饱和蒸气压 水 压力温度密度表
- 格式:docx
- 大小:9.77 KB
- 文档页数:6
饱和蒸汽温度、密度对照表
1个大气压=100kpa=0.1Mpa=1公斤(kgf/cm2)
概念必须明确:露点温度是指:在一定压力下,气体被冷凝至出现第一滴液滴时的温度,称为该压力下该气体的露点温度。
露点温度在沸点温度左右,比沸点温度稍高一些,因为冷凝和气化正好是个相反的过程。
由于沸点温度是随压力的变化而变化的,所以想要知道露点温度,只要查出该压力下的沸点温度,就知道露点温度的大概范围了.而为了防止蒸汽在变换炉内发生冷凝,出现液态水危害催化剂,所以变换炉进口的最低温度都控制在,该操作压力下水蒸气的露点温度以上30—-———50℃,绝对不允许低于此指标.也就是说,当操作压力定了,那么变换炉的进口温度也就定了.。
水的饱和蒸汽压与温度对应表水的饱和蒸汽压力与温度的计算。
Antoine公式: ln(P)=9.3876-3826.36/(T-45.47)【T在290~500K之间】P:MPaT:K经检验用此公式计算结果基本与下表数据相符,可以在PLC程序中用来作为饱和蒸汽温度的计算公式。
水蒸气是一种离液态较近的气体,在空气处理中应用广泛,易获得污染小。
以实践经验总结出的数据图表作为计算依据饱和水蒸气压力温度密度表温度 (t) 压力 (P) 密度(ρ) 温度 (t) 压力 (P) 密度(ρ)℃ MPa kg/m3℃ MPa kg/m3100 0.1013 0.5977 1280.2543 1.415101 0.1050 0.6180 1290.2621 1.455102 0.1088 0.6388 1300.2701 1.497103 0.1127 0.6601 1310.2783 1.539104 0.1167 0.6821 1320.2867 1.583105 0.1208 0.7046 1330.2953 1.627106 0.1250 0.7277 1340.3041 1.672107 0.1294 0.7515 1350.3130 1.719108 0.1339 0.7758 1360.3222 1.766109 0.1385 0.8008 1370.3317 1.815110 0.1433 0.8265 1380.3414 1.864111 0.1481 0.8528 1390.3513 1.915112 0.1532 0.8798 1400.3614 1.967113 0.1583 0.9075 1410.3718 2.019114 0.1636 0.9359 1420.3823 2.073115 0.1691 0.9650 1430.3931 2.129116 0.1746 0.9948 1440.4042 2.185117 0.1804 1.025 1450.4155 2.242118 0.1863 1.057 1460.4271 2.301119 0.1923 1.089 1470.4389 2.361120 0.1985 1.122 1480.4510 2.422121 0.2049 1.155 1490.4633 2.484122 0.2114 1.190 1500.4760 2.548123 0.2182 1.225 1510.4888 2.613124 0.2250 1.261 1520.5021 2.679125 0.2321 1.298 1530.5155 2.747126 0.2393 1.336 1540.5292 2.816127 0.2467 1.375 1550.5433 2.886温度 (t) 压力 (P) 密度(ρ) 温度 (t) 压力 (P) 密度(ρ)℃ MPa kg/m3℃ MPa kg/m3156 0.5577 2.958 1841.0983 5.629157 0.5723 3.032 1851.1233 5.752158 0.5872 3.106 1861.1487 5.877159 0.6025 3.182 1871.1746 6.003160 0.6181 3.260 1881.2010 6.131161 0.6339 3.339 1891.2278 6.264162 0.6502 3.420 1901.2551 6.397163 0.6666 3.502 1911.2829 6.553164 0.6835 3.586 1921.3111 6.671165 0.7008 3.671 1931.3397 6.812166 0.7183 3.758 1941.3690 6.955167 0.7362 3.847 1951.3987 7.100168 0.7544 3.937 1961.4289 7.248169 0.7730 4.029 1971.4596 7.398170 0.7920 4.123 1981.4909 7.551171 0.8114 4.218 1991.5225 7.706172 0.8310 4.316 2001.5548 7.864173 0.8511 4.415 2011.5876 8.025174 0.8716 4.515 2021.6210 8.188175 0.8924 4.618 2031.6548 8.354176 0.9137 4.723 2041.6892 8.522177 0.9353 4.829 2051.7242 8.694178 0.9573 4.937 2061.7597 8.868179 0.9797 5.048 2071.7959 9.045180 