苏教版六年级上册数学《期中考试试题》含答案
- 格式:doc
- 大小:216.00 KB
- 文档页数:11
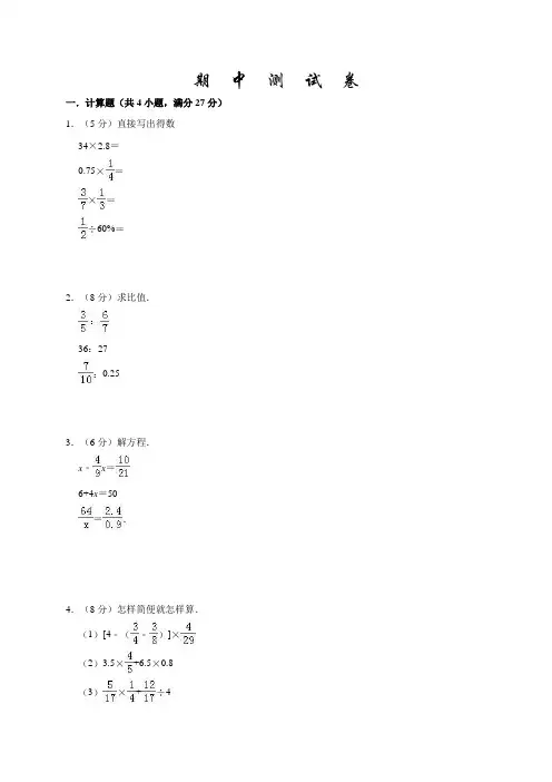
期中测试卷一.计算题(共4小题,满分28分)1.(8分)直接写结果.15×==4﹣2.7=÷2= 1.2×=÷= 2.2+3=1×=6÷10==2.(12分)脱式计算下列各题(1)(2)()×()(3)(1﹣)+(4)30÷[()×]3.(4分)解方程.x﹣x﹣()=x﹣4.(4分)求比值.36:27:0.25二.填空题(共12小题,满分24分,每小题2分)5.(2分)一段公路每天修全长的,4天修全长的.6.(2分)用字母a、b、c表示加法交换律加法结合律乘法结合律乘法分配律7.(2分)一个数和它倒数的乘积是;的倒数是5;0.5的倒数是.8.(2分)4860立方厘米=立方米,3.25小时=分钟.9.(2分)在横线上填上<,>或=.3.14×0.1 3.140.8÷0.980.80.45×0.450.4510.(2分)一辆客车长约10,载重约4,每个小时行驶85.11.(2分)吨是30吨的,50米比40米多%.12.(2分)一堆沙子运走4吨,正好运走了全部的,这堆沙子共重吨,还剩下吨.13.(2分)12÷=0.75=:12=%=.14.(2分)用一根铁丝围成一个长、宽、高分别为20厘米、18厘米、22厘米的长方体如改围成正方体,这个正方体的体积是立方厘米.15.(2分)用3个棱长8厘米的正方体拼成一个长方体,长方体的表面积是平方厘米.16.(2分)12和28的公因数有,它们的最小公倍数是.三.选择题(共5小题,满分10分,每小题2分)17.(2分)一本书240页小梅第一天看了全书的她第二天应从()页看起.A.39B.40C.4118.(2分)一个正方体的棱长扩大到原来的3倍,它的体积扩大到原来的()倍.A.3B.6C.9D.2719.(2分)由8个棱长是2厘米的小正方体拼成的大正方体中(如图),如果拿走其中一个小正方体,那么它的表面积()A.比原来大B.比原来小C.不变D.无法比较20.(2分)下列图形中,不能折成正方体的图形是()A.B.C.D.21.(2分)如果大圆周长和小圆周长的比是3:1,那么小圆面积和大圆面积的比是()A.6:2B.9:1C.1:9D.2:9四.操作题(共1小题,满分5分,每小题5分)22.(5分)下面每个方格的边长是1厘米.(1)画一个长方形,周长是18厘米,长与宽的比是2:1;(2)画出一个长是5厘米、宽是2厘米、高是1厘米的长方体的展开图,并标出各个面的名称.五.计算题(共6小题,满分31分)23.(6分)看图列式计算24.(5分)妈妈用肉馅和青菜做饺子馅,肉馅和青菜的质量比是2:5.如果做饺子馅需要肉馅300克,需要青菜多少克?25.(5分)有18名学生,其中是女生,是男生,男女生各有多少人?26.(5分)运河小学数学兴趣小组有男生24人,比女生人数的多4人,数学兴趣小组有女生多少人(用方程解)?27.(5分)一个正方体鱼缸,棱长为4分米,如果把满缸水倒入一个长8分米,宽2.5分米,高5分米的长方体空水槽里,水槽中水平面的高是多少分米?28.(5分)一个长方体蓄水池,长10米,宽4米,深2米.(1)这个蓄水池的占地面积有多大?(2)蓄水池最多能蓄水多少立方米?答案与解析一.计算题(共4小题,满分28分)1.解:15×=12=14﹣2.7=1.3÷2= 1.2×=0.4÷=1 2.2+3=5.21×=6÷10=0.6=2.解:(1)==;(2)()×()=×=;(3)(1﹣)+=(1﹣)+=+=;(4)30÷[()×]=30÷[×]=30÷=75.3.解:(1)x﹣x﹣+=+x=(2)x﹣()=x﹣=x﹣+=+x=(3)﹣x=﹣x+x=+x+x=+x﹣=﹣x=(4)x﹣﹣=x﹣﹣++=++x=4.解:(1):=÷=;(2)36:27=36÷27=;(3):0.25=÷0.25=2.8.二.填空题(共12小题,满分24分,每小题2分)5.解:×4=.答:4天修全长的.故答案为:.6.解:加法交换律a+b=b+a加法结合律(a+b)+c=a+(b+c)乘法结合律(a×b)×c=a×(b×c)[或(ab)c=a(bc)]乘法分配律(a+b)×c=a×c+b×c[或(a+b)c=ac+bc]7.解:一个数和它倒数的乘积是1;5的倒数是;0.5=,它的倒数是2;故答案为:1,,2.8.解:(1)4860立方厘米=0.00486立方米;(2)3.25小时=195分钟;故答案为:0.00486,195.9.解:3.14×0.1<3.140.8÷0.98>0.80.45×0.45<0.45故答案为:<,>,<.10.解:一辆客车长约10 米,载重约4 吨,每个小时行驶85 千米;故答案为:米,吨,千米.11.解:(1)30×=10(吨);(2)(50﹣40)÷40,=10÷40,=0.25,=25%.故答案为:10,25.12.解:4=16(吨)16﹣4=12(吨)答:这堆沙子共重16吨,还剩下12吨.故答案为:16,12.13.解:12÷16=0.75=9:12=75%=;故答案为:16,9,75,3.14.解:(20+18+22)×4÷12=60×4÷12=240÷12=20(厘米),20×20×20=8000(立方厘米),答:这根正方体的体积是8000立方厘米.故答案为:8000.15.解:8×8×6×3﹣8×8×4=384×3﹣64×4=1152﹣256=896(平方厘米)答:长方体的表面积是896平方厘米.故答案为:896.16.解:12的因数有:1、2、3、4、6、12,28的因数有:1、2、4、7、14、28,所以12和28的公因数有:1、2、4;12=2×2×3,28=2×2×7,所以12和28的最小公倍数是:2×2×3×7=84;故答案为:1、2、4;84.三.选择题(共5小题,满分10分,每小题2分)17.解:240×=40+1=41(页)答:她第二天应从第41页看起.故选:C.18.解:3×3×3=27,答:它的体积扩大到原来的27倍.故选:D.19.解:从正方体顶点处拿掉小正方体,减少三个面的同时又增加三个面,表面积不变.故选:C.20.解:A、折叠后有一个面重合,缺少一个底面,故不能折成正方体;B、C、D都可以折成正方体.故选:A.21.解:大圆周长与小圆周长的比是3:1,则大圆的周长是小圆周长的3倍,则大圆的半径就是小圆的半径的3倍,由此可设设小圆的半径是r,则大圆的半径是3r,则:大圆的面积为:π(3r)2=9πr2;小圆的面积为:πr2,πr2:9πr2=1:9;答:小圆面积和大圆面积的比是1:9.故选:C.四.操作题(共1小题,满分5分,每小题5分)22.解:(1)(18÷2)÷(2+1)=9÷3=3(厘米)3×2=6(厘米)即所画长方形的长是6厘米,宽是3厘米(画图如下):画出一个长是5厘米、宽是2厘米、高是1厘米的长方体的展开图,并标出各个面的名称(下图).五.计算题(共6小题,满分31分)23.解:(1)150÷(1+25%)=150÷1.25=120(公顷)答:计划造林120公顷.(2)40×(1﹣20%)=40×0.8=32(棵)答:柏树有32棵.24.解:300÷2×5=150×5=750(克)答:需要青菜750克.25.解:18×=6(人)18﹣6=12(人)答:女生有6人,男生有12人.26.解:设数学小组有女生x人.x+4=24x+4﹣4=24﹣4x=20x=25答:数学小组有女生25人.27.解:(4×4×4)÷(8×2.5)=64÷20=3.2(分米)答:槽中水面的高是3.2分米.28.解:(1)10×4=40(平方米)(2)40×2=80(立方米)答:这个蓄水池占地面积是40平方米,容积是80立方米.。
