机械工程测试技术-课后作业
- 格式:docx
- 大小:117.63 KB
- 文档页数:14
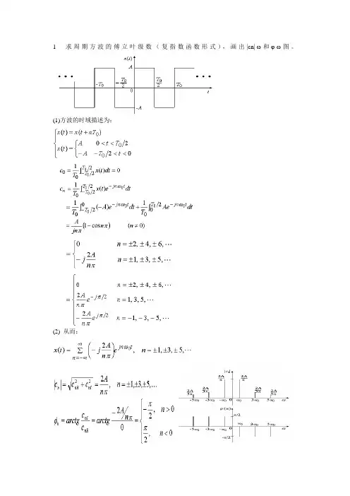
1 求周期方波的傅立叶级数(复指数函数形式),画出|cn|-ω和ϕ-ω图。
(1)方波的时域描述为:(2) 从而:2 . 求正弦信号的绝对均值和均方根值。
(1)(2)3.求符号函数和单位阶跃函数的频谱解:(1)因为不满足绝对可积条件,因此,可以把符合函数看作为双边指数衰减函数:其傅里叶变换为:(2)阶跃函数:4. 求被截断的余弦函数的傅里叶变换。
解:(1)被截断的余弦函数可以看成为:余弦函数与矩形窗的点积,即:(2)根据卷积定理,其傅里叶变换为:5.设有一时间函数f(t)及其频谱如图所示。
现乘以余弦函数cosω0t(ω0>ωm)。
在这个关系中函数f(t)称为调制信号,余弦函数cosω0t称为载波。
试求调幅信号的f(t)cosω0t傅氏变换,并绘制其频谱示意图。
又:若ω0<ωm将会出现什么情况?解:(1)令(2) 根据傅氏变换的频移性质,有:频谱示意图如下:(3) 当ω0<ωm时,由图可见,出现混叠,不能通过滤波的方法提取出原信号f(t)的频谱。
6.求被截断的余弦函数的傅立叶变换。
解:方法一:方法二:(1)其中为矩形窗函数,其频谱为:(2)根据傅氏变换的频移性质,有:第二章4. 求指数衰减函数的频谱函数,()。
并定性画出信号及其频谱图形。
解:(1)求单边指数函数的傅里叶变换及频谱(2)求余弦振荡信号的频谱。
利用函数的卷积特性,可求出信号的频谱为其幅值频谱为a a`b b`c c`题图信号及其频谱图注:本题可以用定义求,也可以用傅立叶变换的频移特性求解。
5 一线性系统,其传递函数为,当输入信号为时,求:(1);(2);(3);(4)。
解:(1) 线性系统的输入、输出关系为:已知,则由此可得:(2) 求有两种方法。
其一是利用的傅立叶逆变换;其二是先求出,再求,其三是直接利用公式求。
下面用第一种方法。
(3)由可得:(4) 可以由的傅立叶逆变换求得,也可以直接由、积分求得:第三章1.说明线性系统的频率保持性在测量中的作用。
机械工程测试技术课后习题及答案第一章传感器及检测系统的基本概念1、检测系统由哪几部分组成?说明各部分的作用2、怎样选择仪表的量程大小?3、测量误差可以分为哪几类?引起各类误差的原因是什么?4、传感器按照被测物理量来分,可以分为哪几种?5、某电路中的电流为10A,用甲乙两块电流表同时测量,甲表读数为10.8A,乙表读数为9.5A,请计算两次测量的绝对误差和相对误差。
6、用1.0级量限100V的电压表甲,0.5级量限250V的电压表乙分别测量某电压,读数皆为80V,试比较两次测量结果的准确度。
7、有三台测温仪表,量程均为0~800℃,精度等级分别为2.5级、2.0级和1.5级,现要测量500℃的温度,要求相对误差不超过2.5%,选哪台仪表合理?解答:1、一个完整的工程检测系统包括:传感器、信号调理电路、信号处理电路和显示记录部分。
各部分作用:传感器——感受被测量,并将其转换为电信号;信号调理电路——将传感器输出信号进行放大和转换;信号处理电路——对电信号进行计算和分析;显示记录部分——显示记录测试结果。
2、应根据被测量的大小,兼顾仪表的准确度等级和量程,使其工作在不小于满度值2/3以上的区域。
3、测量误差可以分为:系统误差、随机误差和疏失误差三类。
引起的原因如下:系统误差——仪器误差、零位误差、理论误差、环境误差和观察者误差等随机误差——温度、磁场,零件摩擦、间隙,气压和湿度的变化,测量人员分辨本领的限制等疏失误差——操作、读数、记录和计算等方面的人为误差等4、传感器按被测物理量可以分为:位移传感器、速度传感器、加速度传感器、温度传感器、压力传感器等。
5、绝对误差:△I= I﹣I=10.8-10=+0.8A;△I= I﹣I=9.5-10=﹣0.5A相对误差:γ甲=△I甲/ I0=+0.8/10=8%;γ乙=△I乙/ I0=﹣0.5/10=﹣5%6、最大绝对误差:△V m甲=±K%·V m甲=±1.0%×100=±1.0V;△V m乙=±K%·V m乙=±0.5%×250=±1.25V最大相对误差:γm甲=△V m甲/ V=±1.0/80=±1.25%;γm乙=△V m乙/ V=±1.25/80=±1.56%故:甲表测量结果的准确度高于乙表。
