延边朝鲜族自治州2017年分县(市)农作物单位面积产量统计
- 格式:xls
- 大小:43.50 KB
- 文档页数:1
延边广播电视台(延边卫视中心)2019年部门预算二〇一九年一月二十八日目录第一部分部门概况一、主要职能二、机构设置第二部分2019年部门预算表一般公共预算(一)财政拨款收支总表(二)一般公共预算支出表(三)一般公共预算基本支出表(四)一般公共预算“三公”经费支出表(五)部门收支预算总表(六)部门收入总表(七)部门支出总表(八)政府性基金预算支出情况(九)国有资本经营收支预算表第三部分情况说明一、2019年收支预算总体情况二、2019年收入预算情况三、2019年支出预算情况四、2019年财政拨款收支预算情况五、2019年一般公共预算拨款情况六、2019年一般公共预算基本支出情况七、2019年一般公共预算“三公”经费拨款情况八、2019年政府性基金预算支出情况九、其他重要事项的情况说明(一)机关运行经费(二)政府采购情况(三)国有资产占用使用情况(四)预算绩效情况说明第四部分名词解释第二部分2019年部门预算表(见附件)第一部分部门楖况一、主要职责贯彻执行党的新闻宣传、广播影视文化工作的路线方针政策,坚持正确舆论导向,开展积极的舆论监督;围绕党委、政府的中心工作开展新闻宣传;依法依规制作、播出广播电视节目、传播新闻信息、提供生活资讯和积极健康的娱乐节目,满足人民群众的精神文化需求;根据党委、政府关于经济社会发展斩落规划,拟订并组织实施本台广播电视事业和产业发展规划,促进广播电视事业和产业发展;依法开展运营活动;完成党委、政府交办的其他工作。
延边广播电视台(延边卫视中心),为州政府直属事业单位,由州委宣传部负责业务指导,由延边州文化广电和旅游局行使行业管理职能。
二、机构设置及部门决算单位构成根据上诉职责,延边广播电视台设24个内设机构,分别为总编办、党群工作部、人力资源部、计划财务部、安全保卫部、播音中心、节目监管中心、节目引进中心、广告管理中心、技术中心(微波总站)、策划中心、新闻中心、广播朝鲜语综合频率、广播朝鲜语文艺生活频率、广播汉语综合频率、广播交通文艺频率、广播旅游生活频率、电视综合频道(卫视频道)、电视公共频道、广播电视网络信息中心(延边信息港)、中国(延边)朝鲜语新媒体中心、广播电视文化产业发展中心、老干部服务管理中心、事物管理中心。
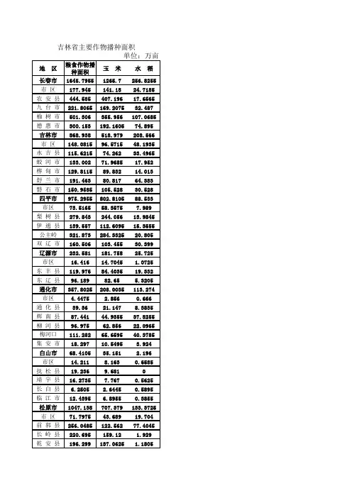
吉林省主要作物播种面积单位:万亩地 区粮食作物播种面积 玉 米水 稻 长春市1645.79551265.7256.8255市 区177.945141.1824.7185农 安 县444.585407.19617.6565九 台 市221.8065169.207532.487榆 树 市501.306355.956107.0685德 惠 市300.153192.160574.895吉林市868.938518.979208.566市 区148.081596.571548.1935永 吉 县115.621574.26233.4965蛟 河 市133.00271.968517.952桦 甸 市129.811589.83214.013舒 兰 市191.46380.81764.383磐 石 市150.9585105.52830.528四平市975.2955802.810588.533市区73.516558.35757.989梨 树 县279.843244.05613.9845伊 通 县139.557112.609515.3555公主岭321.873284.332520.805双 辽 市160.506103.45530.399辽源市232.581181.75825.725市区16.41614.7045 1.0725东 丰 县119.97684.403519.332东 辽 县96.18982.65 5.3205通化市357.8025208.0035113.274市区 4.4475 2.8560.666通 化 县39.3621.1478.3835辉 南 县87.44144.935537.8255柳 河 县96.97562.85622.0965梅河口111.28265.659540.3785集 安 市18.29710.5495 3.924白山市68.410535.151 2.196市区14.2118.1630.6585抚 松 县19.2369.6810靖 宇 县16.27357.7670.5625长 白 县 6.2505 2.64450.5895临 江 市12.4395 6.89550.3855松原市1047.138707.379133.3725市 区71.797543.68919.704前 郭 