六年级上册数学试题期中测试苏教版(含答案)六年级第一学期数学期中测试卷(总分100+5)一、填空(每空1分,共计30分)1、(500)的52是100棵,12米的( 3/4 )是9米,( 3643吨 )比36吨多43吨。
2、在括号里填上合适的数30克=( 0.03 )千克 75分=( 5/4 )时2升=( 2019 )毫升 0.3立方米=(300)立方分米3、一根长15米的电线,用去52,用去了( 6 )米,再用去5米,还剩(4)米。
4、2∶0.75化成最简整数比是( 8:3 ),比值是( 8/3 )。
5、(3/8 )×38=95÷(5/9 )=23—( 1/2 )=54+( 1/5 )=85∶( 5/8 )=16、75千克黄豆可以榨油41千克,平均每千克黄豆可以榨油( 7/20 )千克,榨1千克油要( 20/7 )千克黄豆7、在○里填上“>”、“<”或“=” 65×911>65 87÷61=87×61817÷34<1817 1米的72=2米的71 8、小圆的直径是大圆直径的32,小圆与大圆的周长比是(2:3 ),小圆与大圆的面积比是(4:9 )9、从长方体玻璃缸的里面量,长是5分米,宽是4分米,高是2分米。
现将1升水倒人玻璃缸中,水深(0.5)厘米10、一瓶雪碧喝了54升后,还剩53升,把剩下的倒在一个容积是154升的杯子里,至少需要( 3 )个这样的杯子。
11、下面是一个正方体的展开图,与6号面相对的是( 3)号面。
12、大、小两瓶水共9.7升,大瓶中的水加入0.3升后,与小瓶内水的比是3:2,大瓶原来有( 5.7)升水。
13、一个底面是正方形的长方体,把它的侧面展开后,正好是一个边长为8dm 的正方形则这个长方体的体积是(32立方分米 )。
3、化简比并求比值25︰75 8.4︰28173︰51354∶0.321:3 1/3 3:10 3/10 3:1 3 5:2 5/2 4、解方程9X=2518X ÷43=30 83X ÷31=109 X-0.75X=1X=2/25 X=22.5 x=4/5 x=4五、画一画(每题2分,共4分)1、 下图中每个小方格的边长表示1厘米。
苏教版六年级上册数学期中考试试卷一、选择题1.三个连续非零自然数,中间的那个数正好是三数之和的()。
A.12B.13C.142.把甲仓库存粮的18调入乙仓库后,两个仓库粮食相等,原来甲乙两个仓库存粮数的比是()。
A.4∶3B.7∶5C.8∶73.如果5577a÷>(a不等于0),那么()。
A.a小于1B.a等于1C.a大于1 4.一个三角形三个内角度数的比是3:2:1,这个三角形是()A.锐角三角形B.直角三角形C.钝角三角形5.两根一样的绳子,第一根截去14,第二根截去14米,当绳长()时,第二根剩下的比第一根剩下的短。
A.绳长1米B.绳长大于1米C.绳长小于1米6.将如图折成一个正方体后与2相对的面是()。
A.4B.3C.6二、填空题7.把棱长2分米的正方体礼品盒放在一个长8分米、宽6分米、高5分米的长方体纸箱内,最多可以放_____个。
8.客厅里安装了一台立式空调,长宽高分别为0.5米、0.25米、1.80米,这台空调占地面积是__________平方米,体积是__________立方米。
9.在横线上填上“>”“<”或“=”。
(1)92411⨯__________911(2)3137⨯__________8137⨯(3)7712÷__________712(4)3352÷__________3510.在横线上填上合适的单位名称。
(1)一块橡皮的体积是9__________。
(2)一个保温瓶的容积是2__________。
11.34吨的大豆可以榨油59吨,平均每吨大豆可榨油(____)吨,榨1吨油需要大豆(____)吨.12.47的倒数是__________;__________与0.25互为倒数。
13.比35米多15是__________米,35米是__________米的56。
14.a除以b的商是0.75,那么a与b的最简整数比是__________,比值是__________。
新苏教版数学六年级上册期中测试卷(一)姓名: 班级: 得分: 一、选择题(10分)1.一个数的12是50,这个数的15是( )。
A.25B.20C.75D.1002.与12÷结果相等的式子是( )。
A.12÷5×4 B.12÷4×5 C.12÷4÷5 D.12×5×43.下图是一个无盖正方体的展开图,B面的对面应该是( )。
A.A面B.C面C.D面D.E面4.a是一个不为0的自然数,下列各式中,得数最大的是( )。
A. B. C. D.5.“3.12植树活动”快到来了,某校学生到郊外参加植树,已知老师是学生人数的.若每位男生种13棵树,每位女生种10棵树,每位老师种了15棵树,他们共种了186棵树,那么老师有()人.A.3B.4C.5D.6二、填空题(28分)6.78×A=B÷59=C÷1112,且A、B、C都不为0,则A、B、C按从大到小的顺序排列是(_______)。
7.一份工作,甲先完成23,用了15小时,如果照这样的速度全部完成,要用(____)小时。
8.( )÷8=()40=0.5=( )∶( )=()59.把6dm∶0.4m化成最简单的整数比是(______),比值是(______)。
10.把78米长的绳子平均分成4段,每段长(____)米,每段长是74米的(____),每段长是1米的(____)。
11.把1.5米的长方体材料(如图),平均锯成3段,表面积比原来增加8平方分米,原来这根木料的体积是(_____)立方分米。
12.把棱长是2分米的正方体礼盒放在一个长1米、宽5分米、高7分米的长方体纸箱内,最多可以放(_____)个。
13.把一根6米长的铁丝焊接成长和宽都是6分米的长方体框架,长方体框架的高是(_____)分米,体积是(_____)立方分米;如果在长方体框架的四周粘上广告纸,至少要(_____)平方分米的广告纸。
苏教版六年级数学上册期中试卷及答案【完美版】(时间:60分钟分数:100分)班级:姓名:分数:一、填空题。
