水利部2002《水利工程施工机械台时费定额》①
- 格式:xls
- 大小:4.21 MB
- 文档页数:8
中华人民共和国水利部水利工程设计概(估)算编制规定总则一、为适应社会主义市场经济的发展和水利工程基本建设投资管理的需要,提高概(估)算编制质量,合理确定工程投资,根据建筑安装工程费用组成的有关规定,在水建[1998]15号文发布的《水利水电工程设计概(估)算费用构成及计算标准》的基础上,并结合近些年水利工程自身行业特点,制定了本编制规定。
它是编制和审批水利工程设计概(估)算的依据,也是编制工程标底的指导性标准。
二、本规定适用于中央项目和中央参与投资的地方大型水利项目。
三、工程的设计概(估)算应按编制年的政策及价格水平进行编制。
若工程开工年份的设计方案及价格水平与初步设计概算有明显变化时,则其初步设计概算应重编报批。
四、本规定由水利部水利建设经济定额站负责管理与解释。
初步设计概算第一篇 总 论第一章工程分类及概算编制依据第一节 工程分类和工程概算组成1、水利工程按工程性质划分为二大类,具体划分如下:2、水利工程概算由工程部分、移民和环境两部分构成。
具体划分如下:3、工程各部分下设一级、二级、三级项目。
4、移民和环境部分划分的各级项目执行《水利工程建设征地移民补偿投资概(估)算编制规定》、《水利工程环境保护设计概(估)算编制规定》和《水土保持工程概(估)算编制规定》。
第二节初步设计概算文件编制依据1、国家及省、自治区、直辖市颁发的有关法令法规、制度、规程;2、水利工程设计概(估)算编制规定;3、水利建筑工程概算定额、水利水电设备安装工程概算定额、水利工程施工机械台时费定额和有关行业主管部门颁发的定额;4、水利工程设计工程量计算规则;5、初步设计文件及图纸;6、有关合同协议及资金筹措方案;7、其他。
第二章概算文件组成内容第一节概算正件组成内容一、编制说明1、工程概况流域,河系,兴建地点,对外交通条件,工程规模,工程效益,工程布置型式,主体建筑工程量,主要材料用量,施工总工期,施工总工时,施工平均人数和高峰人数,资金筹措情况和投资比例等。
第六届全国水利高职院校“江淮杯”技能竞赛实操题第二部分实操考试(总分100,开卷,考试时间240分钟)一、计算工程项目的人工预算单价。
(8分)某大(Ⅰ)型枢纽工程位于八类地区。
经国家物价部门批准的地区津贴为30元/月,地方政府规定的特殊地区补贴为20元/月,养老保险费率为22%、住房公积金费率5%,请按现行部颁规定计算中级工的人工工时预算单价。
人工预算单价计算表地区类别定额人工等级序号项目计算式单价(元)二、主要材料及混凝土预算价格。
(共10分,各5分)1、水泥某水利枢纽工程水泥由工地附近甲乙两个水泥厂供应。
两厂水泥供应的基本资料如下:1)甲厂42.5散装水泥出厂价290元/t;乙厂42.5水泥出厂价袋装330元/t,散装300元/t。
两厂水泥均为车上交货。
2)袋装水泥汽车运价0.55元/t·km,散装水泥在袋装水泥运价基础上上浮20%;袋装水泥装车费为6.00元/t,卸车费5.00元/t,散装水泥装车费为5.00元/t,卸车费4.00元/t。
其运输路径如下图,均为公路运输;3)运输保险费率:1‰;甲厂60%散装总仓库工地分仓库施工现场乙厂40%袋装30%散装70%4)计算该水泥的综合预算价格主要材料预算价格计算表编号名称及规格单位原价依据单位毛重(t)每吨运费(元)价格(元)原价运杂费采购及保管费运到工地分仓库价格保险费预算价格计算过程:2、某工程挡水坝体纯混凝土设计选用的混凝土强度等级与级配为C20三级配,混凝土用42.5号普通水泥。
已知混凝土各组成材料的预算价格为:42.5号普通水泥400元/t,中砂50元/ m3、碎石45元/ m3、水1元/ m3。
试计算该工程中坝体混凝土材料的预算单价。
混凝土材料单价计算表单位:m3序号混凝土标号水泥强度等级级配材料用量预算单价(元)材料价差(元) 水泥砂石粉煤灰外加剂水数量(Kg)单价(元)数量(m3)单价(元)数量(m3)单价(元)数量(Kg)单价(元)数量(Kg)数量(元)数量(m3)单价(元) 计算过程:30Km50Km10Km 5km三、施工机械台时费(5分)查《水利工程施工机械台时费定额》计算88kw推土机机械台时费,已知工长、高级工、中级工和初级工的人工预算单价分别为7.11元/工时、6.61元/工时、5.62元/工时、3.04元/工时;柴油预算单价为8.50元/kg。
一-1 人工挖一般土方适用范围:一般土方开挖工作内容:挖松、就近堆放3一-2 人工挖冻土方工作内容:1.人力开挖:挖冻土。
2.松动爆破:掏眼、装药、填塞、爆破、安全处理及挖土等。
3一-3人工挖一般土方人力挑抬运输适用范围:一般土方挖运.工作内容:挖土、装筐、运卸、空回。
3一-4人工挖一般土方胶轮车运输适用范围:开挖、填筑一般土方。
工作内容:挖土、装车、重运、卸车、空回。