县256.0485122.56277.4045长 岭 县220.695159.12 1.929乾 安 县196.299137.0625 1.1805扶 余 县302.298244.945533.1545白城市683.961348.594122.718市 区127.951559.59546.563镇 赉 县151.44360.637557.1665通 榆 县143.55960.5550洮 南 市156.733595.3410.713大 安 市104.27472.46658.2755延边州385.215107.52958.9845延 吉 市21.490510.8075 5.5275图 们 市11.403 5.0655 1.806敦 化 市156.532536.1215 6.2865珲 春 市38.11510.141513.3545龙 井 市37.666516.01558.049和 龙 市34.13558.461511.8485汪 清 县47.224510.50157.485安 图 县38.647510.4145 4.6275。
延边朝鲜族自治州土地利用总体规划(2006~2020年)延边朝鲜族自治州人民政府二OO九年十二月目录前言 (1)第一章总则 (3)一、规划依据 (3)二、规划指导思想 (4)三、规划原则 (4)四、规划任务 (5)五、规划期限 (7)六、规划范围 (7)第二章土地利用面临的形势 (8)一、土地利用现状 (8)二、现行规划实施的主要成效 (8)三、面临的机遇与挑战 (10)第三章土地利用战略与规划目标 (13)一、土地利用功能定位 (13)二、土地利用战略重点 (14)三、规划目标 (15)第四章农用地保护和合理利用 (18)一、严格控制耕地减少 (18)二、加大基本农田建设与保护力度 (19)三、确保补充耕地的数量稳定与质量提高 (20)四、统筹安排其他农用地 (22)第五章节约集约利用建设用地 (24)一、严格控制建设用地规模 (24)二、优化配置城镇工矿用地 (25)三、整合规范农村建设用地 (27)四、保障必要基础设施建设用地 (29)五、加强建设用地空间管制 (30)第六章协调土地利用与生态环境建设 (32)一、构建安全的土地生态环境基础 (32)二、土地利用敏感性评价 (33)三、建立环境友好型土地利用模式 (34)第七章土地利用分区及管制要求 (37)一、城镇及产业优化建设区 (37)二、基本农田集中区 (38)三、生态保育区 (39)四、长白山自然保护区 (41)第八章中心城市土地利用 (43)一、中心城区土地利用空间布局 (43)二、中心城区建设用地规模 (43)三、中心城市建设用地扩展边界 (44)第九章县(市)土地利用调控 (45)一、县(市)土地利用调控指标 (45)二、县(市)级土地利用总体规划的主要任务 (46)三、县(市)级土地利用总体规划的重点内容 (46)第十章土地利用重大工程 (47)一、基本农田保护工程 (47)二、土地整理复垦开发重点工程 (47)三、生态环境保护工程 (48)四、重大基础设施用地保障工程 (49)五、新农村建设用地保障工程 (50)六、规划管理信息系统建设工程 (51)第十一章规划实施保障措施 (52)一、强化规划实施的法规手段 (52)二、完善规划实施的经济手段 (52)三、健全规划实施的行政手段 (52)四、扩大规划实施的社会手段 (53)五、丰富规划实施的技术手段 (53)第十二章附则 (54)附表 ..................................................................................... 错误!未定义书签。
延边朝鲜族自治州2016年国民经济和社会发展统计公报延边朝鲜族自治州统计局2017年3月1日2016年,面对复杂多变的国际环境和国内繁重艰巨的发展任务,全州上下在州委、州政府的坚强领导下,全面贯彻党的十八大和十八届三中、四中、五中、六中全会精神,统筹推进“五位一体”总体布局和协调推进“四个全面”战略布局,推进供给侧结构性改革为主线,保持定力,砥砺奋进,攻坚克难,全州经济社会保持平稳健康发展,人民生活和谐稳定,实现“十三五”良好开局,向全面建成小康社会迈出坚实步伐。
一、综合初步核算,全州实现生产总值915.1亿元,按可比价格计算,比上年增长7.6%。
分行业看,第一产业完成69.2亿元,增长2.3%;第二产业完成445.7亿元,增长6.4%,其中工业完成407.6亿元,增长6.8%;第三产业完成400.2亿元,增长10.1%。
三次产业结构调整为7.6:48.7:43.7,第三产业比重比上年提高2.0个百分点。
按户籍人口计算,全州人均生产总值达到43003元,比上年增长8.2%。