(每题2分,共20分)1、有一堆含水量为20%的稻谷,日晒一段时间以后,含水量降为1/11,现在这堆稻谷的重量是原来的()%.2、等腰三角形的顶角和一个底角的度数比是2∶1,它的顶角是()度,底角是()度。
3、有5个女同学、3个男同学玩击鼓传花游戏,花停在()同学手上的可能性比较大.4、在A×B=C中,当B一定时,A和C成()关系,当C一定时,A和B成()关系。
5、某学校六(1)班有4名同学在一次数学竞赛中的成绩分别是96分、94分、92分、98分,这4名同学的平均成绩是()分。
6、六年级一共有24名同学体育没有达标,全年级体育达标率是88%,体育达标的同学有()名。
7、69%的计数单位是(),它有()个这样的计数单位,再添上()个这样的计数单位就是“1”.8、把7:11的前项加上14,要使比值不变,后项应加上()。
9、某班人数在40~50之间,该班男生与女生的比是5∶6,这个班男生有()人,女生有()人。
10、一根长5米的圆柱,截成4段小圆柱,表面积增加了18.84平方厘米,原来圆柱的体积是()立方厘米。
二、判断题(对的打“√”,错的打“×”。
每题2分,共10分)1、分数乘分数,用分子相乘的积作分子,分母不变.()2、圆柱有无数条高,圆锥只有一条高。
()3、正数和负数可以表示两种相反意义的量。
()4、两种相关联的量,不成正比例就成反比例。
()5、由两个比组成的式子叫做比例。
( )三、选择题。
(每题1分,共5分)1、圆柱体的底面半径扩大3倍,高不变,体积扩大( )A .3倍B .9倍C .6倍2、一袋饼干包装上标着:净重(150±5)克,表示这种饼干标准质量是150克,实际每袋最少不少于( )克。
A .155B .150C .145D .1603、一个圆柱的底面半径和高都扩大3倍,体积扩大( )倍。
苏教版六年级上册数学期中考试试卷一、选择题1.已知a和b互为倒数,33a b⨯=()。
A.1B.9C.192.如下图,把它折成一个正方体后,与⑤号面相对的是()号面。
A.①B.②C.④3.一桶油重2千克,倒出13后又倒进13千克油,这时桶里的油()。
A.比原来少B.比原来多C.与原来同样多4.根据“a的23与b的25”相等,可以推出,a与b的比是()。
A.4:15B.3:5C.5:35.如图,从长方体中拿掉一个小正方体后它的表面积和原来相比,()。
A.比原来小B.和原来相等C.比原来大6.甲,乙、丙三位同学分别调制了一杯蜂蜜水。
甲调制时用了30毫升的蜂蜜,150毫升水;乙调制时用了4小杯蜂蜜,16小杯水;丙调制时用的水是蜂蜜的6倍。
()调制的蜂蜜水最甜。
A.甲B.乙C.丙二、填空题7.填表。
50.6:828:21化简比(______)(______)求比值(______)(______)8.5立方分米=(________)立方厘米0.54立方分米=(________)毫升9.在括号里填合适的单位。
(1)一个文具盒的长大约2.3(________),容积大约500(________)。
(2)一个玩具柜的高大约1.8(________),占地面积大约0.6(________)。
10.()()()540==:408=(填小数)11.0.5的倒数是(______),(______)的倒数是它本身。
12.在○里填上“>”“<”或“=”,在()里填上合适的数。
161272⨯◯55144÷◯()661111÷<13.在括号里填上合适的数。
(______)8=7⨯(______)1=2⨯(______)1211÷14.一台收割机34小时收割小麦35公顷,这台收割机平均每小时收割小麦(______)公顷,收割1公顷小麦需要(______)小时。
15.下面是用1立方厘米小正方体拼成的物体。
苏教版六年级上册数学期中测试卷及含答案一、选择题(共5题,共计20分)1、从长7分米、宽6分米、高3分米的长方体中切出一个表面积最大的正方体,该正方体的棱长总和是()分米。
A.36B.64C.72D.842、6.8÷0.25与6.8×4的结果相比( )。
A.6.8÷0.25大B.6.8×4大C.一样大D.无法比较3、要配制一种药液和水的质量之比是1∶50的药水,现有药液20克,应加水()克.A.20B.1000C.1020D.5004、一个油箱能装汽油160升,我们说这个油箱的()是160升A.表面积B.容积C.体积5、下列是一个长方体的其中四个面,另外两个面的面积之和是()。
A.28平方厘米B.20平方厘米C.35平方厘米D.70平方厘米二、填空题(共8题,共计24分)6、把两个棱长都是2分米的正方体木块摆成一个长方体,这个长方体的表面积是________平方分米?体积是________立方分米。
7、六(2)班有学生48人.男生人数是女生人数的,六(2)班男生有________人?女生有________人?8、把一个棱长0.8米的正方体钢坯,锻成一个横截面面积是0.16平方米的长方体方钢.锻成的这块方钢长________米。
(用方程解)9、有20枚1角和5角的硬币共计5.2元,两种硬币各________枚?10、一个长方体的底面是正方形,它的侧面积是120cm2,高是5cm,体积是________cm3。
11、小军用1米长的彩带做花,用去了这根彩带的,用去了________厘米,还剩________厘米.12、20克的盐完全溶解在100克水中,水与盐的质量之比是________,盐与盐水的质量比是________。
13、一个长35cm、25cm、高2dm的纸箱________(填“能”或“不能”)装下一个长32cm,宽3dm,高4dm的玻璃器皿。
三、判断题(共4题,共计8分)14、一个汽车的油箱能盛200mL汽油.()15、一个数乘的积为1,这个数的倒数是.()16、一个真分数乘一个假分数,积一定大于这个真分数.()17、长方体的横截面有可能是正方形。
