiCrMo2 - 311-Type7 - - 40NiCrMo2(KB) 40NiCrMo2 - 40NiCrMo2 SNC240 87406 1.6582 34CrNiMo6 40CrNiMoA 817M40 24 35NCD6 35CrNiMo6(KB) 35CrNiMo6 2541 - - 43406 1.6587 17CrNiMo6 - 820A16 - 18NCD6 - 17CrNiMo7 - 14CrNiMo13 - -2 1.7015 15Cr3 15Cr 523M15 - 12C3 - 15Cr2 - - SCr415(H)50156 1.7033 34Cr4 35Cr 530A32 18B 32C4 34Cr4(KB) 34Cr4 - 35Cr4 SCr430(H) 51326 1.7035 41Cr4 40Cr 530M40 18 42C4 41Cr4 42Cr4 - 42Cr4 SCr440(H) 51406 1.7045 42Cr4 40Cr - - - - - 2245 42Cr4 SCr440 51406 1.7131 16MnCr15 18CrMn (527M20) - 16MC5 16MnCr15 16MnCr15 2511 16MnCr15 - 51156 1.7176 55Cr3 20CrMn 527A60 48 55C3 - 55Cr3 - - SUP9(A) 51556 1.7218 25CrMo4 30CrMn 1717CDS110 - 25CD4 25CrMo4(KB) 25CrMo4 2225 55Cr3 SCM420;SCM430 41306 1.7220 34CrMo4 35CrMo 708A37 19B 35CD4 35CrMo4 34CrMo4 2234 34CrMo4 SCM432;SCRRM3 4137;41356 1.7223 41CrMo4 40CrMoA 708M40 19A 42CD4TS 41CrMo4 41CrMo4 2244 41CrMo4 SCM440 4140;41426 1.7225 42CrMo4 42CrMo;42CrMnMo 708M40 19A 42CD4 42CrMo4 42CrMo4 2244 42CrMo4 SCM440(H) 41406 1.7262 15CrMo5 - - - 12CD4 - - 2216 12CrMo4 SCM415(H) -6 1.7335 13CrMo44 - 1501-620Gr.27 - 15CD3.5;15CD4.5 14CrMo44 14CrMo45 - 14CrMo45 - ASTM A182;F11;F126 1.7361 32CrMo12 - 722M24 40B 30CD12 32CrMo12 32CrMo12 2240 F.124.A - -6 1.7380 10CrMo910 - 1501-622Gr.31;45 - 12CD9;1012CrMo9,10 - 2218 TU.H - ASTM A182 F.226 1.7715 14MoV63 - 1503-660-440 - - - 13MoCrV6 - 13MoCrV6 - -7 1.8159 50CrV4 50CrVA 735A50 47 50CV4 50CrV4 50CrV4 2230 51CrV4 SUP10 61509 1.8509 41CrAlMo7 - 905M39 41B 40CAD6,12 41CrAlMo7 41CrAlMo7 2940 41CrAlMo7 - -9 1.8523 39CrMoV139 - 897M39 40C - 36CrMoV12 36CrMoV13 - - - -材料对照表(工具钢)工件材料组加工特性组国家和标准德国中国英国法国意大利比利时瑞典西班牙日本美国材料编号 DIN GB BS EN AFNOR UNI NBN SS UNE JIS AISI/SAE P 6/7 1.1545 C105W1 T10 - - Y1105 C98KU;C100KU - 1880 F.515;F.516 - W.1106/7 1.1663 C125W T12A - - Y2120 C120KU - - (C120) SK2 W.1129 1.2067 100Cr6 CrV;9SiCr BL3 - Y100C6 - - - 100Cr6 - L310/11 1.2080 X210Cr12 Cr12 BD3 - Z200Cr12 X210Cr13KU;X250Cr12KU - - X210Cr12 SKD1 D310/11 1.2344 X40CrMoV51 4Cr5MoVSi BH13 - Z40CDV5 X35CrMoV05KU;X40CrMoV51KU - 2242 X40CrMoV5 SKD61 H1310/11 1.2363 X100CrMoV51 Cr6WV BA2 - Z100CDV5 X100CrMoV51KU - 2260 X100CrMoV5 SKD12 A210/11 1.2419 105WCr6 CrWMo - - 105WC13 10WCr6;107WCr5KU - 2140 105WCr5 SKS31;SKS2;SKS3 -10/11 1.2436 X210CrW12 Cr12W - - - X215CrW121KU - 2312 X210CrW12 SKD2 -10/11 1.2542 45WCrV7 5CrNiMo BS1 - - 45WCrV8KU - 2710 45WCrSi8 - S110/11 1.2581 X30WCrV93;X30WCrV93KU 3Cr2W8V BH21 - Z30WCV9 X28W09KUX30WCrV93KU - - - - -10/11 1.2601 X165CrMoV12 Cr12MoV - - - X165CrMoW12KU - 2310 X160CrMoV12 SKD11 D310/11 1.2713 55NiCrMoV6 5CrNiMo - - 55NCDV7 - - - F.250.S SKT4 L610/11 1.2833 100V1 V BW2 - Y1105V - C98KU;102V2KU - - SKS43 W21010/11 1.3243 S6-5-2-5 W6Mo5Cr4V2Co5 - - Z85WDKCV HS6-5-2-5 - 2723 HS6-5-2-5 SKH55 -10/11 1.3255 S18-1-2-5 W18Cr4VCo5 BT4 - Z80WKCV;10-05-04-01 X78WCo1805KU - - HS18-1-1-5 SKH3 T410/11 1.3343 S6-5-2 W6Mo5Cr4V2 BM2 - Z85WDCV06-05-04-02 X82WMo0605KU - 2722 HS6-5-2 SKH9 M210/11 1.3348 S2-9-2 - - -Z- Z100WCWV09-02-04-02 HS2-9-2 - 2782 HS2-9-2 - M710/11 1.3355 S18-0-1 W18Cr4V BT1 - Z80WCV18-04-01 X75W18KU - - HS18-0-1 SKH2 T110/11 - S6-5-3 W6Mo5Cr4V3 - - - - - - - SKH52 M3 10/11 - - - BM42 - - - - - - SKH59 M42。
前苏联GB YB HB ГOCT ASTM UNS ANSI AA SAEZL101ZL11HZL101AЛ9,AЛ9B A03560A13560356.0A356.0323ZL102ZL7HZL102AЛ2A14130A413.0305ZL104ZL14—AЛ3,AЛ3B ———ZL104ZL10HZL104AЛ4,AЛ4B A03600A13600360.0A360.0309ZL105ZL13HZL105AЛ5A03550C33550355.0C355.0322ZL106——AЛ14B A03280A03281328.0 328.1331ZL107——AЛ-6 AЛ-7B A03190A03191319326ZL108ZL8———ZL109ZL9—AЛ30A03360A03361336.0336.1—ZL110ZL3—AЛ10B ——ZL111——AЛ4мA03541A03540354—前苏联GB YB HB ГOCT ASTM UNS ANSI AA SAE ZL201_HZL-201AЛ9_____HZL-202高纯AЛ9___ZL202ZL1_AЛ12A03600A360.0309ZL203ZL2HZL-203AЛ7A02950295.0B295.038ZL301ZL5HZL-301AЛ8A05200A05202520.0 520.2324 320ZL302ZL6_AЛ22A05140A05141514.0 514.1___HZL-303AЛ13___ZL401ZL15HZL401AцP1___ZL402__AЛ24A07120A071227122.2___HZL-505AЛ11___P10P20P30M10M20K10K15YG6A YG6X制造厂家和商标ISO 国际标准代号中国统一牌号YT15YT14YT5YW1YW2YG6各国铸造铝合金牌号对照(二)铝铜合金铝镁合金铝锌合金注:YB -冶标,HB-航空、航天标准。
碳素结构钢优质碳素结构钢S12C101210121012040A12,050A12,060A12XC1215F040A1515kn15S15C,S15CKC15(1.0401),CK15(1.1141),Cm15(1.1140)101510151015040A15,050A15,060A1515S17C101710171017040A17,050A17,060A17XC1820F040A2020kn20S20C,S20CK 102010201020050A20,060A2020S22C C22(1.0402),CK22(1.1151)102310231023040A22,050A22,060A2225S25C1025,10261025,10261025,1026060A25,080A25XC2525R683/IC25eS28C102910291029060A27,080A2730S30C103010301030060A30,080A30,080M30XC3230R683/IC30eS33C103510351035060A32,080A32CK35(1.1181),Cm35(1.1180)103710371037080A35项目中国GB,YB 日本JIS德国DIN(W-Nr.)美国英国BS法国NF前苏联ГОСТ国际ISOASTM AISI SAE普通含锰量钢组S38C103810381038060A37,080A37XC3840S40C1040,10391040,10391040,1039060A40,080A40,080M4040R683/IC40eS43C1042,10431042,10431042,1043060A42,080A42XC4245S45C C45(1.0503),CK45(1.1191),Cm45(1.1201)1045,10461045,10461045,1046060A47,080A47,080M46XC4545R683/IC45eS48C1045,1046,10491045,1046,10491045,1046,1049060A47,080A47XC48501050,10531050,10531050,1053080M5050R683/IC50e S53C105510551055060A52,080A5255S55C C55(1.0535),CK55(1.1181),Cm55(1.1209)105510551055070M55,060A57,080A57XC5555R683/IC55eCK60(1.1221),Cm60(1.1223)080A62 65106510651065060A67,080A67XC6565 70107010701070060A72,070A72,080A72XC707075107410741074060A78,070A78,080A787580108010801080060A82,080A83XC8080 85108410841084060A86,080A8685项目中国GB,YB 日本JIS德国DIN(W-Nr.)美国英国BS法国NF前苏联ГОСТ国际ISOASTM AISI SAE(2)较高含锰量钢组15Mn17Mn4(1.8044)1016,10191016,10191016,1019080A15,080A1715Г20Mn1021,10221021,10221021,1022080A20,070M20XC1820Г25Mn S28C102610261026070M2625Г30Mn S30C103010301030080A30,080A32XC3230Г35Mn S35C103710371037080A3535Г40Mn S40C40Mn4(1.5038)1039,10401039,10401039,1040080A4040Г碳素工具钢合金结构钢40Mn2Smn443 (SMn3)13401340134040Г245Mn2Smn443 (SMn3)13451345134545Г250Mn2105210521552(1052)50Г(2)硅锰钢组27SiMn27CГ35SiMn37MnSi5(1.5122) 35CГ42SiMn46MnSi4(1.5121) 43CГ15MnV15MnV5(1.5213)(3)锰钒钢组42Mn2V42MnVT(1.5223)(4)铬钢组15Cr SCr415(SCr21)5115511512C315X20Cr SCr240(SCr22)512051205120527A19,527M2018C320X R683/Ⅺ430Cr SCr430(SCr2 )5130,51325130,51325130,5132530A30,530A3232C430X35Cr SCr435(SCr3 )34Cr4(1.7033),37Cr4(1.7034)513551355135530A3638C435X R683/Ⅶ2 40Cr SCr440(SCr4)41Cr4(1.7035) 514051405140530A40,530M4042C440X R683/Ⅶ345Cr SCr445(SCr5)5147,51455147,51455147,514545C445X50Cr51505150515050X (5)铬硅钢组38CrSi38XC40CrSi40XC (6)铬锰钢组38CrMn16MC515XГ,18XГ15CrMn20MnCr4(1.7147) 20MC520XГ40CrMn40XГ项目中国GB,YB 日本JIS德国DIN(W-Nr.)美国英国BS法国NF前苏联ГОСТ国际ISOASTM AISI SAE(7)铬锰硅钢组20CrMnSi20XГC 25CrMnSi25XГC 30CrMnSi30XГC35CrMnSi35XГCA (8)铬钒钢组20CrV22CrV4(1.7513)20Xψ40CrV42CrV6(1.7561)40XψA50CrV SUF1050CrV4(1.8159)615061506150735A5050CV450XψA (9)铬锰钛钢组30CrMnTi30XГT(10)钼钢组16Mo15Mo3(1.5415)16M(11)铬钼钢组12CrMo13CrMo44(1.7335)1501-620Gr·2712CD412XM15CrMo SCM415(SCM21)16CrMo44(1.7337)A387Cr·1212CD415XM20CrMo SCM420(SCM22)25CrMo4(1.7218)18CD420CD420XM30CrMo SCM430(SCM2)34CrMo4(1.7220)41304130413030CD430XM35CrMo SCM435(SCM3)34CrMo4(1.7220)413541354135708A3735CD435XM R683/Ⅱ242CrMo SCM440(SCM4)42CrMo4(1.7225)414041404140708M40,708A42,709M4042CD4R683/Ⅱ3SCM421(SCM23)R683/Ⅺ7SCM418411841184118SCM445(SCM5)50CrMo4(1.7228)414541454145SCM822(SCM24)25CrMo4(1.7218)25CD438CrMoAl SACM645(SACM1)34CrAlMo5(1.8507)905M3938XMюA R683/Ⅹ4(12)铬锰钼钢组15CrMnMo15CrMo5(1.7262)20CrMnMo20CrMo5(1.7264)18XГM淬透性合金结构钢GB,YB JIS DIN(W-Nr.)ASTM AISI SAE BS NFГОСISOТ1330H1330H1330HSMn433H(SMn1H)SMn438H1041H1041H1041H(SMn2H)1041H1041H1041HSMn443H(SMn3H)SCr420H5120H5120H5120H(SCr22H)SCr430H5130H5130H5130H530H30(SCr2H)SCr435H5135H5135H5135H503H36(SCr3H)5140H5140H5140H503H40SCr440H(SCr4H)SCM418H4118H4118H4118H4135H4135H4135H640H3530CD4SCM435H(SCM3H)SCM440H4140H4140H4140H708H42(SCM4H)4145H4145H4145HSCM445H(SCM5H)SNC631H30NC11(SNC2H)SNC815H655H13(SNC22H)SNCM220H8620H8620H8620H20NCD2(SNCM21H)弹簧钢滚动轴承钢高速工具钢GB,YB JIS VDEh ASTM AISI SAE BS NFГОСТISO W18Cr4V SKH2(S18-0-1)(1.3355)T1T1BT14201P18Z80WCV18-04-01SKH3S18-1-2-5(1.3255)T4T4BT44271Z80WKCV18-05-04-01SKH4A T5T5BT54275Z80WKCV18-10-04-02SKH4B T6T6BT6P10K5φ5 SKH10S12-1-4-5(1.3202)T15BT154175Z165WKCV12-05-05-04SKH9S6-5-2(1.3343)M2M2BM24301Z85WDCV06-05-04-02SKH52M3-1M3-1SKH53S6-5-3(1.3344)M3-2M3-2SKH54M4BM144361Z130WDCV06-05-04-04SKH55S6-5-2-5(1.3243)4371Z85WDKCV06-05-05-04-02不锈耐酸钢1Cr25Ti25X25T(X25T) 1Cr17Mo2Ti X8CrMoTi17(1.4523)1Cr13SUS410,SUS403X10Cr13(1.4006),X15Cr13(1.4024)410,403410S21,403S17Z12C1312X13(1X13)SUS410S X7Cr13(1.4000) 410S Z6C1308X13(0X13) 2Cr13SUS420J1X20Cr13(1.4021)420420S37420S29Z20C1320X13(2X13) SUS420F420F Z30CF13 3Cr13SUS420J2420S45Z30C1330X13(3X13) 4Cr13X40Cr13(1.4034) Z40C1440X13(4X13)1Cr17Ni2SUS431X22CrNi17(1.4057) 431431S2914X17H2(1X17H2) 9Cr1895X18(9X18)9Cr18MoV X90CrMoV18(1.4112)SUS440A440ASUS440B440BSUS440C440C Z100CD17SUS440F440FSUS305X5CrNi1911(1.4303)305305S19Z8CN18-1200Cr18Ni10SUS304L X2CrNi18 9(1.4306) 304L304L12Z2CN18-1003X18H11(000X18H11) 0Cr18Ni9SUS304X5CrNi18 9(1.4301) 304304S15Z6CN18-0908X18H10(0X18H10)1Cr18Ni9SUS302X12CrNi188(1.4300)302302S25Z10CN18-0912X18H9(X18H9)耐热钢易切结构钢合金工具钢SKS7O7O72142110WC20CrO6SKS8140Cr3(1.2008)1230Y2135C13X Cr2100Cr6(1.2067),105Cr5(1.2060)L3X 9Cr285Cr7(1.2064)9X SKS22141100WC10B1V SKS43W2-91/2,W1-91/2BW21162Y1105VψW SKS21F1BF1(2)耐冲击工具用钢组4CrW2Si SKS4135WCrV7(1.2541),45WCrV7(1.2542)S1S1BS1234155WC204XB2C 5CrW2Si45WCrV7(1.2542) BS15XB2C SKS4280WCrV8(1.2552)6CrW2Si6XB2C SKS44W2-81/2(3)冷作模具钢组Cr12SKD1X210Cr12(1.2080)D3D3BD32233Z200C12X12Cr12MoV SKD11X165CrMoV12(1.2601)D2D2BD2,BD2A2235Z160CDV12X12MCr6WV X6BψSKD12A2A2BA22231Z100CDV59Mn2O2O29Mn2V90MnV8(1.2842)O2O2BO2221190MV8项目中国GB,YB 日本JIS德国VDEh(W-Nr.)美国英国BS法国NF前苏联Т国际ISOASTM AISI SAE冷作模具钢组MnCrWV O1O1BO1CrWMn SKS31105WCr6(1.2419)221290MCW5XBГ9CrWMo SKS39XBГSKD2X210CrW12(1.2436)D7D7(4)热作模具钢组5CrMnMo SKT340CrMnMo7(1.2311)6G(ASM)6G5XГMSKT548CrMoV67(1.2323)6G(ASM)6GSKT2615061506150SCrNiMo SKT455NiCrMoV6(1.2713)6F2(ASM)6F2338155NCDV75XГM3Cr2W8V SKD5X30WCrV53(1.2567)H21H21BH21,BH21A3543Z30WCV93X2B8ψ4SiCrV38SiCrV8(1.2248)45SiCrV6(1.2249)4XC 8Cr38X34Cr5MoVSi SKD6X38CrMoV51(1.2343)H11H11BH113431Z38CDV5SKD44X2B5ψMSKD61X40CrMoV51(1.2344)H13H13BH13。
