入宅周堂
- 格式:doc
- 大小:178.50 KB
- 文档页数:6
周堂择日
查周堂是旧时嫁娶选择吉日的一种方法,现在很少使用。
查周堂主要查看日子是否对夫妇公婆有妨,以无妨为吉。
☯周堂图查法
下图叫做周堂图,查周堂就是依据此图查看吉日。
其查法是大月从夫向姑顺查,小月从妇向灶逆查,从阴历初一开始,数到夫位则此日妨夫,妇位妨妇,姑位妨婆(姑古义为婆),翁位妨公,若无公婆用之亦可。
数到堂、第、灶、厨宜用,堂第预示新妇上得厅堂,灶厨预示新妇下得厨房。
举例说,喜期订于十二月,此月为大月三十天,查看吉日从夫向姑顺查,则初一应夫,此日妨夫,不宜;初二应姑,此日妨婆,不宜;初三应堂,不妨家人,为吉日。
余者类推。
春有百花秋有月夏有凉风冬有雪若无闲事挂心头便是人间好时节
☯周堂吉日简明表
依据周堂图查法,编写各月吉日简明表如下,以便查看。
当路莫栽荆棘草他年免挂子孙衣- 1 -。
择日:周堂推算图
一、嫁娶周堂:
大月从夫向姑顺行,小月从妇向灶逆行。
择吉:弟、堂、厨、灶。
二、白虎周堂:
大月从灶向堂顺行,小月从厨向路逆行。
择吉:厨、灶、死、睡。
三、纳婿周堂:
大月从夫向姑顺行,小月从户向厨逆行。
择吉:弟、厨、灶。
四、起灶周堂:
大月从王向艮顺行,小月从败向富逆行。
择吉:富、君、图、王、臣。
五、作灶周堂:
大月从柴米向油盐顺行,小月从蚂蚁向烟火逆行。
择吉:柴米、油盐、田产、椒酱、大富。
六、香火周堂:
大月从安向利顺行,小月从天向利逆行。
择吉:天、利、安、师、富。
能与神在日合之大吉。
七、入宅周堂:
大月从玉清起初一顺行、小月从玉堂起初一逆行。
择吉:玉堂、三财、玉清、昌盛、台阶、天良、天福、月福。
八、安床周堂:
大月从平向富顺行,小月从地向凶逆行。
择吉:平、富、地、安。
九、上任、出行周堂:
每月从建起初一顺行。
如正月初一,从寅月登程为初一,余仿之。
择吉:皇恩、双燕、登程、上马、青云、大赦。
十、放鱼周堂:
大月从走向长顺行,小月从变向聚逆行。
择吉:长、成、利、聚。
需古传放鱼吉日断辞,备注留言。
十一、出灵周堂:
大月从父向男顺行,小月从母向女逆行。
值亡人则吉,如值人,则出外少避,如停丧在外则不论。
【注】来源师传,仅供参考。
入宅择日程序入宅歸火碎金賦:新屋入宅與造同.最要竅馬大利方.舊屋分居及移徒.為堂為室辦其通.木主奉處正宮位.三殺須防柱裹沖.臥室勿稽利不利.惟安乾坤床在中.虎雀到中麟鳳制.天瘟受死必相攻.天火星賊楊公忌.四廢絕煙瘟人殃.月破大退及歸忌.棋天朱雀往亡空.離巢離絕真滅沒.瓦陷瓦碎勿相蒙.一、迁移 (搬家)简易择吉法依择易学原理,迁移入宅(选择日课吉时)要考虑以下因素:家人(尤其房主)的生肖、生日干支(日柱)、新宅坐向、天罡四杀及回头贡杀等因素。
因每人个的条件不同,搬家时不可翻翻农历或通书上写「宜搬家」就搬家了,当天适合别人搬家却不一定适合你搬家。
兹将搬家选择吉日良辰之要点简述如下:择日课之彭祖百忌日(一)搬家禁忌:1、房主日柱:迁移(搬家)的日子不可与家人的「生肖」及「日柱」(农历生日之「天干地支」)相冲,尤其忌与屋主之「日柱」相刑冲。
地支相冲:子--午、丑--未、寅--申、卯--酉、辰--戌、巳--亥。
地支相刑:子(鼠)与卯(兔)相刑丑(牛)与戌(狗)相刑寅(虎)与巳(蛇)相刑卯(兔)与子(鼠)相刑辰(龙)与辰(龙)相刑巳(蛇)与申(猴)相刑午(马)与午(马)相刑未(羊)与丑(牛)相刑申(猴)与寅(虎)相刑酉(鸡)与酉(鸡)相刑戌(狗)与未(羊)相刑亥(猪)与亥(猪)相刑2、搬家五行:迁移(搬家)尽量选用「水日」为佳,少用「火日」。
3、新宅坐向:坐东者忌在巳、酉、丑(三合金)日子搬家;坐西者忌在亥、卯、未(三合木)日子搬屋;坐南者忌在申、子、辰(三合水)日子搬屋;坐北者忌在寅、午、戌(三合火)日子搬屋。
4、值「天罡四杀」:不能搬家屋主之「日柱」地支为申、子、辰命者,忌用未日未时;「日柱」地支为寅、午、戌命者,忌用丑日丑时;「日柱」地支为亥、卯、未命者,忌用戌日戌时;「日柱」地支为巳、酉、丑命者,忌用辰日辰时。
5、搬家月忌方位:正五九月不往东,二六十月北堂空,三七冬月西方死,四八腊月南方凶。
6、搬家日忌方位:甲己不可向东方,乙庚东北是空房,丙辛直北不可去,丁壬西北不相当,戊癸西南逢五鬼,若是犯了定主伤。