第三章 常用传感器与敏感元件3-1 在机械式传感器中,影响线性度的主要因素是什么?可举例说明。
解答:主要因素是弹性敏感元件的蠕变、弹性后效等。
3-2 试举出你所熟悉的五种机械式传感器,并说明它们的变换原理。
解答:气压表、弹簧秤、双金属片温度传感器、液体温度传感器、毛发湿度计等。
3-3 电阻丝应变片与半导体应变片在工作原理上有何区别?各有何优缺点?应如何针对具体情况来选用?解答:电阻丝应变片主要利用形变效应,而半导体应变片主要利用压阻效应。
电阻丝应变片主要优点是性能稳定,现行较好;主要缺点是灵敏度低,横向效应大。
半导体应变片主要优点是灵敏度高、机械滞后小、横向效应小;主要缺点是温度稳定性差、灵敏度离散度大、非线性大。
选用时要根据测量精度要求、现场条件、灵敏度要求等来选择。
3-4 有一电阻应变片(见图3-84),其灵敏度S g =2,R =120。
设工作时其应变为1000,问R =?设将此应变片接成如图所示的电路,试求:1)无应变时电流表示值;2)有应变时电流表示值;3)电流表指示值相对变化量;4)试分析这个变量能否从表中读出?解:根据应变效应表达式R /R =S g 得 R =S g R =2100010-6120= 1)I 1=R =120=0.0125A=2)I 2=(R +R )=(120+0.012475A= 3)=(I 2-I 1)/I 1100%=%4)电流变化量太小,很难从电流表中读出。
如果采用高灵敏度小量程的微安表,则量程不够,无法测量的电流;如果采用毫安表,无法分辨的电流变化。
一般需要电桥来测量,将无应变时的灵位电流平衡掉,只取有应变时的微小输出量,并可根据需要采用放大器放大。
3-5 电感传感器(自感型)的灵敏度与哪些因素有关?要提高灵敏度可采取哪些措施?采取这些措施会带来什么样后果?解答:以气隙变化式为例进行分析。
20022N A dLS d μδδ==- 又因为线圈阻抗Z =L ,所以灵敏度又可写成20022N A dZ S d μωδδ==-图3-84 题3-4图由上式可见,灵敏度与磁路横截面积A 0、线圈匝数N 、电源角频率、铁芯磁导率0,气隙等有关。
第一章 信号的分类与描述1-1 求周期方波(见图1-4)的傅里叶级数(复指数函数形式),划出|c n |–ω和φn –ω图,并与表1-1对比。
解答:在一个周期的表达式为00 (0)2() (0)2T A t x t T A t ⎧--≤<⎪⎪=⎨⎪≤<⎪⎩积分区间取(-T/2,T/2)00000002202002111()d =d +d =(cos -1) (=0, 1, 2, 3, ) T T jn tjn tjn t T T n c x t et Aet Ae tT T T Ajn n n ωωωππ-----=-±±±⎰⎰⎰所以复指数函数形式的傅里叶级数为001()(1cos )jn tjn t n n n Ax t c ejn e n∞∞=-∞=-∞==--∑∑ωωππ,=0, 1, 2, 3, n ±±± 。
(1cos ) (=0, 1, 2, 3, )0nInR A c n n n c ⎧=--⎪±±±⎨⎪=⎩ ππ21,3,,(1cos )00,2,4,6, n An A c n n n n ⎧=±±±⎪==-=⎨⎪=±±±⎩πππ1,3,5,2arctan1,3,5,200,2,4,6,nI n nRπn c πφn c n ⎧-=+++⎪⎪⎪===---⎨⎪=±±±⎪⎪⎩没有偶次谐波。
其频谱图如下图所示。
图1-4 周期方波信号波形图1-2 求正弦信号0()sin x t x ωt =的绝对均值x μ和均方根值rms x 。
解答:00002200000224211()d sin d sin d cos TTT Tx x x x x μx t t x ωt t ωt t ωt T T TT ωT ωπ====-==⎰⎰⎰rmsx ==== 1-3 求指数函数()(0,0)at x t Ae a t -=>≥的频谱。
机械工程测试技术基础习题解答教材:机械工程测试技术基础,熊诗波 黄长艺主编,机械工业,2006年9月第3版第二次印刷。
绪 论0-1 叙述我国法定计量单位的基本容。
解答:教材P4~5,二、法定计量单位。
0-2 如何保证量值的准确和一致? 解答:(参考教材P4~6,二、法定计量单位~五、量值的传递和计量器具检定) 1、对计量单位做出严格的定义;2、有保存、复现和传递单位的一整套制度和设备;3、必须保存有基准计量器具,包括国家基准、副基准、工作基准等。