中国美国 日本 德国 英国 法国 前苏联 国际标准化组织 GB AST JIS DIN 、DINENBS 、BSEN NF 、NFEN ΓOCT IS0 630品 名牌号 牌号 牌号 牌号 牌号 牌号 牌号 08F1008 1010 SPHD SPHE040A1080K П10 1010S10C S12C CKl0 040A12 XCl0 10 C101151015 S15C S17C CKl5 Fe360B 08M15 XCl2 Fe306B 15 C15E4201020 S20C S22C C22IC22 C222025 1025 S25C S28C C25 IC25 C25 25 C25E440 1040 S40C S43C C40 IC40 080M40 C40 40 C40E445 1045 S45C S48C C45 IC45 080A47 C45 45 C45E450 1050 S50C S53C C50 IC50 080M50 C50 50 C50E4 优 质 碳 素 结 构 钢15Mn1019080A1515r中国美国 日本 德国英国 法国 前苏联 国际标准化组织 GB AST JIS DIN 、DINENBS 、BSENNF 、NFENΓOCT IS0 630品 名牌号 牌号牌号 牌号 牌号 牌号 牌号 T7(A)SK7 C70W2060A67 060A72 C70E2Uy7TC70T8(A)T72301 WlA —8SK5 SK6 C80W1 060A78 060A81 C80E2Uy8 TC80T8Mn(A)SK5 C85W 060A81 Y75 y8r T10(A) T72301 W1A —91/2SK3 SK4 C105W11407C105E2Uy10TCl05T11(A) T72301 W1A —10l/2SK3C105W1 1407 C105E2U y11 TCl05碳 素 工 具 钢T12(A) T72301 WlA —111/2 SK2 1407 C120E3U y12 TCl20Crl2T30403(UNS)(D3)SKDl X210Crl2 BD3 X210Crl2 X12 210Crl2Crl2MolVl T30402(UNS)(D2)SKDll X155CrVMo121BD2160CrMoVl25CrMnMo5X ΓM 5CrNiMo T61206(UNS)(L6) SKT4 55NiCrMoV6BH224/5 55NiCrMoV75XHM合 金 工 具 钢3Cr2W8V T20821SKD5BH21X30WCrV93X2B8Φ30WCrV9中国美国 日本 德国 英国 法国 前苏联 国际标准化组织GB AST JIS DIN 、DINEN BS 、BSEN NF 、NFEN ΓOCT IS0 630品 名牌号 牌号 牌号 牌号 牌号 牌号 牌号Y12 1211 G12110(UNS) SUM12 SUM21 10S20 S10M15 13MF4 A12 10S20 Y12Pb 12L13 SUM22L10SPb2010SPb20 11SMnPb28Y20 1117 G11170(UNS)SUM32 C22 C22 210M15 C22 A20Y40Mn 1144 G11440(UNS)SUM43 226M4445MF6.3 A40Γ 44Mn28Y45Ca 1145C45 C45 C45易 切 削 结 构 钢Y1Crl8Ni9 SUS303 X8CrNiSl8—9 303S31 303S21 17Q295A Gr.42 Gr.A SPFC490 E295 E295E295 295Q295B Gr.42 Gr.A SPFC490 S275JR S275JR S275JR 295Q345CGr.50Gr.A Gr.C ,Gr.D A808MSPFC590 S335JO S335JO S335JO 345 E355DDQ345EType7 Gr.50 SPFC590 S355NL S355ML S355NL S355ML S355NL S355MLE355E E355DD 低 合 金 结 构 钢Q420B Cr60 Gr.ESEV295 SEV345S420NL S420MLS420NL S420MLS420NL S420MLS420C E420CC中国美国 日本 德国 英国 法国 前苏联 国际标准化组织GB AST JIS DIN 、DINEN BS 、BSEN NF 、NFEN ΓOCT IS0 630品 名牌号牌号 牌号 牌号 牌号 牌号 牌号 Q420C Gr.B Type7SEV295 SEV345 S420NL S420MLS420NL S420MLS420NL S420MLHS420D E420DD低 合 金 结 构 钢Q460DGr.65 SM570SMA570W SMA570PS460NL S460MLS460NL S460MLS460NL S460MLE460DD F460E20Mn2 1524 SMn420 P355GH 0355GH P0355GH 22Mn615Cr 5115 SCr415 17Cr3 527A17 15X20Cr 5120 SCr420 20Cr4 590M17 20x 20Cr430Cr 5130 SCr430 34Cr4 34Cr4 34Cr4 30x 34Cr440Cr5140 SCr440 41Cr4 41Cr4 41Cr4 40x 4lCr445Cr5145 SCr445 4lCr4 41Cr4 4lCr4 45x 41Cr430CrMo 4130 SCM430 25CrMo4 25CrMo4 25CrMo4 30xM 25CrMo435CrMo 4317 SCM435 34CrMo4 34CrMo4 34CrMo4 35xM 34CrMo442CrMo 4140 SCM440 42CrMo4 42CrMo4 42CrMo4 38xM 42CrMo438CrMoAl SCM645 41CrAlMo7 905M39 38x2MIoA 41CrAlMo7450CrVA 6150 SCPl0 5lCrV4 51CrV4 51CrV4 50x ΦA 51CrV4合 金 结 构 钢40CrMnMo 4140 4142SCM440 42CrM 04 42CrMo4 708Mn4042CrMo4 42CrMo4中国美国 日本 德国 英国 法国 前苏联 国际标准化组织GB AST JIS DIN 、DINEN BS 、BSEN NF 、NFEN ΓOCT ISO630 品 名牌号 牌号 牌号 牌号 牌号 牌号 牌号 85 1084 SUP3 CK85 FMR86 TypeDC 55Si2Mn9260 H92600 SUP6 SUP7 55Si7251H6056SC756SiCr760Si2Mn H92600 SUP6 SUP7 60SiCr7 25H60 61SiCr7 61SiCr755CrMnA H51550 G51550 SUP9 55Cr3 525A58 527A60 55Cr3 55Cr3 60Si2CrVA 弹 簧 钢50CrVA H51500 G61500 SUPl0 50CrV4 735A51 50CV4 50x ΦA 5lCrV4 GCr951100 SUJl GCrl552100 SUJ2 100Gr6 100Gr6 WXl5 l 轴 承 钢9Crl8Mo440C SUS440C Z100CDl7 2l 35W250 36F320M 35A250 M250—35A M250—35A M250—35A 2413 电 工 钢27QGll0 27P146M27P110M103—27PM103—27PM103—27P3408常用国内外钢材牌号对照表中国 美国 日本 德国 英国 法国 前苏联 国际标准化组织GB AST JIS DIN 、DINEN BS 、BSEN NF 、NFEN ΓOCT ISO 630品 名牌号牌号 牌号 牌号牌号 牌号牌号Q195Cr.B Cr.CSS330 SPHC SPHDS185 040 A10 S185S185CT1K ПCTlC П CTl ПCQ215A Cr.C Cr.58SS 330 SPHC040 A12CT2K П—2CT2C П—2 CT2ПC —2 Q235ACr.DSS400 SM400A080A15CT3K П—2CT3C П—2 CT3ПC —2E235B Q235B Cr.DSS400 SM400AS235JR S235JRGl S235JRG2S235JR S235JRGl S235JRG2S235JR S235JRGl S235JRG2CT3K П—3 CT3C П—3 CT3ПC —3 E235B Q255ASS400 SM400ACT4K П—2CT4C П—2 CT4ПC —2 普 通 碳 素 结 构 钢Q275 SS490 CT5C П—2 CT5ПC —2E275A中国美国 日本 德国 英国 法国 前苏联 国际标准化组织GB AST JIS DIN 、DINEN BS 、BSENNF 、NFEN ΓOCT IS0 630品 名牌号 牌号 牌号 牌号 牌号 牌号 牌号 W18Cr4VT12001(UNS)(T1) SKH2BTlHSl8-0-1P18HSl8-0-1 (S1) W18Cr4VCo5T12004(UNS)(T4) SKH3 S18-l-2-5 BT4 HSl8-1-1-5HSl8-1-1-5(S7) 高 速 工 具 钢W6Mo5Cr4V2 T11302(UNS)(M2) SKH51 S6-5-2 BM2 HS6-5-2 p6M5HS6-5-2 (S4) 1Crl8Ni9 S30200(UNS)(302) SUS302 X10CrNis 18-9 302S31 302S25 Z12CNl8-09 12X18H912 10 1Crl8Ni9Ti S32100(UNS)(321)SUS321 X6CrNiTi 18-10 X6CrNiTi 18-10 X6CrNiTi 18-10 12X18H 10TX6CrNiTi181011 2Crl3S42000(UNS) (420)SUS420J1X20Crl3420S37 X20Crl3 X20Crl320X13440Mn1043 SWRH42B C40 080M40 1C40 C40 40ΓSL SM 45Mn 1046 SWRH47B C45 080M47 2C45C45 45ΓSL SM 不 锈 钢65Mn 1065 65ΓASLSM TypeSC TypDC常用国内外钢材牌号对照表中国 美国 日本 德国 英国 法国 前苏联 国际标准化组织GB AST JIS DIN 、DINEN BS 、BSEN NF 、NFEN ΓOCT ISO 630品 名牌号牌号 牌号 牌号牌号 牌号牌号Q195Cr.B Cr.CSS330 SPHC SPHDS185 040 A10 S185S185CT1K ПCTlC П CTl ПCQ215A Cr.C Cr.58SS 330 SPHC040 A12CT2K П—2CT2C П—2 CT2ПC —2 Q235ACr.DSS400 SM400A080A15CT3K П—2CT3C П—2 CT3ПC —2E235B Q235B Cr.DSS400 SM400AS235JR S235JRGl S235JRG2S235JR S235JRGl S235JRG2S235JR S235JRGl S235JRG2CT3K П—3 CT3C П—3 CT3ПC —3 E235B Q255ASS400 SM400ACT4K П—2CT4C П—2 CT4ПC —2 普 通 碳 素 结 构 钢Q275 SS490 CT5C П—2 CT5ПC —2E275A中国美国 日本 德国 英国 法国 前苏联 国际标准化组织 GB AST JIS DIN 、DINENBS 、BSEN NF 、NFEN ΓOCT IS0 630品 名牌号 牌号 牌号 牌号 牌号 牌号 牌号 08F1008 1010 SPHD SPHE040A1080K П10 1010S10C S12C CKl0 040A12 XCl0 10 C101151015 S15C S17C CKl5 Fe360B 08M15 XCl2 Fe306B 15 C15E4201020 S20C S22C C22IC22 C222025 1025 S25C S28C C25 IC25 C25 25 C25E440 1040 S40C S43C C40 IC40 080M40 C40 40 C40E445 1045 S45C S48C C45 IC45 080A47 C45 45 C45E450 1050 S50C S53C C50 IC50 080M50 C50 50 C50E4 优 质 碳 素 结 构 钢15Mn1019080A1515r中国美国 日本 德国英国 法国 前苏联 国际标准化组织 GB AST JIS DIN 、DINENBS 、BSENNF 、NFENΓOCT IS0 630品 名牌号 牌号牌号 牌号 牌号 牌号 牌号 T7(A)SK7 C70W2060A67 060A72 C70E2Uy7TC70T8(A)T72301 WlA —8SK5 SK6 C80W1 060A78 060A81 C80E2Uy8 TC80T8Mn(A)SK5 C85W 060A81 Y75 y8r T10(A) T72301 W1A —91/2SK3 SK4 C105W11407C105E2Uy10TCl05T11(A) T72301 W1A —10l/2SK3C105W1 1407 C105E2U y11 TCl05碳 素 工 具 钢T12(A) T72301 WlA —111/2 SK2 1407 C120E3U y12 TCl20Crl2T30403(UNS)(D3)SKDl X210Crl2 BD3 X210Crl2 X12 210Crl2Crl2MolVl T30402(UNS)(D2)SKDll X155CrVMo121BD2160CrMoVl25CrMnMo5X ΓM 5CrNiMo T61206(UNS)(L6) SKT4 55NiCrMoV6BH224/5 55NiCrMoV75XHM合 金 工 具 钢3Cr2W8V T20821SKD5BH21X30WCrV93X2B8Φ30WCrV9中国美国 日本 德国 英国 法国 前苏联 国际标准化组织GB AST JIS DIN 、DINEN BS 、BSENNF 、NFEN ΓOCT IS0 630品 名牌号 牌号 牌号 牌号 牌号 牌号 牌号 W18Cr4VT12001(UNS)(T1) SKH2BTlHSl8-0-1P18HSl8-0-1 (S1) W18Cr4VCo5T12004(UNS)(T4) SKH3 S18-l-2-5 BT4 HSl8-1-1-5HSl8-1-1-5(S7) 高 速 工 具 钢W6Mo5Cr4V2 T11302(UNS)(M2) SKH51 S6-5-2 BM2 HS6-5-2 p6M5HS6-5-2 (S4) 1Crl8Ni9 S30200(UNS)(302) SUS302 X10CrNis 18-9 302S31 302S25 Z12CNl8-09 12X18H912 10 1Crl8Ni9Ti S32100(UNS)(321)SUS321 X6CrNiTi 18-10 X6CrNiTi 18-10 X6CrNiTi 18-10 12X18H 10TX6CrNiTi181011 2Crl3S42000(UNS) (420)SUS420J1X20Crl3420S37 X20Crl3 X20Crl320X13440Mn1043 SWRH42B C40 080M40 1C40 C40 40ΓSL SM 45Mn 1046 SWRH47B C45 080M47 2C45C45 45ΓSL SM 不 锈 钢65Mn 1065 65ΓASLSM TypeSC TypDC中国美国 日本 德国 英国 法国 前苏联 国际标准化组织GB AST JIS DIN 、DINEN BS 、BSEN NF 、NFEN ΓOCT IS0 630品 名牌号 牌号 牌号 牌号 牌号 牌号 牌号Y12 1211 G12110(UNS) SUM12 SUM21 10S20 S10M15 13MF4 A12 10S20 Y12Pb 12L13 SUM22L10SPb2010SPb20 11SMnPb28Y20 1117 G11170(UNS)SUM32 C22 C22 210M15 C22 A20Y40Mn 1144 G11440(UNS)SUM43 226M4445MF6.3 A40Γ 44Mn28Y45Ca 1145C45 C45 C45易 切 削 结 构 钢Y1Crl8Ni9 SUS303 X8CrNiSl8—9 303S31 303S21 17Q295A Gr.42 Gr.A SPFC490 E295 E295E295 295Q295B Gr.42 Gr.A SPFC490 S275JR S275JR S275JR 295Q345CGr.50Gr.A Gr.C ,Gr.D A808MSPFC590 S335JO S335JO S335JO 345 E355DDQ345EType7 Gr.50 SPFC590 S355NL S355ML S355NL S355ML S355NL S355MLE355E E355DD 低 合 金 结 构 钢Q420B Cr60 Gr.ESEV295 SEV345S420NL S420MLS420NL S420MLS420NL S420MLS420C E420CC中国美国 日本 德国 英国 法国 前苏联 国际标准化组织GB AST JIS DIN 、DINEN BS 、BSEN NF 、NFEN ΓOCT IS0 630品 名牌号牌号 牌号 牌号 牌号 牌号 牌号 Q420C Gr.B Type7SEV295 SEV345 S420NL S420MLS420NL S420MLS420NL S420MLHS420D E420DD低 合 金 结 构 钢Q460DGr.65 SM570SMA570W SMA570PS460NL S460MLS460NL S460MLS460NL S460MLE460DD F460E20Mn2 1524 SMn420 P355GH 0355GH P0355GH 22Mn615Cr 5115 SCr415 17Cr3 527A17 15X20Cr 5120 SCr420 20Cr4 590M17 20x 20Cr430Cr 5130 SCr430 34Cr4 34Cr4 34Cr4 30x 34Cr440Cr5140 SCr440 41Cr4 41Cr4 41Cr4 40x 4lCr445Cr5145 SCr445 4lCr4 41Cr4 4lCr4 45x 41Cr430CrMo 4130 SCM430 25CrMo4 25CrMo4 25CrMo4 30xM 25CrMo435CrMo 4317 SCM435 34CrMo4 34CrMo4 34CrMo4 35xM 34CrMo442CrMo 4140 SCM440 42CrMo4 42CrMo4 42CrMo4 38xM 42CrMo438CrMoAl SCM645 41CrAlMo7 905M39 38x2MIoA 41CrAlMo7450CrVA 6150 SCPl0 5lCrV4 51CrV4 51CrV4 50x ΦA 51CrV4合 金 结 构 钢40CrMnMo 4140 4142SCM440 42CrM 04 42CrMo4 708Mn4042CrMo4 42CrMo4中国美国 日本 德国 英国 法国 前苏联 国际标准化组织GB AST JIS DIN 、DINEN BS 、BSEN NF 、NFEN ΓOCT ISO630 品 名牌号 牌号 牌号 牌号 牌号 牌号 牌号 85 1084 SUP3 CK85 FMR86 TypeDC 55Si2Mn9260 H92600 SUP6 SUP7 55Si7251H6056SC756SiCr760Si2Mn H92600 SUP6 SUP7 60SiCr7 25H60 61SiCr7 61SiCr755CrMnA H51550 G51550 SUP9 55Cr3 525A58 527A60 55Cr3 55Cr3 60Si2CrVA 弹 簧 钢50CrVA H51500 G61500 SUPl0 50CrV4 735A51 50CV4 50x ΦA 5lCrV4 GCr951100 SUJl GCrl552100 SUJ2 100Gr6 100Gr6 WXl5 l 轴 承 钢9Crl8Mo440C SUS440C Z100CDl7 2l 35W250 36F320M 35A250 M250—35A M250—35A M250—35A 2413 电 工 钢27QGll0 27P146M27P110M103—27PM103—27PM103—27P3408碳素结构钢世界钢号对照表中国美国日本德国英国法国前苏联国际标准化组织Q215B Gr.58(220) SS330(SS34)SPHCSPHD040A12CT2KJI—3CT2JIC—3CT2JIC—3Q235C Gr.DGr65SM4400A(SM41A)SM400B(SM41B)S235JO080A15S235J0S235J0CT2JIC—4CT2JIC—4CT2JIC—4E235C(Fe630D)Q235D Gr.D SM400A(SM41A)SM400B(SM41B)S235J2G3S235J2G4S235J2G3S235J2G4S235J2G3S235J2C4CT3KJI—4CT3JIC—4CT3JIC—4E235D(Fe360D)HR235Q255BSS4009(SS41)SS400A(SS41A)CT4KJI—3CT4JIC—3CT$JIC—3(1)碳素结构钢中国国际标准原苏联美国日本德国英国法国GB/T699—1999 ISO 683—11IS0 8458—3ISO 8458—2ΓOCT 1050ΓOCT 14959ΓOCT 4543ASTM,A29MJISC 4051JISG 3056TISG 4106DINEN 10016—2DINEN 10083—1DINEN 10083—2DIN 17223—1DINENl0028—2BS970BSEN 10025BSEN 10083—2BSEN 10083—1BSEN 10028—2NFA35—551NFEN 10025NFEN 10083—1NFEN 10083—2NFEA35—051NFEN 10028—210 C101 10 1010 S10C,S12C