结婚嫁娶周堂图,二十八宿吉歌,阴阳不将日(2012-11-15 00:10:06)转载▼标签:风水堪舆学面相命理杂谈二十八宿值日吉凶歌角木蛟——嫁娶婚姻生贵子,文人及第见君王。
亢金龙——嫁娶婚姻用此日,儿孙新妇守空房。
氐土貉——婚姻逢此必离散,夜招浪荡适房中。
房日兔——修造埋葬家大王,婚姻合和壮人丁。
心月狐——婚姻若是逢此日,子四儿往泪满胸。
尾火虎——招财进宝田宅旺,和合婚姻生贵子。
萁水豹——福禄高官加禄位,六亲逢禄足安康。
斗木蟹——逢此喜星来保护,时多福护永无穷。
牛金牛——修造移徙皆不利,迎婚嫁娶主悲哀。
女土蝠——开张移徙须当忌,婚姻无子主贫穷。
虚日鼠——此星值日不用问,婚姻并子单亡身。
危月燕——葬埋必主三人死,嫁娶须妨重丧丘。
室火猪——葬埋起造多安太,婚姻偕老永和同。
璧水狳——兴工起造家富豪,祭祀婚姻和合成。
娄金狗——娄星值日妙难言,婚姻安康福寿全。
奎木狼——奎星造作得祯祥,家下荣合大吉昌。
胃土雉——婚娶开张合和顺,葬埋修造任兴工。
昴日鸡——婚姻不可逢此日,生离死休实可怨。
参水猿——婚姻定许相行克,男女朝开暮落死。
嘴火猴——婚姻定是无男女,横祸临身罪不轻。
毕月乌——婚姻若是逢此日,生得儿女福寿长。
井木干——井星造作旺田蚕,金榜显名第一先。
鬼金羊——此星起造主人亡,嫁娶夫妇不久长。
柳木獐——田园退尽守孤寒,妇人逐客流人缘。
星日马——生离死别无心恋,自要妇休外家郎。
张月鹿——开门放水招财币,婚姻和合福绵绵。
翼火蛇——祭祀葬埋俱有破,嫁娶婚姻福自消。
轸水蚓——轸星值日更可夸,祭祀婚姻人口加。
二十八宿原是二十八星宿的名稱,古代的人因晚上沒有太陽來確定方位,因此利用二十八宿星來辨認方向。
二十八宿星依序為:虛、危、室、壁、奎、婁、胃、昴、畢、觜、參、井、鬼、柳、星、張、翼、軫、角、亢、氐、房、心、尾、箕、斗、牛、女。
週而復始從虛宿依序排列。
二十八宿四季宜忌:春三月:宜用四木宿吉,忌用四土宿。
夏三月:宜用四火宿吉,忌用四金宿。
嫁娶周堂图详解嫁娶周堂图详解。
(2014-12-21 14:41:11)转载▼标签:情感嫁娶周堂图嫁娶周堂图式妇⼩⽉初⼀厨夫⼤⽉初⼀灶姑弟堂翁这是选择嫁娶时间的⽅法。
通过看⽉份是⼤是⼩来选取⽇⼦。
嫁娶周堂图上的⼤、⼩⽉份,是按嫁娶⽇(阴历)所在⽉份的⼤、⼩⽉来定的(可查历书)。
如果是⼤⽉,从夫字开始起初⼀顺时针数, 数到预订婚⽇⽌;如果是⼩⽉,从妇字开始起初⼀逆时针数, 数到预订婚⽇⽌;如果这天遇堂、弟、厨、灶⽇,则表⽰好。
其它不吉;如果这天遇翁、姑⽇,⽽本⼈没有翁、姑,这天也可以⽤。
嫁娶周堂图式:纳婿周堂图只论⽉分⼤⼩,不论节⽓。
⼤⽉从夫向姑顺数,⼩⽉从户向厨逆数,遇户厨灶门可⽤;遇公、姑、夫、弟不可⽤。
夫……户姑厨弟灶公门附纳婿定亲吉⽇丙寅,丁卯,戊寅,已卯,丙戌,戊⼦,壬⾠,癸巳,壬寅,癸卯,丙午,丁未,壬⼦,甲寅.⼄卯,丁巳,戊午,⼰未。
忌建、破、魁星、勾绞回.宜黄道、三合、定、成等⽇。
周堂图全名为《嫁娶周堂》或《嫁娶周堂图》,它是古代阴阳家在初婚男⼥办婚事前选择嫁娶吉⽇的主要理论依据。
清康熙22年,诏命⼤学⼠李光地等考定秦汉时的术数典籍编成《选择通书》,这本书共分六⼤⽬:⼀、象数;⼆、年神⽅位;三、⽉事吉神;四、⽉事凶神;五、⽇时总类;六、⽉⽤事宜忌。
乾隆46年编纂四库全书时,《嫁娶周堂》被选编在《四库术数类丛书·钦定协纪辨⽅书·卷五⼗五》中。
所谓《嫁娶周堂》就是把夫、姑、堂、翁、第、灶、妇、厨⼋个字按顺时针围成⾸尾封闭的⼀个圆周,其中夫即指丈夫;姑即指婆母;堂即指宅中的主体上房⼤屋;第即指宅第;灶即指家宅厨房中的炉灶;妇即指新婚的新娘;厨即指厨房。
《嫁娶周堂》中说:“凡遇择嫁娶⽇,⼤⽉从夫顺数,⼩⽉从妇逆数,遇第、堂、厨、灶⽇⽤之,如遇翁、姑⽽⽆翁、姑者亦可⽤。
”《嫁娶周堂》解释说:“桉周堂图:乾为翁、坎为第、⾉为灶、震为妇、巽为厨、离为夫、坤为姑、兑为堂。
有合于仪礼新妇馈盥,舅姑饗妇之位次。
入宅的择吉方法
民俗中一般通过生辰八字来择入宅吉日。
首先要考虑家中主人的生辰,这个日子一定不能冲克主人的生辰,第二就是要考虑房屋的朝向,选择的日子不能克了房屋的坐向,第三也要考虑家庭成员的属相,家中有老人孩子的属相和这个日子千万不能犯冲,所以选择一个好日子还是比较复杂的。