苏教版小学六年级上册期中考试数学试卷一.选择题(共10小题)1.如果a和b互为倒数,那么的结果是()A.B.C.D.62.有一杯糖水,糖与水的比是1:10,喝掉一半后糖与水的比是()A.1:5B.1:10C.1:15D.无法确定3.将如图的纸片折起来可以做成一个正方体.这个正方体的4号面的对面是()号面.A.2B.3C.6D.54.如图,在一个棱长为10厘米的正方体上放一个棱长为5厘米的小正方体.整个立体图形的表面积是()A.750平方厘米B.725平方厘米C.700平方厘米D.650平方厘米5.棱长6分米的油箱,容积和体积相比()A.容积大B.体积大C.一样大D.无法比较6.如果把3:7的前项加上9,要使它的比值不变,后项应()A.加上9B.加上21C.减去97.为了得到2÷的结果,下面三位同学用不同的方法表达了自己的想法,想法合理的有()A.小东和小西B.小东和小北C.小西和小北D.小东、小西和小北8.一本故事书已看的页数是未看页数的,下面说法错误的是()A.已看的页数比未看页数少B.已看的页数相当于未看页数的C.已看全书的D.全书还有没看9.一个三角形,三个内角度数的比1:2:6,这个三角形是()A.锐角三角形B.直角三角形C.钝角三角形D.不能确定10.下面的说法,正确的是()A.盛了沙子的沙坑,沙子的体积就是沙坑的容积B.甲数比乙数多,乙数就比甲数少C.假分数的倒数小于或等于它本身D.把一根绳子分成两段,第一段占全长的,第二段长米,若比较这两段绳子的长度,则第一段绳子比第二段长二.填空题(共9小题)11.一个长方形宽与长的比是2:3.如果这个长方形的宽是24厘米,长厘米;如果长是12厘米,宽是厘米.12.把8:15的前项增加16,要使比值不变,后项应该乘.13.不计算,直接在横线内填上合适的数.(1)32×17=544320×17=32×34=(2)56÷7=8560÷70=280÷=814.36吨的是吨,米的是米.15.30L+12mL=L1.2小时=小时分钟16.鱼缸从里面量,长5分米,宽4分米,高3分米,将40升水注入,这时鱼缸中水深分米.17.柏树棵数比松树棵数少,这是把看成单位“1”.可写成数量关系式:棵数×=的棵数.18.一根绳子长6米,第一次用去了它的,第二次用了3米.依依列出的算式是+3÷6,这个算式解决的问题是.19.一种盒装牛奶,长6厘米,宽5厘米,高8厘(米,将2盒这样的牛奶包装在一起,至少要用包装纸平方厘米.三.计算题(共3小题)20.直接写出得数.×3=×=÷=0÷=4×=÷8=2÷=1÷×=21.用递等式计算.×6×4÷÷÷××33÷22.解方程.4x=x=x﹣5=30四.应用题(共4小题)23.一件上衣的价格是240元,裤子的价格是上衣的,买这样的一套衣服要多少钱?24.小明和小丽比赛骑自行车,小明小时骑了9千米,小丽小时骑了8千米,谁骑得快一些?25.修一个长50米,宽30米,深2米的游泳池.(1)这个游泳池占地面积是多少平方米?(2)修这个游泳池需要挖土多少立方米?(3)如果在游泳池的四壁和底部抹水泥,抹水泥部分的面积是多少平方米?26.一个长方体形状的玻璃鱼缸(无盖),量得它的长8分米,宽5分米,高6分米,水深5.4分米.(玻璃厚度忽略不计).(1)做这个长方体玻璃鱼缸至少需要玻璃多少平方分米?(2)如果在这个鱼缸里投入一个棱长是3分米的正方体铁块.缸里的水会不会溢出?请你通过计算说明.(3)如果溢出,鱼缸里溢出多少升?如果不溢出,现在水深多少分米?五.操作题(共2小题)27.(1)用涂色的方法表示出千克.(2)用涂色的方法表示出3千克的.28.在下面的方格中,用图示表示出×的意义.六.解答题(共5小题)29.如图,鸭比鸡少;鸡比鸭多9只,鸭有只.30.=6:==12÷=(填小数)31.如果你的同桌在课堂上没有理解÷是什么意思,你如何用多个例子向他解释说明?说明理由时,可以画一画,也可以联系生活中的例子写一写.32.有一个完全封闭的容器,里面的长是20厘米,宽是16厘米,高是10厘米,平放时里面装了7厘米深的水.如果把这个容器竖起来放,水的高度是多少?33.有两筐苹果,其中第一筐是第二筐的.如果从第一筐拿出10个给第二筐,则第一筐是第二筐的.这两筐苹果共有多少个?参考答案与试题解析一.选择题(共10小题)1.解:因为a、b互为倒数,所以ab=1,所以=.故选:D.2.解:一杯糖水,糖与水的比是1:10,喝掉一半后,糖与水的比是1:10;故选:B.3.解:如图,1号面与5号面相对,2号面与3号面相对,4号面与6号面相对.故选:C.4.解:5×5×4+10×10×6=100+600=700(平方厘米)答:整个立体图形的表面积是700平方厘米.故选:C.5.解:根据体积和容积的意义,一般容器的容积和体积相比,体积稍大些,所以邮箱的体积和容积相比,体积大;故选:B.6.解:3:7的前项加上9,可知比的前项由3变成12,相当于前项乘4;要使比值不变,后项也应该乘4,由7变成28,即后项加上28﹣7=21;故选:B.7.解:小东:=2÷3,根据除法的性质可得:2÷=2÷(2÷3)=2÷2×3=1×3=3,原题连续除以2与3,所以想法不合理;小西:根据商不变的性质可得:2÷=(2×3)÷(×3)=6÷2=3,合理;小北:把2m平均分成6份,每份是m,两份是m,那么6份里面有3个m,所以想法合理.故选:C.8.解:把全书的页数看作单位“1”,把它平均分成(2+3)份,即5份;A、已看的页数比未看页数少(3﹣2)÷3=.此选项说法错误;B、已看的页数相当于未看页数的2÷3=.此选项说法正确;C、已经看了全书的2÷5=,此选项说法正确;D、还剩下全书的1﹣=.此选项说法正确.故选:A.9.解:总份数:1+2+6=9份180×=120°120°>90°,所以该三角形是钝角三角形.故选:C.10.解:A.应该是盛满沙子的沙坑,沙子的体积才是沙坑的容积,因此,盛了沙子的沙坑,沙子的体积就是沙坑的容积.此说法错误.B.甲数比乙数多,是把乙数看作“1”,甲相对于乙数的;求乙数就比甲数少几分之几,是把甲数看作单位“1”,乙数比甲数少.因此,甲数比乙数多,乙数就比甲数少.此说法错误.C.因为假分数等于或大于1,所以假分数的倒数等于或小于1.因此,假分数的倒数小于或等于它本身.此说法正确.D.把这根绳子的长度看作单位“1”,分成两段,第一段占全长的,那么第二段占全长的,第二段长米,若比较这两段绳子的长度,则第一段绳子比第二段短.因此,若比较这两段绳子的长度,则第一段绳子比第二段长.此说法错误.故选:C.二.填空题(共9小题)11.解:(1)24÷=36(厘米)(2)12×=8(厘米)故答案为:36,812.解:前项增加16,变成8+16=24相当于前项乘上24÷8=3要使比值不变,后项也应该乘3;故答案为:3.13.解:(1)32×17=544320×17=544032×34=1088(2)56÷7=8560÷70=8280÷35=8故答案为:5440,1088,8,35.14.解:①36×=30(吨)答:36吨的是30吨.②÷=(米)答:36吨的是30吨,米的是米;故答案为:30,.15.解:(1)30L+12mL=30.012L(2)1.2小时=1小时12分钟.故答案为:30.012,1,12.16.解:40升=40立方分米40÷(5×4)=40÷20=2(分米)答:这时鱼缸中水深2分米.故答案为:2.17.解:柏树的棵数比松树的棵数少,这是把松树的棵数看作单位“1”,可写成数量关系式:松树的棵数×=柏树的棵数比松树少的棵数.故答案为:松树的棵数,松树的、柏树的棵数比松树的棵数少.18.解:因为3÷6=表示求第二次用去这根绳子的几分之几,所以3÷6这个算式解决的问题是两次共用去这根绳子的几分之几.故答案为:两次共用去这根绳子的几分之几.19.