CK10 040A12 XC1015 C15E4 15 1015 S15C,S17C CK15,Fe360B 080M15 XCl2,Fe306B 20 20 1020 S20C,S22C C22 C22 C2225 C25E4 25 1025 S25C,S28C C25 C25 C2530 C30E4 30 1030 S30C,S33C C30 C30 C3035 C35E4 35 1035 S35C,S38C C35 C35 C3540 C40E4 40 1040 S40C,S43C C40 C40 C4045 C45E4 45 1045 S45C,S48C C45 C45 C4550 C50E4 50 1050 S50C,S53C C50 C50 C5055C55E4TYPeSCTYPeDC55 1055 S55C,S58C C55 1C55 C55优质型钢常用钢号与进口钢号对照表中国国际标准原苏联美国日本德国英国法国60C60E4TYPeSCTYPeDC60 1060 S58C C60 1C60 C6065 SL、SMTYPeSCTYPeDC65 1065SWRH67ASWRH67BC66DAC66D C66D70 SL、SMTYPeSCTYPeDC70 1070SWRH72ASWRH72BC70DAC70D C70D20Mn 20Γ1022 070M2025Mn 25Γ1026 080M2530Mn 30Γ1030 080W3040Mn SL,SM 40Γ1043 SWRH42B C40 080M40,C40 C40 45Mn SL,SM 45Γ1046 SWRH47B C45 08MA47,C45 C45 50Mn SL,SM 50Γ1053 SWRH52B C50 080M50,C50 C50中国国际标准原苏联美国日本德国英国法国GB/T 1298—1986 ISO 4957 ΓOCT 1435 ASTMA686 JISC 4401 DIN 17350 BS970BS1407NFA 35—590T7 TA TC70 Y7 SK7 C70W2 060A67.72 C70E2UT8 T8A TC80 Y8 T7230lWIA—8SK5SK6C85W1060A78060A81C80E2UT8Mn T8Mn(A) Y8ΓT7230lWIA—81/2SK5 C85W 060A81 Y75T9 T9A TC90 Y9T72301WIA—9SK5SK4C90E2UT10 T10A TC105 Y10T7230lWIA—9SK4SK3C105W1 1407 C105E2UT11 T11A TC105 Y11T72301WIA—101/2SK3 C105W1 1407 C105EUT12 T12A TC120 Y12T7230lWIA—111/2SK2 1407 C120E3UT13 T13A TC140 Y13 SK1 C140E3U2)碳素工具钢中国美国 日本 德国 英国 法国 前苏联 国际标准化组织GB AST JIS DIN 、DINEN BS 、BSENNF 、NFEN ΓOCT IS0 630品 名牌号 牌号 牌号 牌号 牌号 牌号 牌号 W18Cr4VT12001(UNS)(T1) SKH2BTlHSl8-0-1P18HSl8-0-1 (S1) W18Cr4VCo5T12004(UNS)(T4) SKH3 S18-l-2-5 BT4 HSl8-1-1-5HSl8-1-1-5(S7) 高 速 工 具 钢W6Mo5Cr4V2 T11302(UNS)(M2) SKH51 S6-5-2 BM2 HS6-5-2 p6M5HS6-5-2 (S4) 1Crl8Ni9 S30200(UNS)(302) SUS302 X10CrNis 18-9 302S31 302S25 Z12CNl8-09 12X18H912 10 1Crl8Ni9Ti S32100(UNS)(321)SUS321 X6CrNiTi 18-10 X6CrNiTi 18-10 X6CrNiTi 18-10 12X18H 10TX6CrNiTi181011 2Crl3S42000(UNS) (420)SUS420J1X20Crl3420S37 X20Crl3 X20Crl320X13440Mn1043 SWRH42B C40 080M40 1C40 C40 40ΓSL SM 45Mn 1046 SWRH47B C45 080M47 2C45C45 45ΓSL SM 不 锈 钢65Mn 1065 65ΓASLSM TypeSC TypDC中国美国 日本 德国 英国 法国 前苏联 国际标准化组织GB AST JIS DIN 、DINEN BS 、BSEN NF 、NFEN ΓOCT IS0 630品 名牌号 牌号 牌号 牌号 牌号 牌号 牌号Y12 1211 G12110(UNS) SUM12 SUM21 10S20 S10M15 13MF4 A12 10S20 Y12Pb 12L13 SUM22L10SPb2010SPb20 11SMnPb28Y20 1117 G11170(UNS)SUM32 C22 C22 210M15 C22 A20Y40Mn 1144 G11440(UNS)SUM43 226M4445MF6.3 A40Γ 44Mn28Y45Ca 1145C45 C45 C45易 切 削 结 构 钢Y1Crl8Ni9 SUS303 X8CrNiSl8—9 303S31 303S21 17Q295A Gr.42 Gr.A SPFC490 E295 E295E295 295Q295B Gr.42 Gr.A SPFC490 S275JR S275JR S275JR 295Q345CGr.50Gr.A Gr.C ,Gr.D A808MSPFC590 S335JO S335JO S335JO 345 E355DDQ345EType7 Gr.50 SPFC590 S355NL S355ML S355NL S355ML S355NL S355MLE355E E355DD 低 合 金 结 构 钢Q420B Cr60 Gr.ESEV295 SEV345S420NL S420MLS420NL S420MLS420NL S420MLS420C E420CC中国美国 日本 德国 英国 法国 前苏联 国际标准化组织GB AST JIS DIN 、DINEN BS 、BSEN NF 、NFEN ΓOCT IS0 630品 名牌号牌号 牌号 牌号 牌号 牌号 牌号 Q420C Gr.B Type7SEV295 SEV345 S420NL S420MLS420NL S420MLS420NL S420MLHS420D E420DD低 合 金 结 构 钢Q460DGr.65 SM570SMA570W SMA570PS460NL S460MLS460NL S460MLS460NL S460MLE460DD F460E20Mn2 1524 SMn420 P355GH 0355GH P0355GH 22Mn615Cr 5115 SCr415 17Cr3 527A17 15X20Cr 5120 SCr420 20Cr4 590M17 20x 20Cr430Cr 5130 SCr430 34Cr4 34Cr4 34Cr4 30x 34Cr440Cr5140 SCr440 41Cr4 41Cr4 41Cr4 40x 4lCr445Cr5145 SCr445 4lCr4 41Cr4 4lCr4 45x 41Cr430CrMo 4130 SCM430 25CrMo4 25CrMo4 25CrMo4 30xM 25CrMo435CrMo 4317 SCM435 34CrMo4 34CrMo4 34CrMo4 35xM 34CrMo442CrMo 4140 SCM440 42CrMo4 42CrMo4 42CrMo4 38xM 42CrMo438CrMoAl SCM645 41CrAlMo7 905M39 38x2MIoA 41CrAlMo7450CrVA 6150 SCPl0 5lCrV4 51CrV4 51CrV4 50x ΦA 51CrV4合 金 结 构 钢40CrMnMo 4140 4142SCM440 42CrM 04 42CrMo4 708Mn4042CrMo4 42CrMo4中国美国 日本 德国 英国 法国 前苏联 国际标准化组织GB AST JIS DIN 、DINEN BS 、BSEN NF 、NFEN ΓOCT ISO630 品 名牌号 牌号 牌号 牌号 牌号 牌号 牌号 85 1084 SUP3 CK85 FMR86 TypeDC 55Si2Mn9260 H92600 SUP6 SUP7 55Si7251H6056SC756SiCr760Si2Mn H92600 SUP6 SUP7 60SiCr7 25H60 61SiCr7 61SiCr755CrMnA H51550 G51550 SUP9 55Cr3 525A58 527A60 55Cr3 55Cr3 60Si2CrVA 弹 簧 钢50CrVA H51500 G61500 SUPl0 50CrV4 735A51 50CV4 50x ΦA 5lCrV4 GCr951100 SUJl GCrl552100 SUJ2 100Gr6 100Gr6 WXl5 l 轴 承 钢9Crl8Mo440C SUS440C Z100CDl7 2l 35W250 36F320M 35A250 M250—35A M250—35A M250—35A 2413 电 工 钢27QGll0 27P146M27P110M103—27PM103—27PM103—27P3408中国国际标准前苏联美国日本德国英国法国CB/T9943—1988ISO 4957 ΓOCT 19265 ASMA 600 JISC 4403 DIN 17350 BS 4659 NFA 35—590W18Cr4V HS18—0—1(S1)P18T12001(UNS)(T1)SKH2 BT1 HSl8—0—lW18Cr4VCo5 HS18—1—1—5(S7)T12004(UNS)(T4)SKH3S18—1—2—5BT4HS18—1—1—5CW6Mo5Cr4V3 HS6—5—3(S5)T11323(UNS)(M3)SKH53 S6—5—3 HS6—5—3W6Mo5Cr4V2 HS6—5—2 P6M5 T11302(UNS) SKH51 S6—5—2 BM2 HS6—5—2 (5)高速工具钢中国国际标准前苏联美国日本德国英国法国GB/T 1222—1984 ISO 8458/3ISO 683—14ΓOCT 14959ASTM,A29MA304A322JISC 4801DIN 17222DIN 17221BS 970 NFA 35—57165Mn TYPeDC 65Γ1566 080A6755Si2Mn 59Si7 55C2ΓH9260(UNS)(9260H) SUP6SUP755Si7 251H60 56SC760Si2Mn 59Si7 60C2A H92600(UNS)(9260H)SUP6SUP760SiCr7 251H60 61SiCr760Si2MnA 59Si7 60C2A H92600(UNS)(9260H)SUP6SUP760SiCr7 251H60 61SiCr760Si2CrVA 60C2X¢A50CrVA 51CrV4 50X¢A G61500(UNS)(6150)SUPl0 50CrV4 735A51 50CrV4(6)弹簧钢(7)高碳铬轴承钢中国国际标准前苏联美国日本德国英国法国GB/TISO 683/17 ΓOCT 801 ASTMA 295 JISG,4805 DIN 17230 NFA 35—565 18254—2000GCr9 51100 SUJlGCr9SiMn 2 Gr1 SUJ3GCrl5 1 Ⅲ×15 52100 SUJ2 100Cr6 100Cr6 GCrl5SiMn 3 Ⅲ×15CΓ100CrMn6 100M6中国国际标准前苏联美国日本德国英国法国GB/T 1220—1992ISO 683/13ISO 4955ISO 9328—5ΓOCT 5632 ASTM.A 276 JISC 4303DIN 17440DINEN10083—3BS970BSEN10088—3NFA 35—578NFEN10083—3NFA 35—5771Crl8Ni9 121012×18H9 SUS302 X10CrNiS189302S31302S25Z12CNl8—091Crl8Ni9Ti11X6CYNiTi18—1012×18H10TS32100(UNS)(321)SVS321X6CrNiTi18—10X6CrNiTi18—10321S3132lSl2X6CrNiTi18—101Crl3 3 12×13 S41000(UNS)(410)SUS410 X12Crl3 410S21403F00(26C13)2Crl3 4 20×13 S42000(UNS)(420)SUS420J1 X20Crl3420S37420S2920Crl3220Crl3420F20X20Crl33Crl3 5 30×13 S42000(UNS)(420)SUS420J2 X30Crl3420S45X30Crl3Z33C13Z30C13X30Crl34Crl3 40×13 X46Crl3X38Crl3X46Crl3Z44C14Z40C14X46Crl39Crl8 95×18 S44004(UNS)(440)SUS440C(8)不锈棒钢中国国际标准前苏联美国日本德国英国法国GB/T1221—1992ISO 683/15 ΓOCT 5632 JIS 4311 DIN 17480 BS 970 NFA 35—579 4Cr9Si2 X45CrSi93 40×9C2 X45CrSi93 401S45 Z45CS94Crl0Si2Mo 40×10C2M SUH3 X40CrSiMol02 Z40CSDl040Crl4Nil4W2Mo 45×14H14B2M 33IS42(9)耐热钢。
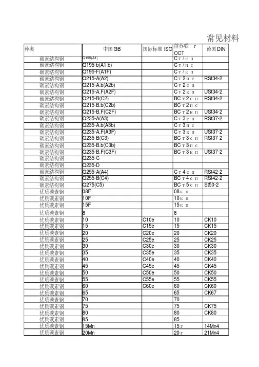
碳素结构钢Q195(A1)C т/сп碳素结构钢Q195-b(A1 b) C т/пс碳素结构钢Q195-F(A1F) C т/кп碳素结构钢Q215-A(A2) C т2псRSt34-2碳素结构钢Q215-A.b(A2b) C т2сп碳素结构钢Q215-A.F(A2F) C т2кпUSt34-2碳素结构钢Q215-B(C2)BC т2спRSt34-2碳素结构钢Q215-B.b(C2b)BC т2пс碳素结构钢Q215-B.F(C2F)BC т2кпUSt34-2碳素结构钢Q235-A(A3)C т3спRSt37-2碳素结构钢Q235-A.b(A3b)C т3пс碳素结构钢Q235-A.F(A3F)C т3кпUSt37-2碳素结构钢Q235-B(C3)BC т3спRSt37-2碳素结构钢Q235-B.b(C3b)BC т3пс碳素结构钢Q235-B.F(C3F)BC т3кпUSt37-2碳素结构钢Q235-C 碳素结构钢Q235-D 碳素结构钢Q255-A(A4)C т4спRSt42-2碳素结构钢Q255-B(C4)BC т4спRSt42-2碳素结构钢Q275(C5)BC т5спSt50-2优质碳素钢08F 08кп优质碳素钢10F 10кп优质碳素钢15F 15кп优质碳素钢88优质碳素钢10C10e 10CK10优质碳素钢15C15e 15CK15优质碳素钢20C20e 20CK20优质碳素钢25C25e 25CK25优质碳素钢30C30e 30CK30优质碳素钢35C35e 35CK35优质碳素钢40C40e 40CK40优质碳素钢45C45e 45CK45优质碳素钢50C50e 50CK50优质碳素钢55C55e 55CK55优质碳素钢60C60e60CK60优质碳素钢6565CK67优质碳素钢7070优质碳素钢7575CK75优质碳素钢8080CK80优质碳素钢8585优质碳素钢15Mn 15г14Mn4优质碳素钢20Mn20г21Mn4种类国际标准ISO常见材料中国GB前苏联гOCT德国DIN优质碳素钢25Mn25г优质碳素钢30Mn30г优质碳素钢35Mn35г优质碳素钢40Mn40г40Mn4优质碳素钢45Mn45г优质碳素钢50Mn50г优质碳素钢60Mn60г优质碳素钢65Mn65г优质碳素钢70Mn70г易切削结构钢Y1210S20A1210S20易切削结构钢Y12Pb10SPb2010SPb20易切削结构钢Y1515S2015S20易切削结构钢Y15Pb11SMnPb28AC149SMnPb28易切削结构钢Y2022S20A2022S20易切削结构钢Y30A30易切削结构钢Y3535S20A3535S20易切削结构钢Y40Mn44SMn28A40г易切削结构钢Y45Ca冷镦钢ML08CC8X08кпQSt34-3冷镦钢ML10CC8A10кпQSt36-2冷镦钢ML15CC15A15псQSt38-3冷镦钢ML20CC21A20пс冷镦钢ML25CE28E425冷镦钢ML30CE28E430冷镦钢ML35CE35E435Cq35冷镦钢ML40CE40E440冷镦钢ML45CE45E445Cq45冷镦钢 ML25Mn CE28E4冷镦钢ML30Mn CE28E4冷镦钢ML35Mn CE35E4Cq35冷镦钢ML40Mn CE40E440г冷镦钢ML45Mn CE45E445гCq45冷镦钢ML15Cr15X17Cr3冷镦钢ML20Cr20Cr4E20X冷镦钢ML40Cr41Cr4E40X37Cr3冷镦钢ML15MnB CE20BG2冷镦钢ML15MnVB冷镦钢ML20MnTiB冷镦钢ML30CrMo34CrMo4E30XMA冷镦钢ML35CrMo34CrMo4E34CrMo4冷镦钢ML42CrMo34CrMo4E42CrMo4锅炉用碳素钢和低合金刚钢板20 g P235,PH23520K HⅡ锅炉用碳素钢和低合金刚钢板22g P265,PH26522K HⅢ锅炉用碳素钢和低合金刚钢板12Mng P290,PH290锅炉用碳素钢和低合金刚钢板16Mng P355,PH35519Mn6锅炉用碳素钢和低合金刚钢板15MnVg15гф锅炉用碳素钢和低合金刚钢板14MnMoVg锅炉用碳素钢和低合金刚钢板18MnM0Nbg钢筋钢Q235(R235)PB240CT3пс钢筋钢20MnSi(RL335)RB30032г2Pпс钢筋钢20MnNbb(RL335)35гс钢筋钢20MnSiV(RL400)RB40032г2PпсBST420S 钢筋钢20MnTi(RL400)RB400W35гс钢筋钢25MnSi(RL400)钢筋钢40Si2MnV(RL540)RB50020Xг2цBST500S 钢筋钢45SiMnV(RL540)RB500W80C BST500M 钢筋钢45Si2MnTi(RL540)钢筋钢20MnSi(KL400)RB400BST420S 钢筋钢40Si2Mn(RB150)钢筋钢48Si2Mn(RB150)钢筋钢45SiCr(RB150)低合金高强度结构钢Q295A29515Mo3,PH 295低合金高强度结构钢Q295B29515Mo3,PH 295低合金高强度结构钢Q345A345Fe510C 低合金高强度结构钢Q345B E355CC345低合金高强度结构钢Q345C E355DD345低合金高强度结构钢Q345D E355E345低合金高强度结构钢Q345E低合金高强度结构钢Q390A390低合金高强度结构钢Q390B E390CC390低合金高强度结构钢Q390C E390DD390低合金高强度结构钢Q390D E390E低合金高强度结构钢Q390E低合金高强度结构钢Q420A E420CC低合金高强度结构钢Q420B E420DD低合金高强度结构钢Q420C E420E低合金高强度结构钢Q420D低合金高强度结构钢Q420E E460DD低合金高强度结构钢Q460C E460E低合金高强度结构钢Q460D低合金高强度结构钢Q460E合金结构钢20Mn220Mn620г220Mn5合金结构钢30Mn228Mn630г228Mn6合金结构钢35Mn236Mn635г236Mn6合金结构钢40Mn242Mn640г2合金结构钢45Mn245г246Mn7合金结构钢50Mn250г250Mn7合金结构钢20MnV17MnV6合金结构钢30Mn2MoW合金结构钢27SiMn27Cг27MnSi5合金结构钢35SiMn35Cг37MnSi5合金结构钢42SiMn42Cг46MnSi4合金结构钢20SiMn2MoV合金结构钢25SiMn2MoV合金结构钢37SiMn2MoV合金结构钢40B35B2合金结构钢45B45B2合金结构钢50B合金结构钢40MnB40MnB4合金结构钢45MnB合金结构钢20Mn2B合金结构钢20MnMoB合金结构钢15MnVB合金结构钢20MnVB合金结构钢20MnVB合金结构钢20MnTiB合金结构钢25MnTiBRE合金结构钢20SiMnVB合金结构钢15Cr15X15Cr3合金结构钢15CrA15XA合金结构钢20Cr20Cr420X20Cr4合金结构钢30Cr30X28Cr4合金结构钢35Cr34Cr435X34Cr4合金结构钢40Cr41Cr40X41Cr4合金结构钢45Cr45X合金结构钢50Cr50X合金结构钢38CrSi38XC合金结构钢12CrMo12XM12CrMo44合金结构钢15CrMo15XM15CrMo5合金结构钢20CrMo18CrMo420XM20CrMo4合金结构钢30CrMo30XM合金结构钢30CrMoA合金结构钢35CrMo34CrMo435XM34CrMo4合金结构钢42CrMo42CrMo438XM42CrMo4合金结构钢12CrMoV12XMф合金结构钢35CrMoV35XMф35CrMoV5合金结构钢12Cr1MoV12X1Mф13CrMoV4·2合金结构钢25Cr2MoVA25X2MфA 24CrMoV5·5合金结构钢25Cr2Mo1VA25X2M1фA 合金结构钢20Cr3MoWVA20X3MBф21CrVMo W12合金结构钢38CrMoA141CrA1Mo7438XM1фA 41CrA1Mo 7合金结构钢20CrV20Xф21CrV4合金结构钢40CrV40XфA42CrV6合金结构钢50CrVA51CrV450XфA50CrV4合金结构钢15CrMn15Xг16MnCr5合金结构钢20CrMn20MnCr520Xг20MnCr5合金结构钢40CrMn40Xг合金结构钢20CrMnSi20Xгс合金结构钢25CrMnSi25Xгс合金结构钢30CrMnSi30Xгс合金结构钢30CrMnSiA30XгсA合金结构钢35CrMnSiA35XгсA合金结构钢20CrMnMo25XгM20CrMo5合金结构钢40CrMnMo38XгM合金结构钢20CrMnTi18XгT合金结构钢30CrMnTi30XгT 30MnCrTi 