3、必须按检定规程对计量器具实施检定或校准,将国家级准所复现的计量单位量值经过各级计算标准传递到工作计量器具。
0-3 何谓测量误差?通常测量误差是如何分类表示的? 解答:(教材P8~10,八、测量误差)0-4 请将下列诸测量结果中的绝对误差改写为相对误差。
①1.0182544V±7.8μV ②(25.04894±0.00003)g③(5.482±0.026)g/cm 2解答: ①-667.810/1.01825447.6601682/10±⨯≈±②60.00003/25.04894 1.197655/10±≈±③0.026/5.482 4.743±≈‰0-5 何谓测量不确定度?国际计量局于1980年提出的建议《实验不确定度的规定建议书INC-1(1980)》的要点是什么? 解答:(1)测量不确定度是表征被测量值的真值在所处量值围的一个估计,亦即由于测量误差的存在而对被测量值不能肯定的程度。
(2)要点:见教材P11。
0-6为什么选用电表时,不但要考虑它的准确度,而且要考虑它的量程?为什么是用电表时应尽可能地在电表量程上限的三分之二以上使用?用量程为150V 的0.5级电压表和量程为30V 的1.5级电压表分别测量25V 电压,请问哪一个测量准确度高? 解答:(1)因为多数的电工仪表、热工仪表和部分无线电测量仪器是按引用误差分级的(例如,精度等级为0.2级的电表,其引用误差为0.2%),而 引用误差=绝对误差/引用值其中的引用值一般是仪表的满度值(或量程),所以用电表测量的结果的绝对误差大小与量程有关。
机械工程测试技术基础习题解答教材:机械工程测试技术基础,熊诗波黄长艺主编,机械工业出版社,2006 年 9 月第 3 版第二次印刷。
绪论0-1 叙述我国法定计量单位的基本内容。
解答:教材P4~5,二、法定计量单位。
0-2 如何保证量值的准确和一致?解答:(参考教材P4~6,二、法定计量单位~五、量值的传递和计量器具检定)1、对计量单位做出严格的定义;2、有保存、复现和传递单位的一整套制度和设备;3、必须保存有基准计量器具,包括国家基准、副基准、工作基准等。
3、必须按检定规程对计量器具实施检定或校准,将国家级准所复现的计量单位量值经过各级计算标准传递到工作计量器具。
0-3 何谓测量误差?通常测量误差是如何分类表示的?解答:(教材 P8~10,八、测量误差)0-4 请将下列诸测量结果中的绝对误差改写为相对误差。
①1.0182544V ±7.8μV②(25.04894 0±.00003)g③(5.482 0±.026)g/cm 2解答:①7.8 10-6 /1.0182544 7.6601682/10 6②0.00003/25.04894 1.197655/10 6③0.026/5.482 4.743‰0-5 何谓测量不确定度?国际计量局于1980 年提出的建议《实验不确定度的规定建议书INC-1(1980) 》的要点是什么?解答:(1)测量不确定度是表征被测量值的真值在所处量值范围的一个估计,亦即由于测量误差的存在而对被测量值不能肯定的程度。
(2)要点:见教材P11。
0-6 为什么选用电表时,不但要考虑它的准确度,而且要考虑它的量程?为什么是用电表时应尽可能地在电表量程上限的三分之二以上使用?用量程为150V 的 0.5 级电压表和量程为30V 的 1.5 级电压表分别测量 25V 电压,请问哪一个测量准确度高?解答:(1)因为多数的电工仪表、热工仪表和部分无线电测量仪器是按引用误差分级的(例如,精度等级为0.2 级的电表,其引用误差为0.2% ),而引用误差 =绝对误差 /引用值其中的引用值一般是仪表的满度值(或量程 ),所以用电表测量的结果的绝对误差大小与量程有关。
机械工程测试技术习题课后题解答(总17页)--本页仅作为文档封面,使用时请直接删除即可----内页可以根据需求调整合适字体及大小--1 求周期方波的傅立叶级数(复指数函数形式),画出|cn|-和-图。
(1)方波的时域描述为:(2) 从而:2 . 求正弦信号的绝对均值和均方根值。
(1)(2)3.求符号函数和单位阶跃函数的频谱解:(1)因为不满足绝对可积条件,因此,可以把符合函数看作为双边指数衰减函数:其傅里叶变换为:(2)阶跃函数:4. 求被截断的余弦函数的傅里叶变换。
