微积分刘迎东编第四章习题4.6答案
- 格式:doc
- 大小:808.50 KB
- 文档页数:18
第4章不定积分内容概要课后习题全解习题4-11.求下列不定积分:知识点:直接积分法的练习——求不定积分的基本方法。
思路分析:利用不定积分的运算性质和基本积分公式,直接求出不定积分!★(1)思路: 被积函数52x -=,由积分表中的公式(2)可解。
解:532223x dx x C --==-+⎰★(2)dx-⎰ 思路:根据不定积分的线性性质,将被积函数分为两项,分别积分。
解:1141113332223()24dx x x dx x dx x dx x x C --=-=-=-+⎰⎰⎰⎰ ★(3)22x x dx +⎰()思路:根据不定积分的线性性质,将被积函数分为两项,分别积分。
解:2232122ln 23x x x x dx dx x dx x C +=+=++⎰⎰⎰()★(4)3)x dx -思路:根据不定积分的线性性质,将被积函数分为两项,分别积分。
解:3153222223)325x dx x dx x dx x x C -=-=-+⎰⎰⎰ ★★(5)4223311x x dx x +++⎰思路:观察到422223311311x x x x x ++=+++后,根据不定积分的线性性质,将被积函数分项,分别积分。
解:42232233113arctan 11x x dx x dx dx x x C x x ++=+=++++⎰⎰⎰ ★★(6)221x dx x +⎰思路:注意到222221111111x x x x x +-==-+++,根据不定积分的线性性质,将被积函数分项,分别积分。
解:2221arctan .11x dx dx dx x x C x x =-=-+++⎰⎰⎰ 注:容易看出(5)(6)两题的解题思路是一致的。
一般地,如果被积函数为一个有理的假分式,通常先将其分解为一个整式加上或减去一个真分式的形式,再分项积分。
★(7)x dx x x x⎰34134(-+-)2 思路:分项积分。
交⼤刘迎东微积分习题答案8.6 多元函数微分学的⼏何应⽤习题8.61. 求曲线sin ,1cos ,4sin 2t x t t y t z =-=-=在02t π=相应的点处的切线及法平⾯⽅程。
解:点为1,1,2π?-,切向量为{21cos ,sin ,2cos .2t t t t π=??-=所以切线为112x y π??--=-=法平⾯⽅程为1102x y z π??--+-+-=,即4.2x y π+=+2. 求曲线21,,1t tx y z t t t+===+在对应于01t =的点处的切线及法平⾯⽅程。
解:点为1,2,12?? ???,切向量为()22 1111,,2,1,2.41t t t t =-=-+????所以切线为1212.1124--==-法平⾯⽅程为()()11221042x y z ??---+-= ,即2816 1.x y z -+=3. 求曲线222,y mx z m x ==-在点()000,,x y z 处的切线及法平⾯⽅程。
解:22,2,ydy mdx zdz dx =??=-?,在点()000,,x y z 处,0022,2,y dy mdx z dz dx =??=-?所以切向量为0 011,,.2m y z ??-所以切线为00000.112x x y y z z m y z ---==-法平⾯⽅程为()()()00000102m x x y y z z y z -+---=。
4. 求曲线22230,23540x y z x x y z ?++-=?-+-=?在点()1,1,1处的切线及法平⾯⽅程。
解:22230,2350,xdx ydy zdz dx dx dy dz ++-=??-+=?,在点()1,1,1处,22230,2350,dx dy dz dx dx dy dz ++-=??-+=?所以切向量为{}16,9,1.-所以切线为111.1691x y z ---==-法平⾯⽅程为()()()1619110x y z -+---=。
数学分析课本-习题及答案第四章第四章函数的连续性一、填空题1.设>+=<=0 11sin 0 0sin 1)(x x x x k x x x x f ,若函数)(x f 在定义域内连续,则=k ;2.函数??≤>-=0sin 01)(x x x x x f 的间断点是;3.函数x x f =)(的连续区间是; 4.函数321)(2--=x x x f 的连续区间是;5.函数)3(9)(2--=x x x x f 的间断点是;6.函数)4)(1(2)(+++=x x x x f 的间断点是;7.函数)2)(1(1)(-+=x x x f 的连续区间是;8.设=≠-=-00 )(x k x xe e xf x x 在0=x 点连续,则 =k ;9.函数??≤≤+-<≤+-<≤-+=3x 1 31x 0101 1)(x x x x x f 的间断点是; 10.函数0b a 0)(0)(2≠+??<++≥+=x x x b a x b ax x f .则)(x f 处处连续的充要条件是 =b ;11.函数=≠=-0 0 )(21x a x e x f x,则=→)(lim 0x f x ,若)(x f 无间断点,则=a ;12.如果-=-≠+-=11 11)(2x a x xx x f ,当=a 时,函数)(x f 连续二、选择填空1.设)(x f 和)(x ?在()+∞∞-,内有定义,)(x f 为连续函数,且0)(≠x f ,)(x ?有间断点,则( )A.[])(x f ?必有间断点。
B.[]2)(x ?必有间断点C.[])(x f ?必有间断点D.)()(x f x ?必有间断点 2.设函数bx ea xx f +=)(,在()∞∞-,内连续,且)(lim x f x -∞→0=,则常数b a ,满足( ) A.0,0<>b a C.0,0>≤b a D.0,0<≥b a3.设xx e e x f 1111)(-+=,当,1)(;0-=≠x f x 当0=x ,则A 有可去间断点。
2.2 函数的极限习题2.21. 根据函数极限的定义证明: (1)()3lim 318x x →-=证明:0ε∀>,要使()31833x x ε--=-<,只需33x ε-<,所以取3εδ=,则03x δ<-<时,恒有()318x ε--<,所以()3lim 318x x →-=。
(2)224lim42x x x →--=-+证明:0ε∀>,要使2x ≠-时,()()24422x x x ε---=--<+,只需取δε=,则()02x δ<--<时,恒有()2442x x ε---<+,所以224lim42x x x →--=-+。
(3)lim sin sin x ax a →=证明:0ε∀>,不妨设1ε<,要使sin sin 2cossin22x a x a x a ε+--=<,只需s i n22x a ε-<,即2arcsin2x a ε-<,所以取2arcsin2εδ=,则0x a δ<-<时,恒有sin sin x a ε-<,所以lim sin sin x ax a →=。
(4)lim cos cos x ax a →=证明:0ε∀>,不妨设1ε<,要使c o s c o s 2s i ns i n 22x ax ax a ε+--=<,只需s i n22x a ε-<,即2arcsin2x a ε-<,所以取2arcsin2εδ=,则0x a δ<-<时,恒有cos cos x a ε-<,所以lim cos cos x ax a →=。
(5)limx a→=证明:情形1:设0a =,即问题为0lim0x →=。
0ε∀>0ε=<,只需3x ε<,所以取3δε=,则00x δ<-<0ε<,所以0lim0x →=。
第一章 函数极限与连续一、填空题1、已知x x f cos 1)2(sin +=,则=)(cos x f 。
2、=-+→∞)1()34(lim22x x x x 。
3、0→x 时,x x sin tan -是x 的 阶无穷小。
4、01sin lim 0=→xx kx 成立的k 为 。
5、=-∞→x e xx arctan lim 。
6、⎩⎨⎧≤+>+=0,0,1)(x b x x e x f x 在0=x 处连续,则=b 。
7、=+→xx x 6)13ln(lim 0 。
8、设)(x f 的定义域是]1,0[,则)(ln x f 的定义域是__________。
9、函数)2ln(1++=x y 的反函数为_________。
10、设a 是非零常数,则________)(lim =-+∞→xx ax a x 。
11、已知当0→x 时,1)1(312-+ax 与1cos -x 是等价无穷小,则常数________=a 。
12、函数xxx f +=13arcsin )(的定义域是__________。
13、lim ____________x →+∞=。
14、设8)2(lim =-+∞→xx ax a x ,则=a ________。
15、)2)(1(lim n n n n n -++++∞→=____________。
二、选择题1、设)(),(x g x f 是],[l l -上的偶函数,)(x h 是],[l l -上的奇函数,则 中所给的函数必为奇函数。
(A))()(x g x f +;(B))()(x h x f +;(C ))]()()[(x h x g x f +;(D ))()()(x h x g x f 。
2、xxx +-=11)(α,31)(x x -=β,则当1→x 时有 。
(A)α是比β高阶的无穷小; (B)α是比β低阶的无穷小; (C )α与β是同阶无穷小; (D )βα~。
4。
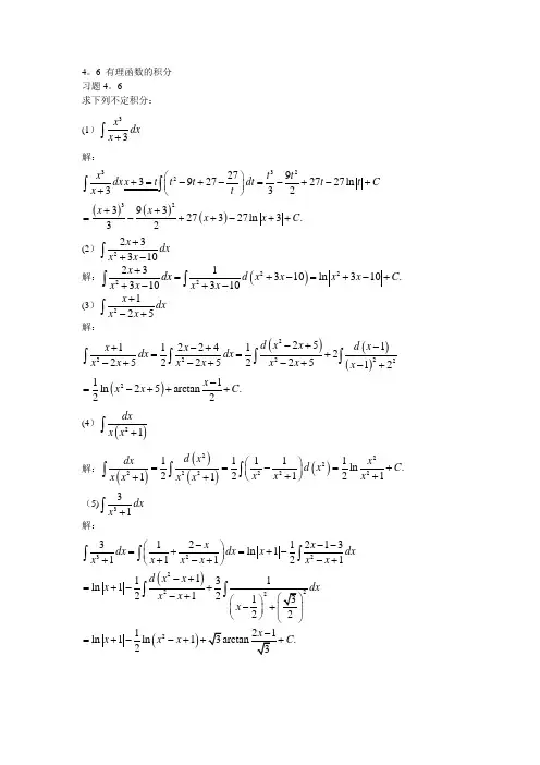
6 有理函数的积分 习题4。
6求下列不定积分:(1)33x dx x +⎰ 解:()()()33223227939272727ln 33239327327ln 3.32x t t dxx t t t dt t t C x t x x x x C ⎛⎫+=-+-=-+-+ ⎪+⎝⎭++=-++-++⎰⎰(2)223310x dx x x ++-⎰解:()2222231310ln 310.310310x dx d x x x x C x x x x +=+-=+-++-+-⎰⎰(3)2125x dx x x +-+⎰解:()()()()22222222511122412252252251211ln 25arctan .22d x x d x x x dx dx x x x x x x x x x x C -+-+-+==+-+-+-+-+-=-+++⎰⎰⎰⎰(4)()21dx x x +⎰解:()()()()22222222211111ln .2212111d x dx x d x C xx x x x x x ⎛⎫==-=+ ⎪++++⎝⎭⎰⎰⎰ (5)331dx x +⎰解:()()322222223121213ln 1111211131ln 1212121ln 1ln 1.2x x dx dx x dx x x x x x x d x x x dx x x x x x x C ---⎛⎫=+=+- ⎪++-+-+⎝⎭-+=+-+-+⎛⎫-+ ⎪⎝⎭⎝⎭=+--+++⎰⎰⎰⎰⎰(6)()()22111x dx x x ++-⎰解:()()()222211111122ln 1.1121111x dx dx x C x x x x x x ⎛⎫⎪+=+-=-++ ⎪-+++-+ ⎪⎝⎭⎰⎰ (7)()()()123xdxx x x +++⎰解:()()()13222123123132ln 2ln 1ln 3.22xdx dx x x x x x x x x x C ⎛⎫-- ⎪=++ ⎪++++++ ⎪⎝⎭=+-+-++⎰⎰ (8)5438x x dx x x+--⎰ 解:()()5422332328811184332118ln 4ln 13ln 1.32x x x x dx x x dxx x x x x x x x dx x x x x x x x x x C ⎛⎫+-+-=+++ ⎪ ⎪-+-⎝⎭⎛⎫=+++-- ⎪+-⎝⎭=+++-+--+⎰⎰⎰(9)()()221dxx x x ++⎰解:()()()2222211112221111122111ln ln 1ln ln 1ln 1arctan .241242x dx dx x x x x x x x x x dx x x x x C x ⎛⎫--- ⎪=++ ⎪++++ ⎪⎝⎭+=-+-=-+-+-++⎰⎰⎰ (10)411dx x -⎰解:()()422221111121111111ln arctan .412dx dx dx x x x x x x x C x ⎛⎫==- ⎪--++-⎝⎭-=-++⎰⎰⎰(11)()()2211dxx x x +++⎰解:()()()()()22222222221111111211ln 122121211ln 1ln 1.22dx xx dx x x x x x x x dxx dx x x x x x x C -+⎛⎫=+ ⎪++++++⎝⎭+=-+++++⎛⎫++ ⎪⎝⎭⎝⎭=-+++++⎰⎰⎰⎰ (12)()()22211x dx x++⎰解:()()()()()2222222222211211arctan .11111d x x x x dx dx dx x C x x x x x ++++==+=-++++++⎰⎰⎰⎰ (13)()22221x dx xx --++⎰解:()()()()()()()22222222222222222222111213121111132211121132121x x x x dx x dx dx dx x x x x x x x x d x x dxdxx x x x x dx x x x x --++-++-=-=-+++++++++++=-+-++++⎛⎫++ ⎪⎝⎭⎝⎭=-++++⎰⎰⎰⎰⎰⎰⎰⎰而()()()()222222222222222222211122221112132112111312112121dx x x xdxx x x x x x x x x x dx x x x x x dx x dxx x x x x x x dx dxx x x x x x x x +=+++++++++--=+++++++=+-++++++=++-++++++++⎰⎰⎰⎰⎰⎰⎰所以()()()222222213131121.31dxdx x x x x x x x x C x x +=++++++++=++++⎰⎰于是()()2222211.1x dxxx x C x x --+++=-+++⎰(14)23sin dx x +⎰解:22222sec tan .3sin 3sec tan 34tan dx xdx d x C x x x x ===++++⎰⎰⎰ (15)3cos dxx +⎰解:令tan 2xt =,则22212cos ,11t x dx dt t t -==++,2tan .3cos 2x dx dt C C x t ⎛⎫ ⎪==+=+++⎝⎭⎰⎰ (16)2sin dxx +⎰解:令tan 2x t =,则2222sin ,11t x dx dt t t ==++,22tan 1.2sin 1x dx dt C C x t t ⎛⎫+ ⎪===++++⎰⎰ (17)1sin cos dxx x++⎰解:令tan 2xt =,则2222212sin ,cos ,111t t x x dx dt t t t -===+++, ln 1ln 1tan .1sin cos 12dx dt xt C C x x t ==++=+++++⎰⎰ (18)2sin cos 5dxx x -+⎰解:令tan 2xt =,则2222212sin ,cos ,111t t x x dx dt t t t -===+++, 23tan 1.2sin cos 5322x dx dt C C