4合金结构钢20CrNi20XH20NiCr6合金结构钢40CrNi40XH40NiCr6合金结构钢45CrNi45XH45NiCr6合金结构钢50CrNi50XH合金结构钢12CrNi212XH214NiCr10合金结构钢12CrNi315CrNi1312XH3A14NiCr14合金结构钢20CrNi320XH3A22NiCr14合金结构钢30CrNi330XH3A31NiCr14合金结构钢37CrNi337XH335NiCr18合金结构钢12Cr2Ni412X2H4A14NiCr18合金结构钢20Cr2Ni420X2H4A合金结构钢20CrNiMo20NiCrMo220XHM21NiCrMo2合金结构钢40CrNiMoA40XHMA36NiCrMo4合金结构钢45CrNiMoVA45XMфA合金结构钢18Cr2Ni4WA18X2H4BA合金结构钢25Cr2Ni4WA25X2H4BA弹簧钢6565CK67弹簧钢7070弹簧钢8585CK85弹簧钢65Mn65г弹簧钢55Si2Mn56SiCr755C255Si7弹簧钢55Si2MnB弹簧钢55SiMnVB弹簧钢60Si2Mn61SiCr760C266Si7弹簧钢60Si2MnA60C2A弹簧钢60Si2CrA55SiCr760C2XA67SiCr5弹簧钢60SiCrVA60C2XфA弹簧钢55CrMnA55Cr350xгA55Cr3弹簧钢60CrMnA弹簧钢60CrMnMoA60CrMo31弹簧钢50CrVA51CrV450XфA50Cr4弹簧钢60CrMnBA60CrB3弹簧钢30WCr2VA55XгPA 30WCrV1 79弹簧钢GCr6ШX6100Cr2弹簧钢GCr9ШX9105Cr4弹簧钢GCr9SiMn弹簧钢GCr151шх15100Cr6弹簧钢GCr15SiMnшх15CT100CrMn6弹簧钢G20CrMo1020хM20CrMo2弹簧钢G20CrNiMo1221NiCrMo 2·2弹簧钢G20CrNi2Mo 20NiCrMo 6·5弹簧钢G20Cr2Ni4弹簧钢G10CrNi3Mo弹簧钢G20Cr2MnMo弹簧钢9Cr1895XM弹簧钢9Cr18Mo X102CrM O17碳素工具钢T7TC70y7C70W2碳素工具钢T7A y7A C70W1碳素工具钢T8TC80y8C80W2碳素工具钢T8A y8A C80W1碳素工具钢T8Mn y8г碳素工具钢T8MnA y8гA C85W 碳素工具钢T9TC90y9碳素工具钢T9A y9A碳素工具钢T10TC105y10C105W2碳素工具钢T10A y10A C105W1碳素工具钢T11y11C110W 碳素工具钢T11A y11A碳素工具钢T12TC120y12碳素工具钢T12A y12A碳素工具钢T13 TC140y13C125W 碳素工具钢T13A y13A C125W1合金工具钢9SiCr9XC90CrSi5合金工具钢8MnSi C75W3合金工具钢Cr0613X140Cr3合金工具钢Cr2100Cr2X100Cr6合金工具钢9Cr29X185Cr7合金工具钢W B1120W4合金工具钢4CrW2Si45WCrV24XB2C35WCrV7合金工具钢5CrW2Si50WCrV25XB2C45WCrV7合金工具钢6CrW2Si60WCrV26XB2C60WCrV7合金工具钢Cr12210Cr12X12X210Cr12合金工具钢Cr12Mo1V1X155CrV Mo121合金工具钢Cr12MoV160CrMoV12X12M X165CrMoV12合金工具钢Cr5Mo1V100CrMoV12X100CrMoV51合金工具钢9Mn2V90MnV290MnCrV8合金工具钢CrWMn XBг105WCr6合金工具钢9CrWMn9XBг合金工具钢Cr4W2MoV合金工具钢6Cr4W3Mo2VNb合金工具钢6W6Mo5Cr4V合金工具钢5CrMnMo5XгM合金工具钢5CrNiMo5XHM 55NiCrMo V6合金工具钢3Cr2W8V X30WCrV 93合金工具钢5Cr4Mo3SiMnVA1合金工具钢3Cr3Mo3W2V合金工具钢5Cr4W5Mo2V合金工具钢8Cr38X3合金工具钢4CrMnSiMoV合金工具钢4Cr3Mo3SiV合金工具钢4Cr5MoSiV4X5MфC X38CrMo V5·1合金工具钢4Cr5MoSiV135CrMoV54X5Mф1C X40CrMo V5·1合金工具钢4Cr5W2VSi40CrMoV54X5B2фC X37CrMo W5·1合金工具钢7Mn15Cr2A13V2WMo合金工具钢3CrMo高速工具钢W18Cr4V HS18-0-1P18S18-0-1高速工具钢W18Cr4VC05HS18-1-1-5P18K5ф2S18-1-2-5高速工具钢W18Cr4V2Co8HS18-0-1-10S18-1-2-10高速工具钢W12Cr4V5Co5HS12-1-5-5P10K5ф5S12-1-4-5高速工具钢W6Mo5Cr4V2HS6-5-2P6M5S6-5-2高速工具钢CW6Mo5Cr4V2SC6-5-2高速工具钢W6Mo5Cr4V3HS6-5-3P6M5ф3S6-5-3高速工具钢CW6Mo5Cr4V3HS6-5-3S6-5-3高速工具钢W2Mo9Cr4V2HS2-9-2S2-9-2高速工具钢W6Mo5Cr4V2Co5HS6-5-2-5P6M5K5S6-5-2-5高速工具钢W7Mo4Cr4V2Co5HS7-4-2-5S7-4-2-5高速工具钢W2Mo9Cr4VCo8HS9-1-8S2-10-1-8高速工具钢W9Mo3Cr4V高速工具钢W6Mo5Cr4V2A1不锈钢1Cr17Mn6Ni5N A-212X17г9AH4X8CrMnNi8·9不锈钢1Cr18Mn6Ni5N A-312X17г9AH4不锈钢1Cr18Mn10Ni5Mo3N不锈钢1Cr17Ni71409X17H7юX12CrNi1 7·7不锈钢1Cr18Ni91212X18H9X12CrNi1 8·8不锈钢Y1Cr18Ni917X12CrNiS 18·8不锈钢Y1Cr18Ni9Se17a12X18H10E不锈钢0Cr18Ni91108X18H10X5CrNi18·9不锈钢00Cr19Ni101003X18H11X2CrNi18·9不锈钢0Cr19NiN不锈钢0Cr19Ni10NbN X5CrNi18·9不锈钢00Cr18Ni10N X2CrNiN1 8·10不锈钢1Cr18Ni121312X18H12T X5CrNi19·11不锈钢0Cr23Ni13X7CrNi23·14不锈钢0Cr25Ni20不锈钢0Cr17Ni12Mo220,20a X5CrNiMo 18·10不锈钢1Cr18Ni12Mo2Ti 10X17H13M2TX10CrNiMoTi18·10不锈钢0Cr18Ni12Mo2Ti 08X17H13M 2T不锈钢00Cr17Ni14Mo219,19a 03X17H14M2X2CrNiMo18·10不锈钢0Cr17Ni12Mo2N X2CrNiMo N18·12不锈钢00Cr17Ni13Mo2N 不锈钢0Cr18Ni12Mo2Cu2不锈钢00Cr18Ni14Mo2Cu2X5CrNiMo 17·13不锈钢0Cr19Ni13Mo32503X16H15M 3不锈钢00Cr19Ni13Mo32410X17H13M3TX10CrNiMoTi18·12不锈钢1Cr18Ni12Mo3Ti 08X17H15M 3T不锈钢0Cr18Ni12Mo3Ti不锈钢0Cr18Ni16Mo512X18H9T X12CrNiTi 18·9不锈钢1Cr18Ni9Ti08X18H10T X10CrNiTi 18·9不锈钢0Cr18Ni10Ti1508X18H12S X10CrNiN b18·9不锈钢0Cr18Ni11Nb16不锈钢0Cr18Ni9Cu3D32不锈钢0Cr18Ni13Si4不锈钢0Cr26Ni5Mo208X21H6M2TX8CrNiMo27·5不锈钢1Cr18Ni11Si4A1Ti15X18H12C不锈钢00Cr18Ni5Mo3Si2不锈钢0Cr13A121X12юX7CrAI13不锈钢00Cr12不锈钢1Cr17812X7X8Cr17不锈钢Y1Cr178a X12CrMos 17不锈钢1Cr17Mo9c X12CrMo1 7不锈钢00Cr30Mo2不锈钢00Cr27Mo不锈钢1Cr12不锈钢1Cr13312X13X10Cr13不锈钢0Cr13108X13X7Cr13不锈钢Y1Cr137X12CrS13不锈钢1Cr13Mo X15CrMo1 3不锈钢2Cr13420X13X20Cr13不锈钢3Cr13530X13X30Cr13不锈钢Y3Cr13不锈钢3Cr13Mo不锈钢4Cr13不锈钢1Cr17Ni2914X17H2X22CrNi1 7不锈钢7Cr17不锈钢8Cr17不锈钢9Cr1895X18不锈钢11Cr17A-1b X105CrMo 17不锈钢Y11Cr17不锈钢9Cr18Mo A-1b不锈钢9Cr18MoV X90CrMo V18不锈钢0Cr17Ni4Cu4Nb X5CrNiCu Nb17·4不锈钢0Cr17Ni7A109X17H7юX7CrNiAI 17·7不锈钢0Cr15Ni7MO2A1X7CrNiMo AI15·7不锈钢2Cr113Mn9Ni420X13H4г9不锈钢1Cr17Ni8X12CrNi1 7·7不锈钢1Cr18Ni9Si3X12CrNiSi 178·8不锈钢0Cr19Ni9不锈钢00Cr19Ni11不锈钢0Cr18Ni11Ti不锈钢ML0Cr16Ni18不锈钢ML0Cr18Ni1212XH21H5T 不锈钢1Cr21Ni5Ti不锈钢00Cr24Ni6Mo3N不锈钢1Cr15不锈钢00Cr17不锈钢00Cr17Mo不锈钢00Cr18Mo2不锈钢3Cr16耐热铜5Cr21Mn9Ni4N855X20г9AH4X53CrMnNiN21·09耐热铜2Cr21Ni12N7耐热铜2Cr23Ni1320XH13X15CrNiSi 20·12耐热铜2Cr25Ni20H1620X25HC2X12CrNi2 5·20耐热铜1Cr16Ni35H17X12NiCrSi 36·10耐热铜0Cr15Ni25Ti2MoA1VB耐热铜0Cr18Ni91108X18H10X5CrNi18·9耐热铜0Cr23Ni13H1410X23H13X7CrNi23·14耐热铜0Cr25Ni20H1510X23H18X12CrNi2 5·21耐热铜0Cr17Ni12Mo22045X14H14B2MX50NiCrWV1313耐热铜4Cr14Ni14W2Mo 耐热铜3Cr18Mn12Si2N 耐热铜2Cr20Mn9Ni2Si2N耐热铜0Cr19Ni13Mo32508X17H15M3TX5CrNiMo17135耐热铜1Cr18Ni9Ti12X18H9T耐热铜0Cr18Ni10Ti15X6CrNiTi1 810耐热铜0Cr18Ni11Nb1608X18H12B X10CrNiN b189耐热铜0Cr18Ni13Si4耐热铜1Cr20Ni14Si220X20H14C2X15CrNiSi2012耐热铜1Cr25Ni20Si220X25H20C2X15CrNiSi2520耐热铜2Cr25N H7耐热铜0Cr13A12X7CrAI13耐热铜00Cr12耐热铜1Cr178耐热铜1Cr5Mo12X17X8Cr17耐热铜4Cr9Si215X5M耐热铜4Cr10Si2Mo40X9C2X45CRSI9 3耐热铜8Cr20Si2Ni40X10C2M X40CrSiM o102耐热铜1Cr11MoV4耐热铜1Cr12Mo15X11Mф耐热铜2Cr12MoVNbN X19CrMo VNbN111耐热铜1Cr12WMoV 15X12BHM ф耐热铜2Cr12NiMoWV 20X12BHMфX20CrMoWV121耐热铜1Cr13312X13X10Cr13耐热铜1Cr13Mo X15CrMo1 3耐热铜2Cr13420X13X20Cr13耐热铜1Cr17Ni2914X17H2X20CrNi1 72耐热铜1Cr11Ni2W2MoV 11X11H2B2 Mф耐热铜0Cr17Ni4Cu4Nb1X5CrNiCu Nb17·4耐热铜0Cr17NiAI209X17H7юX7CrNiAI 17·7灰铸铁HT100100Cч10GG10灰铸铁HT150150Cч15GG15灰铸铁HT200200Cч20GG20灰铸铁HT250250Cч25GG25灰铸铁HT300300Cч30GG30灰铸铁HT350350Cч35GG35可锻铸铁KTH300-06B30-06Kч30-6可锻铸铁KTH330-08B32-12Kч33-8可锻铸铁KTH350-10B35-10Kч35-10GTS-35-10可锻铸铁KTH370-12Kч37-12可锻铸铁KTZ450-06P45-06Kч45-7GTS-45-06可锻铸铁KTZ550-04P55-04Kч55-4GTS-55-04可锻铸铁KTZ650-02P65-02Kч65-3GTS-65-02可锻铸铁KTZ700-02P70-02Kч70-2GTS-70-02可锻铸铁KTB350-04E35-04GTW-35-04可锻铸铁KTB380-12W38-12GTW-38-12可锻铸铁KTB400-05W40-05GTW-40-05可锻铸铁KTB450-07W45-07GTW-45-07球墨铸铁QT400-18400-18Bч40GGG-40球墨铸铁QT400-15400-15球墨铸铁QT450-10450-10Bч45球墨铸铁QT500-7500-7Bч50GGG-50球墨铸铁QT600-3600-3Bч60GGG-60球墨铸铁QT700-2700-2Bч70GGG-70球墨铸铁QT800-2800-2Bч80GGG-80球墨铸铁QT900-2900-2耐热铸铁RTCrЧX1耐热铸铁RTCr2ЧX2耐热铸铁RTCr16ЧX16耐热铸铁RTSi5ЧC5耐热铸铁RQTSi4耐热铸铁RQTSi4Mo耐热铸铁RQTSi5耐热铸铁RQTA14Si4耐热铸铁RQTA15Si5чю6C5耐热铸铁RQTA122чю22ш一般工程用铸造碳钢ZG200-400200-40015лGS-20-38一般工程用铸造碳钢ZG230-450230-45025лGS-23-45一般工程用铸造碳钢ZG270-500270-48035лGS26-52一般工程用铸造碳钢ZG310-570340-55045лGS30-60一般工程用铸造碳钢ZG340-64055л不锈耐酸铸钢ZG1Cr1315X13лG-X10Cr13不锈耐酸铸钢ZG2Cr1320X13лG-X20Cr14不锈耐酸铸钢ZG1Cr1712X17不锈耐酸铸钢ZG1Cr19Mo2不锈耐酸铸钢ZG2Cr28G-X70Cr29不锈耐酸铸钢ZG00Cr18Ni1003X18H11G-X2CrNi18 9不锈耐酸铸钢ZG0Cr18Ni907X18H9лG-X6CrNi18 9不锈耐酸铸钢ZG1Cr18Ni907X18H10лG-X10CrNi1 88不锈耐酸铸钢ZG0Cr18Ni9Ti08X18H9T G-X5CrNiNb 189不锈耐酸铸钢ZG1Cr18Ni9Ti 12X18H9T л不锈耐酸铸钢ZG0Cr18Ni12Mo2Ti不锈耐酸铸钢ZG1Cr18Ni12Mo2Ti 不锈耐酸铸钢ZG1Cr24Ni20Mo2Cu3G-X5CrNiMo不锈耐酸铸钢ZG1Cr18Mn8Ni4N G-X10CrNiM不锈耐酸铸钢ZG1Cr17Mn9Ni4Mo3Cu2N 不锈耐酸铸钢ZG1Cr18Mn13Mo2Cu4不锈耐酸铸钢ZG0Cr17Ni4Cu4Nb不锈耐酸铸钢铜冶炼产品及加工产品Cu-CATH-2,CU-1*M0K KE-Cu 铜冶炼产品及加工产品Cu-2*(99·90)Cu-FRHC M1K铜冶炼产品及加工产品T1(99·95)M0E-Cu 铜冶炼产品及加工产品T2(99·90)Cu-ETP M1K铜冶炼产品及加工产品T3(99·70)Cu-FRTP M2铜冶炼产品及加工产品TU1(99·97)M0B铜冶炼产品及加工产品TU2(99·95)Cu-OF M1B OF-Cu 铜冶炼产品及加工产品TP1(99·90)Cu-DLP M1P SW-Cu铜冶炼产品及加工产品TP2(99·85)CuDHP M1фSF-Cu99.90铜冶炼产品及加工产品TAg0·1(99·5)CuAg0.1BpCp0.1CuAg0.1加工黄铜H96CuZn5л96CuZn5加工黄铜H90CuZn10л90CuZn10加工黄铜H85CuZn15л85CuZn15加工黄铜H80CuZn20л80CuZn20加工黄铜H70CuZn30л70CuZn30加工黄铜H68CuZn33л68CuZn33加工黄铜H65CuZn35CuZn36加工黄铜H63CuZn37л63CuZn37加工黄铜H62CuZn40л60CuZn40加工黄铜H59CuZn40л60CuZn40加工黄铜HNi65-5лH65-5加工黄铜HNi56-3加工黄铜HPb63-3CuZn36Pb3ЛC63-3CuZn36Pb3加工黄铜HPb63-0.1CuZn36Pb CuZn37Pb0.5加工黄铜HPb62-0.8CuZn35Pb1加工黄铜HPb61-1CuZn40PbЛC60-1CuZn39Pb0.5加工黄铜HPb59-1CuZn39Pb1ЛC59-1CuZn40Pb2加工黄铜HA177-2CuZn20A12лAMш77-CuZn20A1加工黄铜HSn70-1CuZn28Sn1лOMш70-1-0.05CuZn28Sn加工黄铜H68A CuZn30As лMш68-0.05加工黄铜HSn90-1ЛO90-1加工黄铜HSn62-1CuZn38Sn1ЛO62-1加工黄铜HSn60-1ЛO60-1CuZn39Sn 加工黄铜HA167-2.5加工黄铜HA160-1-1лAж60-1-1CuZn37A1加工黄铜HA159-3-2лAH59-3-2CuZn3Ni 加工黄铜HA166-6-3-2加工黄铜HMn58-2лAMu58-2CuZn40MSn 加工黄铜HMn57-3-1GCuZn37Mn3A1лMuA57-3-1加工黄铜HMn55-3-1加工黄铜HFe59-1-1GCuZn39A1FeM лжMuA59-1-1加工黄铜HFe58-1-1лжC58-1-1加工黄铜HSi80-3лж80-3铸造黄铜ZCuZn38G-CuZn38A1铸造黄铜ZCuZn25A16Fe3Mn3GCuZn25A16Fe3лA жMu66-6-3-2G-CuZn25A5铸造黄铜ZCuZn26A14Fe3Mn3GCuZn25A16Fe3Mn3铸造黄铜ZCuZn31A12лA67-2.5铸造黄铜ZCuZn35A12Mn2Fe1GCuZn35A1FeM лA ж60-1-1лG-CuZn35AI1铸造黄铜ZCuZn38Mn2Pb2лMuC58-2-2铸造黄铜ZCuZn40Mn2лMu58-2л铸造黄铜ZCuZn40Mn3Fe1лMu ж55-3-1铸造黄铜ZCuZn33Pb2GCuZn33Pb2G-CuZn33Pb铸造黄铜ZCuZn40Pb2GCuZn40Pb2лC59-1лG-CuZn37Pb铸造黄铜ZCuZn16Si4лкC80-3лG-CuZn15Si加工青铜QSn4-3CuSn4Zn2BpO ц4-3加工青铜QSn4-4-2.5BpO цC4-4-2.5加工青铜QSn4-4-4CuSn4Pb4Zn3BpO цC4-4-4加工青铜QSn6.5-0.1CuSn6BpO ф6.5-0.15CuSn6加工青铜QSn6.5-0.4CuSn6BpO ф6.5-0.4CuSn6加工青铜QSn7-0.2CuSn8BpO ф7-0.2CuSn8加工青铜QSn4-0.3CuSn4BpO ф4-0.25CuSn4加工青铜QAI5CuA15BpA5CuA15加工青铜QAI7CuA17,CuA18BpA7CuA18加工青铜QAI9-2CuA19Mn2BpAM ц9-2CuA19Mn2加工青铜QAI9-4CuAI10Fe3BpA ж9-4CuAI10Fe3加工青铜QAI10-3-1.5CuAI10Fe5Ni5BpA жM ц10-3-1.5CuAI10Fe 3Mn2加工青铜QAI10-4-4BpA жH10-4-4CuAI10Ni 5Fe4加工青铜QAI11-66BpA жH11-6-6CuAI11Ni加工青铜QAI9-5-1-1BpA жHMц9-4-4-1加工青铜QAI10-5-5加工青铜QBe2CuBe2BpB2CuBe2加工青铜QBe1.9BpBHT1.9加工青铜QBe1.9-0.1BpBHT1.9M гCuBe1.7加工青铜QBe1.7CuBe1.7BpHT1.7CuSi3Mn 加工青铜QSi3-1BpKM ц3-1CuNi3Si加工青铜QSi1-3CuNi2SiBpKH1-3加工青铜QSI3.5-3-1.5加工青铜QMn1.5CuMn2加工青铜QMn2CuMn2加工青铜QMn5BpM ц5CuMn5加工青铜QZr0.2加工青铜QZr0.4CuZr 加工青铜QCr0.5CuCr1BpX1CuCr 加工青铜QCr0.5-0.2-0.1加工青铜QCr0.6-0.4-0.05CuCr1Zr CuCrZr 加工青铜QCd1CuCd1BpK л1CuCd1加工青铜QMg0.8CuMg0.7加工白铜B0.6MH0.6加工白铜B5MH5加工白铜B19CuNi20MH19加工白铜B25CuNi25MH25CuNi25加工白铜BFe10-1-1CuNi10Fe1Mn MH жM ц10-1-1CuNi10Fe 1Mn加工白铜BFe30-1-1CuNi30Mn1Fe MH жM ц30-1-1CuNi30Mn 1Fe 加工白铜BMn3-12MHM ц3-12CuMn12Ni加工白铜BMn40-1.5MHM ц40-1.5加工白铜BMn43-0.5CuNi44Mn1MHM ц43-0.5CuNi44加工白铜BZn15-20CuNi15Zn21MHM ц15-20CuNi12Zn 24加工白铜BZn15-21-1.8MHM ц16-20-1.8加工白铜BZn15-24-1.5MHA13-3加工白铜BAI13-3MHA6-1.5加工白铜BAI16-1.5变形铝及铝合金1A99(LG5)1199AB000A199.98变形铝及铝合金1A97(LG4)AB00变形铝及铝合金1A951095变形铝及铝合金1A93(LG3)AB0变形铝及铝合金1A90(LG2)1090AB1A199.9变形铝及铝合金1A85(LG1)AB2变形铝及铝合金1080A199.8变形铝及铝合金1080A1080A A19.8变形铝及铝合金1070A19.7变形铝及铝合金1070A(L1)1070A A00A19.7变形铝及铝合金1370变形铝及铝合金1060(L2)A0变形铝及铝合金1050变形铝及铝合金1050A(L3)1050A A1A199.5变形铝及铝合金1A50(LB2)变形铝及铝合金13501350E-A1变形铝及铝合金1145变形铝及铝合金1035(L4)变形铝及铝合金1A30(L4-1)变形铝及铝合金1100(L5-1)1100A2变形铝及铝合金1200(L50)1200A199变形铝及铝合金1235变形铝及铝合金2A01(LY1)д18A1Cu2.5M