3一-5人工挖倒沟槽土方工作内容:挖土、修底、将土倒运到槽边两侧0.5m以外。
(1) Ⅰ~Ⅱ类土3(2) Ⅲ类土3(3) Ⅳ类土3注:1.本定额按上口宽规定了一定深度,超过此深度本定额不适用,应采取其他施工方法;2.本定额不包括修边,如需要修边时,不同上口宽度不同土质类别,修边工时按下表增加:一-6人工挖沟槽土方人力挑抬运输工作内容:1.挖土:挖土修底。
2.挖运:挖土、装筐、挑(抬)运、修底。
(1) Ⅰ~Ⅱ类土3(2) Ⅲ类土3(3) Ⅳ类土3注:本定额不包括修边,如需要修边时,采用一-9节人工挖渠道土方挑(抬)运土定额。
一-7 人工挖倒柱坑土方工作内容:挖土、修底、将土倒运至槽边两侧0.5m以外。
(1) Ⅰ~Ⅱ类土3(2) Ⅲ类土3(3) Ⅳ类土3注:本定额不包括修边,如需要修边时,不同上口面积不同土质类别,修边工时按下表增加:一-8 人工挖柱坑土方人力挑抬运输工作内容:1.挖土:挖土修底。
2.挖运:挖土、装筐、挑(抬)运、修底。
(1) Ⅰ~Ⅱ类土3(2) Ⅲ类土3(3) Ⅳ类土3注:本定额不包括修边,如需要修边时,不同上口面积不同土质类别,修边工时按下表增加:一-9 人工挖渠道土方人力挑抬运输工作内容:1.挖土:挖土、挖土修底。
2.挖运:挖土、装筐、挑(抬)运、修底。
(1) Ⅰ~Ⅱ类土单位:100m3(2)Ⅲ类土3(3)Ⅳ类土3一-10 人工挖渠道土方胶轮车运输工作内容:1.挖土:挖土、修边底。
2.挖运:挖、装、运、卸、修边底。
中华人民共和国水利部水利工程设计概(估)算编制规定总则一、为适应社会主义市场经济的发展和水利工程基本建设投资管理的需要,提高概(估)算编制质量,合理确定工程投资,根据建筑安装工程费用组成的有关规定,在水建[1998]15号文发布的《水利水电工程设计概(估)算费用构成及计算标准》的基础上,并结合近些年水利工程自身行业特点,制定了本编制规定。
它是编制和审批水利工程设计概(估)算的依据,也是编制工程标底的指导性标准。
二、本规定适用于中央项目和中央参与投资的地方大型水利项目。
三、工程的设计概(估)算应按编制年的政策及价格水平进行编制。
若工程开工年份的设计方案及价格水平与初步设计概算有明显变化时,则其初步设计概算应重编报批。
四、本规定由水利部水利建设经济定额站负责管理与解释。
初步设计概算第一篇 总 论第一章工程分类及概算编制依据第一节 工程分类和工程概算组成1、水利工程按工程性质划分为二大类,具体划分如下:2、水利工程概算由工程部分、移民和环境两部分构成。
具体划分如下:3、工程各部分下设一级、二级、三级项目。
4、移民和环境部分划分的各级项目执行《水利工程建设征地移民补偿投资概(估)算编制规定》、《水利工程环境保护设计概(估)算编制规定》和《水土保持工程概(估)算编制规定》。
第二节初步设计概算文件编制依据1、国家及省、自治区、直辖市颁发的有关法令法规、制度、规程;2、水利工程设计概(估)算编制规定;3、水利建筑工程概算定额、水利水电设备安装工程概算定额、水利工程施工机械台时费定额和有关行业主管部门颁发的定额;4、水利工程设计工程量计算规则;5、初步设计文件及图纸;6、有关合同协议及资金筹措方案;7、其他。
第二章概算文件组成内容第一节概算正件组成内容一、编制说明1、工程概况流域,河系,兴建地点,对外交通条件,工程规模,工程效益,工程布置型式,主体建筑工程量,主要材料用量,施工总工期,施工总工时,施工平均人数和高峰人数,资金筹措情况和投资比例等。
工程投资预算一、投资预算编制原则和依据1.水利部水总[2002]116号文“关于发布《水利建筑工程预算定额》、《水利建筑工程概算定额》、《水利工程施工机械台时费定额》及《水利工程设计概(估)算编制规定》的通知”;山西省水利厅晋水规计[2003]716号文“关于发布《山西省水利水电工程设计概(估)算编制规定》的通知”和山西省水利厅晋水规计[2009]891号文“关于对《山西省水利水电工程设计概(估)算编制规定》补充调整的通知”。
2.工程设计和施工组织设计。
二、采用定额:1.建筑安装工程定额:建筑工程执行(2002)《水利建筑工程概算定额》及(2005)《水利工程概预算补充定额》、设备安装工程执行(2002)《水利水电设备安装工程概算定额》。
2.施工机械台时费执行(2002)《水利工程施工机械台时费定额》。
三、费用标准:1.人工工资:按照山西省水利厅晋水规计[2003]716号文规定计算,人工工资按照六类地区标准计列。
人工工资计算结果:工长:5.10元/工时;高级工:4.75元/工时;中级工:4.08元/工时;初级工:2.18元/工时。
2.主要材料价格按照晋城市2014年4月份《晋城工程造价信息》建设工程材料指导价格计取。
主要材料单价大于省水利厅晋水规计[2009]891号文规定的基本价格的,按限定的基本价格计算工程单价,材料预算价格超过限定价格的部分作为材料价差,在按规定计取税金后,列入相应部分之后。