图一:2011-2016年地区生产总值和增速2004006008001000120014002011年2012年2013年2014年2015年2016年亿元-16.0-11.0-6.0-1.04.09.014.0%年末户籍总人口为212.0万人。
其中,城镇人口146.6万人,占总人口的69.2%。
人口出生率为8.36‰,死亡率为6.87‰,自然增长率为1.49‰。
年末总人口中,朝鲜族人口75.9万人,占总人口的35.8%。
图二:2016年人口构成(万人)8.4, 4.0%汉族朝鲜族其他全年居民消费价格总水平比上年上涨2.4%,涨幅比上年提高0.8个百分点,继续保持在可控上涨区间内运行。
八大类消费品和服务价格呈现“七涨一跌”格局。
其中,医疗保健类价格上涨4.9%,涨幅居首;食品烟酒类上涨4.8%,其他用品和服务类上涨3.3%,衣着类上涨1.2%,教育文化和娱乐类上涨1.2%,交通和通信类上涨0.9%,居住类上涨0.8%;生活用品及服务类价格则下降0.5%。
吉林省延边朝鲜族自治州经济情况分析XX学院软件工程09XXX OOO延边朝鲜族自治州概况延边朝鲜族自治州(以下简称延边)成立于1952年9月3日,位于吉林省东部,幅员万平方公里,约占吉林省总面积的四分之一。
总人口万人,其中,朝鲜族人口80多万,占总人口的%,是全国唯一的朝鲜族自治州和最大的朝鲜族聚居地。
全州下辖延吉、图们、敦化、珲春、龙井、和龙6市和汪清、安图2县,首府为延吉市。
延边疆近海,区位独特。
延边地处中俄朝三国交界,东与俄罗斯滨海边疆区接壤,南隔图们江与朝鲜咸镜北道、两江道相望,边境线总长公里。
其中,中朝边境线公里,中俄边境线246公里。
延边濒临日本海,图们江是我国通向日本海的唯一水上通道。
延边最东端的珲春防川,仅距日本海15公里。
以珲春为核心,在直线距离不到200公里的周边,分布着俄、朝等国10个优良港口。
延边有12个对外开放口岸,年过货能力610万吨,过客能力290万人次。
经过多年的建设,延边已初步形成了公路、铁路、航空、海运相互衔接、沟通内外的立体交通网络。
长珲高速公路、长图铁路、东北东部铁路通道等重要交通干线横贯东西,连通南北。
州内8县市均有高等级公路相连,与俄、朝两国实现铁路、公路对接,域内连接省会城市的吉珲铁路客运专线已经开工建设,开通了长春经珲春至符拉迪沃斯托克客运班线。
海运方面,开通了珲春经朝鲜罗津至韩国釜山的运输航线、珲春—俄罗斯扎鲁比诺—日本新潟—韩国束草四国联运航线成功试航、珲春经朝鲜罗津至我国东南沿海的内贸货物跨境运输通道获批。
航空方面,延吉机场开通了至北京、上海、广州等多条国内航线和飞往韩国首尔、清州的国际航线,成功对接经韩国首尔至日本的空中航线,中俄两国民航部门已批准延吉至符拉迪沃斯托克的空中航线。
物产丰饶,资源富集。
延边坐落在闻名世界的长白山北麓,境内有野生动物367种,野生植物2460多种,其中药用植物800多种,盛产被誉为“东北三宝”的人参、鹿茸、貂皮。
1 / 1 国家统计局关于2017年粮食产量的公告
【法规类别】统计综合规定粮食管理
【发布部门】国家统计局
【发布日期】2017.12.08
【实施日期】2017.12.08
【时效性】现行有效
【效力级别】XE0303
国家统计局关于2017年粮食产量的公告
根据国家统计局对全国31个省(区、市)抽样调查和农业生产经营单位的全面统计,2017年全国粮食播种面积、单位面积产量、粮食总产量如下:
一、全国粮食播种面积112220千公顷(168329万亩),比2016年减少815千公顷(1222万亩),下降0.7%。
其中谷物[1]播种面积92930千公顷(139395万亩),比2016年减少1464千公顷(2196万亩),下降1.6%。
二、全国粮食单位面积产量5506公斤/公顷(367公斤/亩),比2016年增加54公斤/公顷(3.6公斤/亩),增长1.0%。
其中谷物单位面积产量6075公斤/公顷(405公斤/亩),比2016年增加85公斤/公顷(5.7公斤/亩),增长1.4%。