搬家周堂就是大月从月清数起,小月从玉堂数起,然后选择周堂空的日子,避煞就是把民俗的禁忌给他规避掉,加吉加贵是最好你选的日子符合天月二德,或者天月二德合日,制煞符合煞贡值星人专日,如果说这些条件都符合,那当然是搬家最吉利的日子。
入宅的注意事项
搬进房子的那天,要在吉利的时候,把床、床单等所需位(安床),但是太阳下山前不宜上床睡觉。
(附注:搬家房子前,可以提前搬进家具部分,这样搬家当天就不会着急了。
但是安床比较讲究,搬家当天安床是不可能的。
你可以先把床垫斜一点,然后在搬把床垫放正。
本文回答了能不能一点一点搬家的问题,可以一点一点搬家。
进屋时,米、油、盐、酱、醋、茶要齐全,这意味着你将来可以丰衣足食。
附注:记住!一定要有茶,这意味着搬进新家后,你会过上幸福的生活,有闲暇喝茶。
嫁娶择日周堂图秘籍04●十月:月德甲、月恩乙、母仓申酉,天德合庚。
▼立冬:立冬前一日为四绝。
▼小雪:立冬后三煞在西,申、酉、戍方忌修造、动土。
▼建亥日:不利起造、开张、嫁娶、入宅、出行、安葬,用之招官司、损家长。
乙亥、己亥,亦只宜小作营为,缘十月建亥不利。
▼除子日:虽是五行旺相,但秋冬交界之初,有转煞之凶。
古云转煞而伤,未可轻用。
甲子天赦不是转煞。
▼满丑日:天富、天成、天贼,丁丑、癸丑,煞入中宫,不利起造、嫁娶,忌鼓乐喧哗等事,以及钉门,务惊动神煞损人畜。
余丑亦不宜用,只可清魂入墓,凡金入丑宫,五行无气,并犯月厌天贼之凶。
▼平寅日:天富、天成.有到州星,事到官府而后散。
惟甲寅乃上吉,壬寅、庚寅次吉,小小修为则可,大作不宜。
余寅日凶。
▼定卯日:乙卯天德、辛卯、己卯,宜动土、兴工、定磉、上梁、嫁娶、入宅、出行、开张等用之,吉曜照临,余卯次吉。
▼执辰日:甲辰,天、月二德,只可偷修,若起造、兴工、嫁娶、入宅则不利。
十月虽不是败日,然终有凶。
余辰亦不利,惟丙辰可以开山、斩草、安葬次吉。
戊辰煞入中宫,大凶。
▼破巳日:小红沙日.亦犯朱雀、勾绞,诸事不宜。
惟乙巳有天德,小小营为,用之次吉。
丁巳正四废,犯之雷霆散败、横事、失财。
▼危午日:黄沙.甲午月德,有黄罗、紫檀、金银库楼,诸吉星盖照,嫁娶、开张、起造、动土、出行、入宅、安葬,大吉。
余午次吉,丙午正四废,凶。
▼成未日:月建三合,惜乙未煞入中宫,言忌出行、安葬、嫁娶、入宅、开张、修造,惟癸未火星,水入秦州,是贵人之星,值黄罗、紫檀、金银联珠星盖照,宜起造、嫁娶、纳釆、问名、出行、遇贵人、家宅永安宁,主百日、周年得贵人接引、进田产、生贵子、发福,上吉。
余未次吉。
▼收申日:却犯到州星,用之招官司、损人口。
惟甲申水洁净之时,水土长生居申,利安葬、嫁娶、出行、入宅、动土、开张、起造、营为,主百日、周年贵人自来提拔、凡事遂意。
庚申受死无气,又煞入中宫,犯之主杀人,大凶。
▼开酉日:乙酉天德,是葬日,宜娶亲、入宅、起造、开张,用之上吉,主增田宅、受职禄、光门户、奴婢义、仆自来投雇、诸事顺遂。
白虎周堂图 2012-2016年月份大小对照表白虎图:嫁娶须查看当日白虎图,选择用日一般不要犯。
只论嫁娶之月份大小,不论节气。
查法:大月从灶起初一向堂顺行,小月从厨起初一向路逆行,一至数到婚日这天。
如值死、睡、厨、灶之大吉,如值门、床、堂、路则凶。
大月:灶堂床死睡门路厨小月:厨路门睡死床堂灶白虎歌:白虎在堂堂正当,若遇床时新妇亡;门路厨灶犹无碍,唯有死睡大吉祥。
趋吉避凶法:1.值门、床、堂可提前用黄纸、朱砂(墨汁)书写“麒麟在此白虎退位”,贴在街门门槛或卧室、堂房上方;2.值路可在轿内挂碰头肉(生肉),遇岔路扔之即可。
嫁娶周堂图嫁娶周堂图式妇小月初一厨夫大月初一逆顺数数灶姑弟堂翁妇小月初一厨夫大月初一逆数灶顺数姑弟堂周堂图:凡嫁娶要查看周堂图,必须合周堂,只论嫁娶之月份大小,不论节气。
嫁娶周堂图上的大、小月份,是按嫁娶日(阴历)所在月份的大、小月来定的(可查历书)。
如果是大月,从夫字开始起初一顺时针数, 数到预订婚日止;如果是小月,从妇字开始起初一逆时针数, 数到预订婚日止;如果这天遇堂、弟、厨、灶日,则表示好。
其它不吉;如果这天遇翁、姑日,而本人没有翁(公公)、姑(婆婆),这天也可以用。