3.建筑、安装工程取费标准建筑、安装工程费用取费表4. 4.独立费用计算标准按照山西省水利厅晋水规计[2003]716号文执行。
5.工程建设监理费按国家发展和改革委员会、建设部发改价格[2007]670号文执行。
6.技术咨询费按晋价房字[2000]第17号文执行。
7.招标代理费按山西省水利厅晋水财经[2003]131号文执行。
8.勘察设计费按国家计委、建设部计价格[2002]10号文规定计列9.基本预备费按一至五部分投资合计的5%取。
基础价格及操作说明
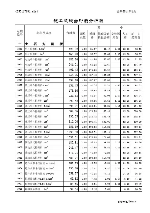
1、本定额为水利部2002《水利工程施工机械台时费定额》水总【2002】116号
2、本定额适用于水利建筑安装工程。
内容包括:土石方机械、混凝土机械、运输机械、起重机械、砂石料加工机械、钻孔灌浆机械、工程船船舶、动力机械及其他机械工九类,1244子目。
3、本《定额》为台时费定额,用台班计费时须进行换算。
4、本定额由一类、二类费用组成;一类费用分为折旧费、修理及替换设备费(含大修理费、经常性修理费)和安装拆卸费,按2000年度价格水平计算并用金额表示。
二类费用分为人工、动力、燃料或消耗材料,以工时数量和实物消耗量表示,其费用按国家规定的人工工资计算办法和工程所在地的物价水平分别计算。
5、使用时,一类费用的基价不动,只要在《机械台时费》中按不同的机械进行调整系数即可。
6、二类费用中的汽油、柴油按当地市场价计算,电、水、风的价格可比照其他工程执行。
7、人工费按照不同的地区和不同的工程类型计算工资,并按中级工计算。
8、选用、打印时,只要把不需要的单元格隐藏即可。
9、本单价分析表,已与基础价格产生了链接,请不要随意更改。
10、谢谢各位使用并敬请各位多多提出宝贵意见。
七-1 钻机钻岩石层灌浆孔—自下而上灌浆法七-2 钻机钻岩石层灌浆孔—自上而下灌浆法3.本4.终孔孔径大于91mm 时,钻机改为300型。
5. 钻试验孔,人工、钻机定额乘1.1系数;钻观测孔,人适用范围:露天作业,帷幕灌浆、固结灌浆。
工作内容:钻孔、钻灌交替、扫孔、孔位转移适用范围:露天作业,帷幕灌浆、固结灌浆、排水孔、水位观测孔。
工作内容:钻孔、孔位转移。
七-3 风钻钻灌浆孔七-4 坝基岩石帷幕灌浆—自下而上灌浆法适用范围:露天作业,孔深小于8m的固结灌浆孔、排水孔。
工作内容:孔位转移、接拉风管、钻孔2.洞内作业适用范围:露天作业,一排帷幕,自下而上分段灌浆。
工作内容:洗孔、压水、制浆、灌浆、封孔、孔位转3.本4.终孔孔径大于91mm 时,钻机改为300型。
5. 钻检查孔及先层孔,人工、钻机定额乘1.20系数。
七-5 坝基岩石帷幕灌浆—自上而下灌浆法适用范围:露天作业,一排帷幕,自上而下分段灌浆。
工作内容:洗孔、压水、制浆、灌浆、扫孔、钻灌3.对于重要的挡水建筑物的帷幕灌浆,应增加灌浆自动记录仪,其台时数量与灌浆泵台时数量之比例为: 单孔记录七-6 孔口封闭灌浆七-7 基础固结灌浆七-8 隧洞固结灌浆适用范围:自上而下孔口封闭循环灌浆,孔径75mm以内,孔深100m以内。
工作内容:灌浆前冲孔、简易工作内容:冲洗、压水、制浆、灌浆、封孔、孔位转移。
3.对于重要的挡水建筑物的帷幕灌浆,应增加灌浆自动记录仪,其台时数量与灌浆泵台时数量之比例为: 单孔记录工作内容:简易工作平台搭拆、洗孔、压水、制浆、灌浆、封孔、孔位转移。
3.调压井灌浆,人工、机械定额乘0.9系数。
七-9 回填灌浆适用范围:高压管道回填灌浆适用于钢板与混凝土 接触面2七-10 压水试验七-11 压浆检查高奔放这道回填灌浆按钢管外径面积计算工程量。
适用范围:一个压力点法适用于固结灌浆检查孔压水 试验,三压力五阶段法适用于帷幕灌浆×固结灌浆孔数×5%,每孔段数=孔深÷5(取整数); 2.三压力五适用范围:隧洞及竖井回填灌浆检查孔。
说 明一、本定额是以水利部颁发的《水利工程施工机械台时费定额》为基础,结合水土保持工程特点编制的。
内容包括土石方机械、混凝土机械、运输机械、起重机械、砂石料加工机械、钻孔灌浆机械、动力机械和其他机械共八章,587个子目。
二、本定额以台时为计量单位。
三、本定额由两类费用组成,定额表中以(一)、(二)表示。
一类费用分为折旧费、修理及替换设备费(含大修理费、经常性修理费)和安装拆卸费,按2002年度价格水平计算并用金额表示。
二类费用分为人工、动力燃料或消耗材料,以工时数量和实物消耗量表示,其费用按国家规定的人工工资计算办法和工程所在地的物价水平分别计算。
四、各类费用的定义及取费原则:1、折旧费:指机械在寿命期内回收原值的台时折旧摊销费用。
2、修理及替换设备费:指机械在使用过程中,为了使机械保持正常功能而进行修理所需费用、机械保管费,以及替换设备费、随机使用的工具附具等所需要的台时摊销费用。
3、安装拆卸费:指机械进出工地的安装、拆卸、试运转和场内转移及辅助设施的摊销费用。
不需要安装拆卸的施工机械台时费用不计列此项费用。