解:这两盒牛奶拼成一个长6厘米,宽5×2=10厘米,高8厘米的长方体,(6×10+6×8+10×8)×2=(60+48+80)×2=188×2=376(平方厘米)答:至少需要包装纸376平方厘米.故答案为:376.三.计算题(共3小题)20.解:×3=×=÷=20÷=0 4×=÷8=2÷=1÷×=21.解:①×6×=×=②4÷÷=4×÷=15=72③÷×=×==④×33÷==22.解:(1)4x=4x÷4=÷4x=(2)x=x÷=÷x=(3)x﹣5=30x﹣5+5=30+5x=35x÷=35÷x=84四.应用题(共4小题)23.解:240×+240=180+240=420(元)答:买这样的一套衣服要420元.24.解:9÷=15(千米/小时)8=14(千米/小时)15>14答:小明骑得快.25.解:(1)50×30=1500(平方米)答:这个游泳池的占地面积是1500平方米.(2)50×30×2=1500×2=3000(立方米)答:修这个游泳池需要挖土3000立方米.(3)50×2×2+30×2×2+50×30=200+120+1500=1820(平方米)答:抹水泥部分的面积是1820平方米.26.解:(1)8×5+8×6×2+5×6×2=40+96+60=196(平方分米)答:做这个长方体玻璃鱼缸至少需要玻璃196平方分米.(2)3×3×3÷(8×5)=27÷40=0.675(分米)6﹣5.4=0.6(分米)0.675分米>0.6分米答:缸里的水会溢出.(3)3×3×3﹣8×5×(6﹣5.4)=27﹣40×0.6=27﹣24=3(立方分米)3立方分米=3升答:水会溢出,溢出3升.五.操作题(共2小题)27.解:(1)用涂色的方法表示出千克,如图:(2)用涂色的方法表示出3千克的,如图:3×=1(千克)28.解:×可以表示为:六.解答题(共5小题)29.解:(4﹣3)÷4=1÷4=9÷[(4﹣3)÷3]=9÷=27(只)答:鸭比鸡少;鸭有27只.故答案为:;27.30.解:=6:40==12÷80=0.15.故答案为:40,9,80,0.15.31.解:例1:=++,里面有是3个,÷=3.例2:如图:=332.解:20×16×7÷(16×10)=2240÷160,=14(厘米);答:水的高度是14厘米.33.解:设第二筐有x个苹果,x﹣10=(x+10)×x﹣10=x+5x=15x=150,150×+150=90+150=240(个),答:这两筐苹果共有240个.。
苏教版六年级数学上册期中试卷及答案【完美版】(时间:60分钟分数:100分)班级:姓名:分数:一、填空题。
(每题2分,共20分)1、大圆的半径等于小圆的直径,大圆与小圆的面积之和是90平方厘米,那么大圆的面积是()平方厘米。
2、4:9的前项增加8,要使比值不变,后项要增加()3、121只鸽子飞回20个鸽舍,至少有()只鸽子要飞进同一个鸽舍里。
4、()÷10=0.2=()%=8∶()=()折.5、如果3A=7B(A、B不等于0),那么B:A=():().6、一袋大米25kg,已经吃了它的2/5,吃了()kg,还剩()kg。
7、比50米少20%的是()米,35米比()米多40%.8、画一个周长为25.12 cm的圆,圆规两脚间的距离应是()cm,这个圆的面积是()cm2。
9、一个棱长为6分米的正方体木块的表面积是()平方分米,把它削成一个最大的圆锥,这个圆锥的体积是()立方分米。
10、在一块长10分米、宽5分米的长方形铁板上,最多能截取()个直径是2分米的圆形铁板.二、判断题(对的打“√”,错的打“×”。
每题2分,共10分)1、所有的自然数不是质数就是合数。
()2、一个数除以一个不等于0的数,等于乘这个数的倒数.()3、圆柱的体积等于圆锥体积的3倍。
()4、长方体、圆柱、圆锥的体积都可以用底面积乘高来计算.()5、在一个比例里,两个外项的积除以两个内项的积,商是1。
()三、选择题。
(每题1分,共5分)1、比例尺是()A .比B .一个分数C .比例2、若甲和乙成正比例,乙和丙成反比例,则甲和丙( ).A .成反比例B .成正比例C .不成比例3、东门中心小学今年的学生数量比去年增加10%,今年的学生数量是去年的( )A .90%B .110%C .10%4、5个真分数相乘,它们的乘积( )A .可能大于1B .可能小于1C .一定小于15、把直径10厘米的圆分成两个相等的半圆,两个半圆的周长和是( )厘米A .31.4B .62.8C .41.4D .51.4四、计算题。
期中测试卷一.计算题(共4小题,满分27分)1.(5分)直接写出得数34×2.8=0.75×=×=÷60%=2.(8分)求比值.36:27:0.253.(6分)解方程.x﹣x=6+4x=50=.4.(8分)怎样简便就怎样算.(1)[4﹣(﹣)]×(2)3.5×+6.5×0.8(3)×+÷4(4)(+)÷+二.填空题(共15小题,满分27分)5.(2分)2小时=时分1m350dm3=dm36.(2分)一堆沙子运走4吨,正好运走了全部的,这堆沙子共重吨,还剩下吨.7.(1分)把1.2:化简是,比值是.8.(2分)一个长方体饼干盒的大小如图所示.它前面的面积是平方厘米,左面的面积是平方厘米.(图中单位:厘米)9.(4分)在〇里填上>、<或=.(1)〇(2)〇(3)〇(4)a〇a(a是不为0的自然数)10.(1分)甲:乙=3:4,乙:丙=5:6,甲:乙:丙=::.11.(2分)一堆沙子运走4.5吨,正好运走了全部的,这堆沙子共重吨,还剩下吨.12.(1分)把一个棱长为5厘米的正方体截成两个长方体,这两个长方体表面积之和是.13.(1分)求如图正方体的表面积和体积.(单位:厘米)14.(2分)笑笑读一本书,第一天读了全书的20%,第二天读了22页,这时读的页数与剩下页数的比是4:5,笑笑读的这本书一共有页.15.(2分)如图是一个正方体的侧面展开图,如果图中“构”字在正方体的左面,那么这个正方体的右面是“”字.16.(2分)甲数的等于乙数的(甲、乙两数都不为0),甲数:乙数=:.17.(2分)某果品公司运来苹果吨,比运来的梨多,运来的桃比运来的梨少,运来的桃多少吨?18.(2分)用棱长为1厘米的小正方体,拼成一个棱长是3厘米的大正方体,在它的表面涂上颜色,这些小正方体中,一面涂色的有个,两面涂色的有个,三面涂色的有个,一个面也不涂色的有个.19.(1分)如图,A点到已知直线l的线段中,请将最短的线段用笔描一下,它的长度叫做A点到直线l的.三.选择题(共6小题,满分6分,每小题1分)20.(1分)一本书240页小梅第一天看了全书的她第二天应从()页看起.A.39B.40C.4121.(1分)在4:5中,比的前项除以8,要使比值不变,比的后项应()A.加上8B.乘8C.除以822.(1分)把1米长的长方体截成3段,表面积比原来增加了28平方厘米,这根长方体木料的横截面积是()平方厘米.A.14B.7C.423.(1分)甲数除以乙数的商是0.6,甲数和乙数的比是()A.5:3B.5:4C.3:5D.4:4524.