g0.5变形铝及铝合金2A02(LY2)Bд17变形铝及铝合金2A04(LY4)д19п变形铝及铝合金2A06(LY6)д19变形铝及铝合金2A10(LY10)B65变形铝及铝合金2A11(LY11)д1A1Cu2Mg 1变形铝及铝合金2A11(LY8)д1п变形铝及铝合金2A12(LY12)д16A1Cu2Mg 2变形铝及铝合金2B12(LY9)д16п变形铝及铝合金2A13(LY13)AM4变形铝及铝合金2A14(LD10)AK8A1CuSiM n变形铝及铝合金2A16(LY16)д20变形铝及铝合金2B16变形铝及铝合金2A17(LY17)д21变形铝及铝合金2A20变形铝及铝合金2A21变形铝及铝合金2A25变形铝及铝合金2A49AK6变形铝及铝合金2A50(LD15)AK6-1变形铝及铝合金2B50(LD6)AK4-1变形铝及铝合金2A70(LD7)变形铝及铝合金2B70变形铝及铝合金2A80(LD8)变形铝及铝合金2A90(LD9)变形铝及铝合金2004变形铝及铝合金20112011A1Cu6BiP b变形铝及铝合金20142014AK8A1CuSiM n变形铝及铝合金2014A变形铝及铝合金2214变形铝及铝合金2017变形铝及铝合金2017A2017A变形铝及铝合金21172117A1Cu2.5M g0.5变形铝及铝合金2118变形铝及铝合金2618变形铝及铝合金22192219变形铝及铝合金20242024A1CuMg2变形铝及铝合金2124变形铝及铝合金3A21(LF21)AMц变形铝及铝合金30033003A1MnCu 变形铝及铝合金31033103A1Mn1变形铝及铝合金30043004A1Mn1Mg 1变形铝及铝合金30053005A1Mn1Mg 0.5变形铝及铝合金31053105变形铝及铝合金4A01(LT1)AкS-A1SI5变形铝及铝合金4A11(LD11)AK9变形铝及铝合金4A13(LT13)变形铝及铝合金4A17(LT17)L-AISi12变形铝及铝合金4004变形铝及铝合金4032变形铝及铝合金4033变形铝及铝合金4043A变形铝及铝合金4047变形铝及铝合金4047A变形铝及铝合金5A01变形铝及铝合金5A02(LF2)AMг2AIMg2.5变形铝及铝合金5A03(LF3)AMг3ALMg3变形铝及铝合金5A05(LF5)AMг5ALMg5变形铝及铝合金5B05(LF10)AMг5п变形铝及铝合金5A06(LF6)AMг6变形铝及铝合金5B06(LF14)变形铝及铝合金5A12(LF12)变形铝及铝合金5A13(LF13)变形铝及铝合金5A30变形铝及铝合金5A33(LF33)变形铝及铝合金5A41(LT41)变形铝及铝合金5A43(LF43)变形铝及铝合金5A66/LT66变形铝及铝合金50055005AMг1A1Mg1变形铝及铝合金5019变形铝及铝合金50505050AMг1A1Mg1.5变形铝及铝合金50525251AMг2A1Mg2Mn 0.3变形铝及铝合金51545052A1Mg2.5变形铝及铝合金5154A变形铝及铝合金54545454A1Mg2.7 Mn变形铝及铝合金5554变形铝及铝合金57545754A1Mg3变形铝及铝合金5056(LF5-1)5056A1Mg5变形铝及铝合金5356变形铝及铝合金54565456变形铝及铝合金50825082变形铝及铝合金5182变形铝及铝合金5083(LF4)5083AMг4A1Mg4.5 Mn变形铝及铝合金5183变形铝及铝合金50865086变形铝及铝合金6A029LD)AB变形铝及铝合金6B02(LD2-1)变形铝及铝合金6A51变形铝及铝合金61016101E-A1MgSi 变形铝及铝合金6101A变形铝及铝合金60056005变形铝及铝合金6005A变形铝及铝合金63516351变形铝及铝合金60606060变形铝及铝合金6061(LD30)6061Aл33A1Mg1SiC u变形铝及铝合金6063(LD31)6063Aл31A1MgSi0. 5变形铝及铝合金6063A变形铝及铝合金6070(LD2-2)变形铝及铝合金61816181A1MgSi0. 8变形铝及铝合金60826082A1MgSiM n变形铝及铝合金7A01(LB1)AIZn1变形铝及铝合金7A03(LC3)B94变形铝及铝合金7A04(LC4)B95变形铝及铝合金7A05变形铝及铝合金7A09(LC9)A1ZnMg1. 5变形铝及铝合金7A10(LC10)A1ZnMgC u0.5变形铝及铝合金7A15变形铝及铝合金7A19变形铝及铝合金7A31变形铝及铝合金7A33变形铝及铝合金7A52变形铝及铝合金7003(LC12)变形铝及铝合金7005变形铝及铝合金70207020A1Zn4.5M g1变形铝及铝合金7022A1ZnMgC u0.5变形铝及铝合金7050变形铝及铝合金70757075A1ZnMgC u1.5变形铝及铝合金7475变形铝及铝合金8A06(L6)Aл变形铝及铝合金8011变形铝及铝合金8090铸造及压铸铝合金ZL101A1-Si7Mg Aл9G-A1Si7Mg铸造及压铸铝合金ZL101A Aл9-1铸造及压铸铝合金ZL102A1-Si12Aл2G-A1Si12铸造及压铸铝合金ZL104A1-Si10Mg Aл4G-A1Si10Mg铸造及压铸铝合金ZL105Aл5G-A1Si5Cu铸造及压铸铝合金ZL105A Aл5-1铸造及压铸铝合金ZL106Aл32G-A1Si8Cu3铸造及压铸铝合金ZL107G-A1Si6Cu4铸造及压铸铝合金ZL108Aл25铸造及压铸铝合金ZL109A1-Si12Cu Aл30铸造及压铸铝合金ZL110AK5M7(A л10B)铸造及压铸铝合金ZL111Aл4M 铸造及压铸铝合金ZL114A铸造及压铸铝合金ZL115铸造及压铸铝合金ZL116Aл34铸造及压铸铝合金ZL201A1-Cu4MgTi Aл19G-A1Cu4Ti Mg铸造及压铸铝合金ZL201A铸造及压铸铝合金ZL203A1-Cu4Ti Aл17A1-Cu4Ti 铸造及压铸铝合金ZL204A铸造及压铸铝合金ZL205A铸造及压铸铝合金ZL207铸造及压铸铝合金ZL301A1-Mg10Aл18A1-Mg10铸造及压铸铝合金ZL303A1-Mg5Si1Aл13G-A1Mg5Si铸造及压铸铝合金ZL305铸造及压铸铝合金ZL401Aл11铸造及压铸铝合金ZL402A1-Zn5Mg Aл24铸造及压铸铝合金YL102A1-Si12Fe Aл2GD-A1Si12铸造及压铸铝合金YL104Aл4,AK9GD-A1Si10Mg铸造及压铸铝合金YL108铸造及压铸铝合金YL112A1-Si8Cu3Fe 铸造及压铸铝合金YL113铸造及压铸铝合金YL117铸造及压铸铝合金YL302A1-Mg5Si1Aл13GD-A1Mg5Si锌锭、铸造锌合金及压铸锌合金Zn-0(99.995)Zn99.995ЦBO Zn99.995锌锭、铸造锌合金及压铸锌合金Zn-1(99.99)Zn99.99ЦB Zn99.99锌锭、铸造锌合金及压铸锌合金Zn-2(99.95)Zn99.95Ц1Zn99.95锌锭、铸造锌合金及压铸锌合金Zn-3(99.90)锌锭、铸造锌合金及压铸锌合金Zn-4(99.5)Zn99.95Zn99.95锌锭、铸造锌合金及压铸锌合金Zn-5(98.7)Zn98.5Ц2Zn98.5锌锭、铸造锌合金及压铸锌合金ZA4-1ЦA4M1GD-ZnA14Cu1锌锭、铸造锌合金及压铸锌合金ZA4-3ЦA4M3GD-ZnA14Cu3锌锭、铸造锌合金及压铸锌合金ZA6-1锌锭、铸造锌合金及压铸锌合金ZA8-1GD-ZnA16Cu1锌锭、铸造锌合金及压铸锌合金ZA9-2ЦAM9-1.5锌锭、铸造锌合金及压铸锌合金ZA11-1锌锭、铸造锌合金及压铸锌合金ZA11-5ЦAM10-5锌锭、铸造锌合金及压铸锌合金ZA27-2锌锭、铸造锌合金及压铸锌合金YX040ЦA4GD-ZnA14锌锭、铸造锌合金及压铸锌合金YX041ЦAM-1GD-ZnA14Cu1锌锭、铸造锌合金及压铸锌合金YX043ЦAM4-3GD-ZnA14Cu3英国ASTM UNS AISIBSA283grASS34040A10A283grB SS34040A12A283grB 040A12A283grC SS41050A17A36SS41050A17060A22060A22A238grD060A22SS50G1*******S09CK 050A04G101001010S10C 050A10G101501015S15C 050A15G102001020S20C 050A20G102501025S25C 060A25G103001030S30C 060A30G103501035S35C 060A35G104001040S40C 060A40G104501045S45C 060A47G105001050S50C 060A52G105501055S55C 060A57G106001060S58C060A62G106501065060A67G107001070060A72G107501075060A78G108001080060A83G108501085060A86G101601016SB46080A15G102201022080A20见材料中外牌号对照日本JIS 美 国G102601026S28C080A25 G103301033S30C080A30 G103701037S35C080A35 G103901039S40C080A40 G104301043S45C080A47 G105301053S50C080A52 G156101561S58C080A62 G156601566080A67 G157201572080A72 G121201212SUM12210M15G1213412L13SUM22LG121301213SUM22220M07 G1214412L14SUM24LG112001120SUM32G113201132G113701137212M36 G114401144SUM42225M44G1010010100/11012SWRCH10R0/2G101501015SWRCH15R0/3G102001020SWRCH17R0/4G102501025SWRCH25KG103001030SWRCH30K 1/2G103501035SWRCH35K 3/8G104001040SWRCH40KG104401044SWRCH45KG102601026G103001030SWRCH30K1034SWRCH35K2G104001040SWRCH40K1G104501045SWRCH45K162G511505115G512005120G514005140 1 1/21518SWRCHB6209/0G413004130G413504135G414004140Gr·65SB450SB480Gr·300SR235Gr·250SD345A706M SD345Gr·450A615MGr·400SD390Gr·500SD490A706M SD390A615MGr·42SPFC490Gr·42SPFC490Gr·50SPFC590Fe510CGr·50SPFC590SPFC590STKT540STKT540STKT540SEV295SMA570G132001320SMn420150M19 G133001330SMn433150M28G133501335SMn433150M36 G134001340SMn438G134501345SMn443G5040150B40G5046150B46G5050150B50G511505150SCr415527A17G512005120SCr420527A19 G513005130SCr430530A30 G5135005135SCr435530A36 G514005140SCr440530A40 G514505145SCr445G515005150SCM415G411904119SCM420CDS12 G413004130SCM430CDS13G413504135SCM435708A37 G414004140SCM440708A40(SAE)6470E SACM645905M35G612006120(SAE)6140G615006150SUP10735A50G512005120SMnC4205140SMnC4434119SCM421708M40SCM4403120637M17G314003140SNC236640M40G31450314531503215SNC4153415SNC815655M133435SNC631653M313335SNC836G331063310659M153320Mo2G862008620SNCM220805M20 Mo4G434004340SNCM439817M40SNCM447G106501065080A67G107001070070A72G108401084SUP3G156601566G925509255SUP6250A53G926009260SUP7250A58685A55G515505155SUP9G516005160SUP9A527H60 G416104161SUP13805A60 G615006150SUP10735A50 G5160151B60SUP11AG5098650100G519865110SUJ1SUJ3G5298652100SUJ2535A99 G411804118SCM420G862008620805AG432004320G33160E3316SNCM220G93106E9310SNCM420S4*******C SUS440CSK7,SK6T72301W108Extra SK6,SK5T72301W108SpecialT72301W109Extra SK5,SK4BW1A T72301W109Special SK4,SK3BW1B T72301W110ExtraT72301W110Special SK3BW1B T72301W110ExtraT72301W110SpecialT72301W112Extra SK2BW1CT72301W112SpecialSK1T72305W5SKS8T61203L3BL3L7T60601F1SKS21BF1SKS41T41901S1BS1T30403D3SKD3BD3T30402D2SKD2BD2 MoV12SKD11BD2A MoV51T30102A2SKD12BA2T31502O2BO2T31507O7SKS31T31501O1SKS3BO1V1G SKT5T61206L6SKT4T20821H21SKT5BH21BH10T20811H11SKD6BH11T20813H13SKD61T20812H12SKD62T51620P20T12001T1SKH2BT1T12004T4SKH3BT4T12005T5SKH4BT5T12015T15SKH10BT15 T11302M2SKH51BM2T11313M3-1SKH52T11323M3-2SKH53T11307M3SKH58BM1T11335M35SKH55T11341M41T11342M42SKH59BM42S2*******SUS201S2*******SUS202284S16 S3*******SUS301301S21 S3*******SUS302302S25S3*******SUS303303S21 S3*******Se SUS303e303S41S3*******SUS304304S15S3*******L SUS304L304S12 S3*******N SUS304N1304NS30452XM21SUS304N2S3*******LN SUS304LN304S62 S3*******SUS305305S19S3*******S SUS309S310S31 S3*******S SUS310S316S16S3*******SUS316S3*******L SUS316L316S12 S3*******N SUS316NS3*******LN SUS316LN316S61SUS316J1SUS316J11S3*******SUS317317S16 S3*******L SUS317L317S12SUS317J1321S20 S3*******SUS321321S12 S3*******SUS347347S17S30430XM7SUSXM7S38100XM15SUSXM15J1S3*******SUS329J1S4*******SUS405405S17SUS410LS4*******SUS430430S15 S4*******F SUS430FS4*******SUS434434S17 S44700SUS447J1S44625XM27SUSXM27S4*******SUS403403S17 S4*******SUS410410S27 S4*******S SUS410S403S17 S4*******SUS416SUS410J1S4*******SUS420J1420S37SUS420J2420S45 S4*******F SUS420FS4*******SUS431431S29 S4*******A SUS440AS4*******B SUS440BS4*******C SUS440CS4*******F SUS440FS4*******C SUS440CS4*******B SUS440BS1*******SUS630S1*******SUS631S1*******SUS301J1S3*******B SUS302BS4*******SUS429SUS430LXSUS436LSUS444SUS429J1K63008SUH35349S52 K63017SUH37381S34S3*******SUH309309S24S3*******SUH310310S24N08330330SUH331K66286660SUH660S3*******SUS304304S15 S3*******S SUS309SS3*******S SUS310S310S31 S3*******SUS316316S31 K66009SUH31331S42S3*******SUS317317S16321S20 S3*******SUS321321S12S3*******SUS347347S17 S318100XM15SUSXM15J1S3*******SUS310S310S24 S4*******SUH446S4*******SUS405405S17SUS410LS4*******SUS430430S15 S5*******K65007SUH1410S45 K64005SUH3K65006SUH4443S64SUS410J1FC100100F1140120FC150150F1210130FC200200F1240135FC250250F1310145FC300300F1350150FC350350FCMB28B290/6FCMB310B310/10F2220032510FCMB314B340/12 F2240035018FCMB360F2313145006FCMP440P440/7 F2413060004FCMP540P540/5 F2553080002F2623090001FCMP690P690/2FCMW330W340/3FCMW370W410/4FCMW440F3280060-40-18400/18FCD400F3310065-45-12FCD450450/10 70-50-05FCD500500/7F3410080-60-03FCD600600/3F34800100-07-03FCD700700/2F36200120-90-02FCD800800/2900/2 J02500U-60-30SC410A1J0300965-35SC450J0350170-36SC480A280-50A390-60SCC5A A4J91150CA-15SCS1410C21 J91153CA-40SCS2420C29SCS24SCS18J92500CF-3452C11 J92600CF-8SCS19304C12SCS13304C15 J92710CF-8C SCS12302C25SCS21347C17J92900CF-8M348C17SCS22318C18SCS24阴极铜(99.96)CATH铜线锭Cu-CATH C10800C10800C11000C11000C1100C101C12700C12700C104(99.85) C10100(99.99)C10100C1011(99.98)C110(99.99) C10200C10200C1020(99.96)C103C12000C12000C1201C12200(99.90)C12200C1220C106C11600(99.90)C11600C21000(Cu95)C21000C2100CZ125C22000C22000C2200CZ101C23000C23000C2300CZ102C24000C24000C2400CZ103C26000C26000C2600CZ106C26200C26200C27000C27000C2700CZ107C27200C27200C2720CZ108C27400C27400C2800CZ109(Cu60) C28000(Cu60)C28000C2801CZ109(Cu60)C34200C34200C3560CZ124Pb0.5C35000C35000C3501C37000C37000C3701CZ123C38000C38000C3710CZ122C68700C68700C6870CZ110C44300C44300C4430CZ111CZ126 C41100C41100C46200C46200C4621,C4622CZ112C46400C46400C4640,C4641CZ113C67800C67800C6872C67000C67000CZ116CuZn40MSn C6782C67400C67400C67820C67820C6782CZ114C69400C69400C85500C85500DCB1C86300C86300HBsC4HTB2C86200C86200HBsC3HTB1 C86500C86500YBsC2C85710C85710YBsC3SCB3C87500C87500YBsC2DCB3,PCB1C54400C54400C5441C51900C51900C5191PB103C51900C51900C5191PB103C52100C52100C5212PB104C51100C51100C5101PB101C60600C60600CA101C61000C61000CA102n2C61900C61900CA106。