4、人工:指机械使用时机上人员的工时消耗。
包括机械运转时间、辅助时间、用餐、交接班以及必要的机械正常中断时间。
台时费中人工费按工程措施人工预算单价计算。
5、动力、燃料或消耗材料:指正常运输所需的风(压缩空气)、水、电、油及煤等。
其中,机械消耗电量包括机械本身和最后一级降压变压器低压侧至施工用点之间的线路损耗。
风、水、消耗包括机械本身和移动支管损耗。
五、本定额备注栏内注有符合“※”的大型机械,表示该项定额未列安装拆卸费,其费用在“其他时间工程”中解决。
六、本定额单半挖掘机台时费远适用于正铲和反铲。
七、本定额子目编号按以下方式排列:土石方机械 1001—— 混凝土机械 2001——运输机械 3001—— 起重机械 4001——砂石料加工机械5001—— 钻孔灌浆机械 6001——一、土石方机三、运输四、起重)五、砂石料加工机))))六、钻孔灌浆)七、动力八、其它。
中华人民共和国水利部水利工程设计概(估)算编制规定总则一、为适应社会主义市场经济的发展和水利工程基本建设投资管理的需要,提高概(估)算编制质量,合理确定工程投资,根据建筑安装工程费用组成的有关规定,在水建[1998]15号文发布的《水利水电工程设计概(估)算费用构成及计算标准》的基础上,并结合近些年水利工程自身行业特点,制定了本编制规定。
它是编制和审批水利工程设计概(估)算的依据,也是编制工程标底的指导性标准。
二、本规定适用于中央项目和中央参与投资的地方大型水利项目。
三、工程的设计概(估)算应按编制年的政策及价格水平进行编制。
若工程开工年份的设计方案及价格水平与初步设计概算有明显变化时,则其初步设计概算应重编报批。
四、本规定由水利部水利建设经济定额站负责管理与解释。
初步设计概算第一篇 总 论第一章工程分类及概算编制依据第一节 工程分类和工程概算组成1、水利工程按工程性质划分为二大类,具体划分如下:2、水利工程概算由工程部分、移民和环境两部分构成。
具体划分如下:3、工程各部分下设一级、二级、三级项目。
4、移民和环境部分划分的各级项目执行《水利工程建设征地移民补偿投资概(估)算编制规定》、《水利工程环境保护设计概(估)算编制规定》和《水土保持工程概(估)算编制规定》。
第二节初步设计概算文件编制依据1、国家及省、自治区、直辖市颁发的有关法令法规、制度、规程;2、水利工程设计概(估)算编制规定;3、水利建筑工程概算定额、水利水电设备安装工程概算定额、水利工程施工机械台时费定额和有关行业主管部门颁发的定额;4、水利工程设计工程量计算规则;5、初步设计文件及图纸;6、有关合同协议及资金筹措方案;7、其他。
第二章概算文件组成内容第一节概算正件组成内容一、编制说明1、工程概况流域,河系,兴建地点,对外交通条件,工程规模,工程效益,工程布置型式,主体建筑工程量,主要材料用量,施工总工期,施工总工时,施工平均人数和高峰人数,资金筹措情况和投资比例等。
建筑工程单价部分一、概述:水利工程概(估)算单价分为建筑和安装工程单价两类,它是编制水利水电工程建安工程投资的基础。
(一)、工程单价的概念工程单价,是指以价格形式表示的完成单位工程量(如1m3、1t、1套等)所耗用的全部费用。
他包括直接工程费、间接费、企业利润和税金等四部分内容。
(二)、工程单价组成的三要素建筑安装工程单价由“量、价、费”三要素组成。
量:指完成单位工程量所需的人工、材料和施工机械台时数量。
须根据设计图纸及施工组织设计等资料,正确选用定额相应子目的规定量。
价:指人工预算单价、材料预算价格和机械台时费、电价、水价、风价、砼、砂浆等基础单价。
费:指按规定计入工程单价的其他直接费、现场经费、间接费、利润和税金等。
须按规定的取费标准计算。
(三)、建筑工程单价编制1、建筑工程单价的编制步骤(1)深入现场,了解工程概况和工程现场各种基础情况,熟识设计图纸,与施工专业人员相配合,参与施工组织设计的编制,确定与工程规模和工期安排相适应的的施工安排,搜集编制基础单价所需的各种数据和资料,,根据工程规模和特点确定相匹配的取费标准(这是编制一个完整单价应具备的基本条件)。
(2)根据工程特征和施工组织设计确定的施工条件、施工方法及设备配备情况,正确选用定额子目(3)根据本工程基础单价和有关费用标准,计算直接工程费、间接费、企业利润和税金。
水利部现行规定的工程单价计算程序如表所示。
表6.1 建筑安装工程单价计算程序表2、建筑工程单价的编制方法通常水利工程在编制工程单价时是采用单价分析表的形式进行建筑工程单价的计算。
它由从事造价的专业人员根据每一个分部工程的具体情况自己动手分析计算。
是用货币形式表现定额单位产品价格的一种表现形式。
编制方法如下:1)按定额编号、工程名称、单位等分别填入表中相应栏内,其中:名称规格一栏应详细填写,如砼要分强度等级、级配等。
2)将定额中的人工、材料、机械等消耗量,以及相应的人工预算单价、材料预算价格和机械台时费分别填入表中各栏。