解: (1)被截断的余弦函数可以看成为:余弦函数与矩形窗的点积,即:(2)根据卷积定理,其傅里叶变换为:5.设有一时间函数f(t)及其频谱如图所示。
现乘以余弦函数cos0t(0>m)。
在这个关系中函数f(t)称为调制信号,余弦函数cos0t称为载波。
试求调幅信号的f(t)cos0t傅氏变换,并绘制其频谱示意图。
又:若0<m将会出现什么情况解:(1)令(2) 根据傅氏变换的频移性质,有:频谱示意图如下:(3) 当0<m时,由图可见,出现混叠,不能通过滤波的方法提取出原信号f(t)的频谱。
6.求被截断的余弦函数的傅立叶变换。
解:方法一:方法二: (1)其中为矩形窗函数,其频谱为:(2)根据傅氏变换的频移性质,有:第二章4. 求指数衰减函数的频谱函数,()。
并定性画出信号及其频谱图形。
解:(1)求单边指数函数的傅里叶变换及频谱(2)求余弦振荡信号的频谱。
利用函数的卷积特性,可求出信号的频谱为其幅值频谱为a a`b b`c c`题图信号及其频谱图注:本题可以用定义求,也可以用傅立叶变换的频移特性求解。
5 一线性系统,其传递函数为,当输入信号为时,求:(1);(2);(3);(4)。
解:(1) 线性系统的输入、输出关系为:已知,则由此可得:(2) 求有两种方法。
其一是利用的傅立叶逆变换;其二是先求出,再求,其三是直接利用公式求。
机械工程测试技术基础习题解答教材:机械工程测试技术基础,熊诗波 黄长艺主编,机械工业出版社,2006年9月第3版第二次印刷。
绪 论0-1 叙述我国法定计量单位的基本内容。
解答:教材P4~5,二、法定计量单位。
0-2 如何保证量值的准确和一致?解答:(参考教材P4~6,二、法定计量单位~五、量值的传递和计量器具检定) 1、对计量单位做出严格的定义;2、有保存、复现和传递单位的一整套制度和设备;3、必须保存有基准计量器具,包括国家基准、副基准、工作基准等。
3、必须按检定规程对计量器具实施检定或校准,将国家级准所复现的计量单位量值经过各级计算标准传递到工作计量器具。
0-3 何谓测量误差?通常测量误差是如何分类表示的?解答:(教材P8~10,八、测量误差)0-4 请将下列诸测量结果中的绝对误差改写为相对误差。
①1.0182544V±7.8μV ②(25.04894±0.00003)g ③(5.482±0.026)g/cm 2解答:①-667.810/1.01825447.6601682/10±⨯≈± ②60.00003/25.04894 1.197655/10±≈±③0.026/5.482 4.743±≈‰0-5 何谓测量不确定度?国际计量局于1980年提出的建议《实验不确定度的规定建议书INC-1(1980)》的要点是什么?解答:(1)测量不确定度是表征被测量值的真值在所处量值范围的一个估计,亦即由于测量误差的存在而对被测量值不能肯定的程度。
(2)要点:见教材P11。
0-6为什么选用电表时,不但要考虑它的准确度,而且要考虑它的量程?为什么是用电表时应尽可能地在电表量程上限的三分之二以上使用?用量程为150V的0.5级电压表和量程为30V的1.5级电压表分别测量25V电压,请问哪一个测量准确度高?解答:(1)因为多数的电工仪表、热工仪表和部分无线电测量仪器是按引用误差分级的(例如,精度等级为0.2级的电表,其引用误差为0.2%),而引用误差=绝对误差/引用值其中的引用值一般是仪表的满度值(或量程),所以用电表测量的结果的绝对误差大小与量程有关。
许同乐-机械工程测试技术课后习题及答案-CAL-FENGHAI-(2020YEAR-YICAI)_JINGBIAN思考题与习题0-1 举例说明什么是测试答:⑴测试的例子:为了确定一端固定的悬臂梁的的固有频率,可以采用锤击法对梁尽享激振,在利用压力传感器、电荷放大器、波形记录器记录信号波形,由衰减的振荡波形便可以计算出悬臂梁的固有频率。
⑵结论:由本例可知,测试是指确定被测对象悬臂梁固有频率的全部操作,是通过一定的技术手段-激振。
拾振、记录、数据处理等,获取悬臂梁固有频率的信息过程。
0-2以方框图的形式说明测试系统的组成,简述主要组成部分的作用。
答:⑴:测试系统的方框图如图0-1所示。
⑵:各部分的作用如下。
传感器是将被测信息转换成某种电信号的器件;信号调理是把来自传感器的信号转换成适合传输和处理的形式;信号处理环节可对来自信号调理环节的信号,进行各种运算。
滤波和分析;信号显示、记录环节将来至信号处理环节的信号显示或存储;模数转换和数模转换是进行模拟信号与数字信号的相互转换,以便于用计算机处理。