(1分)把5个同样大的正方体摆成右图的样子,从()看到的形状是相同的.A.正面和侧面B.正面和上面C.上面和侧面D.没有哪两面25.(1分)在、、这三个分数中,分数单位最小的一个是()A.B.C.四.操作题(共3小题,满分9分)26.(1分)4m长的彩带,每m剪一段,可以剪成几段?先在图中分一分,再列式计算.27.(4分)如图方格中小正方形的边长是1厘米.将方格中的梯形划分成a、b、c三个三角形,使它们的面积比为1:2:3.(1)分别求出a、b、c三个三角形的面积.(2)在如图的梯形中画出a、b、c三个三角形,并标出a、b、c.28.(4分)求下面图形的表面积与体积.五.计算题(共8小题,满分31分)29.(8分)对比练习.(1)有两块布,白布长15米,花布是白布的,花布有多少米?(2)有两块布,白布长15米,花布比白布长,花布比白布长多少米?(3)有两块布,白布长15米,花布长米,白布比花布长多少米?30.(4分)一个工程队架设45千米的线路,已经架设了全线路的,还有多少千米没有架设?31.(4分)小明和小丽原来存款数量的比是4:3,现在小明取出自己存款的40%还多100元,小丽存进500元,现在小丽的存款比小明多900元.小明取出存款多少元?32.(4分)一个水泥厂生产了一批水泥,已经卖出2100吨,正好卖了这批水泥的70%,还有多少吨水泥没有卖出?33.(2分)一个无水的观赏鱼缸中放着一块高为30厘米,体积为3000立方厘米的假山石.如果水管以每分7立方分米的流量向缸中注水,至少需要多长时间才能将假山石完全浸没?34.(4分)一桶油,第一次用去它的,第二次用去30千克,还剩下这桶油的一半.这桶油有多少千克?35.(3分)有甲、乙两箱苹果,如果从甲箱取出10千克放入乙箱,则两箱相等:若从两箱各取出10千克,这时甲箱余下的比乙箱余下的多5千克,甲、乙两箱各有苹果多少千克?36.(2分)物体从高空下落,经过4秒落地.已知第一秒下落4.8米,以后每一秒都比前一秒多下落9.7米.这个物体在下落前距地面多少米?答案与解析一.计算题(共4小题,满分27分)1.解:34×2.8=95.20.75×=×=÷60%=2.解:(1):=÷=;(2)36:27=36÷27=;(3):0.25=÷0.25=2.8.3.解:(1)x﹣x=x=x=x=(2)6+4x=506+4x﹣6=50﹣64x=444x÷4=44÷4x=11(3)=2.4x=64×0.92.4x=57.62.4x÷2.4=57.6÷2.4x=244.解:(1)[4﹣(﹣)]×=[4﹣]×=×=(2)3.5×+6.5×0.8=3.5×0.8+6.5×0.8=(3.5+6.5)×0.8=10×0.8=8(3)×+÷4=×+×=(+)×=1×=(4)(+)÷+=÷+=+=二.填空题(共15小题,满分27分)5.解:(1)2小时=2时24分(2)1m350dm3=1050dm3.故答案为:2,24,1050.6.解:4=16(吨)16﹣4=12(吨)答:这堆沙子共重16吨,还剩下12吨.故答案为:16,12.7.解:1.2:=(1.2×):(×)=9:51.2:=1.2÷=故答案为:9:5,.8.解:15×6=90(平方厘米)12×6=72(平方厘米)答:它的前面是面积是90平方厘米,左面的面积是72平方厘米.故答案为:90、72.9.解:(1)<(2)=(3)>(4)a<a(a是不为0的自然数)故答案为:<,=,>,<.10.解:甲:乙=3:4=(3×5):(4×5)=15:20;乙:丙=5:6=(5×4):(6×4)=20:24;甲:乙:丙=15:20:24;故答案为:15,20,24.11.解:4.5÷=13.5(吨);13.5﹣4.5=9(吨);答:这堆沙子共重13.5吨,还剩下9吨.故答案为:13.5、9.12.解:5×5×6+5×5×2=25×6+25×2=150+50=200(平方厘米),答:这两个长方体的表面积和是200平方厘米.故答案为:200平方厘米.13.解:正方体的表面积:8×8×6=64×6=384(平方厘米)正方体的体积:8×8×8=64×8=512(立方厘米)答:正方体的表面积是384平方厘米,体积是512立方厘米.14.解:设笑笑读的这本书一共有x页,(20%x+22):(x﹣20%x﹣22)=4:5(22+0.2x):(0.8x﹣22)=4:53.2x﹣88=110+x2.2x=198x=90答:笑笑读的这本书一共有90页.故答案为:90.15.解:这是一个正方体的平面展开图,共有六个面,其中面“构”与面“谐”相对,所以如果图中“构”字在正方体的左面,那么这个正方体的右面是“谐”字.故答案为:谐.16.解:因为甲数×=乙数×所以甲数:乙数=:=5:4故答案为:5,4.17.解:÷(1+)×(1﹣)=÷×=×=(吨)答:运来的桃吨.18.解:(1)一面涂色的小正方体有:(3﹣2)×(3﹣2)×6=1×1×6=6(个);(2)两面涂色的小正方体有:(3﹣2)×12=1×12=12(个);(3)三面涂色的小正方体有8个;(4)没有涂色的小正方体有:(3﹣2)×(3﹣2)×(3﹣2)=1×1×1=1(个);故答案为:6;12;8;1.19.解:如图所示:在这几条线段中最短的是垂线段,这条线段的长度叫做点A到直线L的距离.故答案为:距离.三.选择题(共6小题,满分6分,每小题1分)20.解:240×=40+1=41(页)答:她第二天应从第41页看起.故选:C.21.解:4:5=(4÷8):(5÷8)=0.5:0.625=4:5.答:比的后项应除以8.故选:C.22.解:28÷4=7(平方厘米)答:这根长方体木料的横截面积是7平方厘米.故选:B.23.解:由题意可知:甲数是乙数的0.6倍,把乙数看作1,则甲数是0.6,甲乙两数的比是:0.6:1=6:10=3:5.答:甲数和乙数的最简比是3:5.故选:C.24.解:从正面和上面看到的形状是相同的,都是故选:B.25.解:的分数单位是,的分数单位是,的分数单位是,,所以分数单位最小的一个是.故选:A.四.操作题(共3小题,满分9分)26.解:可以剪成几段?先在图中分一分:列式计算:4÷=6(段)答:可以剪成6段.27.解:(1)(2+4)×4÷2=6×4÷2=12(平方厘米)12÷(1+2+3)=12÷6=2(平方厘米)2×1=2(平方厘米)2×2=4(平方厘米)2×3=6(平方厘米)(2)三角形各定点在格点上,所以:三角形a:底1厘米,高4厘米,面积:1×4÷2=2(平方厘米)三角形b:底2厘米,高4厘米,面积:2×4÷2=4(平方厘米)三角形c:底3厘米,高4厘米,面积:3×4÷2=6(平方厘米)如图所示:28.解:5×5×6+(16×5+16×2+5×2)×2﹣5×5×2=150+(80+32+10)×2﹣50=150+122×2﹣50=150+244﹣50=344(平方厘米);5×5×5+16×5×2=125+160=285(立方厘米);答:它的表面积是344平方厘米,体积是285立方厘米.