延边朝鲜族自治州农田土壤肥力综合评价杨亮;朱卫红;吴婷婷;金日;韩琳杉【摘要】以延边朝鲜族自治州(以下简称为延边州)为研究区,对该研究区8个县市农田土壤的6项指标(pH、全氮、有机质、碱性氮、有效磷、速效钾)进行测定,并建立综合指数评价法进行土壤肥力质量评价.结果表明:1)延边州农田土壤肥力指标含量数据空间分布不均,各县市指标含量差异较大;2)延边州各指标间表现出一定的相关性.同时,限制延边州土壤肥力质量的指标主要为总氮、pH和有效磷;3)延边州农田综合肥力等级为2级,延吉市IFI值(土壤肥力综合指数)最大,龙井市IFI值最小.本研究为延边州农田土壤肥力的提高和养分的均衡提供了一定的科学参考.%Along with the rise of food security and precision agriculture,soil fertility research has attracted more attention. In this study,by taking 8 counties of Yanbian Korean Autonomous Prefecture(Yanbian)as the research areas in 2013,six indicators was measured,including soil pH,total nitrogen(TN),organic matter(SOM),alkaline nitrogen(AN),availablephosphorus(AP),potassium(AK),soil quality evaluation with comprehensive index evaluation method in fuzzy mathematics. The results show as follows.1)The spatial distribution of Yanbian farmland soil fertility index data content is uneven,the difference of each city is significant;2)There appeared some correlation between all the indexes. At the same time,the major indexes that affect soil fertility of Yanbian are TN,AP and pH value;3)The level of IFI in Yanbian is 2,Yanji reached to the largest IFI value,and IFI value of Longjing is minimum. This study provides a scientificreference for the improvement of soil fertility and nutrient balance in Yanbian Korean Autonomous Prefecture.【期刊名称】《河南科学》【年(卷),期】2017(035)009【总页数】6页(P1439-1444)【关键词】土壤肥力;综合指数评价;延边朝鲜族自治州【作者】杨亮;朱卫红;吴婷婷;金日;韩琳杉【作者单位】长白山生物资源与功能分子教育部重点实验室(延边大学),吉林延吉133002;延边大学理学院地理系,吉林延吉 133002;长白山生物资源与功能分子教育部重点实验室(延边大学),吉林延吉 133002;延边大学理学院地理系,吉林延吉133002;延边大学理学院地理系,吉林延吉 133002;延边大学理学院地理系,吉林延吉 133002;延边大学理学院地理系,吉林延吉 133002【正文语种】中文【中图分类】S158.2土壤肥力作为土壤最本质的属性,较为全面地反映土壤各项特性,是土壤生产力的综合指标[1].随着人类活动不断加剧,农田土地利用强度不断提高、利用方式不断变化,土壤肥力也发生了较大改变[2].因此,准确掌握和正确评价土壤肥力是合理开发和保护土地自然资源的根本保障[3-6].近年来,对于土壤肥力的定量评价成了土壤研究领域范畴的热点问题[7-9].李静鹏等[10]利用典范对应分析和因子分析对广东康禾省级自然保护区不同植被恢复类型的土壤进行土壤肥力质量评价发现天然更新的常绿阔叶林有利于土壤养分的保持,而在植被演替初期没有使土壤结构发生显著地变化.孙波等[11]以模糊数学及数理统计建立我国东南丘陵山区土壤肥力综合评价方法,并找出影响该区域土壤肥力资源发挥的限制因子.目前,延边州农田土壤肥力综合评价研究报道较少,因此,本研究采用模糊数学中综合指数评价法对延边州农田土壤进行土壤肥力质量评价,为更好的开发利用延边州土壤资源等提供理论依据.延边州位于吉林省东部,经纬度范围在北纬41°59′47″~44°30′42″,东经127°27′43″~131°18′33″之间.该区域由延吉市、图们市、珲春市、敦化市、和龙市、龙井市、汪清县、安图县组成(图1),整体地势西高东低[12].主要土壤类型有白浆土、草甸土、暗棕壤、灰棕壤和水稻土等,土壤质地为粉砂土及粉砂质黏壤土[13-14].该地区属于中温带湿润季风气候,年均降水为400~650 mm,平均气温2~6℃,结冰期为十月中旬,化冻期为三月中旬.