中华人民共和国水利部水利工程设计概(估)算编制规定水利部颁发的〔2002〕116号文总则一、为适应社会主义市场经济的发展和水利水电工程基本建设投资管理的需要,提高概(估)算编制质量,合理确定工程投资,根据建筑安装工程费用组成的有关规定,在水建[1998]15号文《水利水电工程设计概(估)算费用构成及计算标准》的基础上,并结合近些年水利水电工程自身行业特点,制定了本编制规定。
它是编制和审批水利水电工程设计概(估)算的依据,也是编制工程标底的指导性标准。
二、本规定适用于中央项目和中央参与投资的地方大型水利水电工程。
三、工程的设计概(估)算应按编制年的政策及价格水平进行编制。
若工程开工年份的设计方案及价格水平与初步设计概算有明显变化时,则其初步设计概算应重编报批。
四、本规定由水利部水利建设经济定额站负责管理与解释。
初步设计概算第一篇总论第一章工程分类及概算编制依据第一节工程分类和工程概算组成1.水利工程按工程性质划分为二大类,具体划分如下:(1)枢纽工程:水库、水电站、其他大型独立建筑物。
(2)引水工程及河道工程:供水工程、灌溉工程、河湖整治工程、堤防工程。
2.水利工程概算由工程部分、移民和环境两部分构成。
具体划分如下所示:(1)工程部分:建筑工程、机电设备及安装工程、金属结构及安装工程、施工临时工程、独立费用。
(2)移民和环境部分:水库移民征地补偿、水土保持工程、环境保护工程。
3.工程各部分下设一级、二级、三级项目。
4.移民和环境部分划分的各级项目执行《水利工程建设征地移民补偿投资概(估)算编制规定》、《水利工程环境保护设计概(估)算编制规定》和《水土保持工程概(估)算编制规定》。
第二节初步设计概算文件编制依据1.国家及省、自治区、直辖市颁发的有关法令法规、制度、规程;2.水利水电工程设计概(估)算编制规定;3.水利水电建筑工程概算定额、水利水电设备安装工程概算定额、施工机械台时费定额和有关行业主管部门颁发的定额;4.水利水电工程设计工程量计算规定;5.初步设计文件及图纸;6.有关合同协议及资金筹措方案;7.其他。
1、编制依据及基础资料(1)编制依据设计概算按水利部、安徽省现行有关规定、标准进行编制,其主要依据有:1、安徽省水利厅颁发的皖水建[2008]139号文关于印发《水利水电工程初步设计概(估)算费用构成及计算标准》的通知。
水利部水总[2002]116号文颁发的《水利工程设计概(估)算编制规定》(以下简称《116号文》)。
2、施工机械台时费采用《116号文》颁发的《水利工程施工机械台时费定额》。
3、建筑工程主要采用《116号文》颁发的《水利建筑工程概算定额》、水利厅(08)《安徽省水利水电建筑工程概算补充定额》。
4、安装工程主要采用水利部水建管[1999]523号文颁发的《水利水电设备安装工程概算定额》,缺项子目以水建[1993]63号文颁发的《(中小型)水利水电设备安装工程概算定额》为补充,并按水利部水利建设经济定额站水定[2003]1号文予以调整。
5、皖政(1993)4号安徽省人民政府关于修改《安徽省水利水电工程建设征用土地及安置移民办法》的通知6、皖水计字(1995)第30号关于修改《安徽省水利水电工程建设征用土地及安置移民办法》中有关补偿标准的通知7、国家、省、地方其他有关规定和标准,有关专业提供的工程量和图纸等。
(2)基础资料人工预算单价:依据《139号文》的规定,基本工资:工长为385元/月;高级工为350元/月;中级工为280元/月;初级工为190元/月。
施工津贴按4.5元/天(初级工按2.25元/天);夜班津贴4.5元/夜班;中班津贴3.5元/中班。
工资附加费标准中养老保险费率取18%,住房公积金费率取5%。
人工预算单价分别为:工长为5.10元/工时;高级工为4.76元/工时;中级工为4.08元/工时;初级工为2.20元/工时。
(3)费用构成及计算标准建筑、安装工程单价由直接工程费(包括直接费、其他直接费、现场经费)、间接费、企业利润、税金构成。
其中有关费用标准根据《139号文》规定分别采用如下:(1)其他直接费:建筑工程按直接费的2.5%计算,安装工程按直接费的3.2%计算。
中华人民共和国水利部水利工程设计概(估)算编制规定水利部颁发的〔2002〕116号文总则一、为适应社会主义市场经济的发展和水利水电工程基本建设投资管理的需要,提高概(估)算编制质量,合理确定工程投资,根据建筑安装工程费用组成的有关规定,在水建[1998]15号文《水利水电工程设计概(估)算费用构成及计算标准》的基础上,并结合近些年水利水电工程自身行业特点,制定了本编制规定。
它是编制和审批水利水电工程设计概(估)算的依据,也是编制工程标底的指导性标准。
二、本规定适用于中央项目和中央参与投资的地方大型水利水电工程。
三、工程的设计概(估)算应按编制年的政策及价格水平进行编制。
若工程开工年份的设计方案及价格水平与初步设计概算有明显变化时,则其初步设计概算应重编报批。
四、本规定由水利部水利建设经济定额站负责管理与解释。