0-3 针对工程测试技术课程的特点,思考如何学习该门课程答:本课程具有很强的实践性,只有在学习过程中密切联系实际,加强实验,注意物理概念,才能真正掌握有关知识。
在教学环节中安排与本课程相关的必要的实验及习题,学习中学生必须主动积极的参加实验及完成相应的习题才能受到应有的实验能力的训练,才能在潜移默化中获得关于动态测试工作的比较完整的概念,也只有这样,才能初步具有处理实际测试工作的能力。
思考题与习题1-1信号的分哪几类以及特点是什么⑴、按信号随时间的变化规律分为确定性信号和分确定性信号,确定信号分为周期信号(包括谐波信号和一般周期信号)和非周期信号(准周期信号和以便非周期信号);非确定性信号包括平稳随机信号(包括各态历经信号和非各态历经信号)和非平稳随机信号。
⑵、按信号幅值随时间变化的连续性分类,信号包括连续信号和离散信号,其中连续信号包括模拟信号和一般模拟信号,离散信号包括一般离散信号和数字信号。
思考题与习题0-1 举例说明什么是测试?答:⑴测试的例子:为了确定一端固定的悬臂梁的的固有频率,可以采用锤击法对梁尽享激振,在利用压力传感器、电荷放大器、波形记录器记录信号波形,由衰减的振荡波形便可以计算出悬臂梁的固有频率。
⑵结论:由本例可知,测试是指确定被测对象悬臂梁固有频率的全部操作,是通过一定的技术手段-激振。
拾振、记录、数据处理等,获取悬臂梁固有频率的信息过程。
0-2 以方框图的形式说明测试系统的组成,简述主要组成部分的作用。
答:⑴:测试系统的方框图如图0-1所示。
⑵:各部分的作用如下。
传感器是将被测信息转换成某种电信号的器件;信号调理是把来自传感器的信号转换成适合传输和处理的形式;信号处理环节可对来自信号调理环节的信号,进行各种运算。
滤波和分析;信号显示、记录环节将来至信号处理环节的信号显示或存储;模数转换和数模转换是进行模拟信号与数字信号的相互转换,以便于用计算机处理。
0-3 针对工程测试技术课程的特点,思考如何学习该门课程?答:本课程具有很强的实践性,只有在学习过程中密切联系实际,加强实验,注意物理概念,才能真正掌握有关知识。
在教学环节中安排与本课程相关的必要的实验及习题,学习中学生必须主动积极的参加实验及完成相应的习题才能受到应有的实验能力的训练,才能在潜移默化中获得关于动态测试工作的比较完整的概念,也只有这样,才能初步具有处理实际测试工作的能力。
思考题与习题1-1 信号的分哪几类以及特点是什么? ⑴、 按信号随时间的变化规律分为确定性信号和分确定性信号,确定信号分为周期信号(包括谐波信号和一般周期信号)和非周期信号(准周期信号和以便非周期信号);非确定性信号包括平稳随机信号(包括各态历经信号和非各态历经信号)和非平稳随机信号。
⑵、 按信号幅值随时间变化的连续性分类,信号包括连续信号和离散信号,其中连续信号包括模拟信号和一般模拟信号,离散信号包括一般离散信号和数字信号。
⑶、 按信号的能量特征分类,信号包括能量有限信号和功率有限信号。
机械工程测试技术基础习题解答教材:机械工程测试技术基础,熊诗波 黄长艺主编,机械工业出版社,2006年9月第3版第二次印刷。
绪 论0-1 叙述我国法定计量单位的基本内容。
解答:教材P4~5,二、法定计量单位。
0-2 如何保证量值的准确和一致? 解答:(参考教材P4~6,二、法定计量单位~五、量值的传递和计量器具检定) 1、对计量单位做出严格的定义; 2、有保存、复现和传递单位的一整套制度和设备; 3、必须保存有基准计量器具,包括国家基准、副基准、工作基准等。
3、必须按检定规程对计量器具实施检定或校准,将国家级准所复现的计量单位量值经过各级计算标准传递到工作计量器具。
0-3 何谓测量误差?通常测量误差是如何分类表示的? 解答:(教材P8~10,八、测量误差)0-4 请将下列诸测量结果中的绝对误差改写为相对误差。
①1.0182544V±7.8μV ②(25.04894±0.00003)g ③(5.482±0.026)g/cm 2 解答: ①-667.810/1.01825447.6601682/10±⨯≈±②60.00003/25.04894 1.197655/10±≈±③0.026/5.482 4.743±≈‰ 0-5 何谓测量不确定度?国际计量局于1980年提出的建议《实验不确定度的规定建议书INC-1(1980)》的要点是什么? 解答: (1)测量不确定度是表征被测量值的真值在所处量值范围的一个估计,亦即由于测量误差的存在而对被测量值不能肯定的程度。