值弟女之弟宜避之。
大月:夫姑堂翁第灶妇厨小月:妇灶第翁堂姑夫厨初一初九十七廿五夫灶妇厨初二初十十八廿六姑堂灶路初三十一十九廿七堂床第门初四十二廿廿八翁死翁睡初五十三廿一廿九第睡堂死初六十四廿二卅灶门姑床初七十五廿三妇路夫堂初八十六廿四厨厨厨灶周堂歌:初一初七初九妨,十五、十七不相当;廿三廿五皆要忌,劝君不必数周堂。
每月初一、初七、初九、十五、十七、廿三、廿五七天谓周堂值夫妇,忌嫁娶。
书家谓之周堂杀。
嫁娶周堂图式:纳婿周堂图只论月分大小,不论节气。
大月从夫向姑顺数,小月从户向厨逆数,遇户、厨、灶、门可用;遇公、姑、夫、弟不可用。
夫…….....户姑厨弟灶公门附纳婿定亲吉日丙寅,丁卯,戊寅,已卯,丙戌,戊子,壬辰,癸巳,壬寅,癸卯,丙午,丁未,壬子,甲寅.乙卯,丁巳,戊午,己未。
入宅归火的择吉分类:择吉曾有朋友电话虚邀参评入宅日课,虚邀而已,盖以为本人不懂子丑寅卯,不足以择吉评课也。
其实命理一通,择吉评课乃小菜一碟而已,不足畏也。
如今择吉师皆人手一本《宗睦堂》,查看某月某日宜何事、忌何事即信口开河,直断吉凶,如何看通书还尚且昏昏,何能示人以昭昭?不明择吉者矣。
今先告诉有缘读到此文的读者如何读懂通书(即《宗睦堂》之类,街头书摊1元1本):凡流年通书,必先依用事次第,察其所宜忌之日,于某日注宜某事,某日注忌某事,次按宜忌较量其吉凶轻重以定取舍。
五行择吉取舍原则如下(择自《五行择日学》,赖九鼎著):一、吉神足胜凶煞,从宜不从忌。
二、吉神足抵凶煞,遇德(天月二德、天月二德合、天乙贵人)则从宜不从忌;不遇,从宜亦从忌。
三、吉神不抵凶煞,遇德则吉胜,从宜不从忌;不遇,从忌不从宜。
四、凶煞胜于吉神,遇德始相抵,从宜不从忌;不遇,从忌不从宜。
五、凶煞又逢凶煞,遇德仍从忌不从宜;不遇,诸事皆忌。
如,凡吉凶相抵,通书不注忌“移徙”,当日若遇天月二德、贵人等吉神则从宜,即“宜移徙”,也就是宜入宅归火。
另,看通书单看一本《宗睦堂》是不够的,如农历2008年十一月初八己卯日,《宗睦堂》注为宜:修造、动土、平基、行墙、结婚、问名、嫁娶、移徙等,《协纪辨方》则注“诸事不宜”。
十一月为子月,月建前三位卯为天罡,故注“诸事不宜”,依五行看,月日子卯相刑亦不为美,何以言吉?只可惜已有很多人将该日定为良辰吉日,用以入宅、嫁娶、行墙等,此皆庸师误人也!他们尽皆将《宗睦堂》捧若金科玉律,视为天书圭臬,而不依五行之理,不亦悲乎?如此择日,何用择吉师?你自己文化可比那些择吉师高得多,自己看通书挑选良辰吉日好了。
那么入宅归火该如何择吉?入宅:入新宅、旧宅移居的总称。
归火,有阴阳归火之分。
阳归火:入新宅或旧宅移居时将灶火火种或煤油灯带进新居或旧宅。
阴归火:将祖先神位和福德神位(如财神等善神)安香火用事的总称。
在择吉上通常将入宅和归火合称为入宅归火,通书上称移徙。
入宅择日过程详解入宅归火碎金赋:新屋入宅与造同.最要窍马大利方.旧屋分居及移徒.为堂为室办其通.木主奉处正宫位.三杀须防柱裹冲.卧室勿稽利不利.惟安乾坤床在中.虎雀到中麟凤制.天瘟受死必相攻.天火星贼杨公忌.四废绝烟瘟人殃.月破大退及归忌.棋天朱雀往亡空.离巢离绝真灭没.瓦陷瓦碎勿相蒙.一、迁移 (搬家)简易择吉法依择易学原理,迁移入宅(选择日课吉时)要考虑以下因素:家人(尤其房主)的生肖、生日干支(日柱)、新宅坐向、天罡四杀及回头贡杀等因素。
因每人个的条件不同,搬家时不可翻翻农历或通书上写「宜搬家」就搬家了,当天适合别人搬家却不一定适合你搬家。
兹将搬家选择吉日良辰之要点简述如下:择日课之彭祖百忌日(一)搬家禁忌:1、房主日柱:迁移(搬家)的日子不可与家人的「生肖」及「日柱」(农历生日之「天干地支」)相冲,尤其忌与屋主之「日柱」相刑冲。
地支相冲:子--午、丑--未、寅--申、卯--酉、辰--戌、巳--亥。
地支相刑:子(鼠)与卯(兔)相刑丑(牛)与戌(狗)相刑寅(虎)与巳(蛇)相刑卯(兔)与子(鼠)相刑辰(龙)与辰(龙)相刑巳(蛇)与申(猴)相刑午(马)与午(马)相刑未(羊)与丑(牛)相刑申(猴)与寅(虎)相刑酉(鸡)与酉(鸡)相刑戌(狗)与未(羊)相刑亥(猪)与亥(猪)相刑2、搬家五行:迁移(搬家)尽量选用「水日」为佳,少用「火日」。