土壤样品来自延边州8个县市,采样时间为2013年8月.考虑到各县市农田面积及分布等实际情况,选取的样点数为延吉市52个、图们市46个、珲春市70个、敦化市74个、和龙市32个、龙井市57个、汪清县49个、安图县50个,共计430各样点.各样点按“五点采样法”采集农田表层土壤(0~20 cm)5份,挑除石块及植被根系等,将5份土样均匀混合装入样品袋中,记录土样编号和样方周边环境信息,地理坐标用精度为10 m的手持GPS确定.土壤肥力测定的指标主要包括:pH、全氮(TN)、有机质(SOM)、碱性氮(AN)、有效磷(AP)、速效钾(AK)等6项.pH采用电极法测定;有机质采用重铬酸钾容量法测定;全氮采用半微量凯氏法测定;碱解氮采用扩散法测定;有效磷采用碳酸氢钠—钼锑抗比色法测定;速效钾采用乙酸铵浸提-火焰光度计法测定,具体测定方法参照文献[15].2.2.1 土壤肥力评价方法土壤肥力采用模糊数学中综合指数评价法评价,该方法最初由曹承绵[16]提出,用于对黑土肥力的综合评价.本文采用该方法计算土壤肥力综合指数.式中:IFI为土壤肥力综合指数;Fi为第i个评价指标的隶属度;Ci为第i个评价指标的组合权重.IFI取值范围在0到1之间,数值越大,说明土壤肥力越好.延边州农田土壤肥力综合指数划分(表1)参照农业部关于国家耕地地力调查与质量评价技术规程和东北黑土土壤肥力[4].2.2.2 土壤单项指标隶属度的求取隶属度在模糊数学综合评价中用隶属度函数计算,各指标的隶属度值(Fi)可表示相应指标的状态值.隶属度函数分为两种类型:S型函数和抛物线型函数[17].S型函数:该函数适用于与因子呈正相关关系,但达到该因子某一临界值时便会趋于平衡.土壤有机质、全氮、碱解氮、有效磷和速效钾可用该函数表达:抛物线函数:该函数适用于具有最适范围的土壤因子,在该因子最适范围之外,土壤肥力便会不断降低,致使土壤退化.pH可用该函数表达:隶属函数曲线中各转折点的相应取值(表2),根据图们江流域稻田的土壤生产力状况[18]进行确定.2.2.3 土壤各项指标权重的求取权重的确定分为主观权重方法和客观赋权法.主观权重方法主要有层次分析法、特尔斐法等;客观赋权法主要有嫡值法、主因子分析法和相关系数法等.本文土壤肥力各因子权重采用相关系数法,其中各县市单因子权重均以延边朝鲜族自治州单因子权重为准.式中为该项指标在其余土壤指标之间相关系数的均值;为所有指标相关系数的总和. 所得数据利用SPSS 19.0和Excel 2007处理.如表3所示,与参考值相比,延边州农田土壤TN、AP、AK显著大于参考值(p<0.05),pH、SOM、AN与参考值差异不明显(p>0.05).根据Wilding对变异程度的分类[21],延边州农田土壤除pH外,其余指标均属于高等变异(变异系数>36%),这表明延边州农田土壤肥力指标含量数据空间分布离散性比较大,且分布不均匀,差异性大.如图2所示,延边州各县市农田土壤pH差距不大,其余指标差异较为明显.主要表现为:全氮含量上,敦化市最大,图们市最小;土壤有机质含量上,安图县最大,延吉市最少;土壤碱解氮含量上,延吉市最大,龙井市最小;土壤有效磷含量上,安图县最大,珲春市最小;土壤速效钾含量上,龙井市最大,图们市最小.如表4所示,延边州各指标间表现出正相关的为:pH-AK、TN-SOM-AN、AN-AP、AP-AK,其中,指标TN、SOM、AN表现出同源性;延边州各指标间表现出负相关的为:pH-TN、pH-SOM、pH-AP.因此,延边州各指标间表现出一定的相关性,适合做延边州农田土壤肥力权重的确定.由表5所示,延边州各指标权重大小依此为:TN(0.29)>SOM(0.25)>AN(0.22)>AP(0.14)>pH (0.09)=AK(0.09).从图3可见,总氮隶属度值最小,与理想值差距较大,且总氮含量普遍较低,潜在供氮能力较差.说明总氮对土壤肥力的作用分值较小,是影响延边州土壤肥力质量的限制性因子.研究区土壤总氮与有机质和氨态氮表现出同源性,因此,总氮的低含量进而会影响这两种养分的有效性.pH和有效磷的隶属度值在0.5左右,处在中间状态.6项指标组成的延边州隶属度六边形明显偏向左上方和右下方,表明影响延边州土壤肥力质量的指标是总氮、pH和有效磷.延边州农田综合肥力指数为0.72,处于等级2(图4).各县市土壤综合肥力指数差异较大,其中延吉市IFI值最大,龙井市IFI值最小.8个县市中农田土壤肥力处于等级2的有5个,分别为延吉市、和龙市、敦化市、安图县和汪清县;土壤肥力处于等级3的有2个,分别为图们市和珲春市;土壤肥力处于等级4的有1个,为龙井市.1)延边州农田土壤肥力指标TN、AP、AK含量大于参考值且所有指标含量数据空间分布不均;延边州各县市农田土壤肥力含量差异较大,表现出空间异质性.2)延边州各指标间表现出一定的相关性.