(2)要点:见教材P11。
0-6为什么选用电表时,不但要考虑它的准确度,而且要考虑它的量程?为什么是用电表时应尽可能地在电表量程上限的三分之二以上使用?用量程为150V 的0.5级电压表和量程为30V 的1.5级电压表分别测量25V 电压,请问哪一个测量准确度高? 解答: (1)因为多数的电工仪表、热工仪表和部分无线电测量仪器是按引用误差分级的(例如,精度等级为0.2级的电表,其引用误差为0.2%),而 引用误差=绝对误差/引用值其中的引用值一般是仪表的满度值(或量程),所以用电表测量的结果的绝对误差大小与量程有关。
2-1 进行某动态压力测量时,所采用的压电式力传感器的灵敏度为90.9nC/MPa ,将它与增益为0.005V/nC 的电荷放大器相连,而电荷放大器的输出接到一台笔式记录仪上,记录仪的灵敏度为20mm/V 。
试计算这个测量系统的总灵敏度。
当压力变化为3.5MPa 时,记录笔在记录纸上的偏移量是多少?解:若不考虑负载效应,则各装置串联后总的灵敏度等于各装置灵敏度相乘,即 S =90.9(nC/MPa)0.005(V/nC)20(mm/V)=9.09mm/MPa 。
偏移量:y =S 3.5=9.09 3.5=31.815mm 。
2-2 用一个时间常数为0.35s 的一阶装置去测量周期分别为1s 、2s 和5s 的正弦信号,问稳态响应幅值误差将是多少?解:设一阶系统1()1H s s τ=+,1()1H j ωτω=+2211()()21()1()A H Tωωπττω===++,T 是输入的正弦信号的周期稳态响应相对幅值误差()1100%A δω=-⨯,将已知周期代入得58.6%1s 32.7%2s 8.5%5s T T T δ=⎧⎪≈=⎨⎪=⎩2-3 求周期信号x (t )=0.5cos10t +0.2cos(100t −45)通过传递函数为H (s )=1/(0.005s +1)的装置后得到的稳态响应。
解:1()10.005H j ωω=+,21()1(0.005)A ωω=+,()arctan(0.005)ϕωω=-该装置是一线性定常系统,设稳态响应为y (t ),根据线性定常系统的频率保持性、比例性和叠加性得到y (t )=y 01cos(10t +1)+y 02cos(100t −45+2) 其中01012(10)0.50.4991(0.00510)y A x ==≈+⨯,1(10)arctan(0.00510) 2.86ϕϕ==-⨯≈-︒ 02022(100)0.20.1791(0.005100)y A x ==≈+⨯,2(100)arctan(0.005100)26.57ϕϕ==-⨯≈-︒所以稳态响应为()0.499cos(10 2.86)0.179cos(10071.57)y t t t =-︒+-︒2-5 想用一个一阶系统做100Hz 正弦信号的测量,如要求限制振幅误差在5%以内,那么时间常数应取多少?若用该系统测量50Hz 正弦信号,问此时的振幅误差和相角差是多少?解:设该一阶系统的频响函数为1()1H j ωτω=+,是时间常数则 21()1()A ωτω=+稳态响应相对幅值误差21()1100%1100%1(2)A f δωπτ⎛⎫⎪=-⨯=-⨯ ⎪+⎝⎭令≤5%,f =100Hz ,解得≤523s 。
机械工程测试技术■课后作业第一次作业1、P126 3-3试举出你所熟悉的5种传感器,并说明它们的变换原理。
2、下图是使用三根引线引入应变片,从而消除引线的影响。
分析原理。
RL解:HMX用三弓【戏述•氓桥的醫逮定后是黑定的*即樹始梟件刘弘罠=叭(在制作时是不考电引蛛电阻的)便用三引怨时*血+尽 %它_竝 + 心再左=%(耐丰尺*)- &陰+ %)£ _ 吗凡-耳% + 禺-&)%% —门+&±&_”1 +禺1 -卩尽十屁*凡X咼十尺)-(2瓦十&十局XR严尽)°血讥小尽)廿f nj(Jt -耳)血反应|引钱电RL时电桥输出的吧响・电桥平输时通帚R2与肌捲近(最好足郴等人111此可以減删引战电R1的E喇;便用两引*tBhEe= 2% + %姙£ = 耳民—此(2耐4&)童=用凡二耐氏~~2尽垃° +& ”] +&_)(2垃★ R;十R* )(& 十尽)(2 & ★仏十RJg + 尽)巩+ R&為叶「顶-2R*R丄废应引険电眠对电桥卷出的妙响,直系散2旳圧佃述的•用此引线电齟的嚮响费尙得到减舸.対比灿上两武町厠2采用丄引纯减巔r引魏电阳对灵墩度的彤*暮当扬=岛时&果量缶忸是氏押万法申十瓏完仝涓瞭引堆业阻村灵嫩醴的礬“h升样项训百魁.3、讨论下图电路采用差动结构后如何:改善系统的线性;减轻温度等干扰的影响;提高检测系统的灵敏度。