x x t t ⎛⎫+ ⎪==+=+-+++⎝⎭⎰⎰(19)解:((2213263ln 231613ln 1.2t t dt t t C t C ⎛⎫-+=-++ ⎪⎝⎭+=-++⎰(20)31-解:)))))3324324321246586104ln 23181611014ln1.23t t t dt t t t t t t C C -⎛⎫-+-+ ⎪⎝⎭=-+-++=-+-++⎰(21)解:)))222364ln 1614ln1.t dt t t t Ct C ⎛⎫-+=-++ ⎪⎝⎭=-++⎰(22) 解:()()((22242184ln 11214ln 1.t dt t t t C t C =+-++++=-++(23)解:()()2222211211111ln2arctan .1t dt dt t t t t t t C C t ⎛⎫=+ ⎪-++-⎝⎭-=++=++⎰⎰(24)解:3322.t dt C C =-=-+=⎰(25)()()224445dxx x x x -+-+⎰解:()()()222211444544451arctan 2.2dx dx x x x x x x x x x C x⎛⎫=-⎪-+-+-+-+⎝⎭=--+-⎰⎰(26)2425454x x dx x x ++++⎰ 解:()()2224222551545533ln 1arctan ln 4.541466x x x x dx dx x x x C x x x x ⎛⎫+ ⎪++=-=++-++ ⎪++++ ⎪ ⎪⎝⎭⎰⎰ (27)51x dx x +⎰ 解:()()()()()543254321151010511511015151ln 1.543x dxx t t t t t dt x t x x x x x x C ⎛⎫+=-+-+- ⎪+⎝⎭+++=-+-+++-++⎰⎰(28)223dxx -⎰解:2.23dx C x =-⎰(29)()()2223dxx x -+⎰解:()()222211152323.dx dx x x x x C ⎛⎫=- ⎪-+-+⎝⎭=-+⎰⎰(30)3422x dx x x -+⎰ 解:()()232422422ln 212224ln 2.4t t x dx tdt x t C x x t t x x C -+==-+-+-+=+⎰⎰(31)()()2222dxx x x +++⎰解:()()()()2222112222222ln 212222422ln 211ln 22arctan 1242dx x dx x x x x x x x x dx Cx x x x x x C⎛⎫=- ⎪++++++⎝⎭++-=-++++=-+++++⎰⎰⎰ (32)()()22xdxx a x b ++⎰解:()()()()2222222222222222222ln ln arctan .2a ax b xdx a b a b a b dx x a x b x a x b a a b x x a x b C a b a b b a b ⎛⎫-+ ⎪+++=+ ⎪++++ ⎪⎪⎝⎭=-++++++++⎰⎰ (33)5641x dx x x ++⎰ 解:()25642423ln 1111111arctan .123x x x dx dx x C x x x x x x x +++⎛⎫=+-=+-++ ⎪++⎝⎭⎰⎰ (34)()31221n nx dx x-+⎰解:()()()3122222221arctan 1111n nn x t dt t dtdxx t n n n x t t -==-+++⎰⎰⎰ 而()()222222221122arctan 211111t t t dt dt t dt t t t t t =+=+-+++++⎰⎰⎰所以()2221arctan 2121dtt tC t t =++++⎰于是()()312222arctan 1arctan .221211n n nn n x t t x dx C x C n n x n t x -⎛⎫=-+=-+ ⎪++⎝⎭+⎰ (35)()()22111x dx x x ++-⎰解:()()()222211ln 111122.1121111x x dx dx C x x x x x x ⎛⎫- ⎪+=+-=++ ⎪+-++-+⎪⎝⎭⎰⎰ (36)332156x dx x x x+-+⎰ 解:32323212891561632565623ln 928ln 2ln 3.623x x x dx x dx x dx x x x x x x x x x x x x x C ⎛⎫ ⎪+-+=+=+-+ ⎪-+-+-- ⎪ ⎪⎝⎭=+--+-+⎰⎰⎰ (37)31xdx x -⎰解:()3221111311ln 1ln 1.36x x dx dx x x x x x x x C -⎛⎫=+ ⎪--++⎝⎭++-=-⎰⎰(38)31dxx +⎰解:()23212ln 1ln 1333.11136x x x x dx dx C x x x x ⎛⎫-+-+ ⎪+=+=-+ ⎪++-+ ⎪ ⎪⎝⎭⎰⎰ (39)()()()2123dxx x x +++⎰解:()()()()2211122131232111ln .232dx dx x x x x x x x C x x ⎛⎫ ⎪=-- ⎪++++++ ⎪⎝⎭+=++++⎰⎰ (40)()()212xdxx x ++⎰解:()()()222212ln 12ln 2arctan 555.1255512x x x xdx x dx C x x x x ⎛⎫++ ⎪+=-=+-+ ⎪++++ ⎪ ⎪⎝⎭⎰⎰ (41)cos cos 23x xdx ⎰解:1535coscos cos cos sin 3sin .23266566x x x x x xdx dx C ⎛⎫=+=++ ⎪⎝⎭⎰⎰ (42)sin 2cos 364x x dx ππ⎛⎫⎛⎫-+ ⎪ ⎪⎝⎭⎝⎭⎰解:15sin 2cos 3sin 5sin 64212125cos cos 51212.210x x dx x x dx x x C ππππππ⎛⎫⎛⎫⎛⎫⎛⎫⎛⎫-+=+-+ ⎪ ⎪ ⎪ ⎪ ⎪⎝⎭⎝⎭⎝⎭⎝⎭⎝⎭⎛⎫⎛⎫++ ⎪ ⎪⎝⎭⎝⎭=-+⎰⎰ (43)cos cos 2cos3x x xdx ⎰解:()1cos cos 2cos31cos 2cos 4cos 64sin 2sin 4sin 6.481624x x xdx x x x dx x x x x C =+++=++++⎰⎰(44)4cos xdx ⎰解:43322324cos cos sin sin cos 3sin cos sin cos 3cos 3cos xdx xd x x x x xdx x x xdx xdx==+=+-⎰⎰⎰⎰⎰所以334sin cos 31cos 2sin cos 33sin 2cos .4424816x x x x x x xxdx dx C +=+=+++⎰⎰ (45)5cos xdx ⎰解:()()2522435cos 1sin sin 12sin sin sin 2sin sin sin .35xdx x d x x x d x x x x C =-=-+=-++⎰⎰⎰(46)25sin cos x xdx ⎰解:()()22522246357sin cos sin 1sin sin sin 2sin sin sin sin 2sin sin .357x xdx x x d x x x x d x x x x C =-=-+=-++⎰⎰⎰(47)23sec sin x xdx ⎰解:2232cos 1sec sin cos cos sec .cos x x xdx d x x x C x-==++⎰⎰ (48)24sin cos x xdx ⎰解:()()()242231sin cos sin 21cos 28111cos 4sin 2sin 21616sin 4sin 2.166448x xdx x x dx x dx xd x x x x C =+=-+=-++⎰⎰⎰⎰ (49)sin cos dxx x +⎰解:tan .sin cos 28sin 4dx dx x C x x x ππ⎛⎫==++ ⎪+⎛⎫⎝⎭+ ⎪⎝⎭⎰⎰(50)解:.C ⎛⎫==+(51)44sin cos sin cos x xdx x x +⎰解:()()24424sin sin cos 11arctan cos 2.sin cos 212sin 2sin 2d x x x dx x C x x x x ==-++-+⎰⎰ (52)3sec xdx ⎰解:323secsec tan sec tan sec tan sec tan sec sec xdx xd x x x x xdxx x xdx x==-=-+⎰⎰⎰⎰⎰所以3ln sec tan sec tan sec .22x xx x xdx C +=++⎰ (53)3csc xdx ⎰解:33csc sec 2ln sec tan sec tan 222222ln csc cot csc cot .22xdx x dx x x x x C x x x x C πππππ⎛⎫=-+ ⎪⎝⎭⎛⎫⎛⎫⎛⎫⎛⎫+++++ ⎪ ⎪⎪ ⎪⎝⎭⎝⎭⎝⎭⎝⎭=--++=--+⎰⎰(54)3cos sin 2x xdx ⎰解:5342cos cos sin 22cos cos .5xx xdx xd x C =-=-+⎰⎰ (55)()11cos dxx εε<+⎰解:令tan ,2xt =则22212cos ,,11t x dx dt t t -==++所以 ()()22.1cos 112dx x dt C x t εεε⎛⎫==+⎪⎪+-++⎭⎰⎰ (56)sin cos sin cos x x dx x x +⎰解:cos2sin cos sin24sin cossin sin442sin csc44csc cot.444xx x xdx dx dx x xx xx x dxx x x Cππππππππ⎛⎫+⎪⎝⎭==+⎛⎫⎛⎫++⎪ ⎪⎝⎭⎝⎭⎛⎫⎛⎫⎛⎫=+-+⎪ ⎪⎪⎝⎭⎝⎭⎝⎭⎛⎫⎛⎫⎛⎫=++-++⎪ ⎪ ⎪⎝⎭⎝⎭⎝⎭⎰⎰(57)4cosdxx⎰解:()324tan1tan tan tan.cos3dx xx d x x Cx=+=++⎰⎰(58)44cos2sin cosxdxx x+⎰解:442cos2sin2.sin cos2sin2x d xdx Cx x x==++-⎰⎰(59)2shxsh xdx⎰解:()1323.262sh x shxshxsh xdx ch x chx dx C=-=-+⎰⎰(60)3chxch xdx⎰解:()142342.284sh x sh xchxch xdx ch x ch x dx C=+=++⎰⎰(61)⎰解:arcsin.x C==(62)解:()58643222754322161116632363ln16arctan.752t t tdt t t t t t dtt tt t tt t t t t C--⎛⎫=-++--++⎪++⎝⎭=-++--+++-+⎰⎰(63)解:(22x x dx==-⎰而2==-所以11ln.2222x C =-=-++于是21ln.222xx C=-++(64)解:()6126ln6ln1212.dt t t Ct tC⎛⎫-=-++⎪+⎝⎭=(65)解:.C=(66)解:1111ln.22xx C⎛⎫-+⎪=⎛=-+⎝(67)解:()()()()232117151113116110811834127211175111316ln 1ln 1ln 2.10818164271x dt t t t t t t t t C t t +=⎛⎫-++-- ⎪ ⎪+--++⎝⎭=-+--+---+++⎰ (68)⎰解:(()()23221222212221223x x x x x =-+=-++=-++⎰⎰⎰ 而2212==+=-=所以(11ln +C.22=于是()(32211122ln +C.322x x =-++⎰(69)解:11sin cossin4csc cot.44dt dtt ttt t C Cπππ=+⎛⎫+⎪⎝⎭⎛⎫⎛⎫=+-++=⎪ ⎪⎝⎭⎝⎭⎰(70)解:()cos1cosarcsin211tan.2222tdttxt tC C=+-=-+=+(71)()1/21/31xdxx+⎰解:()()()()32225210864211975313126163060603066106012106.1137t t tdttt dt t t t t t dtt t tt t t C--=-=-+-+-=-+-+-+⎰⎰。
《微积分》第四章不定积分 复习题四Ex1(1)若不定积分21()()d (1)d .2f x f x x x x x x C '==+=++⎰⎰则函数2222211(1)d (1)d(1)(1).22x f x x f x x x C -=---=--+⎰⎰Ex1(2)设()1,f x x '=+sin Ex1(3)设()f x 的一个原函数为xx,求()xf x dx'⎰解:由于sin xx为()f x 的原函数,故2sin cos sin ()x x x x f x x x '-⎛⎫== ⎪⎝⎭从而()(())()()xf x dx xd f x xf x f x dx'==-⎰⎰⎰2cos sin sin x x x x x C x x-=⋅-+sin cos 2x x C x =-+2()d ,则f x x x C =+⎰Ex1.填空题:若令t =ln x ,()d (),则f x x F x C =+⎰Ex1(4)不定积分()()d e 1.x f x f x x '==-⎰.2tan 2d 2sec d 1cos 12d cos 1cos 12C x x x x x x x x x x +-=-=⎪⎭⎫ ⎝⎛-+=+-⎰⎰⎰()()d e .x f x f x x C '==+⎰则函数Ex1(5)已知(ln ),1<<+,(0)=0,其中且f x x x f '=∞有f ’(t )=e t ,令x=0, 得C =-1,Ex1(6)设a,b 为常数, b ≠0, 不定积分11()d ()d()().f a bx x f a bx a bx F a bx C b b-=---=--+⎰⎰Ex2. 用下列变量替换求不定积分:1(1);(2)(1)sec;(1).t t x t tx====xxxI d112⎰-=.||1arcsin||arcsind11d1122CxCtttxxx+-=+-=--=-⎰⎰2111(1),,d d令则,故t x x tx t t===-解:.||1arcsin||1d)/1(11d)/1(11d112222Cxxxxxxxxx+-=--=-=-⎰⎰⎰注: 用凑微分法解题如下:Ex2. 