中外金属材料牌号对照表七国钢材牌号对照表国内外常用钢钢号对照表钢号中国前苏联美国英国日本法国德国GB ГОСТASTM BS JIS NF DIN08F 08КП 1006 040A04 S09CK C10优08 08 1008 045M10 S9CK C1010F 1010 040A10 XC1010 10 1010,1012 045M10 S10C XC10 C10,CK10质15 15 1015 095M15 S15C XC12 C15,CK1520 20 1020 050A20 S20C XC18 C22,CK2225 25 1025 S25C CK25碳30 30 1030 060A30 S30C XC3235 35 1035 060A35 S35C XC38TS C35,CK3540 40 1040 080A40 S40C XC38H1素45 45 1045 080M46 S45C XC45 C45,CK4550 50 1050 060A52 S50C XC48TS CK53结55 55 1055 070M55 S55C XC5560 60 1060 080A62 S58C XC55 C60,CK6015Mn 15Г1016,1115 080A17 SB46 XC12 14Mn4 构20Mn 20Г1021,1022 080A20 XC1830Mn 30Г1030,1033 080A32 S30C XC3240Mn 40Г1036,1040 080A40 S40C 40M5 40Mn4 钢45Mn 45Г1043,1045 080A47 S45C50Mn 50Г1050,1052 030A52 S53C XC48080M5020Mn2 20Г2 1320,1321 150M19 SMn420 20Mn530Mn2 30Г2 1330 150M28 SMn433H 32M5 30Mn5 合35Mn2 35Г2 1335 150M36 SMn438(H) 35M5 36Mn5 40Mn2 40Г2 1340 SMn443 40M545Mn2 45Г2 1345 SMn443 46Mn7金50Mn2 50Г2 ~55M520MnV 20MnV635SiMn 35CГEn46 37MnSi5结42SiMn 35CГEn46 46MnSi440B TS14B3545B 50B46H构40MnB 50B4045MnB 50B4415Cr 15X 5115 523M15 SCr415(H) 12C3 15Cr3钢20Cr 20X 5120 527A19 SCr420H 18C3 20Cr4 30Cr 30X 5130 530A30 SCr430 28Cr435Cr 35X 5132 530A36 SCr430(H) 32C4 34Cr440Cr 40X 5140 520M40 SCr440 42C4 41Cr445Cr 45X 5145,5147 534A7><99 SCr445 45C438CrSi 38XC12CrMo 12XM 620CR.B 12CD4 13CrMo4415CrMo 15XM A-387Cr . B 1653 STC42 12CD416CrMo44STT42STB42合20CrMo 20XM 4119,4118 CDS12 SCT42 18CD4 20CrMo44CDS110 STT42STB42金25CrMo 4125 En20A 25CD4 25CrMo430CrMo 30XM 4130 1717COS110 SCM420 30CD442CrMo 4140 708A42 42CD4 42CrMo4 结708M4035CrMo 35XM 4135 708A37 SCM3 35CD4 34CrMo412CrMoV 12XMΦ构12Cr1MoV 12X1MΦ13CrMoV4225Cr2Mo1VA 25X2M1ΦA20CrV 20XΦ6120 22CrV4钢40CrV 40XΦA 6140 42CrV650CrVA 50XΦA 6150 735A30 SUP10 50CV4 50CrV415CrMn 15XГ,18XГ20CrMn 20XГCA 5152 527A60 SUP930CrMnSiA 30XГCA40CrNi 40XH 3140H 640M40 SNC236 40NiCr620CrNi3A 20XH3A 3316 20NC11 20NiCr1430CrNi3A 30XH3A 3325 653M31 SNC631H 28NiCr103330 SNC63120MnMoB 80B2038CrMoAlA 38XMIOA 905M39 SACM645 40CAD6.1241CrAlMo0740CrNiMoA 40XHMA 4340 871M40 SNCM43940NiCrMo22弹60 60 1060 080A62 S58C XC55 C6085 85 C1085 080A86 SUP31084簧65Mn 65Г156655Si2Mn 55C2Г 9255 250A53 SUP6 55S6 55Si760Si2MnA 60C2ГA 9260 250A61 SUP7 61S7 65Si7 钢9260H50CrVA 50XΦA 6150 735A50 SUP10 50CV4 50CrV4滚GCr9 ШX9 E51100 SUJ1 100C5 105Cr4动51100轴GCr9SiMn SUJ3承GCr15 ШX15 E52100 534A<99 SUJ2 100C6 100Cr6 钢52100GCr15SiMn ШX15CГ100CrMn6易Y12 A12 C1109 SUM12切Y15 B1113 220M07 SUM22 10S20削Y20 A20 C1120 SUM32 20F2 22S20钢Y30 A30 C1130 SUM42 35S20Y40Mn A40ГC1144 225M36 45MF2 40S20耐磨钢ZGMn13 116Г13ЮSCMnH11 Z120M12X120Mn12T7 y7 W1-7 SK7,SK6 C70W1碳T8 y8 SK6,SK5素T8A y8A W1-0.8C 1104Y175 C80W1工T8Mn y8ГSK5具T10 y10 W1-1.0C D1 SK3钢T12 y12 W1-1.2C D1 SK2 Y2 120 C125WT12A y12A W1-1.2C XC 120 C125W2T13 y13 SK1 Y2 140 C135W8MnSi C75W39SiCr 9XC BH21 90CrSi5Cr2 X L3 100Cr6合Cr06 13X W5 SKS8 140Cr39Cr2 9X L 100Cr6金金W B1 F1 BF1 SK21 120W4Cr12 X12 D3 BD3 SKD1 Z200C12 X210Cr12 工Cr12MoV X12M D2 BD2 SKD11 Z200C12 X165CrMoV46 9Mn2V 9Г2Φ 02 80M80 90MnV8具9CrWMn 9XBГ01 SKS3 80M8CrWMn XBГ07 SKS31 105WC13 105WCr6 钢3Cr2W8V 3X2B8ΦH21 BH21 SKD5 X30WC9VX30WCrV935CrMnMo 5XГM SKT5 40CrMnMo75CrNiMo 5XHM L6 SKT4 55NCDV7 55NiCrMoV64Cr5MoSiV 4X5MΦC H11 BH11 SKD61 Z38CDV5X38CrMoV514CrW2Si 4XB2C SKS41 40WCDS35-12 35WCrV75CrW2Si 5XB2C S1 BSi 45WCrV7W18Cr4V P18 T1 BT1 SKH2 Z80WCV S18-0-1 高18-04-01速W6Mo5Cr4V2 P6M3 N2 BM2 SKH9 Z85WDCV S6-5-2工06-05-04-02具W18Cr4VCo5 P18K5Φ2 T4 BT4 SKH3 Z80WKCV S18-1-2-5 钢18-05-04-01W2Mo9Cr4VCo8 M42 BM42 Z110DKCWV S2-10-1-809-08-04-02-011Cr18Ni9 12X18H9 302 302S25 SUS302 Z10CN18.09X12CrNi188S30200Y1Cr18Ni9 303 303S21 SUS303 Z10CNF18.09X12CrNiS188S30300不0Cr19Ni9 08X18H10 304 304S15 SUS304 Z6CN18.09X5CrNi189S3040000Cr19Ni11 03X18H11 304L 304S12 SUS304L Z2CN18.09 X2CrNi189S304030Cr18Ni11Ti 08X18H10T 321 321S12 SUS321 Z6CNT18.10X10CrNiTi189锈S32100 321S200Cr13Al 405 405S17 SUS405 Z6CA13 X7CrAl13S405001Cr17 12X17 430 430S15 SUS430 Z8C17 X8Cr17 钢S430001Cr13 12X13 410 410S21 SUS410 Z12C13 X10Cr13S410002Cr13 20X13 420 420S37 SUS420J1 Z20C13 X20Cr13S420003Cr13 30X13 420S45 SUS420J27Cr17 440A SUS440AS440020Cr17Ni7Al 09X17H7Ю631 SUS631 Z8CNA17.7X7CrNiAl177S177002Cr23Ni13 20X23H12 309 309S24 SUH309 Z15CN24.13S309002Cr25Ni21 20X25H20C2 310 310S24 SUH310 Z12CN25.20 CrNi2520耐S310000Cr25Ni20 310S SUS310SS31008热0Cr17Ni12Mo2 08X17H13M2T 316 316S16 SUS316Z6CND17.12 X5CrNiMo1810S316000Cr18Ni11Nb 08X18H12E 347 347S17 SUS347 Z6CNNb18.10 X10CrNiNb189钢S347001Cr13Mo SUS410J11Cr17Ni2 14X17H2 431 431S29 SUS431 Z15CN16-02X22CrNi17S431000Cr17Ni7Al 09X17H7Ю631 SUS631 Z8CNA17.7X7CrNiAl177S17700BY:李军辉录入并校对 Mar.16,2000七国铝及其合金牌号对照表国内外常用铝及铝合金牌号对照表类中国美国英国日本法国德国前苏联别GB ASTM BS JIS NF DIN ГОСТ工1A<99 11<99 A1<99.<99R A<99业1A97 A1<99.98R A97纯1A95 A95铝1A80 1080(1A) 1080 1080A A1<99.90 A8 1A50 1050 1050(1B) 1050 1050A A1<99.50 A5防5A02 5052 NS4 5052 5052 A1Mg2.5 Amg锈5A03 NS5 AMg3铝5A05 5056 NB6 5056 A1Mg5 AMg5V5A30 5456 NG61 5556 59572A01 2036 2117 2117 AlCu2.5Mg0.5 D18硬2A11 HF15 2017 2017S AlCuMg1 D1铝2A12 2124 2024 2024 AlCuMg2 D16AVTV 2B16 2319锻2A80 2N01 AK42A90 2218 2018 AK2铝2A14 2014 2014 2014 AlCuSiMn AK8超硬铝7A09 7175 7075 7075 AlZnMgCu1.5 V95PZAlSi7Mn 356.2 LM25 AC4C G-AlSi7Mg 铸ZAlSi12 413.2 LM6 AC3A A-S12-Y4 G-Al12 AL2造ZAlSi5Cu1Mg 355.2 AL5铝ZAlSi2Cu2Mg1 413.0 AC8A G-Al12(Cu)合ZAlCu5Mn AL19金ZAlCu5MnCdVA 201.0ZAlMg10 520.2 LM10 AG11 G-AlMg10 AL8ZAlMg5Si G-AlMg5Si AL13By:Jeffrey Lee Mar.16,2000不锈钢不锈耐酸钢项目中国日本德国美国英国法国前苏联GB,YB JIS DIN(W-Nr.) ASTM AISI SAE BS NF ГОСТ0Cr13 SUS405 X7Cr13(1.4000) 405 405S1708X13(0X13)SUS429 429SUS416 416 416S21 Z12CF131Cr17 SUS430 X8Cr17(1.4016) 430 430S15 Z8C1712X17(X17)SUS430F X12CrMoS17(1.4104) 430FZ10CF17SUS434 X6CrMo17(1.4113) 434 434S19 Z8CD17-01 1Cr28 X8Cr28(1.4083) 15X28(X28)0Cr17Ti 08X17T(0X17T)1Cr17Ti X8CrTi17(1.4510)1Cr25Ti 25X25T(X25T)1Cr17Mo2Ti X8CrMoTi17(1.4523)1Cr13 SUS410, X10Cr13(1.4006), 410, 410S21,Z12C13 12X13(1X13)SUS403 X15Cr13(1.4024) 403 403S17SUS410S X7Cr13(1.4000) 410S Z6C1308X13(0X13)2Cr13 SUS420J1 X20Cr13(1.4021) 420 420S37 Z20C13 20X13(2X13)420S29SUS420F 420F Z30CF133Cr13 SUS420J2 420S45 Z30C13 30X13(3X13)4Cr13 X40Cr13(1.4034) Z40C1440X13(4X13)1Cr17Ni2 SUS431 X22CrNi17(1.4057) 431 431S2914X17H2(1X17H2)9Cr18 95X18(9X18)9Cr18MoV X90CrMoV18(1.4112)SUS440A 440ASUS440B 440BSUS440C 440C Z100CD17SUS440F 440FSUS305 X5CrNi19 11(1.4303) 305 305S19 Z8CN18-12 00Cr18Ni10 SUS304L X2CrNi18 9(1.4306) 304L304L12 Z2CN18-10 03X18H11(000X18H11)0Cr18Ni9 SUS304 X5CrNi18 9(1.4301) 304 304S15Z6CN18-09 08X18H10(0X18H10)1Cr18Ni9 SUS302 X12CrNi18 8(1.4300) 302 302S25Z10CN18-09 12X18H9(X18H9)2Cr18Ni9 17X18H9(2X18H9)SUS303 X12CrNiS18 8(1.4305) 303 303S12Z10CNF18-09SUS303Se 303Se 303S1412X18H10E(X18H10E)SUS201 201SUS202 202 284S16 12X17 Г 9AH4(X17 Г 9AH4)SUS301 301 301S21 Z12CN17-070Cr18Ni9Ti SUS321 X10CrNiTi18 9(1.4541) 321 321S12Z6CNT18-11 08X18H10T(0X18H10T)1Cr18Ni9Ti X10CrNiTi18 9(1.4541) 321S20 Z10CNT18-11 12X18H10T(X18H10T),12X18H9T(X18H9T)1Cr18Ni11Nb SUS347 X10CrNiNb18 9(1.4550) 347 347S17 Z10CNNb18-10 08X18H12 ь(0X18H12 ь )SUS384 384 Z6CNC18-16SUS385 385SUS XM7 XM7 Z6CNU18-10SUS XM15J1 XM152Cr13Mn9Ni4 20X13H4 Г 9(2X13H4 Г 9)1Cr18Mn8Ni5N 15X17A Г 14(X17A Г 14)0Cr18Ni2Mo2Ti X10CrNiMoTi18 10(1.4571)Z8CNDT17-12 10X17H13M2T(X17H13M2T)1Cr18Ni12Mo2Ti X10CrNiMoTi18 10(1.4571)Z8CNDT17-12 10X17H13M2T(X17H13M2T)SUS308 308SUS309S 309SSUS310S 310S00Cr17Ni14Mo3 SUS317L X2CrNiMo18 10(1.4438) 317L 317S12 Z2CND19-150Cr18Ni12Mo3Ti 320S17 Z8CNDT17-131Cr18Ni12Mo3Ti Z8CNDT17-13SUS317 317 317S16SUS316 X2CrNiMo18 10(1.4401) 316Z6CND17-12SUS316L X2CrNiMo18 10(1.4404), 316L 316S12 Z2CND17-12, 03X17H14M2X2CrNiMo18 12(1.4435) Z2CND17-13 (000X17H13M2)00Cr18Ni14Mo2Cu2 SUS316J1L0Cr18Ni18Mo2Cu2Ti X5CrNiMoCuTi18 18(1.4506)0Cr17Ni7Al SUS631 X7CrNiAl17 7(1.4568) 631Z8CNA17-7 09X17H7 ю(0X17H7 ю )SUS630 630工具钢弹簧钢、滚动轴承钢、高速工具钢项目中国日本德国美国英国法国前苏联国际GB,YB JIS DIN(W-Nr.) ASTM AISI SAE BS NF ГОСТISO弹簧钢 65 C67(1.0761) 1064, 1064, 1064, 080A67 XC65 65CK67(1.1231) 1065 1065 106570 C67(1.0761) 1070 1070 1070 070A72 XC70 70CK67(1.1231)75 C75(1.0773) 1074 1074 1074 070A78 XC70, 75XC8085 SUP3 1084 1084 1084 080A86 8565Mn 1566 1566 65 Г-106655Si2Mn SUP6 55Si7(1.0904) 9255 9255 9255 250A53 55S6, 55C256S760Si2Mn SUP7 65Si7(1.0906), 9260 9260 9260250A58, 61S7 60C266Si7(1.5028), 250A6160SiCr7(1.0961)60Si2CrA 67SiCr5(1.7103) 9254 925460C2XA50CrMn SUP9 55Cr3(1.7176) 527A60 50X Г50CrVA SUP10 50CrV4(1.8159) 6150 6150 6150 735A50 50CV4 50X Φ A滚动轴承钢GCr6 105Cr2(1.3501) E50100 50100100C3 Ш X6GCr9 SUJ1 105Cr4(1.3503) E51100 51100 51100534A<99 100C5 Ш X9GCr15 SUJ2 100Cr6(1.3505) E52100 52100 52100534A<99 100C6 Ш X15GCr9SiMn SUJ3 A485-Gr.1GCr15SiMn 100CrMn6(1.3520) Ш X15C Г高速工具钢W18Cr4V SKH2 (S18-0-1)(1.3355) T1 T1 BT1 4201 P18Z80WCV4/1/18SKH3 S18-1-2-5(1.3255) T4 T4 BT4 4271Z80WKCV18-05-04-01SKH4A T5 T5 BT5 4275Z80WKCV18-10-04-02SKH4B T6 T6 BT6SKH10 S12-1-4-5(1.3202) T15 BT15 4175 P10K5 φ 5Z165WKCV12-05-05-04SKH9 S6-5-2(1.3343) M2 M2 BM2 4301Z85WDCV06-05-04-02SKH52 M3-1 M3-1SKH53 S6-5-3(1.3344) M3-2 M3-2SKH54 M4 BM14 4361Z130WDCV06-05-04-04SKH55 S6-5-2-5(1.3243) 4371Z85WDKCV06-05-05-04-02SKH56 M36 M36SKH57 S10-4-3-10(1.3207)W12Cr4V4Mo S12-4(1.3302) P14 φ 4合金工具钢合金工具钢项目中国日本德国美国英国法国前苏联国际GB,YB JIS VDEh(W-Nr.) ASTM AISI SAE BS NF ГОСТISO(1) 量具刃具用9SiCr 90CrSi5(1.2108)9XC8MnSi C75W3(1.1750)钢组CrMn 145Cr5(1.2063) X ГSKS51 L6 L6CrW5 SKS1 XB5SKS11 F2 F2SKS7 O7 O7 2142110WC20CrO6 SKS8 140Cr3(1.2008) 1230 13XY2135CCr2 100Cr6(1.2067), L3 X105Cr5(1.2060)9Cr2 85Cr7(1.2064) 9XSKS2 2141 B1100WC10V SKS43 W2-91/2, BW2 1162 ψW1-91/2 Y1105VW SKS21 F1 BF1(2) 耐冲击工具4CrW2Si SKS41 35WCrV7(1.2541), S1 S1 BS1 2341 4XB2C用钢组45WCrV7(1.2542) 55WC20 5CrW2Si 45WCrV7(1.2542) BS1 5XB2C SKS42 80WCrV8(1.2552)6CrW2Si 6XB2CSKS44 W2-81/2(3) 冷作模具钢组Cr12 SKD1 X210Cr12(1.2080) D3 D3BD3 2233 X12Z200C12Cr12MoV SKD11 X165CrMoV12(1.2601) D2 D2 BD2, 2235 X12MBD2A Z160CDV12Cr6WV X6B ψSKD12 A2 A2 BA2 2231Z100CDV59Mn2 O2 O29Mn2V 90MnV8(1.2842) O2 O2 BO2 221190MV8冷作模具钢组MnCrWV O1 O1 