初步设计概算第一篇总论第一章工程分类及概算编制依据第一节工程分类和工程概算组成1.水利工程按工程性质划分为二大类,具体划分如下:(1)枢纽工程:水库、水电站、其他大型独立建筑物。
(2)引水工程及河道工程:供水工程、灌溉工程、河湖整治工程、堤防工程。
2.水利工程概算由工程部分、移民和环境两部分构成。
具体划分如下所示:(1)工程部分:建筑工程、机电设备及安装工程、金属结构及安装工程、施工临时工程、独立费用。
(2)移民和环境部分:水库移民征地补偿、水土保持工程、环境保护工程。
3.工程各部分下设一级、二级、三级项目。
4.移民和环境部分划分的各级项目执行《水利工程建设征地移民补偿投资概(估)算编制规定》、《水利工程环境保护设计概(估)算编制规定》和《水土保持工程概(估)算编制规定》。
第二节初步设计概算文件编制依据1.国家及省、自治区、直辖市颁发的有关法令法规、制度、规程;2.水利水电工程设计概(估)算编制规定;3.水利水电建筑工程概算定额、水利水电设备安装工程概算定额、施工机械台时费定额和有关行业主管部门颁发的定额;4.水利水电工程设计工程量计算规定;5.初步设计文件及图纸;6.有关合同协议及资金筹措方案;7.其他。
浆砌石渠系工程水利定额预算与施工费用的对比张素仁【摘要】水利部水总[2002]116号文颁发的《水利建筑工程概算定额》、《水利工程施工机械台时费定额》至今已使用10余年,随着时代的发展、科技的进步,目前浆砌石渠系的施工方法和工艺及材料较以往已经有了很大变化。
本文通过浆砌石渠系分项工程具体对比目前施工和现行定额之间工艺和单价的区别。
%Shui Zong [2002]No. 1 16 ‘Water conservancy construction project budget quota’and ‘Hydraulic engineering construction machinery fee quota’have been issued by Ministry of Water Resources for more than ten years till present. Currently,construction method,technology and materials of slurry masonry canal systems have been greatly changed compared with previous methods,technology and materials with the development of times and progress of science and technology.In the paper,differences of technologies and unit prices between current construction and existing quota are concretely compared through slurry masonry canal system sub-projects.【期刊名称】《中国水能及电气化》【年(卷),期】2015(000)006【总页数】4页(P21-23,56)【关键词】浆砌石渠系;水利定额;施工费用【作者】张素仁【作者单位】忻州市水利勘测设计院,山西忻州 034000【正文语种】中文【中图分类】TV512Key words: slurry masonry canal system; water conservancy quota; construction cost浆砌石渠系工程主要包括土方工程、浆砌石工程、小型混凝土建筑工程和小型闸门安装工程。
土方说明一-1 人工挖一般土方一-2 人工挖冻土方一-3人工挖一般土方人力挑抬运输一-4人工挖一般土方胶轮车运输一-5人工挖倒沟槽土方一-6人工挖沟槽土方人力挑抬运输一-7 人工挖倒柱坑土方一-8 人工挖柱坑土方人力挑抬运输一-9 人工挖渠道土方人力挑抬运输一-10 人工挖渠道土方胶轮车运输一-11 人工挖平洞土方胶轮车运输一-12 人工挖平洞土方斗车运输一-13 人工挖斜井土方卷扬机牵引斗车运输一-14 人工挖竖井土方卷扬机提升斗运输一-15 人工装土机动翻斗车运输一-16人工装卸土手扶式拖拉机运输一-17人工装卸土中型拖拉机运输一-18 人工装土自卸汽车运输一-19 人工装卸土载重汽车运输一-20 推土机推土一-21 2.75m3铲运机铲运土一-22 8m3铲运机铲运土一-23 12m3自行式铲运机铲运土一-24 挖掘机挖土方一-25 轮斗挖掘机挖土方一-26 1m3挖掘机挖装土自卸汽车运输一-27 2m3挖掘机挖装土自卸汽车运输一-28 3m3挖掘机挖装土自卸汽车运输一-29 4m3挖掘机挖装土自卸汽车运输一-30 6m3挖掘机挖装土自卸汽车运输一-31 1m3装载机挖装土自卸汽车运输一-32 