用下列变量替换求不定积分:xxxI d112⎰-=.1arctanarctand11d11222CxCtttxxx+-=+=+=-⎰⎰解:.1arccosdd112CxCttxxx+=+==-⎰⎰于是则令,d1d,1,1)2(222tttxtxxt+=+=-=解:于是则令,dtansecd,1arccos,sec)3(tttxxttx===于是则令,d)1(4d,11,11)4(2222tttxttxxxt--=-+=-+=.11arctan2arctan2d112d1122CxxCtttxxx+-+-=+-=+-=-⎰⎰解:Ex3(1)⎰-=x x x x d 2tan 2tan x x x x d cos 1sin ⎰++x x xx x d 2cos22cos2sin 22⎰+=⎰=2tan d x x x x d 2tan ⎰+.2tan C x x +=分部积分x x d 2tan ⎰+Ex3(2)xx x x x x x d sin 2cos sin 21d sin 22sin 1⎰⎰+=+Ex3 求下列不定积分:⎰⎰+--=+=)cos 1)(cos 1(cos d 21d )cos 1(sin sin 2122x x x x x x x 1⎛(17).cos 1cos 1ln 81)cos 1(4111ln 81)1(41d 1141d )1(141d 11)1(142222C xxx C t t t t t t t t t t ++-++=+-+-+--+-=⎪⎪⎭⎫ ⎝-++-⎰⎰⎰令t =cos xP112公式.1e arctan 41e 41e 21e d e C x x x x x x x x +-+---=-⎰xx x x x x x x x x x x x d 1e 21e 21e d 21e de 1e d e ⎰⎰⎰⎰---=-=-=-,arctan 221d 2d 2d 12d 1e 222C t t tt t t t t x x+-=+-=+=-⎰⎰⎰⎰Ex3(3)Ex3(4)于是则令,d 12d ),1ln(,1e 22t ttx t x t x+=+=-=最后得).11107P ()e 1ln(e1e 1d e 1e 11d )e 1()e d(1)e 1(d e 22例参见书C x x x x x x x x xxxx x x x x x ++-++-=+++-=+-=++=+⎰⎰⎰⎰.)11ln(414)1ln(44d 1222d 122d 211d 11112C x x x C t t t xt t x t t t x t t t x x x +++++-=+++-=⎪⎭⎫ ⎝⎛++-=⎪⎭⎫ ⎝⎛+-=⋅+-=++-+⎰⎰⎰⎰Ex3(5)于是则令,d 2d ,1,122t t x t x x t =-=+=2arcsin 1arcsin 1d arcsin d darcsin (1)111,x x x x x x x x x ==-----⎰⎰⎰Ex3(6)2d 1d cot ,1cos 22sin 2t t tC C C t t --===+=+=+-⎰⎰1-darcsin 1因x x =-⎰⎰sin d (1cos )sin t t t t-⎰x =cost2arcsin arcsin d .(1)1故x x x C x x =-+--⎰222arctan d arctan darctan 111arctan ).22t x t t t tt C C ==+=+=+⎰⎰⎰Ex3(7)于是则令,d 1d ,1,1222tt t x t x x t+=+=-=23/223/2223/2arctan d arctan d (1)d (1)1d(1+)2(1)1.tx t t t t t t t t C tC x==+=-=-+=-=++++=+⎰⎰⎰⎰⎰⎰i)ii)223/2211d ()x a x a =±注: ii) 中第二个等号用到凑微分解法1:令t =2,x t =2d ,dx t t =所以2arcsin I tdt ==⎰⎰2[arcsin]t t dt =⋅-⎰⎰22arcsin t t =⋅+⎰2arcsin t t C =⋅+C=++2arcsin tdt=⎰Ex3 (9)求不定积分I =⎰2=d 11Ex3(8)22111111ln d ln dln ln .11111x x x x x Cx x x x x++++⎛⎫⋅=+⎪-----⎝⎭⎰⎰.ln 2d 22xa xa a x x a -+=-注: 参看书P106例4, 该例可表示为凑微分解法2:因为arcsindx==所以应用分部积分法I=⎰2=⎰2dx =-⎰dx=-⎰C=++⎰x 然后利用凑微分法。
高等数学课后习题及参考答案(第四章)习题4-11. 求下列不定积分:(1)⎰dx x 21;解 C x C x dx x dx x +-=++-==+--⎰⎰112111222.(2)⎰dx x x ; 解 C x x C x dx x dx x x +=++==+⎰⎰212323521231.(3)⎰dx x1;解C x C x dx xdx x+=++-==+--⎰⎰21211112121. (4)⎰dx x x 32; 解 C x x C x dx x dx x x+=++==+⎰⎰3313737321031371. (5)⎰dx x x 21; 解C x x C x dx xdx xx +⋅-=++-==+--⎰⎰12312511125252. (6)dx x m n ⎰; 解C x mn mC x mn dx x dx x mn m m n m nmn++=++==++⎰⎰111.(7)⎰dx x 35;解 C x dx x dx x +==⎰⎰4334555.(8)⎰+-dx x x )23(2;解 C x x x dx dx x dx x dx x x ++-=+-=+-⎰⎰⎰⎰2233123)23(2322.(9)⎰ghdh 2(g 是常数);解C ghC h gdh hgghdh +=+⋅==⎰⎰-22212122121. (10)⎰-dx x 2)2(;解 C x x x dx dx x dx x dx x x dx x ++-=+-=+-=-⎰⎰⎰⎰⎰423144)44()2(23222.(11)⎰+dx x 22)1(;解 C x x x dx dx x dx x dx x x dx x +++=++=++=+⎰⎰⎰⎰⎰3524242232512)12()1(.(12)dx x x ⎰-+)1)(1(3;解 ⎰⎰⎰⎰⎰⎰-+-=-+-=-+dx dx x dx x dx x dx x x x dx x x 23212323)1()1)(1(C x x x x +-+-=25233523231.(13)⎰-dx x x 2)1(;解C x x x dx x x xdx xx x dx xx ++-=+-=+-=-⎰⎰⎰-2523212321212252342)2(21)1(. (14)⎰+++dx x x x 1133224; 解 C x x dx x x dx x x x ++=++=+++⎰⎰arctan )113(1133322224. (15)⎰+dx x x 221;解⎰⎰⎰+-=+-=+-+=+C x x dx xdx xx dx x x arctan )111(111122222.(16)⎰+dx xe x )32(;解 C x e dx xdx e dx x e x x x ++=+=+⎰⎰⎰||ln 32132)32(.(17)⎰--+dx xx )1213(22;解 ⎰⎰⎰+-=--+=--+C x x dx xdx x dx xx arcsin 2arctan 3112113)1213(2222.(18)dx x e e x x⎰--)1(;解 C x edx xe dx xe e xxx x+-=-=-⎰⎰--21212)()1(.(19)⎰dx e x x 3;解 C e C e e dx e dx e xx x xxx++=+==⎰⎰13ln 3)3ln()3()3(3.(20)⎰⋅-⋅dx xxx 32532;解 C x C x dx dx x xx xxx+--=+-=-=⋅-⋅⎰⎰)32(3ln 2ln 5232ln )32(52])32(52[32532. (21)⎰-dx x x x )tan (sec sec ;解 ⎰⎰+-=-=-C x x dx x x x dx x x x sec tan )tan sec (sec )tan (sec sec 2.(22)⎰dx x2cos 2;解 C x x dx x dx x dx x ++=+=+=⎰⎰⎰)sin (21)cos 1(212cos 12cos 2.(23)⎰+dx x 2cos 11;解 ⎰⎰+==+C x dx xdx x tan 21cos 212cos 112.(24)⎰-dx xx xsin cos 2cos ;解 ⎰⎰⎰+-=+=--=-C x x dx x x dx xx xx dx x x x cos sin )sin (cos sin cos sin cos sin cos 2cos 22.(25)⎰dx x x x22sin cos 2cos ; 解 ⎰⎰⎰+--=-=-=C x x dx xx dx x x x x dx x x x tan cot )cos 1sin 1(sin cos sin cos sin cos 2cos 22222222.(26)⎰-dx x x x)11(2;解 ⎰⎪⎭⎫ ⎝⎛-dx x x x 211⎰++=-=--C x x dx x x 41474543474)(.2. 一曲线通过点(e 2, 3), 且在任一点处的切线的斜率等于该点横坐标的倒数, 求该曲线的方程.解 设该曲线的方程为y =f (x ), 则由题意得xx f y 1)(='=',所以 C x dx xy +==⎰||ln 1.又因为曲线通过点(e 2, 3), 所以有=3-2=1 3=f (e 2)=ln|e 2|+C =2+C , C =3-2=1. 于是所求曲线的方程为y =ln|x |+1.3. 一物体由静止开始运动, 经t 秒后的速度是3t 2(m/s ), 问 (1)在3秒后物体离开出发点的距离是多少? (2)物体走完360m 需要多少时间?解 设位移函数为s =s (t ), 则s '=v =3 t 2, C t dt t s +==⎰323. 因为当t =0时, s =0, 所以C =0. 因此位移函数为s =t 3. (1)在3秒后物体离开出发点的距离是s =s (3)=33=27.(2)由t 3=360, 得物体走完360m 所需的时间11.73603≈=t s. 4. 证明函数x e 221, e x sh x 和e xch x 都是x x e x sh ch -的原函数.证明 x x xx x x x x x e ee e e e e e x x e 222sh ch ==--+=----. 因为x x e e 22)21(=', 所以x e 221是x x e xsh ch -的原函数.因为(e x sh x )'=e x sh x +e x ch x =e x (sh x +ch x )x x x x x x e e e e e e 2)22(=++-=--, 所以e x sh x 是xx e xsh ch -的原函数.因为(e x ch x )'=e x ch x +e x sh x =e x (ch x +sh x )x x x x x x e e e e e e 2)22(=-++=--, 所以e xch x 是xx e x sh ch -的原函数.习题4-21. 在下列各式等号右端的空白处填入适当的系数, 使等式成立(例如: )74(41+=x d dx :(1) dx = d (ax );解dx = a 1d (ax ).(2) dx = d (7x -3);解dx = 71d (7x -3).(3) xdx = d (x 2); 解xdx = 21 d (x 2).(4) x d x = d (5x 2);解x d x = 101d (5x 2).(5))1( 2x d xdx -=;解 )1( 212x d xdx --=.(6)x 3dx = d (3x 4-2);解x 3dx = 121d (3x 4-2).(7)e 2x dx = d (e 2x ); 解e 2x dx = 21 d (e 2x ).(8))1( 22x x ed dxe --+=;解 )1( 2 22x x e d dx e --+-=.(9))23(cos 23sin x d xdx =;解 )23(cos 32 23sin x d xdx -=.(10)|)|ln 5( x d xdx=; 解 |)|ln 5( 51x d x dx =. (11)|)|ln 53( x d xdx-=; 解|)|ln 53( 51x d x dx --=. (12))3(arctan 912x d x dx=+; 解 )3(arctan 31912x d x dx =+. (13))arctan 1( 12x d xdx -=-;解)arctan 1( )1( 12x d xdx --=-.(14))1( 122x d x xdx -=-.解)1( )1( 122x d x xdx --=-.2. 求下列不定积分(其中a , b , ω, ϕ均为常数): (1)⎰dt e t 5; 解 C e x d e dt e xx t +==⎰⎰55551551. (2)⎰-dx x 3)23(; 解 C x x d x dx x +--=---=-⎰⎰433)23(81)23()23(21)23(. (3)⎰-dx x 211; 解C x x d x dx x +--=---=-⎰⎰|21|ln 21)21(21121211.(4)⎰-332x dx ;解C x C x x d x xdx+--=+-⋅-=---=-⎰⎰-3232313)32(21)32(2331)32()32(3132. (5)⎰-dx e ax bx)(sin ;解C be ax ab x d e b ax d ax a dx e ax b xb xbx+--=-=-⎰⎰⎰cos 1)()(sin 1)(sin .(6)⎰dt tt sin ;解⎰⎰+-==C t t d t dt tt cos 2sin 2sin .(7)⎰⋅xdx x 210sec tan ;解 ⎰⋅xdx x 210sec tan C x x xd +==⎰1110tan 111tan tan . (8)⎰xx x dxln ln ln ;解C x x d x x d x x x x x dx +===⎰⎰⎰|ln ln |ln ln ln ln ln 1ln ln ln ln 1ln ln ln .(9)⎰+⋅+dx xx x 2211tan ;解 ⎰+⋅+dx x x x 2211tan 2222211cos 1sin 11tan x d x x x d x +++=++=⎰⎰C x x d x ++-=++-=⎰|1cos |ln 1cos 1cos 1222.(10)⎰xx dxcos sin ;解 C x x d x dx x x x x dx +===⎰⎰⎰|tan |ln tan tan 1tan sec cos sin 2.(11)⎰-+dx ee x x 1;解 ⎰-+dx e e xx 1C e de edx e e x x xx x +=+=+=⎰⎰arctan 11122.(12)⎰-dx xe x 2; 解 .21)(212222C e x d e dx xe x x x +-=--=---⎰⎰ (13)⎰⋅dx x x )cos(2;解 C x x d x dx x x +==⋅⎰⎰)sin(21)()cos(21)cos(2222. (14)⎰-dx xx 232;解C x C x x d x dx x x+--=+--=---=-⎰⎰-2212221223231)32(31)32()32(6132.(15)⎰-dx xx 4313; 解⎰⎰+--=---=-C x x d x dx x x |1|ln 43)1(11431344443.(16)⎰++dt t t ))sin((cos 2ϕωϕω; 解 C t t d t dt t t ++-=++-=++⎰⎰)(cos 31)cos()(cos 1)sin()(cos 322ϕωωϕωϕωωϕωϕω. (17)⎰dx x x3cos sin ; 解 C x C x x xd dx xx +=+=-=--⎰⎰2233sec 21cos 21cos cos cos sin . (18)⎰-+dx x x xx 3cos sin cos sin ;解 )sin cos (cos sin 1cos sin cos sin 33x x d xx dx x x x x +--=-+⎰⎰C x x x x d x x +-=--=⎰-3231)cos (sin 23)cos (sin )cos (sin .(19)⎰--dx xx 2491;解dx xx dx xdx xx ⎰⎰⎰---=--22249491491)49(49181)32()32(1121222x d x x d x --+-=⎰⎰C x x +-+=2494132arcsin 21.