1.0197 5.160 2081.8326 9.225181 1.0259 5.274 2091.8699 9.408182 1.0496 5.391 2101.9077 9.593183 1.0737 5.509 2111.9462 9.782温度 (t) 压力 (P) 密度(ρ) 温度 (t) 压力 (P) 密度(ρ)℃ MPa kg/m3℃ MPa kg/m3212 1.9852 9.974 2312.8491 14.25213 2.0248 10.17 2322.9010 14.52214 2.0650 10.37 2332.9546 14.78215 2.1059 10.57 2343.0085 15.05216 2.1474 10.77 2353.0631 15.33217 2.1896 10.98 2363.1185 15.61218 2.2323 11.19 2373.1746 15.89219 2.2757 11.41 2383.2316 16.18220 2.3198 11.62 2393.2892 16.47221 2.3645 11.84 2403.3477 16.76222 2.4098 12.07 2413.4070 17.06223 2.4559 12.30 2423.4670 17.37224 2.5026 12.53 2433.5279 17.68225 2.5500 12.76 2443.5897 17.99226 2.5981 13.00 2453.6522 18.31227 2.6469 13.24 2463.7155 18.64228 2.6963 13.49 2473.7797 18.97229 2.7466 13.74 2483.8448 19.30230 2.7975 14.00 2493.9107 19.64。
饱和蒸汽温度、密度对照表
1个大气压=100kpa=0.1Mpa=1公斤(kgf/cm2)
概念必须明确:
露点温度是指:在一定压力下,气体被冷凝至出现第一滴液滴时的温度,称为该压力下该气体的露点温度。
露点温度在沸点温度左右,比沸点温度稍高一些,因为冷凝和气化正好是个相反的过程。
由于沸点温度是随压力的变化而变化的,所以想要知道露点温度,只要查出该压力下的沸点温度,就知道露点温度的大概范围了。
而为了防止蒸汽在变换炉内发生冷凝,出现液态水危害催化剂,所以变换炉进口的最低温度都控制在,该操作压力下水蒸气的露点温度以上30-----50℃,绝对不允许低于此指标。
也就是说,当操作压力定了,那么变换炉的进口温度也就定了。
雨滴穿石,不是靠蛮力,而是靠持之以恒。
——拉蒂默。
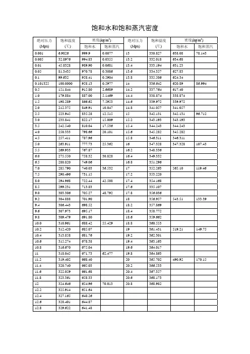
饱和水和饱和蒸汽密度 密度(kg/m 3) 密度(kg/m 3) 绝对压力(Mpa)饱和温度 (℃) 饱和水 饱和蒸汽 绝对压力 (Mpa) 饱和温度 (℃) 饱和水 饱和蒸汽 0.001 6.9826 999.9 0.0077 13 330.827 638.08 78.143 0.005 32.8976 994.83 0.0355 13.2 332.018 634.680.01 45.8328 989.90 0.0681 13.4 333.194 631.230.05 81.3435 970.78 0.3086 13.6 334.357 627.830.199.632 958.41 0.5904 13.8 335.506 624.34 0.101325 100.0000 958.13 0.5977 14 336.642 620.89 86.994 0.5151.844 915.80 2.6689 14.2 337.764 617.40 1.0179.884 887.00 5.1469 14.4 338.874 338.874 1.5198.289 866.62 7.5953 14.6 339.972 339.972 2.0212.375 849.91 10.047 14.8 341.057 341.057 2.5 223.945 835.28 12.515 15 342.131 342.131 96.712 3.0233.841 822.17 15.009 15.2 343.193 343.193 3.5242.540 810.04 17.536 15.4 344.243 344.243 4.0250.333 798.66 20.101 15.6 345.282 345.282 4.5257.411 787.96 15.8 346.311 346.311 5.0 263.911 777.73 25.362 16 347.328 347.328 107.43 5.5269.933 767.87 16.2 348.336 6.0275.550 758.32 30.828 16.4 349.332 6.5280.820 749.06 16.8 351.296 7.0285.790 740.03 36.532 17 352.263 565.10 119.46 7.5290.496 731.15 17.2 353.220 8.0294.968 722.44 42.508 17.4 354.168 8.5299.231 713.83 17.6 335.107 9.0303.306 705.27 48.792 17.8 356.036 9.2304.888 701.90 18 356.957 543.51 133.39 9.4306.443 698.52 