同时,影响延边州土壤肥力质量的指标有总氮、pH和有效磷.3)延边州农田综合肥力等级为2级,延吉市IFI值最大,龙井市IFI值最小.因此,建议延边州各县市在今后对农田实施科学的施肥方案,重视化肥的配施,适当提高氮肥与磷肥的使用,碱化农田土壤,实现延边州农田土壤肥力的提高和养分的均衡.【相关文献】[1] GILLER K E,TITTONELL P,RUFINO M C,et municating complexity:Integrated assessment of trade-offs concerning soil fertility management within African farming systems to support innovation and development[J].Agricultural Systems,2011,104(2):191-203.[2]杨安洪.洪雅县土壤养分变化特征及其影响因素[J].四川农业与农机,2015(1):36-38. [3]张庆利,潘贤章,王洪杰,等.中等尺度上土壤肥力质量的空间分布研究及定量评价[J].土壤通报,2003,34(6):493-497.[4]马强,宇万太,赵少华,等.黑土农田土壤肥力质量综合评价[J].应用生态学报,2004,15(10):1916-1920.[5] ANDREWS S S,KARLEN D L,CAMBARDELLA C A.The soil managanent assesment framework.A quantitation soil quality evaluation method[J].Soil Science Society of America Journal,2004,68:1945-1962.[6] IDOWU O J,ES H M V,ABAWI G S,et al.Farmer-oriented assessment of soil quality using field,laboratory,and VNIR spectroscopy methods[J].Plant and Soil,2008,307(1):243-253.[7]闫慧峰,梁洪波,许家来,等.山东烟叶生产典型样区土壤质量评价[J].中国土壤与肥料,2015(6):41-47.[8] ANDREWS S S,KARLEN D L,MITCHELL J P.A comparison of soil quality indexing methods for vegetable production systems in northern California[J].Agriculture Ecosystems&Environment,2002,90(1):25-45.[9]廖桂堂,李廷轩,王永东,等.基于GIS和地统计学的低山茶园土壤肥力质量评价[J].生态学报,2007,27(5):1978-1986.[10]李静鹏,徐明锋,苏志尧,等.不同植被恢复类型的土壤肥力质量评价[J].生态学报,2014,34(9):2297-2307.[11]孙波,张桃林,赵其国.我国东南丘陵山区土壤肥力的综合评价[J].土壤学报,1995(4):362-369.[12]南颖,吉喆,冯恒栋,等.基于遥感和地理信息系统的图们江地区生态安全评价[J].生态学报,2013,33(15):4790-4798.[13]王初亮.延边不同类型土壤微生态环境及其对烟叶质量影响研究[D].郑州:河南农业大学,2011.[14]延边州统计局.延边统计年鉴[M].香港:中国国际图书出版社,2015.[15]鲍士旦.土壤农化分析[M].北京:中国农业出版社,2000:25-109.[16]曹承绵.关于土壤肥力数值化综合评价的探讨[J].土壤通报,1983(4):13-15.[17]吴玉红,田霄鸿,同延安,等.基于主成分分析的土壤肥力综合指数评价[J].生态学杂志,2010,29(1):173-180.[18]熊琪.图们江流域稻田生态环境安全评价研究[D].延吉:延边大学,2015.[19]焉莉,王寅,冯国忠,等.吉林省农田土壤肥力现状及变化特征[J].中国农业科学,2015,48(23):4800-4810.[20]杨学明,张晓平,方华军,等.20年来部分黑土耕层有机质和全氮含量的变化[J].地理科学,2004,24(6):710-714.[21] WILDING L P.Spatial variability:Its documentation,accommodation and implication to soil survey[R].Pudoc,Wageningen,Netherland:Soil Spatial Variability,1985:166-193.。