(20)⎰+dx x x 239;解 C x x x d xx d x x dx x x ++-=+-=+=+⎰⎰⎰)]9ln(9[21)()991(21)(9219222222223. (21)⎰-dx x 1212;解⎰⎰⎰+--=+-=-dx x x dx x x dx x )121121(21)12)(12(11212 ⎰⎰++---=)12(121221)12(121221x d x x d x C x x C x x ++-=++--=|1212|ln 221|12|ln 221|12|ln 221.(22)⎰-+dx x x )2)(1(1;解C x x C x x dx x x dx x x ++-=++--=+--=-+⎰⎰|12|ln 31|1|ln |2|(ln 31)1121(31)2)(1(1. (23)⎰xdx 3cos ;解 C x x x d x x d x xdx +-=-==⎰⎰⎰3223sin 31sin sin )sin 1(sin cos cos .(24)⎰+dt t )(cos 2ϕω; 解 C t t dt t dt t +++=++=+⎰⎰)(2sin 4121)](2cos 1[21)(cos 2ϕωωϕωϕω. (25)⎰xdx x 3cos 2sin ; 解 ⎰xdx x 3cos 2sin C x x dx x x ++-=-=⎰cos 215cos 101)sin 5(sin 21. (26)⎰dx xx 2cos cos ;解 C x x dx x x dx x x ++=+=⎰⎰21sin 23sin 31)21cos 23(cos 212cos cos .(27)⎰xdx x 7sin 5sin ; 解 C x x dx x x xdx x ++-=--=⎰⎰2sin 4112sin 241)2cos 12(cos 217sin 5sin . (28)⎰xdx x sec tan 3;解 x d x xdx x x xdx x sec tan tan sec tan sec tan 223⎰⎰⎰=⋅=C x x x d x +-=-=⎰sec sec 31sec )1(sec 32.(29)⎰-dx xx2arccos 2110;解C x d x d dx xx xxx+-=-=-=-⎰⎰⎰10ln 210)arccos 2(1021arccos 10110arccos 2arccos 2arccos 22arccos 2.(30)⎰+dx x x x )1(arctan ;解C x x d x x d x xdx x x x +==+=+⎰⎰⎰2)(arctan arctan arctan 2)1(arctan 2)1(arctan .(31)⎰-221)(arcsin xx dx;解C xx d x x x dx+-==-⎰⎰arcsin 1arcsin )(arcsin 11)(arcsin 222.(32)⎰+dx x x x 2)ln (ln 1; 解C xx x x d x x dx x x x+-==+⎰⎰ln 1)ln ()ln (1)ln (ln 122. (33)⎰dx xx xsin cos tan ln ;解⎰⎰⎰=⋅=x d x x xdx x x dx x x x tan tan tan ln sec tan tan ln sin cos tan ln 2C x x d x +==⎰2)tan (ln 21tan ln tan ln .(34)⎰-dx x a x 222(a >0);解⎰⎰⎰⎰-===-dt t a dt t a tdt a t a t a t a x dx xa x 22cos 1sin cos cos sin sin 22222222令, C x a x a x a C t a t a +--=+-=222222arcsin 22sin 421.(35)⎰-12x x dx ;解C x C t dt tdt t t t tx x x dx +=+==⋅⋅=-⎰⎰⎰1arccos tan sec tan sec 1sec 12令.或C x x d x dx xx x x dx +=--=-=-⎰⎰⎰1arccos 111111112222.(36)⎰+32)1(x dx ;解C t tdt t d t tx x dx +==+=+⎰⎰⎰sin cos tan )1(tan 1tan )1(3232令C x x ++=12.(37)⎰-dx xx 92; 解⎰⎰⎰=-=-tdt t d tt t x dx x x 222tan 3)sec 3(sec 39sec 9sec 39令 C x x C t t dt t+--=+-=-=⎰3arccos 393tan 3)1cos 1(322.(38)⎰+x dx 21; 解C x x C t t dt t tdt t tx xdx ++-=++-=+-=+=+⎰⎰⎰)21ln(2)1ln()111(11221令.(39)⎰-+211x dx ;解⎰⎰⎰⎰-=+-=+=-+dt tdt t tdt t tx x dx)2sec211()cos 111(cos cos 11sin 1122令 C xxx C t t t C t t +-+-=++-=+-=211arcsin cos 1sin 2tan .(40)⎰-+21x x dx .解⎰⎰⎰+-++=⋅+=-+dt tt tt t t tdt t t tx x x dx cos sin sin cos sin cos 21cos cos sin 1sin 12令C t t t t t d t t dt +++=+++=⎰⎰|cos sin |ln 2121)cos (sin cos sin 12121 C x x x ++-+=|1|ln 21arcsin 212.习题4-3求下列不定积分: 1. ⎰xdx x sin ; 解C x x x xdx x x x xd xdx x ++-=+-=-=⎰⎰⎰sin cos cos cos cos sin .2. ⎰xdx ln ;解 C x x x dx x x x xd x x xdx +-=-=-=⎰⎰⎰ln ln ln ln ln . 3. ⎰xdx arcsin ;解 ⎰⎰-=x xd x x xdx arcsin arcsin arcsin ⎰--=dx xx x x 21arcsinC x x x +-+=21arcsin . 4. ⎰-dx xe x ;解 ⎰⎰⎰----+-=-=dx e xe xde dx xe x x x x C x e C e xe x x x ++-=+--=---)1(. 5. ⎰xdx x ln 2; 解 ⎰⎰⎰-==x d x x x xdx xdx x ln 31ln 31ln 31ln 3332 C x x x dx x x x +-=-=⎰332391ln 3131ln 31.6. ⎰-xdx e x cos ; 解 因为⎰⎰⎰⎰------+=-==xdx e x e xde x e x d e xdx e x x x x x x sin sin sin sin sin cos ⎰⎰-----+-=-=x x x x x xde x e x e x d e x e cos cos sin cos sin⎰-----=xdx e x e x e x x x cos cos sin ,所以 C x x e C x e x e xdx e x x x x +-=+-=----⎰)cos (sin 21)cos sin (21cos .7. ⎰-dx xe x 2sin 2;解 因为⎰⎰⎰-----==x x x x de xx e x d e dx x e 22222cos 22cos 22cos 22sin⎰⎰----+=+=2sin 82cos 22cos 42cos 22222xd e x e dx x e x e x x x x⎰----+=x x x de xx e x e 2222sin 82sin 82cos 2⎰---++=dx xe x e x e x x x 2sin 162sin 82cos 2222,所以 C xx e dx x e x x ++-=--⎰)2sin 42(cos 1722sin 22.8. ⎰dx xx 2cos ;解 C xx x dx x x x x xd dx x x ++=-==⎰⎰⎰2cos 42sin 22sin 22sin 22sin 22cos .9. ⎰xdx x arctan 2; 解 ⎰⎰⎰+⋅-==dx x x x x xdx xdx x 233321131arctan 31arctan 31arctan ⎰⎰+--=+-=2232223)111(61arctan 31161arctan 31dx xx x dx x x x x C x x x x +++-=)1ln(6161arctan 31223.10. ⎰xdx x 2tan解 ⎰⎰⎰⎰⎰+-=-=-=x xd x xdx xdx x dx x x xdx x tan 21sec )1(sec tan 2222C x x x x xdx x x x +++-=-+-=⎰|cos |ln tan 21tan tan 2122.11. ⎰xdx x cos 2;解 ⎰⎰⎰⎰+=⋅-==x xd x x xdx x x x x d x xdx x cos 2sin 2sin sin sin cos 2222C x x x x x xdx x x x x +-+=-+=⎰sin 2cos 2sin cos 2cos 2sin 22. 12. ⎰-dt te t 2;解 ⎰⎰⎰----+-=-=dt e te tde dt te t t tt 2222212121 C t e C e te t t t ++-=+--=---)21(214121222.13. ⎰xdx 2ln ;解 ⎰⎰⎰-=⋅⋅-=xdx x x dx xx x x x xdx ln 2ln 1ln 2ln ln 222C x x x x x dx x x x x x x ++-=⋅+-=⎰2ln 2ln 12ln 2ln 22.14. ⎰xdx x x cos sin ; 解 ⎰⎰⎰⎰+-=-==xdx x x x xd xdx x xdx x x 2cos 412cos 412cos 412sin 21cos sin C x x x ++-=2sin 812cos 41.15. ⎰dx xx 2cos 22; 解 ⎰⎰⎰⎰-+=+=+=xdx x x x x x d x x dx x x dx x x sin sin 2161sin 2161)cos 1(212cos 2323222⎰⎰-++=++=xdx x x x x x x xd x x x cos cos sin 2161cos sin 21612323C x x x x x x +-++=sin cos sin 216123.16. ⎰-dx x x )1ln(; 解 ⎰⎰⎰-⋅--=-=-dx x x x x dx x dx x x 1121)1ln(21)1ln(21)1ln(222 ⎰-⋅++--=dx x x x x )111(21)1ln(212C x x x x x +-----=)1ln(212141)1ln(2122.17. ⎰-xdx x 2sin )1(2;解 ⎰⎰⎰⋅+--=--=-xdx x x x x d x xdx x 22cos 212cos )1(212cos )1(212sin )1(222 ⎰+--=x xd x x 2sin 212cos )1(212⎰-+--=xdx x x x x 2sin 212sin 212cos )1(212C x x x x x +++--=2cos 412sin 212cos )1(212.18. ⎰dx x x23ln ;解⎰⎰⎰⎰+-=+-=-=xdx xx x x d x x x x xd dx x x22333323ln 13ln 1ln 1ln 11ln ln⎰⎰+--=--=x d x x x x x x xd x x 22323ln 13ln 3ln 11ln 3ln 1⎰⎰---=+--=x xd x x x x dx x xx x x x 1ln 6ln 3ln 1ln 16ln 3ln 123223⎰+---=dx xx x x x x x 22316ln 6ln 3ln 1C x x x x x x x +----=6ln 6ln 3ln 123.19. ⎰dx e x3;解 ⎰⎰⎰==t t xde t dt e t t x dx e223333令⎰⎰-=-=t t t t tde e t dt te e t 636322 ⎰+-=dt e te e t t t t 6632 C e te e t t t t ++-=6632 C x x ex ++-=)22(33323.20. ⎰xdx ln cos ; 解 因为⎰⎰⋅⋅+=dx xx x x x xdx 1ln sin ln cos ln cosdx xx x x x x x xdx x x 1ln cos ln sin ln cos ln sin ln cos ⋅⋅-+=+=⎰⎰⎰-+=xdx x x x x ln cos ln sin ln cos , 所以 C x x xxdx ++=⎰)ln sin ln (cos 2ln cos .21. ⎰dx x 2)(arcsin ;解 ⎰⎰-⋅⋅-=dx xx x x x dx x 22211arcsin 2)(arcsin )(arcsin⎰-+=221arcsin 2)(arcsin x xd x x ⎰--+=dx x x x x 2arcsin 12)(arcsin 22 C x x x x x +--+=2arcsin 12)(arcsin 22. 22. ⎰xdx e x 2sin . 解 ⎰⎰⎰-=-=xdx e e dx x e xdx e xx x x 2cos 2121)2cos 1(21sin 2, 而 dx x e x e xde xdx e x x x x ⎰⎰⎰+==2sin 22cos 2cos 2cos⎰⎰-+=+=xdx e x e x e de x x e x x x x x 2cos 42sin 22cos 2sin 22cos ,C x x e xdx e x x ++=⎰)2sin 22(cos 512cos ,所以 C x x e e xdx e x x x ++-=⎰)2sin 22(cos 10121sin 2.习题4-4求下列不定积分:1. dx x x ⎰+33;解 dx x x x x dx x x dx x x ⎰⎰⎰+-+-+=+-+=+327)93)(3(327273233⎰⎰+-+-=dx x dx x x 3127)93(2C x x x x ++-+-=|3|ln 279233123.2. ⎰-++dx x x x 103322;解 C x x x x d x x dx x x x +-+=-+-+=-++⎰⎰|103|ln )103(1031103322222.3. ⎰--+dx xx x x 3458;解 ⎰⎰⎰--++++=--+dx x x x x dx x x dx x x x x 3223458)1(8⎰⎰⎰--+-+++=dx x dx x dx x x x x 13148213123C x x x x x x +--+-+++=|1|ln 3|1|ln 4||ln 8213123.4. ⎰+dx x 133;解⎰⎰⎰+-⋅++--⋅-+=+-+-++=+dx x x x x x x dx x x x x dx x )11231122111()1211(132223⎰⎰-+-++-+--+=)21()23()21(123)1(1121|1|ln 2222x d x x x d x x xC x x x x +-++-+=312arctan31|1|ln2. 