1.5m3装载机挖装土自卸汽车运输一-33 2m3装载机挖装土自卸汽车运输一-34 3m3装载机挖装土自卸汽车运输一-35 5m3装载机挖装土自卸汽车运输一-36 7m3装载机挖装土自卸汽车运输一-37 9.6m3装载机挖装土自卸汽车运输一-38 10.7m3装载机挖装土自卸汽车运输一-39 0.6m3液压反铲挖掘机挖渠道土方自卸汽车运输一-40 1m3液压反铲挖掘机挖渠道土方自卸汽车运输一-41 2m3液压反铲挖掘机挖渠道土方自卸汽车运输一-42 胶带机运土一-43 土料翻晒一-44 建筑物回填土石一-45 自行式凸块振动碾压实一-47 轮胎碾压实一-48 拖拉机压实一-49 土隧洞木支撑石方说明二-1 一般石方开挖——风钻钻孔二-2 一般石方开挖——风钻钻孔二-3 一般石方开挖——风钻钻孔二-4 一般石方开挖——150型潜孔钻钻孔二-5 一般石方开挖——∮64~76mm二-6 一般石方开挖——∮89~102mm二-7 一般坡面石方开挖二-8 底部保护层石方开挖二-9 坡面保护层石方开挖二-10 沟槽石方开挖二-11 坡面沟槽石方开挖二-12 坑石方开挖二-13 预裂爆破——100型潜孔钻钻孔二-14 预裂爆破——150型潜孔钻钻孔二-15 预裂爆破——液压钻钻孔二-16 平洞石方开挖——风钻钻孔二-17 平洞石方开挖——二臂液压凿岩台车二-18 平洞石方开挖——三臂液压凿岩台车二-19 斜井石方开挖——风钻钻孔(下行)二-20 斜井石方开挖——风钻钻孔(上行)二-21 斜井石方开挖——爬罐开导井二-22 斜井石方开挖——反井钻机开导井二-23 竖井石方开挖——风钻钻孔(下行)二-24 竖井石方开挖——风钻钻孔(上行)二-25 竖井石方开挖——爬罐开导井二-26 竖井石方开挖——反井钻机开导井二-27 地下厂房石方开挖——潜孔钻钻孔二-28 地下厂房石方开挖——液压钻钻孔二-29 平洞超挖石方(机械装渣)二-30 斜、竖井超挖石方(先导后扩)二-31 平洞、斜井、竖井超挖石方(不含翻渣)二-32 1m3挖掘机装石渣汽车运输二-33 2m3挖掘机装石渣汽车运输二-34 3m3挖掘机装石渣汽车运输二-35 4m3挖掘机露天装石渣汽车运输二-36 6m3挖掘机露天装石渣汽车运输二-37 1m3装载机装石渣汽车运输二-38 1.5m3装载机装石渣汽车运输二-39 2m3装载机装石渣汽车运输二-40 3m3装载机装石渣汽车运输二-42 7m3装载机露天装石渣汽车运输二-43 9.6m3装载机露天装石渣汽车运输二-44 10.7m3装载机露天装石渣汽车运输二-45 推土机推运石渣二-46 平洞石渣运输二-47 斜井石渣运输二-48 竖井石渣运输二-49 人工装胶轮车运石渣二-50 人工装机动翻斗车运石渣二-51 隧洞钢支撑二-52 隧洞木支撑二-53 防震孔、插筋孔——风钻钻孔二-54 防震孔、插筋孔——80型潜孔钻钻孔二-55 防震孔、插筋孔——100型潜孔钻钻孔二-56 防震孔、插筋孔——液压履带钻钻孔砌石说明三-1 人工铺筑砂石垫层三-2 人工抛石护底护岸三-3 100m3自行式石驳抛石护底护岸三-4 120m3底开式石驳抛石护底护岸三-5 干砌块石三-6 浆砌块石三-8 浆砌条料石三-9 浆砌石拱圈三-10 浆砌石衬砌三-11 浆砌混凝土预制块三-12 浆砌辉绿岩铸石三-13 砌体砂浆抹面三-14 砌体拆除三-16 拖拉机压实三-16 拖拉机压实三-17 振动碾压实三-18 斜坡碾压混凝土说明四-1 坝四-2 碾压混凝土四-3 厂房四-3 厂房四-5 地下厂房衬砌四-6 隧洞衬砌四-7 竖井衬砌四-8 混凝土面板四-9 溢流面四-11 明渠四-12 暗渠四-13 墩四-14 墙四-15 渡槽槽身四-16 混凝土管四-17 拱四-18 排架四-19 回填混凝土四-20 二期混凝土四-21 其他混凝土四-22 预制渡槽槽身四-23 预制混凝土拱、拱波、横系梁及排架四-24 预制混凝土块四-18 混凝土板预制及砌筑四-26 缆索吊装预制混凝土槽身、排架、拱助、梁四-27 混凝土管安装四-28 搅拌机拌制混凝土四-2 搅拌楼拌制混凝土四-30 强制式搅拌楼拌制混凝土四-31 胶轮车运混凝土四-32 斗车运混凝土四-33 机动翻斗车运混凝土四-34 内燃机车运混凝土四-35 自卸汽车运混凝土四-36 泻槽运送混凝土四-37 胶带机运送混凝土四-38 搅拌车运混凝土四-39 塔、胎带机运送混凝土四-40 缆索起重机吊运混凝土四-41 门座式起重机吊运混凝土四-42 塔式起重机吊运混凝土四-43 控制机吊运混凝土、块石四-44 平洞衬砌混凝土运输四-45 斜、竖井衬砌混凝土运输四-46 斜坡道吊运混凝土四-47 胶轮车运混凝土预制板四-48 人工装手扶拖拉机运混凝土预制板四-49 简易龙门式起重机吊运预制混凝土构件四-50 汽车运预制混凝土构件四-51 胶轮车运沥青混凝土四-52 斗车运沥青混凝土四-53 机动翻斗车运沥青混凝土四-54 