18.2 357.869 9.6307.973 695.17 18.4 358.772 9.8309.479 691.80 18.6 359.662 10.0 310.961 688.42 55.429 18.8 360.55310.2 312.420 685.07 19 361.431 519.21 149.75 10.4 313.858 681.76 19.2 362.30110.6 315.274 678.38 19.4 363.16310.8 316.670 675.04 19.6 364.01711 318.045 671.73 62.477 19.8 364.86311.2 319.402 668.40 20 365.702 490.92 170.15 11.4 320.740 665.03 20.2 366.53311.6 322.059 661.68 20.4 367.35711.8 323.361 658.33 20.6 368.17312 324.646 654.96 70.013 20.8368.982 12.2 325.914 651.6412.4 327.165 648.2612.6 328.401 644.8712.8 329.622 641.48饱和水蒸气压力温度密度表温度 (t) 压力 (P) 密度(ρ) 温度 (t) 压力 (P) 密度(ρ) ℃ MPa kg/m3 ℃ MPa kg/m3 100 0.1013 0.5977 128 0.2543 1.415 101 0.1050 0.6180 129 0.2621 1.455 102 0.1088 0.6388 130 0.2701 1.497 103 0.1127 0.6601 131 0.2783 1.539 104 0.1167 0.6821 132 0.2867 1.583 105 0.1208 0.7046 133 0.2953 1.627 106 0.1250 0.7277 134 0.3041 1.672 107 0.1294 0.7515 135 0.3130 1.719 108 0.1339 0.7758 136 0.3222 1.766 109 0.1385 0.8008 137 0.3317 1.815 110 0.1433 0.8265 138 0.3414 1.864 111 0.1481 0.8528 139 0.3513 1.915 112 0.1532 0.8798 140 0.3614 1.967 113 0.1583 0.9075 141 0.3718 2.019 114 0.1636 0.9359 142 0.3823 2.073 115 0.1691 0.9650 143 0.3931 2.129 116 0.1746 0.9948 144 0.4042 2.185 117 0.1804 1.025 145 0.4155 2.242 118 0.1863 1.057 146 0.4271 2.301 119 0.1923 1.089 147 0.4389 2.361 120 0.1985 1.122 148 0.4510 2.422 121 0.2049 1.155 149 0.4633 2.484 122 0.2114 1.190 150 0.4760 2.548 123 0.2182 1.225 151 0.4888 2.613 124 0.2250 1.261 152 0.5021 2.679 125 0.2321 1.298 153 0.5155 2.747 126 0.2393 1.336 154 0.5292 2.816 127 0.2467 1.375 155 0.5433 2.886温度 (t) 压力 (P) 密度(ρ) 温度 (t) 压力 (P) 密度(ρ) ℃ MPa kg/m3 ℃ MPa kg/m3 156 0.5577 2.958 184 1.0983 5.629 157 0.5723 3.032 185 1.1233 5.752 158 0.5872 3.106 186 1.1487 5.877 159 0.6025 3.182 187 1.1746 6.003 160 0.6181 3.260 188 1.2010 6.131 161 0.6339 3.339 189 1.2278 6.264 162 0.6502 3.420 190 1.2551 6.397 163 0.6666 3.502 191 1.2829 6.553 164 0.6835 3.586 192 1.3111 6.671 165 0.7008 3.671 193 1.3397 6.812 166 0.7183 3.758 194 1.3690 6.955 167 0.7362 3.847 195 1.3987 7.100 168 0.7544 3.937 196 1.4289 7.248 169 0.7730 4.029 197 1.4596 7.398 170 0.7920 4.123 198 1.4909 7.551 171 0.8114 4.218 199 1.5225 7.706 172 0.8310 4.316 200 1.5548 7.864 173 0.8511 4.415 201 1.5876 8.025 174 0.8716 4.515 202 1.6210 8.188 175 0.8924 4.618 203 1.6548 8.354 176 0.9137 4.723 204 1.6892 8.522 