3、新宅坐向:坐东者忌在巳、酉、丑(三合金)日子搬家;坐西者忌在亥、卯、未(三合木)日子搬屋;坐南者忌在申、子、辰(三合水)日子搬屋;坐北者忌在寅、午、戌(三合火)日子搬屋。
4、值「天罡四杀」:不能搬家屋主之「日柱」地支为申、子、辰命者,忌用未日未时;「日柱」地支为寅、午、戌命者,忌用丑日丑时;「日柱」地支为亥、卯、未命者,忌用戌日戌时;「日柱」地支为巳、酉、丑命者,忌用辰日辰时。
5、搬家月忌方位:正五九月不往东,二六十月北堂空,三七冬月西方死,四八腊月南方凶。
6、搬家日忌方位:甲己不可向东方,乙庚东北是空房,丙辛直北不可去,丁壬西北不相当,戊癸西南逢五鬼,若是犯了定主伤。
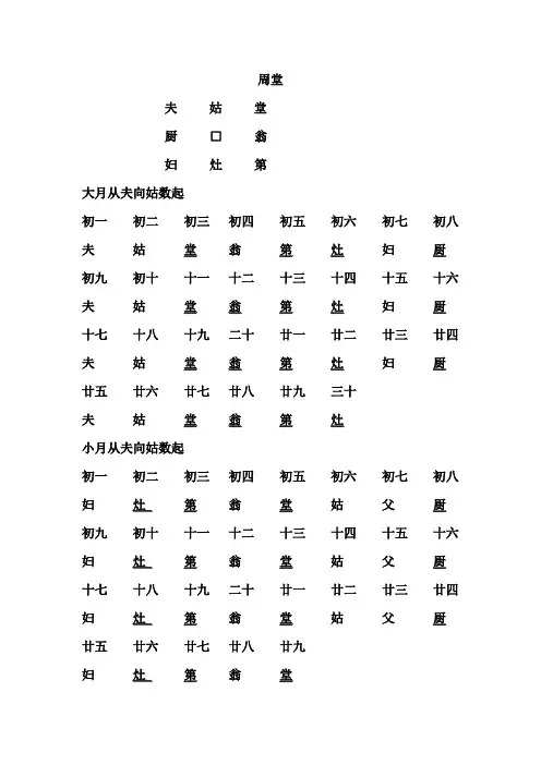
周堂夫姑堂厨□翁妇灶第大月从夫向姑数起初一初二初三初四初五初六初七初八夫姑堂翁第灶妇厨初九初十十一十二十三十四十五十六夫姑堂翁第灶妇厨十七十八十九二十廿一廿二廿三廿四夫姑堂翁第灶妇厨廿五廿六廿七廿八廿九三十夫姑堂翁第灶小月从夫向姑数起初一初二初三初四初五初六初七初八妇灶第翁堂姑父厨初九初十十一十二十三十四十五十六妇灶第翁堂姑父厨十七十八十九二十廿一廿二廿三廿四妇灶第翁堂姑父厨廿五廿六廿七廿八廿九妇灶第翁堂周堂一般用的日子大月一般用的日子是初三初五初六初八十一十三十四堂第灶厨堂第灶十六十九廿一廿二廿四廿七廿九厨堂第灶厨堂第三十灶小月一般用的日子是初二初三初五初八初十十一十三灶第堂厨灶第堂十六十八十九廿一廿四廿六廿七厨灶第堂厨灶第廿九厨白虎堂床死灶□睡厨路门大月从灶向堂数起初一初二初三初四初五初六初七初八灶堂床死睡门路厨初九初十十一十二十三十四十五十六灶堂床死睡门路厨十七十八十九二十廿一廿二廿三廿四灶堂床死睡门路厨廿五廿六廿七廿八廿九三十灶堂床死睡门小月从厨向路数起初一初二初三初四初五初六初七初八厨路门睡死床堂灶初九初十十一十二十三十四十五十六厨路门睡死床堂灶十七十八十九二十廿一廿二廿三廿四厨路门睡死床堂灶廿五廿六廿七廿八廿九厨路门睡死白虎堂一般用的日子大月一般用的日子初一初四初五初七初八初九十二十三十四十五十六十七十八十九二十廿一廿二廿三廿四廿五廿六廿七廿八廿九三十小月一般用的日子初一初二初三初四初五初六初七初八初九初十十一十二十三十四十五十六十七十八十九二十廿一廿二廿三廿四廿五廿六廿七廿八廿九三十。
动土平基碎金赋:细谈动土与君听.好似怀胎未见形.白地中宫何处认.坐山为主检分明.如逢旧山重翻盖.基址须当早立成.新址库音急须论.旧其应教月建停.日辰仍要寻清吉.月破受死不安宁.土符土府地囊杀.天赋天火天瘟星.正四废日真灭没.戊己土王邻不灵.黄帝土公死葬日.庚时启土业凋零.起基定磉碎金赋:编成定磉起基歌.好似婴孩与早禾.成败荣枯从此卜.吉凶祸福定无讹.动土邪气不侵入.定基旺气不嫌多.正体最宜生旺相.体旺人荣发福高.除将月建并月破.忌与瓦陷瓦碎罗.四离四绝正四废.天瘟天火真灭没.受死大退地柱日.下磉发搥依序谱.造化枢机留妙秘.何须同室起操戈.造宅碎金赋:由来造宅要推详.趋吉避凶作短章.此中制化兼生克.好为后人指大纲.山头三杀休轻用.四柱逢冲更是殃.阴府虽凶分死活.浑天先后办山方.消灭切须查气喉.文曲亦要认阴阳.曜星杀日何堪犯.冲丁杀兮岂待商.日流无用土王事.马前补助不须惶.罗天大退虽知谬.趋避也宜依地场.洪范库音音莫克.斗首翻化化更长.修造兼分四边看.大小月建星不良.天地真活二官符.喝散二解要相逢.燥火忌时无忌日.忌时冲在年月中.凶杀制神五星在.制神得令可招祥.通书载尽许多杀.制化得宜福禄长.五星制化多真秘.选择之家细较量.时师拘报诸般杀.矛盾能无笑自相.安门碎金赋:安门最要在元辰.内户任张免致询.但把定方分坐向.为将居宅配旧新.新当论坐休论向.左右偏门随宅身.旧者论向方舍坐.或左或右方自循.要知月火天瘟忌.犹是天火月破瞋.四绝四离二赋害.大夫大退火星均.灭门受死荒芜讶.互碎者离灭没真.奚止门光分黑白.季月红纱名勿陈.安灶诀:开灶门例同灶位宜东大利用开定平收日大吉。
安灶面西子孙良,向南烧火无祸殃,面东贫穷无吉利,务要推求仔细详。
灶在干方是灭门,壬亥二位损儿孙,甲寅得财辰卯富,艮乙烧火即遭殃,子癸坤方家困苦,丑方损畜家祸频,巳丙发财庚大富,午方旺位富儿孙,辛酉丁方多疾病,申巽未戍宅享通,作灶切忌用粪土,新砖近水砌安宁。
入宅周堂的使用?