止水四-55 沥青砂柱止水四-56 渡槽止水及支座四-58 防水层四-59 伸缩缝四-60 钢筋制作与安装四-61 沥青混凝土面板四-62 沥青混凝土心墙四-61 沥青混凝土面板四-63 无砂混凝土垫层铺筑四-65 斜墙碎石垫层面涂层模板说明五-1 悬臂组合钢模板五-2 普通标准钢模板五-3 普通平面木模板五-4 普通曲面模板五-5 尾水肘管模板五-6 蜗壳模板五-7 进水口上收缩曲面模板五-8 坝体孔洞顶面模板五-9 键槽模板五-10 牛腿模板五-11 矩形渡槽槽身模板五-12 箱形渡槽槽身模板五-13 U形渡槽槽身模板五-14 圆形隧洞衬砌木模板五-15 圆形隧洞衬砌钢模板五-16 圆形隧洞衬砌针梁模板五-17 直墙圆拱形隧洞衬砌钢模板五-18 直墙圆拱形隧洞衬砌钢模台车五-19 直墙圆拱形涵洞模板五-20 矩形涵洞模板五-21 圆形涵洞模板五-22 明渠衬砌模板五-23 竖井滑模五-24 溢流面滑模五-25 混凝土面板滑模砂石备料说明六-1 人工开采砂砾料六-2 人工筛分砂石料六-3 人工溜洗骨料六-4 人工运砂石料六-5 人工装砂石料胶轮车运输六-6 人工装砂石料斗车运输六-7 索式挖掘机挖砂砾料六-8 液压反铲控制机挖砂砾料六-9 采砂船挖砂砾料六-11 超径石破碎六-12 碎石原料开采六-13 含泥碎石预选六-14 制碎石六-15 制砂六-16 制碎石和砂六-17 拖轮运骨料六-18 胶带输送机运砂石料六-19 胶带输送机装骨料自卸汽车运输六-20 胶带输送机装砂砾料自卸汽车运输六-21 人工装砂石料自卸汽车运输六-22 1m3挖掘机装砂石料自卸汽车运输六-23 2m3挖掘机装砂石料自卸汽车运输六-24 3m3挖掘机装砂石料自卸汽车运输六-25 4m3挖掘机装砂石料自卸汽车运输六-26 6m3挖掘机装砂石料自卸汽车运输六-27 1m3装载机装砂石料自卸汽车运输六-28 1.5m3装载机装砂石料自卸汽车运输六-29 2m3装载机装砂石料自卸汽车运输六-30 3m3装载机装砂石料自卸汽车运输六-31 5m3装载机装砂石料自卸汽车运输六-32 7m3装载机装砂石料自卸汽车运输六-33 9.6m3装载机装砂石料自卸汽车运输六-34 10.7m3装载机装砂石料自卸汽车运输六-35 骨料二次筛分六-36 块片石开采六-37 人工开采条、料石六-38 人工捡集块片石六-39 胶轮车运石料六-40 V型斗车运石料六-41 人工装车自卸汽车运块石钻罐及锚固说明七-1 钻机钻岩石层灌浆孔—自下而上灌浆法七-2 钻机钻岩石层灌浆孔—自上而下灌浆法七-3 风钻钻灌浆孔七-4 坝基岩石帷幕灌浆—自下而上灌浆法七-5 坝基岩石帷幕灌浆—自上而下灌浆法七-6 孔口封闭灌浆七-7 基础固结灌浆七-8 隧洞固结灌浆七-9 回填灌浆七-10 压水试验七-11 压浆检查七-12 钻机钻土坝(堤)灌浆孔七-14 钻机钻(高压喷射)灌浆孔七-14 高压摆喷灌浆七-16 坝基砂砾石帷幕灌浆七-17 灌注孔口管七-18 地下连续墙成槽——冲击钻机成槽法七-19 地下连续墙成槽——冲击反循环钻机成槽法七-20 地下连续墙成槽——液压开槽机开槽法七-21 地下连续墙成槽——射水成槽机成槽法七-22 混凝土防渗墙浇筑七-23 预裂爆破七-24 振冲碎石桩七-25 振冲水泥碎石桩七-26 冲击钻造灌注桩孔七-27 灌注混凝土桩七-28 坝体接缝灌浆七-29 预埋骨料灌浆七-30 垂线孔钻孔及工作管制作安装七-31 水位观测孔工程七-32 水位观测孔工程七-33 地面砂浆锚杆——风钻钻孔七-34 地面药卷锚杆——风钻钻孔七-35 地面砂浆锚杆——履带钻钻孔七-36 地面长砂浆锚杆——锚杆钻机钻孔七-37 地面砂浆锚杆(利用灌浆孔)七-38 加强长砂浆锚杆束——地质钻机钻孔七-39 地下砂浆锚杆——风钻钻孔七-40 地下药卷锚杆——风钻钻孔七-41 地下砂浆锚杆——锚杆台车钻孔七-42 地下砂浆锚杆——凿岩台车钻孔七-43 岩体预应力锚索——无粘结型七-44 岩体预应力锚索——粘结型七-45 混凝土预应力锚索七-46 岩石面喷浆七-47 混凝土面喷浆七-48 喷混凝土七-49 钢筋网制作及安装疏浚说明八-1 绞吸式挖泥船八-1 绞吸式挖泥船八-3 抓斗式、铲斗式挖泥船八-4 吹泥船八-5 水力冲挖土方八-6 其他其他说明九-2 钢板桩围堰九-3 石笼九-4 围堰水下混凝土九-5 截流体填筑九-6 公路基础九-7 公路路面九-8 简易公路九-9 桥梁九-10 起重码头九-11 水塔九-12 铁道铺设九-13 铁道移设九-14 铁道拆除九-15 管道铺设九-16 管道移设九-17 卷扬机道铺设九-18 卷扬机道拆除九-19 钢管脚手架九-20 380V供电线路工程九-21 10kV供电线路工程九-22 照明线路工程九-23 通讯线路工程九-24 临时房屋九-25 塑料薄膜铺设九-26 复合柔毡铺设九-27 土工膜铺设九-28 土工布铺设九-29鞋 人工铺草皮。