BO1CrWMn SKS31 105WCr6(1.2419) 2212 XB Г90MCW59CrWMo SKS3 9XB ГSKD2 X210CrW12(1.2436) D7 D7(4) 热作模具钢组5CrMnMo SKT3 40CrMnMo7(1.2311) 6G(ASM) 6G 5X Г MSKT5 48CrMoV67(1.2323) 6G(ASM) 6GSKT2 6150 6150 6150SCrNiMo SKT4 55NiCrMoV6(1.2713) 6F2(ASM) 6F2 3381 5X Г M55NCDV73Cr2W8V SKD5 X30WCrV53(1.2567) H21 H21 BH21, 3543 3X2B8 ψBH21A Z30WCV94SiCrV 38SiCrV8(1.2248) 4XC45SiCrV6(1.2249)8Cr3 8X34Cr5MoVSi SKD6 X38CrMoV51(1.2343) H11 H11 BH11 3431Z38CDV5SKD4 4X2B5 ψ MSKD61 X40CrMoV51(1.2344) H13 H13 BH13SKD62 H12 H12 BH12 3432Z38CDWV5冷作模具钢组MnCrWV O1 O1 BO1CrWMn SKS31 105WCr6(1.2419) 2212 XB Г90MCW59CrWMo SKS3 9XB ГSKD2 X210CrW12(1.2436) D7 D7(4) 热作模具钢组5CrMnMo SKT3 40CrMnMo7(1.2311) 6G(ASM) 6G 5X Г MSKT5 48CrMoV67(1.2323) 6G(ASM) 6GSKT2 6150 6150 6150SCrNiMo SKT4 55NiCrMoV6(1.2713) 6F2(ASM) 6F23381 5X Г M55NCDV73Cr2W8V SKD5 X30WCrV53(1.2567) H21 H21 BH21, 3543 3X2B8 ψBH21A Z30WCV94SiCrV 38SiCrV8(1.2248) 4XC45SiCrV6(1.2249)8Cr3 8X34Cr5MoVSi SKD6 X38CrMoV51(1.2343) H11 H11 BH11 3431Z38CDV5SKD4 4X2B5 ψ MSKD61 X40CrMoV51(1.2344) H13 H13 BH13SKD62 H12 H12 BH12 3432Z38CDWV5淬透性合金结构钢淬透性合金结构钢项目中国日本德国美国英国法国前苏联国际GB,YB JIS DIN(W-Nr.) ASTM AISI SAE BS NF ГОСТISOSMn433H 1330H 1330H 1330H(SMn1H)SMn438H 1041H 1041H 1041H(SMn2H)SMn443H 1041H 1041H 1041H(SMn3H)SCr420H 5120H 5120H 5120H(SCr22H)SCr430H 5130H 5130H 5130H 530H30(SCr2H)SCr435H 5135H 5135H 5135H 503H36(SCr3H)SCr440H 5140H 5140H 5140H 503H40(SCr4H)SCM418H 4118H 4118H 4118HSCM435H 4135H 4135H 4135H 640H35 30CD4(SCM3H)SCM440H 4140H 4140H 4140H 708H42(SCM4H)SCM445H 4145H 4145H 4145H(SCM5H)SNC631H 30NC11(SNC2H)SNC815H 655H13(SNC22H)SNCM220H 8620H 8620H 8620H 20NCD2(SNCM21H)SNCM420H 4320H 4320H 4320H(SNCM23H)合金结构钢合金结构钢(1)合金结构钢(2)合金结构钢(3)项目中国日本德国美国英国法国前苏联国际GB,YB JIS DIN(W-Nr.) ASTM AISI SAE BS NF ГОСТISO(1) 锰钢组09Mn2 09 Г 210Mn2 1513 1513 10 Г 215Mn2 15 Г 220Mn2 SMn420 1024 1024 1524 150M19 20 Г 2(SMn21) -102430Mn2 SMn433 28Mn6(1.5065), 1330 1330 1330 150M2830 Г 2(SMn1) 30Mn5(1.5066)35Mn2 SMn438 36Mn5(1.5067) 1335 1335 1335 150M3635 Г 2(SMn2)40Mn2 Smn443 (SMn3) 1340 1340 1340 40 Г 245Mn2 Smn443 (SMn3) 1345 1345 1345 45 Г 250Mn2 1052 1052 1552 50 Г-1052(2) 硅锰钢组27SiMn 27C Г35SiMn 37MnSi5(1.5122) 35C Г42SiMn 46MnSi4(1.5121) 43C Г15MnV 15MnV5(1.5213)(3) 锰钒钢组42Mn2V 42MnVT(1.5223)(4) 铬钢组15Cr SCr415 ( SCr21 )5115 511512C3 15X20Cr SCr240 ( SCr22 )5120 5120 5120 527A19, 18C3 20X527M2030Cr SCr430 ( SCr2 )5130, 5130, 5130, 530A30,32C4 30X5132 5132 5132 530A3235Cr SCr435 ( SCr3 )34Cr4(1.7033), 5135 51355135 530A36 38C4 35X R683/ Ⅶ 237Cr4(1.7034)40Cr SCr440 ( SCr4 )41Cr4(1.7035) 5140 5140 5140 530A40, 42C4 40X R683/ Ⅶ 3530M4045Cr SCr445 ( SCr5 )5147, 5147, 5147, 45C4 45X5145 5145 514550Cr 5150 5150 5150 50X(5) 铬硅钢组38CrSi 38XC40CrSi 40XC(6) 铬锰钢组38CrMn 16MC5 15X Г ,18X Г15CrMn 20MnCr4(1.7147) 20MC5 20X Г40CrMn 40X Г合金结构钢(2)项目中国日本德国美国英国法国前苏联国际GB,YB JIS DIN(W-Nr.) ASTM AISI SAE BS NF ГОСТISO(7) 铬锰硅钢组20CrMnSi 20X Г C25CrMnSi 25X Г C30CrMnSi 30X Г C35CrMnSi 35X Г CA(8) 铬钒钢组20CrV 22CrV4(1.7513)20X ψ40CrV 42CrV6(1.7561) 40X ψ A50CrV SUF10 50CrV4(1.8159) 6150 6150 6150 735A50 50CV4 50X ψ A(9) 铬锰钛钢组30CrMnTi 30X Г T(10) 钼钢组16Mo 15Mo3(1.5415) 16M(11) 铬钼钢组 12CrMo 13CrMo44(1.7335)1501-620Gr · 27 12CD4 12XM15CrMo SCM415 16CrMo44(1.7337) A387Cr 12CD415XM(SCM21) · 1220CrMo SCM420 25CrMo4(1.7218) 18CD4 20XM(SCM22) 20CD430CrMo SCM430 34CrMo4(1.7220) 4130 4130 413030CD4 30XM(SCM2)35CrMo SCM435 34CrMo4(1.7220) 4135 4135 4135 708A37 35CD4 35XM R683/ Ⅱ 2(SCM3)42CrMo SCM440 42CrMo4(1.7225) 4140 4140 4140 708M40,42CD4 R683/ Ⅱ3(SCM4) 708A42,709M40SCM421 R683/ Ⅺ 7(SCM23)SCM418 4118 4118 4118SCM445 50CrMo4(1.7228) 4145 4145 4145(SCM5)SCM822 25CrMo4(1.7218) 25CD4(SCM24)38CrMoAl SACM645 34CrAlMo5(1.8507) 905M3938XM ю A R683/ Ⅹ4(SACM1)(12) 铬锰钼钢组15CrMnMo 15CrMo5(1.7262)20CrMnMo 20CrMo5(1.7264) 18X Г M40CrMnMo 4140 4140 4140 708A42 40X Г M,38X Г M(13) 铬锰钒钢组12CrMoV 24CrMoV55(1.7733)12XM ψ12Cr1MoV 12X1M ψ24CrMoV 35 ψ M ψ A35CrMoV合金结构钢(3)项目中国日本德国美国英国法国前苏联国际GB,YB JIS DIN(W-Nr.) ASTM AISI SAE BS NF ГОСТISO(14) 镍铬钢组 12CrNi2 SNC415 10N11, 12XH2(SNC21) 16NC1112CrNi3A SNC815 14NiCr10(1.5732) -3415 665M1310NC12, 12XH3A(SNC22) 14NC1212Cr2Ni4A (E3310), (3310), 12NC1512X2H2A(E3316) 331620CrNi -3120 -3120 635M15 20NC6 20XH20CrNi3A 20NC11 20XH3A20Cr2Ni4A -3325 30NC14 20X2H4A30CrNi3A SNC631 -3435 653M31 30NC11, 30XH3A(SNC2) 30NC1237CrNi3A SNC836 -3335 35NC15(SNC3)40CrNi SNC236 -3140 -3140 640M40 35NC6 40XH(SNC1)45CrNi (A3145) -3145 45XH(15) 镍铬钼钢组40CrNiMoA SNCM439 4340 4340, 4340, 817M40, 40XMA R683/ Ⅲ4(SNCM8) -4337 4337 816M40SNCM220 8620 8620 8620 805M20 20NCD2R683/ Ⅺ 12(SNCM21)SNCM240 8640 8640 8640 945M38,R683/ Ⅷ 1(SNCM6) 945A40SNCM415 4315(SNCM22)SNCM420 4320 4320 4320(SNCM23)SNCM431 -4337 -4337(SNCM1)SNCM447 4347(SNCM9)SNCM625 830M31(SNCM2)SNCM815 835M15 R683/ Ⅺ 14(SNCM25)(16) 硼钢组40B TS14B3540B 50B36H40MnB TS14B35H40MnB TS14B50H合金结构钢(2)合金结构钢(3)碳素工具钢碳素工具钢项目中国日本德国美国英国法国前苏联国际GB,YB JIS DIN(W-Nr.) ASTM AISI SAE BS NF ГОСТISOT7 SK7,SK6 W1-7 1204Y275, Y71304Y375T8 SK6,SK5 W1-71/2 Y8T8Mn SK5 Y8 ГT9 SK4,SK5 W2-81/2, WB1A Y9W1-81/2T10 SK3,SK4 W2-91/2, BW1B 1203Y290, Y10W1-91/2 1303Y390T11 SK3 W1-101/2 1202Y2105 Y11T12 SK2 W1-111/2 BW1C 1201Y2120 Y12T13 SK1 W2-13, 1200Y2135 Y13W1-121/2T7A 1105Y165 Y7AT8A C80W1(1.1525) 1104Y175 Y8A(VDEh)T8MnA C85WS(1.1830) Y8 Г A(VDEh)T9A 1103Y190 9YAT10A C105W1(1.1545) Y10A(VDEh)T11A 1102Y1105 Y11AT12A 1101Y1120 Y12AT13A Y13A优质碳素结构钢优质碳素结构钢(1)普通含锰量组较高含锰量组项目中国日本德国美国英国法国前苏联国际GB,YB JIS DIN(W-Nr.) ASTM AISI SAE BS NF ГОСТISO普05F 1005 1005 015A03 05kn08F 1006 1006 1006 040A04 08kn 通8 S09CK(S9CK) C10(1.0301), 1008 1008 1008 050A04 8CK10(1.1121)含10F 1010 1010 1010 040A10 10kn10 S10C CK10(1.1121) 1010 1010 1010 040A10,XC10 10锰050A10,060A10量S12C 1012 1012 1012 040A12, XC12050A12,组060A1215F 040A15 15kn15 S15C, C15(1.0401), 1015 1015 1015 040A15,15CK15(1.1141), 050A15,S15CK Cm15(1.1140) 060A15S17C 1017 1017 1017 040A17, XC18050A17,060A1720F 040A20 20kn20 S20C, 1020 1020 1020 050A20, 20S20CK 060A20S22C C22(1.0402), 1023 1023 1023 040A22,CK22(1.1151) 050A22,060A2225 S25C 1025, 1025, 1025, 060A25, XC25 25R683/IC25e1026 1026 1026 080A25S28C 1029 1029 1029 060A27,080A2730 S30C 1030 1030 1030 060A30, XC32 30R683/IC30e080A30,080M30S33C 1035 1035 1035 060A32,080A3235 S35C C35(1.0501), 1035, 1035, 1035, 060A35,XC35 35 R683/IC35eCK35(1.1181), 1037 1037 1037 080A35Cm35(1.1180)优质碳素结构钢(2)项目中国日本德国美国英国法国前苏联国际GB,YB JIS DIN(W-Nr.) ASTM AISI SAE BS NF ГОСТISO普S38C 1038 1038 1038 060A37, XC38080A37通40 S40C 1040, 1040, 1040, 060A40, 40R683/IC40e1039 1039 1039 080A40,含080M40S43C 1042, 1042, 1042, 060A42, XC42 锰1043 1043 1043 080A4245 S45C C45(1.0503), 1045, 1045, 1045, 060A47,XC45 45 R683/IC45e量CK45(1.1191), 1046 1046 1046 080A47,Cm45(1.1201) 080M46钢S48C 1045, 1045, 1045, 060A47, XC481046, 1046, 1046, 080A47组1049 1049 104950 1050, 1050, 1050, 080M50 50 R683/IC50e1053 1053 1053S53C 1055 1055 1055 060A52,080A5255 S55C C55(1.0535), 1055 1055 1055 070M55,XC55 55 R683/IC55eCK55(1.1181), 060A57,Cm55(1.1209) 080A5760 S58C C60(1.0601), 1060 1060 1060 060A62,60 R683/IC60eCK60(1.1221), 080A62Cm60(1.1223)65 1065 1065 1065 060A67, XC65 65080A6770 1070 1070 1070 060A72, XC70 70070A72,080A7275 1074 1074 1074 060A78, 75070A78,080A7880 1080 1080 1080 060A82, XC80 80080A8385 1084 1084 1084 060A86, 85080A86优质碳素结构钢(3)项目中国日本德国美国英国法国前苏联国际GB,YB JIS DIN(W-Nr.) ASTM AISI SAE BS NF ГОСТISO较15Mn 17Mn4(1.8044) 1016, 1016, 1016, 080A15,15 Г1019 1019 1019 080A17高20Mn 1021, 1021, 1021, 080A20, XC18 20 Г含1022 1022 1022 070M2025Mn S28C 1026 1026 1026 070M26 25 Г锰30Mn S30C 1030 1030 1030 080A30, XC32 30 Г080A32量35Mn S35C 1037 1037 1037 080A35 35 Г40Mn S40C 40Mn4(1.5038) 1039, 1039, 1039, 080A4040 Г钢1040 1040 104045Mn S45C 1043, 1043, 1043, 080A47 45 Г组1046 1046 104650Mn S53C 1050, 1050, 1050, 080A52, XC48 50 Г1053 1053 1053 080M5060Mn 1561 1561 080A64 60 Г65Mn 1566 1566(1066) 65 Г70Mn 1572 1572 70 Г普通含锰量组较高含锰量组普通碳素结构钢普通碳素结构钢中国国际原苏联美国日本德国英国法国GB/T 700 ISO 3573 ISO 630 GOST 535 GOST 380 ASTM A283M ASTM A573M ASTM A284M ASTM A709M JIS G3101 JIS G3131 JIS G3106 DIN EN10025 BS 970 Part1 BS EN10025 NF EN10025 Q 195 HR2 CT1KP Gr.B SS 330(SS34) SPHC 040A10CT1CP SPHDCT1PCQ 215 A HR1 CT2KP-2 Gr.C Gr.58 SS 330(SS34) SPHC Fe 360 C 040A12 Fe 360 C Fe 360 CCT2PC-2CT2CP-2Q 215 B CT2KP-3 Gr.C Gr.58 Gr.C SS 330(SS34) SPHC 040A12CT2PC-3 SPHDCT2CP-3Q235 A Fe 360 A CT3KP-2 Gr.D SS 400(SS41) SM 400A(SM41A) Fe 360 B 080A15 Fe 360 B Fe 360 BCT3PC-2 Fe 360 CCT3CP-2 Fe 360 C Fe 360 CQ 235 B Fe 360 D CT3KP-3 Gr.D SS 400(SS41) SM 400A(SM41A) Fe 360 B 080A15 Fe 360 B Fe 360 BCT3PC-3 Fe 360 C Fe 360 C Fe 360 CCT3CP-3Q 235 C Fe 360 D CT3KP-4 Gr.D Gr.65 Gr.D SS 400A(SS41A)SM 400B(SM41B) Fe 360 C 080A15 Fe 360 C Fe 360 CCT3PC-4CT3CP-4Q 235 D Fe 360 D CT3KP-4 SS400A(SS41A) Fe 360D1 Fe 360D1 Fe 360D1CT3PC-4 Fe 360D2CT3CP-4 Fe 360D2 Fe 360D2Q 255 A CT4KP-2 Gr.36 [250] SS 400(SS41) SS 400A(SS41A)CT4PC-2CT4CP-2Q 255 B CT4KP-3 Gr.36 [250] SS 400(SS41) SS 400A(SS41A)CT4PC-3CT4CP-3Q 275 Fe 430 A CT5KP-2 SS490(SS50)CT5CP-2ASSAB一胜百钢材UDDEHOLM ASSAB W.nr AISI JIS 出厂硬度主要成分特性淬硬温度℃回火后硬度用途UHB AS DELIVERED C Cr Ni W Mo V Co CHARACTERISTICS AUSTENITIZING TEMP。