r e 应变带来的电阻变化r t温度带来的电阻变化解: 将诩电桥2串臂岂桥逹疔比池1 首先不巷虑匡厦变化引起旳电凰论 对于单誓电携;考虚淳度变化岭世的电阻氐:苛于隼督电樽!=冬心° 4幕+乂・和邛曲墓芯结构厨:程 _________ AR _________T 冲4疋& ■用-ZFR* ----- * -- 5 ----- -斗R疔比上両式可心逐氏潼衣洁问不図銭性耘灵敏度都得到了摄硏H1且法宴等共模干扰的帮吨也漣鐵了幢轻采用盖动皓构启;厅尤上商式虹,采月差动结喝目.第二次作业1、举例说明传感器采用差动式结构的优点解:要举例说明2、试述电涡流传感器的工作原理。
说明如何使用相敏检波电路进行检测及使用相敏检波的优缺点。
解:电涡流传感器是利用电涡流效应原理,将位移等非电量转换为阻抗的变化(或电感的变化,或Q值的变化),从而进行非电量电测的。
一个通有交变电流的线圈,由于电流的变化,在线圈周围就产生一个交变磁场H1,当被测导体置于该磁场范围之内,被测导体内便产生电涡流,电涡流也将产生一个新磁场H2, H2与H1方向相反,因而抵消部分原磁场,从而导致线圈的电感量、阻抗和品质因数发生改变。
3、电容传感器有哪些优缺点?答:电容式传感器的优点:(1)输入能量小而灵敏度高(2)精度高达0.01%。
(3)动态特性好,适合测量动态参数。
(4)能量损耗小。
(5)结构简单,环境适应性好(高温、辐射等) 缺点:电缆分布电容影响大,集成电路、双屏蔽传输电缆等降低分布电容的影响。
第三次作业1、什么是压电效应?什么是逆压电效应?答:某些物质,如石英,受到外力作用时,不仅几何尺寸会发生变化,而且内部会被极化,表面产生电荷;当外力去掉时,又重新回到原来的状态,这种现象称为压电效应。
压电效应是可逆的,当在电介质的极化方向上施加电场,这些电介质也会发生变形,电场去掉后,电介质的变形随之消失,这种现象称为逆压电效应。
2、什么是电荷放大器?它有哪些特点?1)电苟械犬聽等效电路_ c = c j + c r +c,I "*'T \ I' ;叮口穿e垃注-=| =-* 叭必,z;1VI1k-------------------- O低擁at]电艇]kiff«tAS"士卫电荷放大器是一个带电容负反馈的高输入阻抗,高增益的放大器,是压电式传感器的一种专用前置放大器。
能将高内阻的电荷源转变为低内阻的电压源。
特点:理想情况下:电荷放大器的输出电压只与反馈电容的大小、压电体产生的电荷量有关,而与压电体的电容、电缆的电容等无关。
高阻抗变低阻抗输出;输入电压与输入电荷成正比,信噪比高;频带宽,电缆长度变化引起的电容变化,不影响测量灵敏度。
作业存在问题:1、基本都没给出等效电路图和推导过程2、特点这一块,有些属于乱凑:a、具有电压输出功能,使仪器可以配装电压输出型传感器;b、具有一次积分功能,配接压电加速度传感器,除了测量加速度外,还可测速度,配接速度传感器,除了测速度,还可测位移。
(本身就是测位移的)c、体积小,重量轻,稳定可靠。
3、为什么压电传感器不能测量静态量?压电传感器的频率上限和下限主要由什么决定?答:理论上来讲,如果施加在晶片上的外力不变,积聚在极板上的电荷无内部泄漏,外电路负载无穷大,那么在外力作用期间,电荷量将始终保持不变。
但这是不存在的,漏电阻会很快泄放掉其上的电荷。
所以,这类传感器不能用于静态测量。
【存在最主要的问题:很多同学写着压力传感器只有在动态时才有信号输出,静态时,不管受力与否,压力值多大,都没信号输出,所以不能测静态量。
这肯定是属于没有认真思考的】压电传感器的低频响应不好。
主要是受到泄漏电阻(传感器本身与放大器输入电阻)的影响传感器的低频响应可以很低,但就是不能为零(DC);(2)频率上限压电传感器的频率上限由传感器本身的固有频率限制,一般应为固有频率的三分之一以下。
第四次作业(t,t。
) =E AB(t,t n) E AB(t n,t。