入宅重要步骤
一、选择利于宅主的大吉日课,以及一些必要的生活用品。
如谷米,葱蒜之类(如果是信佛之人可不用)。
鸡六只、文房四宝、剪刀、秤、柏枝、桂叶等等。
二、每个房间准备一盏油灯,用红纸贴上,进宅前点亮屋内所有的灯光。
三、由父母祖辈先进,而后是宅主,再后是儿女子孙。
最后是外家亲戚、最后是其它亲戚,进宅后由父母祖辈发给后代红包。
四、族中送的喜幛要挂在客厅的左边,外家方的亲戚送的挂右边,入席也是如此。
五、女主人入宅后先要点燃炉灶煮东西、烧开水等等。
六、出宅的顺序与进宅一样!一定要老人先出,子女要最后出宅,不能弄反顺序。
当然对于入宅的仪式还很多,但主要还是以上几点。
搬家入宅注意事项
1、搬入新家之物,最好亲自动手;
2、搬进新宅时全家不可空手进入屋内;
3、要选择新枕头,将新枕头先搬入新家;
4、入住新家时间应该在早上、中午或在日落之前;
5、入住当天,一定要烧一壶开水, 寓意财源滚滚;
6、搬家当夜应将屋内所有的灯光全部打开至次日,使屋气旺而不息。
宴请客人是最后一道程序
●客家风俗小孩入宅要手捧文房四宝。
安门周堂,一种古老的中国传统建筑仪式,体现了古人对于空间、时间和宇宙秩序的深刻理解。
它既是建筑艺术的一部分,又是一种信仰和习俗的体现,深深地扎根在中国的土地和文化之中。
在古代,安门周堂通常是在重要的建筑项目如宫殿、庙宇、城墙等开始时进行,以求神灵的保佑,工程的顺利进行。
这一仪式的举行,标志着建筑的正式开工,寓含着古人对于天地的敬畏和对未来的期盼。
安门周堂有着一套严格的程序和规定。
首先,建筑师需要挑选一个吉日,这通常是根据农历和星象来确定的。
然后,他们会进行一系列的准备工作,包括清理现场、准备祭品等。
在仪式开始之前,建筑师还会进行精心的空间布局,以确定建筑物的准确位置和方向。
安门周堂的核心部分是“安门”和“周堂”两个步骤。
安门是指在大门的位置安放一块特制的木板,这象征着将建筑物的内外空间分隔开来。
这块木板通常是用珍贵的木材制成,上面还会雕刻一些吉祥的图案和文字。
安门的过程中,建筑师会进行一系列的祈祷和仪式,以求神灵的保佑。
周堂则是在建筑物的四周划定一个界限,这通常是用石灰或砖石来完成的。
这个界限标志着建筑物的范围,也是建筑物与周围环境的分隔。
在周堂的过程中,建筑师同样会进行一系列的祈祷和仪式,以求工程的平安和顺利。
安门周堂不仅是一种建筑仪式,更是一种信仰和文化的体现。
它反映了古人对于宇宙秩序的理解,对于人与自然的关系的认识,以及对于未来的期盼和祈愿。
在现代社会,虽然很多传统的建筑仪式已经被简化或忽略,但安门周堂仍然在一些地方被保留和传承,成为中国文化的一部分。
总的来说,安门周堂是一种深深扎根在中国文化中的传统建筑仪式。
它体现了古人对于宇宙、自然和人的理解,也寓含着对未来的期盼和祈愿。
在现代社会,我们应该更加珍视和传承这些传统的文化习俗,让它们在我们的生活中继续发扬光大。
2023年4月搬家入宅黃道吉日
2023年4月宜入宅吉日
仅供参考,建议结合家庭成员择良辰吉日吉时
阳历2023/4/1星期六,农历闰二月十一
月德合日时阳生气开日
日逢生肖羊宜避
子时深夜23至01点吉
寅时凌晨03至05点吉
卯时上午5点至7点吉
巳时上午9至11点吉
申时下午15至17点吉
◎今日丑时凌晨1至3点勿用。
◎今日未时下午13到15点勿用。
◎今日酉时傍晚17至19点勿用。
◎今日亥时夜间21至23点勿用。
阳历2023/4/14星期五,农历闰二月廿四
天德月德阳德王日开日
日逢生肖猴宜避
丑时凌晨1至3点吉
寅时凌晨03至05点吉
卯时上午5点至7点吉
未时下午13到15点吉
◎今日申时下午15至17点勿用。
◎今日酉时下午17到19点勿用。
◎今日戌时晚上19至21点勿用。
阳历2023/4/26星期三,农历三月初七 阳德驿马时阳生气开日
日逢生肖猴宜避
寅时凌晨03至05点吉
辰时上午7点至9点吉
未时下午13到15点吉
◎今日申时下午15至17点勿用。
◎今日酉时下午17到19点勿用。