2017年延边朝鲜族自治州国民经济和社会发展统计公报一、综合初步核算,全州实现生产总值927.58亿元,比上年增长3.3%。
分产业看,第一产业增加值69.19亿元,增长2.9%;第二产业增加值424.90亿元,增长1.3%;第三产业增加值433.50亿元,增长5.5%。
按户籍人口计算,全州人均生产总值达到43943元,比上年增长4.2%。
三次产业增加值结构调整为7.5:45.8:46.7,第三产业比重比上年提高1.0个百分点,对经济增长的贡献率分别为7.6%、18.7%和73.7%。
年末全州户籍总人口为210.14万人,比上年末减少1.90万人。
其中城镇人口145.65万人,占总人口的69.31%。
人口出生率为7.89‰,死亡率为12.93‰,自然增长率为-0.5‰。
年末总人口中,汉族人口125.92万人,占总人口的59.92%;朝鲜族人口75.72万人,占比为36.04%。
全年居民消费价格比上年上涨2.3%,保持在可控上涨区间内运行。
八大类消费品和服务价格呈现“六涨一平一降”格局。
其中,医疗保健类价格上涨13.0%,涨幅居首;交通和通信类上涨4.5%,衣着类上涨2.3%,生活用品及服务类上涨1.4%,居住类上涨1.1%,教育文化和娱乐类上涨0.6%;食品烟酒类价格与上年持平;其他用品和服务类价格下降0.9%。
全年工业生产者出厂价格指数比上年上涨2.5%。
其中,生活资料出厂价格下降1.5%;生产资料出厂价格上涨5.6%。
2017年工业生产者购进价格上涨2.8%。
被调查的九大类原材料购进价格呈“五升四降”格局。
其中,涨幅较大的为黑色金属材料类,上涨9.9%;降幅较大的为纺织原材料类,下降3.4%。
全年实现公共预算全口径财政收入141.39亿元,比上年下降11.9%,其中一般预算收入69.51亿元,下降24.0%。
在一般预算收入中,税收收入45.54亿元,下降0.7%;非税收入完成23.96亿元,下降47.5%。
蓝莓10亿大骗局2017年06月10日 14:56作者:李慧敏来源:中国经营报编辑:东方财富网1. 吉林省安图旺民长富农业开发有限公司以五味子、蓝莓种植为主的项目吸引投资人投资,4年之间,累计吸引了约10亿元投资人的资金投入2. 2017年5月19日,吉林省安图旺民长富农业开发有限公司董事长、总裁杜丽华、徐哲在深圳被以合同诈骗罪批准逮捕。
有关部门披露的案情现实,涉案金额约3.5亿元人民币3. 根据安图旺民长富向投资人提供的情况介绍、财务数据等进行实地核实,均发现事实情况与其介绍的情况和披露的财务数据不符4. 两家大型会计师事务所在审计后,对安图旺民长富出具了“无保留意见”,不过,他们提醒,仅依据审计报告进行投资决策,是“考虑不周”且“有失偏颇”的,因为“投资是在投资未来,而不是过去”与财富和金钱联系得如此紧密的农作物,历史上有郁金香,现在,则轮到了五味子和蓝莓。
在2008年~2011年,一个以蓝莓种植为主营业务的农业项目,进入了全国投资人的视野。
运营这个项目的吉林省安图旺民长富农业开发有限公司(以下简称“安图旺民长富”)在4年的时间内,总计吸引了约10亿元来自各方面投资人的投资。
然而,这个吸引了“庞大”投资的农业项目的回报,却远没有达到相应的预期。
根据安图旺民长富向投资人提供的情况介绍、财务数据等进行实地核实,均发现事实情况与其介绍的情况和披露的财务数据不符。
2017年5月5日,吉林延边朝鲜族自治州中级人民法院(以下简称“延边中法”)下发了两份民事裁定书,因涉其他案件,安图旺民长富的部分相关资产被冻结、查封。
两周之后,即5月19日,安图旺民长富董事长、总裁杜丽华、徐哲在深圳被以涉嫌合同诈骗罪批准逮捕,其涉案金额约3.5亿人民币。
截至目前,此案正在办理当中。
蓝莓和五味子的诱惑安图旺民长富是一家主营业务为从事蓝莓和五味子生产的农业公司,徐哲及其母杜丽华分别担任董事长和总裁。
从2008年开始,安图旺民长富开始增资扩股,至2011年,总计进行了4轮增资,共吸纳股权投资约10亿元人民币的现金投资。
吉林省各市面积排名吉林省面积栽培地区集安市柳河县表1 北冰红在集安市和柳河县的物候期观察/月.日萌芽期开花期果实着色期果实成熟期4.29~5.2 5.28~6.1 8.16~8.19 9.13~9.15 5.5~5.86.3~6.78.18~8.229.20~9.22表2 北冰红在集安市和柳河县的结实力调查落叶期10.22~10.2510.13~10.15酿造冰红山葡萄。