五.计算题(共8小题,满分31分)29.解:(1)15×=5(米)答:花布有5米.(2)15×=5(米)答:花布比白布长5米.(3)15﹣=14(米)答:白布比花布长14米.30.解:根据题意得:45×(1﹣)=45×=15(千米)答:还有15千米没有架设.31.解:设小明和小丽原来存款各是4x元、3x元,3x+500=4x×(1﹣40%)﹣100+9003x+500=2.4x+8003x=2.4x+3000.6x=300x=5004x=4×500=20002000×40%+100=800+100=900(元)答:小明取出存款900元.32.解:2100÷70%﹣2100=3000﹣2100=900(吨)答:还有900吨水泥没有卖出.33.解:3000立方厘米=3立方分米50×20×30=30000(立方厘米)30000立方厘米=30立方分米(30﹣3)÷7=27÷7≈3.86(分钟)答:至少需要3.86分钟才能将假山石完全浸没.34.解:30÷(1﹣﹣)=30÷=90(千克).答:这桶油有90千克.35.解:设乙箱苹果有x千克,则甲箱有(x+10×2)千克.(x﹣10)×=(x+10×2﹣10)×﹣5(x﹣10)×=(x+10)×﹣5x﹣=x+3﹣5x﹣﹣x=x+3﹣5﹣xx﹣=3﹣5x﹣+=3﹣5+x=x÷=÷x=4040+10×2=40+20=60(千克)答:甲箱有60千克苹果,乙筐有40千克苹果.36.解:第一秒:4.8米第二秒:4.8+9.7=14.5(米)第三秒:14.5+9.7=24.2(米)第四秒:24.2+9.7=33.9(米)答:这个物体在下落前距地面33.9米.。
苏教版六年级数学上册期中测试卷(含答案)(时间:60分钟分数:100分)班级:姓名:分数:一、填空题。
(每题2分,共20分)1、从六(1)班调全班人数的1/10到六(2)班,则两班人数相等,原来六(1)班与六(2)班的人数比是()。
2、六(1)班有50人,女生占全班人数的2/5,女生有()人,男生有()人.3、4:9的前项增加8,要使比值不变,后项要增加()4、花生的出油率是38%,300kg花生可以榨油()kg,要榨76kg花生油需要花生()kg.5、淘气的爸爸把500元存入银行,定期三年,年利率是3.33%到期后淘气的爸爸应得的利息是()元.6、圆的周长是6.28分米,那么半圆的周长是()分米.7、一副羽毛球拍的原价120元,先降价10%,再涨价10%,现价是()元。
8、在一幅比例尺是8∶1的精密零件图纸上,量得图纸上零件长40mm,这个零件实际长()cm.9、一个圆的半径扩大到原来的3倍,它的周长扩大到原来的()倍,面积扩大到原来的()倍.10、下图中长方形的周长是24cm,则半圆的周长是()cm,面积是()cm2。
二、判断题(对的打“√”,错的打“×”。
每题2分,共10分)1、兴趣小组做发芽实验,浸泡了20粒种子,结果16颗发芽了,发芽率是16%。
()2、一个圆柱的底面半径是8厘米,它的侧面展开正好是一个正方形,这个圆柱的高是16厘米.( )3、圆柱的体积等于圆锥体积的3倍。
()4、角的两边越长,这个角就越大。
( )5、用4个同样大小的正方体可以拼成一个大的正方体。
( )三、选择题。
(每题1分,共5分)1、将一个棱长是4分米的正方体木块削成一个最大的圆柱,则圆柱的体积是( )立方分米。
A .200.96B .12.56C .50.242、甲数是一个质数,乙数是一个合数,它们的和是11,甲、乙两数相乘的积最小是( )。
A .10B .18C .24D .303、如果一个三角形的三个内角比是3∶1∶2,按角分,这个三角形是( )。
苏教版六年级上册数学期中考试试卷一、选择题1.下面的()展开图不能围成正方体。
A.B.C.D.2.如图是用棱长为2厘米的正方体摆成的物体,这个物体的表面积是()平方厘米。
A.10 B.30 C.34 D.1363.一个底面是正方形的长方体,把它的侧面展开后,正好是一个边长为12分米的正方形,原来这个长方体的体积()立方分米。
A.144 B.108 C.27 D.544.下列有()句是正确的。
①冰化成水,体积减小了111;水结成冰,体积增加了110。
②74是倒数。
③正方体棱长扩大到原来的5倍,体积扩大到原来的125倍。
④75A A ÷>A.1 B.2 C.3 D.45.有两根长度相同的绳子,从第一根上先剪去全长的25,再剪去25米;第二根上先剪去25米,再剪去余下的25。
比较两根绳子所剩下的长度,()。
A.第一根长B.第二根长C.两根一样长D.无法确定6.如图,已知重叠部分面积相当于圆面积的14,又相当于长方形的27,则圆与长方形的面积比是()。
A .8∶7B .7∶8C .7∶6D .6∶7二、填空题7.54的23是(________),54是23的(________),54的(________)是23。
8.( )2435:÷=( )()=()=0.875。
9.填空。
(1)34时=(________)分 (2)25公顷=(________)平方米(3)5600mL =(________)dm 3 (4)4立方分米80立方厘米=(________)立方分米10.25吨黄豆可榨油120吨,平均每榨1吨油要用(_____)吨黄豆,平均每吨黄豆可榨(_____)吨油.11.一个无盖的长方体金鱼缸,长5分米,宽3分米,高35厘米,它的表面积是(________)平方分米,体积是(________)立方分米。
12.把一个表面涂色且棱长9厘米的大正方体切成棱长3厘米的小正方体后,两面涂色的小正方体有(______)个,大正方体和小正方体的体积之比是(______)。
苏教版数学三年级上学期期中测试卷学校________ 班级________ 姓名________ 成绩________一.选择题(共10小题)1.A是一个()时,它的倒数小于1.A.大于1的整数B.假分数C.真分数2.×6和6×的()A.积不相等,意义不相同B.积相等,意义相同C.积相等,意义不相同3.从甲堆煤中取出给乙堆,两堆煤的重量就相等,现在甲,乙两堆煤的重量比是()A.7:5B.7:3C.7:2D.1:14.如图是正方体纸盒展开后的平面图,在正方体纸盒上与1号面相对的面是()A.3B.4C.5D.65.下面图形中不能拼成正方体的是()A.B.C.D.6.甲筐苹果的与乙筐苹果的一样重,那么()A.甲筐重B.乙筐重C.一样重7.甲、乙两个圆的直径比是2:3,那么甲、乙两个圆的面积比是()A.1:8B.4:9C.2:3D.3.14:7.065 8.3:5的前项增加9,要使比值不变,后项应()A.增加9B.乘9C.乘49.一个正方体木块,各个面上分别写上A、B、C、D、E、F这六个字母,A的对面是F,B的对面是E,C的对面是D.