◎今日戌时晚上19至21点勿用。
入宅安香火择日需要注意哪些神煞?(李仁贵珍藏版)入宅者,即迁入新宅,所谓新居落成,新屋为之入宅也。
安香者,香指香火之安位,如安福德,俗称安土地公,或安堂上之祖先神位,俗谓安公妈神位。
入宅吉日:宜甲子、乙丑、丁卯、己巳、庚午、辛未、甲戌、丁丑、癸未、庚寅、壬辰、乙未、庚子、癸卯、丙午、丁未、庚戌、癸丑、甲寅、乙卯、壬寅、丙辰、己未、丁巳。
宜天德、月德、天德合、月德合、天月恩、明星、月财、黄道、母仓。
忌家主本命日神、月将、空亡、冰消、瓦陷子午头杀、披麻杀、杨公忌、受死、归忌、天贼、正四废、天厌、九丑、荒芜。
入宅安吞(谓入宅安奉福神香火等)入宅周堂月清o六道台看三徒昌盛○大月初一起清六道三刑o家亡o定行程三才o天福o五离o天严o小月初一玉堂起从玉堂o天良o玄武o地耗月福天良吉、凶明安香火周堂例天害o煞。
°大月从安向利顺行;o小月从利∞富天向利逆行,即安香火福神若安o灾o师o遇神在日合此周堂上吉。
火星凶吉寅申巳亥月乙丑甲戌癸未壬辰辛丑庚戌己亥子午卯酉月甲子癸酉壬午辛卯庚子已西戊午辰戌丑未月壬申辛巳庚寅已亥戊申丁巳逐月入宅归火吉日(冰消瓦解例在竖造局看)正月:癸西、丁酉外乙酉、己酉二月:乙丑、辛未、丁亥外癸未、丁未、已未三月:外癸酉、丁酉、乙巳、己巳四月:甲子、庚子、庚午、乙卯外辛卯、癸未五月:辛未外已未六月:丙申,甲寅七月:辛未、甲子、丙子八月:乙丑、壬辰外乙亥、庚辰九月:庚午、丙午、癸卯、辛卯十月:甲子、庚午外甲午、乙未,庚子、丁未十一月:壬申、丙申十二月:丙申、甲寅外丙寅、甲申、王寅上吉日不犯天牢、黑道、牢狱、日徒隶死别、于罪刑狱、所忌凶神上房。
搬家方位吉凶查询表为了图个吉利,人们一般选择吉时、吉地进行搬家。
搬家时即使再近总是移动到某个方向。
家居风水所谓的方位仅指就房子或者宅地的中心判断的范围,至于搬家或者出差等人离开住处而行动时的移动吉凶,其问的占凶是完全不同的。
平常的外出,当天之内便回家,即使旅行,也是数口便回家,倒不必太过神经质,但是,搬家就不同了。
改变住处而移动至新的住处,打个比喻,甚至可说是灵魂的移动。
必须十分的小心谨慎。
这里讲的是家居风水的方位但搬家等移动方位也是不能等闲视之的。
家居风水是“静”,搬家是“.动”,有如车之双轮,缺一不好。
以下是一则真人实事。
H先生于一九八三年五月八日从桃园县迁至东北方位的台北市。
家居风水倒是请专家看过的,但迁人新居之后,全家大小都生病,甚至怀疑起家居风水。
但,家居风水一点也不坏,只是移动年月是凶方位。
H先生大概太过注重家居风水,反而疏忽了搬家的时间。
家宅的凶相大约从六个月至二年出现。
凶方位的现象则因人而异,但总是比家居风水更快降临。
家居风水与搬家方位同样重要,移动时务必使用以下的“搬家方位吉凶表”。
(仅供参考)搬家择日人在一生中,难免要有几次迁居。
大多数的人均相信迁移(搬家)会给当事人(或房主与家人)带来不同程度、或多或少吉凶祸福的感应,所以,多数人迁移(搬家)时总会选个黄道吉日、择定吉时、方位并遵循相关的传统习俗及喜忌,希望能有吉祥兆应,也才觉得安心。
一、迁移 (搬家)简易择吉法依择易学原理,迁移入宅(选择日课吉时)要考虑以下因素:家人(尤其房主)的生肖、生日干支(日柱)、新宅坐向、天罡四杀及回头贡杀等因素。
因每人个的条件不同,搬家时不可翻翻农历或通书上写「宜搬家」就搬家了,当天适合别人搬家却不一定适合你搬家。
兹将搬家选择吉日良辰之要点简述如下:(一)搬家禁忌:1、房主日柱:迁移(搬家)的日子不可与家人的「生肖」及「日柱」(农历生日之「天干地支」)相冲,尤其忌与屋主之「日柱」相刑冲。
地支相冲:子--午、丑--未、寅--申、卯--酉、辰--戌、巳--亥。
动土平基碎金赋:
细谈动土与君听.好似怀胎未见形.白地中宫何处认.坐山为主检分明.如逢旧山重翻盖.基址须当早立成.新址库音急须论.旧其应教月建停.日辰仍要寻清吉.月破受死不安宁.土符土府地囊杀.天赋天火天瘟星.正四废日真灭没.戊己土王邻不灵.黄帝土公死葬日.庚时启土业凋零.起基定磉碎金赋:
编成定磉起基歌.好似婴孩与早禾.成败荣枯从此卜.吉凶祸福定无讹.动土邪气不侵入.定基旺气不嫌多.正体最宜生旺相.体旺人荣发福高.除将月建并月破.忌与瓦陷瓦碎罗.四离四绝正四废.天瘟天火真灭没.受死大退地柱日.下磉发搥依序谱.造化枢机留妙秘.何须同室起操戈.造宅碎金赋:
由来造宅要推详.趋吉避凶作短章.此中制化兼生克.好为后人指大纲.山头三杀休轻用.四柱逢冲更是殃.阴府虽凶分死活.浑天先后办山方.消灭切须查气喉.文曲亦要认阴阳.曜星杀日何堪犯.冲丁杀兮岂待商.日流无用土王事.马前补助不须惶.罗天大退虽知谬.趋避也宜依地场.洪范库音音莫克.斗首翻化化更长.修造兼分四边看.大小月建星不良.天地真活二官符.喝散二解要相逢.燥火忌时无忌日.忌时冲在年月中.凶杀制神五星在.制神得令可招祥.通书载尽许多杀.制化得宜福禄长.五星制化多真秘.选择之家细较量.时师拘报诸般杀.矛盾能无笑自相.安门碎金赋:
安门最要在元辰.内户任张免致询.但把定方分坐向.为将居宅配旧新.新当论坐休论向.左右偏门随宅身.旧者论向方舍坐.或左或右方自循.要知月火天瘟忌.犹是天火月破瞋.四绝四离二赋害.大夫大退火星均.灭门受死荒芜讶.互碎者离灭没真.奚止门光分黑白.季月红纱名勿陈.安灶诀:
开灶门例同灶位宜东大利用开定平收日大吉。
安灶面西子孙良,向南烧火无祸殃,面东贫穷无吉利,务要推求仔细详。
灶在干方是灭门,壬亥二位损儿孙,甲寅得财辰卯富,艮乙烧火即遭殃,子癸坤方家困苦,丑方损畜家祸频,巳丙发财庚大富,午方旺位富儿孙,辛酉丁方多疾病,申巽未戍宅享通,作灶切忌用粪土,新砖近水砌安宁。
入宅归火碎金赋:
新屋入宅与造同.最要窍马大利方.旧屋分居及移徒.为堂为室办其通.木主奉处正宫位.三杀须防柱裹冲.卧室勿稽利不利.惟安乾坤床在中.虎雀到中麟凤制.天瘟受死必相攻.天火星贼杨公忌.四废绝烟瘟人殃.月破大退及归忌.棋天朱雀往亡空.离巢离绝真灭没.瓦陷瓦碎勿相蒙.
朱雀入宫
朱雀入宫君莫移,雀坤嫁娶也非宜,干宫安床兑修井,
疾病是非勿猜疑,艮退庵堂巽伐木,修门又忌雀离坤,
坎修水沟震修厨,一宫都是一不利,
其法以排山掌,将甲子入宫顺算,如乙丑在巽宫忌伐木,余皆同推也!
凶日
四绝日:立春,立夏,立秋,立冬前一日。
一切用事皆忌之
四离日:春分,秋分,夏至,冬至前一天。
有书云忌结婚会客,有书云只忌行军出兵。
正四废:春,庚申辛酉,夏壬子癸丑,秋甲寅乙卯,冬丙午丁未,
百事皆忌,惟入殓、移柩、安葬不忌。
四耗日:春壬子,夏乙卯,秋戊午,冬辛酉。
忌求财,开业,建仓库。
大小哭日:忌建宅,入宅。
据验证:课中信息吉者由哭变笑,亦可慎用。
正月子酉日,二月丑戌日,三月寅未日,四月寅亥日,
五月辰丑日,六月寅巳日,七月寅午日,八月未辰日,
九月申未日,十月申巳日,十一月戌亥日,十二月亥申日。
五离日:甲申乙酉天地离,丙申丁酉日月离,戊申己酉人民离,壬申癸酉汉河离。
忌结婚嫁娶。
八专日:丁未己未庚申甲寅癸丑
忌嫁娶,据考证,信息吉者亦可慎用。
死别日:春戌日,夏丑日,秋辰日,冬未日。
忌上官赴任,结婚,吉者可慎用。
绝烟火日。
也为大时,乃将军之象,五行到此而败绝,为极凶之神。
忌移徒、入宅、出火、作窑、作灶凶。
正五九月丁卯日;二六十月甲子日;
三七十一月癸酉日;四八十二月庚午日。
横天朱雀:初一忌嫁娶,初九忌上梁,十七日忌安葬、开池塘凶,二五移徒人财伤。
杨公忌日:忌入宅、移徒、出火、分居大凶。
归忌:忌移徒、入宅、出火、嫁娶、远回归宁凶。
往亡日:忌上官赴任、上册表章、出行、进人口、偃武习艺、嫁娶、订婚、入宅、出火、医病皆凶。
倒家煞:俗忌上梁大凶,而其余之事于忌。
破家煞:忌移徒、入宅、出火、嫁娶凶。
灭门:忌安门、修门凶不忌安葬。
大祸:忌安灶、修厨凶不忌安葬。
披麻:只忌嫁娶、入宅吉多制化可用。
瘟出瘟入:忌移徒、入宅、出火、牧养、纳畜、造畜栏凶。
冰消瓦解:全子午日大忌上梁、入宅、作灶、造船、造桥凶。
真灭没:忌修方、造葬、入宅、开市凶勿用。
冰消瓦解子午正煞局。