2 结果与分析2.1 物候期在吉林省集安市和柳河县的气候条件下,北冰红果实都能充分成熟,年生育期137~141 d,但柳河县的气温低于集安市,因此萌芽期、开花期和果实成熟期均延迟(表1)。
2.2 抗寒力北冰红抗寒力近似贝达,在集安地区气候条件下栽培北冰红,连续6年植株越冬未下架埋土,没有出现根系和枝蔓冻害,在柳河县气候条件下,北冰红露地越冬出现枝蔓和根系冻害,但下架埋土简易防寒(埋严枝蔓)后植株萌芽开花结果正常。
2.3 抗病力在集安和柳河两地经6年的栽培田间观察,该品种基本未发生葡萄黑痘病、白腐病、炭病疽和穗轴褐枯病等重大病害,也未发生水罐子病和裂果等生理病害,但霜霉病严重发生,生长季节集安市和柳河县植株感病率分别为91.2%和86.4%,病情指数分别为3.8%和3.4%。
2.4 结实力从表2可以看出,北冰红在两基地的植株萌芽率、结果系数和坐果率等之间差异不大,但在柳河县栽培的北冰红穗重和粒重明显低于集安市。
2.5 落粒率北冰红果实在9月下旬充分成熟,由于该品种果梗粗短,果刷附着果肉牢固,延迟到12月上旬采收,果穗经过近80 d的日照、水分散失和冰冻,落粒率平均仅为7.4%(表3)。
2.6 产量北冰红在集安市和柳河县地区栽培,9月下旬果实成熟期,集安市产量比柳河县地区高3.3 t/hm2,为16.8%。
延迟采收后,两地产量分别比9月下旬果实成熟期降低47.3%和49.0%(表4)。
2.7 果实酿酒特性北冰红在吉林省集安市和柳河县地区栽培,果实工艺性状均都达到酿造冰红山葡萄酒的工艺的要求(表5)。
吉林省各市县播种面积统计吉林省主要作物播种面积单位:万亩地区粮食作物播种面积玉米水稻长春市1645.79551265.7256.8255市区177.945141.1824.7185农安县444.585407.19617.6565九台市221.8065169.207532.487榆树市501.306355.956107.0685德惠市300.153192.160574.895吉林市868.938518.979208.566市区148.081596.571548.1935永吉县115.621574.26233.4965蛟河市133.00271.968517.952桦甸市129.811589.83214.013舒兰市191.46380.81764.383磐石市150.9585105.52830.528四平市975.2955802.810588.533市区73.516558.35757.989梨树县279.843244.05613.9845伊通县139.557112.609515.3555公主岭321.873284.332520.805双辽市160.506103.45530.399辽源市232.581181.75825.725市区16.41614.7045 1.0725东丰县119.97684.403519.332东辽县96.18982.65 5.3205通化市357.8025208.0035113.274市区 4.4475 2.8560.666通化县39.3621.1478.3835辉南县87.44144.935537.8255柳河县96.97562.85622.0965梅河口111.28265.659540.3785集安市18.29710.5495 3.924白山市68.410535.151 2.196市区14.2118.1630.6585抚松县19.2369.6810靖宇县16.27357.7670.5625长白县 6.2505 2.64450.5895临江市12.4395 6.89550.3855松原市1047.138707.379133.3725市区71.797543.68919.704前郭县256.0485122.56277.4045长岭县220.695159.12 1.929乾安县196.299137.0625 1.1805扶余县302.298244.945533.1545白城市683.961348.594122.718市区127.951559.59546.563镇赉县151.44360.637557.1665通榆县143.55960.5550 洮南市156.733595.3410.713大安市104.27472.46658.2755延边州385.215107.52958.9845延吉市21.490510.8075 5.5275图们市11.403 5.0655 1.806敦化市156.532536.1215 6.2865珲春市38.11510.141513.3545龙井市37.666516.01558.049和龙市34.13558.461511.8485汪清县47.224510.50157.485安图县38.647510.4145 4.6275。