这个木块如图放置后按剪头所示方向滚动,滚动到最后一格时,木块上方是()A.字母A B.字母B C.字母C D.字母F10.一个等腰直角三角形的三个内角的度数比是()A.1:2:2B.2:1:1C.1:3:3D.3:3:1二.填空题(共8小题)11.的倒数是;的倒数是.12.12个是,m的21倍是m.13.说说下列算式的意义.(1)16×表示,也可以表示.(2)表示.14.一个合唱团有50人,其中女生有30,女生人数占合唱团总人数的.男生人数占合唱团总人数的.15.如图是一个正方体的展开图,把它折成正方体后,数字“2”的对面是数字,数字“4”的对面是数字.16.挖一个长和宽都是5米的长方体菜窖,要使菜窖的容积是5立方米,应该挖米深.17.小圆的直径是4cm,大圆的半径是6cm,小圆与大圆的半径比是,直径比是(:),周长比是(:),面积比是(:).18.一个车间男工人数比女工人数多,男工人数和女工人数的比是,男工人数占总人数的.三.判断题(共5小题)19.含糖率10%的糖水中,糖和水的比是1:10.(判断对错)20.弟弟比哥哥矮,哥哥和弟弟的身高之比是6:5.(判断对错)21.如图沿虚线折叠后能围成正方体..(判断对错)22.4米长的钢丝截取全长的后,剩下米..(判断对错)23.棱长6厘米的正方体,表面积和体积一样大.(判断对错)四.计算题(共3小题)24.求下面各比的比值.750:12500.48:0.186:m3:100dm3 25.列式计算:(1)60吨的是多少吨?(2)比50千克多是多少千克?26.计算如图各图形的表面积和体积.单位cm五.操作题(共1小题)27.请你在如图的方框内画图表示:×.六.应用题(共4小题)28.做一个长160厘米,宽60厘米,高80厘米的无盖鱼缸,至少需要多少平方厘米的玻璃?29.学校要粉刷一间多媒体教室内的四壁,经测量多媒体教室的长是9米,宽是7米,高是3米,门窗面积合计是12.6平方米.需要粉刷的面积是多少平方米?30.一批货物,运走一些后还剩下60吨,剩下的是运走的.这批货物共有多少吨?31.一辆汽车从甲地开往乙地,已行驶144千米,距乙地还有全程的.甲乙两地相距多少千米?答案与解析一.选择题(共10小题)1.解:A、大于1的整数的倒数小于1,故选项正确;B、假分数的倒数小于或等于1,故选项错误;C、真分数的倒数大于1,故选项错误.故选:A.2.解:根据分数乘法的意义,×6和6×的意义不同;==.故选:C.3.解:因为现在两堆煤的重量就相等的,所以现在甲,乙两堆煤的重量比是1:1答:现在甲,乙两堆煤的重量比是1:1故选:D.4.解:如图正方体纸盒展开后的平面图,在正方体纸盒上与1号面相对的面是4号面.故选:B.5.解:、、能拼成正方体;不能拼成正方体.故选:C.6.解:甲筐×=乙筐×,=,=,所以甲筐大于乙筐;故选:A.7.解:设甲圆直径为2d,则乙圆直径为3d,甲圆面积:π×(2d÷2)2=πd2,乙圆面积:π(3d÷2)2=πd2,甲圆面积:乙圆面积=πd2:πd2=4:9;故选:B.8.解:3:5的前项加9,由3变成12,相当于前项乘4;要使比值不变,后项也应该乘4,故选:C.9.解:如图第一次滚动,A面在上方;第二次滚动,B面在上方;第三滚动C面在上方.故选:C.10.解:(180°﹣90°)÷2=90°÷2=45°即这个等腰直角三角形的底角是45°90:45:45=2:1:1答:一个等腰直角三角形的三个内角的度数比是2:1:1.故选:B.二.填空题(共8小题)11.解:的倒数是的倒数是故答案为:,.12.解:(1)×12=(2)×21=(米)答:12个是,m的21倍是m.故答案为:;.13.解:(1)16×表示16个是多少,也可以表示16的是多少.(2)表示的是多少.故答案为:16个是多少,16的是多少,的是多少.14.解:30÷50=(50﹣30)÷50=20÷50=(或1﹣=)答:女生人数占合唱团总人数的.男生人数占合唱团总人数的.故答案为:,.15.解:如图把它折成正方体后,数字“2”的对面是数字“6”,数字“4”的对面是数字“1”.故答案为:“6”,“1”.16.解:5÷(5×5)=5÷25=0.2(米)答:应挖2米深.故答案为:0.2.17.解:(4÷2):6=2:6=1:34:(6×2)=4:12=1:3(4π):(2×π×6)=4π:12π=1:3[π×()2]:(π×62)=4π:36π=1:9答:圆与大圆的半径比是1:3,直径比是(1:3),周长比是(1:3),面积比是(1:9).故答案为:1:3;1,3;1,3;1,9.18.解:(1+):1=:1=5:4(1+)÷(1++1)=÷=答:男工人数和女工人数的比是5:4,男工人数占总人数的.故答案为:5:4;.三.判断题(共5小题)19.解:10%:(1﹣10%)=0.1:0.9=1:9所以原题的说法是错误的故答案为:×.20.解:弟弟比哥哥矮,那么弟弟的身高是哥哥身高的1﹣=,哥哥与弟弟身高的比是1:=6:5,所以哥哥与弟弟身高的比是6:5说法正确.故答案为:√.21.解:因为画出的是7个正方形,正方体有6个面,所以不能围成正方体;故答案为:×.22.解:4﹣4×=4=2(米);故答案为:错误.23.解:因为表面积和体积不是同类量,所以不能进行比较.因此,棱长为6厘米的正方体的表面积和体积一样大.这种说法是错误的.故答案为:×.四.计算题(共3小题)24.解:750:1250=750÷1250=0.60.48:0.18=0.48÷0.18=6:=6:2.5=2.4m3:100dm3=375dm3:100dm3=375÷100=3.7525.解:(1)60×=40(吨)答:60吨的是40吨.(2)50+50×=50+25=75(千克)答:比50千克多是75千克.26.解:表面积:(15×8+15×6+6×8)×2=(120+90+48)×2=258×2=516(平方厘米)体积:15×6×8=90×8=720(立方厘米)答:长方体的表面积是516平方厘米,体积是720立方厘米.表面积:6×72=294(平方厘米)体积:73=343(立方厘米)答:正方体的表面积是294平方厘米,体积是343立方厘米.五.操作题(共1小题)27.解:×=作图如下,六.应用题(共4小题)28.解:160×60+(160×80+60×80)×2=9600+(12800+4800)×2=9600+17600×2=9600+35200=44800(平方厘米)答:至少需要44800平方厘米的玻璃.29.解:(9×3+7×3)×2﹣12.6=(27+21)×2﹣12.6=48×2﹣12.6=96﹣12.6=83.4(平方米)答:需要粉刷的面积是83.4平方米.30.解:剩下的是运走的,则剩下的是总吨数的60÷=60÷=180(吨)答:这批货物共有180吨.31.解:144÷(1﹣)=144÷=360(千米)答:甲乙两地相距360千米.。