5. ⎰+++)3)(2)(1(x x x xdx;解dx x x x x x x xdx )331124(21)3)(2)(1(+-+-+=+++⎰⎰C x x x ++-+-+=|)1|ln |3|ln 3|2|(ln 21.6. ⎰-++dx x x x )1()1(122;解 ⎰⎰+--⋅++⋅=-++dx x x x dx x x x ])1(111211121[)1()1(1222 C x x x +++-+-=11|1|ln 21|1|ln 21C x x +++-=11|1|ln 212.7. dx x x )1(12+⎰; 解 C x x dx x x x dx x x ++-=+-=+⎰⎰)1ln(21||ln )11()1(1222. 8. ⎰++))(1(22x x x dx;解⎰⎰+⋅-++⋅-=++dx x x x x x x x dx )112111211())(1(222⎰++-+-=dx x x x x 1121|1|ln 21||ln 2⎰⎰+-+-+-=dx x dx x x x x 11211241|1|ln 21||ln 22C x x x x +-+-+-=arctan 21)1ln(41|1|ln 21||ln 2.9. ⎰+++)1)(1(22x x x dx; 解dx x xx x x x x x dx )111()1)(1(2222⎰⎰+-+++=+++)1ln(21112111221222+-++++++=⎰⎰x dx x x x x x ⎰++++-++=dx x x x x x 1121)1ln(21|1|ln 21222C x x x x ++++-++=312arctan 33)1ln(21|1|ln 2122. 10. ⎰+dx x 114;解dx x x x x dx x ⎰⎰+-++=+)12)(12(111224⎰⎰+-+-++++=dx x x x dx x x x 12214212214222⎰⎰+----++++=dx x x x dx x x x 1222)22(21421222)22(214222 )1212(41]12)12(12)12([82222222⎰⎰⎰⎰+-+++++-+--++++=x x dxx x dx x x x x d x x x x d C x x x x x x +-++++-++=)12arctan(42)12arctan(42|1212|ln 8222. 11. ⎰++--dx x x x 222)1(2; 解 ⎰⎰⎰++-++-=++--dx x x dx x x x dx x x x 11)1(1)1(2222222 ⎰⎰⎰++-++-+++=dx x x dx x x dx x x x 11)1(123)1(122122222 ⎰⎰++-++-++⋅-=dx x x dx x x x x 11)1(12311212222, 因为)312arctan(32)312()312(11321122+=+++=++⎰⎰x x d x dx x x , 而⎰⎰++=++dx x dx x x 22222])23()21[(1)1(1由递推公式 ⎰⎰--+-++-=+])()32()([)1(21)(122122222n n n a x dxn a x x n a a x dx ,得⎰⎰++=++dx x dx x x 22222])23()21[(1)1(1312arctan 323211231)1121()23(212222+⋅++++⋅=++++++=⎰x x x x x x dx x x x , 所以 ⎰++--dx x x x 222)1(2C x x x x x x x ++-+-+++-++⋅-=312arctan 32312arctan 3211221112122C x x x x ++-+++-=312arctan34112.12. ⎰+x dx2sin 3;解⎰⎰⎰+=-=+x d x dx x x dx tan 3tan 41cos 41sin 3222C x x d x +=+=⎰3tan 2arctan321tan )23(tan 14122.13.⎰+dx x cos 31;解 ⎰⎰⎰+=+=+)2sec 1(2cos )2(2cos 121cos 31222x x x d x dx dx x ⎰+=+=C x x x d 22tanarctan 212tan 22tan 2. 或⎰⎰+⋅++=+du u u u x u dxx 221212312tancos 31令 C xC u du u +=+=+=⎰22tan arctan212arctan21)2(122. 14.⎰+dx x sin 21;解 ⎰⎰⎰+=+=+)2cot 2(csc 2sin )2(2cos 2sin 22sin 2122x x x x d x x dx dx x⎰⎰+++-=++-=222)23()212(cot )212(cot 12cot 2cot )2(cot x x d x x x dC x ++-=312cot 2arctan 32. 或⎰⎰+⋅++=+du u u u x u dxx 221212212tansin 21令 ⎰⎰++=++=du u du u u 222)23()21(111C xC u ++=++=312tan 2arctan 32312arctan 32. 15.⎰++x x dxcos sin 1;解 ⎰⎰⎰+=+=+=++C x x xd x x dx x x dx |2tan |ln 2tan1)2(tan )2tan 1(2cos 21cos sin 12. 或⎰⎰+⋅+-+++=++du u u u u ux u xx dx2222121112112tancos sin 1令C xC u du u ++=++=+=⎰|12tan |ln |1|ln 11. 16.⎰+-5cos sin 2x x dx; 解⎰⎰⎰++=+⋅++--+=+-du u u du u u u u ux u x x dx2231125111412tan5cos sin 222222令C xC u du u ++=++=++=⎰512tan 3arctan 51513arctan 51)35()31(13122. 或⎰⎰+⋅++--+=+-du uu uu u x u x x dx2222125111412tan5cos sin 2令⎰⎰++=++=du u du u u 222)35()31(1312231C xC u ++=++=512tan 3arctan 51513arctan 51. 17. ⎰++dx x 3111;解⎰⎰⎰++-=⋅+=+=++du uu du uu ux dx x )111(33111111233令 C x x x C u u u +++++-+=+++-=)11ln(313)1(23|1|ln 332333322.18.⎰++dx x x 11)(3;解C x x x dx x x dx x x ++-=+-=++⎰⎰232233221]1)[(11)(.19.⎰++-+dx x x 1111;解 ⎰⎰⎰++-=⋅+-=+++-+du u u udu u u u x dxx x )122(221111111令C u u u +++-=|)1|ln 2221(22C x x x +++++-+=)11ln(414)1(. 20.⎰+4x x dx ;解⎰⎰⋅+=+du uu u u x xx dx 324441令C u u u du uu +++-=++-=⎰|1|ln 442)111(42 C x x x +++-=)1ln(4244.21.⎰+-xdxx x 11;解 令u x x=+-11, 则2211u u x +-=, du u u dx 22)1(4+-=,⎰⎰⎰++-=+-⋅-+⋅=+-du uu du u u u u u x dx x x )1111(2)1(41111222222 C u u u +++-=arctan 2|11|ln C xxx x x x ++-+++-+--=11arctan2|1111|ln . 22.⎰-+342)1()1(x x dx.解 令u x x =-+311, 则1133-+=u u x , 232)1(6--=u u dx , 代入得C x x C u du x x dx +-+-=+-=-=-+⎰⎰334211232323)1()1(.总习题四求下列不定积分(其中a , b 为常数):1. ⎰--x x e e dx;解 C e e de e dx e e e e dxx x xx x xxx ++-=---=-⎰⎰⎰-|11|ln 2111122.2. dx x x ⎰-3)1(; 解C x x dx x dx x dx x x+-⋅+-=----=-⎰⎰⎰2323)1(12111)1(1)1(1)1(. 3. ⎰-dx xa x 662(a >0);解 C ax a x a x d x a dx x a x +-+=-=-⎰⎰||ln 61)()()(1313333332323662. 4. ⎰++dx x x xsin cos 1;解 C x x x x d x x dx x x x ++=++=++⎰⎰|sin |ln )sin (sin 1sin cos 1.5. ⎰dx xxln ln ; 解C x x x dx x x x x x x xd dx x x +-⋅=⋅⋅-⋅==⎰⎰⎰ln ln ln ln 1ln 1ln ln ln ln ln ln ln ln ln . 6. ⎰+dx x xx 4sin 1cos sin ; 解 C x x d x x d xx dx x x x +=+=+=+⎰⎰⎰222244sin arctan 21)(sin )(sin 1121sin sin 1sin sin 1cos sin . 7. ⎰xdx 4tan ; 解 xxd x x d xx xdx tan sin tan tan cos sin tan 22244⎰⎰⎰==⎰⎰++-=+=x d x x x d x x tan )1tan 11(tan tan 1tan tan 2224c x x x c x x x ++-=++-=tan tan 31tan arctan tan tan 3133.8. ⎰xdx x x 3sin 2sin sin ; 解 ⎰⎰--=xdx x x xdx x x 3sin )cos 3(cos 213sin 2sin sin ⎰⎰+-=xdx x xdx x 3sin cos 213sin 3cos 21 ⎰⎰++=dx x x x xd )2sin 4(sin 41)3(cos 3cos 61 C x x x +--=2cos 814cos 1613cos 1212. 9. ⎰+)4(6x x dx;解 C x x dx x x x x x dx++-=+-=+⎰⎰)4ln(241||ln 41)41(41)4(6656.10.)0(>-+⎰a dx xa xa ; 解⎰⎰⎰⎰-+-=-+=-+dx xa xdx x a a du x a x a dx x a x a 2222221C x a a xa +--=22arcsin .11.⎰+)1(x x dx ;解C x x C x x x d x x x dx +++=+++=+=+⎰⎰)1ln(2))(1ln(2)(112)1(22.12. ⎰xdx x 2cos ; 解 ⎰⎰⎰+=+=x xd x dx x x x xdx x 2sin 4141)2cos (21cos 22 C x x x x xdx x x x +++=-+=⎰2cos 812sin 41412sin 412sin 414122.13. ⎰bxdx e ax cos ; 解 因为dx bx e a b bx e a bxde a bxdx e ax axax ax ⎰⎰⎰+==sin cos 1cos 1cos dx bx e ab bx e a b bx e a de bx a b bx e a ax ax axax ax ⎰⎰-+=+=cos sin cos 1sin cos 12222,所以 C bx e ab bx e a b a a bxdx e axax ax+++=⎰)sin cos 1(cos 2222C bx b bx a e b a ax +++=)sin cos (122.14.⎰+xedx 1;解⎰⎰⎰⎰+--=-=-=++du u u du u u d u u e e dxx x)1111(112)1ln(11122令.c e e c u u x x +++-+=++-=1111ln |11|ln .15.⎰-122x xdx ;解C t tdt tdt t t t tx x xdx+==⋅⋅=-⎰⎰⎰sin cos tan sec tan sec 1sec 1222令C xx +-=12. 16.⎰-2/522)(x a dx;解⎰⎰⋅=-tdt a t a ta x x a dx cos )cos (1sin )(52/522令⎰⎰+==t d t adt ta tan )1(tan1cos 112444C t at a ++=tan 1tan 31434C xa x a x a x a+-+-⋅=224322341)(31.17.⎰+241x xdx;解tdt t t tx x xdx2424secsec tan 1tan 1⋅⋅=+⎰⎰令⎰⎰==t d t tdt t tsin sin cos sin cos 4243 C t tt d t t ++-=-=⎰sin 1sin 31sin )sin 1sin 1(324 C xx x x ++++-=233213)1(.18.⎰dx x x sin ;解⎰⎰⎰=⋅=tdt t tdt t t t x dx x x sin 22sin sin 2令⎰⎰⋅+-=-=tdt t t t t d t 2cos 2cos 2cos 222⎰⎰-+-=+-=tdt t t t t t td t t sin 4sin 4cos 2sin 4cos 222 C t t t t t +++-=cos 4sin 4cos 22C x x x x x +++-=cos 4sin 4cos 2. 19. ⎰+dx x )1ln(2;解 ⎰⎰+⋅-+=+dx xx x x x dx x 22212)1ln()1ln(⎰+--+=dx x x x )111(2)1ln(22C x x x x ++-+=arctan 22)1ln(2. 20.⎰dx x x32cos sin ;解 x d x xx x d x x dx x xtan )1tan tan (tan tan cos sin cos sin 2232⎰⎰⎰+-== C x x ++-=)1ln(tan 21tan 2122.21. ⎰dx x arctan ;解 x d xx x x dx x ⎰⎰+⋅-=11arctan arctan x d xx x ⎰+⋅--=)111(arctan C x x x x ++-=arctan arctan C x x x +-+=arctan )1(. 22.dx xx⎰+sin cos 1;解C x x x d x dx x x xdx x x +-===+⎰⎰⎰|2cot 2csc |ln 222csc 22cos2sin 22cos2sin cos 1. 23.⎰+dx x x 283)1(;解 C x x x dx x dx x x +++⋅=+=+⎰⎰]arctan 1[2141)1(141)1(484428283. 提示: 已知递推公式⎰⎰--+-++-=+])()32()([)1(21)(122122222n n n a x dxn a x x n a a x dx .24. ⎰++dx x x x 234811; 解 ⎰⎰⎰++=++=++dt t t t t x dx x x x dx x x x 234123412322444884811令 ⎰⎰+++-=+++-=dt t t dt t t t )11241(41)23231(412 C t t t ++++-=|1|ln 41|2|ln 41C x x x ++++=21ln 414444. 