177 0.9353 4.829 205 1.7242 8.694 178 0.9573 4.937 206 1.7597 8.868 179 0.9797 5.048 207 1.7959 9.045 180 1.0197 5.160 208 1.8326 9.225 181 1.0259 5.274 209 1.8699 9.408 182 1.0496 5.391 210 1.9077 9.593 183 1.0737 5.509 211 1.9462 9.782温度 (t) 压力 (P) 密度(ρ) 温度 (t) 压力 (P) 密度(ρ)℃ MPa kg/m3 ℃ MPa kg/m3212 1.9852 9.974 231 2.8491 14.25213 2.0248 10.17 232 2.9010 14.52214 2.0650 10.37 233 2.9546 14.78215 2.1059 10.57 234 3.0085 15.05216 2.1474 10.77 235 3.0631 15.33217 2.1896 10.98 236 3.1185 15.61218 2.2323 11.19 237 3.1746 15.89219 2.2757 11.41 238 3.2316 16.18220 2.3198 11.62 239 3.2892 16.47221 2.3645 11.84 240 3.3477 16.76222 2.4098 12.07 241 3.4070 17.06223 2.4559 12.30 242 3.4670 17.37224 2.5026 12.53 243 3.5279 17.68225 2.5500 12.76 244 3.5897 17.99226 2.5981 13.00 245 3.6522 18.31227 2.6469 13.24 246 3.7155 18.64228 2.6963 13.49 247 3.7797 18.97229 2.7466 13.74 248 3.8448 19.30230 2.7975 14.00 249 3.9107 19.64天津克莱瑞科技有限公司是一家高新科技企业.。
饱和蒸汽温度、密度对照表之袁州冬雪创作
Mpa=1公斤(kgf/cm2)
概念必须明白:露点温度是指:在一定压力下,气体被冷凝至出现第一滴液滴时的温度,称为该压力下该气体的露点温度.露点温度在沸点温度左右,比沸点温度稍高一些,因为冷凝和气化正好是个相反的过程.由于沸点温度是随压力的变更而变更的,所以想要知道露点温度,只要查出该压力下的沸点温度,就知道露点温度的大概范围了.而为了防止蒸汽在变换炉内发生冷凝,出现液态水危害催化剂,所以变换炉出口的最低温度都节制在,该操纵压力下水蒸
气的露点温度以上30-----50℃,相对不允许低于此指标.也就是说,当操纵压力定了,那末变换炉的出口温度也就定了.。
矿产资源开发利用方案编写内容要求及审查大纲
矿产资源开发利用方案编写内容要求及《矿产资源开发利用方案》审查大纲一、概述
㈠矿区位置、隶属关系和企业性质。
如为改扩建矿山, 应说明矿山现状、
特点及存在的主要问题。
㈡编制依据
(1简述项目前期工作进展情况及与有关方面对项目的意向性协议情况。
(2 列出开发利用方案编制所依据的主要基础性资料的名称。
如经储量管理部门认定的矿区地质勘探报告、选矿试验报告、加工利用试验报告、工程地质初评资料、矿区水文资料和供水资料等。
对改、扩建矿山应有生产实际资料, 如矿山总平面现状图、矿床开拓系统图、采场现状图和主要采选设备清单等。
二、矿产品需求现状和预测
㈠该矿产在国内需求情况和市场供应情况
1、矿产品现状及加工利用趋向。
2、国内近、远期的需求量及主要销向预测。
㈡产品价格分析
1、国内矿产品价格现状。
2、矿产品价格稳定性及变化趋势。
三、矿产资源概况
㈠矿区总体概况
1、矿区总体规划情况。
2、矿区矿产资源概况。
3、该设计与矿区总体开发的关系。
㈡该设计项目的资源概况
1、矿床地质及构造特征。
2、矿床开采技术条件及水文地质条件。
饱和蒸汽温度、密度对照表
1个大气压=100kpa=0.1Mpa=1公斤(kgf/cm2)
概念必须明确:
露点温度是指:在一定压力下,气体被冷凝至出现第一滴液滴时的温度,称为该压力下该气体的露点温度。
露点温度在沸点温度左右,比沸点温度稍高一些,因为冷凝和气化正好是个相反的过程。
由于沸点温度是随压力的变化而变化的,所以想要知道露点温度,只要查出该压力下的沸点温度,就知道露点温度的大概范围了。
而为了防止蒸汽在变换炉内发生冷凝,出现液态水危害催化剂,所以变换炉进口的最低温度都控制在,该操作压力下水蒸气的露点温度以上30-----50℃,绝对不允许低于此指标。
也就是说,当操作压力定了,那么变换炉的进口温度也就定了。
饱和蒸汽温度、密度对照表
1个大气压=100kpa=0。
1Mpa=1公斤(kgf/cm2)
概念必须明确:露点温度是指:在一定压力下,气体被冷凝至出现第一滴液滴时的温度,称为该压力下该气体的露点温度.露点温度在沸点温度左右,比沸点温度稍高一些,因为冷凝和气化正好是个相反的过程。
由于沸点温度是随压力的变化而变化的,所以想要知道露点温度,只要查出该压力下的沸点温度,就知道露点温度的大概范围了。
而为了防止蒸汽在变换炉内发生冷凝,出现液态水危害催化剂,所以变换炉进口的最低温度都控制在,该操作压力下水蒸气的露点温度以上30-——-—50℃,绝对不允许低于此指标。
也就是说,当操作压力定了,那么变换炉的进口温度也就定了。