)1、理论推导:答:对曲九B甫神材料构戒的熱电隔冷、熱iKifl度井Sd为mt时的输出岂券沟!E#(『山)三[E』11)匸他也M ▼ [&J f%) - E*"J直)]-~<f_山)m 2十J」疗」_ E” W£托畀,応}」一(x—fjbi亍+ f \6-%肚< ;J'<迁:A)= -V,-A-.)ln-7±-'-f-片砂e g %所此”+ f* k .. N fF,w—{/ -^) In -^- + I【6 -巧灿+-亿-%”n —"■ + | <*T4- <7j Ufte九' e N a*Jrf/=—(f -f.J In-^T1- + [ i<7, -rriTe N a Jt f一)2、精密仪器中如何避免热电偶效应带来的影响,可采取哪些措施。
答:在精密仪器中,热电偶效应是非常重要的一个需要考虑的内容。
每度几十个微伏的热电势在有些情况下会带来很大的测量误差。
由于温度的变化一般是缓变的,因此可以用电容把这一直流变化的量给去除。
当然,这里的前提是有用信号必须是快变的。
当有用信号也是慢变的时候,可以使用斩波的方法把它加载到高频分量上,从而与温度的变化区分开来。
在设计电路时,还可通过减小温度差、恒温、使用热电势小的导体对来减小热电势的影响。
3、太阳能电池的光接收面正对着太阳具有最大的效率,设计一个使用四象限PSD进行太阳位置追踪的系统,使太阳电池板始终对着太阳。
答题要点:首先给出PSD的工作原理分析,然后设计出追踪框图,并给出相应的分析介绍。
坯F5D旅直于丸記匪电池上*安爰适当旳震进姿宣(采冃这丸孔或考透櫃,且P5D在透欖的后隽而上).将龙班的平行光寢垄生PSU的中心住直=设竖頁向上为忑料方向.该痙置變体宙两个正交的电机Mh也苇动可在X。
入YOZ平面内转动,电机Ml、龍可由駆动电at的正员实现正反转.停转时能原世自th丈田移动时.聚光点仁置变优宅开申心.产圭电流/ =(/i+/j_(/-+j e).人=(m, 这曲卩电流经过适当的ftfiflt网第后用于驱动电机Ml、M2转动.转动的方向使G b变卜直至G L为零討録转.这?TPSD (也圧丸壬能卷池)壬对逼怎刁=存在问题:PSD原理分析不清; 未给出控制框图。
第五次作业1、如何设置霍尔元件能实现既能测速又能判断转动方向?请简单说明采用两亍霍尔元件.呈90度电弋角放置:其输出信号相位差为90度,整流为方波后输入计数卷■:具一接入计数器时种荒*计数睜在其上升沿汁数,另一路信号接入増减控制缔*低电平为片」计敌.高电平为减计数.电机正反转时.逋过计敖器的加减计数实f5i辨向.由信号周期可知电机转谨为3=2武fT如下图所示.作业中存在的问题:就是写的比较简单,直接说采用相位差来实现辨向,但真正的实现还要考虑一些东西,比如圆盘上的贴的磁铁从两个霍尔元件中间启动。
2、有一批涡轮机叶片,需要检测是否有裂纹,请举出两种以上方法,并阐明所用传感器的工作原理。
答:(1)超声波探测(2)振动信号频谱分析(3)涡流传感器霍尔元件等对标准件和待测件进行对比分析探测作业中存在的问题:都提到了红外测温探测,但内部裂纹还是很难探测的,毕竟温度分布没有那么不均,对红外热像仪的分辨率要求太高只有两三个同学提到了超声探伤第六次作业:1、将书中整流检波的某一过程分析清楚。
作业中存在的问题:个别同学没有画图;另外可能直接抄书的,不确定是否理解透彻第七次作业1、利用滤波器设计软件filter solution ,设计一个三阶butterworth 滤波器,带通的,50kHz~150kHz分别给出无源和有源的电路原理图,并画出幅频特性。
第八次作业1、详细描述模拟信号到数字信号处理过程中时域与频域的变化过程,并给出步骤中可能会引起信号失真的问题。
第九次作业课本P 仃55-2假定有一个信号x(t),它由两个频率、相 角均不相等的余弦函数叠加而成。
其数学表达式 为:x(t)L Asi n(啦1 一勺)A sin(① \ - ,求该信号的自由同频相关,不同频不相关得: A : + Acos -1 COS 22 25-4某一系统的输入信号为x(t)(见图5-25),若 输出y(t)与输入x(t)相同,输入的自相关函数R x 和 输入一一输出的互相关函数R xy ・之间的关系为 氏=R<yT ,试说明该系统起什么作用?解: S xy (f)二 H(f)S x (f ) H(f)二 S xy (f)/S x (f)S xy (f) = F[R xy (.)]S x (f)二F[R x ( )] =F[R xy ( T)]二 F[R xy ( )]e j TH(f) T相关函数。
解:R x ()。