25.⎰-416x dx; 解⎰⎰⎰++-=+-=-dx xx dx x x x dx)4141(81)4)(4(11622224C xx x ++-+=)2arctan 21|22|ln 41(81C x x x ++-+=2arctan 161|22|ln 321. 26.dx x x⎰+sin 1sin ;解 ⎰⎰⎰-=--=+dx xxx dx x x x dx x x 222cos sin sin sin 1)sin 1(sin sin 1sinC x x x dx x x x++-=+-=⎰tan sec )cos 11cos sin (22.27. dx x xx ⎰++cos 1sin ;解⎰⎰⎰⎰+=+=++dx x xdx x x dx x x x dx x x x 2cossin 212cos 212cos 2sin cos 1sin 222 ⎰⎰+=dx xx xd 2tan 2tanC xx dx x dx x x x +=+-=⎰⎰2tan 2tan 2tan 2tan .28. ⎰-dx x x x x ex23sin cos sin cos ;解 ⎰⎰⎰⋅⋅-⋅⋅=-xdx x e xdx e x dx xx x x e x x xsec tan cos cos sin cos sin sin 23sin⎰⎰-=x d e x d xe x x sec sin sin sin ⎰⎰+⋅-=x x x xde e x xde sin sin sin sec sec⎰⎰⋅⋅+⋅--=xdx e x e x dx e xe x x x x cos sec sec sin sin sin sin C e x xe x x +⋅-=sin sin sec .29.⎰+dx x x x x)(33;解dt t t dt t t t t t t x dxx x x x)111(66)()(52362633+-=⋅+=+⎰⎰⎰令C x xC t t ++=++=66)1(ln 1ln6. 30.⎰+2)1(x e dx;解⎰⎰⎰---=-⋅=++dt t t t dt t tt e e dxx x )1111(1111)1(222令 C tt t ++--=1ln )1ln(C e e x xx ++++-=11)1ln(.31. ⎰+-+dx e e e e x x xx 1243;解)()(1111222243x xx x x x xx x x x x e ed e e dx e e e e dx e e e e ------+=+-+=+-+⎰⎰⎰C e e x x +-=-)arctan( C x +=)sh 2arctan(. 32.⎰+dx e xe xx 2)1(;解⎰⎰⎰+-=++=+11)1()1()1(22x x x x xe xde d e x dx e xe⎰⎰+++-=+++-=x x x x x x de e e e x dx e e x )1(11111⎰+-++-=x x xx de e e e x )111(1C e e e x x x x ++-++-=)1ln(ln 1C e e xe x x x ++-+=)1ln(1.33. ⎰++dx x x )1(ln 22;解 dx x x x x x x dx x x ])1([ln )1(ln )1(ln 222222'++⋅-++=++⎰⎰ ⎰+⋅++-++=dx xx x x x x x 22221)1ln(2)1(ln⎰+++-++=22221)1ln(2)1(ln x d x x x x x⎰'++⋅+++++-++=dx x x x x x x x x x ])1[ln(12)1ln(12)1(ln 222222 ⎰++++-++=dx x x x x x x 2)1ln(12)1(ln 2222 C x x x x x x x +++++-++=2)1ln(12)1(ln 2222.34.⎰+dx x x2/32)1(ln ; 解 因为⎰⎰⎰++=+==⋅=+C xx C t tdt tdt t tx dx x 2232/321sin cos secsec 1tan )1(1令,所以⎰⎰⎰⋅+-+=+=+dx xx xx x x x x xd dx x x111ln )1(ln )1(ln 2222/32 C x x x x x +++-+=)1ln(1ln 22.35. ⎰-xdx x arcsin 12;解⎰⎰⎰+=⋅=-dt t t t tdt t t x xdx x )2cos (21cos sin arcsin 122令 ⎰⎰-+=+=tdt t t t t t t 2sin 412sin 41412sin 414122C t t t t +++=2cos 812sin 41412122241arcsin 121)(arcsin 41C x x x x x +--+=.36.⎰-dx xx x 231arccos ;解⎰⎰⎰--=-⋅=-2222231arccos 1arccos 1arccos x xd x dx x x x x dx x x x⎰'⋅-+--=dx x x x x x x )arccos (1arccos 12222 ⎰-⋅-⋅-+--=dx xx x x x x x x )11arccos 2(1arccos 122222⎰⎰-⋅-+--=dx x xdx x x x x x 2222arccos 12arccos 1⎰-----=32322)1(arccos 3231arccos 1x xd x x x x⎰-------=dx x x x x x x x )1(32arccos )1(3231arccos 1232322。
微积分习题集带参考答案2(2),求圆的面积为1时,面积变量S 相对于周长l 的变化率。
解 此时S 是l 的函数 πππ4222l l S =⎪⎭⎫ ⎝⎛=。
于是S 对周长l 的变化率为 π2l dl dS =。
当1=S 时π2=l ,此时ππ12==l dl dS 。
5(2). 设ax y ||=,在0=x 点可导,求α的取值范围。
解 设ax x f ||)(=。
当0≤α时,0=x 是函数的间断点,此时函数不可导。
只讨论0>α。
考虑左导数 ⎪⎩⎪⎨⎧>=<∞===---+→1,0111,0)0()(lim10ααααa x x xxx f x f , 考虑右导数 ⎪⎩⎪⎨⎧>=-<∞=--=-=----→1,0111,)()(0)0()(lim10ααααa x x x x x f x f , 因此该函数当1>α时在0=x 点可导,导数为0.6. 设⎪⎩⎪⎨⎧≥+-<≤+<-=1,1)1sin(10,0,1)(x x b x a x x e x f x 。
求b a ,使得)(x f 在1,0=x 可导。
解法1 因可导必连续,则 a f x f x ===-→)0(0)(lim 0,则0=a 。
这样在1=x 处)(x f 也连续。
此时 110)0()(lim )0(0=-=--='-→-x e x f x f f x x ,1lim 0)0()(lim )0(00==--='+→+→+xxx f x f f x x ,。
1111)1()(lim)1(1=--=--='-→-x x x f x f f x ,b x x b x f x f f x x =--=--='+→+→+1)1sin(lim 1)1()(lim )1(11。
若)1('f 存在,则应有b =1。
此时1)1('=f 。
解法2 同理可得0=a 。
18.设函数f(x)在(-∞,+∞)内可导,且a,b是方程f(x)=0的两个实根.证明方程f(x)+f'(x)=0在(a,b)内至少有一个实根.证设 g(x)=ef(x),g(a)=g(b)=0,g在 [a,b]连续, 在(a,b)可导),.x根据Rolle定理, 存在 c∈(a,b),使得g'(x)=e(f(x)+f'(x))=0,即f(x)+f'(x)=0.x19.决定常数A的范围,使方程3x-8x-6x+24x+A有四个不相等的实根.解P(x)=3x-8x-6x+24x,P'(x)=12x-24x-12x+24=12(x-2x-x+2)=12[x(x-2)-(x-2)]=12(x-2)(x-1)=12(x-2)(x-1)(x+1)=0,.x1=-1,x2=1,x3=2.P(x1)=-19,P(1)=13,P(2)=8.根据这些数据画图,由图易知当在区间(-P(1),-P(2))=(-13,-8)时3x-8x-6x+24x+A有四个不相等的实根.43232224323243220.设f(x)=1-x+x22-x33+ +(-1)nxnn.证明:方程f(x)=0当n为奇数时有一个实根,当n为偶数时无实根.证当x≤0时f(x)>0,故f 只有正根,当n=2k-1为奇数时,limf(x)=+∞,x→-∞limf(x)=-∞,存在a,b,a<b,f(a)>0,f(b)<0.x→+∞根据连续函数的中间值定理,存在x0∈(a,b),使得f(x0)=0. f'(x)=-1+x-x+ -x实根唯一. 当n=2k为偶数时,f'(x)=-1+x-x+ +x22k-122k-2=x2k-1+1-x-1<0(x>0),当x>0时,f严格单调递减,故=-x2k+1-x-1=0,x=1.0<x<1,f'(x)<0,x>1,f'(x)>0,f(1)是x>0时的最小值,f(1)>0,故当n为偶数时f(x)无实根.21.设函数u(x)与v(x)以及它们的导函数u'(x)与v'(x)在区间[a,b]上都连续,且uv'-u'v 在[a,b]上恒不等于零.证明u(x)在v(x)的相邻根之间必有一根,反之也对.即有u(x)与v(x)的根互相交错地出现.试句举处满足上述条件的u(x)与v(x).证设x1,x2是u(x)的在[a,b]的两个根,x1<x2.由于u'v-uv'≠0,v(x1)≠0,v(x2)≠0.如果v(x)在[x1,x2]上没有根,则w=w'(c)=u'v-uv'vuv在[a,b]连续,w(x1)=w(x2)=0,由Rolle定理,存在c∈[x1,x2],使得(c)=0,即(u'v-uv')(c)=0,此与u'v-uv'恒不等于零的假设矛盾.故v(x)在[x1,x2]上有根.例如u=cos(x),v=sinx,u'v-uv'=-1≠0,sinxcosx的根交错出现.22.证明:当x>0时函数f(x)=arctanxtanhx单调'递增,且arctanx<π(tanhx).tanhxarctanx-2'22sinhxcoshx-(1+x)arctanx⎛arctanx⎫证f'(x)= =⎪=2222 tanhxtanhx(1+x)tanhxcoshx⎝⎭1=sinh2x-(1+x)arctanx(1+x)tanhxcoshx=g(x)(1+x)tanhxcoshx.g(0)=0.g'(x)=cosh2x-1-2xarctanx,g'(0)=0,g''(x)=2sinh2x-2arctanx-g'''(x)=4cosh2x- 41+x2x1+x,g''(0)=0,21+x+22-2⨯(1+x)-2x(1+x)=4cosh2x-21+x-2(1-x)1+x=4cosh2x-4x1+x>0(当x>0时coshx>1),由Taylor公式,对于x>0有g(x)=g(θx)3!3x>0,f'(x)>0,f严格单调递增.<limf(x)=limx→+∞x→+∞arctanxtanhx=π,故对于x>0有arctanxtanhxπ.23.证明:当0<x<π2时有2xsinx<tanxx.证f(x)=sinxtanx-x,22f'(x)=cosxtanx+sinxsecx-2x=sinx+sinxsecx-2x,22f''(x)=cosx+secx+2sinxsecxtanx-2=(cosx+secx-2)+2sinxsecx-2>0(cosx+secx=cosx+1cosx≥2,x∈(0,π/2)).f(0)=f'(0)=0,根据Taylor公式,f(x)=f''(θx)2x>0,sinxtanx-x>0,22xsinx<tanxx(x∈(0,π/2)).24.证明下列不等式:(1)e>1+x,x≠0.(2)x-(3)x-xx2x23<ln(1+x),x>0.<sinx<x,x>0.eθx6x证(1)e=1+x+(2)ln(1+x)=x-x22x>1+x,x≠0.1x<x,x>0.x222(1+θx)+12ln(1+x)=x-23(1+θx)3x>x-32,x>0.(3)f(x)=x-sinx,f(0)=0,f'(x)=1-cosx≥0,仅当x=2nπ时f'(x)=0,故当x>0时f严格单调递增,f(x)>f(0)=0,x>0.⎛x⎫g(x)=sinx- x-⎪,6⎭⎝⎛x⎫g'(x)=cosx- 1-⎪,g''(x)=-sinx+x>0,x>0.g当x>0时2⎝⎭严格单调递增,g(x)>g(0)=0,x>0.25.设xn=(1+q)(1+q) (1+q),其中常数q∈[0,1).证明序列xn有极限.nn2n23证xn单调递增.lnxn=qlnxn∑i=1ln(1+q)<i∑i=1q=iq-qn+11-q<q1-q, .xn有上界.故xn有极限.︒xn=e<e1-q26.求函数f(x)=tanx在x=π/4处的三阶Taylor多项式,并由此估计tan(50)的值.22224解f'(x)=secx,f''(x)=2secxtanx,f'''(x)=4secxtanx+2secx.f(π4)=1,f'(π4)=2,f''(π4)=4,f'''(π4)=16.⎛⎛π⎫π⎫8⎛π⎫π⎫⎫⎛⎛f(x)=1+2 x-⎪+2 x-⎪+ x-⎪+o x-⎪⎪.⎝4⎭4⎭3⎝4⎭4⎭⎪⎝⎝⎝⎭233π⎫π8⎛π⎫⎛π⎛π⎫︒tan(50)=tan +≈1+2⨯+2+⎪⎪⎪≈1.191536480.4363636336⎝⎭⎝⎭⎝⎭27.设0<a<b,证明(1+a)ln(1+a)+(1+b)ln(1+b)<(1+a+b)ln(1+a+b).证f(x)=ln(1+x),f'(x)=f在x>0上凸,(1+a)(1+a+b)ln(1+a)+(1+b)(1+a+b)ln(1+b)11+x,f''(x)=-1(1+x)223<0,⎛(1+a)a(1+b)b⎫<ln 1++⎪(1+a+b)(1+a+b)⎭⎝⎛(1+a+b)a(1+a+b)b⎫<ln 1++⎪=ln(1+a+b).(1+a+b)(1+a+b)⎭⎝28.设有三个常数a,b,c,满足a<b<c,a+b+c=2,ab+bc+ca=1.证明:0<a<32114,<b<1,1<c<.333证考虑多项式f(x)=(x-a)(x-b)(x-c)=x-2x+x-abc.2f'(x)=3x-4x+1=(3x-1)(x-1)=0,x1=13,x2=1.13<x<11时f'(x)<0,f严格单调递减.当x<13或x>1时f'(x)>0,f严格单调递增,当如果f(0)=f(1)=-abc≥0,f将至多有两个144实根.如果f()=f()=-abc≤0,f也将至多有两个3327144根(见附图).而f实际有根a,b,c.故f(0)=f(1)=-abc<0,并且f()=f()=-abc>0. 3327考虑到严格单调性,于是f114在(0,),(,1),(1,)各有一实根,正是a,b,c,故结论成立.33329.设函数f(x)的二阶导数f''(x)在[a,b]上连续,且对于每一点x∈[a,b],f''(x)与f(x)同号.证明:若有两点c,d∈[a,b],使f(c)=f(d)=0,则f(x)≡0,x∈[c,d].2证由于f''(x)与f(x)同号,(f(x)f'(x))'=f'(x)+f(x)f''(x)≥0,g(x)=f(x)f'(x)单调, 2g(c)=g(d)=0,故f(x)f'(x)≡0,x∈[c,d].(f(x))'=2f(x)f'(x)≡0,x∈[c,d].f(x)≡C,x∈[c,d].f(c)=0,故f(x)≡0,x∈[c,d],即f(x)≡0,x∈[c,d].30.求多项式P3(x)=2x-7x+13x-9在x=1处的Taylor公式.解P3'(x)=6x-14x+13,P3''(x)=12x-14,P3'''(x)=12. 232222P3(1)=-1,P3'(1)=5,P3''(1)=-2,P3'''(1)=12.P3(x)=-1+5(x-1)-(x-1)+2(x-1).31.设Pn(x)是一个n次多项式.(1)证明:Pn(x)在任一点x0处的Taylor公式为Pn(x)=Pn(x0)+Pn'(x0)+ +1n!Pn(n)23(x0).(a)≥0(k=1,2, n).证明Pn(x)的所有实根都不(2)若存在一个数a,使Pn(a)>0,Pn超过a.证(1)Pn(x)是一个n次多项式.(k)(1)证明:因为Pn(x)是一个n次多项式,Pn根据带Lagrange余项的Taylor公式Pn(x)=Pn(x0)+Pn'(x0)(x-x0)+ +=Pn(x0)+Pn'(x0)(x-x0)+ +1n!Pn1n!(n+1)(x)≡0,x∈(-∞,+∞).故在任一点x0处,Pn(n)(x0)(x-x0)+nn1(n+1)!Pn(n+1)(c)(x-x0)n+1(n)(x0)(x-x0).1n!Pn(n)n(2)Pn(x)=Pn(a)+Pn'(a)(x-a)+ +故Pn(x)的所有实根都小于a.(a)(x-a)≥Pn(a)>0(x≥a),32.设函数f(x)在(0,+∞)上有二阶导数,又知对于一切x>0,有|f(x)|≤A,|f''(x)|≤B其中A,B为常数.证明:|f'(x)|≤证任意取x∈(0,+∞),h>0.f(x+h)=f(x)+f'(x)h+f'(x)=1h(f(+h)-f(x))-2AhB2+B2h(*).f''(c)2h.x∈(0,+∞).h,2f''(c)2 |f'(x)|≤2Ah当=h时(*)右端取最小值.在(*)中取h=即得|f'(x)|≤。