常用国内外钢材牌号对照表中国 美国 日本 德国 英国 法国 前苏联 国际标准化组织GB AST JIS DIN 、DINEN BS 、BSEN NF 、NFEN ΓOCT ISO 630品 名牌号牌号 牌号 牌号牌号 牌号牌号Q195Cr.B Cr.CSS330 SPHC SPHDS185 040 A10 S185S185CT1K ПCTlC П CTl ПCQ215A Cr.C Cr.58SS 330 SPHC040 A12CT2K П—2CT2C П—2 CT2ПC —2 Q235ACr.DSS400 SM400A080A15CT3K П—2CT3C П—2 CT3ПC —2E235B Q235B Cr.DSS400 SM400AS235JR S235JRGl S235JRG2S235JR S235JRGl S235JRG2S235JR S235JRGl S235JRG2CT3K П—3 CT3C П—3 CT3ПC —3 E235B Q255ASS400 SM400ACT4K П—2CT4C П—2 CT4ПC —2 普 通 碳 素 结 构 钢Q275 SS490 CT5C П—2 CT5ПC —2E275A中国美国 日本 德国 英国 法国 前苏联 国际标准化组织 GB AST JIS DIN 、DINENBS 、BSEN NF 、NFEN ΓOCT IS0 630品 名牌号 牌号 牌号 牌号 牌号 牌号 牌号 08F1008 1010 SPHD SPHE040A1080K П10 1010S10C S12C CKl0 040A12 XCl0 10 C101151015 S15C S17C CKl5 Fe360B 08M15 XCl2 Fe306B 15 C15E4201020 S20C S22C C22IC22 C222025 1025 S25C S28C C25 IC25 C25 25 C25E440 1040 S40C S43C C40 IC40 080M40 C40 40 C40E445 1045 S45C S48C C45 IC45 080A47 C45 45 C45E450 1050 S50C S53C C50 IC50 080M50 C50 50 C50E4 优 质 碳 素 结 构 钢15Mn1019080A1515r中国美国 日本 德国英国 法国 前苏联 国际标准化组织 GB AST JIS DIN 、DINENBS 、BSENNF 、NFENΓOCT IS0 630品 名牌号 牌号牌号 牌号 牌号 牌号 牌号 T7(A)SK7 C70W2060A67 060A72 C70E2Uy7TC70T8(A)T72301 WlA —8SK5 SK6 C80W1 060A78 060A81 C80E2Uy8 TC80T8Mn(A)SK5 C85W 060A81 Y75 y8r T10(A) T72301 W1A —91/2SK3 SK4 C105W11407C105E2Uy10TCl05T11(A) T72301 W1A —10l/2SK3C105W1 1407 C105E2U y11 TCl05碳 素 工 具 钢T12(A) T72301 WlA —111/2 SK2 1407 C120E3U y12 TCl20Crl2T30403(UNS)(D3)SKDl X210Crl2 BD3 X210Crl2 X12 210Crl2Crl2MolVl T30402(UNS)(D2)SKDll X155CrVMo121BD2160CrMoVl25CrMnMo5X ΓM 5CrNiMo T61206(UNS)(L6) SKT4 55NiCrMoV6BH224/5 55NiCrMoV75XHM合 金 工 具 钢3Cr2W8V T20821SKD5BH21X30WCrV93X2B8Φ30WCrV9中国美国 日本 德国 英国 法国 前苏联 国际标准化组织GB AST JIS DIN 、DINEN BS 、BSENNF 、NFEN ΓOCT IS0 630品 名牌号 牌号 牌号 牌号 牌号 牌号 牌号 W18Cr4VT12001(UNS)(T1) SKH2BTlHSl8-0-1P18HSl8-0-1 (S1) W18Cr4VCo5T12004(UNS)(T4) SKH3 S18-l-2-5 BT4 HSl8-1-1-5HSl8-1-1-5(S7) 高 速 工 具 钢W6Mo5Cr4V2 T11302(UNS)(M2) SKH51 S6-5-2 BM2 HS6-5-2 p6M5HS6-5-2 (S4) 1Crl8Ni9 S30200(UNS)(302) SUS302 X10CrNis 18-9 302S31 302S25 Z12CNl8-09 12X18H912 10 1Crl8Ni9Ti S32100(UNS)(321)SUS321 X6CrNiTi 18-10 X6CrNiTi 18-10 X6CrNiTi 18-10 12X18H 10TX6CrNiTi181011 2Crl3S42000(UNS) (420)SUS420J1X20Crl3420S37 X20Crl3 X20Crl320X13440Mn1043 SWRH42B C40 080M40 1C40 C40 40ΓSL SM 45Mn 1046 SWRH47B C45 080M47 2C45C45 45ΓSL SM 不 锈 钢65Mn 1065 65ΓASLSM TypeSC TypDC中国美国 日本 德国 英国 法国 前苏联 国际标准化组织GB AST JIS DIN 、DINEN BS 、BSEN NF 、NFEN ΓOCT IS0 630品 名牌号 牌号 牌号 牌号 牌号 牌号 牌号Y12 1211 G12110(UNS) SUM12 SUM21 10S20 S10M15 13MF4 A12 10S20 Y12Pb 12L13 SUM22L10SPb2010SPb20 11SMnPb28Y20 1117 G11170(UNS)SUM32 C22 C22 210M15 C22 A20Y40Mn 1144 G11440(UNS)SUM43 226M4445MF6.3 A40Γ 44Mn28Y45Ca 1145C45 C45 C45易 切 削 结 构 钢Y1Crl8Ni9 SUS303 X8CrNiSl8—9 303S31 303S21 17Q295A Gr.42 Gr.A SPFC490 E295 E295E295 295Q295B Gr.42 Gr.A SPFC490 S275JR S275JR S275JR 295Q345CGr.50Gr.A Gr.C ,Gr.D A808MSPFC590 S335JO S335JO S335JO 345 E355DDQ345EType7 Gr.50 SPFC590 S355NL S355ML S355NL S355ML S355NL S355MLE355E E355DD 低 合 金 结 构 钢Q420B Cr60 Gr.ESEV295 SEV345S420NL S420MLS420NL S420MLS420NL S420MLS420C E420CC中国美国 日本 德国 英国 法国 前苏联 国际标准化组织GB AST JIS DIN 、DINEN BS 、BSEN NF 、NFEN ΓOCT IS0 630品 名牌号牌号 牌号 牌号 牌号 牌号 牌号 Q420C Gr.B Type7SEV295 SEV345 S420NL S420MLS420NL S420MLS420NL S420MLHS420D E420DD低 合 金 结 构 钢Q460DGr.65 SM570SMA570W SMA570PS460NL S460MLS460NL S460MLS460NL S460MLE460DD F460E20Mn2 1524 SMn420 P355GH 0355GH P0355GH 22Mn615Cr 5115 SCr415 17Cr3 527A17 15X20Cr 5120 SCr420 20Cr4 590M17 20x 20Cr430Cr 5130 SCr430 34Cr4 34Cr4 34Cr4 30x 34Cr440Cr5140 SCr440 41Cr4 41Cr4 41Cr4 40x 4lCr445Cr5145 SCr445 4lCr4 41Cr4 4lCr4 45x 41Cr430CrMo 4130 SCM430 25CrMo4 25CrMo4 25CrMo4 30xM 25CrMo435CrMo 4317 SCM435 34CrMo4 34CrMo4 34CrMo4 35xM 34CrMo442CrMo 4140 SCM440 42CrMo4 42CrMo4 42CrMo4 38xM 42CrMo438CrMoAl SCM645 41CrAlMo7 905M39 38x2MIoA 41CrAlMo7450CrVA 6150 SCPl0 5lCrV4 51CrV4 51CrV4 50x ΦA 51CrV4合 金 结 构 钢40CrMnMo 4140 4142SCM440 42CrM 04 42CrMo4 708Mn4042CrMo4 42CrMo4碳素结构钢世界钢号对照表中国美国日本德国英国法国前苏联国际标准化组织Q215B Gr.58(220) SS330(SS34)SPHCSPHD040A12CT2KJI—3CT2JIC—3CT2JIC—3Q235C Gr.DGr65SM4400A(SM41A)SM400B(SM41B)S235JO080A15S235J0S235J0CT2JIC—4CT2JIC—4CT2JIC—4E235C(Fe630D)Q235D Gr.D SM400A(SM41A)SM400B(SM41B)S235J2G3S235J2G4S235J2G3S235J2G4S235J2G3S235J2C4CT3KJI—4CT3JIC—4CT3JIC—4E235D(Fe360D)HR235Q255BSS4009(SS41)SS400A(SS41A)CT4KJI—3CT4JIC—3CT$JIC—3(1)碳素结构钢中国国际标准原苏联美国日本德国英国法国GB/T699—1999 ISO 683—11IS0 8458—3ISO 8458—2ΓOCT 1050ΓOCT 14959ΓOCT 4543ASTM,A29MJISC 4051JISG 3056TISG 4106DINEN 10016—2DINEN 10083—1DINEN 10083—2DIN 17223—1DINENl0028—2BS970BSEN 10025BSEN 10083—2BSEN 10083—1BSEN 10028—2NFA35—551NFEN 10025NFEN 10083—1NFEN 10083—2NFEA35—051NFEN 10028—210 C101 10 1010 S10C,S12C CK10 040A12 XC1015 C15E4 15 1015 S15C,S17C CK15,Fe360B 080M15 XCl2,Fe306B 20 20 1020 S20C,S22C C22 C22 C2225 C25E4 25 1025 S25C,S28C C25 C25 C2530 C30E4 30 1030 S30C,S33C C30 C30 C3035 C35E4 35 1035 S35C,S38C C35 C35 C3540 C40E4 40 1040 S40C,S43C C40 C40 C4045 C45E4 45 1045 S45C,S48C C45 C45 C4550 C50E4 50 1050 S50C,S53C C50 C50 C5055C55E4TYPeSCTYPeDC55 1055 S55C,S58C C55 1C55 C55优质型钢常用钢号与进口钢号对照表中国国际标准原苏联美国日本德国英国法国60C60E4TYPeSCTYPeDC60 1060 S58C C60 1C60 C6065 SL、SMTYPeSCTYPeDC65 1065SWRH67ASWRH67BC66DAC66D C66D70 SL、SMTYPeSCTYPeDC70 1070SWRH72ASWRH72BC70DAC70D C70D20Mn 20Γ1022 070M2025Mn 25Γ1026 080M2530Mn 30Γ1030 080W3040Mn SL,SM 40Γ1043 SWRH42B C40 080M40,C40 C40 45Mn SL,SM 45Γ1046 SWRH47B C45 08MA47,C45 C45 50Mn SL,SM 50Γ1053 SWRH52B C50 080M50,C50 C50中国国际标准原苏联美国日本德国英国法国GB/T 1298—1986 ISO 4957 ΓOCT 1435 ASTMA686 JISC 4401 DIN 17350 BS970BS1407NFA 35—590T7 TA TC70 Y7 SK7 C70W2 060A67.72 C70E2UT8 T8A TC80 Y8 T7230lWIA—8SK5SK6C85W1060A78060A81C80E2UT8Mn T8Mn(A) Y8ΓT7230lWIA—81/2SK5 C85W 060A81 Y75T9 T9A TC90 Y9T72301WIA—9SK5SK4C90E2UT10 T10A TC105 Y10T7230lWIA—9SK4SK3C105W1 1407 C105E2UT11 T11A TC105 Y11T72301WIA—101/2SK3 C105W1 1407 C105EUT12 T12A TC120 Y12T7230lWIA—111/2SK2 1407 C120E3UT13 T13A TC140 Y13 SK1 C140E3U2)碳素工具钢中国美国 日本 德国 英国 法国 前苏联 国际标准化组织GB AST JIS DIN 、DINEN BS 、BSENNF 、NFEN ΓOCT IS0 630品 名牌号 牌号 牌号 牌号 牌号 牌号 牌号 W18Cr4VT12001(UNS)(T1) SKH2BTlHSl8-0-1P18HSl8-0-1 (S1) W18Cr4VCo5T12004(UNS)(T4) SKH3 S18-l-2-5 BT4 HSl8-1-1-5HSl8-1-1-5(S7) 高 速 工 具 钢W6Mo5Cr4V2 T11302(UNS)(M2) SKH51 S6-5-2 BM2 HS6-5-2 p6M5HS6-5-2 (S4) 1Crl8Ni9 S30200(UNS)(302) SUS302 X10CrNis 18-9 302S31 302S25 Z12CNl8-09 12X18H912 10 1Crl8Ni9Ti S32100(UNS)(321)SUS321 X6CrNiTi 18-10 X6CrNiTi 18-10 X6CrNiTi 18-10 12X18H 10TX6CrNiTi181011 2Crl3S42000(UNS) (420)SUS420J1X20Crl3420S37 X20Crl3 X20Crl320X13440Mn1043 SWRH42B C40 080M40 1C40 C40 40ΓSL SM 45Mn 1046 SWRH47B C45 080M47 2C45C45 45ΓSL SM 不 锈 钢65Mn 1065 65ΓASLSM TypeSC TypDC中国美国 日本 德国 英国 法国 前苏联 国际标准化组织GB AST JIS DIN 、DINEN BS 、BSEN NF 、NFEN ΓOCT IS0 630品 名牌号 牌号 牌号 牌号 牌号 牌号 牌号Y12 1211 G12110(UNS) SUM12 SUM21 10S20 S10M15 13MF4 A12 10S20 Y12Pb 12L13 SUM22L10SPb2010SPb20 11SMnPb28Y20 1117 G11170(UNS)SUM32 C22 C22 210M15 C22 A20Y40Mn 1144 G11440(UNS)SUM43 226M4445MF6.3 A40Γ 44Mn28Y45Ca 1145C45 C45 C45易 切 削 结 构 钢Y1Crl8Ni9 SUS303 X8CrNiSl8—9 303S31 303S21 17Q295A Gr.42 Gr.A SPFC490 E295 E295E295 295Q295B Gr.42 Gr.A SPFC490 S275JR S275JR S275JR 295Q345CGr.50Gr.A Gr.C ,Gr.D A808MSPFC590 S335JO S335JO S335JO 345 E355DDQ345EType7 Gr.50 SPFC590 S355NL S355ML S355NL S355ML S355NL S355MLE355E E355DD 低 合 金 结 构 钢Q420B Cr60 Gr.ESEV295 SEV345S420NL S420MLS420NL S420MLS420NL S420MLS420C E420CC中国美国 日本 德国 英国 法国 前苏联 国际标准化组织GB AST JIS DIN 、DINEN BS 、BSEN NF 、NFEN ΓOCT IS0 630品 名牌号牌号 牌号 牌号 牌号 牌号 牌号 Q420C Gr.B Type7SEV295 SEV345 S420NL S420MLS420NL S420MLS420NL S420MLHS420D E420DD低 合 金 结 构 钢Q460DGr.65 SM570SMA570W SMA570PS460NL S460MLS460NL S460MLS460NL S460MLE460DD F460E20Mn2 1524 SMn420 P355GH 0355GH P0355GH 22Mn615Cr 5115 SCr415 17Cr3 527A17 15X20Cr 5120 SCr420 20Cr4 590M17 20x 20Cr430Cr 5130 SCr430 34Cr4 34Cr4 34Cr4 30x 34Cr440Cr5140 SCr440 41Cr4 41Cr4 41Cr4 40x 4lCr445Cr5145 SCr445 4lCr4 41Cr4 4lCr4 45x 41Cr430CrMo 4130 SCM430 25CrMo4 25CrMo4 25CrMo4 30xM 25CrMo435CrMo 4317 SCM435 34CrMo4 34CrMo4 34CrMo4 35xM 34CrMo442CrMo 4140 SCM440 42CrMo4 42CrMo4 42CrMo4 38xM 42CrMo438CrMoAl SCM645 41CrAlMo7 905M39 38x2MIoA 41CrAlMo7450CrVA 6150 SCPl0 5lCrV4 51CrV4 51CrV4 50x ΦA 51CrV4合 金 结 构 钢40CrMnMo 4140 4142SCM440 42CrM 04 42CrMo4 708Mn4042CrMo4 42CrMo4中国美国 日本 德国 英国 法国 前苏联 国际标准化组织GB AST JIS DIN 、DINEN BS 、BSEN NF 、NFEN ΓOCT ISO630 品 名牌号 牌号 牌号 牌号 牌号 牌号 牌号 85 1084 SUP3 CK85 FMR86 TypeDC 55Si2Mn9260 H92600 SUP6 SUP7 55Si7251H6056SC756SiCr760Si2Mn H92600 SUP6 SUP7 60SiCr7 25H60 61SiCr7 61SiCr755CrMnA H51550 G51550 SUP9 55Cr3 525A58 527A60 55Cr3 55Cr3 60Si2CrVA 弹 簧 钢50CrVA H51500 G61500 SUPl0 50CrV4 735A51 50CV4 50x ΦA 5lCrV4 GCr951100 SUJl GCrl552100 SUJ2 100Gr6 100Gr6 WXl5 l 轴 承 钢9Crl8Mo440C SUS440C Z100CDl7 2l 35W250 36F320M 35A250 M250—35A M250—35A M250—35A 2413 电 工 钢27QGll0 27P146M27P110M103—27PM103—27PM103—27P3408中国国际标准前苏联美国日本德国英国法国CB/T9943—1988ISO 4957 ΓOCT 19265 ASMA 600 JISC 4403 DIN 17350 BS 4659 NFA 35—590W18Cr4V HS18—0—1(S1)P18T12001(UNS)(T1)SKH2 BT1 HSl8—0—lW18Cr4VCo5 HS18—1—1—5(S7)T12004(UNS)(T4)SKH3S18—1—2—5BT4HS18—1—1—5CW6Mo5Cr4V3 HS6—5—3(S5)T11323(UNS)(M3)SKH53 S6—5—3 HS6—5—3W6Mo5Cr4V2 HS6—5—2 P6M5 T11302(UNS) SKH51 S6—5—2 BM2 HS6—5—2 (5)高速工具钢中国国际标准前苏联美国日本德国英国法国GB/T 1222—1984 ISO 8458/3ISO 683—14ΓOCT 14959ASTM,A29MA304A322JISC 4801DIN 17222DIN 17221BS 970 NFA 35—57165Mn TYPeDC 65Γ1566 080A6755Si2Mn 59Si7 55C2ΓH9260(UNS)(9260H) SUP6SUP755Si7 251H60 56SC760Si2Mn 59Si7 60C2A H92600(UNS)(9260H)SUP6SUP760SiCr7 251H60 61SiCr760Si2MnA 59Si7 60C2A H92600(UNS)(9260H)SUP6SUP760SiCr7 251H60 61SiCr760Si2CrVA 60C2X¢A50CrVA 51CrV4 50X¢A G61500(UNS)(6150)SUPl0 50CrV4 735A51 50CrV4(6)弹簧钢(7)高碳铬轴承钢中国国际标准前苏联美国日本德国英国法国GB/TISO 683/17 ΓOCT 801 ASTMA 295 JISG,4805 DIN 17230 NFA 35—565 18254—2000GCr9 51100 SUJlGCr9SiMn 2 Gr1 SUJ3GCrl5 1 Ⅲ×15 52100 SUJ2 100Cr6 100Cr6 GCrl5SiMn 3 Ⅲ×15CΓ100CrMn6 100M6中国国际标准前苏联美国日本德国英国法国GB/T 1220—1992ISO 683/13ISO 4955ISO 9328—5ΓOCT 5632 ASTM.A 276 JISC 4303DIN 17440DINEN10083—3BS970BSEN10088—3NFA 35—578NFEN10083—3NFA 35—5771Crl8Ni9 121012×18H9 SUS302 X10CrNiS189302S31302S25Z12CNl8—091Crl8Ni9Ti11X6CYNiTi18—1012×18H10TS32100(UNS)(321)SVS321X6CrNiTi18—10X6CrNiTi18—10321S3132lSl2X6CrNiTi18—101Crl3 3 12×13 S41000(UNS)(410)SUS410 X12Crl3 410S21403F00(26C13)2Crl3 4 20×13 S42000(UNS)(420)SUS420J1 X20Crl3420S37420S2920Crl3220Crl3420F20X20Crl33Crl3 5 30×13 S42000(UNS)(420)SUS420J2 X30Crl3420S45X30Crl3Z33C13Z30C13X30Crl34Crl3 40×13 X46Crl3X38Crl3X46Crl3Z44C14Z40C14X46Crl39Crl8 95×18 S44004(UNS)(440)SUS440C(8)不锈棒钢中国国际标准前苏联美国日本德国英国法国GB/T1221—1992ISO 683/15 ΓOCT 5632 JIS 4311 DIN 17480 BS 970 NFA 35—579 4Cr9Si2 X45CrSi93 40×9C2 X45CrSi93 401S45 Z45CS94Crl0Si2Mo 40×10C2M SUH3 X40CrSiMol02 Z40CSDl040Crl4Nil4W2Mo 45×14H14B2M 33IS42(9)耐热钢。