第四章教材习题选解或提示(A )2.不用求出函数()()()()321---=x x x x x f 的导数,说明()x f '有几个根及所在区间.解:()()()()321---=x x x x x f 的导数为三次多项式,则()0='x f 最多有三个解,因为()()()()3210f f f f ===,根据罗尔定理,可知存在()1,01∈ξ使得()01='ξf ;存在()2,12∈ξ使得()02='ξf ;存在()3,23∈ξ使得()03='ξf .3. 证明方程0535=+++x x x 有且仅有一个实根. 证:设函数()535+++=x x x x f ,则()x f 在R 上连续.由于()372-=-f ,()50=f ,所以存在一点1x ()0,2-∈,使得()01=x f .假设0535=+++x x x 除1x 外还有一根2x 0≠.不妨假设21x x <,则()()21x f x f =.()x f 在闭区间[]21,x x 上连续,在开区间()21,x x 内可导.因此,有()()21,,0x x f ∈='ξξ而()113524≥++='x x x f ,矛盾,得证.4. 设1,0>>>n b a ,证明:()()b a naba b a nbn nn n -<-<---11.证:设函数()n x x f =,在区间[]b a ,上应用拉格朗日定理,得 1-=--n nnn ab a b ξ()b a ,∈ξ因为()b a ,∈ξ,所以111---<<n n n nb n naξ,所以11--<--<n nnn nbab a b na,得()()b a na b a b a nb n n n n -<-<---11.6.设函数()x f 在[]a ,0上连续,在()a ,0内可导,且()0=a f ,证明:至少存在一点()a ,0∈ξ,使得()()0='+ξξξf f .证:设函数()()x xf x F =,因为()()00==a F F ,可知()x F 在区间[]a ,0满足罗尔定理,则有()0='ξF ()a ,0∈ξ,即()()0='+ξξξf f()a ,0∈ξ.7.若方程01110=+++--x a xa x a n n n 有一个正根0x x =,证明: 方程()0112110=++-+---n n n a xn a nxa 必有一个小于0x 的正根.证:设函数()x a x a x a x F n n n 1110--+++= ,()00=F ,则可知()x F 在区间[]0,0x 满足罗尔定理,可知()x F 在区间[]0,0x 满足罗尔定理,则有()0='ξF ()00x ,∈ξ,即()0112110=++-+---n n n a n a n a ξξ,()00x ,∈ξ,方程()0112110=++-+---n n n a xn a nxa 必有一个小于0x 的正根.8.设函数()x f 在[]b a ,上连续,在()b a ,内可导,并且有()()b f a f =0=.试证:至少存在一点()b a ,∈ξ,使得()()0=-'ξξf f .证:设函数()()x e x f x F -=, ()()0==b F a F ,可知()x F 在区间[]b a ,满足罗尔定理,则有()0='ξF ()b a ,∈ξ,即()()[]0=-'-ξξξe f f ,可得,至少存在一点()b a ,∈ξ,使得()()0=-'ξξf f . 9.求下列极限:()1 ()xx x +→1ln lim0; ()2 xee xx x sin lim-→-;()3 31cos limxxx x +-→; ()4 xba xxx -→0lim()0,>b a ;()5xarc x x cot 11ln lim⎪⎭⎫ ⎝⎛++∞→; ()6 212lim x x e x →;()7 ⎪⎭⎫⎝⎛--→x x xx ln 11lim 1; ()8 ()xx x sin 0tan lim +→; ()9xx x x x sin sin lim+-∞→; ()10 xxx x x ee e e --+∞→+-lim;()11 xx x a ⎪⎭⎫ ⎝⎛+∞→1lim ; ()12 xx x tan 01lim ⎪⎭⎫⎝⎛+→.解:()1 ()xx x +→1ln lim=1111lim 0=+→x x ;()2 xee xxx sin lim-→-= 2cos lim=+-→xee xx x ;()3 301cos limxxx x +-→=23121sin limxxx x +--→∞=;()4 xba xx x -→0lim=ba bb aa xxx ln1ln ln lim=-→;()5xarc x x cot 11ln lim⎪⎭⎫ ⎝⎛++∞→=1111111lim 22=+-⎪⎭⎫ ⎝⎛-++∞→xx xx ; ()6 212limx x e x → ==→211lim2xe x x ∞=-⎪⎭⎫ ⎝⎛-→33101212lim 2xx e x x ; ()7 ⎪⎭⎫⎝⎛--→x x xx ln 11lim 1=()x x x x x x ln 11ln lim1-+-→=xx x x 1-1ln ln lim 1+→ =∞=-→211x 11limxx x ;()8()xx x sin 0tan lim +→=()xx x esin tan ln 0lim +→=xx x e tan ln sin lim 0+→=xxx e sin 1tan ln lim+→=xxx e 1tan ln lim+→=221sec tan 1limxxxx e -+→=10=e ;()9xx x x x sin sin lim+-∞→=1sin 1sin 1lim=+-∞→xx xx x ;()10 xxx x x ee e e --+∞→+-lim= 111lim22=+---+∞→xx x ee ;()11 xx x a ⎪⎭⎫⎝⎛+∞→1lim =xx a x e⎪⎭⎫ ⎝⎛+∞→1ln lim =⎪⎭⎫ ⎝⎛+∞→x a x x e1ln lim =xx a x e11ln lim⎪⎭⎫ ⎝⎛+∞→=22111limxx a xa x e-⎪⎭⎫⎝⎛-+∞→=a e ;()12 xx x tan 01lim⎪⎭⎫ ⎝⎛+→= xx x etan 1ln 0lim ⎪⎭⎫ ⎝⎛→+=xxx e tan 11ln lim+→=xxx e11lnlim+→=101lim22==--+→e exx x x .10.确定下列函数单调区间:()1 29323+--=x x x y ; ()4 xe x y-=.解:()1 29323+--=x x x y ,令09632=--='x x y , 得 3,121=-=x x ,列表讨论](1,-∞-和[)+∞,3为函数()x f 的单调增加区间,[]3,1-为函数()x f 的单调减少区间;()4 x e x y-=,令01=-='xe y ,得0=x ,当0<x 时,0>'y ;当0>x 时,0<'y ,因此(]0,∞-为单调增加区间,[)+∞,0单调减少区间.11.证明下列不等式:()1 当0>x时,x x +>+121解:设函数()=x f x x +-+121,()xx f +-='12121,当0>x 时,函数单调增加,有()()00=>f x f ,即x x +>+121.13.求下列函数的最值:()1 []4,1,3223-∈-=x x x y解:令x x y 662-='=0,得1,021==x x ,()()()()804,11,00,51=-==-=-f f f f ,函数的最大值为()804=f ,函数最小值为()51-=-f .18.设某厂生产某种产品x 个单位时,其销售收入()x x R 3=,成本函数为()1412+=x x C .求使总利润达到最大的产量x .解:总利润为()14132--=x x x L ,()223x xx L -=',得驻点39=x ,当39=x 时,总利润最大.20.当a 、b 为何值时,点()3,1为曲线23bx ax y +=的拐点? 解:()31=f ,即3=+b a ,()0261=+=''b a f ,得29,23=-=b a .(B )2.已知函数()x f 在[]10,上连续,在()10,内可导,且()()11,00==f f ,()x f 是x 的非线性函数.试证:在()10,内至少存在一点ξ,使得()1>'ξf . 证:()x f 是x 的非线性函数,则至少有一点()1,00∈x ,使得()00x x f ≠,不妨设()00x x f >,则在()0,0x 满足拉格朗日中值定理,即 ()()()ξf x f x f '=--00001>,其中()0,0x ∈ξ()1,0⊂.5.设函数()x f 在闭区间[]A ,0上连续,且()00=f .如果()x f '存在且为增函数()()A x ,0∈.试证:函数()()x f xx F 1=也是增函数.证:()()()x f xx f x x F 211-'=',当0>x , ()x f 在区间()x ,0满足拉格朗日中值定理,则有()()()x f xx f ,0,∈'=ξξ,()()()011>'-'='ξf xx f x x F ,函数()()x f xx F 1=是增函数.9.设()x f 在0=x 处二阶可导,且二阶导数连续,已知 ()31201lim e x x f x x x x =⎪⎭⎫ ⎝⎛+++→,求()()()0,0,0f f f '''及 ()x x x x f 101lim ⎪⎭⎫ ⎝⎛+→. 解:()()⎪⎭⎫⎝⎛++→→=⎪⎭⎫ ⎝⎛+++201lim 1201lim x x f x x x x ex x f x x 3e =,则()2lim2=→xx f x ,()22lim='→xx f x ,()22lim=''→x f x ,则()()()10,00,00=''='=f f f ,()x x x x f 101lim ⎪⎭⎫ ⎝⎛+→=()2lim 20e e x x f x =⎪⎭⎫⎝⎛→.(四)模拟试题一、填空题(本题共5小题,每题6分,共30分)1.函数()x x f sin =在区间()π,0满足罗尔定理的点为 . 2.极限2cos 1limxxx -→为 .3.函数()x x x f -=32的单调减少区间为 . 4.曲线223+-=x x y 的拐点为 .5.曲线x e y 1=的渐近线为 .二、计算题(本题共4小题,每题10分,共40分)1.求极限()x x x 31ln sin lim+→.2.求函数x x y ln -=的单调区间.3.求函数()232+-=x x x f 在区间[]4,0上的最值. 4.求函数x x y arctan =的凸凹性.三、证明题(本题共3小题,每题10分,共30分)1.设0>>a b ,证明:bb a ba ab a -<<-ln.2.证明:当20π<<x 时,x x x 2tan sin >+.3.证明:曲线112+-=x x y 有三个拐点位于同一条直线上.模拟试题参考答案一、填空题1.2π2.21 3.⎥⎦⎤⎢⎣⎡-66,66 4.()2,0 5.0=x 及1=y 二、计算题1.31 2.(]1,0单调减少区间,[)+∞,1单调增加区间 3.最小值为0,最大值为6 4.下凸三、证明题 略.。
微积分刘迎东编第四章习题4.6答案4.6 有理函数的积分 习题4.6求下列不定积分:(1)33x dx x +⎰ 解:()()()33223227939272727ln 33239327327ln 3.32x t t dxx t t t dt t t C x t x x x x C ⎛⎫+=-+-=-+-+ ⎪+⎝⎭++=-++-++⎰⎰(2)223310x dx x x ++-⎰解:()2222231310ln 310.310310x dx d x x x x C x x x x +=+-=+-++-+-⎰⎰(3)2125x dx x x +-+⎰解:()()()()22222222511122412252252251211ln 25arctan .22d x x d x x x dx dx x x x x x x x x x x C -+-+-+==+-+-+-+-+-=-+++⎰⎰⎰⎰(4)()21dxx x +⎰解:()()()()22222222211111ln .2212111d x dx x d x C xx x x x x x ⎛⎫==-=+ ⎪++++⎝⎭⎰⎰⎰ (5)331dx x +⎰ 解:()()322222223121213ln 1111211131ln 1212121ln 1ln 1.2x x dx dx x dx x x x x x x d x x x dx x x x x x x C ---⎛⎫=+=+- ⎪++-+-+⎝⎭-+=+-+-+⎛⎫-+ ⎪⎝⎭⎝⎭=+--+++⎰⎰⎰⎰⎰(6)()()22111x dx x x ++-⎰解:()()()222211111122ln 1.1121111x dx dx x C x x x x x x ⎛⎫⎪+=+-=-++ ⎪-+++-+ ⎪⎝⎭⎰⎰ (7)()()()123xdxx x x +++⎰解:()()()13222123123132ln 2ln 1ln 3.22xdx dx x x x x x x x x x C ⎛⎫-- ⎪=++ ⎪++++++ ⎪⎝⎭=+-+-++⎰⎰ (8)5438x x dx x x+--⎰解:()()5422332328811184332118ln 4ln 13ln 1.32x x x x dx x x dxx x x x x x x x dx x x x x x x x x x C ⎛⎫+-+-=+++ ⎪ ⎪-+-⎝⎭⎛⎫=+++-- ⎪+-⎝⎭=+++-+--+⎰⎰⎰(9)()()221dxx x x ++⎰解:()()()2222211112221111122111ln ln 1ln ln 1ln 1arctan .241242x dx dxx x x x x x x x x dx x x x x C x ⎛⎫--- ⎪=++ ⎪++++ ⎪⎝⎭+=-+-=-+-+-++⎰⎰⎰ (10)411dx x -⎰ 解:()()422221111121111111ln arctan .412dx dx dx x x x x x x x C x ⎛⎫==- ⎪--++-⎝⎭-=-++⎰⎰⎰(11)()()2211dxx x x +++⎰ 解:()()()()()22222222221111111211ln 122121211ln 1ln 1.22dx xx dx x x x x x x x dxx dx x x x x x x C -+⎛⎫=+ ⎪++++++⎝⎭+=-+++++⎛⎫++ ⎪⎝⎭⎝⎭=-+++++⎰⎰⎰⎰ (12)()()22211x dx x++⎰解:()()()()()2222222222211211arctan .11111d x x x x dx dx dx x C x x x x x ++++==+=-++++++⎰⎰⎰⎰ (13)()22221x dx xx --++⎰解:()()()()()()()222222222222222222221112131211111322111221132121x x x x dx x dx dx dxx x x x x x x x d x x dxdxx x x x x dx x x x x --++-++-=-=-+++++++++++=-+-⎛++++⎛⎫++ ⎪⎝⎭⎝⎭=-++++⎰⎰⎰⎰⎰⎰⎰⎰而()()()()222222222222222222211122221112132112111312112121dx x x xdxx x x x x x x x x x dx x x x x x dx x dxx x x x x x x dx dx x x x x x x x x +=+++++++++--=+++++++=+-++++++=++-++++++++⎰⎰⎰⎰⎰⎰⎰所以()()()222222213131121.31dxdx x x x x x xx x C x x +=++++++++=++++⎰⎰于是()()2222211.1x dxxx x C x x --+++=-+++⎰(14)23sin dxx+⎰解:22222sec tan .3sin 3sec tan 34tan dx xdx d x C x x x x ===++++⎰⎰⎰(15)3cos dxx+⎰解:令tan 2xt =,则22212cos ,11t x dx dt t t -==++,2tan .3cos 2x dx dt C C x t ⎛⎫ ⎪==+=+++⎝⎭⎰⎰(16)2sin dxx +⎰解:令tan 2x t =,则2222sin ,11t x dx dt t t==++,22tan 1.2sin 1x dx dt C C x t t ⎛⎫+ ⎪===++++⎰⎰ (17)1sin cos dxx x++⎰解:令tan 2xt =,则2222212sin ,cos ,111t t x x dx dt t t t -===+++, ln 1ln 1tan .1sin cos 12dx dt xt C C x x t ==++=+++++⎰⎰ (18)2sin cos 5dxx x -+⎰解:令tan 2xt =,则2222212sin ,cos ,111t t x x dx dt t t t -===+++,23tan 1.2sin cos 5322x dx dt C C x x t t ⎛⎫+ ⎪==+=+-+++⎰⎰(19) 解:((2213263ln 231613ln 1.2t t dt t t C t C ⎛⎫-+=-++ ⎪⎝⎭+=-++⎰(20)31-解:)))))3324324321246586104ln 23181611014ln1.23t t t dt t t t t t t C C -⎛⎫-+-+ ⎪⎝⎭=-+-++=-+-++⎰(21)解:)))222364ln 1614ln1.t dt t t t Ct C ⎛⎫-+=-++ ⎪⎝⎭=-++⎰(22) 解:()()((22242184ln 11214ln 1.t dt t t t C t C =+-++++=-++(23)解:()()2222211211111ln2arctan .1t dt dt t t t t t t C C t ⎛⎫=+ ⎪-++-⎝⎭-=++=++⎰⎰(24)解:3322.tdt CC=-=-+=⎰(25)()()224445dxx x x x-+-+⎰解:()()()222211444544451arctan2.2dxdxx x x xx x x xx Cx⎛⎫=-⎪-+-+-+-+⎝⎭=--+-⎰⎰(26)2425454x xdxx x++++⎰解:()() 222 4222551545533ln1arctan ln4.541466xxx xdx dx x x x C x x x x⎛⎫+⎪++=-=++-++⎪++++⎪⎪⎝⎭⎰⎰(27)51xdxx+⎰解:()()()()()543254321151010511511015151ln1.543xdxx t t t t t dtx tx x xx x x C⎛⎫+=-+-+-⎪+⎝⎭+++=-+-+++-++⎰⎰(28)223dxx-⎰解:2.23dxCx=+-⎰(29)()()2223dxx x-+⎰解:()()222211152323.dxdxx xx xC⎛⎫=-⎪-+-+⎝⎭=-+⎰⎰(30)3422x dxx x-+⎰解:()()232422422ln212224ln2.4t tx dx tdtx t C x x t tx xC-+==-+-+-+=+⎰⎰(31)()()2222dxx x x+++⎰解:()()()()2222112222222ln212222422ln211ln22arctan1242dx xdxx x xx x xx xdx Cx xxx x x C⎛⎫=-⎪++++++⎝⎭++-=-++++=-+++++⎰⎰⎰(32)()()22xdxx a x b++⎰解:()()()()2222222222222222222ln ln arctan .2a ax b xdx a b a b a b dx x a x b x a x b a a b x x a x b C a b a b b a b ⎛⎫-+ ⎪+++=+ ⎪++++ ⎪⎪⎝⎭=-++++++++⎰⎰ (33)5641x dx x x ++⎰ 解:()25642423ln 1111111arctan .123x x x dx dx x C x x x x x x x +++⎛⎫=+-=+-++ ⎪++⎝⎭⎰⎰ (34)()31221n nx dx x-+⎰解:()()()3122222221arctan 1111n nn x t dt t dtdxx t n n n x t t -==-+++⎰⎰⎰ 而()()222222221122arctan 211111t t t dt dt t dt t t t t t =+=+-+++++⎰⎰⎰ 所以()2221arctan 2121dtt tC t t =++++⎰于是()()312222arctan 1arctan .221211n n nn n x t t x dx C x C n n x n t x -⎛⎫=-+=-+ ⎪++⎝⎭+⎰ (35)()()22111x dx x x ++-⎰解:()()()222211ln 111122.1121111x x dx dx C x x x x x x ⎛⎫- ⎪+=+-=++ ⎪+-++-+ ⎪⎝⎭⎰⎰ (36)332156x dx x x x+-+⎰ 解:32323212891561632565623ln 928ln 2ln 3.623x x x dx x dx x dxx x x x x x x x x x x x x C ⎛⎫ ⎪+-+=+=+-+ ⎪-+-+-- ⎪ ⎪⎝⎭=+--+-+⎰⎰⎰ (37)31xdx x -⎰ 解:()3221111311ln 1ln 1.36x x dx dx x x x x x x x C -⎛⎫=+⎪--++⎝⎭++-=-⎰⎰(38)31dxx +⎰ 解:()23212ln 1ln 1333.11136x x x x dx dx C x x x x ⎛⎫-+-+ ⎪+=+=-+ ⎪++-+ ⎪ ⎪⎝⎭⎰⎰ (39)()()()2123dxx x x +++⎰解:()()()()2211122131232111ln .232dx dx x x x x x x x C x x ⎛⎫ ⎪=-- ⎪++++++ ⎪⎝⎭+=++++⎰⎰ (40)()()212xdxx x ++⎰解:()()()222212ln 12ln 2arctan 555.1255512x x x xdx x dx C x x x x ⎛⎫++ ⎪+=-=+-+ ⎪++++ ⎪ ⎪⎝⎭⎰⎰(41)cos cos 23x xdx ⎰解:1535cos cos cos cos sin 3sin .23266566x x x x x xdx dx C ⎛⎫=+=++ ⎪⎝⎭⎰⎰(42)sin 2cos 364x x dx ππ⎛⎫⎛⎫-+ ⎪ ⎪⎝⎭⎝⎭⎰解:15sin 2cos 3sin 5sin 64212125cos cos 51212.210x x dx x x dx x x C ππππππ⎛⎫⎛⎫⎛⎫⎛⎫⎛⎫-+=+-+ ⎪ ⎪ ⎪ ⎪ ⎪⎝⎭⎝⎭⎝⎭⎝⎭⎝⎭⎛⎫⎛⎫++ ⎪ ⎪⎝⎭⎝⎭=-+⎰⎰ (43)cos cos 2cos3x x xdx ⎰ 解:()1cos cos 2cos31cos 2cos 4cos 64sin 2sin 4sin 6.481624x x xdx x x x dx x x x x C =+++=++++⎰⎰(44)4cos xdx ⎰ 解:43322324coscos sin sin cos 3sin cos sin cos 3cos 3cos xdx xd x x x x xdxx x xdx xdx==+=+-⎰⎰⎰⎰⎰所以334sin cos 31cos 2sin cos 33sin 2cos .4424816x x x x x x xxdx dx C +=+=+++⎰⎰ (45)5cos xdx ⎰ 解:()()2522435cos1sin sin 12sin sin sin 2sin sin sin .35xdx x d x x x d xx xx C =-=-+=-++⎰⎰⎰(46)25sin cos x xdx ⎰解:()()22522246357sin cos sin 1sin sin sin 2sin sin sin sin 2sin sin .357x xdx x x d x x x x d x x x x C =-=-+=-++⎰⎰⎰(47)23sec sin x xdx ⎰解:2232cos 1sec sin cos cos sec .cos x x xdx d x x x C x-==++⎰⎰(48)24sin cos x xdx ⎰ 解:()()()242231sin cos sin 21cos 28111cos 4sin 2sin 21616sin 4sin 2.166448x xdx x x dx x dx xd x x x x C =+=-+=-++⎰⎰⎰⎰ (49)sin cos dxx x+⎰解:tan .sin cos 28sin 4dx dx x C x x x ππ⎛⎫==++ ⎪+⎛⎫⎝⎭+ ⎪⎝⎭⎰(50)解:.C ⎛⎫==+⎰ (51)44sin cos sin cos x xdx x x+⎰解:()()24424sin sin cos 11arctan cos 2.sin cos 212sin 2sin 2d x x x dx x C x x x x ==-++-+⎰⎰ (52)3sec xdx ⎰ 解:323sec sec tan sec tan sec tan sec tan sec sec xdx xd x x x x xdx x x xdx x==-=-+⎰⎰⎰⎰⎰所以3ln sec tan sec tan sec .22x xx x xdx C +=++⎰ (53)3csc xdx ⎰ 解:33csc sec 2ln sec tan sec tan 222222ln csc cot csc cot .22xdx x dx x x x x C x x x x C πππππ⎛⎫=-+ ⎪⎝⎭⎛⎫⎛⎫⎛⎫⎛⎫+++++ ⎪ ⎪⎪ ⎪⎝⎭⎝⎭⎝⎭⎝⎭=--++=--+⎰⎰(54)3cos sin 2x xdx ⎰解:5342cos cos sin 22cos cos .5xx xdx xd x C =-=-+⎰⎰ (55)()11cos dxxεε<+⎰解:令tan ,2xt =则22212cos ,,11t x dx dt t t -==++所以 ()()22.1cos 112dx x dt C x t εεε⎛⎫==+⎪⎪+-++⎭⎰⎰ (56)sin cos sin cos x xdx x x+⎰解:cos 2sin cos sin 24sin cos sin sin 442sin csc 44csc cot .444x x x x dx dx dx x x x x x x dx x x x C ππππππππ⎛⎫+ ⎪⎝⎭==+⎛⎫⎛⎫++⎪ ⎪⎝⎭⎝⎭⎛⎫⎛⎫⎛⎫=+-+ ⎪ ⎪ ⎪⎝⎭⎝⎭⎝⎭⎛⎫⎛⎫⎛⎫=++-++ ⎪ ⎪ ⎪⎝⎭⎝⎭⎝⎭⎰⎰(57)4cos dxx⎰解:()324tan 1tan tan tan .cos 3dx x x d x x C x =+=++⎰⎰ (58)44cos 2sin cos xdx x x+⎰解:442cos 2sin 2.sin cos 2sin 2x d x dx C x x x ==++-⎰⎰ (59)2shxsh xdx ⎰ 解:()1323.262sh x shx shxsh xdx ch x chx dx C =-=-+⎰⎰ (60)3chxch xdx ⎰ 解:()142342.284sh x sh xchxch xdx ch x ch x dx C =+=++⎰⎰ (61)解:arcsin .x C == (62) 解:()58643222754322161116632363ln 16arctan .752t t t dt t t t t t dt t t t t t t t t t t C --⎛⎫=-++--++ ⎪++⎝⎭=-++--+++-+⎰⎰(63)解:(22x x dx ==-⎰而2==-所以11ln.22x C =-=-+于是21ln.222xx C=-++(64)解:()6126ln6ln1212.dt t t Ct tC⎛⎫-=-++⎪+⎝⎭=(65)解:.C=(66)解:1111ln.22xx C⎛⎫-+⎪=⎛=-+⎝(67)解:()()()()232117151113116110811834127211175111316ln 1ln 1ln 2.10818164271x dt t t t t t t t t C t t +=⎛⎫-++-- ⎪ ⎪+--++⎝⎭=-+--+---+++⎰(68)⎰ 解:(()()23221222212221223x x x x x =-+=-++=-++⎰⎰⎰ 而2212==+=-=所以(11ln +C.22=于是()(32211122ln +C.322x x =-++⎰(69)解:11sin cossin4csc cot.44dt dtt ttt t C Cπππ=+⎛⎫+⎪⎝⎭⎛⎫⎛⎫=+-++=⎪ ⎪⎝⎭⎝⎭⎰(70)解:()cos1cosarcsin211tan.2222tdttxt tC C=+-=-+=+(71)()1/21/31xdxx+⎰解:()()()()32225210864211975313126163060603066106012106.1137t t tdttt dt t t t t t dtt t tt t t C--=-=-+-+-=-+-+-+⎰⎰。